Готовность сообщества к участию в экспериментальных агропроектах Agro Living Lab: факторы, влияющие на вовлеченность молодых городских жителей
Цель данного исследования — проанализировать факторы, определяющие готовность молодых жителей городов к активному участию в агропромышленной лаборатории (Agro Living Lab (ALL (АЛЛ)), способствуя тем самым созданию устойчивых и жизнестойких городских систем. Исследование основано на обзоре литературы и опросе студентов избранных университетов Кракова.
Аннотация
С помощью факторного анализа и регрессионных деревьев были определены профили лиц, в наибольшей степени склонных к участию в проектах ALL (АЛЛ). Анализ включал широкий спектр переменных, таких как образование, близость к сельскому хозяйству, восприятие городского сельского хозяйства и различные социально-демографические характеристики. Результаты показывают, что готовность к участию в проектах ALL тесно связана с областью обучения респондентов, их интересами и личным опытом. Более того, участники с позитивным отношением к городскому сельскому хозяйству и личными связями с фермерами чаще выражали готовность участвовать в ALL. Эти результаты дают новое представление о социальных условиях, влияющих на участие в ALL, и предлагают ценные ориентиры для разработки стратегий по продвижению активного вовлечения городского населения в инициативы в области устойчивого производства продуктов питания.
1. Введение
Концепция устойчивого городского развития привлекает все больше внимания, особенно с учетом изменения климата и динамического давления, связанного с расширением городов [1,2]. Уроки пандемии COVID-19 и политической напряженности, включая конфликт на Украине, способствовали выявлению проблемы продовольственной безопасности и устойчивости городских территорий в целом [3,4]. Кризисы стимулировали возрождение — или, по крайней мере, популяризацию — городского сельского хозяйства (ГА) [5,6,7,8]. Это привело к увеличению числа городских проектов и исследовательских попыток, посвященных обсуждению ГА. Эта концепция стала актуальной для будущего устойчивых и устойчивых городов [9,10].
Городское сельское хозяйство все чаще признается ключевым фактором городской сплоченности и устойчивости. Однако ученые предполагают, что его полный потенциал может быть реализован только при общественном принятии и активном участии местных сообществ [11,12,13]. Городское сельское хозяйство с его инновационными реализациями, такими как вертикальные фермы, интегрированное в здания сельское хозяйство и гидропонные системы, основано на новаторских технологических и организационных подходах, которые укрепляют городскую продовольственную безопасность [14,15]. Такие инициативы, как общественные и школьные сады, рекреационные фермы и социальное сельское хозяйство, повышают качество жизни, способствуя взаимодействию с природой и вовлекая местные сообщества в формирование своей среды. Инициативы в области городского сельского хозяйства способствуют росту разнообразия экосистемных услуг, что приводит к улучшению качества воздуха, управлению дождевой водой и увеличению биоразнообразия. Кроме того, некоторые из них укрепляют социальные связи и способствуют экологическому образованию [15,16,17,18,19].
В последнее время ученые подчеркивают, что инновационные концепции, такие как живые лаборатории, могут служить ключевыми катализаторами для инициатив городского сельского хозяйства (UA) [20,21]. Живые лаборатории (LL) определяются как «ориентированные на пользователя, открытые инновационные экосистемы, основанные на систематическом подходе совместного создания пользователей, интегрирующие исследовательские и инновационные процессы в реальные сообщества и условия» [14]. Живые лаборатории — это пространства, продвигаемые и поддерживаемые государственным финансированием, включая фонды Европейского Союза, где местные жители, исследователи, предприниматели и лица, принимающие решения, сотрудничают в экспериментах, проектировании и тестировании решений в реальном городском контексте [22]. Подход LL способствует эффективным городским стратегиям, которые выходят за рамки теоретических рамок и адаптируются к конкретным потребностям местных сообществ.
Польша, как и другие страны Европейского Союза, наблюдает возросший интерес к инициативам, которые вовлекают местные сообщества в совместное создание городов будущего [20,23]. Это привело к растущей значимости LL как платформ для совместных инноваций и сотрудничества [22]. Тем не менее, концепция агропромышленных лабораторий (ALL) как инновационных пространств, вовлекающих различные группы заинтересованных сторон в совместное создание и тестирование инноваций в сельском хозяйстве и устойчивых продовольственных системах, особенно в городском контексте, только начинает укрепляться [24,25,26]. Хотя ALL был охарактеризован в литературе, лишь немногие исследования изучали его узнаваемость, понимание его предыстории, факторов, влияющих на участие, и восприятие в местных сообществах [23]. Хотя повышение гражданской активности и содействие принятию усилий в проектах ALL остается серьезной проблемой [26,27], эти цели имеют решающее значение для их успеха [28,29,30].
Несколько исследований показали, что не все проекты ALL достигают своих целей из-за низкой гражданской активности [14]. В своем анализе продовольственной политики в 33 городах мира Соннино и др. [18] отметили, что менее половины этих городов формально вовлекали «обычных» жителей в процессы управления. Это подчеркивает необходимость повышения осведомленности о важности участия общественности в развитии городских продовольственных систем среди лиц, принимающих решения, и жителей города [11,31]. Поэтому эта статья направлена на то, чтобы охарактеризовать концепцию агропромышленных лабораторий, оценить осведомленность молодых городских жителей (студентов) о них и проанализировать факторы, влияющие на их вовлеченность в проекты ALL. Авторы ставят три исследовательских вопроса:
1) Насколько молодые городские жители (студенты) знакомы с концепцией ALL?
2) Насколько заинтересованы студенты в участииd ALL проектах?
3) Каковы характеристики студентов, наиболее склонных к участию в ALL проектах?
В статье вводится концепция ALL и исследуется их потенциальное влияние на разработку устойчивых и надежных решений для городских продовольственных систем. Далее авторы обсуждают концептуальную основу и методологию исследования. Основное внимание в статье уделяется результатам опроса, проведенного среди специально отобранной группы жителей Кракова, а именно студентов. Студенты — будущие лидеры и лица, принимающие решения, которые вскоре будут влиять на городскую политику. Они представляют собой существенное разнообразие убеждений и высокую экологическую осведомленность в сочетании с широкими интересами [14]. Учитывая, что они молоды, активны и готовы экспериментировать с новыми подходами, они могут оказаться ключевыми пользователями ALL. Понимание их мнения об ALL и их потенциального участия в совместном создании городских инициатив может существенно повлиять на будущую городскую политику [32].
Результаты позволили составить профиль молодых городских жителей, склонных к участию в ALL проектах. Этот профиль был составлен на основе анализа социально-демографических характеристик, отношений молодых жителей с сельским хозяйством, их восприятия сельского хозяйства и других значимых факторов. Затем полученные результаты были сопоставлены с результатами других анализов, что привело к ключевым выводам и рекомендациям для будущих исследований.
Эти идеи могут оказаться ценными при разработке стратегий, направленных на содействие социальной интеграции и повышение уровня активности молодого городского населения. Они также могут помочь развеять опасения и мифы, связанные с приемлемостью сельскохозяйственной деятельности в городских районах [24]. Это особенно важно в странах, где уровень принятия городского сельского хозяйства среди жителей остаётся относительно низким [11].
2. Поддержка живых лабораторий для создания устойчивых и стабильных продовольственных систем: теоретические основы
2.1. Живые лаборатории: разнообразие форматов и целей
Общая концепция живой лаборатории восходит к Чикагской школе городской социологии, которая занимается высококачественными исследованиями, характеризующимися методологической эклектичностью, сочетая этнографию с различными другими качественными и партисипативными методами [14]. Термин «живая лаборатория» был введен профессором Уильямом Митчеллом из Массачусетского технологического института в начале 2000-х годов. Он использовал его для описания исследовательской методологии, ориентированной на пользователя, для разработки решений в динамических реальных контекстах [33]. В последние годы этот подход применяется в основном в дисциплинах, связанных с компьютерными науками и новыми информационно-коммуникационными технологиями [34]. Живые лаборатории признаны прогрессивной формой продвижения инноваций и улучшения совместного планирования [35].
Основная цель живых лабораторий — создание инноваций [36]. Живые лаборатории — это наиболее распространенный подход к проектированию с привлечением пользователей, который способствует вовлечению пользователей в процесс разработки инноваций и исследований в реальных условиях [21,24,37]. Этого можно достичь, приглашая заинтересованные стороны к участию в открытом инновационном процессе и назначая им роли прямых и косвенных пользователей [24,38]. Аспект открытости основан на полной интеграции внутренних и внешних идей в процесс разработки инноваций [39].
Первоначально живые лаборатории воспринимались как исследовательская инфраструктура, например, здание, имитирующее дом, с удобствами для проживания временных жителей [33]. Со временем они постепенно стали признаваться как динамическая многосторонняя сеть, целью которой является ускорение и управление инновациями, инициированными пользователями, в реальных условиях [33]. В настоящее время живые лаборатории воспринимаются и как сети, и как части сетей. Независимо от их ориентации в сети, они всегда являются временным и пространственным ограничением реальности [34]. Эти инновационные пространства были созданы для совместного производства знаний и экспериментальных сред. Эти среды, будь то физические или виртуальные, создают социальные пространства для проектирования и восприятия будущего всех их обитателей [38]. Таким образом, живые лаборатории являются географически или институционально ограниченными пространствами, где заинтересованные стороны проводят эксперименты для социально-технических инноваций [34]. В таблице 1 представлены избранные примеры и области их применения, иллюстрирующие разнообразие форматов и целей живых лабораторий.
Практики живых лабораторий вовлекают различные типы пользователей и заинтересованных сторон, включая ученых, лиц, принимающих решения в государственном секторе, представителей частного сектора и граждан [24]. Такая конфигурация заинтересованных сторон описывается моделью «четырехсторонней спирали». Она подчеркивает растущую важность участия граждан в инновационных процессах [33]. Все заинтересованные стороны сотрудничают на местном уровне и ускоряют разработку и внедрение решений на операционном уровне [45]. В этом контексте подход живых лабораторий служит механизмом институциональных трансформационных изменений путем интеграции стратегий «сверху вниз» и «снизу вверх» для содействия устойчивому развитию [45].
Основная функция Живой Лаборатории заключается в сотрудничестве в создании, прототипировании, проверке и тестировании инноваций в реальных условиях — независимо от того, касаются ли они технологий, услуг, продуктов или систем [46]. Все полученные инициативы должны принять видение, направленное на решение проблемных ситуаций посредством процесса совместного создания [34]. Совместное создание предполагает, что новые знания и идеи генерируются с помощью методов сотрудничества людьми из разных дисциплин, работающих вместе над разработкой новых идей или концепций [38]. Этот процесс помогает приобретать новые знания, которые пока не могут быть систематизированы, но прокладывает путь для определения соответствующих проектов [47]. Он также раскрывает исследовательский аспект LL, где пространство, ориентированное на пользователя, интегрирует исследования с инновационными процессами [48], превращая пользователей из просто наблюдаемых субъектов в активных участников и соавторов ценности [33]. Таким образом, LL выступают в качестве моста между открытыми инновациями и пользовательскими инновациями в рамках модели «четырехсторонней спирали», предоставляя возможности для реализации «социально приемлемых» и эффективных проектов, «инициируемых заинтересованными сторонами» [47]. Такой подход помогает снизить затраты на инновации [33] и перемещает инновационные процессы из изолированных лабораторий ближе к обществу [49].
Центрированный на пользователе подход, используемый в методологии LL, ставит пользователей в роль носителей в инновационном процессе [24]. Цель вовлечения пользователей заключается не только в том, чтобы пользователи тестировали инновации на более продвинутых стадиях, но и в том, чтобы вовлекать их на протяжении всего процесса разработки инноваций [37]. В LL пользователи являются соавторами новых идей и инновационных концепций [38]. Применяя методы содействия, пользователи могут совместно создавать и взаимодействовать с операционной системой, оценивать потенциал и полезность предлагаемого решения и переносить опыт в другие области [45]. Подход LL позволяет гражданам (пере)строить свои отношения с окружающей средой и определить, что важно для всех, путем внедрения концепции общего достояния [34]. Живые лаборатории могут поддерживать способность местного сообщества изобретать и экспериментировать с более устойчивыми образами жизни, привлекая внимание к общим благам всех заинтересованных сторон [33].
