Как мульчирование повышает урожай в засушливых регионах: солома против пленки
Практика мульчирования регулирует почвенно-температурный режим для повышения продуктивности сельскохозяйственных культур в богарной агроэкосистеме Лёссового плато в Китае
Аннотация
Мульчирование продемонстрировало потенциал для увеличения урожайности сельскохозяйственных культур и эффективности использования ресурсов. Однако реакция различных культур на разных стадиях роста на различные методы мульчирования остается неясной, особенно в условиях богарного земледелия. Поэтому был проведен двухлетний полевой эксперимент (2013–2015 гг.) на разных культурах (пшеница, кукуруза и картофель) для оценки влияния трех различных видов мульчирования: мульчирование соломенными полосами (MS), мульчирование пластиковой пленкой (MP) и традиционная посадка без мульчирования в качестве контроля (CK) — на влажность и температуру почвы, эвапотранспирацию (ET), эффективность использования воды (WUE), урожайность и экономические выгоды на Лёссовом плато.
Результаты показали, что оба метода мульчирования достоверно увеличивали содержание влаги в почве (MS: на 4,3%; MP: на 3,6%) по сравнению с контролем (CK). Однако влияние на температуру почвы различалось между методами: MP повышала температуру почвы на 4,9% по сравнению с CK, тогда как MS понижала ее на 6,3%. Улучшенные почвенно-температурные условия, характеризующиеся благоприятными температурами и более высоким влагосодержанием почвы, приводили к более высокой суточной скорости роста сельскохозяйственных культур (5,3–49,8%), а также к большему накоплению сухого вещества (4,7–36,7%).
Кроме того, мульчирование (MS и MP) оказывает значительное влияние на урожайность и ее компоненты у различных культур, а также на WUE. Средняя зерновая урожайность при MS и MP увеличилась по сравнению с CK на 11,4% и 27,1% соответственно для озимой пшеницы, на 1,8% и 24,3% для яровой кукурузы и на 23,0% и 13,9% для картофеля. По сравнению с CK, MP обеспечила более высокую чистую экономическую выгоду и WUE для озимой пшеницы и яровой кукурузы, тогда как MS показала наилучшие экономические показатели и WUE для картофеля.
В заключение, комплексный анализ урожайности, экономических выгод и эффективности использования ресурсов позволяет предположить, что мульчирование соломенными полосами для картофеля является более устойчивой и экологически безопасной практикой, которую рекомендуется применять в богарных системах земледелия на Лёссовом плато и в регионах со схожими климатическими условиями.
1. Введение
Лёссовое плато, занимающее около 630 000 км² на северо-западе Китая, характеризуется умеренным полузасушливым континентальным муссонным климатом и является одним из основных регионов производства сельскохозяйственных культур в Китае [1]. Пшеница, кукуруза и картофель — преобладающие зерновые культуры в этом районе, который играет crucialную роль в национальном производстве зерна и продовольственной безопасности [2,3]. Однако урожайность культур в этом регионе часто бывает низкой и нестабильной из-за сезонных засух и дисбаланса между предложением и спросом на почвенную влагу на Лёссовом плато [4,5]. Поэтому повышение сельскохозяйственной продуктивности в этом регионе зависит от максимизации использования осадков с помощью таких методов, как улавливание легких дождевых вод, удержание стока от сильных ливней и сокращение непродуктивного испарения [6]. В этом регионе были разработаны различные методы для увеличения урожайности сельскохозяйственных культур и эффективности использования ресурсов, такие как мульчирование соломой и мульчирование пластиковой пленкой.
Как мульчирование соломой, так и мульчирование пластиковой пленкой могут уменьшить испарение и эрозию почвы, изменить температуру почвы и снизить засоренность сорняками, что может привести к увеличению урожайности культур и повышению эффективности использования ресурсов [5,7,8,9]. Сообщалось, что мульчирование пластиковой пленкой улучшает температуру почвы, увеличивает запасы влаги в почве, снижает испарение с поверхности почвы и подавляет рост сорняков [10,11,12]. Эти улучшенные почвенно-температурные условия ускоряют рост сельскохозяйственных культур и повышают урожайность [13,14]. Несмотря на эти преимущества, мульчирование пластиковой пленкой также создает проблемы, такие как ускоренное разложение органического вещества почвы, быстрое истощение плодородия и влаги почвы, а также спутывание корней культур с пластиковой пленкой, что препятствует поглощению воды и питательных веществ и, в конечном итоге, влияет на урожайность [5,10,15]. Более того, длительное использование мульчирования пластиковой пленкой приводит к значительным остаткам пластика в почве, что негативно сказывается на почвенной среде и препятствует устойчивому развитию сельского хозяйства [16,17]. Все это вопросы, которые необходимо учитывать в сельскохозяйственном производстве, особенно в системах устойчивого сельскохозяйственного производства.
