Агрономическая продуктивность сортов груши в различных системах формирования кроны
Данное исследование было направлено на оценку вегетативных, продуктивных параметров и параметров качества плодов у европейских сортов груши 'Rocha' и 'Santa Maria' при выращивании в системах формирования Tall Spindle с отгибом ветвей под углом 45° ("Tall Spindle — 45°") и 90° ("Tall Spindle — 90°") к центральному проводнику, а также в системе "Bi-axis" (с двумя осями). Оценка проводилась в течение сезонов выращивания с 2016/2017 по 2022/2023 гг. в высокогорном регионе юга Бразилии.
Аннотация
Обе системы Tall Spindle значимо повышали урожайность и производственную эффективность по сравнению с системой "Bi-axis", при этом 'Santa Maria' показала наилучшие результаты при системе "Tall Spindle — 90°". Хотя у 'Rocha' не наблюдалось существенных различий между вариантами системы Tall Spindle, сорт показал лучший контроль силы роста и снижение периодичности плодоношения при формировании по системе "Bi-axis". Параметры качества плодов были стабильными во всех системах формирования, что указывает на "Tall Spindle — 90°" как оптимальный выбор для продуктивности и стабильности у сорта 'Santa Maria'. Эти результаты подчеркивают важность адаптации и эффективности систем формирования кроны для управления грушевым садом.
1. Введение
Производство груш в Бразилии стремительно растёт как сельскохозяйственная отрасль. В 2022 и 2023 годах Бразилия произвела около 15,8 и 17,5 тысяч тонн груш соответственно [ 1 ]. Однако этого роста производства всё ещё недостаточно для удовлетворения внутреннего спроса страны, который оценивается примерно в 150 тысяч тонн в год [ 2 ].
Увеличение производства зависит от нескольких факторов, включая выбор сортов привоя, подвоев и систем формирования, каждый из которых имеет решающее значение для повышения эффективности производства [ 3 , 4 ]. У груш, как и у других лиственных фруктовых пород, выбор подходящей системы формирования имеет важное значение, поскольку он определяет выбор подвоя, расстояние между рядами и расстояние между деревьями [ 5 ]. Системы формирования представляют собой основополагающий принцип управления садом, играя решающую роль в оптимизации улавливания и распределения света в пологе для повышения производительности и качества плодов [ 6 , 7 ]. Более того, правильный выбор систем формирования в сочетании с выбором соответствующих сортов привоя и подвоев повышает механизацию и оптимизирует эффективность труда [ 5 , 8 ].
В Бразилии преобладающей системой формирования является центральный проводник, характеризующийся боковыми ветвями, которые не закреплены постоянно и отходят от центральной оси, создавая коническую или пирамидальную структуру кроны [ 9 ]. Однако эта система постепенно была заменена использованием карликовых подвоев, которые позволяют реализовывать системы с высокой плотностью [ 10 , 11 ]. Среди различных систем формирования примечательными примерами являются вертикальная ось, веретено, многопроводник, пальметта, V-система и двухосная [ 5 ].
В группе Spindle появилась система Tall Spindle, включающая элементы систем Slender Spindle, Vertical Axis, Solaxe и Super Spindle; она считается системой с высокой плотностью [ 10 ]. Tall Spindle основана на дереве Slender Spindle, разработанном Вертхаймом [ 12 ], которое было разработано для повышения ранней урожайности и эффективности управления за счет посадки более высоких плотностей деревьев и уменьшения высоты дерева, чтобы позволить осуществлять все управление с земли. Ее ключевой характеристикой является постоянное обновление боковых ветвей без сохранения постоянных ветвей вдоль центрального проводника [ 10 ]. Разработанная для достижения раннего производства, система Tall Spindle обычно используется в посадках с высокой плотностью от 3500 до 4500 деревьев на гектар и рекомендуется для садов с использованием карликовых подвоев [ 10 , 13 ]. Эта система упрощает управление садом за счет уменьшения размера деревьев, тем самым сводя к минимуму необходимость использования лестниц во время обрезки и сбора урожая [ 6 , 10 ].
Другая система средней плотности, которая получает всемирное распространение, — это система Bi-axis [ 13 ]. Концепция Bi-axis включает в себя разделение энергии дерева между двумя основными лидерами, что может быть достигнуто с помощью предварительно сформированных растений с двойной прививкой (Bibaum ® , Феррара, Италия) или выращенных в полевых условиях деревьев с уменьшенной высотой для содействия развитию двух лидеров [ 5 ]. Система Bi-axis направлена на упрощение и ускорение агротехнических приемов, особенно зимней обрезки, летнего сгибания ветвей и сбора урожая [ 14 ]. Она служит альтернативой для контроля энергии и увеличения плотности посадки без значительного увеличения затрат на приобретение деревьев [ 15 ]. Эффективное управление энергией в системе Bi-axis имеет решающее значение, поскольку оно улучшает распределение листовой поверхности, проникновение света и распределение питательных веществ, в конечном итоге повышая производство углеводов и качество плодов [ 5 ].
Изгиб ветвей – это метод управления, используемый в некоторых системах формирования, таких как «Талл Спиндель», для баланса вегетативного и репродуктивного роста путем регулирования акротонии и подавления апикального доминирования [ 16 , 17 ]. Регулировка углов ветвей влияет на поток воды, метаболитов и гормонов, обеспечивая их эффективное распределение по ветвям и главному проводнику [ 17 , 18 ]. Этот метод улучшает проникновение света в полог, способствует формированию цветочных почек и повышает завязываемость и качество плодов [ 19 ].
