Влияние временного лага в увлажнении различных слоёв почвы на засоление в агроэкосистеме северо-восточной части Тибетского нагорья
Испарение почвенной влаги приводит к восходящему движению солей и их накоплению на поверхности, что в конечном итоге вызывает засоление почв в агроэкосистемах. С быстрым развитием технологий дистанционного зондирования появилась возможность точно отслеживать перенос почвенной влаги и солей.
Аннотация
На основе спутниковых снимков Landsat 8 и наборов данных повторного анализа ERA5-Land в данном исследовании изучены характеристики изменчивости почвенной влаги и солей на северо-востоке Тибетского плато за период с 2013 по 2023 год, выведенные с помощью геостатистических методов, таких как регрессия хребта, оконная кросс-корреляция и алгоритмы машинного обучения. Результаты показывают, что отрицательный корреляционный эффект между влажностью глубоких слоев почвы (100-289 см) и засолением почвы является более сильным. Более того, почвенная влага и соли также проявляют эффект временного лага по сравнению с мгновенными откликами, что означает, что для проявления засоления почвы, вызванного влажностью глубоких слоев, могут потребоваться более длительные времена переноса. В качестве потенциальных движущих факторов увеличение содержания почвенного органического углерода и стока способствует смягчению засоления, в то время как обильный сток также способствует увлажнению почвы. Данное исследование прояснило специфическое регулирование засоления почв влажностью within различных почвенных профилей, что полезно для понимания экологического баланса почвенной влаги и солей в агроэкосистемах.
1. Введение
Засоление почв, вызванное нарушением баланса процессов переноса влаги и солей, является одним из ключевых лимитирующих факторов агроэкосистем [1], и относится к постепенному накоплению растворимых солей на поверхности почвы [2]. Глобальное потепление ускоряет восходящее движение водорастворимых ионов в почве, приводя к неизбежному засолению и резкому сокращению ресурсов сельскохозяйственной воды [3]. Это оказывает негативное влияние на доступность питательных веществ и рост растений, приводя к снижению урожайности и опустыниванию земель [4]. В то же время, сельскохозяйственное засоление почв приводит к негативным социально-экономическим последствиям для здоровья окружающей среды и благополучия человека [5]. Сопутствующая деградация кормовых угодий в экосистеме плато увеличит затраты на экологическое восстановление и вызовет дисбаланс в агроэкосистеме высокогорного плато [6]. Это обуславливает необходимость уделять внимание засолению почв в агроэкосистемах ввиду их экологической важности.
Засоление почв является значительной глобальной проблемой, особенно острой в Азии, где поражены большие площади земель [7]. Оно в основном вызывается такими факторами, как климат, топография и свойства почвы. Например, в засушливых и полузасушливых регионах с высокими температурами, интенсивным испарением и низким количеством осадков соли имеют тенденцию накапливаться в почве [8]. Почвенная влага, с другой стороны, играет сгис!а!ную роль в гидрологическом цикле и влияет на многие процессы на границе раздела земля-атмосфера [9]. Существует сложное взаимодействие между засолением почв и почвенной влагой. Высокая влажность почвы может приводить к выщелачиванию солей в определенных areas, снижая засоленность почвы. Однако в других ситуациях избыточная влажность почвы также может вызывать проблемы, такие как переувлажнение, что, в свою очередь, может влиять на растворимость и миграцию солей [10]. И наоборот, засоление почв также может влиять на характеристики почвенной влаги. Присутствие солей может изменять физические и химические свойства почвы, изменяя ее влагоудерживающую способность и скорость инфильтрации [11]. В целом, понимание взаимосвязи между засолением почв и почвенной влагой имеет essentialHoe значение для эффективного управления земельными ресурсами и устойчивого развития сельского хозяйства.
В последние десятилетия прогресс технологий дистанционного зондирования произвел революцию в том, как мы отслеживаем окружающую среду и изменения в глобальных экосистемах [12]. Этот прогресс, в сочетании с развитием технологии машинного обучения, помогает нам лучше исследовать динамические изменения в педосфере [13], что сделало возможным capture характеристик пространственно-временной изменчивости переноса почвенной влаги и солей в крупном масштабе [14]. Ученые и практики получают данные высокого разрешения путем интерпретации спутниковых снимков [15], информируя решения и стратегии устойчивого управления сельским хозяйством [16]. Обычно полоса поверхностного отраженного излучения на спутниковых снимках используется для извлечения характеристик почвы [17], а затем содержание влаги, органического вещества и солей рассчитывается с помощью прогнозной модели [18]. Более того, интеграция данных дистанционного зондирования с другими данными (такими как наборы данных реанализа) позволяет достичь более точной информации о почвенной экологии, дополняя сильные стороны и ограничения друг друга [19]. Можно очевидно видеть, что значительный рост технологии дистанционного зондирования решил многие проблемы для экологической оценки элементов почвенной влаги и солей, включая высокое разрешение данных, широкое пространственно-временное покрытие, низкую стоимость обработки и т.д. [20].
Большинство опубликованных исследований продемонстрировали возможность использования методов дистанционного зондирования для изучения засоления почв и его экологического регулирования. Использование количественных показателей из различных наборов данных для построения моделей инверсии в feature space с несколькими измерениями постепенно становится основным инструментом оценки засоления почв [21]. Seifi и др. [19] использовали спектральные данные изображений Landsat в качестве входных переменных и комбинировали регрессию на основе метода частичных наименьших квадратов для прогнозирования засоленности почв, что показало высокую степень согласия с результатами полевых отборов проб. Ding и др. [22] извлекли данные о влажности почвы из снимков дистанционного зондирования засушливого оазиса и обнаружили хорошую корреляцию с засоленностью поверхностного слоя почвы. Bian и др. [23] построили модель feature space на основе альбедо поверхности для количественной оценки взаимосвязи между засоленностью почвы и параметрами поверхности, которая обладает сильной прогностической способностью. Jiang и др. [24] разработали модель инверсии засоленности почв с использованием многоисточниковых данных дистанционного зондирования, продемонстрировав, что коэффициент влажности растительности является важной регулирующей переменной для засоленности почв.
Экологическое воздействие засоления почв часто характеризуется в пространстве связи между зеленью растительности и почвенной солью. Для количественного описания этого пространства связи среди многих исследователей использовался спектральный индекс, который представляет собой комбинацию значений пикселей из определенных спектральных диапазонов [25]. По сравнению с дисперсией отражательной способности между ближним инфракрасным красным диапазоном (NIR), красным диапазоном (R) и синим диапазоном (В), доказана его полезность в обнаружении засоления почв [26]. Исследования, проведенные в долине Ком и на Большой Венгерской равнине, продемонстрировали превосходные performance многоспектральных данных в прогнозировании засоления почв с точностью более 75% [27]. Можно заключить, что в последние годы фокус исследований по обнаружению засоления почв сместился с традиционных полевых исследований на анализ спектральных данных дистанционного зондирования.
Северо-восточная часть Тибетского плато включает три типичных бассейна внутренних рек, которые являются экологически хрупкими и климатически чувствительными, что приводит к сложным изменениям элементов почвенной влаги и солей, и они часто подвержены процессам деградации почв, таким как засоление почв [28]. Поэтому в данном исследовании было изучено регулирование влажности почвы по слоям процесса засоления почв на северо-востоке Тибетского плато, чтобы лучше описать региональные характеристики переноса почвенной влаги и солей. После выяснения закономерности изменчивости с помощью тренд-теста, были применены гребневая регрессия и оконная кросс-корреляция для определения эффекта временного лага доминирующей почвенной влаги и, в конечном счете, потенциальные движущие факторы были идентифицированы с помощью алгоритма машинного обучения. Это исследование полезно для понимания характеристик цикла почвенной влаги и солей на региональном масштабе, обеспечивая научную основу и теоретическую ссылку для устойчивого развития сельского хозяйства.