Города должны обеспечивать продовольствием, кровом, водой и воздухом для поддержания жизни [50]. Глобальное обсуждение продовольственной безопасности по-прежнему сосредоточено на идее того, что увеличение сельского производства должно обеспечить продовольственную безопасность для населения мира, хотя просто наличие продовольствия не гарантирует безопасность [50]. Устойчивость местной продовольственной системы подчеркивается как одна из важнейших стратегических целей для устойчивого будущего [51]. Городское сельское хозяйство имеет большой потенциал для решения проблем устойчивости, снижения негативных последствий индустриального сельского хозяйства и обеспечения продовольствием городского населения [50]. Агроэкосистемные ЛЛ могут ускорить внедрение инноваций, направленных на повышение устойчивости и устойчивости сельского хозяйства и агропродовольственных систем [21].
2.2 Влияние агропромышленных лабораторий на городские системы
Agro living labs можно рассматривать как специализированную форму городских живых лабораторий, особенно если учесть их акцент на устойчивость, сложность и локальный контекст [52]. Как отмечают Макфи и др. [21], цели ALL делают особый акцент на инновациях для устойчивости агропродовольственной системы в дополнение к устойчивости. Это подчеркивает цель создания устойчивой системы с точки зрения экологии и экономики, которая выдерживает нарушения, сохраняя при этом системный баланс. Деятельность Agro living lab подчеркивает совместное создание, совместную разработку, совместное производство и итерацию. Однако они также подчеркивают необходимость качественных и количественных измерений, оценок и научных усилий. Воздействие ALL имеет отношение к более широким и локальным агроэкосистемам, в которых они функционируют [21].
Городские ALL могут играть решающую роль в построении устойчивых городских продовольственных систем, предоставляя выделенное пространство для тестирования решений, адаптированных к потребностям городских сообществ. Агропромышленные лаборатории поддерживают развитие UA, интегрируя местные заинтересованные стороны и стимулируя активное участие сообщества. Это, в свою очередь, увеличивает доступность свежих продуктов питания, снижает зависимость от внешних цепочек поставок и укрепляет продовольственную безопасность. Более того, такой подход способствует устойчивому развитию и восстановлению городских пространств. Он также отвечает растущему спросу на местные здоровые продукты питания в городах, что соответствует целям Европейской стратегии «От фермы до стола» [51].
Планирование мер по повышению устойчивости должно основываться на опыте уязвимых групп населения. Оно должно включать вклад организаций гражданского общества и включать практики, доказавшие свою эффективность в повышении устойчивости домохозяйств и сообществ [53].
ВД — это не просто выращивание продуктов питания в городе, оно тесно связано с экономическими, социальными, экологическими и физическими компонентами инфраструктуры городской среды (таблица 2) [54]. ВД также считается эффективным подходом к борьбе с изменением климата за счет сокращения выбросов парниковых газов за счет сокращения цепочек поставок продовольствия и минимизации потерь количества и качества продуктов питания из-за дальних перевозок [5]. Наиболее эффективный способ повысить продовольственную самодостаточность в городских и пригородных районах, одновременно поддерживая социальные и экологические цели, включает одновременное решение нескольких аспектов, таких как продвижение более здорового питания на основе растений, сокращение пищевых отходов и поощрение органического земледелия [55].
Городское и пригородное сельское хозяйство предлагает многочисленные преимущества, в первую очередь улучшая экологическую среду города за счет увеличения содержания органических веществ, создания рабочих мест, содействия устойчивому развитию и социализации, а также снижения производственных затрат [56]. Например, городские сады являются частью тенденции, которая отвечает социальной потребности в создании устойчивой устойчивости к экологическим проблемам в городах. Они способствуют противодействию индивидуальным биопсихосоциальным проблемам, которые в значительной степени вызваны оторванностью от природы [23]. Городское садоводство значительно обогащает культурную ткань городов по всему миру, поощряя социальное взаимодействие, просвещая сообщества в отношении окружающей среды, сохраняя культурное наследие, создавая зеленые зоны, улучшая благосостояние и способствуя экологической осведомленности [57].
Наконец, всеобщий доступ к продуктам питания (UA) способствует восстановлению и реконструкции городских пространств [58]. Агроэкологический подход подвергает сомнению многие предположения, связанные с инновационным мышлением, такие как доминирование агробизнеса, опора на абстрактные показатели, приоритетность технологий как основной формы инноваций и представление производителей продуктов питания как простых потребителей или конечных пользователей [59]. Он выступает за радикальный сдвиг, помещая коллективную роль, голос, активность и автономию производителей продуктов питания и их сообществ в центр принятия решений в управлении продовольственной системой, перспективу, которую часто упускают из виду инновационные императивы [59].
2.3 Факторы активности и вовлеченности сообщества в проекты Agro Living Lab
По мнению Макфи и соавторов [21], живые лаборатории агроэкосистем характеризуются тремя общими компонентами: (1) трансдисциплинарными подходами, (2) совместным проектированием и разработкой с участниками и (3) мониторингом, оценкой и исследованием рабочих ландшафтов.
Живые агролаборатории предоставляют платформы, позволяющие исследователям и практикам изучать и решать конкретные проблемы и возможности, повышая их эффективность в разработке устойчивых и надежных сельскохозяйственных и агропродовольственных систем [21]. Сегодня в дискурсе о преобразовании продовольственных систем в более здоровые и устойчивые часто изображаются граждане как вовлеченные личности, которые действуют вдумчиво, основываясь на общих убеждениях и понимании потребления продуктов питания и культуры [14]. Как отмечают Гамаш и др. [34], живые лаборатории могут дать местным сообществам возможность внедрять инновации и экспериментировать с более устойчивым образом жизни.
Живые лаборатории представляют различные роли, включая активаторов (инициаторов инноваций), обозревателей (поиска инновационных решений), создателей (генерирующих идеи), разработчиков (внедряющих идеи) и организаторов (обеспечения сотрудничества заинтересованных сторон) [33]. Взаимодействие пользователей в контексте живой лаборатории на ранних этапах инноваций представляет собой сложный процесс, на который влияют различные факторы, включая сами инновации, контекст взаимодействия и добровольный характер участия [37].
Живые лаборатории используют сочетание методов, чтобы понять, что люди делают в своей повседневной жизни в отношении еды, здоровья и устойчивого развития, признавая различные практики и точки зрения реальных жизненных ситуаций [14]. Поэтому понимание потребностей жителей, эффективных каналов коммуникации и методов их достижения имеют важное значение для планирования мер устойчивого городского развития [23]. Согласно подходу Живых Лабораторий (ЖЛ), основанному на модели Четырёхспиральной Спирали, городское общество играет ключевую роль в качестве центрального элемента в инновационных процессах. Эта модель включает в себя сотрудничество четырех секторов: академических кругов, бизнеса, государственного управления и общества, с акцентом на потребности и вовлеченность жителей. Подход основан на предположении, что действия, предпринимаемые академическими кругами, бизнесом и государственным управлением, должны быть направлены на общественные потребности, а также вдохновляться их вкладом [60].
Факторы вовлечения сообщества в ВСЕ проекты различаются и затрагивают множество областей (Рисунок 1). Внешние факторы, такие как государственная политика и субсидии, в сочетании с доступом к технологиям и общественной инфраструктуре, могут повысить вероятность инициирования и развития ВСЕ проектов [36,61]. Кроме того, уровень регионального развития (экономическая стабильность) и социальные и этические рамки, которые формируют отношения среди жителей, существенно влияют на их участие в ВСЕ проекты [62]. Эти факторы имеют решающее значение для трансграничных сравнений, где внешние условия могут существенно стимулировать вовлеченность сообщества во ВСЕ проекты. Принятие и готовность участвовать в проектах всеобщего доступа значительно различаются в странах с разным уровнем социально-экономического развития, например, на глобальном Севере и Юге, где городское сельское хозяйство выполняет разные функции [63].

Исследования, проведенные на сегодняшний день, показывают, что проекты, которые считаются интересными и отвечающими реальным потребностям сообщества, привлекают больше участников [64]. Прозрачность целей и четкое понимание преимуществ участия значительно повышают мотивацию жителей к активному участию [20].
Предыдущий опыт показывает, что концептуализация и реализация проектов ALL является довольно сложной задачей, отчасти из-за того, что ключевая четвертая спираль, т. е. гражданское общество, представляет собой крайне неоднородную группу субъектов [65]. Успех многих проектов зависит от правильного выбора участников. Поэтому многие исследования вовлечения граждан в гражданские проекты пришли к выводу, что индивидуальные характеристики пользователей имеют решающее значение для участия. К ним относятся определенные социально-демографические характеристики, такие как возраст, пол, доход [57,66,67], тип и уровень образования [62,68]. Социальная и физическая близость, переводящаяся в прочность связей с потенциальными пользователями ALL, является еще одним критическим фактором [69,70]. Восприятие и перспективы, включая принятие гражданских проектов, также имеют решающее значение [11,67,70,71]. Что касается проектов UA, несколько ученых также проанализировали влияние потенциально неблагоприятных внешних эффектов или даже рисков (например, потенциальных рисков для здоровья, связанных с загрязнением пищевых продуктов тяжелыми металлами и другими вредными веществами) на принятие таких проектов [72].
Недавние исследования показывают, что интересные проекты, отвечающие реальным потребностям сообщества, привлекают большое количество участников [64]. В представленной (оригинальной) модели привлекательность и качество проектов играют промежуточную роль в стимулировании вовлеченности. Отдельные субъекты, такие как университеты, компании и органы власти, должны эффективно поощрять участие жителей, чётко формулируя цели проекта и открыто подчеркивая преимущества такого участия. Такая коммуникация значительно повышает мотивацию сообщества к активному участию [20].
В заключение следует отметить, что в литературе нет однозначных данных о ключевых факторах, определяющих участие сообщества в проектах ALL. Хотя исследования различных гражданских проектов редко фокусируются именно на ALL, многие исследователи, изучающие принятие всеобщего доступа, подчёркивают важность индивидуальных характеристик. Такие факторы, как социально-демографические характеристики, степень социальной близости, образование, личные интересы и восприятие, включая принятие городских агропродовольственных систем, могут играть решающую роль в стимулировании участия сообщества в проектах ALL.
Некоторые исследователи более глубоко изучили личностные и психологические характеристики людей, влияющие на их вовлеченность во ВСЕ проекты. Среди этих подходов выделяется теория негативной предвзятости, подчеркивающая, что негативный опыт часто оказывает более сильное влияние на принятие решений, чем позитивный [73]. Еще одной важной концепцией является установка NIMBY (Not In My Back Yard), которая описывает противодействие инициативам, реализуемым в непосредственном окружении. Эти теории предполагают, что новые и незнакомые проекты, даже предлагающие общественные блага, могут сталкиваться с социальным сопротивлением из-за предполагаемых рисков и барьеров [72]. Рассмотрение этих психологических аспектов может дать более глубокое понимание механизмов, определяющих вовлеченность сообщества во ВСЕ проекты.
3. Материалы и методы
3.1 Сбор данных
Исследование проводилось с мая по ноябрь 2024 года. В течение этого периода авторы анализировали литературу и проводили опрос. Вторичные данные были собраны из публикаций, отчётов и статей, посвящённых UA и концепции LL, а первичные данные были получены в ходе опроса. Респондентами были студенты государственных университетов Кракова (Польша). Будучи молодыми, хорошо образованными и активными людьми, студенты потенциально заинтересованы в будущем городских систем и участии в ALL [14].
Анкета состояла из четырёх частей: (a) продовольственная безопасность, (b) городские и пригородные агропродовольственные системы, (c) агропромышленные лаборатории и (d) социально-экономические характеристики респондентов. Большинство из 43 вопросов были полузакрытыми. Мнения, установки и убеждения оценивались преимущественно с помощью пятибалльной шкалы Лайкерта. Два контрольных вопроса были включены для проверки внимательности респондентов во время опроса.