Несколько авторов подчеркивают важность этих практик для эффективного использования ресурсов в современных и будущих системах производства фруктов [ 7 , 17 ]. Учитывая планарные системы полога, во многих странах были разработаны или разрабатываются различные двумерные архитектуры деревьев [ 13 , 18 ].
Это исследование посвящено глобальным проблемам сельского хозяйства, включая необходимость применения устойчивых методов ведения садов, повышающих производительность и эффективность использования ресурсов. Сосредоточение внимания на системах формирования с высокой плотностью посадки в высокогорных регионах способствует более широкому научному исследованию влияния систем формирования на структуру и продуктивность деревьев в различных экологических условиях. Более того, результаты имеют практическое значение для производителей, стремящихся найти баланс между экономической эффективностью и заботой об окружающей среде, что соответствует мировому стремлению к устойчивому садоводству.
В этом исследовании основное внимание уделялось сортам груши «Роча» и «Санта Мария», которые имеют коммерческое значение благодаря высокой урожайности, качеству плодов и адаптации к различным условиям выращивания. Однако их эффективность в садах с высокой плотностью посадки с использованием современных систем формирования остается недостаточно изученной, особенно в высокогорных регионах, таких как юг Бразилии [ 9 , 11 ]. Системы «Талл Спиндл» и «Би-Аксис» были выбраны в качестве инновационных альтернатив традиционным методам формирования. Данное исследование рассматривает необходимость оптимизированных методов управления садом, адаптированных к уникальным почвенно-климатическим условиям региона, с целью предоставления производителям рекомендаций, основанных на фактических данных.
Таким образом, целью данного исследования был анализ вегетативных и продуктивных параметров, а также качества плодов европейских сортов груши «Роча» и «Санта Мария» при трех системах выращивания «Талл Спиндел» — 45°, —90° и «Би-Аксис» в течение вегетационных сезонов 2016/2017 — 2022/2023 гг. в высокогорном регионе юга Бразилии.
2. Материалы и методы
2.1 Метеорологические наблюдения
Эксперименты проводились в коммерческом саду европейских сортов груши, расположенном в муниципалитете Сан-Жоакин, штат Санта-Катарина, на юге Бразилии (28°14′ ю. ш., 50°00′ з. д.), на высоте 1360 м над уровнем моря. Испытания проводились в течение шести лет, с 2016/2017 по 2022/2023 сельскохозяйственные сезоны. Климат в этом регионе классифицируется как влажный мезотермический с мягким летом (Cfb по классификации Кеппен) [ 20 ]. Среднегодовое количество осадков составляет от 1200 до 1900 мм, с равномерным распределением осадков в течение года. Среднегодовая температура колеблется от 15 °C до 16 °C, с редкими снегами и заморозками в более холодные периоды [ 2 ]. Почва представляет собой гумусовый камбисол [ 2 ], характеризующийся высоким содержанием глины (498 г·кг⁻ 1 ) и органического вещества (69 г·кг⁻ 1 ).
2.2. Растительные материалы
Сад площадью четыре гектара состоял из трёхлетних деревьев европейской груши ( Pyrus communis L. 'Rocha' и 'Santa Maria'), привитых на подвои BA-29 ( Cydonia oblonga L.). Система формирования делянки была основным фактором, каждый из которых состоял из 4 рядов длиной 40 м. Деревья формировались по трём различным системам: «Талл-Спиндл» с изгибом ветвей под углом 45° (Талл-Спиндл — 45°), «Талл-Спиндл» с изгибом ветвей под углом 90° (Талл-Спиндл — 90°) и «Би-Аксис». Плотность посадки составила 2857 деревьев на гектар, с шагом 3,5 м × 1,0 м. Деревья достигли средней высоты 2,5 м. Экспериментальные участки были изолированы с использованием буферных рядов, а стандартные методы управления, такие как удобрение, орошение и борьба с вредителями, применялись равномерно на всех участках для обеспечения постоянства.
2.3. Системы обучения и обрезки
Для систем Tall Spindle и Bi-axis изгиб ветвей начался зимой 2014 года (июль), и углы были измерены и отрегулированы до 45° и 90° относительно центрального лидера с помощью цифрового угломера. Измерения проводились в середине каждой ветви, чтобы обеспечить единообразие во всех повторностях. Перед началом экспериментальных обработок был реализован двухлетний период предварительной обработки, чтобы обеспечить единообразие и минимизировать остаточные эффекты от предыдущих методов управления садом. В системе Bi-axis деревья были направлены назад после посадки, чтобы стимулировать формирование двух основных лидеров из новых побегов. Изгиб ветвей повторялся в течение сезонов 2015 и 2016 годов в годы фазы формирования. К 2016 году деревья, вероятно, достигли стабильной архитектурной структуры под соответствующими системами формирования. На протяжении всего эксперимента обрезка включала удаление ветвей с диаметром, превышающим две трети центрального лидера, чтобы предотвратить конкуренцию с лидером [ 10 ].
2.4 Сбор данных
Данные о вегетативном росте, продуктивности и качестве плодов были собраны за вегетационные сезоны 2016/2017 – 2022/2023. Оценка вегетативных параметров проводилась зимой (июнь и июль), а оценка продуктивности и качества плодов – летом (январь и февраль).
2.5 Вегетативные и продуктивные параметры
(а) Вегетативные параметры: высота растения (м); площадь поперечного сечения ствола (ППС) (см2 ) ;
(б) Продуктивные параметры: урожайность (т·га⁻ 1 ); эффективность урожайности (КУР) (кг·см⁻ 2 );
(с) Параметры качества плодов: вес плода (г), диаметр (мм) и высота (мм); твердость мякоти (N); содержание растворимых сухих веществ (РСВ) (°Brix).