В последние годы мульчирование соломой стало экологически чистой технологией и широко применяется в богарных системах земледелия [18,19,20]. Многие исследования показали, что мульчирование соломой может уменьшить поверхностные повреждения от осадков, снизить поверхностный сток, предотвратить потерю верхнего слоя почвы с пахотных земель и усилить инфильтрацию воды в почву, тем самым улучшая среду роста сельскохозяйственных культур и повышая урожайность [3,21]. Кроме того, внесение соломы в почву может увеличить содержание органического вещества и значительно улучшить концентрацию органического углерода в почве [22]. Однако некоторые исследования обнаружили, что мульчирование соломой может снизить температуру почвы, что может уменьшить урожайность культур [5,23]. Чтобы решить эту проблему, мы разработали новую технику мульчирования соломой под названием «мульчирование соломенными полосами», которая чередует мульчированные и немульчированные посадочные полосы [3,24,25]. Эта техника улучшает экологические сервисные функции богарной почвы и снижает загрязнение окружающей среды [22]. Исследования нашей команды показали, что по сравнению с традиционной посадкой без мульчирования оба метода мульчирования (мульчирование соломенными полосами и мульчирование пластиковой пленкой) значительно регулируют почвенно-температурные условия для повышения продуктивности сельскохозяйственных культур в богарной агроэкосистеме Лёссового плато [17,20,22,24]. Однако наши предыдущие исследования в основном были сосредоточены на отдельных типах культур, а реакции разных культур на различных стадиях роста на различные методы мульчирования (мульчирование соломенными полосами и мульчирование пластиковой пленкой) могут существенно различаться.
Поэтому в данном исследовании был проведен двухлетний полевой эксперимент с тремя культурами (озимой пшеницей, яровой кукурузой и картофелем) с различными характеристиками роста, чтобы изучить влияние различных методов мульчирования на почвенно-температурный статус, рост растений и показатели урожайности в богарной агроэкосистеме Лёссового плато. Целями данного исследования были: (1) изучить динамические изменения влажности и температуры почвы при различных методах мульчирования в течение вегетационного периода; (2) сравнить влияние методов мульчирования на урожайность сельскохозяйственных культур, эффективность использования воды и экономические выгоды; и (3) определить оптимальный метод мульчирования для культур с различными характеристиками роста.
2. Материалы и методы
2.1. Описание места проведения
Полевые эксперименты проводились в течение вегетационных сезонов с 2013 по 2015 год на Тунвэйской экспериментальной станции (35°11′ с.ш., 105°19′ в.д.), расположенной в полузасушливом богарном сельскохозяйственном регионе Лёссового плато, провинция Ганьсу, Китай. Экспериментальный участок находится на высоте 1750 м над уровнем моря и представляет собой типичный умеренный континентальный климат, характеризующийся значительной изменчивостью количества и распределения осадков. Среднегодовые климатические условия на экспериментальном участке следующие: средняя температура 7,2 °C, общее количество осадков 391 мм, испаряемость 1500 мм и 170 безморозных дней [17,25]. Почва на участке классифицируется как лёссовая почва согласно классификации текстуры почвы USDA [20]. Перед экспериментами были измерены свойства почвы для слоя 0–20 см: объемная плотность 1,25 г см−3, pH 8,4, содержание органического вещества 8,81 г кг−1, общее содержание азота (N) 0,77 г кг−1, доступного фосфора 8,9 мг кг−1 и доступного калия 117,3 мг кг−1 [26]. Динамика осадков и температуры в течение экспериментальных периодов показана на Рисунке 1, на основе данных, полученных с метеостанции на экспериментальном участке (места проведения экспериментов находились в радиусе 5 км вокруг метеостанции). В течение вегетационных сезонов озимой пшеницы 2013–2014 и 2014–2015 годов зарегистрированное количество осадков составило 175,6 мм и 214,9 мм соответственно. Для вегетационных сезонов яровой кукурузы и картофеля 2014 и 2015 годов количество осадков составило 281,0 мм и 284,6 мм соответственно.
