Механические характеристики и моделирование растрескивания плодов вишни войлочной при деформации
В процессе уборки плоды вишни войлочной подвергаются сжатию и ударам, что приводит к внутренним повреждениям мякоти и растрескиванию кожуры. Это снижает качество продукции и наносит значительный экономический ущерб. В данном исследовании были измерены геометрические параметры и механические свойства (предел прочности, модуль упругости, прочность на сжатие и энергия разрушения) кожицы, мякоти и косточки. На их основе была создана 3D-модель плода, и в программном комплексе Abaqus смоделирован процесс деформации и растрескивания.
Аннотация
Результаты моделирования хорошо согласуются с экспериментальными данными. Установлено, что кожица плода является изотропным материалом, а мякоть и косточка — анизотропными. Плод демонстрирует более высокую прочность на сжатие в осевом направлении. Разработанная модель позволяет прогнозировать механические повреждения плодов при деформации и может быть использована для оптимизации процессов уборки.
1. Введение
Cerasus humilis, произрастающий в Китае, в основном распространен в провинциях и регионах Шаньси, Хэбэй, Ляонин, Внутренняя Монголия и других [ 1 ]. Наряду с российской крупноплодной облепихой, ягодами годжи и американской черникой, Cerasus humilis в совокупности известен как один из четырех редких в мире фруктов, полезных для здоровья. Его плоды богаты питательными веществами, включая 17 аминокислот, необходимых человеческому организму, и большое количество витамина С, витамина В2 , витамина Е, а также минералов, таких как калий, фосфор, цинк и селен. Примечательно, что содержание кальция в нем самое высокое среди фруктов, что дает ему прозвище «кальциевый фрукт» [ 2 , 3 ]. Основным методом сбора Cerasus humilis является механическая уборка гребнем [ 4 , 5 , 6 ]; Высокоскоростные вращающиеся зубья гребенки оказывают сжатие и удар на плоды [ 7 ], что приводит к повреждению внутренней мякоти и разрыву кожуры. Это влияет на качество собранных плодов и их последующую обработку. Поэтому всестороннее понимание биомеханических свойств плодов, построение высоконадежной механической модели, тщательное изучение их компрессионных повреждений и анализ механизмов их разрушения имеют важное фундаментальное исследовательское и промышленное значение.
В настоящее время созданы значительные теоретические и практические основы относительно механических свойств фруктов. Ян Юйсяо и др. [ 8 ] исследовали параметры механических свойств ароматных груш сорта Корла на разных стадиях зрелости. Они разработали математические модели, описывающие взаимосвязь между площадью повреждения при статическом сжатии и величиной деформации для груш на разных стадиях зрелости, и спрогнозировали повреждения, возникающие в результате статического сжатия в разные периоды сбора урожая. С помощью испытаний на прокол Тун Бин и др. [ 9 ] изучали механические свойства трех сортов Cerasus humilis при разных температурах. Экспериментальные результаты показали, что температура оказывает значительное влияние на напряжение разрушения при проколе различных сортов Cerasus humilis. По мере повышения температуры напряжение разрушения при проколе Cerasus humilis уменьшалось; таким образом, низкотемпературные среды помогают уменьшить механические повреждения. Сюэ Чжун и др. [ 10 ] определили параметры механических свойств различных тканей ананаса с помощью испытаний на растяжение и сжатие, а также испытаний на прочность при сдвиге. Ихуэзе Кристофер Чуквуту и др. [ 11 ] измерили механические свойства цитрусовых посредством испытаний на сжатие. Экспериментальные результаты показали, что предельное радиальное напряжение сжатия и максимальное контактное напряжение цитрусовых выше, чем при осевом сжатии. На основе теории энергии деформации (DET) и теории максимального напряжения сдвига (MSST) предел текучести цитрусовых при хранении и транспортировке составил 0,03 МПа и 0,01 МПа соответственно.