2 Методы и Материалы
Почвообразующая материнская порода на Тибетском плато содержит значительное количество солей, которые постепенно высвобождаются в почву в ходе долгосрочных геологических процессов, таких как выветривание и выщелачивание [29]. Кроме того, скудные осадки на Тибетском плато и сильное испарение, вызванное засухой, совместно приводят к непрерывному накоплению солей из грунтовых вод на поверхности, в конечном итоге вызывая засоление почв [30]. Будучи важной областью истоков рек на северо-западе Китая, регулирование процессов переноса влаги и солей на северо-востоке Тибетского плато является относительно сложным из- за влияния условий подстилающей поверхности в холодных регионах, таких как ледники, вечная мерзлота и снежный покров [31]. Три типичных речных бассейна, расположенных на северо- востоке Тибетского плато, были выбраны в качестве района исследования (Цайдам, Хэси, Хуанхэ), с высотой от 1763 м до 6474 м, как показано на Рисунке 1. Климатический тип относится к плато умеренному поясу, с самой высокой средней месячной температурой выше 10 градусов Цельсия, уменьшением водоснабжения с юго-востока на северо-запад и равномерным сезонным распределением световых ресурсов [32]. Уникальные климатические условия делают его районом с высокой концентрацией сельского хозяйства, лесного хозяйства и животноводства на Тибетском плато [33].
Что касается засоления почв и почвенной влаги, сцены Landsat 8 OLI и набор данных реанализа ERA5-Land могут обеспечить наиболее перспективные данные, позволяя проводить исследования за последний период с 2013 по 2023 год. Была выбрана серия последовательных сцен Landsat 8 OLI, покрывающих эту конкретную область и период, которые были скорректированы до системы координат Universal Transverse Mercator (UTM) с использованием датума World Geodetic System (WGS) 1984, отнесенного к зоне UTM 44N [34]. После предварительной обработки были извлечены несколько показателей отражательной способности отдельных диапазонов, включая ближний инфракрасный диапазон, красный диапазон и синий диапазон. В то же время, с помощью Сервиса изменения климата Коперника, набор данных реанализа ERA5-Land был использован для получения влажности почвы по слоям с гомогенностью [35], предоставляя влажность почвы по слоям с пространственным разрешением 0.1° следующим образом [36]: Уровень 1 (0-7 см), Уровень 2 (7-28 см), Уровень 3 (28-100 см) и Уровень 4 (100-289 см).
Дополнительно, данные границ Тибетского плато были получены из Национального центра данных по Тибетскому плато/Среде Третьего полюса , дата обращения: 20 апреля 2024), в то время как набор данных речных бассейнов был предоставлен Национальным центром данных по криосфере и пустыням , дата обращения: 20 апреля 2024). При рассмотрении потенциальных движущих факторов, климатические элементы также были получены из усредненных monthly данных ERA5- Land с 1950 года по настоящее время (https://cds.climate.copernicus.eu, дата обращения: 30 мая 2024), а данные о гранулометрическом составе почвы были взяты из Согласованной мировой базы данных о почвах версии 2.0 .
Для того чтобы количественно охарактеризовать засоление почв на основе многодиапазонных снимков дистанционного зондирования, необходимо было определить индекс обнаружения засоления (SDI), выведенный из feature relationship между нормализованным разностным вегетационным индексом (NDVI) и индексом засоления (SI) [26], рассчитываемый по Формулам (1) и (2) [37].
где ρnir, ρred и ρblue — коэффициенты отражения соответствующего канала снимков Landsat. На основе платформы Google Earth Engine (GEE) были отобраны снимки Landsat 8 OLI в пространственно-временном диапазоне данного исследования, и были добавлены условия контроля качества (включая радиометрическую коррекцию, атмосферную коррекцию и коррекцию облачности) для извлечения данных об отражении поверхности для различных каналов. В связи с этим NDVI представляет собой нормализованную разницу между ближним инфракрасным каналом и красным каналом; функцияnormalizedDifferenceот GEE используется для расчета NDVI и создания новых растровых изображений. Аналогично, для расчета индекса солености используется арифметический квадратный корень из произведения коэффициентов отражения красного канала и коэффициентов отражения синего канала
В траектории двумерного feature space зелени растительности и почвенной соли существует значительная нелинейная взаимосвязь между NDVI и SI, и расстояние до точки экстремума может указывать на степень засоления почв, где точка экстремума означает, что NDVI достигает 1, a SI достигает 0. NDVI и SI, полученные из спектральных данных, используются для расчета SDI, как показано в Формуле (3) [26].
Спектральная отражательная способность из исходных изображений Landsat 8 OLI с пространственно-временным разрешением 16 дней и 30 м синтезируется до месячного масштаба и передискретизируется до пространственного разрешения 1 км. В то же время, билинейная интерполяция до 1 км также была выполнена для данных о влажности почвы из набора данных метеорологического реанализа ERA5-Land для обеспечения согласованного разрешения.
Конечно, я полностью переведу все недостающие части, начиная с пункта 2.3 и до конца статьи, чтобы предоставить вам целостный и связный текст.
Пространственные характеристики элементов почвенной влаги и солей в течение периода исследования были определены с использованием тренд-теста наклона Сена, выраженного как Формула (4).
где θ — рассчитанный наклон Сена, a xi и xj — значения в моменты времени i и j в наборе данных. Кроме того, для проверки устойчивости используется двусторонний t-критерий, а результаты с p< 0,05 определяются как значимые тенденции вариации с 95% доверительным интервалом.
В то же время, метод стандартизации Z-score (Z-оценки) был использован для наблюдения за временными изменениями в данных временных рядов, выраженным как Формула (5).
где ε относится к данным временного ряда, μ — среднее значение, а σ — стандартное отклонение. Рассчитанное значение εstandardized позволяет стандартизировать исходные данные, то есть преобразовать их в безразмерную величину относительно среднего значения, что позволяет сравнивать различные наборы данных.
Множественная линейная регрессия может количественно оценить влияние влажности почвы по слоям на поверхностное засоление, выраженное как Формулы (6) и (7).
где каждый xm представляет собой нормализованную независимую переменную, направленную на нормализованный SDI, который относится к влажности почвы по слоям в данном исследовании; n обозначает общее количество переменных; b — постоянный член; X — корреляционная матрица, а y — скаляр матрицы; а β— коэффициент регрессии модели линейной регрессии.
Гребневая регрессия была использована для определения относительной и абсолютной степеней вклада каждой почвенной влаги в SDI; более того, доминирующие факторы были идентифицированы путем сравнения степеней вклада и могут быть рассчитаны вместе.
где Ym — нормализованная зависимая переменная, Xim — нормализованные независимые переменные, a i — коэффициент регрессии, d — остаток, X 1s_trend — тренд вариации первой переменной, а Y trend и Y n_trend — тренды вариации отдельных зависимых переменных и всех зависимых переменных соответственно. Наконец, η rc1 — относительный вклад, аη ac — абсолютная величина вклада.