Опрос проводился с помощью компьютерных веб-интервью (CAWI). Анкета была разработана с использованием Google Forms (Маунтин-Вью, Калифорния, США) и распространена по электронной почте и через социальные сети (Facebook и WhatsApp). Основной опрос был проведен после пилотного опроса CAWI, в котором приняли участие 37 респондентов. Анкета была проверена и одобрена Комитетом по этике исследований человека при ректоре Сельскохозяйственного университета в Кракове. Во вступительной части анкеты объяснялась общая идея и цель опроса, а также участникам предоставлялось заверение в том, что все данные будут использоваться исключительно в исследовательских целях. Потенциальным участникам предоставлялся доступ к анкете только после получения согласия на участие. Им сообщалось о праве отказаться от участия в исследовании в любое время. В ходе опроса не собирались никакие персональные данные, такие как адреса электронной почты или другая идентифицирующая информация.
Респонденты были приглашены с помощью стратифицированной выборки «снежного кома». Первым критерием отбора было то, что респондент должен был быть студентом в Кракове. Процесс выборки был направлен на то, чтобы отразить студенческое население Кракова в различных научных областях. Команда из четырех исследователей разослала электронные письма со ссылками на анкету, приглашая группы не менее 20 студентов из пяти академических областей: социальные науки, медицинские и медицинские науки, гуманитарные науки, инженерные и технические науки, а также естественные и сельскохозяйственные науки. Респондентов попросили поделиться опросом (по электронной почте, Facebook или WhatsApp) с пятью другими студентами в Кракове, следуя методу «снежного кома». По словам Балтара и Брюне [74], выборка «снежного кома» — это простой и экономически эффективный метод, который снижает ошибку выборки и обеспечивает репрезентативную выборку.
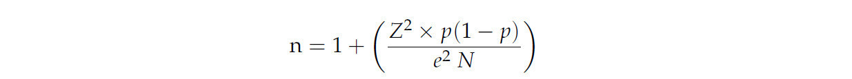
Минимальный размер выборки определялся по следующей формуле:
Где Z= 1,96 — стандартная константа, определяемая по соглашению на основе принятого уровня погрешности, e — погрешность, N — общая численность учащихся, а n — размер выборки. Отобранная выборка была достаточной для достижения 95%-ного уровня достоверности и 5%-ной погрешности при p= 0,05. Полученный минимальный размер выборки составляет 383.На первом этапе опроса было получено 518 ответов. Затем процедура была повторена, охватывая только отдельные группы студентов (медицинские и гуманитарные науки), чтобы лучше отразить структуру студенческого населения Кракова. В результате было получено 668 ответов. После анализа ответов 89 анкет были исключены из-за предполагаемых неточностей, о чём свидетельствовали контрольные вопросы, предназначенные для выявления невнимательных респондентов. Итоговая выборка была репрезентативной для общей студенческой популяции Кракова по направлениям обучения.
Несмотря на то, что выборка исследования достаточно велика и демонстрирует схожие пропорции по некоторым характеристикам, таким как пол, уровень образования и социальное происхождение, критерий хи-квадрат не выявил статистически значимого сходства между структурой выборки и общей структурой студентов в Кракове. Поэтому следует подчеркнуть, что, хотя исследование и даёт ценную информацию о готовности студентов к участию в ALL проектах, его интерпретация должна ограничиваться специфическими характеристиками исследуемой группы.
3.2. Зона обучения
Краков расположен на юге Польши. По данным Статистического управления Польши, население города составляет 806,2 тыс. человек, что делает его вторым по численности населения городом в Польше после Варшавы с плотностью населения 2467 человек на квадратный километр. Сельскохозяйственная перепись 2020 года показала, что примерно 42% площади Кракова составляют сельскохозяйственные земли. В городе насчитывается 1528 сельскохозяйственных угодий, 84% из которых имеют площадь менее пяти гектаров. Сельское хозяйство в городе все чаще вытесняется другими функциями, такими как жилье, несмотря на высокую сельскохозяйственную пригодность земли, включая очень хорошее качество почвы. Ни владельцы сельскохозяйственных земель, ни городская администрация не считают местное сельское хозяйство важной частью городской агропродовольственной системы [75]. Срока и др. [76] определили, что около 50% сельскохозяйственных земель заброшены и не используются в сельскохозяйственных целях. Кроме того, городские власти не включили механизмы защиты сельскохозяйственных земель в новые или измененные местные планы зонирования. В стратегии развития Кракова также отсутствуют цели по развитию или даже сохранению городского сельского хозяйства [76].
По-видимому, отношение производителей сельскохозяйственной продукции и усилия городских властей не совпадают с потребностями жителей, которые заявляют о своей готовности поддержать всеобщий доступ к услугам. Срока и др. [76] продемонстрировали в своем исследовании принятия всеобщего доступа, проведенном на относительно небольшой выборке, что более трех четвертей жителей были заинтересованы в покупке сельскохозяйственной продукции, произведенной в черте города, и считали, что сельское хозяйство должно стать постоянной частью городского ландшафта. Низовые инициативы по созданию садовых участков и аналогичные проекты, направленные на повышение продовольственной безопасности, набирают обороты при частичной поддержке со стороны города [77,78].
Учитывая вышеприведенные данные, Краков представляет собой весьма интересную область для исследований и может стать центром для ALL инициатив. Это также процветающий студенческий город с 18 университетами, включая Ягеллонский университет, один из старейших в Европе. По данным POL-on [79], численность студентов в Кракове в 2022 году превысила 128 тысяч человек. Таким образом, студенты составляют значительную часть населения города и формируют значительную группу заинтересованных сторон, выступая как клиентами, так и соавторами городской агропродовольственной системы.
3.3 Методы исследования и концептуальная основа
Для анализа готовности жителей к работе в лабораториях агропродовольственного проживания были применены различные статистические методы (Рисунок 2). Во-первых, авторы описали базовый профиль респондентов и концептуализировали распределение переменных с использованием описательной статистики, такой как среднее арифметическое и стандартное отклонение. Следующим аналитическим шагом была оценка надежности и размерности ответов с использованием альфа Кронбаха [80]. Адекватность выборки была проверена с помощью теста Кайзера-Майера-Олкина (KMO = 0,834), и его высокое значение предполагало высокий потенциал для разведочного факторного анализа (EFA). EFA использовался для выявления скрытых структур в исследуемых переменных и сокращения количества переменных. Количество факторов было определено с помощью теста Кэттелла-осыпи [81]. Авторы определили элементы в коррелированном кластере факторов с помощью варимаксного вращения исходных факторных нагрузок.
Критические характеристики жителей (социодемографические данные, формальное образование, социальная близость и т. д.), связанные с их склонностью участвовать в ALL проектах, были выявлены с помощью деревьев классификации и регрессии, разведочного и непараметрического метода анализа данных [82]. Такие модели особенно полезны при анализе новых областей исследований, в которых отсутствуют устоявшиеся теории и модели. Они позволяют идентифицировать ключевые переменные и формулировать предварительные гипотезы, которые помогают наметить направления дальнейших исследований. Этот подход особенно важен для анализа явлений, которые только начинают изучаться и еще не имеют четко определенных теоретических рамок [83]. В отличие от традиционных моделей регрессии, модели деревьев регрессии лучше подходят для обработки категориальных и качественных данных, устраняя необходимость преобразования. Они также налагают меньше требований на распределение предикторных и целевых переменных [83]. Более того, этот метод может четко и однозначно представлять сложные взаимосвязи между переменными [84], включая комбинированное влияние множества факторов.
Идея регрессионных деревьев заключается в разделении данных с помощью серии условий «если-то». Эти модели используют алгоритм для минимизации дисперсии и итеративного разделения данных на всё более однородные подмножества на основе критериев разделения предикторных переменных [85]. В ходе данного анализа на каждом этапе дерева были выявлены две группы респондентов, чтобы максимально увеличить различия в их заявленной готовности участвовать в ALL проектах.
Модель CART предоставляет важный результат: оценку важности предиктора. Эта оценка определяет степень вклада каждой переменной в объяснение изменчивости целевой переменной. Она рассчитывается на основе показателя улучшения, достигнутого каждой переменной, будь то в качестве основного или суррогатного разделителя в дереве решений [86]. Такой подход помогает определить переменные, оказывающие наибольшее влияние на модель, и определить, как они способствуют разделению данных.
Инструмент был подробно описан Ло и Чжэном [87], Айвсом и Кендалом [88], а также Дебской и Гузовской-Свайдер [89]. Расчеты проводились с использованием программного обеспечения STATISTICA 13 (StatSoft, Талса, Оклахома, США).
4. Готовность студентов к участию в агропромышленных лабораториях: опрос в Кракове
4.1. Профиль респондента
В этом разделе представлены ключевые характеристики выборки, которые частично сравниваются с генеральной совокупностью при наличии соответствующих данных. Характеристики и мнения респондентов образуют набор потенциальных факторов (предикторов), влияющих на готовность участвовать в ALL проектах, как выявлено в обзоре литературы (Раздел 2.3) и представлено вПриложении А.Выборка молодых жителей Кракова адекватно отражает основные характеристики генеральной совокупности. Как и предполагалось, группы различались по областям обучения (Рисунок 3).
![<b>Рисунок 3.</b>Некоторые характеристики респондентов в сравнении с общей популяцией (n = 579). Оригинальная работа, основанная на данных опроса и POL-on [<a href="https://www.mdpi.com/2077-0472/15/1/94#B79-agriculture-15-00094">79</a>].](https://storage.agriexpert.ru/storage/images/articles/5556/block/68772/model/xl/N3Eudou5ZXgC.jpg)
Примерно 42% опрошенных были зачислены на курсы по общественным наукам, что практически соответствует общей численности населения (41,4%). Инженерные и технические науки, а также естественные и сельскохозяйственные науки также были хорошо представлены в выборке (11,7% и 9,5% соответственно). Большинство студентов на момент опроса получали степень бакалавра (67,7%). Выборка точно отражала гендерное распределение и происхождение студентов: 43,7% были из сельской местности.Большинство респондентов были в возрасте 19–20 лет (35,4%), и только 6,2% сообщили, что они старше 24 лет (Рисунок 4).

Эти характеристики адекватно отражают возрастную структуру студенческого населения Кракова и Польши, где около 93% студентов находятся в возрасте от 19 до 29 лет [79]. Большинство студентов в выборке работали не полный рабочий день, особенно те, кто обучался на первом цикле. Более 40% сообщили о работе на неполный рабочий день, а около 4,5% были владельцами бизнеса. Их финансовое положение было относительно хорошим (почти 50% ответов), а 23,5% заявили об очень хорошем положении.Респондентам задавался вопрос об их участии в тренингах и курсах, связанных с сельскохозяйственными или садоводческими науками, чтобы оценить влияние формального образования на их участие в ALL проектах. Почти три четверти опрошенных никогда не получали формального образования в этой области (школьного или университетского). Около 10% студентов сообщили о посещении множества таких курсов, что соответствует распределению студентов по дисциплинам (9,5% изучают естественные или сельскохозяйственные науки). Почти 17% респондентов прошли несколько тренингов.
Студенты приехали в основном из городов, в том числе 14,3% из Кракова и 25,9% из других городов (Рисунок 5). Около 43,7% заявили, что выросли в сельской местности. Однако более 90% респондентов заявили, что жили в Кракове во время периода обучения, в то время как остальные ездили на работу и обратно. Структура происхождения респондентов, очевидно, связана с их знакомством с сельскохозяйственным производством и отражает их отношения с сельхозпроизводителями. Более половины респондентов знали фермеров, а 10,2% указали, что знают более одного. Кроме того, выборка продемонстрировала относительно прочные связи и отношения с сельским хозяйством и садоводством.