С непрерывным развитием теории конечных элементов методы численного моделирования стали эффективным подходом для изучения механических свойств сельскохозяйственной продукции под реальными нагрузками, что позволяет проводить эффективный анализ и прогнозирование их поведения при повреждении [ 12 ]. Кан Шилей и др. [ 13 ] объединили физические эксперименты и численное моделирование для калибровки механических параметров плодов Cerasus humilis. Ихуэзе Кристофер Чуквуто и др. [ 14 ] объединили теорию контактных напряжений Герца с методом конечных элементов для изучения максимального контактного напряжения и предельного напряжения цитрусовых в условиях транспортировки и хранения. Они смоделировали и определили характеристики предельного напряжения упругости, модуля упругости, коэффициента Пуассона и предела текучести цитрусовых как в осевом, так и в радиальном направлениях. Чаглаян Нури и др. [ 15 ] провели испытания на сжатие картофеля и использовали метод, объединяющий обратную разработку, высокоскоростную визуализацию и анализ конечных элементов, для изучения деформации образцов клубней картофеля при падении с разных высот. Они предсказали распределение напряжений и степень повреждения после удара. Бен Зонгью и др. [ 16 ] определили механические свойства (модуль упругости, прочность на сжатие и энергию разрушения) глютена как в осевом, так и в радиальном направлениях при различном содержании влаги и соотношении сторон. Используя программное обеспечение Abaqus, они разработали конечно-элементную модель со связными элементами для моделирования процесса разрушения гранул глютена при сжатии. Результаты моделирования близко соответствовали экспериментальным данным с относительной погрешностью 4–7%. Подводя итог, можно сказать, что большинство исследователей изучали только распределение напряжений во время сжатия, и существует мало сообщений о процессе разрушения фруктов под действием сжимающих нагрузок.
В данном исследовании для изучения механических свойств и механизмов повреждения при сжатии плодов Cerasus humilis был использован комбинированный метод численного моделирования и эксперимента. Сначала были проведены механические испытания для определения механических параметров каждой ткани плода, а именно кожуры, мякоти и сердцевины. Затем была использована технология трехмерного обратного проектирования для точного построения трехмерных геометрических моделей кожуры, мякоти и сердцевины. Наконец, процесс растрескивания плодов Cerasus humilis при сжатии был смоделирован с использованием программного обеспечения для конечно-элементного анализа Abaqus для получения распределения напряжений и условий растрескивания под сжимающими нагрузками. Были проанализированы механизмы повреждения при сжатии, и результаты моделирования были сравнены с экспериментальными данными для проверки точности и устойчивости конечно-элементной модели. Данное исследование предоставляет теоретические рекомендации по снижению повреждений при сжатии во время сбора урожая Cerasus humilis и оптимизации конструкции уборочного оборудования.
2. Материалы и методы
2.1 Материалы и оборудование
В данном исследовании в качестве исследовательских материалов были выбраны свежие и зрелые плоды Cerasus humilis сорта «Nongda No. 6». Их собирали на экспериментальном поле Cerasus humilis в Сельскохозяйственном университете Шаньси (координаты: 112°36′56″ в. д.; 37°25′17″ с. ш.). Все плоды собирали вручную, чтобы обеспечить одинаковую спелость и отсутствие повреждений. Собранные плоды хранили в термостате при температуре 25 °C и относительной влажности 80% для последующего использования, при этом время хранения не превышало 24 ч. Испытания механических свойств проводились с использованием универсальной испытательной машины (INSTRON-5544, Instron Corporation, Норвуд, Массачусетс, США), оснащенной датчиком нагрузки 2 кН, с погрешностью измерения ±0,5%. Другие инструменты, необходимые для эксперимента, включали цифровой штангенциркуль (Wenling Kaichuang Measuring Tools Co., Ltd., Тайчжоу, Китай, точность ± 0,01 мм), электронные весы (Hangzhou Hengyi Instrument Technology Co., Ltd., Ханчжоу, Китай, точность ± 0,01 г), сушильный шкаф (DHG-9023A, Wuxi Sanxin Precision Testing Equipment Co., Ltd., Уси, Китай), универсальные ножи и пробоотборники мякоти (Beijing Nanbei Chenyang Experimental Equipment Co., Ltd., Пекин, Китай). Перед экспериментом 100 плодов одинаковой формы и однородной массы, без видимых повреждений, были случайным образом отобраны, промаркированы и оставлены при комнатной температуре на два часа. Основные размеры плодов — длина (Д), ширина (Ш) и высота (В) — были измерены с помощью штангенциркуля, как показано на рисунке 1 а. Внутренняя структура плода при аксиальном разрезе показана на рисунке 1 б.