2.6 Методы измерения
- Высота растения (м) измерялась гибкой лентой с градуировкой в миллиметрах от точки прививки до верхушки растения;
- TCSA измеряли как среднее арифметическое продольных и поперечных измерений диаметра центрального проводника на высоте 10 см над местом прививки. Для преобразования значений диаметра в TCSA использовали уравнение A = (πd 2)/4, где d = диаметр ствола;
- Урожайность (тонн·га −1 ) рассчитывалась путём умножения массы плодов с растения на гектар на расстояние между растениями. Убирали только пять центральных растений с каждой делянки;
- Накопленная производительность была получена путем суммирования производительности каждого года;
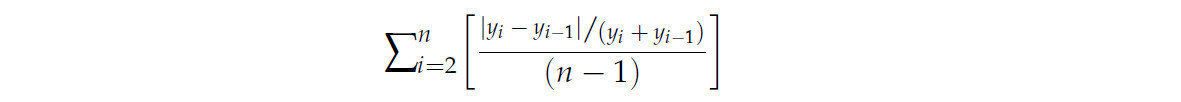
- Двухлетние индексы плодоносности (BBI) были рассчитаны на основе данных об урожайности за период 2017–2023 годов. BBI был рассчитан по следующей формуле, адаптированной из работы Хоблина [ 21 ]:
где
ys — урожайность, наблюдаемая на участке, в s-ой культуре, в упорядоченной серии размером n, где n — количество урожаев;
(y i + y i−1 ) — абсолютная разница между урожайностью двух последовательных культур. Этот индекс соответствует среднему значению абсолютных разностей между двумя последовательными культурами, выраженному в процентах от общего урожая за два года, и варьируется от нуля до единицы; чем ближе его значение к единице (1), тем сильнее выражено чередование или колебание производства;
- Эффективность урожайности (ЭУ) (кг·см −2 ) рассчитывалась как отношение средней массы плодов с растения (кг·растение −1 ) к площади поверхности привоя (см −2 ), выраженной в кг плодов, полученных с квадратного сантиметра (см −2 ) площади поверхности привоя. Накопленная эффективность урожайности определялась путем суммирования урожайности каждого года.
2.7 Параметры качества плодов
- Диаметр плода: измеряется с помощью градуированной деревянной линейки;
- Твердость мякоти: измеряется с помощью цифрового анализатора текстуры TA.XTexpress, показания снимаются с двух экваториальных зон плода после удаления эпидермальных дисков;
- Содержание растворимых твердых веществ (SSC): измерялось с использованием сока, извлеченного из долек 10 фруктов, с помощью цифрового рефрактометра ITREFD-45, Дортмунд, Германия.
2.8 Статистический анализ
Эксперименты были организованы по рандомизированному полному блочному плану с четырьмя повторностями и десятью деревьями на делянке и проводились на одной и той же территории сада, что гарантировало, что все делянки находились в одинаковых условиях. Одномерные данные были подвергнуты тесту Шапиро–Уилка на нормальность и тесту Бартлетта на гомоскедастичность, а затем дисперсионному анализу (ANOVA) и тесту Тьюки с уровнем значимости 5%. В многомерном анализе нормальность оценивалась с помощью эксцесса, а однородность – с помощью M-критерия Бокса. Для изучения взаимосвязей между переменными варианты были сгруппированы с помощью неиерархического кластерного анализа (K-средних) и анализа главных компонент (PCA).
Анализ главных компонент (PCA) был выполнен в RStudio (версия 4.3.1) с использованием языка программирования R [ 22 ]. PCA преобразует сложные многомерные данные в главные компоненты (ГК), представляющие собой линейные комбинации исходных переменных, что упрощает интерпретацию данных. Корреляционный анализ и дисперсионный анализ (ANOVA) использовались в качестве дополнительных инструментов для подтверждения результатов PCA.
3. Результаты
Были выявлены существенные различия ( p ≤ 0,05) в эффектах систем «Высокое веретено» — 45°, — 90° и «Двухосная» на вегетативные и продуктивные параметры. Однако существенных различий ( p ≤ 0,05) в показателях качества плодов сортов «Роча» и «Санта Мария» в вегетационные сезоны 2016/2017 — 2022/2023 гг. ( таблица 1 и таблица 2 ) не обнаружено .
Таблица 1. Средние значения вегетативных и продуктивных параметров европейских сортов «Роча» и «Санта Мария», выращенных по различным системам в течение вегетационных сезонов 2016/2017 – 2022/2023 гг. в высокогорном регионе юга Бразилии.
Таблица 2. Средние значения параметров качества плодов европейских сортов «Роча» и «Санта Мария», выращенных по разным системам в сезонах 2016/2017 – 2022/2023 гг. в высокогорном регионе на юге Бразилии.
Сорт 'Rocha' продемонстрировал большую высоту растений по сравнению с 'Santa Maria' ( таблица 1 ). У сорта 'Rocha' системы выращивания Tall Spindle (45° и 90°) обеспечили более высокую среднюю высоту растений, чем система Bi-axis ( таблица 1 ). Напротив, для сорта 'Santa Maria', растения которого были ниже, TCSA не имела значимых различий ( p ≤ 0,05) между системами выращивания ( таблица 1 ).
Tall Spindle—90° продемонстрировал самую высокую совокупную продуктивность как для сортов 'Rocha', так и для 'Santa Maria'. Сорт 'Santa Maria', выращенный с использованием Tall Spindle—90°, достиг самой высокой продуктивности. Напротив, система Bi-axis, хотя и менее продуктивна в целом, продемонстрировала большую стабильность продуктивности в течение вегетационных сезонов 2016/2017 - 2022/2023 ( таблица 1 ). Продуктивная эффективность была значительно ( p ≤ 0,05) выше в системе Tall Spindle для обоих сортов, при этом Tall Spindle—45° дала более высокие значения для сорта 'Santa Maria' по сравнению с системой Bi-axis ( таблица 1 ).