Около 20% респондентов выросли на ферме, а семьи ещё 9,8% имели огород или садовый участок. В общей сложности почти 64% респондентов сообщили о личном участии в сельскохозяйственном или садоводческом производстве. Некоторые из них работали самостоятельно или на семейных участках (10,5%), а также использовали кухни или садовые участки. Некоторые респонденты не имели реального отношения к сельскому хозяйству. Около 37% сообщили, что не знакомы с сельским хозяйством. Кроме того, более 26% респондентов указали, что не знают фермеров и не занимаются сбытом продукции на фермах или производством продуктов питания.Некоторые вопросы были сосредоточены на знании и восприятии респондентами понятия «всемирный доступ к услугам» (UA). Только 2,4% сообщили, что могут дать определение понятию «всемирный доступ к услугам», а 19% считали, что знакомы с этой концепцией в целом (рис. 6). Почти 44,4% никогда ранее не встречали этот термин. Более того, опрос показал, что у значительной группы респондентов не было конкретных ассоциаций или мнений о сельскохозяйственном производстве в городах.
Несмотря на относительно низкий уровень знакомства с концепцией городского сельского хозяйства, более 70% респондентов высказались в поддержку развития сельского хозяйства в городах, а почти 55% поддержали активную политику пространственного планирования и развития городских продовольственных систем. Лишь небольшая группа студентов выступила против инициатив всеобщего доступа к сельскому хозяйству (UA).
4.2. Знание и готовность участвовать в ALL проектах
Несмотря на растущую популярность во многих европейских странах, особенно в Скандинавии и Западной Европе, ALL остается в значительной степени непризнанным и недооцененным в Польше [23]. Настоящее исследование подтверждает этот вывод, поскольку 77% респондентов были совершенно не знакомы с понятием ALL (Рисунок 7). Половина из них столкнулись с этим термином впервые во время опроса. Только три респондента смогли охарактеризовать ALL, и каждый из них участвовал в таких проектах. Небольшой процент выборки (7,4%) сообщил об общем знании ALL. Кроме того, только 5,7% респондентов смогли назвать проект ALL. Один респондент упомянул, что их университет организовал научную конференцию по ALL, что побудило их принять участие. В целом, общая осведомленность о концепции LL остается очень низкой, несмотря на проекты, реализуемые в Польше.
После ответов на вопросы об их знании концепции LL респондентам было предоставлено определение и краткое описание ALL (для проверки уровня их внимания был включён контрольный вопрос). Затем респондентам был задан вопрос, хотели бы они принять участие в проекте ALL в качестве «тестировщика», потребителя или новатора в одиннадцати различных проектах ALL (рисунок 8).
Обозначения 1a–3d поясняются в Таблице 3 и представлены в Приложении А.

В среднем чуть более 10% респондентов отклонили предложение, но более 20% были очень заинтересованы в активном участии в проектах. Однако их интересы различались в зависимости от проекта. Респонденты заявили о наибольшей готовности участвовать в проектах «умного города». Эти городские инициативы используют новые технологии для повышения эффективности городского управления, качества жизни и устойчивого развития. В данном случае проекты касались защиты климата, смягчения эффекта городского острова тепла (3a), охраны водных ресурсов и поддержки биоразнообразия (3c). Оба проекта получили 60% ответов «полностью согласен» или «согласен». Другая относительно популярная группа включала проекты, связанные с разработкой новых продуктов питания и экспериментированием с новыми вкусами (почти 57% утвердительных ответов в целом). Проекты, направленные на продвижение активного образа жизни среди социально изолированных лиц (1c) и предоставление услуг людям с ограниченными возможностями, таких как садоводческая терапия или иппотерапия, выбирались гораздо реже (1d). Обратите внимание, что относительно небольшая группа заявила о нейтральном отношении, что может свидетельствовать о высокой степени осведомленности и серьезном рассмотрении ответов с их стороны.
Средние значения количественной шкалы Лайкерта для всех переменных были более 3,0, что указывает на то, что большинство респондентов заявили о готовности участвовать в ALL проектах (таблица 3). Надежность и обоснованность ответов были оценены в соответствии с требованиями методологии исследования и концептуальной структуры. Как EFA, так и альфа Кронбаха подтвердили надежность и обоснованность ответов. Значение KMO составило 0,834, что подтверждает осуществимость EFA. α Кронбаха составило 0,864 и не увеличилось после исключения отдельных элементов, что демонстрирует высокую надежность [80]. EFA использовался для выявления скрытых структур в данных и для сокращения количества переменных. Используя EFA с вращением варимакс, анализ выявил трехфакторное решение, которое объясняло 78% дисперсии в данных.
Первый фактор можно обозначить как «Социальная инклюзия и культурное наследие» (SI и CH), поскольку высокие нагрузки отражают готовность респондентов участвовать в проектах, связанных с восстановлением региональных традиций и аграрной культуры (1a), продвижением активного образа жизни среди социально изолированных групп населения (1c) и людей с ограниченными возможностями (1d), а также развитием рекреационных услуг в рамках всеобщего доступа (1b).
Второй фактор, «Инновационные решения в области агропродукции» (IAPS), можно рассматривать как общую плоскость для инновационной деятельности, направленной на создание и разработку новых продуктов питания (2a), непродовольственных товаров (2b) и товаров для здоровья (2c). Высокие факторные нагрузки для этих переменных указывают на сильную корреляцию с фактором, что позволяет предположить, что все они относятся к общему измерению инноваций в сельском хозяйстве.
Фактор № 3, «Умные решения для городского сельского хозяйства и охраны окружающей среды» (SSUA и EP), охватывает ряд инновационных, технологически обоснованных инициатив, интегрирующих умные решения как в городские, так и в сельскохозяйственные условия. Разнообразные инновационные проекты городского сельского хозяйства (3a) освещают новые методы выращивания сельскохозяйственных культур в городских условиях, такие как выращивание на крышах и вертикальное земледелие, которые решают проблемы, связанные с ограниченным пространством и устойчивым развитием в городах. Проекты «умного» сельского хозяйства (3b) подразумевают использование цифровых и высокотехнологичных решений в сельском хозяйстве, включая точное земледелие и автоматизацию, направленных на повышение эффективности и сокращение потребления ресурсов. Кроме того, проекты «умных» городов, направленные на защиту климата (3c), решают проблемы городской окружающей среды, такие как «тепловые острова», в то время как проекты «умных» городов по охране окружающей среды (3d) сосредоточены на сохранении водных ресурсов и биоразнообразия. В целом, этот фактор подчеркивает интеграцию умных технологий в развитие устойчивых методов ведения хозяйства и иллюстрирует, как достижения в области сельского хозяйства и городского планирования могут совместно способствовать охране окружающей среды и повышению эффективности в современных экосистемах.
Факторный анализ выявил три ключевых фактора, которые в совокупности объясняют 78% дисперсии данных. Эти факторы адекватно отражают потенциальную вовлечённость респондентов в различные группы проектов ALL. Сокращение числа переменных упростило дальнейший анализ. Это позволило авторам более подробно изучить характеристики респондентов, влияющие на их потенциальную вовлечённость в различные группы проектов ALL.
4.3 Факторы, определяющие готовность к участию в ALL проектах
Влияние различных факторов на готовность участвовать в ALL проектах представлено с использованием трех деревьев классификации и регрессии. Целевыми переменными в моделях являются составные переменные, определенные с помощью факторного анализа: (1) Социальная инклюзия и культурное наследие (SI и CH), (2) Инновационные решения в области агропродукции (IAPS) и (3) Умные решения для городского сельского хозяйства и защиты окружающей среды (SSUA и EP). Обзор литературы выявил четыре группы переменных, которые могут влиять на готовность участвовать в ALL проектах: социально-демографические характеристики, формальное образование, происхождение, социальная близость к UA и ее восприятие (Рисунок 2,Рисунок 3,Рисунок 4,Рисунок 5,Рисунок 6иРисунок 7). Анализ выявил характеристики респондентов, которые различают их с точки зрения готовности участвовать в ALL проектах.
4.3.1 Факторы, влияющие на участие вALL проектах: социальная инклюзия и культурное наследие (SI и CH)
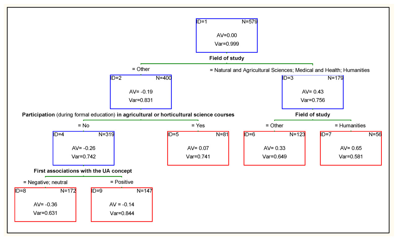
На рисунке 9показано дерево регрессии с факторами SI и CH. Поскольку среднее значение оценок факторов было равно нулю, а стандартное отклонение было близко к единице, среднее значение SI и CH было равно 0 (Node ID = 1). Значения переменной выше 0 представляют собой готовность к участию в проектах социальной инклюзии и культурного наследия (SI и CH) выше среднего. Переменной, которая больше всего дифференцировала SI и CH, была область обучения. Студенты естественных, сельскохозяйственных, медицинских и гуманитарных наук (Node ID = 3) заявляли о готовности участвовать в ALL проектах (p< 0,05) чаще (AV = 0,43), чем другие респонденты (Node ID = 2). Дальнейшие разделения в правой части дерева показали, что студенты гуманитарных наук были особенно готовы к участию (Node ID = 13; AV = 0,65).

Студенты, обучающиеся по специальностям, отличным от естественных, медицинских и гуманитарных наук (Node ID = 2), заявили о более низком уровне готовности к участию в ALL проектах в области социальной инклюзии и культурного наследия. Однако те, кто посещал курсы по сельскому хозяйству или садоводству в рамках своего формального образования, продемонстрировали значительно более высокую готовность к участию (Node ID = 5; AV = 0,07). Переменная формального образования также продемонстрировала значительное влияние на готовность к участию в ALL проектах. Кроме того, модель дерева регрессии показала, что студенты, имеющие положительную ассоциацию с UA (Node ID = 9), были статистически значимо (p< 0,05) более склонны к участию в ALL проектах.
Регрессионная модель также позволяет построить профиль людей, не заинтересованных в ALL проектах. К ним относятся студенты социальных и технических наук, которые никогда не посещали курсы по сельскому хозяйству или садоводству и не имеют положительных ассоциаций с UA (Node ID = 8, AV = –0,36). Разделение дерева представляет собой лишь один из вариантов (оптимальный с точки зрения качества и сложности модели); однако возможны и многие другие варианты разделения. Другие конфигурации переменных могут привести к аналогичным выводам. На рисунке 10 представлен список альтернативных переменных. Программное обеспечение, используемое для анализа, может генерировать стандартизированный (от 1 до 100 баллов) ранжированный список важности предикторов. Высокие значения указывают на значительное влияние на целевые переменные.

Дерево 1 наглядно показывает, что область обучения, восприятие UA и переменные, связанные с ассоциацией респондента с сельским хозяйством, наиболее существенно влияют на готовность участвовать в ALL проектах. Различные конфигурации переменных дают схожие результаты. Возраст, финансовое положение и пол оказывают лишь незначительное влияние на дифференциацию готовности участвовать в ALL проектах.
4.3.2 Факторы, влияющие на участие в ALL проектах: инновационные решения в области агропродукции (IAPS)
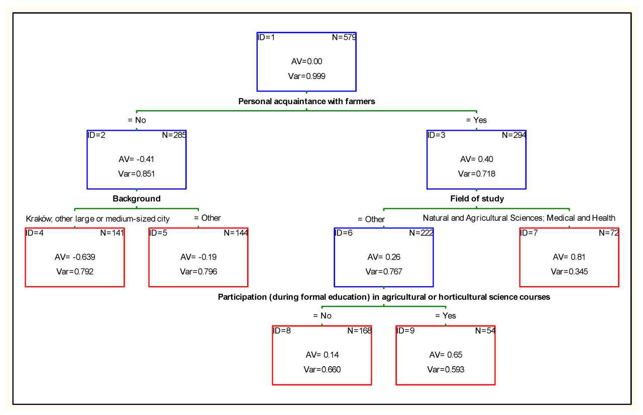
Следующая модель дерева регрессии (Рисунок 11) показывает факторы, влияющие на вовлечённость респондентов в проекты, ориентированные на инновационные продукты питания, включая здоровые (функциональные) продукты питания и натуральные непищевые продукты из UA (кремы, масла и т.д.). Разделение дерева показывает, что люди, лично знающие фермеров (Node ID = 3), значительно чаще заявляют о готовности участвовать в таких проектах. Это верно для более чем половины респондентов. Значительные различия между средними значениями составной переменной IAPS при Node ID = 2 и Node ID = 3 демонстрируют значительную предсказательную силу переменной.