2.2. Определение содержания влаги в плодах Cerasus Humilis
Десять плодов Cerasus humilis были выбраны случайным образом. Содержание влаги в плодах определяли методом прямой сушки [17] Стандарт (GB 5009.3-2016). Было взято среднее значение рассчитанных результатов, и формула расчета выглядит следующим образом:
2.3. Испытания механических свойств различных тканей Cerasus Humilis
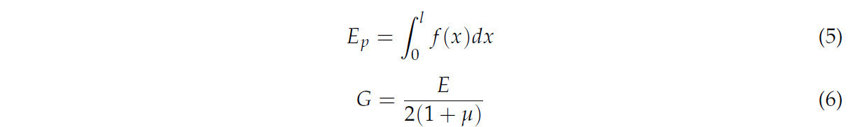
Кожура, как самая наружная ткань плода Cerasus humilis, играет важную защитную роль, уменьшая механические повреждения [ 18 ]. Для анализа различий в осевых и радиальных механических свойствах кожуры Cerasus humilis, с помощью универсального ножа кожура была разрезана вдоль осевого направления на прямоугольные образцы размером 40 ± 0,5 мм в длину и 10 ± 0,5 мм в ширину. Любая лишняя мякоть, прилипшая к задней части кожуры, была аккуратно соскоблена, в результате чего толщина составила 0,3 ± 0,1 мм. Перед испытанием, чтобы предотвратить соскальзывание кожуры плода, образцы кожуры были закреплены в приспособлении с резиновой прокладкой и растянуты со скоростью нагрузки 5 мм/мин [ 19 ]. Испытание было остановлено при разрыве кожуры, и образцы, которые сломались вблизи средней области, были отобраны в качестве годных образцов для испытания на растяжение. С помощью пробоотборника из мякоти были сделаны цилиндрические образцы вдоль осевого направления плода Cerasus humilis; Каждый образец имел высоту 15 ± 0,5 мм и диаметр 8 ± 0,5 мм. Испытание на сжатие проводилось методом сжатия пластиной. В ходе эксперимента оба типа образцов помещались в опорное приспособление и центрировались на компрессионных пластинах. Расстояние между захватами и образцом точно регулировалось с помощью кнопки управления перемещением. Как только пластина слегка касалась поверхности образца, усилие сжатия и перемещение сбрасывались. Универсальная испытательная машина была настроена на скорость нагружения 5 мм/мин. Процесс нагружения начинался нажатием кнопки пуска и останавливался, когда образец испытывал разрушение при сжатии. Процедуры подготовки и испытания радиальных образцов были идентичны процедурам для аксиальных образцов. Эллипсоидальная сердцевина плодов Cerasus humilis погружена в мякоть, что обеспечивает поддержку и минимизирует деформацию плода. В ходе эксперимента избыток мякоти, окружающий сердцевину, соскабливался, и образец сердцевины помещался в опорное приспособление, центрируясь на компрессионных пластинах. Нагрузка прикладывалась вдоль короткой и длинной осей сердечника со скоростью 5 мм/мин до разрушения сердечника. Соответствующие кривые сила-смещение и данные испытаний регистрировались с помощью универсальной испытательной машины. Каждое испытание повторялось пять раз, и за результат принималось среднее значение. Процесс испытания механических свойств показан на рисунке 2. После завершения эксперимента данные обрабатывались с помощью Origin 2024b (Origin Lab, Нортгемптон, Массачусетс, США). Параметры механических свойств каждой ткани плодов Cerasus humilis рассчитывались по формулам (2)–(6) [ 20 ]:
2.4. Испытание на сжатие плодов Cerasus Humilis
Чтобы понять процесс разрушения плодов Cerasus humilis под действием сжимающих нагрузок и проверить точность результатов моделирования, мы выбрали 10 плодов Cerasus humilis одинакового размера и без повреждений, удалили их плодоножки, чтобы минимизировать помехи механическим испытаниям [ 21 ], и провели испытания на сжатие в осевом и радиальном направлениях. Во время испытания скорость нагружения универсальной испытательной машины была установлена на 5 мм/мин, и нагружение прекращалось после того, как плод треснул. Данные о силе-смещении, полученные в ходе эксперимента, автоматически регистрировались компьютером, а экспериментальная процедура показана на рисунке 3 .