Рисунок 1. Схематическая диаграмма различных систем земледелия, а также температуры и осадков в течение вегетационных сезонов 2013–2015 годов в Тунвэе, Китай. SM, мульчирование соломенными полосами; PM, мульчирование пластиковой пленкой; CK, традиционная посадка без мульчирования.
2.2. Экспериментальный план и управление полем
Экспериментальный план представлял собой рандомизированный полный блочный дизайн, который состоял из трех обработок в оба экспериментальных года (включает три различные культуры, а именно озимую пшеницу, яровую кукурузу и картофель): (a) мульчирование соломенными полосами (SM), чередующиеся полосы, мульчированные (шириной 0,5 м) соломой кукурузы, которые чередуются с посадочными полосами без мульчи; (b) мульчирование пластиковой пленкой (PM), почва была покрыта пластиковой пленкой, и пленка соединялась в верхней части зон просачивания воды высотой 0,1 м и герметизировалась почвой, а на пленке в бороздах острым предметом делались небольшие отверстия для инфильтрации осадков; (c) традиционная посадка без мульчирования в качестве контроля (CK) (Рисунок 1). Каждая обработка проводилась в трех повторностях, а размер делянки для озимой пшеницы, яровой кукурузы и картофеля составлял 80 м2 (8 м × 10 м), 168 м2 (21 м × 8 м) и 80 м2 (16 м × 5 м) соответственно.
Норма высева озимой пшеницы составляла 202,5 кг га−1, а густота посадки яровой кукурузы и картофеля — 5,25 × 104 растений га−1. Озимая пшеница высевалась в конце сентября и убиралась в середине июля, а яровая кукуруза и картофель высевались/высаживались в конце апреля и убирались в начале октября каждого экспериментального года. Озимая пшеница, яровая кукуруза и картофель ежегодно удобрялись в дозах 105, 120 и 120 кг N га−1 соответственно, вместе с 105, 120 и 120 кг P2O5 га−1. Удобрениями для N и P2O5 служили мочевина (N 46,4%) и аммофос (P2O5 45%, N 16%), которые равномерно разбрасывались и заделывались в верхний 10-сантиметровый слой почвы с помощью ротационной обработки перед посевом. Эксперименты проводились в соответствии с практиками управления, рекомендуемыми местными фермерами для производства озимой пшеницы, яровой кукурузы и картофеля, и орошение не применялось ни в одном экспериментальном году [22,24,26].
2.3. Измерения и методы
2.3.1. Измерение почвенно-температурного статуса
Температура почвы для различных культур (озимой пшеницы, яровой кукурузы и картофеля) измерялась на разных стадиях роста на глубинах 0–25 см (5, 10, 15, 20 и 25 см) в каждый экспериментальный год. Ртутные стеклянные почвенные термометры с изогнутым стержнем (Hongxing Thermal Instruments, Циньхуандао, Китай) размещались между двумя растениями в рядах, и температура почвы регистрировалась в 7:00, 14:00 и 19:00 часов каждый день. Среднесуточная температура почвы рассчитывалась как среднее значение трех показаний, полученных за один день.
Влажность почвы на различных делянках измерялась на разных стадиях роста культур-индикаторов на глубинах 0–200 см (0–20, 20–40, 40–60, 60–90, 90–120, 120–150, 150–180 и 180–200 см) в каждый экспериментальный год, которая определялась гравиметрическим методом (внутренний диаметр 4,5 см), и образцы почвы отбирались с помощью бура. Влажность почвы (SWC, %), запас влаги в почве (SWS, мм), эвапотранспирация (ET, мм) и эффективность использования воды (WUE, кг га−1 мм−1) рассчитывались по следующим уравнениям [1]:
где M1 и M2 (г) — вес влажной и сухой почвы; D𝑖 (г см−3) — объемная плотность почвы, определяемая с помощью режущего кольца; H𝑖 (см) — толщина слоя отбора проб почвы; SM𝑖 (%) — SWC в i-м уровне почвы для каждой обработки (𝑖 = 1, 2, 3,..., n, n = 8); ET (мм) — общая эвапотранспирация за вегетационный период; P (мм) — количество осадков за вегетационный период; I — орошение, I = 0 для богарных условий; C — капиллярный подъем в корневую зону; ΔSWS (мм) — разница в запасах влаги в почве на глубине 0–200 см от начала до конца каждого вегетационного периода; D — дренаж из корневой зоны; и R — сток. В эксперименте поверхностный сток считался незначительным, поскольку поток воды предотвращался бортовыми дамбами вокруг каждой делянки. Поскольку грунтовые воды залегали на глубине 38–40 м, капиллярный подъем в корневую зону и дренаж из корневой зоны также считались незначительными [27]; Y (кг га−1) — урожай зерна или клубней каждой культуры.