Дальнейшее разделение показывает, что респонденты, лично знающие фермеров и изучающие естественные, сельскохозяйственные или медицинские науки (Node ID = 7; AV = 0,81), особенно заинтересованы в проектах IAPS. Тридцать процентов этой группы заявили о своей полной готовности участвовать во всех проектах IAPS. Ещё одним фактором, способствующим участию в ALL проектах, является участие в курсах и занятиях по сельскому хозяйству и садоводству. Студенты несельскохозяйственных специальностей, посещавшие курсы по сельскому хозяйству или садоводству (Node ID = 9), демонстрируют значительный интерес (AV = 0,65) к участию в ALL проектах.
Левая часть дерева регрессии показывает профиль людей, скептически относящихся к участию в проектах IAPS (отрицательное значение целевой переменной). Эти люди, как правило, лично не знают фермеров и приехали из Кракова или других городов. Респонденты из сельской местности, которые не знают фермеров и не имеют с ними никаких отношений, несколько менее скептически относятся к своему участию во ВСЕХ проектах.
Рейтинг важности предикторов (рисунок 12) показывает, что готовность участвовать в проектах по разработке инновационных пищевых и непищевых продуктов в основном зависит от таких характеристик, как происхождение и социальная близость. Область обучения и участие в сельскохозяйственных и садоводческих занятиях также относительно важны.

Исследование показывает, что социально-демографические характеристики, такие как возраст, пол и финансовое положение, не оказывают существенного влияния на заявленную вовлеченность в проекты IAPS ALL.
4.3.3 Факторы, влияющие на участие в ALL проектах: умные решения для городского сельского хозяйства и защиты окружающей среды (SSUA и EP)
Проекты «Умные решения для городского сельского хозяйства и защиты окружающей среды» (SSUA и EP) были популярны среди респондентов (рисунок 13). Студенты, изучающие естественные, сельскохозяйственные и технические науки (узел ID = 3), продемонстрировали готовность к участию в таких проектах выше среднего (AV = 0,27). Тем не менее, относительно высокая дисперсия в узле предполагает разнообразие ответов.

Последовательные расщепления показывают, что вероятность участия в проектах SSUA и EP возрастает с положительным отношением к UA. Среднее значение предиктивной переменной 0,42 (диапазон: от –2,8 до 2,8) указывает на относительно высокую готовность участвовать в ALL проектах, хотя некоторые респонденты оставались нейтральными или даже скептическими. Участники, которые изучали области обучения, отличные от технических и естественных наук, и не одобряли UA (Node ID = 4), были гораздо меньше заинтересованы в проектах SSUA и EP. Однако те, кто не изучал сельскохозяйственные и технические науки, но был открыт для UA (Node ID = 29), заявили о гораздо большей готовности участвовать в ALL проектах. Среднее значение составного среднего (AV = 0,06) указывает на готовность участвовать в ALL проектах выше среднего.
Модель довольно проста и лишь в некоторой степени объясняет диверсификацию ответов респондентов (общая вариация снижается на 30%). Исследуемые переменные, то есть характеристики респондентов, не позволяют однозначно определить факторы, влияющие на вовлечённость респондентов. Конечно, дальнейшее разделение может создать более детальные условия разделения, но это также приведёт к «переобучению» дерева, что снизит его предсказательную эффективность в отношении вовлечённости студентов в ALL проекты.
Ранги важности предиктора указывают на то, что область обучения оказалась наиболее важной переменной, определяющей готовность к участию в проектах SSUA и EP. Этот результат свидетельствует о том, что академическое образование респондентов играет ключевую роль в их открытости к таким инициативам (рисунок 14).

Другим важным фактором было восприятие и одобрение респондентами сельскохозяйственной деятельности в городах (например, выращивания сельскохозяйственных культур). Хотя общее восприятие всеобщего доступа и непосредственное участие в сельскохозяйственной деятельности были менее значимыми, они по-прежнему вносили существенный вклад. Связи между демографическими характеристиками (такими как пол или возраст), происхождением, циклом обучения и готовностью участвовать в ALL проектах обнаружено не было.
5. Обсуждение
5.1. Осознание концепции ALL
Исследования на сегодняшний день показывают, что ALL в первую очередь узнаваем среди ученых и экспертов, в то время как широкая общественность остается в значительной степени не осведомленной о нем. Инновации живых лабораторий часто тестируются в университетах и научно-исследовательских институтах [90,91]. Настоящее исследование подтверждает, что концепция ALL еще не получила широкого признания среди населения Польши. Только три респондента из 579 сообщили о знакомстве с концепцией и участии в такой инициативе. Еще 7,4% сообщили об общем знакомстве с идеей. Эта относительно низкая осведомленность об ALL может быть результатом недостаточных усилий польских университетов по продвижению таких проектов. То же самое относится и к другим странам Центральной и Восточной Европы [92]. Более того, ограниченная осведомленность о концепции живых лабораторий в Польше может быть результатом нехватки инфраструктуры и отсутствия традиций сотрудничества между государственным, частным и гражданским секторами, что имеет решающее значение для эффективной реализации LL [92,93]. Напротив, в странах, где программы LL добились большего успеха, таких как Швеция, Финляндия и Германия, существуют экосистемы, способствующие сотрудничеству между исследовательскими институтами, местными органами власти и сообществами. Эти экосистемы способствуют динамичному развитию этой концепции [91,93,94,95].
Хотя лишь немногие польские студенты были знакомы с проектом ALL, большинство из них заявили о готовности к работе и расширению своих знаний и навыков после ознакомления с ним. Результаты настоящего опроса подтверждают результаты предыдущих исследований, показывающих, что проекты ALL, ориентированные на защиту окружающей среды и климата, привлекают больше внимания, поскольку воспринимаются как «более интересные» и находятся в центре внимания общественности [20,64].Этот тип проекта опирается на широко признанные общественные ценности и прививает чувство ответственности за будущее природной среды [96], что повышает его популярность. Высокий уровень мотивации к участию может также быть обусловлен потенциальным улучшением качества жизни, таким как сдерживание эффекта городского острова тепла или улучшение городской вентиляции, на что направлены проекты «умного города» [24,62,97,98,99]. Городские сельскохозяйственные проекты часто считаются инструментами для содействия социальной инклюзии, особенно для людей с ограниченными возможностями, молодежи из группы риска и других исключенных социальных групп. Кроме того, такие проекты, как правило, пользуются значительным общественным признанием [11,72]. Тем не менее, настоящее исследование показывает, что респонденты относительно редко выражали готовность участвовать в проектах, направленных на содействие активной жизни среди социально исключенных людей и поддержку людей с ограниченными возможностями. Как отмечают Ким и др. [100], проекты в области здравоохранения и социальной инклюзии ALL в первую очередь привлекают экспертов в этих областях. Cyr и др. [101] сообщили о схожих результатах, демонстрирующих, что вовлечённость пользователей в проекты LL оставалась низкой, а готовность к участию часто была ограничена медицинскими и социальными работниками. Это может объяснять значительно более высокий интерес к этим проектам среди студентов-медиков.
Хотя уровень готовности к участию в различных типах проектов ВСД существенно различался, факторный анализ позволил выделить три основных модели вовлеченности: «Социальная инклюзия и культурное наследие» (SI и CH), «Инновационные решения в области агропродукции» (IAPS) и «Умные решения для городского сельского хозяйства и охраны окружающей среды» (SSUA и EP). Такой подход позволил более эффективно сгруппировать проекты и облегчил дальнейший анализ предпочтений и мотивации респондентов.
5.2 Факторы вовлеченности во ВСЕ проекты
Деревья регрессии выявили несколько общих закономерностей потенциальной вовлечённости респондентов во ВСЕ проекты. Во-первых, студенты из разных областей дали совершенно разные ответы. Во-вторых, заявления об вовлечённости во ВСЕ проекты были связаны с личными отношениями с фермерами и непосредственным участием в сельскохозяйственной деятельности (например, выращиванием овощей в садах или на балконах). В-третьих, восприятие всеобщего доступа оказалось значимым фактором.
5.2.1 Влияние формального образования, знаний и опыта респондентов
Анализы показывают, что студенты естественных и сельскохозяйственных наук, медицинских наук и наук о здоровье, а также инженерных и технических наук статистически значимо чаще заявляли о готовности участвовать в ALL проектах. Они, как правило, выбирали проекты, соответствующие их областям обучения. Например, студенты технических и инженерных наук в первую очередь предпочитали проекты умных городов, где были внедрены умные технологии, студентов гуманитарных наук привлекали образовательные проекты, а студенты естественных и сельскохозяйственных наук выбирали проекты, ориентированные на сельскохозяйственное производство [102]. Эти результаты согласуются с данными, опубликованными в литературе. В своем обзоре вовлеченности граждан в исследования перехода к устойчивому развитию Хуттунен и др. [31] отметили, что уровень вовлеченности в различные гражданские проекты четко коррелирует с личными интересами, знаниями и навыками. Пак и Фудзии [68] и Саттаяпанич и др. [70] также подчеркнули, что уровень и тип образования определяют вовлеченность в ВСЕ проекты. Аналогичным образом, Чэнь и Лю [62] обнаружили, что специализированные знания граждан значительно усиливают их участие в экологическом и природоохранном управлении. Эта модель применялась, например, к проектам, направленным на поддержку людей с ограниченными возможностями, которые выбирались в основном студентами-медиками. Их знания и навыки подготавливают их к такой деятельности [101].
Более того, анализ показывает, что даже ограниченное участие в курсах по сельскому хозяйству или садоводству может значительно повысить интерес ко ВСЕМ проектам. Эти результаты подтверждаются выводами Кэмпбелла и Рэмполда [96].
5.2.2 Социальная близость к сельскому хозяйству и непосредственное участие в сельскохозяйственной деятельности
Это исследование показывает, что тесные отношения с фермерами и личное участие в сельском хозяйстве, например, в приусадебном садоводстве, значительно влияют на участие в инициативах всеобщего доступа. Это особенно заметно в проектах «Инновационные решения в области агропродукции» и «Социальная интеграция и культурное наследие». Люди, имеющие личный опыт работы с фермерами, более открыты для участия в инновационных решениях [69,96,103]. Они также лучше понимают сельское хозяйство и его преимущества для окружающей среды и здоровья, что побуждает их участвовать в проектах, основанных на этих ценностях.
Кроме того, личные отношения, такие как дружба, кровные связи и опыт работы с фермерами, способствуют доверию и вовлечению во ВСЕ проекты [71]. Кроме того, люди без опыта работы в сельском хозяйстве или участия в сельскохозяйственной деятельности, такие как многие городские жители, демонстрируют меньшую склонность к участию в ALL проектах [104,105,106,107].
5.2.3. Актуальность восприятия городского сельского хозяйства
Анализ дерева регрессии показывает, что знакомство с идеей городского сельского хозяйства и его функциями может повысить готовность участвовать в ALL проектах. Положительные ассоциации с сельским хозяйством значительно повышают доверие и признательность к инициативам [72,108,109]. Другие исследования, такие как исследования гражданской активности в проектах социальной ответственности бизнеса [70] или проектах по возобновляемым источникам энергии [66], показали, что позитивное отношение к инициативам трансформируется в большую готовность к участию. Однако Срока и др. [11] отметили, что негативное отношение к всеобщему доступу может иметь еще более сильное влияние на готовность к участию. Они подчеркнули, что в большинстве ситуаций негативные события и опыт более заметны и действенны, причем негативный вклад в целом более влиятелен, чем позитивный. Это согласуется с теорией негативного смещения [73]. Это говорит о том, что люди, которые игнорируют преимущества всеобщего доступа или считают, что он оказывает негативное влияние на город, вероятно, будут демонстрировать негативное отношение к таким проектам [72]. Таким образом, образование и формирование отношения к сельскому хозяйству имеют решающее значение для проектов LL, направленных на интеграцию сельского хозяйства в городскую среду [110].