2.5. Моделирование методом конечных элементов и имитация
2.5.1 Построение геометрической модели
Чтобы повысить осуществимость исследования и уменьшить сложность модели, предполагалось, что между сердцевиной и мякотью существует полная адгезия, без разделения [ 22 ]. Во время моделирования сердцевина была встроена как независимая геометрическая сущность в структуру мякоти. Моделирование геометрических сущностей является ключом к повышению точности моделирования. Учитывая нерегулярную форму плода Cerasus humilis, один плод был случайным образом выбран из тестовых образцов. Ручной 3D-сканер (HandySCAN 700, Creaform, Леви, Квебек, Канада; точность сканирования 0,03 мм, скорость измерения при сканировании 480 000 измерений в секунду, разрешение сканирования 0,05 мм) использовался для сбора данных облака точек его поверхности и сердцевины. Для реконструкции данных облака точек с созданием начальной модели сетки использовалось программное обеспечение с открытым исходным кодом CloudCompare v2.13.2 (EDF R&D, Шату, Франция). Затем модель сетки была импортирована в SolidWorks (Dassault Systèmes sa, Уолтем, Массачусетс, США) для дальнейшей обработки. Инструменты редактирования поверхностей использовались для уточнения деталей поверхности, что позволило завершить геометрическое моделирование кожуры, мякоти и сердцевины. Наконец, в SolidWorks кожура, мякоть и сердцевина были собраны, и были применены ограничения для обеспечения соответствия позиционных взаимосвязей между геометрическими объектами фактической структуре плода Cerasus humilis, что позволило сформировать полную геометрическую модель плода. Процесс моделирования плода Cerasus humilis показан на рисунке 4 .
2.5.2 Моделирование методом конечных элементов и построение сетки
В этом исследовании моделирование методом конечных элементов проводилось с использованием Abaqus (версия 2023, Dassault Systèmes, Париж, Франция). В анализе методом конечных элементов тип и размер сетки оказывают значительное влияние на точность моделирования. К распространенным типам сеток относятся тетраэдрические и гексаэдрические сетки. Тетраэдрические элементы, благодаря своей гибкой форме, лучше адаптируются к сложным и нерегулярным геометриям; однако при той же плотности сетки точность моделирования обычно ниже. Напротив, гексаэдрические элементы, благодаря своей регулярной форме и функциям формы более высокого порядка, могут обеспечить более высокую точность и лучшую численную устойчивость при той же плотности сетки [ 23 ]. Более того, меньшие размеры сетки помогают точнее улавливать тонкие изменения физических полей. На основании вышеизложенных соображений и для адаптации к размеру плода Cerasus humilis и удовлетворения требований к скорости вычислений и точности решения, в этом исследовании использовались гексаэдральные сетки с глобальным размером ячеек 0,5 мм [ 24 , 25 ]. Модель Cerasus humilis была импортирована в программное обеспечение Hypermesh в Altair HyperWorks 2020 (Altair Engineering, Inc., Трой, Мичиган, США) для предварительной обработки сетки. Кожура, мякоть и сердцевина плода Cerasus humilis были разбиты на сетки отдельно, чтобы гарантировать, что качество сетки соответствует требованиям анализа. Количество элементов и узлов для каждой ткани Cerasus humilis после создания сетки показано в таблице 1. Детали сетки и направления сжатия показаны на рисунке 5 .
2.5.3 Модель вязкого разрушения
В Abaqus модель пластичного повреждения использовалась для моделирования поведения материалов при повреждении и разрушении, вызванного образованием, ростом и слиянием пустот в материале при пластической деформации [ 26 , 27 ]. Процессы возникновения и развития повреждений показаны на рисунке 6. Эта модель широко применяется для прогнозирования таких явлений, как накопление повреждений и окончательное разрушение материалов под действием растягивающих и сжимающих нагрузок. Благодаря включению этой модели механизмы повреждения материалов могут быть включены в конечно-элементный анализ, что позволяет более точно моделировать процесс разрушения материала.