2.3.2. Измерение накопления сухого вещества и мгновенной скорости роста
Надземная биомасса различных культур (озимой пшеницы, яровой кукурузы и картофеля (включая вес сухих клубней)) измерялась на разных стадиях роста в каждый экспериментальный год. Три точки отбора проб по 20, 5 и 5 растений озимой пшеницы, яровой кукурузы и картофеля случайным образом выбирались в пределах каждой делянки. Эти растения определялись после фиксации при 105 °C в течение 0,5 ч, а затем высушивались в сушильном шкафу при 80 °C в течение минимум 48 ч до постоянного веса.
Логистическая функция роста с использованием метода наименьших квадратов все чаще применяется для описания процессов роста растений (по крайней мере, на шести стадиях) от появления всходов до уборки урожая [28,29]. Логистическое уравнение роста включает:
где Mt (кг га−1) — сухое вещество на единицу площади каждой культуры в определенное время, Ymax (кг га−1) — параметр, определяющий асимптотический максимальный вес сухого вещества, r (d−1) представляет относительную скорость роста (dMt/dt × 1/Mt), и tmax — время, за которое культура достигает максимальной суточной скорости роста, соответственно [28]. Эти факторы могут быть получены путем подгонки логистической модели в Origin Pro 2019 (OriginLab Corp., Нортгемптон, Массачусетс, США).
Суточная скорость роста сельскохозяйственных культур получалась по следующей формуле:
Поскольку суточная скорость роста растений достигает максимума при Mt = Ymax/2, максимальная суточная скорость роста, Imax = r × Ymax / 4, возникает в момент времени tmax. После сбора данных о накоплении сухого вещества и суточной скорости роста мы строим график накопления сухого вещества для каждой культуры. Это помогает динамически представить, как метод мульчирования влияет на рост растений.
2.3.3. Урожай и его компоненты
На стадии зрелости три точки отбора проб площадью 1 и 5 м2 озимой пшеницы и яровой кукурузы случайным образом выбирались в пределах каждой делянки для определения числа зерен на квадратный метр, веса зерна и урожайности зерна. Урожайность зерна была пересчитана до влажности 13%. Три точки отбора проб площадью 5 м2 картофеля случайным образом выбирались в пределах каждой делянки для определения числа клубней на растение, веса одного клубня и урожайности свежих клубней.
Индекс урожая (HI, %) рассчитывался из урожайности зерна или клубней и сухого вещества по следующему уравнению [26]:
где Y (кг га−1) — урожай зерна или клубней каждой культуры; DM (кг га−1) — накопление сухого вещества каждой культурой на стадии зрелости.
2.3.4. Анализ экономической выгоды
Экономическая прибыль различных систем земледелия определялась на основе общего дохода и затрат в течение двух экспериментальных лет. Общий доход оценивался как произведение урожайности зерна или клубней и местной рыночной цены в каждый вегетационный сезон. Стоимость затрат рассчитывалась на основе количества каждого вводимого ресурса и его соответствующей рыночной стоимости. Операционные затраты рассчитывались на основе всех вводимых ресурсов, труда и механизированных операций, используемых на каждом этапе производства сельскохозяйственных культур, включая семена, удобрения, мульчирующую пленку и труд, которые регистрировались в течение производства сельскохозяйственных культур. Чистый доход определялся путем вычитания всех расходов из общего дохода, а коэффициент окупаемости затрат рассчитывался по следующему уравнению [30]:
Экономическая прибыль = Общий доход − Общие затраты
Коэффициент окупаемости затрат = Общий доход / Общие затраты
2.4. Статистический анализ
Экспериментальные данные анализировались с помощью дисперсионного анализа (ANOVA) с использованием статистического пакета IBM SPSS (версия 20.0, SPSS Inc., Чикаго, Иллинойс, США). Для сравнения средних значений использовали наименьшую значимую разницу (LSD) на 5% уровне. Графики были построены с использованием Origin (v. Pro 2021, OriginLab Corp., Нортгемптон, Массачусетс, США). Средние значения для выбранных параметров (число зерен на м2, вес зерна, урожайность зерна, индекс урожая, суточная скорость роста, число клубней на растение, вес одного клубня, урожайность свежих клубней, эффективность использования воды, эвапотранспирация, запас влаги в почве, температура почвы, общий доход, чистый доход и коэффициент окупаемости затрат) были стандартизированы, и производительность выбранных параметров визуализировалась с помощью радиолокационных диаграмм [31].