5.2.4 Демографические данные: ограниченный предиктор ALL аспектов вовлеченности
Анализ и литературные данные указывают на интересный вывод об относительно низком влиянии демографических переменных, таких как возраст, пол или финансовое положение, на вовлеченность в проекты ALL. По мнению Шнайдера и соавторов [67], вовлеченность в проекты по защите окружающей среды и сельскохозяйственным инновациям в первую очередь определяется ценностями и установками, а не демографическими факторами. Настоящее исследование подтверждает эти выводы. Такие факторы, как уровень образования, восприятие проектов ALL и прошлый опыт участия в подобных инициативах, оказывают гораздо большее влияние, чем стандартные демографические переменные [57,66,67].Ограниченное влияние демографических показателей на ВСЕ взаимодействие может быть результатом многогранной природы всеобщего доступа, которая выходит за рамки типичных демографических разделений и апеллирует к более универсальным ценностям устойчивого развития [11,67].
5.3 Многомерные факторы вовлеченности в ALL проекты
Анализы подтверждают, что факторы, влияющие на вовлеченность ALL, сложны и требуют многогранного подхода. Результаты показывают, что решение участвовать в ALL проектах зависит от сочетания различных характеристик и условий, как предложено Дэном и др. [111]. Из характеристик респондентов выявляются различные профили, демонстрирующие различные уровни готовности к участию. Например, модель «Вовлеченность в инновационные решения в области агропродукции» продемонстрировала, что проекты ВСЕ особенно привлекательны для людей, которые знают фермеров и являются студентами естественных наук, включая сельское хозяйство. Другая модель (SI и CH) показала, что студенты технических и социальных наук, которые никогда не посещали курсы по сельскому хозяйству или садоводству и имеют негативные ассоциации с ВД, не заинтересованы в проектах, направленных на восстановление региональных традиций и аграрной культуры.
Метод регрессионного дерева также можно использовать для построения иерархии важности отдельных переменных при оценке их влияния на решения об участии в проектах ALL. Результаты и выявленные закономерности регрессионного дерева служат практическим руководством для вовлечения в проекты ALL. Выявляя критические факторы, определяющие готовность к участию, можно построить профили участников, что позволяет сформировать более однородные группы. Таким образом, этот метод можно использовать для разработки целевых стратегий вовлечения различных групп населения, способствуя лучшему согласованию усилий ALL с потребностями и ожиданиями конкретных целевых групп.
Эти выводы дают глубокое понимание мотивов и препятствий, связанных с участием в ALL проектах. Они представляют собой важный первый шаг к лучшему пониманию социальных механизмов, лежащих в основе этих инициатив.
6. Ограничения исследования
Данное исследование имеет определённые ограничения. Прежде всего, оно фокусируется на одной социальной группе — краковских студентах, — что ограничивает возможность обобщения. Более того, измерения основаны преимущественно на заявлениях о готовности к вовлеченности, которые не обязательно трансформируются в конкретные действия; фактический уровень вовлеченности может быть ниже. Кроме того, поскольку выборка исследования не отслеживалась в течение длительного периода, невозможно определить долгосрочную устойчивость вовлеченности, что представляет собой ценный фактор для будущих исследований.
7. Резюме и выводы
Проекты агропромышленных лабораторий обладают огромным потенциалом для создания устойчивых и жизнестойких городских систем. Однако их эффективность во многом зависит от активного участия местного сообщества. Для того чтобы эти инициативы были долгосрочными и эффективными, они должны получить широкое общественное признание и поддержку со стороны жителей, которые могут стать как соавторами, так и бенефициарами результатов. В связи с этим в данной статье рассматриваются факторы, которые могут влиять на готовность городского населения активно участвовать в ALL проектах, с акцентом на молодое поколение как будущих общественных лидеров.
В опросе приняли участие студенты краковских университетов. Студенты представляют собой особую часть населения и могут сыграть ключевую роль в будущем таких инициатив, как ALL. Будучи молодыми, заботящимися об окружающей среде, открытыми к инновациям и проявляющими политическую активность, студенты являются важными бенефициарами и потенциальными участниками проектов ALL. Их отношение к устойчивому развитию и всеобщему доступу к окружающей среде может существенно повлиять на городскую экологическую политику в ближайшие годы. Понимание факторов, побуждающих студентов участвовать в проектах ALL, может помочь выявить основные мотивы и препятствия, которые могут иметь отношение и к более широкому контексту городских жителей.
Эти данные свидетельствуют о том, что, несмотря на ограниченные знания о проектах UA ALL, респонденты продемонстрировали значительную готовность к участию. Наиболее популярными проектами были инициативы в области умного города, климата и защиты окружающей среды. Такие начинания были направлены на сдерживание эффекта городского острова тепла, улучшение городской вентиляции, усиление защиты биоразнообразия, соответствие текущим экологическим проблемам и привлечение молодежи, интересующейся новыми технологиями. Готовность к участию в проектах ALL была четко связана с областью обучения, интересами и индивидуальным опытом респондентов. Студенты выбирали проекты, которые соответствовали их академической направленности и личным интересам. Студенты естественных, технических и сельскохозяйственных наук чаще заявляли о готовности участвовать в проектах, связанных с решениями UA и умного города. Кроме того, респонденты, демонстрирующие положительное отношение к UA и личные отношения с фермерами, чаще выражали готовность к участию. Результаты показывают, что позитивное восприятие UA и тесная связь с сельским хозяйством являются важными движущими силами участия в проектах ALL.В этом исследовании предлагаются основанные на фактах рекомендации, которые могут помочь повысить эффективность и социальное воздействие ВСЕХ проектов как нового метода интеграции различных групп для совместного создания устойчивых городских систем.
Университеты должны играть центральную роль в продвижении проектов ВСЕХ, включая этот подход в свои учебные программы. Более широкое внедрение ВСЕХ в высшее образование отвечает потребностям студентов, готовых участвовать в инновационных и устойчивых инициативах. Интеграция этого подхода в образовательный процесс вооружает будущих специалистов практическими навыками и знаниями, необходимыми для реализации этих проектов в городской среде.
Университеты, местные органы власти и частный сектор должны сотрудничать для раскрытия потенциала студентов, проявляющих особый интерес к проектам Agro Living Labs (ALL). Понимание личных особенностей и предпочтений студентов позволит лучше адаптировать образовательные и рекламные программы, что в конечном итоге облегчит оптимальный отбор кандидатов для реализации проектов ALL. Такой подход также может способствовать долгосрочной устойчивости этих инициатив. Привлечение высокомотивированных участников повышает вероятность долгосрочного успеха и эффективности реализуемых проектов.
Городским властям следует признать потенциал проектов ALL как важнейшего подготовительного этапа к тестированию инновационных решений в области всеобщего доступа в реальных местных условиях. Такой подход позволит городским властям постепенно внедрять проверенные инициативы, отвечающие реальным потребностям местных сообществ и одновременно способствующие устойчивому развитию городов.
Несмотря на обозначенные ограничения, выводы и рекомендации могут быть применимы к странам со схожими социально-экономическими и политическими условиями, например, к странам Центральной и Восточной Европы. Сходство социальных структур, уровней экономического развития и политики поддержки городского сельского хозяйства предполагает возможность частичного внедрения результатов в этом регионе. Однако важно отметить, что эти выводы требуют дальнейшей проверки и адаптации к конкретным местным условиям.
Значение для будущих исследований
Результаты данного исследования выявляют значимую связь между образованием, личным опытом и отношением к городскому сельскому хозяйству в контексте готовности к участию в проектах Agro Living Labs. Дальнейшие исследования должны быть сосредоточены на изучении этих взаимосвязей в причинно-следственной парадигме, в частности, роли образования как потенциального посредника между личным опытом и отношением к городскому сельскому хозяйству. Также были бы полезны сравнительные исследования в различных городских условиях с учетом культурного и политического многообразия. Такой анализ может способствовать лучшему пониманию контекстуальных различий в уровнях принятия и вовлеченности. Это исследование может предоставить ценную информацию для переноса и обобщения полученных результатов, а также для разработки стратегий, адаптированных к конкретным местным условиям.
Ссылки
1. Saqib, A.; Khan, M.S.U.; Rana, I.A. Bridging Nature and Urbanity Through Green Roof Resilience Framework (GRF): A Thematic Review. Nat.-Based Solut. 2024, 100182. [Google Scholar] [CrossRef]
2. Marques, A.L.; Alvim, A.T.B. Metropolitan fringes as strategic areas for urban resilience and sustainable transitions: Insights from Barcelona Metropolitan Area. Cities 2024, 150, 105018. [Google Scholar] [CrossRef]
3. Cifuentes, M.L.; Fiala, V. Covid-19 as a chance for more food democracy in European cities? The responses of actors within Vienna’s urban food system to the pandemic. Cities 2022, 131, 104041. [Google Scholar] [CrossRef] [PubMed]
4. Edwards, F.; Sonnino, R.; Cifuentes, M.L. Connecting the dots: Integrating food policies towards food system transformation. Environ. Sci. Policy 2024, 156, 103735. [Google Scholar] [CrossRef]
5. Yan, D.; Liu, L.; Liu, X.; Zhang, M. Global trends in urban agriculture research: A pathway toward urban resilience and sustainability. Land 2022, 11, 117. [Google Scholar] [CrossRef]
6. Yusuf, A.S.M.; Haris, B.B.N.; Man, N.; Ahmi, A. Examining the trend of social science research on urban agriculture: A bibliometric review. Cent. Asia Cauc. 2022, 23, 1696–1716. [Google Scholar]