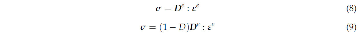
В этом исследовании был принят критерий возникновения повреждения, основанный на эквивалентной пластической деформации. Когда эквивалентная пластическая деформация материала (𝜀𝑒 𝑞𝑝) достигает заданного критического значения (т.е. деформации разрушения, 𝜀𝑓𝑝), срабатывает критерий начала разрушения, и модель начинает расчёт повреждения материала. Деформация разрушения представляет собой максимальную эквивалентную пластическую деформацию, которую может выдержать материал, и может быть определена по данным механических испытаний. Формула её расчёта представлена в уравнении (7) и использовалась для определения начала повреждения материала.
До возникновения повреждения материал подчиняется упругопластическому определяющему соотношению, при этом эквивалентная пластическая деформация постепенно накапливается. Это определяющее соотношение описывается уравнением (8). При 𝜀𝑒 𝑞𝑝≥𝜀𝑓𝑝, материал переходит в фазу развития повреждения, в течение которой переменная повреждения𝐷 вводится для описания деградации жёсткости материала. Соотношение, определяющее состояние материала в фазе развития повреждения, выражается уравнением (9). Поскольку𝐷 увеличивается, эффективная жесткость материала постепенно уменьшается. Когда 𝐷= 1, материал полностью разрушается и теряет несущую способность. Благодаря взаимосвязи между эквивалентной пластической деформацией и деформацией разрушения модель эффективно описывает весь процесс от упругопластического поведения до развития повреждений и окончательного разрушения.
2.5.4 Граничные условия и решения
Модель сетки, созданная в Hypermesh, была импортирована в ABAQUS. На основании результатов механических испытаний кожура и мякоть были определены как упругопластические материалы [ 28 ]. В процессе сжатия плода Cerasus humilis сердцевина не подвергается повреждениям, поэтому она была упрощена до линейно-упругого материала. Модель пластичного повреждения использовалась для определения поведения повреждения кожуры и мякоти, при этом тип развития повреждения был установлен на смещение, а значение параметра составило 1 × 10−8 . Остальные свойства материала и параметры повреждения представлены в Таблице 2. С помощью инструмента TIE внутренняя поверхность кожуры, внешняя поверхность мякоти, внутренняя поверхность мякоти и внешняя поверхность сердцевины были связаны в единое целое. Основание и индентор были заданы как жесткие тела. К основанию было применено фиксированное ограничение, к индентору было применено ограничение смещения в отрицательном направлении Y, а его степени свободы были ограничены в других направлениях. Смещение при сжатии составляло 10 мм. Для контактных взаимодействий использовался общий контакт, при этом коэффициент трения между плодом ведра хвойного с индентором и опорой был установлен равным 0,01 [ 29 ]. Для вычислений использовался решатель ABAQUS/Implicit. Максимальное количество приращений было установлено равным 20 000, начальный размер приращения – 0,01, а минимальный – 1 × 10−6 .
3. Результаты и обсуждение
3.1 Геометрические параметры и механические свойства плодов церазуса гумилиса
Согласно результатам измерения влажности, среднее содержание влаги в плодах сорта «Нонгда № 6» составило 84,72 ± 0,03%. Среднее значение и стандартное отклонение длины плодов вишни низкой, измеренные штангенциркулем, составили 26,13 ± 1,59 мм, ширины – 27,11 ± 1,73 мм, а высоты – 22,45 ± 1,42 мм. Для сердцевины среднее значение и стандартное отклонение малой оси составили 8,27 ± 0,33 мм, большой оси – 9,31 ± 0,42 мм, а высоты – 12,65 ± 0,55 мм. С помощью электронных весов масса плодов составила 10,96 ± 1,69 г, а масса сердцевины – 0,56 ± 0,05 г. Плотность плодов и сердцевины вишни хвойной составила 1,05 ± 0,016 г/см³ и 1,15 ± 0,16 г/см³ соответственно. Результаты испытаний механических свойств кожуры, мякоти и сердцевины плодов вишни хвойной представлены на рисунке 7.