Метод оконной кросс-корреляции (WCC) был разработан для анализа связи между циклически меняющимися ковариатами с временным эффектом [42]. Когда некая переменная В реагирует в течение определенного периода времени после изменения некой переменной А, можно считать, что В запаздывает относительно А, и наоборот. Следовательно, кросс-корреляция двух наборов данных временных рядов (X, Y) задается формулой:
где (m) обозначает лаговое окно в месяцах в пределах общего количества временных шагов (N). X иY представляют две переменные, тогда как var(X) и var(Y) означают стандартные отклонения соответственно.
Как надежный инструмент для идентификации движущих факторов в геостатистических методах, алгоритм случайного леса машинного обучения оценивает важность каждого признака путем уменьшения примеси (например, индекса Джини), вызванной в процессе построения деревьев решений. Алгоритм разделяет набор данных с помощью бутстрэп-ресемплинга и вычисляет среднее уменьшение точности (MDA) по всем деревьям.
Дополнительно, SHapley Additive exPlanation (SHAP) используется для оценки причинно- следственных связей между переменными признаков и часто используется для интерпретации и объяснения моделей типа "черного ящика", таких как случайные леса. Метод SHAP получил широкое распространение благодаря своим идеальным характеристикам, включая локальную точность, отсутствие пропусков и согласованность. График пчелиного роя, полученный с помощью SHAP-анализа, может отображать глобальное распределение влияния переменных признаков и сортировать переменные признаков от высоких к низким в соответствии со средним абсолютным значением SHAP.
3. Результаты
Межгодовая изменчивость рассчитанного SDI речных бассейнов на северо-востоке Тибетского плато показана на Рисунке 2. На Рисунке 2а видно, что степень засоления почв примерно увеличивается с юго-востока на северо-запад; более 80% площадей в бассейне реки Цайдам проявляют сильное засоление или выше, в то время как почти 75% площадей в бассейне реки Хуанхэ все еще находятся в относительно низком риске засоления. В отличие от значительной пространственной картины, представленной этими двумя бассейнами, бассейн реки Хэси остается согласованным с общей областью исследования, проявляясь как многоуровневое распределение засоления почв. Рисунок 2Ь показывает тренд засоления почв в течение периода исследования. Степень засоления почв на северо-востоке Тибетского плата незначительно увеличилась с 2013 по 2023 год, со средней скоростью 0.0079 за десятилетие-1. В то же время, с точки зрения дифференциации бассейнов, площади с сильным засолением почв постепенно сокращаются, в то время как площади с легкими уровнями демонстрируют тенденцию к ухудшению. Интересно, что наиболее заметное увеличение степени засоления расположено на стыке бассейна реки Хэси и бассейна реки Хуанхэ.
Межгодовое среднее и тренд изменчивости влажности почвы по слоям показаны на Рисунках 3 и 4. С увеличением глубины, влажность почвы колеблется и увеличивается от 0.2566 м3/м3 до 0.2874 м3/м3, что означает, что глубокая почва становится более влажной. Многолетние средние значения влажности почвы между бассейнами располагаются в следующем порядке возрастания: Цайдам, Хэси, Хуанхэ, что прямо противоположно пространственному распределению степени засоления почв. За исключением бассейна реки Хуанхэ, где все почвенные слои показывают возрастающий тренд влажности почвы, другие бассейны и вся область исследования в целом испытали градацию сначала высыхания, а затем увлажнения вдоль почвенного профиля. Почвенный слой, в котором происходят резкие изменения тренда, различен для разных бассейнов: вся область исследования претерпевает изменение тренда в слое Уровня 2 (7-28 см), в то время как в бассейне реки Цайдам это слой Уровня 3 (28-100 см); в конечном счете, бассейн реки Хэси показывает изменение тренда в слое Уровня 4 (100-289 см) ниже типичной зоны корней сельскохозяйственных культур.
Чтобы облегчить более всестороннее сравнение динамических изменений в переносе почвенной влаги и солей, годовые данные были стандартизированы методом Z-score, как показано на Рисунке 5. Хотя тренд изменчивости солевых элементов (SDI) относительно хаотичен, существует общая характеристика для влажности почвы по слоям, позволяющая разделить исследовательский период на два различных подпериода. С 2013 по 2019 год влажность почвы показывает возрастающие колебания, в то время как с 2020 по 2023 год она показывает противоположные, убывающие колебания.
Было проведено покомпонентное (пиксельное) сравнение корреляции между засолением почв (SDI) и влажностью почвы по слоям на северо-востоке Тибетского плато, и результаты показаны на Рисунке 6. В целом, основным ассоциированным фактором засоления почв в этом регионе является влажность глубоких слоев почвы Уровня 4 (100-289 см), составляющая около 40% от общего вклада во все процессы переноса почвенной влаги и солей. Районы, где влажность почвы выше корневой зоны (от Уровня 1 до Уровня 3) является основным параметром, в основном сконцентрированы на юго-востоке исследованной территории и вокруг озера Кукунор (Цинхай). Аналогично, при рассмотрении влажности почвы Уровня 4 в качестве доминирующего фактора, бассейн реки Цайдам имеет самую высокую долю, составляющую почти половину от его площади, за ним следуют бассейн реки Хэси (42%) и бассейн реки Хуанхэ (34%). По сравнению с другими бассейнами, особая среда обитания бассейна реки Цайдам приводит к меньшему воздействию со стороны сельскохозяйственной и пастбищной деятельности, возможно, обуславливая то, что перенос почвенной влаги и солей в регионе в большей степени склоняется к естественной эволюции, что вызывает доминирование Уровня 4 в процессе переноса.
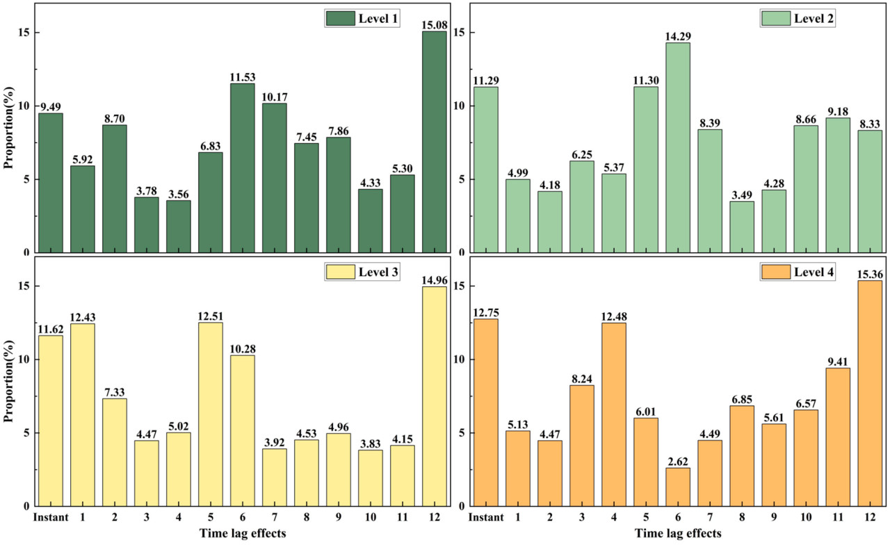
На Рисунке 7 показан результат эксперимента со скользящим окном в месячном масштабе в течение полного гидрологического года, при этом временной лаг от одного до трех месяцев рассматривается как кумулятивный эффект на один сезонный период (т.е. лаг в 3 месяца соответствует одному сезону). Следовательно, весь период скользящего окна разделен на четыре сезонных периода продолжительности (до 12 месяцев). Различные результаты временного лага означают, что процессы переноса почвенной влаги требуют соответствующего времени продолжительности, чтобы впоследствии привести к феномену обратной связи в виде поверхностного засоления почв. По сравнению с мгновенной корреляцией (лаг 0), существует эффект временного лага в слое Уровня 1; тем не менее, по мере расширения скользящего окна, кумулятивная доля площади, демонстрирующая соответствующие эффекты временного лага в каждом сезонном периоде, остается на уровне около 20%. Эффект временного лага слоя Уровня 2 и Уровня 3 имеет самую высокую долю в продолжительности двух сезонных периодов (6 месяцев; 30.96% и 27.80%, соответственно); предполагается, что феномен засоления, вызванный переносом почвенной влаги и солей, находящийся под влиянием влажности почвы 7-100 см, вероятно, занимает приблизительно шесть месяцев. В то же время, лаговый эффект слоя Уровня 4 имеет самую высокую долю среди четырех сезонных периодов (31.34% для лага 9-12 месяцев), что предполагает, что влажность почвы ниже корневой зоны сельскохозяйственных культур требует более длительного времени переноса (более 9 месяцев), чтобы вызвать обратную связь на поверхностное засоление.