7. Simon, S. The role of design thinking to promote a sustainability transition within participatory urban governance: Insights from urban agriculture initiatives in Lisbon. Urban Gov. 2023, 3, 189–199. [Google Scholar] [CrossRef]
8. Taczanowska, K.; Tansil, D.; Wilfer, J.; Jiricka-Pürrer, A. The impact of age on people’s use and perception of urban green spaces and their effect on personal health and wellbeing during the COVID-19 pandemic—A case study of the metropolitan area of Vienna, Austria. Cities 2024, 147, 104798. [Google Scholar] [CrossRef]
9. Ayambire, R.A.; Amponsah, O.; Peprah, C.; Takyi, S.A. A review of practices for sustaining urban and peri-urban agriculture: Implications for land use planning in rapidly urbanising Ghanaian cities. Land Use Policy 2019, 84, 260–277. [Google Scholar] [CrossRef]
10. Azunre, G.A.; Amponsah, O.; Peprah, C.; Takyi, S.A.; Braimah, I. A review of the role of urban agriculture in the sustainable city discourse. Cities 2019, 93, 104–119. [Google Scholar] [CrossRef]
11. Sroka, W.; Bojarszczuk, J.; Satoła, Ł.; Szczepańska, B.; Sulewski, P.; Lisek, S.; Zioło, M. Understanding residents’ acceptance of professional urban and peri-urban farming: A socio-economic study in Polish metropolitan areas. Land Use Policy 2021, 109, 105599. [Google Scholar] [CrossRef]
12. Hui, Z.H.; Clarke, M.; Campbell, C.G.; Chang, N.B.; Jiangxiao, Q.I.U. Public perceptions of multiple ecosystem services from urban agriculture. Landsc. Urban Plan. 2024, 251, 105170. [Google Scholar]
13. Alkhaja, N.; Alawadi, K.; Almemari, K.; Alshehhi, G. How is urban agriculture practiced, institutionalized, implemented, and sustained? A literature review. Prog. Plan. 2024, 100917. [Google Scholar] [CrossRef]
14. Brons, A.; van Der Gaast, K.; Awuh, H.; Jansma, J.E.; Segreto, C.; Wertheim-Heck, S. A tale of two labs: Rethinking urban living labs for advancing citizen engagement in food system transformations. Cities 2022, 123, 103552. [Google Scholar] [CrossRef]
15. Helguero, M.L.; Steyaert, A.; Dessein, J. City-to-city learning processes in the development of sustainable urban food systems: Insights from South American cities. Habitat Int. 2022, 124, 102578. [Google Scholar] [CrossRef]
16. Vicente-Vicente, J.L.; Doernberg, A.; Zasada, I.; Ludlow, D.; Staszek, D.; Bushell, J.; Piorr, A. Exploring alternative pathways toward more sustainable regional food systems by foodshed assessment—City region examples from Vienna and Bristol. Environ. Sci. Policy 2021, 124, 401–412. [Google Scholar] [CrossRef]
17. Cirone, F.; Petruzzelli, M.; De Menna, F.; Samoggia, A.; Buscaroli, E.; Durante, E.; Vittuari, M. A sustainability scoring system to assess food initiatives in city regions. Sustain. Prod. Consum. 2023, 36, 88–99. [Google Scholar] [CrossRef]
18. Sonnino, R. The cultural dynamics of urban food governance. City Cult. Soc. 2019, 16, 12–17. [Google Scholar] [CrossRef]
19. Li, L.; Li, X.; Chong, C.; Wang, C.H.; Wang, X. A decision support framework for the design and operation of sustainable urban farming systems. J. Clean. Prod. 2020, 268, 121928. [Google Scholar] [CrossRef]
20. Sonnino, R. Food system transformation: Urban perspectives. Cities 2023, 134, 104164. [Google Scholar] [CrossRef]
21. McPhee, C.; Bancerz, M.; Mambrini-Doudet, M.; Chrétien, F.; Huyghe, C.; Gracia-Garza, J. The defining characteristics of agroecosystem living labs. Sustainability 2021, 13, 1718. [Google Scholar] [CrossRef]
22. Bhatta, A.; Vreugdenhil, H.; Slinger, J. Characterizing nature-based living labs from their seeds in the past. Environ. Dev. 2023, 49, 100959. [Google Scholar] [CrossRef]
23. Duda, E.; Korwin-Szymanowska, A. Exploring educational traditions and experiences of block residents engaging in urban food self-production: A case study of Urban Living Lab. J. Ethn. Foods 2023, 10, 44. [Google Scholar] [CrossRef]
24. Toffolini, Q.; Hannachi, M.; Capitaine, M.; Cerf, M. Ideal-types of experimentation practices in agricultural Living Labs: Various appropriations of an open innovation model. Agric. Syst. 2023, 208, 103661. [Google Scholar] [CrossRef]
25. Johansson, J.; Roitto, M.; Steiner, B.; Alakukku, L. Co-creation of urban agriculture through participatory processes in residential building environment: Insights from Finland. Clean. Responsible Consum. 2024, 13, 100197. [Google Scholar] [CrossRef]
26. Cascone, G.; Scuderi, A.; Guarnaccia, P.; Timpanaro, G. Promoting innovations in agriculture: Living labs in the development of rural areas. J. Clean. Prod. 2024, 443, 141247. [Google Scholar] [CrossRef]
27. Gardezi, M.; Abuayyash, H.; Adler, P.R.; Alvez, J.P.; Anjum, R.; Badireddy, A.R.; Zia, A. The role of living labs in cultivating inclusive and responsible innovation in precision agriculture. Agric. Syst. 2024, 216, 103908. [Google Scholar] [CrossRef]
28. Abera, F.; Garcia, M.; Meinke, H.; Negra, C.; Obokoh, N.; Smith, A.G. Advancing inclusive and effective agri-food systems research for development: A short communication. Agric. Syst. 2024, 218, 103989. [Google Scholar] [CrossRef]
29. Yilmaz, O.C.; Ertekin, O. Towards setting a standard for evaluating living labs with case studies in Turkiye. Technol. Soc. 2024, 77, 102574. [Google Scholar] [CrossRef]
30. Mulder, I.; Velthausz, D.; Kriens, M. The living labs harmonization cube: Communicating living lab’s essentials. Electron. J. Virtual Organ. Netw. 2008, 10, 1–14. [Google Scholar]
31. Huttunen, S.; Ojanen, M.; Ott, A.; Saarikoski, H. What about citizens? A literature review of citizen engagement in sustainability transitions research. Energy Res. Soc. Sci. 2022, 91, 102714. [Google Scholar] [CrossRef]
32. Desiderio, E.; García-Herrero, L.; Hall, D.; Pertot, I.; Segrè, A.; Vittuari, M. From youth engagement to policy insights: Identifying and testing food systems’ sustainability indicators. Environ. Sci. Policy 2024, 155, 103718. [Google Scholar] [CrossRef]
33. Compagnucci, L.; Spigarelli, F.; Coelho, J.; Duarte, C. Living Labs and User Engagement for Innovation and Sustainability. J. Clean. Prod. 2020, 289, 125721. [Google Scholar] [CrossRef]
34. Gamache, G.; Juliette, A.; Feche, R.; Barataud, F.; Mignolet, C.; Coquil, X. Can living labs offer a pathway to support local agri-food sustainability transitions? Environ. Innov. Soc. Transit. 2020, 37, 93–107. [Google Scholar] [CrossRef]
35. Lupp, G.; Zingraff-Hamed, A.; Huang, J.J.; Oen, A.; Pauleit, S. Living labs—A concept for co-designing nature-based solutions. Sustainability 2020, 13, 188. [Google Scholar] [CrossRef]
36. Paskaleva, K.; Cooper, I.; Linde, P.; Peterson, B.; Götz, C. Stakeholder engagement in the smart city: Making living labs work. In Transforming City Governments for Successful Smart Cities; Springer: Cham, Switzerland, 2015; pp. 115–145. [Google Scholar]
37. Habibipour, A. Towards a sustainable user engagement framework in Living Labs. In Proceedings of the XXXIII ISPIM Innovation Conference: Innovating in a Digital World, Copenhagen, Denmark, 5–8 June 2022. [Google Scholar]
38. Hagy, S.; Morrison, G.M.; Elfstrand, P. Co-Creation in Living labs. In Living Labs: Design and Assessment of Sustainable Living; Springer: Cham, Switzerland, 2017; pp. 169–178. [Google Scholar]
39. Yousefi, M.; Ewert, F. Protocol for a systematic review of living labs in agricultural-related systems. Sustain. Earth Rev. 2023, 6, 11. [Google Scholar] [CrossRef]
40. Masseck, T. Living labs in architecture as innovation arenas within higher education institutions. Energy Procedia 2017, 115, 383–389. [Google Scholar] [CrossRef]
41. Katikas, L.; Sotiriou, S. Schools as living labs for the new European Bauhaus. Univers. Access Inf. Soc. 2023. [Google Scholar] [CrossRef]
42. Afacan, Y. Impacts of urban living lab (ULL) on learning to design inclusive, sustainable, and climate-resilient urban environments. Land Use Policy 2023, 124, 106443. [Google Scholar] [CrossRef]
43. Sachs Olsen, C.; van Hulst, M. Reimagining urban living labs: Enter the urban drama lab. Urban Stud. 2024, 61, 991–1012. [Google Scholar] [CrossRef]
44. van Geenhuizen, M.; Guldemond, N. Living labs in healthcare innovation: Critical factors and potential roles of city governments. In Cities and Sustainable Technology Transitions; Truffer, B., Coenen, L., Murphy, J.T., Eds.; Edward Elgar Publishing: Cheltenham, UK, 2018; pp. 318–338. [Google Scholar] [CrossRef]
45. Yahya, F.; El Samrani, A.; Khalil, M.; Abdin, A.E.D.; El-Kholy, R.; Embaby, M.; Takavakoglou, V. Decentralized Wetland-Aquaponics Addressing Environmental Degradation and Food Security Challenges in Disadvantaged Rural Areas: A Nature-Based Solution Driven by Mediterranean Living Labs. Sustainability 2023, 15, 15024. [Google Scholar] [CrossRef]
46. Leminen, S.; Westerlund, M.; Nyström, A.-G. Living labs as open-innovation networks. Technol. Innov. Manag. Rev. 2012, 2, 6–11. [Google Scholar] [CrossRef]
47. Lehmann, V.; Frangioni, M.; Dubé, P. Living Lab as knowledge system: An actual approach for managing urban service projects? J. Knowl. Manag. 2015, 19, 1087–1107. [Google Scholar] [CrossRef]
48. Franz, Y. Designing social living labs in urban research. Emerald Insight 2015, 17, 53–66. [Google Scholar]
49. Steen, K.; van Bueren, E. Urban living labs: A living lab way of working. Amst. Inst. Adv. Metrop. Solut. 2017, 205, 66–68. [Google Scholar]
50. Steenkamp, J.; Cilliers, E.J.; Cilliers, S.S.; Lategan, L. Food for thought: Addressing urban food security risks through urban agriculture. Sustainability 2021, 13, 1267. [Google Scholar] [CrossRef]
51. Sylla, M.; Świąder, M.; Vicente-Vicente, J.L.; Arciniegas, G.; Wascher, D. Assessing food self-sufficiency of selected European Functional Urban Areas vs metropolitan areas. Landsc. Urban Plan. 2022, 228, 104584. [Google Scholar] [CrossRef]
52. Marselis, S.M.; Hannula, S.E.; Trimbos, K.B.; Berg, M.P.; Bodelier, P.L.; Declerck, S.A.; Schrama, M. The use of living labs to advance agro-ecological theory in the transition towards sustainable land use: A tale of two polders. Environ. Impact Assess. Rev. 2024, 108, 107588. [Google Scholar] [CrossRef]
53. Battersby, J.; Hatab, A.A.; Ambikapathi, R.; Chicoma, J.L.; Shulang, F.; Kimani Murage, E.; Resnick, D. Strengthening Urban and Peri-Urban Food Systems to Achieve Food Security and Nutrition, in the Context of Urbanization and Rural Transformation. HLPE Report No. 19. 2024. Available online: https://gala.gre.ac.uk/id/eprint/48279/ (accessed on 20 October 2024).