Из рисунка 7 а, можно заметить, что при растяжении кожуры плодов Cerasus humilis кривые осевого и радиального растяжения были нелинейными, без явного предела биотекучести. По мере увеличения деформации образца напряжение соответственно увеличивалось. Когда деформация достигала определенного значения, напряжение достигало своего максимума. При дальнейшем увеличении деформации напряжение резко уменьшалось, и кожура разрушалась в этой точке. Точка, соответствующая максимальному напряжению, является точкой разрушения образца кожуры; это напряжение называется напряжением разрушения, которое является пределом прочности кожуры на растяжение [ 31 ]. Осевая прочность кожуры на растяжение была немного больше радиальной прочности на растяжение. Из рисунка 7 б, можно заметить, что кривые осевого и радиального сжатия мякоти демонстрировали значительные различия. Во время радиального сжатия кривая напряжения на растяжение показывала определенную линейную характеристику изменения; по мере увеличения нагрузки радиальное напряжение сжатия постепенно увеличивалось. Когда напряжение достигало предела прочности пульпы на сжатие, ее исходная структура ткани разрушалась, и вся пульпа разрушалась. Напротив, кривая осевого сжатия демонстрировала очевидную нелинейность, но общая тенденция была аналогична таковой в радиальном направлении. Радиальная прочность пульпы на сжатие была больше, чем осевая прочность на сжатие, возможно, потому, что при осевом сжатии пульпа более склонна к скольжению или деформации вдоль слоев клеток. Из рисунка 7 c можно видеть, что кривые осевого и радиального сжатия ядра были аналогичны кривым кожуры. Однако осевая прочность на сжатие ядра была больше, чем его радиальная прочность на сжатие. Это может быть связано с тем, что пучки волокон или клетки склеренхимы внутри ядра более плотно расположены в осевом направлении, тем самым увеличивая его осевую несущую способность.
Механические свойства кожуры, мякоти и сердцевины плодов Cerasus humilis представлены в таблице 3. t-критерий Стьюдента экспериментальных данных не выявил существенных различий между аксиальными и радиальными механическими свойствами кожуры ( p > 0,05), что позволяет предположить, что кожуру можно рассматривать как изотропный материал. Напротив, существенные различия наблюдались в аксиальных и радиальных механических свойствах мякоти и сердцевины ( p < 0,05), что указывает на их анизотропное поведение. Подробные результаты анализа представлены в таблице 4 .
3.2. Механические свойства плодов Cerasus Humilis
Кривые напряжение-деформация сжатых плодов Cerasus humilis показаны на рисунке 8. Из рисунка 8 можно заметить, что плоды показали нелинейную зависимость напряжения-деформации во время сжатия, а осевые и радиальные кривые показали определенное сходство. Кривая напряжение-деформация показала отчетливый биологический предел текучести. Когда напряжение достигло точки разрыва, плоды полностью разломились, после чего напряжение уменьшилось. По мере дальнейшего увеличения деформации и сжатия сердцевины индентором напряжение снова возросло. Прочность на осевое сжатие плодов Cerasus humilis была выше, чем прочность на радиальное сжатие. Это может быть связано с тем, что при осевом сжатии кожура и сердцевина обеспечивают большую поддержку и сопротивление, в результате чего плоды Cerasus humilis проявляют более высокую прочность на сжатие во время осевого сжатия.