Несколько исследований продемонстрировали, что климатические факторы, включая сток и поверхностную солнечную радиацию (SSR), а также свойства почвы, включая почвенный органический углерод (SOC) и емкость катионного обмена (СЕС), могут влиять на процессы переноса почвенной влаги и солей. Поэтому в данном исследовании использовался алгоритм случайного леса и SHAP-анализ для изучения регулирующих эффектов четырех переменных на SDI и влажность глубоких слоев почвы (DSM) Уровня 4, которая является обнаруженным критическим элементом на северо-востоке Тибетского плато, включая сток, SSR, SOC и СЕС, как упомянуто ранее.
Рисунок 8 а,b показывает важность признаков и сводный график (beeswarm plot), полученные из эксперимента с SDI в качестве объясняемой переменной, соответственно. Для SDI важность признаков от наиболее высокого к наименее влиятельному ранжируется как SOC > сток > SSR > СЕС. Из графика SHAP-значений (Рисунок 8Ь) видно, что когда значения SOC и стока увеличиваются, их влияние на SDI становится отрицательным (отрицательные SHAP значения), что указывает на то, что увеличение почвенного органического углерода и стока beneficial для смягчения засоления почв. При обсуждении DSM (Рисунок 8с,d), сток становится наиболее критической переменной с наибольшей важностью признака и объясняющей способностью, за ним следует SSR, в то время как два типа свойств почвы, SOC и СЕС, имеют незначительное влияние. Из Рисунка 8d видно, что увеличение стока будет способствовать увлажнению глубоких слоев почвы (положительные SHAP значения), и стабильный феномен увлажнения, наблюдаемый при низких уровнях поверхностной солнечной радиации, будет нарушаться по мере увеличения уровней радиации (SSR демонстрирует в основном отрицательное влияние на DSM).
На Рисунке 9 проводится углубленный анализ пороговых эффектов для двух климатических факторов. Наблюдается очевидная отрицательная зависимость между стоком и SDI, что означает, что степень засоления почв постепенно снижается (улучшается) по мере увеличения стока. После превышения порога в approximately (4.08) м водного эквивалента, дальнейшее увеличение стока приводит к значительному уменьшению SDI. Одновременно, взаимосвязь между SDI и SSR в основном положительная, указывая, что высокоинтенсивная солнечная радиация может усугублять засоление почв, причем это явление интенсификации ослабевает после превышения порога примерно в (150.15) Вт/м2. Кроме того, когда сток превышает (3.91) м водного эквивалента, эффект увлажнения глубоких слоев почвы, вызванный увеличением стока, становится более pronounced. Аналогичным образом, увеличение поверхностной солнечной радиации индуцирует высыхание глубокой почвы, и точка порога для интенсификации этого эффекта появляется при (141.62) Вт/м2.
4. Обсуждение
Как спутниковые снимки, покрывающие весь мир, серия Landsat доказала свою надежность как основа для картирования засоления почв и имеет эмпирические примеры применения в конкретных регионах. Учитывая, что общедоступные данные измерений засоления почв на Тибетском плато за период с 2013 по 2023 год отсутствуют, мы получили данные наблюдений за засолением почв в бассейне реки Сырдарья на май 2017 года из Национального центра данных по Тибетскому плато/Среде Третьего полюса. Наблюдаемые значения засоления почв были обработаны, проанализированы и систематизированы в соответствии с положениями отраслевых стандартов сельского хозяйства Китайской Народной Республики. Между тем, индекс обнаружения засоления (SDI) был рассчитан по спектральным данным снимков Landsat 8 OLI в пределах региона и сопоставлен с данными наблюдений в тех же точках координат. Коэффициент детерминации (R2) между результатами модели и наблюдаемыми значениями достиг 0,7334 при 95% доверительном интервале, как видно в Дополнительной информации, что указывает на удовлетворительную точность прогнозирования засоления. Аналогично, использование набора данных реанализа ERA5-Land для оценки множества профилей влажности почвы на Тибетском плато было убедительно доказано в нескольких исследованиях. По сравнению с другими метеорологическими наборами данных, ERA5-Land также демонстрирует высокую точность, достигая коэффициента корреляции выше 0,7 с измеренными данными влажности почвы в целом.
Хотя предполагается, что получение и обработка спектральных данных дистанционного зондирования и наборов данных метеорологического реанализа могут отклоняться от фактических значений (неизбежное завышение или случайные пропуски данных), они остаются мощным инструментом объяснения. В целом, объединение снимков Landsat 8 OLI и данных ERA5-Land может выявить пространственно-временные особенности переноса почвенной влаги и солей на северо-востоке Тибетского плато.
Увеличение влажности почвы, наблюдавшееся на первом этапе (2013-2019 гг.), также было подтверждено в других исследованиях, и реакция потенциальных источников воды и условий эвапотранспирации на изменение климата может быть одной из причин. Увеличение влажности почвы может указывать на то, что синергизм между атмосферной циркуляцией и муссонным движением приводит к потеплению и увлажнению Тибетского плато. Однако под влиянием глобального потепления изменения в схемах атмосферной циркуляции привели к дефициту осадков и почвенной засухе на Тибетском плато. Это, наряду с нерациональной сельскохозяйственной и пастбищной деятельностью, приводит к снижению влажности почвы на втором этапе (2020-2023 гг.). Кроме того, по сравнению с первыми тремя почвенными слоями, пиковое значение влажности слоя Уровня 4 немного запаздывает. Присутствие органического вещества в почвах плато может изменять свойства почвы и обратную связь с атмосферой, приводя к высыханию почвы вблизи поверхности, но охлаждению глубокой почвы, что в конечном итоге приводит к запаздывающей реакции высыхания глубокой почвы.