Растения, выращенные по системе Bi-axis, показали более низкие значения BBI, особенно у сорта 'Santa Maria'. Вытянутое веретено — 90° также снизило BBI у сорта 'Santa Maria'. Напротив, у сорта 'Rocha' BBI был более выражен при этой системе ( таблица 1 ), в первую очередь из-за наблюдаемого снижения цветения.
Не наблюдалось значимых различий ( p ≤ 0,05) в эффектах систем «Высокое веретено — 45°», «Высокое веретено — 90°» и «Двухосная» на параметры качества плодов, включая вес, диаметр, высоту, плотность мякоти и содержание растворимых сухих веществ, независимо от сорта ( таблица 2 ). Несмотря на отсутствие статистической значимости ( p ≤ 0,05), сорт «Санта Мария» продемонстрировал более высокий вес и высоту плодов, тогда как сорт «Роча» продемонстрировал больший диаметр плодов, плотность мякоти и содержание растворимых сухих веществ ( таблица 2 ).
Динамика урожайности сортов «Роча» и «Санта Мария» ( рис. 1 и 2 ) показала, что, начиная с третьего сезона (2018/2019), системы «Талл Спиндл» — 45° и — 90° для сорта «Роча» демонстрировали существенные различия ( p ≤ 0,05) по сравнению с системой «Би-Акси». Общая урожайность обеих систем «Талл Спиндл» (45° и 90°) была стабильно выше, чем у системы «Би-Акси» в течение оцениваемых сезонов ( рис. 1 и 2 ).
Рисунок 1. Продуктивность и кумулятивная продуктивность в системах «Высокое веретено — 45°», «Высокое веретено — 90°» и «Двухосная» для сорта «Роча» в вегетационные сезоны 2016/2017 — 2022/2023 гг. в высокогорном регионе на юге Бразилии. Средние значения, отмеченные одной и той же строчной буквой, достоверно не различались между вариантами обработки согласно критерию Тьюки ( p ≤ 0,05). ns — незначимо.
Рисунок 2. Продуктивность и кумулятивная продуктивность в системах «Талл-Спиндл — 45°», «Талл-Спиндл — 90°» и «Би-осная» для сорта «Санта-Мария» в вегетационные сезоны 2016/2017 — 2022/2023 гг. в высокогорном регионе на юге Бразилии. Согласно критерию Тьюки, средние значения, обозначенные одной и той же строчной буквой, достоверно не различались между вариантами обработки ( p ≤ 0,05).
Годовые колебания урожайности сорта 'Rocha' были более выражены в большинстве сезонов по сравнению с 'Santa Maria', и эта тенденция сохранялась во всех трёх системах формировки. Эта закономерность подчёркивает схожий двухлетний индекс плодоношения (BBI) сорта 'Rocha' при системах формировки «Толл-Спиндл — 45°», «Толл-Спиндл — 90°» и «Би-Акси» ( рис. 1 ).
Как и в случае с сортом «Роча», системы «Высокое веретено — 45°» и «Высокое веретено — 90°» также продемонстрировали более высокую продуктивность для сорта «Санта Мария», начиная с третьего сезона (2018/2019) ( рисунок 2 ). Однако система «Высокое веретено — 90°» продемонстрировала более высокую кумулятивную продуктивность и меньшие годовые колебания продуктивности по сравнению с системой «Высокое веретено — 45°», что указывает на более низкий двухлетний индекс плодоношения (BBI) для сорта «Санта Мария» ( рисунок 2 ).
Дисперсионный анализ и анализ главных компонент вегетативно-продуктивных параметров и качества плодов за вегетационные сезоны 2016/2017 – 2022/2023 гг. ( таблица 1 и рисунок 3 ) показали, что сорт «Санта Мария» продемонстрировал более высокую продуктивность, более низкую энергию роста, более низкий индекс роста и большую массу плодов. Эти параметры указывают на более высокую эффективность продуктивности сорта «Санта Мария» по сравнению с сортом «Роча» независимо от системы выращивания.
Рисунок 3. Анализ главных компонент (PCA) вегетативно-продуктивных параметров, включая высоту растения, площадь поперечного сечения ствола (TCSA), количество плодов на растении (NFP), вес плода, продуктивность, эффективность продуктивности и двухлетний индекс плодоношения (BBI) для европейских сортов 'Rocha' и 'Santa Maria'. Сорта формировались по системе «Талльное веретено» (TS) с углами изгиба 45° (TS45) и 90° (TS90), а также по системе «Би-оси» в течение сезонов 2016/2017 – 2022/2023 в высокогорном регионе на юге Бразилии. Самые большие синие и жёлтые круги представляют собой среднее значение каждой системы формировки.
Система Bi-axis привела к снижению высоты растений и количества плодов, что привело к снижению урожайности и эффективности производства по сравнению с системами Tall Spindle—45° и Tall Spindle—90°. Система Tall Spindle—90° продемонстрировала более высокую урожайность растений с более низким индексом роста (BBI) по сравнению с системой Tall Spindle—45°. Однако существенных различий в вегетативно-продуктивных параметрах между системами Tall Spindle—45° и Tall Spindle—90° для сорта 'Rocha' не наблюдалось.
Влияние систем выращивания и продолжительности исследований на качество плодов сортов «Роча» и «Санта Мария» представлено в таблице 2 и на рисунке 4. Вес, диаметр и высота плодов, а также плотность мякоти и содержание растворимых сухих веществ показали, что все характеристики плодов не оказались статистически значимыми.