3.3 Результаты и анализ конечно-элементного моделирования
Чтобы проверить точность конечно-элементной модели, кривые сила-смещение и условия повреждения, полученные в результате моделирования, были сравнены и проанализированы с кривыми, полученными в результате испытаний на сжатие плодов Cerasus humilis, как показано на рисунке 9. Из рисунков 9 a, b можно заметить, что на упругой стадии экспериментальные кривые и кривые моделирования были в высокой степени согласованы, что указывает на то, что созданная конечно-элементная модель может точно представлять упругие характеристики плодов Cerasus humilis. Однако на пластической стадии появились некоторые отклонения между модельными и экспериментальными кривыми: значения силы, полученные с помощью конечно-элементного моделирования, были немного выше экспериментальных результатов. Это расхождение может быть связано с ограничениями конечно-элементной модели в полном учете внутренней микроструктуры плода, такой как межклеточные пустоты и распределение тканевой жидкости, а также с упрощением свойств материала тканей плода в упругопластической модели. Мы провели анализ соответствия между данными моделирования и экспериментальными данными для стадии текучести плода. Результаты подгонки показали, что коэффициенты корреляции между моделированием и экспериментальными данными были высокими (осевой R 2 = 0,957, радиальный R 2 = 0,976). Это указывает на то, что созданная модель конечных элементов может эффективно использоваться для анализа механических свойств плодов Cerasus humilis в процессе сжатия. Что касается повреждений, на рисунке 9 c показаны результаты испытания на сжатие плода Cerasus humilis, где во время осевого сжатия была обнаружена значительная трещина вдоль центральной оси плода. На рисунке 9 d представлены результаты моделирования методом конечных элементов, которые воспроизвели схожий рисунок трещины и тенденцию ее распространения. Положения и формы трещин в обоих случаях были в значительной степени согласованными, что дополнительно демонстрирует, что созданная модель конечных элементов может, в некоторой степени, предсказывать места деформации и разрушения этих плодов, обеспечивая основу для изучения поведения этих плодов при разрушении.
В начале сжатия максимальное напряжение было сосредоточено в основном в областях, где плод Cerasus humilis соприкасался с индентором и основанием опоры. По мере увеличения смещения индентора плод постепенно деформировался. Когда поверхностное напряжение кожуры достигало критического значения повреждения, верхняя и нижняя части плода начинали демонстрировать повреждения. По мере дальнейшего увеличения смещения индентора поврежденные области постепенно расширялись от верха и низа к середине плода. Когда поверхностное напряжение кожуры достигало 0,08 МПа, кожура полностью разрывалась, а пик напряжения в месте разрыва достигал 0,75 МПа. После разрыва кожуры клетки мякоти были повреждены, и из трещин выделилось большое количество тканевой жидкости. Процесс повреждения плода Cerasus humilis показан на рисунке 10 .
3.4. Поведение плода при внутренних повреждениях
3.4.1 Внутренние повреждения плода вследствие осевого сжатия
В модуле постобработки Abaqus функция Activate/Deactivate View Cut использовалась для установки z-плоскости в качестве плоскости сечения, аксиально разрезая плод Cerasus humilis. Распределение эквивалентного напряжения по Мизесу внутри плода при различных смещениях сжатия показано на рисунке 11. Во время сжатия напряжение передавалось от кожуры к сердцевине, демонстрируя осесимметричное распределение. При смещении сжатия 1 мм максимальное напряжение возникало в точках контакта между кожурой и индентором и основанием, а также в нижней части сердцевины. Поскольку максимальное напряжение в области мякоти было ниже осевого предела текучести мякоти (0,05 МПа), повреждений в плоде не наблюдалось. При увеличении смещения сжатия до 3 мм максимальное напряжение возникало в области сердцевины, и напряжение в мякоти постепенно распространялось наружу. В некоторых областях напряжение превышало осевой предел текучести мякоти, что приводило к возникновению внутренних повреждений внутри плода. При достижении величины смещения при сжатии 5 мм плод перешёл в стадию пластической деформации, и на поверхности кожуры начали появляться мелкие трещины. При дальнейшем увеличении величины смещения при сжатии эти поверхностные трещины постепенно расширялись к центру. При достижении величины смещения при сжатии 9 мм плод полностью разрушился.
3.4.2 Внутренние повреждения плода вследствие радиального сжатия
Аналогичным образом, распределение эквивалентного напряжения по фон Мизесу внутри плода при различных смещениях сжатия после радиального разреза плода Cerasus humilis показано на рисунке 12. Внутреннее напряжение в плоде демонстрировало симметричное распределение вдоль его радиального направления. При смещении сжатия 1 мм максимальное напряжение возникало в точках контакта кожуры с индентором и основанием; поскольку максимальное напряжение в области мякоти было ниже радиального предела текучести мякоти (0,09 МПа), повреждений в плоде не наблюдалось. По мере увеличения смещения сжатия напряжение в области мякоти постепенно распространялось к сердцевине. Когда смещение сжатия достигало 5 мм, внутри плода начинали развиваться внутренние повреждения. При 6 мм плод входил в стадию пластической деформации, сопровождавшуюся появлением мелких трещин на поверхности кожуры. При дальнейшем увеличении смещения сжатия эти поверхностные трещины расширялись к центру, и напряжение в сердцевине достигало своего максимума. Когда смещение сжатия достигало 9 мм, плод подвергался полному разрушению.