3. Результаты
3.1. Урожай и его компоненты
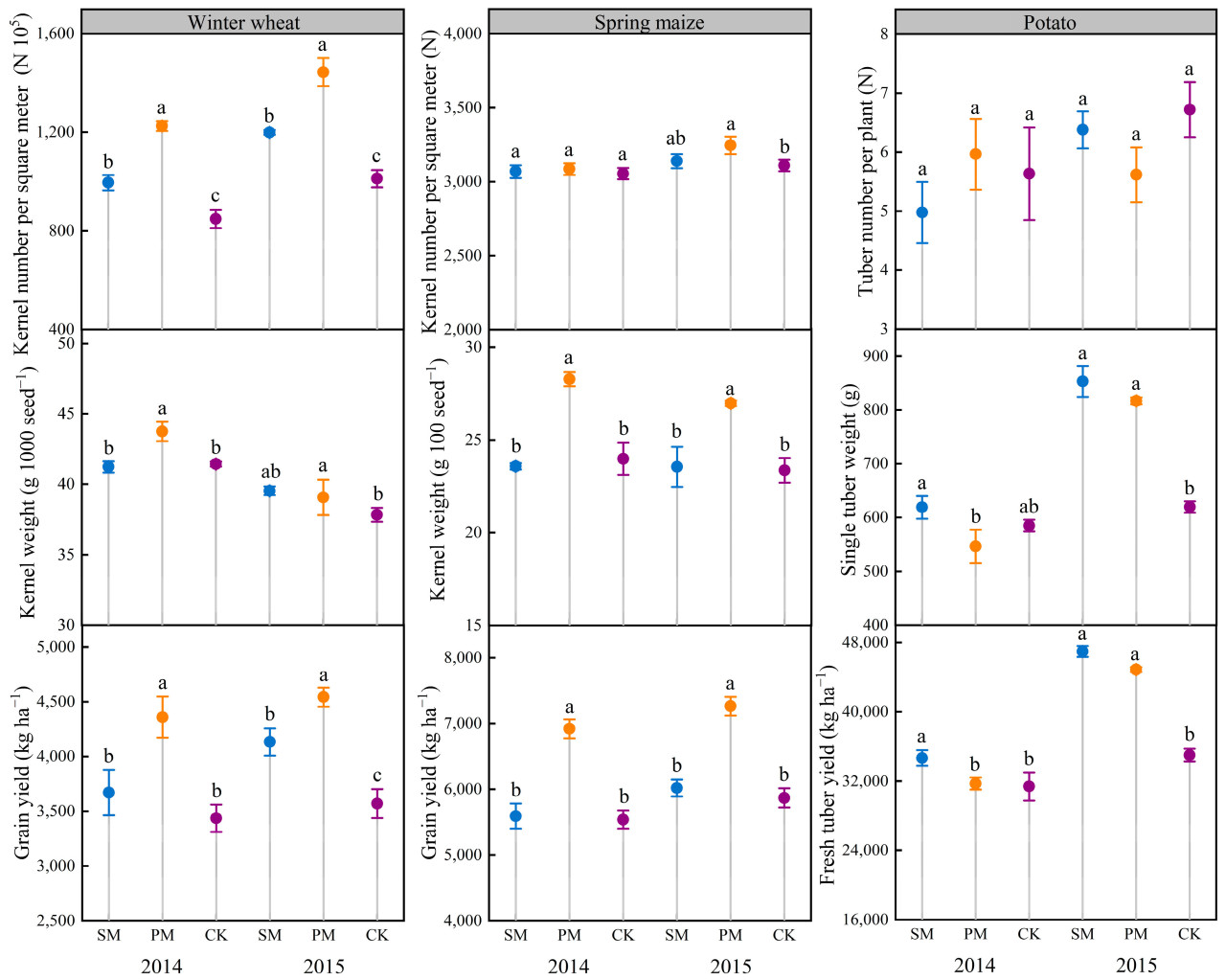
Урожайность сельскохозяйственных культур (урожай зерна или клубней) и индекс урожая (за исключением озимой пшеницы) значительно зависели как от метода мульчирования, так и от экспериментального года (p < 0,05) (Рисунок 2 и Таблица 1). Для озимой пшеницы средняя урожайность зерна достоверно увеличилась на 11,4% при мульчировании соломой (SM) и на 27,1% при мульчировании пластиковой пленкой (PM) по сравнению с контролем (CK). Более того, урожайность зерна при PM была достоверно выше, чем при SM для обеих зерновых культур (p < 0,05). В случае с картофелем средняя урожайность свежих клубней при SM и PM увеличилась на 23,0% и 13,9% соответственно по сравнению с CK; однако значительной разницы между SM и PM в течение двух экспериментальных лет не наблюдалось. Средний индекс урожая для яровой кукурузы повысился на 1,1% и 5,4% при SM и PM соответственно по сравнению с CK и увеличился на 2,1% и 0,6% для картофеля при SM и PM соответственно. Примечательно, что взаимодействие между методом мульчирования и экспериментальным годом оказало значительное влияние на урожайность свежих клубней и индекс урожая для картофеля (p < 0,05).
Рисунок 2. Урожай и его компоненты при различных методах мульчирования в течение вегетационных сезонов 2013–2015 годов. SM, мульчирование соломенными полосами; PM, мульчирование пластиковой пленкой; CK, традиционная посадка без мульчирования. Разные буквы после средних значений означают значимость на 5% уровне (LSD). Полоска погрешности представляет стандартную ошибку среднего (n = 3).