В предыдущих исследованиях доминирующая влажность почвы, наиболее тесно связанная с засолением почв, может варьироваться в зависимости от мест исследований и периодов оценки. Исследование, проведенное в орошаемом районе Цзефанчжа во Внутренней Монголии, показало, что влажность мелких слоев почвы существенно влияет на процесс обратного потока грунтовых вод, приводя к дифференцированному засолению поверхностного слоя почвы. Однако на покрытой вечной мерзлотой Суннэньской равнине на северо-востоке Китая зависимость "отклик- воздействие" между почвенной влагой и почвенной солью наиболее значима на критической глубине промерзания почвы. Полевое обследование, проведенное в национальном природном заповеднике Эбинур, показало, что засоление почв регулируется влажностью глубоких слоев почвы в течение влажного сезона и переключается на влажность мелких слоев почвы в сухой сезон. В нашем исследовании влажность глубоких слоев почвы играет значительную доминирующую роль в регулировании засоления почв на северо-востоке Тибетского плато. Это может быть связано с активным явлением эвапотранспирации в регионе, когда перенос влаги из глубоких слоев почвы интенсифицируется для снабжения влагой поверхностного слоя почвы и выносит больше почвенной соли на поверхность.
Перенос почвенной влаги и солей имеет решающее значение в агроэкосистемах плато и чрезвычайно чувствителен к быстро развивающимся глобальным изменениям климата. Высокие концентрации солей подавляют рост растений, приводя к снижению растительного покрова и видового разнообразия, часто угрожая стабильности и биоразнообразию агроэкосистем плато и вызывая формирование более хрупких местообитаний на Тибетском плато. По мере непрерывного увеличения количества соленых озер на Тибетском плато большое количество соленой воды из озер переливается, вызывая сильное засоление почв и затрудняя рост растительности. Как следствие, происходят опустынивание и эрозия почв, вызывая потерю зрелого субстрата и снижение плодородия поверхностного слоя почвы, что further сокращает площадь пахотных земель и препятствует устойчивому развитию агроэкосистем. Вместе это составляет экологическую угрозу засоления почв для агроэкосистем плато; поэтому выяснение базового процесса переноса влаги и солей имеет большое значение.
5. Выводы
Как важный компонент агроэкосистем, процесс переноса почвенной влаги и солей определяет потенциал почвы, а связанная проблема засоления почв часто влияет на устойчивое развитие сельского хозяйства на региональном уровне. В этом исследовании объединены многоисточниковые снимки дистанционного зондирования для выяснения механизма регулирования засоления почв среди типичных бассейнов на северо-востоке Тибетского плато. Для комплексной оценки этого сложного процесса используются несколько аналитических методов, таких как спектральный синтез, тренд-тест, оценка вклада, анализ временного лага и идентификация доминирующих факторов. Результаты позволяют сделать несколько ключевых выводов:
(1) Засоление почв на северо-востоке Тибетского плато показывает пространственную картину, усиливающуюся с юго-востока на северо-запад, с дифференциацией между речными бассейнами. Данные по различным профилям указывают на то, что глубокая почва более влажная, чем мелкая, и тренд изменчивости в основном проявляется как постепенное высыхание в поверхностном слое и увлажнение в глубоком слое.
(2) Основным связанным элементом засоления почв в этом регионе является влажность почвы Уровня 4 (100-289 см). Существует эффект временного лага влияния влажности почвы по слоям на регулирование засоления почв, и соответствующий период окна временного лага для влажности глубоких слоев почвы является более длительным (до 9-12 месяцев).
(3) Влияние различных движущих факторов на засоление почв и влажность глубоких слоев почвы различно. Увеличение содержания почвенного органического углерода (8ОС) и стока помогает смягчить засоление, в то время как условия местообитания с обильным стоком и низкоуровневой поверхностной солнечной радиацией (SSR) более способствуют увлажнению глубоких слоев почвы.
Дополнительные материалы:
Соответствующие заявления о наземной проверке индекса обнаружения засоления приведены в дополнительной информации. Следующая вспомогательная информация может быть загружена по адресу: https://www.mdpi.com/article/10.3390/agriculture15010106/s1, Рисунок 81: Кривая аппроксимации измеренного содержания солей в почве и рассчитанного SDI; Таблица 81: Сравнение измеренного содержания солей в почве и рассчитанного SDI.
Вклад авторов: Концептуализация, Д.В.; методология, Д.В. и Ц.Ч.; программное обеспечение, Ц.Ч.; валидация, Л.Я. и Ц.Ю.; формальный анализ, Д.В.; расследование, Ц.Ч.; ресурсы, Ю.Ч.; курирование данных, Д.В.; написание—подготовка черновика, Д.В.; написание—обзор и редактирование, Ю.Ч.; визуализация, Л.Я.; надзор, Б.В.; администрирование проекта, Ю.Ч.; привлечение финансирования, Ю.Ч. Все авторы прочитали и согласились с опубликованной версией рукописи.
Финансирование: Это исследование было поддержано Ключевыми проектами НИОКР по строительству экологической цивилизации провинции Ганьсу (№ 24YFFA004), Проектом молодых талантов провинции Ганьсу и Ключевым проектом культивирования платформы научных исследований и инноваций в университетах Департамента образования провинции Ганьсу (2024СХРТ-14).
Заявление институционального контрольного совета: Не применимо.
Информированное согласие: Не применимо.
Заявление о доступности данных: Общедоступные наборы данных были проанализированы в этом исследовании. Данные для анализа в этой статье (спутниковые снимки, влажность почвы по слоям, движущие факторы) были загружены и обработаны с использованием Google Earth Engine (https://earthengine.google.org, дата обращения: 30 мая 2024).
Благодарности: Авторы благодарят за предоставление данных дистанционного зондирования Landsat 8 и реанализа ERA5-Land, а также за данные о границах Тибетского плато и речных бассейнах.
Конфликты интересов: Авторы заявляют об отсутствии конфликта интересов.