Рисунок 4. Анализ главных компонентов (PCA) параметров качества плодов, включая вес, высоту, диаметр, плотность мякоти и содержание растворимых сухих веществ, для европейских сортов 'Rocha' и 'Santa Maria'. Сорта формировались по системе «Талл-Спиндель» (TS) с углами изгиба 45° (TS45) и 90° (TS90), а также по системе «Би-Акси» в течение вегетационных сезонов 2016/2017 – 2022/2023 в высокогорном регионе на юге Бразилии. Самые большие синие и жёлтые круги представляют собой среднее значение для каждой системы формировки.
Анализ показателей качества плодов методом главных компонент (PCA) показал, что каждый сорт демонстрирует чётко выраженную закономерность в размере, форме и текстуре плодов ( таблица 2 и рисунок 4 ). Независимо от системы выращивания, сорт «Санта Мария» дал плоды с большей массой и высотой, меньшей плотностью мякоти и более высоким содержанием растворимых сухих веществ по сравнению с сортом «Роча» ( таблица 2 и рисунок 4 ).
Анализ главных компонент (PCA) показал, что различия между системами формирования для каждого сорта, о чём свидетельствует вторая главная компонента, объясняют лишь 1,1% вариации данных. Следовательно, существенных различий в параметрах качества плодов между системами формирования «Высокое веретено — 45°», «Высокое веретено — 90°» и «Двухосная» для сортов «Роча» и «Санта Мария» не наблюдалось.
4. Обсуждение
Углы среза ветвей 45° и 90° в системе «Талл-Спиндл» были выбраны на основании их известного влияния на баланс вегетативного и репродуктивного роста. Угол 45° часто ассоциируется с умеренным контролем силы роста и повышенным улавливанием света, в то время как угол 90° стимулирует образование большего количества плодоносящих побегов за счет подавления апикального доминирования. Эти углы представляют собой как региональные практики, так и экспериментальные адаптации, направленные на оптимизацию продуктивности и управления пологом в условиях высокоплотной посадки. Система «Би-оси» была выбрана, поскольку она получает все большее признание за свой потенциал контроля силы роста путем распределения роста между двумя побегами, особенно в системах с высокой плотностью посадки. Эта система упрощает обрезку и сбор урожая, делая ее жизнеспособной альтернативой традиционным методам формирования в регионах, стремящихся к механизации и повышению эффективности труда.
Хотя системы Tall Spindle и Bi-axis набирают популярность во всем мире, их применение в высокогорных регионах с особыми почвенно-климатическими условиями всё ещё недостаточно изучено. Цель данного исследования — восполнить этот пробел, оценив их эффективность в новых условиях и предложить идеи, которые могут послужить руководством для будущих инноваций в области устойчивого управления садами.
Полученные данные свидетельствуют о значительном влиянии трёх систем формирования на вегетативно-продуктивные параметры сортов 'Rocha' и 'Santa Maria', особенно систем 'Tall Spindle—45°' и 'Tall Spindle—90°'. Для сорта 'Rocha' системы 'Tall Spindle—45°' и 'Tall Spindle—90°' показали большую среднюю высоту растений и площадь поперечного сечения ствола (TCSA) по сравнению с двухосной системой, при этом существенного влияния на сорт 'Santa Maria' не наблюдалось.
Преимущества системы Tall Spindle, включая повышенную производительность, потенциал раннего урожая, совместимость с плотными посадками и простоту механизации, делают её привлекательным вариантом для современных садов. Кроме того, её характеристики устойчивости, такие как улучшенное улавливание света, эффективное использование воды и снижение потребности в пестицидах, соответствуют принципам экологически ответственного земледелия.
Mitre et al. [ 23 ] продемонстрировали, что система Tall Spindle обеспечила более высокую высоту растений и TCSA для таких сортов яблони, как 'Gala', 'Pinova', 'Topaz' и 'Florina' по сравнению с системами Slender Spindle, Vertical Axis и 'Solaxe'. Что касается мощности роста, сорт 'Rocha' продемонстрировал более высокие значения высоты растений и TCSA, черты, которые постоянно наблюдаются даже при выращивании на карликовых подвоях [ 24 ]. Напротив, сорт 'Santa Maria' характеризовался менее мощными кронами по сравнению с другими сортами, такими как 'Rocha', что облегчило уход за садом из-за сниженных требований к обрезке [ 24 ]. Musacchi et al. [ 5 ] отметили, что система Bi-axis снизила TCSA в сорте «Abate Fetel», предполагая, что распределение силы растений по двум лидерам положительно влияет на контроль вегетативного роста.
Специфические эффекты систем Tall Spindle—45° и Tall Spindle—90° на сорте 'Rocha', вероятно, связаны с большей силой роста этого сорта и ее связью с производством. Система Bi-axis оказалась выгодной для контроля силы роста и обеспечения стабильности производства с меньшим влиянием на BBI. Однако ее более низкая эффективность подчеркивает необходимость адаптации системы для сортов с пониженной силой роста. Йованович [ 25 ] продемонстрировал, что система центрального проводника у сортов 'Rocha' и 'Santa Maria', привитых на подвоях бельгийской айвы 'Adams', показала промежуточную силу роста в схожих почвенно-климатических условиях высокогорных регионов южной Бразилии.