Таблица 1. Дисперсионный анализ урожая и его компонентов при различных методах мульчирования.
Компоненты урожая, за исключением числа клубней на растение, значительно зависели как от метода мульчирования, так и от экспериментального года (p < 0,05) (Рисунок 2 и Рисунок 3 и Таблица 1). Для озимой пшеницы среднее число зерен на квадратный метр увеличилось на 18,0% при SM и на 43,5% при PM по сравнению с CK, тогда как для яровой кукурузы это увеличение составило 0,7% и 2,7% при SM и PM соответственно. Кроме того, число зерен на квадратный метр при PM было достоверно больше (на 17,8%), чем при SM для озимой пшеницы (p < 0,05). Тенденции в весе зерна для двух зерновых культур mirrored those observed for the kernel number per square meter. Для картофеля средний вес одного клубня при SM и PM был на 22,2% и 13,2% выше, чем при CK, соответственно, при этом значительная разница была обнаружена между SM и PM в течение двух лет (p < 0,05). Кроме того, дисперсионный анализ выявил значительное взаимодействие между методом мульчирования и экспериментальным годом, влияющее как на вес зерна озимой пшеницы, так и на вес одного клубня картофеля (p < 0,05).
Рисунок 3. Взаимосвязи между урожайностью сельскохозяйственных культур и компонентами урожая различных культур. Примечание: * означает значимость при p < 0,05; * означает значимость при p < 0,001.