3.5 Обсуждение
В настоящее время основным методом сбора урожая Cerasus humilis является гребнеотделение. Во время сбора урожая сжатие, вызванное зубьями гребня, может привести к повреждению плода. Эти повреждения можно разделить на два основных типа: прямое поверхностное растрескивание плода и внутренние повреждения, которые нелегко увидеть невооруженным глазом. Эти повреждения серьезно влияют на последующую обработку и хранение плодов Cerasus humilis. В этом исследовании моделировалось поведение повреждений плодов Cerasus humilis при сжимающей нагрузке. Результаты показали, что когда плод вошел в пластическую стадию, хотя кожура не треснула, масштабные внутренние повреждения уже произошли. Кроме того, внутренние повреждения произошли раньше в мякоти, когда плод подвергался осевому сжатию, что согласуется с результатами, полученными в литературе [ 32 , 33 ]. Когда смещение сжатия достигало 9 мм, плод полностью трескался. Эти результаты обеспечивают теоретическую основу для оптимизации оборудования для сбора Cerasus humilis и предполагают минимизацию осевого сжатия плода в процессе сбора урожая.
Моделирование методом конечных элементов широко применялось для изучения механического поведения фруктов. Цзоу и др. [ 34 ] использовали вязкоупругую модель Бюргерса для построения имитационной модели для шпината, и результаты показали, что эта модель может эффективно отражать характеристики ползучести шпината. Ма Шуай и др. [ 35 ] использовали модель Максвелла для описания механических свойств мякоти винограда и проверили точность модели. В этом исследовании модель повреждений, основанная на упругопластических характеристиках, использовалась для моделирования процесса повреждения при сжатии плодов Cerasus humilis. Однако модель не учитывала микроструктурные особенности и реологические свойства плодов. Будущая работа будет включать микроструктурные характеристики и реологические свойства плодов для дальнейшего уточнения модели конечных элементов и повышения точности прогнозирования повреждений.
4. Выводы
(1) В ходе механических испытаний были получены механические характеристики различных тканей плодов Cerasus humilis как в аксиальном, так и в радиальном направлении. Плоды Cerasus humilis обладают анизотропными механическими свойствами: их прочность на осевое сжатие выше, чем на радиальное.
(2) Модель пластичного разрушения (Ductile Damage) использовалась для моделирования осевого сжатия и растрескивания плодов Cerasus humilis. Результаты моделирования показали, что кривая «сила-смещение» хорошо согласуется с экспериментальными данными, а процесс растрескивания плодов – с экспериментальными наблюдениями. Когда осевое смещение достигало 9 мм, а поверхностное напряжение в кожуре – 0,08 МПа, плод полностью разрушался. Данная модель оказалась эффективной для моделирования поведения повреждений плодов Cerasus humilis при сжимающей нагрузке.
(3) В процессе сжатия распределение внутренних напряжений в плодах Cerasus humilis было симметричным, а мякоть была более склонна к повреждению. При осевом сжатии внутренние повреждения начинали проявляться при смещении более 3 мм, тогда как при радиальном сжатии внутренние повреждения начинали проявляться при смещении более 5 мм.
Hao C, Yang D, Zhao L, Yang J, Wang T, He J. Compressive Characteristics and Fracture Simulation of Cerasus Humilis Fruit. Agriculture. 2025; 15(1):88.
Перевод статьи «Compressive Characteristics and Fracture Simulation of Cerasus Humilis Fruit» авторов Hao C, Yang D, Zhao L, Yang J, Wang T, He J., оригинал доступен по ссылке. Лицензия: CC BY. Изменения: переведено на русский язык


















Комментарии (0)