Выбор системы формирования должен учитывать сорт и производственные цели. Системы «Высокое веретено» (45°) и «Высокое веретено» (90°) больше подходят для достижения высокой продуктивности, в то время как двухосная система обеспечивает устойчивость и простоту управления для растений средней силы роста. Оба угла изгиба «Высокое веретено» обеспечили более высокую среднюю продуктивность и совокупный урожай, чем двухосная система, для сортов «Роча» и «Санта Мария» в сезонах 2016/2017 – 2022/2023. Несмотря на более низкие значения по сравнению с системами Tall Spindle—45° и Tall Spindle—90°, система Bi-axis достигла средних значений производительности 22,30 т·га⁻¹ для сорта 'Rocha' и 30,85 т·га⁻¹ для сорта 'Santa Maria', что превышает как средний показатель по стране в 16,7 т·га⁻¹ [ 26 ] , так и средний мировой показатель в 18,6 т·га⁻¹ [ 1 ] . Аналогичным образом, Робинсон [ 10 ] наблюдал более высокую производительность при использовании системы Tall Spindle по сравнению с другими системами выращивания сортов яблони 'McIntosh' и 'Honeycrisp'.
Система Tall Spindle—90° привела к лучшей продуктивности сорта 'Santa Maria', чем сорта 'Rocha'. Независимо от угла изгиба, система Tall Spindle не оказала значительного ( p ≤ 0,05) влияния на совокупную продуктивность сорта 'Rocha', показав лишь незначительную разницу в 7% в продуктивности. По данным Musacchi et al. [ 5 ], Colaric et al. [ 18 ], Sherif [ 19 ] и Khandaker et al. [ 27 ], изгиб ветвей может улучшить цветение, развитие плодов и урожайность за счет контроля мощности роста. Однако сорта по-разному реагируют на контроль мощности роста. В этом исследовании мощность роста сорта 'Rocha' положительно коррелировала с производством, в то время как у 'Santa Maria' контроль мощности роста привел к повышению продуктивности.
Степень изгиба ветвей влияет на скорость перемещения сока, напрямую влияя на индукцию цветения и обратно действующую на вегетативный рост [ 28 ]. Ветви, согнутые под углом 90°, стимулировали образование коротких побегов, что больше характерно для сорта «Rocha». Напротив, изгиб ветвей сорта «Santa Maria» способствовал образованию шпорцев и плодоносящих гроздей [ 5 , 7 , 14 ], что положительно влияло на урожайность.
Средняя высота растений была ниже в системе Bi-axis, вероятно, из-за наличия двух центральных проводников, которые положительно влияют на контроль вегетативного роста [ 5 , 14 ]. Однако улучшенный контроль мощности роста в системе Bi-axis не гарантировал более высокую производительность или эффективность производства, что позволяет предположить, что эта система может быть лучше подходит для более мощных подвоев [ 5 ]. Исследования с сортом яблони «Fuji», проведенные в системе Bi-axis, показали лучший контроль высоты растений и снижение чередования производства [ 9 ].
Системы Tall Spindle—45° и Tall Spindle—90° привели к большей энергии растений, о чем свидетельствуют более высокие значения TCSA и отличная урожайность и производственная эффективность. По сравнению с сортом 'Rocha', сорт 'Santa Maria' достиг более высокой производительной эффективности, превзойдя 'Rocha' на 0,37 кг·см⁻² . Несмотря на то, что это увеличение не слишком велико, сорт 'Santa Maria' все еще показывает неиспользованный потенциал. Например, Озтурк и Файзи [ 29 ] сообщили о производительной эффективности 2,24 кг·см⁻² для 'Santa Maria' при модифицированной системе лидеров, в то время как Руфато [ 9 ] наблюдал эффективность 2,97 кг·см⁻² для того же сорта в системе с центральным лидером, адаптированной к климатическим условиям, аналогичным условиям в этом исследовании.
Снижение производства, наблюдаемое в течение вегетационного сезона 2021–2022 гг., указало на схему чередования производства для каждой комбинации сорта и системы подготовки. Сильные растения, как правило, демонстрируют большее чередование производства [ 30 ], вероятно, из-за снижения возврата цветков и эффективных скоростей завязывания плодов [ 3 , 28 ]. В этом исследовании более низкие скорости возврата цветков наблюдались у более сильных растений, таких как 'Rocha', независимо от систем подготовки. Для 'Santa Maria' эти более низкие скорости были отмечены при использовании системы Tall Spindle—45°. Более того, чередование производства изучалось у этих сортов Каррой [ 3 ] и Кэмпбеллом и Кальчитсом [ 4 ]. Система Bi-axis показала самый низкий BBI (0,26) для 'Santa Maria', что может быть связано с меньшей нагрузкой плодами на растение в этой системе. Сниженная нагрузка плодами позволила лучше сбалансировать вегетативный рост и плодоношение, что привело к более стабильной урожайности [ 31 ]. Индекс роста плодов (BBI) может служить показателем для определения оптимальной нагрузки плодами, которую растение может выдержать без ущерба для будущей урожайности [ 27 ]. Угол изгиба в системе «Талл-Спиндл» оказал большее влияние на BBI, что подчеркивает важность корректировки, специфичной для сорта, для поддержания стабильности продуктивности. Кроме того, такие стратегии, как использование регуляторов роста растений [ 3 ] и правильное управление нагрузкой плодами [ 4 , 31 ], могут эффективно снизить BBI.
Системы формирования могут влиять на параметры качества плодов посредством изменения микроклимата полога. В системе Bi-axis, где два центральных лидера контролируют энергию и производство, перехват света может быть нарушен по сравнению с системой Tall Spindle, что потенциально может повлиять на параметры качества плодов положительно или отрицательно. Сорт 'Santa Maria' дал более крупные и тяжелые плоды, чем 'Rocha', независимо от системы формирования, что подтверждает выводы Йовановича и др. [ 25 ]. Средний свежий вес плодов 'Rocha' составил 150 г, что, хотя и относительно низко, было выше результатов, сообщенных Руфато и др. [ 9 ]. Твердость мякоти и содержание растворимых сухих веществ, хотя и не были значительно затронуты системами формирования для каждого сорта, были выше у сорта 'Rocha' по сравнению с 'Santa Maria'. Напротив, мякоть сорта 'Santa Maria' характеризовалась более мягкой, маслянистой мякотью [ 24 ].