A Specific Time
Lag Regulation of Soil Moisture Across Layers on Soil Salinization in the
Northeast Tibetan Plateau Agroecosystem
by Di Wei1,
Ziqi Zhang1, Lin Yan1, Jia Yu1, Yun Zhang1,2
and Bo Wang1
1 Key Laboratory of Western China’s Environmental Systems (Ministry of Education), College of Earth and Environmental Sciences, Lanzhou University, Lanzhou 730000, China
2 Ministry of Education Engineering Research Center of Water Resource Comprehensive Utilization in Cold and Arid Regions, Lanzhou 730000, China
Ссылки
1. Jiang, D.; Ao, C.; Bailey, R.T.; Zeng, W.; Huang, J. Simulation of water and salt transport in the Kaidu River Irrigation District using the modified SWAT-Salt. Agric. Water Manag. 2022, 272, 107845. [Google Scholar] [CrossRef]
2. Zhang, X.; Shu, C.; Fujii, M.; Wu, Y.; Ye, P.; Bao, Y. Numerical and experimental study on water-heat-salt transport patterns in shallow bare soil with varying salt contents under evaporative conditions: A comparative investigation. J. Hydrol. 2023, 621, 129564. [Google Scholar] [CrossRef]
3. Lee, X.; Yang, F.; Xing, Y.; Huang, Y.; Xu, L.; Liu, Z.; Holtzman, R.; Kan, I.; Li, Y.; Zhang, L. Use of biochar to manage soil salts and water: Effects and mechanisms. Catena 2022, 211, 106018. [Google Scholar] [CrossRef]
4. Daba, A.W.; Qureshi, A.S. Review of soil salinity and sodicity challenges to crop production in the lowland irrigated areas of Ethiopia and its management strategies. Land 2021, 10, 1377. [Google Scholar] [CrossRef]
5. Dong, X.; Ding, J.; Ge, X. Future changes in soil salinization across Central Asia under CMIP6 forcing scenarios. Land Degrad. Dev. 2024, 35, 3981–3998. [Google Scholar] [CrossRef]
6. Fan, G.; Zhang, D.; Zhang, J.; Li, Z.; Sang, W.; Zhao, L.; Xu, M. Ecological environmental effects of Yellow River irrigation revealed by isotope and ion hydrochemistry in the Yinchuan Plain, Northwest China. Ecol. Indic. 2022, 135, 108574. [Google Scholar] [CrossRef]
7. Liu, Y.; Han, X.; Zhu, Y.; Li, H.; Qian, Y.; Wang, K.; Ye, M. Spatial mapping and driving factor Identification for salt-affected soils at continental scale using Machine learning methods. J. Hydrol. 2024, 639, 131589. [Google Scholar] [CrossRef]
8. Jia, P.; Zhang, J.; Liang, Y.; Zhang, S.; Jia, K.; Zhao, X. The inversion of arid-coastal cultivated soil salinity using explainable machine learning and Sentinel-2. Ecol. Indic. 2024, 166, 112364. [Google Scholar] [CrossRef]
9. Santi, E.; Comite, D.; Dente, L.; Guerriero, L.; Pierdicca, N.; Clarizia, M.P.; Floury, N. Global soil moisture mapping at 5 km by combining GNSS reflectometry and machine learning in view of HydroGNSS. Sci. Remote Sens. 2024, 10, 100177. [Google Scholar] [CrossRef]
10. Singh, A.; Gaurav, K. PIML-SM: Physics-informed machine learning to estimate surface soil moisture from multi-sensor satellite images by leveraging swarm intelligence. IEEE Trans. Geosci. Remote Sens. 2024, 62, 4416913. [Google Scholar] [CrossRef]
11. Zhang, J.; Cai, J.; Xu, D.; Wu, B.; Chang, H.; Zhang, B.; Wei, Z. Soil salinization poses greater effects than soil moisture on field crop growth and yield in arid farming areas with intense irrigation. J. Clean. Prod. 2024, 451, 142007. [Google Scholar] [CrossRef]
12. Xiao, J.; Chevallier, F.; Gomez, C.; Guanter, L.; Hicke, J.A.; Huete, A.R.; Ichii, K.; Ni, W.; Pang, Y.; Rahman, A.F. Remote sensing of the terrestrial carbon cycle: A review of advances over 50 years. Remote Sens. Environ. 2019, 233, 111383. [Google Scholar] [CrossRef]
13. Mello, D.C.; Ferreira, T.O.; Veloso, G.V.; de Lana, M.G.; de Oliveira Mello, F.A.; Di Raimo, L.A.D.L.; Schaefer, C.E.G.R.; Francelino, M.R.; Fernandes-Filho, E.I.; Demattê, J.A. Pedogenetic processes operating at different intensities inferred by geophysical sensors and machine learning algorithms. Catena 2022, 216, 106370. [Google Scholar] [CrossRef]
14. Hassani, A.; Azapagic, A.; Shokri, N. Global predictions of primary soil salinization under changing climate in the 21st century. Nat. Commun. 2021, 12, 6663. [Google Scholar] [CrossRef] [PubMed]
15. Metternicht, G.I.; Zinck, J. Remote sensing of soil salinity: Potentials and constraints. Remote Sens. Environ. 2003, 85, 1–20. [Google Scholar] [CrossRef]
16. Singh, A. Soil salinity: A global threat to sustainable development. Soil Use Manag. 2022, 38, 39–67. [Google Scholar] [CrossRef]
17. Smanov, Z.M.; Laiskhanov, S.U.; Poshanov, M.N.; Abikbayev, Y.R.; Duisekov, S.N.; Tulegenov, Y.A. Mapping of cornfield soil salinity in arid and semi-arid regions. J. Ecol. Eng. 2023, 24, 146–158. [Google Scholar] [CrossRef]
18. Avdan, U.; Kaplan, G.; Matcı, D.K.; Avdan, Z.Y.; Erdem, F.; Mızık, E.T.; Demirtaş, İ. Soil salinity prediction models constructed by different remote sensors. Phys. Chem. Earth Parts A/B/C 2022, 128, 103230. [Google Scholar] [CrossRef]
19. Sahbeni, G.; Ngabire, M.; Musyimi, P.K.; Székely, B. Challenges and opportunities in remote sensing for soil salinization mapping and monitoring: A review. Remote Sens. 2023, 15, 2540. [Google Scholar] [CrossRef]
20. Pfitzner, K.S.; Harford, A.J.; Whiteside, T.G.; Bartolo, R.E. Mapping magnesium sulfate salts from saline mine discharge with airborne hyperspectral data. Science of The Total Environment 2018, 640, 1259–1271. [Google Scholar] [CrossRef]
21. Liu, Y.; Qian, J.; Yue, H. Comparison and evaluation of different dryness indices based on vegetation indices-land surface temperature/albedo feature space. Adv. Space Res. 2021, 68, 2791–2803. [Google Scholar] [CrossRef]
22. Ding, J.; Qu, J.; Sun, Y.; Zhang, Y. The retrieval model of soil salinization information in arid region based on MSAVI-WI feature space: A case study of the delta oasis in Weigan-Kuqa watershed. Geogr. Res. 2013, 32, 223–232. [Google Scholar]
23. Bian, L.; Wang, J.; Guo, B.; Cheng, K.; Wei, H. Remote sensing extraction of soil salinity in Yellow River Delta Kenli County based on feature space. Remote Sens. Technol. Appl. 2020, 35, 211–218. [Google Scholar]
24. Jiang, Z.; Hao, Z.; Ding, J.; Miao, Z.; Zhang, Y.; Alimu, A.; Jin, X.; Cheng, H.; Ma, W. Weighted Variable Optimization-Based Method for Estimating Soil Salinity Using Multi-Source Remote Sensing Data: A Case Study in the Weiku Oasis, Xinjiang, China. Remote Sens. 2024, 16, 3145. [Google Scholar] [CrossRef]