54. Wadumestrige Dona, C.G.; Mohan, G.; Fukushi, K. Promoting Urban Agriculture and Its Opportunities and Challenges—A Global Review. Sustainability 2021, 13, 9609. [Google Scholar] [CrossRef]
55. Rüschhoff, J.; Hubatsch, C.; Priess, J.; Scholten, T.; Egli, L. Potentials and perspectives of food self-sufficiency in urban areas—A case study from Leipzig. Renew. Agric. Food Syst. 2021, 37, 227–236. [Google Scholar] [CrossRef]
56. Rangelov, V. Opportunities for Urban Agriculture in Modern Cities. Int. Acad. J. Web Sch. 2020, 46, 3–7. [Google Scholar] [CrossRef]
57. Tarashkar, M.; Qureshi, S.; Wang, Z.; Rahimi, A. Public perceptions towards urban horticulture in front-yard greenhouses: Unveiling ecosystem services and practices for sustainable and resilient city. Sustain. Futures 2024, 7, 100205. [Google Scholar] [CrossRef]
58. Nowysz, A.; Mazur, Ł.; Vaverková, M.D.; Koda, E.; Winkler, J. Urban Agriculture as an Alternative Source of Food and Water Security in Today’s Sustainable Cities. Int. J. Environ. Res. Public Health 2022, 19, 15597. [Google Scholar] [CrossRef] [PubMed]
59. Anderson, C.R.; Maughan, C. The Innovation Imperative: The Struggle Over Agroecology in the International Food Policy Arena. Front. Sustain. Food Syst. 2021, 5, 619185. [Google Scholar] [CrossRef]
60. Morawska, J.; Mrozowska, S.; Młynkowiak-Stawarz, A.; Bęben, R.; Kozłowski, A.; Carayannis, E.G. The missing helix thread in innovation ecosystems: A study of co-opetition, co-evolution, and co-specialization between university and civil society. IEEE Trans Eng Manag. 2024, 71, 14339–14349. [Google Scholar] [CrossRef]
61. Zhu, H.; Chen, Z.; Zhang, S.; Zhao, W. The role of government innovation support in the process of urban green sustainable development: A spatial difference-in-difference analysis based on China’s innovative city pilot policy. Int. J. Environ. Res. Public Health 2022, 19, 7860. [Google Scholar] [CrossRef]
62. Chen, S.; Liu, N. Research on citizen participation in government ecological environment governance based on the research perspective of ’dual carbon target’. J. Environ. Public Health 2022, 2022, 5062620. [Google Scholar] [CrossRef]
63. Opitz, I.; Berges, R.; Piorr, A.; Krikser, T. Contributing to food security in urban areas: Differences between urban agriculture and peri-urban agriculture in the Global North. Agric Hum Values. 2016, 33, 341–358. [Google Scholar] [CrossRef]
64. Berberi, A.; Beaudoin, C.; McPhee, C.; Guay, J.; Bronson, K.; Nguyen, V.M. Enablers, barriers, and future considerations for living lab effectiveness in environmental and agricultural sustainability transitions: A review of studies evaluating living labs. Local Environ. 2023, 1–19. [Google Scholar] [CrossRef]
65. Roman, M.; Fellnhofer, K. Facilitating the participation of civil society in regional planning: Implementing the quadruple helix model in Finnish regions. Land Use Policy 2022, 112, 105864. [Google Scholar] [CrossRef]
66. Carroll, J.; Denny, E.; Ferris, A.; Petrov, I.; Wu, H. A socio-economic examination of participation in socially innovative energy projects. Environ. Innov. Soc. Transit. 2023, 48, 100746. [Google Scholar] [CrossRef]
67. Schneider, A.E.; Neuhuber, T.; Zawadzki, W. Understanding citizens’ willingness to contribute to urban greening programs. Urban For. Urban Green. 2024, 95, 128293. [Google Scholar] [CrossRef]
68. Park, J.; Fujii, S. Civic Engagement in a Citizen-Led Living Lab for Smart Cities: Evidence From South Korea. Urban Plan. 2023, 8, 93–107. [Google Scholar] [CrossRef]
69. Georges, A.; Schuurman, D.; Baccarne, B.; Coorevits, L. User engagement in living lab field trials. Info 2015, 17, 26–39. [Google Scholar] [CrossRef]
70. Sattayapanich, T.; Janmaimool, P.; Chontanawat, J. Factors affecting community participation in environmental corporate social responsibility projects: Evidence from mangrove forest management project. J. Open Innov. Technol. Mark. Complex. 2022, 8, 209. [Google Scholar] [CrossRef]
71. Kabirigi, M.; Abbasiharofteh, M.; Sun, Z.; Hermans, F. The importance of proximity dimensions in agricultural knowledge and innovation systems: The case of banana disease management in Rwanda. Agric. Syst. 2022, 202, 103465. [Google Scholar] [CrossRef]
72. Specht, K.; Sanyé-Mengual, E. Risks in urban rooftop agriculture: Assessing stakeholders’ perceptions to ensure efficient policymaking. Environ. Sci. Policy 2017, 69, 13–21. [Google Scholar] [CrossRef]
73. Monterrubio, C.; Andriotis, K.; Rodríguez-Muñoz, G. Residents’ perceptions of airport construction impacts: A negativity bias approach. Tour. Manag. 2020, 77, 103983. [Google Scholar] [CrossRef]
74. Baltar, F.; Brunet, I. Social research 2.0: Virtual snowball sampling method using Facebook. Internet Res. 2012, 22, 57–74. [Google Scholar] [CrossRef]
75. Krzyk, P. Obszary rolne jako element systemu przyrodniczego miasta Krakowa. Probl. Rozw. Miast 2009, 3, 47–61. [Google Scholar]
76. Sroka, W.; Król, K.; Matysik-Pejas, R. Rolnictwo miejskie w światowym i polskim piśmiennictwie oraz w dokumentach planistycznych wybranych miast Polski: Urban Agriculture in Polish and International Scholarly Literature and in Planning Documents of Selected Polish Cities. Wieś I Rol. 2021, 3, 71–98. [Google Scholar] [CrossRef] [PubMed]
77. Janowska, B.; Łój, J.; Andrzejak, R. Role of community gardens in development of housing estates in Polish cities. Agronomy 2022, 12, 1447. [Google Scholar] [CrossRef]
78. Rajca, J.; Kajzar, K. The role of community gardens in the life of Krakow residents in the context of food sovereignty and social integration. Acta Sci. Pol. Form. Circumiectus 2021, 20, 19–28. [Google Scholar]
79. POL-on. Available online: https://radon.nauka.gov.pl/raporty (accessed on 20 October 2024).
80. Adeniran, A.O. Application of Likert Scale’s type and Cronbach’s alpha analysis in an airport perception study. Sch. J. Appl. Sci. Res. 2019, 2, 01–05. [Google Scholar]
81. Fabrigar, L.R.; Wegener, D.T.; MacCallum, R.C.; Strahan, E.J. Evaluating the use of exploratory factor analysis in psychological research. Psychol. Methods 1999, 4, 272. [Google Scholar] [CrossRef]
82. Breiman, L.; Friedman, J.H.; Olshen, R.A.; Stone, C.J. Classification and Regression Trees; Wadsworth & Brooks: Monterey, CA, USA, 1984. [Google Scholar]
83. Rokach, L.; Maimon, O. Decision trees. In Data Mining and Knowledge Discovery Handbook; Springer: Boston, MA, USA, 2005; pp. 165–192. [Google Scholar]
84. Dunham, K. Chapter 6-Phishing, SMishing, and Vishing. In Mobile Malware Attacks and Defense; Elsevier: Amsterdam, The Netherlands, 2009; pp. 125–196. [Google Scholar]
85. Sroka, W.; Pölling, B.; Wojewodzic, T.; Strus, M.; Stolarczyk, P.; Podlinska, O. Determinants of Farmland Abandonment in Selected Metropolitan Areas of Poland: A Spatial Analysis Based on Regression Trees and Expert Interviews. Sustainability 2019, 11, 3071. [Google Scholar] [CrossRef]
86. Machuca, C.; Vettore, M.V.; Krasuska, M.; Baker, S.R.; Robinson, P.G. Using classification and regression tree modelling to investigate response shift patterns in dentine hypersensitivity. BMC Med. Res. Methodol. 2017, 17, 120. [Google Scholar] [CrossRef]
87. Loh, W.Y.; Zheng, W. Regression trees for longitudinal and multiresponse data. Ann. Appl. Stat. 2013, 7, 495–522. [Google Scholar] [CrossRef]
88. Ives, C.D.; Kendal, D. Values and attitudes of the urban public towards peri-urban agricultural land. Land Use Policy 2013, 34, 80–90. [Google Scholar] [CrossRef]
89. Dębska, B.; Guzowska-Świder, B. Decision trees in selection of featured determined food quality. Anal. Chim. Acta 2011, 705, 261–271. [Google Scholar] [CrossRef]
90. Evans, J.; Jones, R.; Karvonen, A.; Millard, L.; Wendler, J. Living labs and co-production: University campuses as platforms for sustainability science. Curr. Opin. Environ. Sustain. 2015, 16, 1–6. [Google Scholar] [CrossRef]
91. Voytenko, Y.; McCormick, K.; Evans, J.; Schliwa, G. Urban living labs for sustainability and low carbon cities in Europe: Towards a research agenda. J. Clean. Prod. 2016, 123, 45–54. [Google Scholar] [CrossRef]
92. Piziak, B.; Bień, M.; Jarczewski, W.; Ner, K. Exploring Urban (Living) Labs: A Model Tailored for Central and Eastern Europe’s Context. Sustainability 2023, 15, 12556. [Google Scholar] [CrossRef]
93. McLoughlin, S.; Maccani, G.; Prendergast, D.; Donnellan, B. Living Labs: A Bibliometric Analysis. In Proceedings of the 51st Hawaii International Conference on System Sciences, Kauai, HI, USA, 2–8 January 2018; pp. 4463–4472. [Google Scholar]
94. Greve, K.; Vita, R.D.; Leminen, S.; Westerlund, M. Living Labs: From niche to mainstream innovation management. Sustainability 2021, 13, 791. [Google Scholar] [CrossRef]
95. Schuurman, D.; Leminen, S. Living labs past achievements, current developments, and future trajectories. Sustainability 2021, 13, 10703. [Google Scholar] [CrossRef]
96. Campbell, C.G.; Rampold, S.D. Urban Agriculture: Local Government Stakeholders’ Perspectives and Informational Needs. Renew. Agric. Food Syst. 2021, 36, 536–558. [Google Scholar] [CrossRef]
97. Hossain, M.; Leminen, S.; Westerlund, M. A systematic review of living lab literature. J. Clean. Prod. 2019, 213, 976–988. [Google Scholar] [CrossRef]
98. Leminen, S.; Rajahonka, M.; Westerlund, M. Towards Third-Generation Living Lab Networks in Cities. Technol. Innov. Manag. Rev. 2017, 7, 21–35. [Google Scholar] [CrossRef]
99. Liu, H.; Zhou, G.; Wennersten, R.; Frostell, B. Analysis of sustainable urban development approaches in China. Habitat Int. 2014, 41, 24–32. [Google Scholar] [CrossRef]
100. Kim, J.; Kim, Y.L.; Jang, H.; Cho, M.; Lee, M.; Kim, J.; Lee, H. Living labs for health: An integrative literature review. Eur. J. Public Health 2020, 30, 55–63. [Google Scholar] [CrossRef]
101. Cyr, G.; Pomey, M.P.; Yuan, S.; Dionne, K.E. User Engagement in Healthcare Living Labs: A Scoping Review. Int. J. Innov. Manag. 2022, 26, 2230004. [Google Scholar] [CrossRef]
102. Santo, R.; Palmer, A.; Kim, B. Vacant Lots to Vibrant Plots: A Review of the Benefits and Limitations of Urban Agriculture; Johns Hopkins Center for a Livable Future: Baltimore, MD, USA, 2016. [Google Scholar] [CrossRef]
103. Takagi, S.; Numazawa, Y.; Katsube, K.; Omukai, W.; Saijo, M.; Ohashi, T. Theorizing the socio-cultural dynamics of consumer decision-making for participation in community-supported agriculture. Agric. Food Econ. 2024, 12, 22. [Google Scholar] [CrossRef]
104. Diehl, J.A. Growing for Sydney: Exploring the urban food system through farmers’ social networks. Sustainability 2020, 12, 3346. [Google Scholar] [CrossRef]
105. Pawlak, H. Attitudes toward newcomers from the city: The case of urban-rural fringe of Krakow. Misc. Geogr. 2018, 22, 40–47. [Google Scholar] [CrossRef]
106. LeJava, J.P.; Goonan, M.J. Cultivating urban agriculture: Addressing land use barriers to gardening and farming in cities. Real Estate Law J. 2012, 41, 216–245. [Google Scholar]
107. Curran-Cournane, F.; Cain, T.; Greenhalgh, S.; Samarsinghe, O. Attitudes of a Farming Community towards Urban Growth and Rural Fragmentation—An Auckland Case Study. Land Use Policy 2016, 58, 241–250. [Google Scholar] [CrossRef]
108. Beavers, A.W.; Atkinson, A.; Alaimo, K. Garden characteristics and types of program involvement associated with sustained garden membership in an urban gardening support program. Urban For. Urban Green. 2021, 59, 127026. [Google Scholar] [CrossRef]
109. Grădinaru, S.R.; Triboi, R.; Iojă, C.I.; Artmann, M. Contribution of Agricultural Activities to Urban Sustainability: Insights from Pastoral Practices in Bucharest and Its Peri-Urban Area. Habitat Int. 2018, 82, 62–71. [Google Scholar] [CrossRef]
110. Szulczewska, E.; Wójcik, J.; Kozłowski, M. Role of Education in Shaping Public Perception of Urban Agriculture. Pol. J. Environ. Stud. 2013, 22, 1715–1724. [Google Scholar]
111. Deng, J.; Andrada II, R.; Pierskalla, C. Visitors’ and Residents’ Perceptions of Urban Forests for Leisure in Washington, DC. Urban For. Urban Green. 2017, 28, 1–11. [Google Scholar] [CrossRef]
Sroka W, Król K, Kulesza J, Stanuch M, Lisek S. Community Readiness for Agro Living Lab (ALL) Projects: Factors Influencing Engagement of Young Urban Residents. Agriculture. 2025; 15(1):94.
Перевод статьи «Community Readiness for Agro Living Lab (ALL) Projects: Factors Influencing Engagement of Young Urban Residents» авторовSroka W, Król K, Kulesza J, Stanuch M, Lisek S., оригинал доступен по ссылке. Лицензия: CC BY. Изменения: переведено на русский язык
Комментарии (0)