Эти результаты подчеркивают, что более высокая производительность и эффективность, достигаемые при использовании системы Tall Spindle—90°, особенно для сорта «Санта Мария», приводят к большей экономической эффективности за счет оптимизации использования ресурсов, увеличения ранней отдачи и снижения затрат на рабочую силу, связанных с обрезкой и сбором урожая.
Результаты данного исследования дают ценную информацию о потенциальной адаптируемости систем «Талл-Спиндл» и «Би-Аксис» к другим сортам груши. Например, сортам с разной силой роста или формой кроны может потребоваться корректировка углов формировки или плотности посадки для оптимизации продуктивности. Кроме того, в регионах с другими климатическими условиями, например, в районах с более низкой высотой над уровнем моря или более засушливыми условиями, может быть полезно внести изменения в методы орошения или управления кроной для максимального повышения эффективности этих систем формировки.
5. Выводы
- Система Bi-axis позволяет выращивать менее энергичные растения обоих сортов, что делает ее подходящей альтернативой для высокоплотных посадок.
- Угол изгиба в системе Tall Spindle изменяет продуктивные характеристики растений в зависимости от сорта.
- Изгиб под углом 45° или 90° в системе формировки Tall Spindle не влияет на продуктивность сорта Rocha.
- Система формирования «Высокое веретено» — 90° позволяет получить более продуктивные растения с более низким индексом роста (BBI) у сорта «Санта Мария». Таким образом, изгиб под углом 90° в системе формирования «Высокое веретено» может стать альтернативным решением одной из проблем выращивания груш: нестабильности урожая.
- Различные системы выращивания не оказали влияния на показатели качества плодов, которые в большей степени зависели от особенностей сорта.
- Результаты показывают, что сорт «Санта Мария», особенно при выращивании по системе «Высокий шпиндель — 90°», демонстрирует более высокую продуктивность и эффективность, что делает его перспективным кандидатом для выращивания в почвенно-климатических условиях высокогорных регионов юга Бразилии. Однако рекомендуется проведение дальнейших исследований долгосрочной устойчивости и адаптивности к различным условиям окружающей среды.
Ссылки
1. FAO—Food and Agriculture Organization of the United Nations. Faostat. Crops and Livestock Products. 2024. Available online: https://www.fao.org/faostat/en/#data/QCL/visualize (accessed on 15 December 2024).
2. Ageitec. Agência Embrapa de Informação Tecnológica. Árvores do Conhecimento—Cultivos. 2023. Available online: https://www.embrapa.br/agencia-de-informacao-tecnologica/cultivos/pera (accessed on 15 December 2024).
3. Carra, B.; Herter, F.G.; Pinto, F.A.M.F.; Brighenti, A.F.; Pasa, C.P.; Mello-Farias, P.C.; Pasa, M.S. Return Bloom and Yield of ‘Rocha’Pear Trees are Improved by Ethephon and Paclobutrazol. J. Plant Growth Regul. 2022, 42, 3650–3661. [Google Scholar] [CrossRef]
4. Campbell, T.; Kalcsits, L. Strategies to overcome biennial bearing in apple—A review. Eur. J. Agron. 2024, 158, e127213. [Google Scholar] [CrossRef]
5. Musacchi, S.; Iglesias, I.; Neri, D. Training Systems and Sustainable Orchard Management for European Pear (Pyrus communis L.) in the Mediterranean Area: A Review. Agronomy 2021, 11, 1765. [Google Scholar] [CrossRef]
6. Lordan, J.; Alegre, S.; Montserrat, R.; Asín, L. Yield and profitability of ‘Conference’ pear in five training systems in North East of Spain. Span. J. Agric. Res. 2017, 15, e0904. [Google Scholar] [CrossRef]
7. Küçüker, E.; Ağlar, E. The effect of the different training systems on yield and vegetative growth of ‘Santa Maria’ and ‘Deveci’ pear cultivars. Yyu J. Agric. Sci. 2021, 31, 870–875. [Google Scholar] [CrossRef]
8. D’abrosca, B.; Scognamiglio, M.; Corrado, L.; Chiocchio, I.; Zampella, L.; Mastrobuoni, F.; Petriccione, M. Evaluation of different training systems on ‘Annurca’ apple fruits revealed by agronomical. qualitative and NMR-based metabolomic approaches. Food Chem. 2017, 222, 18–27. [Google Scholar] [CrossRef]
9. Rufato, L.; Luz, A.R.; De Souza, D.S.; Muniz, J.; Machado, B.D.; Ferreira, A.S. Pear production in Brazil: A review. Comun. Sci. Hortic. J. 2021, 12, 1–12. [Google Scholar] [CrossRef]
10. Robinson, T.L.; Hoying, S.A.; Reginato, G.H. The Tall Spindle Planting System: Principles and Performance. Acta Hortic. 2011, 903, 571–579. [Google Scholar] [CrossRef]
11. Macedo, T.A.; Silva, P.S.; Sander, G.F.; Rossi, A.; Kretzschmar, A.A.; Petry, D.; Rufato, L.G. 213 rootstock–Alternative to apple tree cultivation in different planting areas in southern Brazil. Sci. Hortic. 2021, 286, 110219. [Google Scholar] [CrossRef]