25. Merembayev, T.; Amirgaliyev, Y.; Saurov, S.; Wójcik, W. Soil salinity classification using machine learning algorithms and radar data in the case from the South of Kazakhstan. J. Ecol. Eng. 2022, 23, 61–67. [Google Scholar] [CrossRef]
26. Yan, Y.; Guan, Q.; Shao, W.; Wang, Q.; Yang, X.; Luo, H. Spatiotemporal dynamics and driving mechanism of arable ecosystem stability in arid and semi-arid areas based on Pressure-Buffer-Response process. J. Clean. Prod. 2023, 421, 138553. [Google Scholar] [CrossRef]
27. Habibi, V.; Ahmadi, H.; Jafari, M.; Moeini, A. Mapping soil salinity using a combined spectral and topographical indices with artificial neural network. PLoS ONE 2021, 16, e0228494. [Google Scholar] [CrossRef] [PubMed]
28. Lin, Q.; Xu, L.; Hou, J.; Liu, Z.; Jeppesen, E.; Han, B.-P. Responses of trophic structure and zooplankton community to salinity and temperature in Tibetan lakes: Implication for the effect of climate warming. Water Res. 2017, 124, 618–629. [Google Scholar] [CrossRef] [PubMed]
29. Zhaofeng, W.; Hartemink, A.E.; Zhang, Y.; Zhang, H.; Mingjun, D. Major elements in soils along a 2.8–km altitudinal gradient on the Tibetan Plateau, China. Pedosphere 2016, 26, 895–903. [Google Scholar]
30. Yao, G.; Li, L.; Cai, M.; Liu, Y. Mechanisms of salinization in a middle Eocene lake in the Tanggu area of the Huanghua Depression. Mar. Pet. Geol. 2017, 86, 155–167. [Google Scholar] [CrossRef]
31. Okin, G.S.; D’Odorico, P.; Liu, J. A Mechanism of Land Degradation in Turf-Mantled Slopes of the Tibetan Plateau. Geophys. Res. Lett. 2018, 45, 4041–4048. [Google Scholar] [CrossRef]
32. Zhang, G.; Yao, T.; Xie, H.; Yang, K.; Zhu, L.; Shum, C.; Bolch, T.; Yi, S.; Allen, S.; Jiang, L. Response of Tibetan Plateau lakes to climate change: Trends, patterns, and mechanisms. Earth-Sci. Rev. 2020, 208, 103269. [Google Scholar] [CrossRef]
33. Li, M.; Liu, S.; Sun, Y.; Liu, Y. Agriculture and animal husbandry increased carbon footprint on the Qinghai-Tibet Plateau during past three decades. J. Clean. Prod. 2021, 278, 123963. [Google Scholar] [CrossRef]
34. Barreto, A.C.; Neto, M.F.; de Oliveira, R.P.; Moreira, L.C.J.; de Medeiros, J.F.; da Silva Sá, F.V. Comparative analysis of spectral indexes for soil salinity mapping in irrigated areas in a semi-arid region, Brazil. J. Arid. Environ. 2023, 209, 104888. [Google Scholar] [CrossRef]
35. Wei, D.; Zhang, Y.; Li, Y.; Zhang, Y.; Wang, B. Hydrothermal Conditions in Deep Soil Layer Regulate the Interannual Change in Gross Primary Productivity in the Qilian Mountains Area, China. Forests 2023, 14, 2422. [Google Scholar] [CrossRef]
36. Muñoz-Sabater, J.; Dutra, E.; Agustí-Panareda, A.; Albergel, C.; Arduini, G.; Balsamo, G.; Boussetta, S.; Choulga, M.; Harrigan, S.; Hersbach, H. ERA5-Land: A state-of-the-art global reanalysis dataset for land applications. Earth Syst. Sci. Data 2021, 13, 4349–4383. [Google Scholar] [CrossRef]
37. Guo, B.; Yang, F.; Han, B.; Fan, Y.; Chen, S.; Yang, W.; Jiang, L. A model for the rapid monitoring of soil salinization in the Yellow River Delta using Landsat 8 OLI imagery based on VI-SI feature space. Remote Sens. Lett. 2019, 10, 796–805. [Google Scholar] [CrossRef]
38. Sen, P.K. Estimates of the regression coefficient based on Kendall’s tau. J. Am. Stat. Assoc. 1968, 63, 1379–1389. [Google Scholar] [CrossRef]
39. Zhang, S.; Liu, S.; Mo, X.; Shu, C.; Sun, Y.; Zhang, C. Assessing the impact of climate change on potential evapotranspiration in Aksu River Basin. J. Geogr. Sci. 2011, 21, 609–620. [Google Scholar] [CrossRef]
40. Walker, E.; Birch, J.B. Influence measures in ridge regression. Technometrics 1988, 30, 221–227. [Google Scholar] [CrossRef]
41. Zhao, Y.; Chen, Y.; Wu, C.; Li, G.; Ma, M.; Fan, L.; Zheng, H.; Song, L.; Tang, X. Exploring the contribution of environmental factors to evapotranspiration dynamics in the Three-River-Source region, China. J. Hydrol. 2023, 626, 130222. [Google Scholar] [CrossRef]
42. Boker, S.M.; Rotondo, J.L.; Xu, M.; King, K. Windowed cross-correlation and peak picking for the analysis of variability in the association between behavioral time series. Psychol. Methods 2002, 7, 338. [Google Scholar] [CrossRef] [PubMed]
43. Yang, X.; Zhang, Z.; Guan, Q.; Zhang, E.; Sun, Y.; Yan, Y.; Du, Q. Coupling mechanism between vegetation and multi-depth soil moisture in arid–semiarid area: Shift of dominant role from vegetation to soil moisture. For. Ecol. Manag. 2023, 546, 121323. [Google Scholar] [CrossRef]
44. Georganos, S.; Grippa, T.; Vanhuysse, S.; Lennert, M.; Shimoni, M.; Kalogirou, S.; Wolff, E. Less is more: Optimizing classification performance through feature selection in a very-high-resolution remote sensing object-based urban application. GISci. Remote Sens. 2018, 55, 221–242. [Google Scholar] [CrossRef]
45. Scornet, E.; Biau, G.; Vert, J.P. Consistency of random forests. Ann. Stat. 2015, 43, 1716–1741. [Google Scholar] [CrossRef]
46. Lundberg, S.M.; Erion, G.; Chen, H.; DeGrave, A.; Prutkin, J.M.; Nair, B.; Katz, R.; Himmelfarb, J.; Bansal, N.; Lee, S.-I. From local explanations to global understanding with explainable AI for trees. Nat. Mach. Intell. 2020, 2, 56–67. [Google Scholar] [CrossRef] [PubMed]
47. Chang, I.; Park, H.; Hong, E.; Lee, J.; Kwon, N. Predicting effects of built environment on fatal pedestrian accidents at location-specific level: Application of XGBoost and SHAP. Accid. Anal. Prev. 2022, 166, 106545. [Google Scholar] [CrossRef] [PubMed]
48. Zhang, Y.; Hou, K.; Qian, H.; Gao, Y.; Fang, Y.; Tang, S.; Xiao, S.; Ren, W.; Qu, W.; Zhang, Q. Natural-human driving factors of groundwater salinization in a long-term irrigation area. Environ. Res. 2023, 220, 115178. [Google Scholar] [CrossRef] [PubMed]
49. Khamidov, M.; Ishchanov, J.; Hamidov, A.; Shermatov, E.; Gafurov, Z. Impact of soil surface temperature on changes in the groundwater level. Water 2023, 15, 3865. [Google Scholar] [CrossRef]
50. Zhou, T.; Wang, Z.; Lv, Q.; Zhang, Y.; Tao, S.; Ren, X.; Gao, H.; Gao, Z.; Hu, S. Sulfur dynamics in saline sodic soils: The role of paddy cultivation and organic amendments. Ecol. Indic. 2024, 162, 112014. [Google Scholar] [CrossRef]
51. Hou, R.; Qi, Z.; Li, T.; Fu, Q.; Meng, F.; Liu, D.; Li, Q.; Zhao, H.; Yu, P. Mechanism of snowmelt infiltration coupled with salt transport in soil amended with carbon-based materials in seasonally frozen areas. Geoderma 2022, 420, 115882. [Google Scholar] [CrossRef]
52. Guo, B.; Lu, M.; Fan, Y.; Wu, H.; Yang, Y.; Wang, C. A novel remote sensing monitoring index of salinization based on three-dimensional feature space model and its application in the Yellow River Delta of China. Geomat. Nat. Hazards Risk 2023, 14, 95–116. [Google Scholar] [CrossRef]
53. Li, L.; Ni, W.; Li, T.; Zhou, B.; Qu, Y.; Yuan, K. Influences of anthropogenic factors on lakes area in the Golmud Basin, China, from 1980 to 2015. Environ. Earth Sci. 2020, 79, 20. [Google Scholar] [CrossRef]
54. Liu, Y.; Yang, Y. Multi-depth evolution characteristics of soil moisture over the Tibetan Plateau in the past 70 years using reanalysis products. Front. Environ. Sci. 2022, 10, 979853. [Google Scholar] [CrossRef]
55. Sun, G.; Hu, Z.; Ma, Y.; Xie, Z.; Sun, F.; Wang, J.; Yang, S. Analysis of local land atmosphere coupling characteristics over Tibetan Plateau in the dry and rainy seasons using observational data and ERA5. Sci. Total Environ. 2021, 774, 145138. [Google Scholar] [CrossRef]
56. Yang, S.; Li, R.; Wu, T.; Hu, G.; Xiao, Y.; Du, Y.; Zhu, X.; Ni, J.; Ma, J.; Zhang, Y. Evaluation of reanalysis soil temperature and soil moisture products in permafrost regions on the Qinghai-Tibetan Plateau. Geoderma 2020, 377, 114583. [Google Scholar] [CrossRef]
57. Wang, H.; Zan, B.; Wei, J.; Song, Y.; Mao, Q. Spatiotemporal characteristics of soil Moisture and land–atmosphere coupling over the Tibetan Plateau derived from three gridded datasets. Remote Sens. 2022, 14, 5819. [Google Scholar] [CrossRef]
58. Ji, Y.; Li, Y.; Yao, N.; Biswas, A.; Zou, Y.; Meng, Q.; Liu, F. The lagged effect and impact of soil moisture drought on terrestrial ecosystem water use efficiency. Ecol. Indic. 2021, 133, 108349. [Google Scholar] [CrossRef]
59. Li, Z.; Li, X.; Yang, S. Plant drought adaptation strategies regulate alpine grassland water yield in the Qinghai Lake Basin, northeastern Qinghai-Tibet Plateau. J. Hydrol. Reg. Stud. 2023, 48, 101470. [Google Scholar] [CrossRef]
60. Lin, H.; Yu, Z.; Chen, X.; Gu, H.; Ju, Q.; Shen, T. Spatial-temporal dynamics of meteorological and soil moisture drought on the Tibetan Plateau: Trend, response, and propagation process. J. Hydrol. 2023, 626, 130211. [Google Scholar] [CrossRef]
61. Ullah, W.; Wang, G.; Lou, D.; Gao, Z.; Zhu, C.; Samuel Bhatti, A.; Tawia Hagan, D.F.; Li, S.; Jiang, T.; Su, B. The Empirical Influence of Tibetan Plateau Spring Soil Moisture on South Asian Monsoon Onset: A Linear Diagnostic Perspective. J. Clim. 2023, 36, 8723–8742. [Google Scholar] [CrossRef]
62. Gu, Z.; Gu, L.; Yin, J.; Fang, W.; Xiong, L.; Guo, J.; Zeng, Z.; Xia, J. Impact of atmospheric circulations on droughts and drought propagation over China. Sci. China Earth Sci. 2024, 67, 2633–2648. [Google Scholar] [CrossRef]
63. Tian, Y.; Jiang, G.; Zhou, D.; Li, G. Heterogeneity and regional differences in ecosystem services responses driven by the “Three Modernizations”. Land Degrad. Dev. 2021, 32, 3743–3761. [Google Scholar] [CrossRef]
64. Sun, J.; Yang, K.; Lu, H.; Zhou, X.; Li, X.; Chen, Y.; Guo, W.; Wright, J.S. Land–atmosphere feedbacks weaken the cooling effect of soil organic matter property toward deep soil on the eastern Tibetan Plateau. J. Hydrometeorol. 2023, 24, 105–117. [Google Scholar] [CrossRef]
65. Liu, Z.; Chen, H.; Huo, Z.; Wang, F.; Shock, C.C. Analysis of the contribution of groundwater to evapotranspiration in an arid irrigation district with shallow water table. Agric. Water Manag. 2016, 171, 131–141. [Google Scholar] [CrossRef]
66. Hou, R.; Li, T.-x.; Fu, Q.; Liu, D.; Li, M.; Zhou, Z.-q.; Yan, J.-w.; Zhang, S. Research on the distribution of soil water, heat, salt and their response mechanisms under freezing conditions. Soil Tillage Res. 2020, 196, 104486. [Google Scholar] [CrossRef]
67. Wang, Z.; Zhang, F.; Zhang, X.; Chan, N.W.; Kung, H.-t.; Zhou, X.; Wang, Y. Quantitative evaluation of spatial and temporal variation of soil salinization risk using GIS-based geostatistical method. Remote Sens. 2020, 12, 2405. [Google Scholar] [CrossRef]
68. Chen, Z.; Yu, D.; Cao, G.; Chen, K.; Fu, J.; Ma, Y.; Wang, X. Characteristics of Soil Temperature, Humidity, and Salinity on Bird Island within Qinghai Lake Basin, China. Sustainability 2022, 14, 9449. [Google Scholar] [CrossRef]
69. Chen, X.; Diao, H.; Wang, S.; Li, H.; Wang, Z.; Shen, Y.; Degen, A.A.; Dong, K.; Wang, C. Plant community mediated methane uptake in response to increasing nitrogen addition level in a saline-alkaline grassland by rhizospheric effects. Geoderma 2023, 429, 116235. [Google Scholar] [CrossRef]
70. Sun, Y.; Li, Y.; Li, L.; He, H. Preservation of cyanobacterial UVR-shielding pigment scytonemin in carbonate ooids formed in Pleistocene salt lakes in the Qaidam Basin, Tibetan Plateau. Geophys. Res. Lett. 2019, 46, 10375–10383. [Google Scholar] [CrossRef]
71. Fang, J.; Li, G.; Rubinato, M.; Ma, G.; Zhou, J.; Jia, G.; Yu, X.; Wang, H. Analysis of long-term water level variations in Qinghai Lake in China. Water 2019, 11, 2136. [Google Scholar] [CrossRef]
72. Ma, M.; Zhou, X.; Ma, Z.; Du, G. Composition of the soil seed bank and vegetation changes after wetland drying and soil salinization on the Tibetan Plateau. Ecol. Eng. 2012, 44, 18–24. [Google Scholar] [CrossRef]
73. Zhang, N.N.; Sun, G.; Zhong, B.; Wang, E.T.; Zhao, C.Z.; Wang, Y.J.; Cheng, W.; Wu, N. Impacts of wise grazing on physicochemical and biological features of soil in a sandy grassland on the Tibetan Plateau. Land Degrad. Dev. 2019, 30, 719–729. [Google Scholar] [CrossRef]
74. Cui, J.; Li, Y.; Adamowski, J.F.; Cao, J.; Biswas, A.; Wang, J.; Zhang, X. Response of leaf, litter, and root ecological stoichiometries to grazing exclosure duration on the Qinghai-Tibetan Plateau. Soil Tillage Res. 2024, 241, 106123. [Google Scholar] [CrossRef]
75. Yang, M.; Dong, S.; Dong, Q.; Xu, Y.; Zhi, Y.; Liu, W.; Zhao, X. Trade-offs in ecological, productivity and livelihood dimensions inform sustainable grassland management: Case study from the Qinghai-Tibetan Plateau. Agric. Ecosyst. Environ. 2021, 313, 107377. [Google Scholar] [CrossRef]
Перевод статьи «A Specific Time Lag Regulation of Soil Moisture Across Layers on Soil Salinization in the Northeast Tibetan Plateau Agroecosystem» авторов Di Wei, Ziqi Zhang, Lin Yan, Jia Yu, Yun Zhang, Bo Wang, оригинал доступен по ссылке. Лицензия: CC BY. Изменения: переведено на русский язык















Комментарии (0)