12. Wertheim, S.J. The training of the slender spindle. Publ. Proef Stat. Fruit. 1968, 7, 37. [Google Scholar]
13. Dorigoni, A.; Micheli, F. Guyot training: A new system for producing apples and pears. Eur. Fruit Mag. 2018, 2, 18–23. [Google Scholar]
14. Musacchi, S. Bibaum®: A New Training System for Pear Orchards. Acta Hortic. 2008, 800, 763–769. [Google Scholar]
15. Milosevic, T.; Milosevic, N. Influence of cultivar and Rootstock on early growth and syllepsis in nursery tress of pear (Pyrus communis L. Rosaceae). Braz. Arch. Biol. Technol. 2011, 54, 451–456. [Google Scholar] [CrossRef]
16. Lauri, P.E. Differentiation and growth traits associated with acrotony in the apple tree (Malus× domestica. Rosaceae). Am. J. Bot. 2007, 94, 1273–1281. [Google Scholar] [PubMed]
17. Goke, A.; Serra, S.; Musacchi, S. Manipulation of Fruit Dry Matter via Seasonal Pruning and Its Relationship to d’Anjou Pear Yield and Fruit Quality. Agronomy 2020, 10, 897. [Google Scholar] [CrossRef]
18. Colaric, M.; Stampar, F.; Hudina, M. Bending affects phenolic content of William pear leaves. Acta Agric. Scand. Sect. B Soil Plant Sci. 2007, 57, 187–192. [Google Scholar] [CrossRef]
19. Sherif, H.M. Effect of Bending Date on Spurs Formation and Fruit Set of Le-Conte Pear Trees. World Rural. Observ. 2012, 4, 82–87. [Google Scholar]
20. Peel, M.C.; Finlayson, B.L.; Mcmahon, T.A. Updated world map of the Köppen-Geiger climate classification. Hydrol. Earth Syst. Sci. 2007, 4, 439–473. [Google Scholar]
21. Hoblyn, T.J.; Grubb, N.H.; Ranter, A.C.; Water, B.L. Studies in biennial bearing. J. Pomol. Hortic. Sci. 1936, 14, 39–76. [Google Scholar] [CrossRef]
22. R Core Team. R: A Language and Environment for Statistical Computing; R Foundation for Statistical Computing: Vienna, Austria, 2023; Available online: https://www.R-project.org/ (accessed on 15 December 2024).
23. Mitre, V.; Mitre, I.; Sestras, F.; Sestras, R.E. Influence of Training System on Growth and Yield of the Apple Cultivars (Malus domestica Borkh.). Bull. UASVM Hortic. 2011, 68, 103–107. [Google Scholar]
24. Kul, Y.M.; Öztürk, A.; Faizi, Z.A. Evaluation of Different Rootstocks and Cultivars on Pruning Weight in Young Pear Trees. Black Sea J. Agric. 2022, 5, 440–447. [Google Scholar]
25. Jovanović, M.; Milošević, T.; Milošević, N.; Ercişli, S.; Glišić, I.; Paunović, G.; Ilić, R. Tree growth, productivity, and fruit quality attributes of pear grown under a high-density planting system on heavy soil. Erwerbs-Obstbau 2023, 65, 25–34. [Google Scholar]
26. Ibge—Instituto Brasileiro de Geografia e Estatística. Produção Agrícola Municipal. Coordenação de Agropecuária. 2023. Available online: https://sidra.ibge.gov.br/tabela/1613 (accessed on 15 December 2024).
27. Khandaker, M.M.; Ismail, N.H.; Abdulrahman, M.D.; Yusoff, N.; Mohd, K.S.; Badaluddin, N.A.; Saifuddin, M. Effects of Branch Bending Angle on Growth and Flowering of Wax Apple (Syzygium samarangense). Plant Arch. 2020, 20, 5907–5913. [Google Scholar]
28. Pasa, M.S.; Fachinello, J.C.; Schmitz, J.D.; Souza, A.L.K.; Herter, F.G. Bearing habit and production of pears grafted onto different rootstocks. Pesqui. Agropecuária Bras. 2011, 46, 998–1005. [Google Scholar] [CrossRef]
29. Ozturk, A.; Faizi, Z.A. Growth, Yield and Quality Performance of Pear (Pyrus communis L.) cv. ‘Santa Maria’ under High Density Planting. Braz. Arch. Biol. Technol. 2023, 66, e23220414. [Google Scholar]
30. Almeida, G.K.; Fioravanço, J.C.; Marodin, G.A.B. Vegetative growth and productive performance of ’Abate Fetel’ and ’Rocha’ pear trees on quince rootstocks. Pesqui. Agropecu. Bras. 2020, 55, e01306. [Google Scholar]
31. McArtney, S.; Greene, D.; Schmidt, T.; Yuan, R. Naphthaleneacetic acid and ethephon are florigenic in the biennial apple cultivars Golden Delicious and York Imperial. HortScience 2013, 48, 742–746. [Google Scholar]
Dias AF, Baldissera S, Ramos Luz A, Ferreira AS, Machado BD, Pirolli B, de Andrade Júnior RB, Ribeiro JdC, Rufato DP, Kretzschmar AA, et al. Agronomic Performance of European Pear Cultivars in Different Training Systems in the Highland Region of Southern Brazil. Agriculture. 2025; 15(2):194. https://doi.org/10.3390/agriculture15020194
Перевод статьи «Agronomic Performance of European Pear Cultivars in Different Training Systems in the Highland Region of Southern Brazil» авторов Dias AF, Baldissera S, Ramos Luz A, Ferreira AS, Machado BD, Pirolli B, de Andrade Júnior RB, Ribeiro JdC, Rufato DP, Kretzschmar AA, et al., оригинал доступен по ссылке. Лицензия: CC BY. Изменения: переведено на русский язык
Фото: freepik








Комментарии (0)