3.2. Накопление сухого вещества и суточная скорость роста
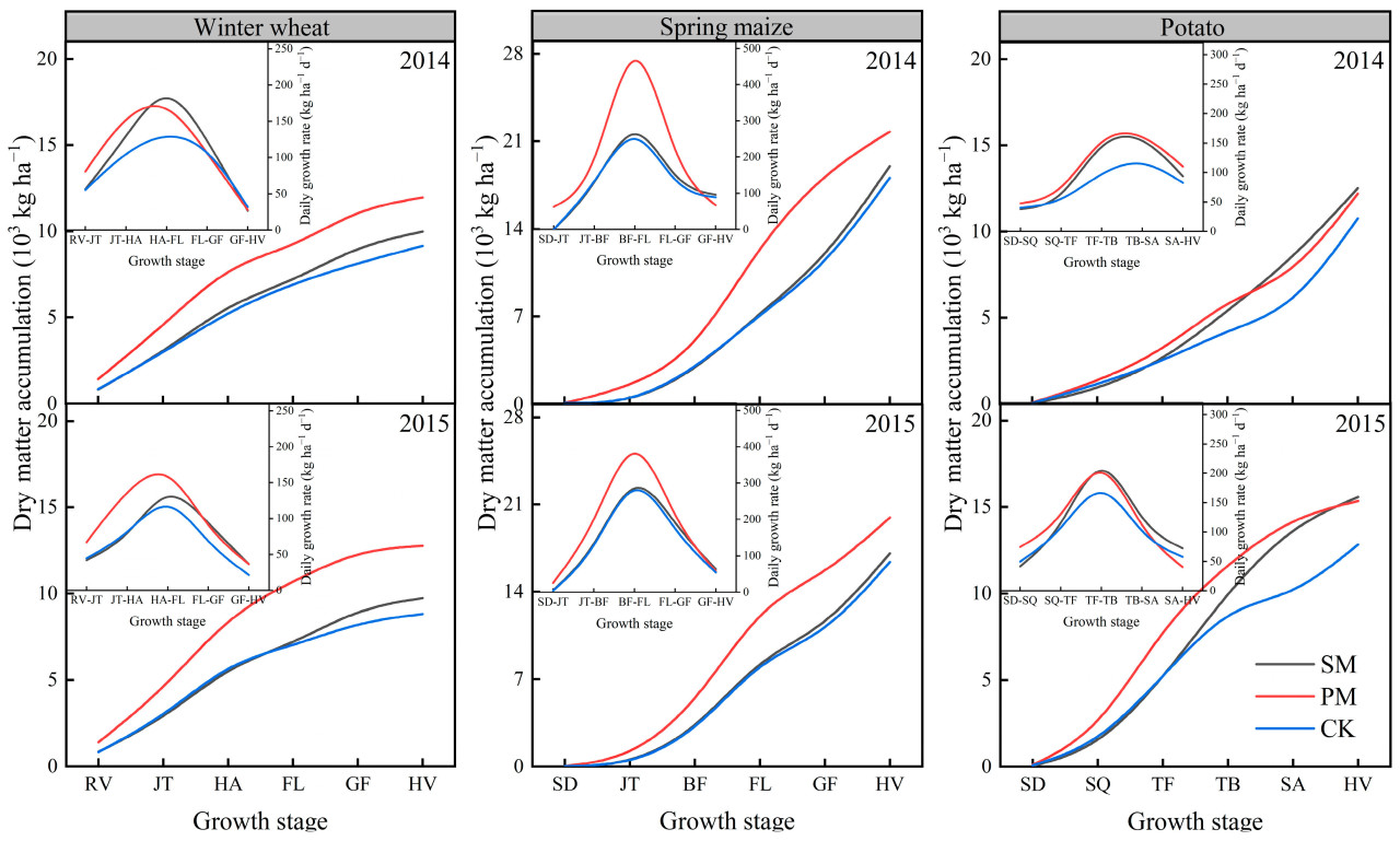
Динамика роста сухого вещества озимой пшеницы, яровой кукурузы и картофеля (включая вес сухих клубней) при различных методах мульчирования анализировалась с использованием логистических кривых роста (Рисунок 4). Результаты показали, что накопление сухого вещества сельскохозяйственных культур и соответствующие суточные скорости роста, как правило, были выше при SM и PM по сравнению с CK. Однако не было значительной разницы в накоплении сухого вещества между SM и CK для озимой пшеницы и яровой кукурузы, за исключением картофеля. В среднем за два года накопление сухого вещества на стадии уборки увеличилось на 9,7% и 37,6% для озимой пшеницы при SM и PM соответственно, по сравнению с CK. Для яровой кукурузы накопление сухого вещества увеличилось на 4,7% при SM и на 21,1% при PM по сравнению с CK. В случае картофеля накопление сухого вещества увеличилось на 19,1% при SM и на 16,7% при PM по сравнению с CK.
Рисунок 4. Накопление сухого вещества и суточная скорость роста при различных методах мульчирования в течение вегетационных сезонов 2013–2015 годов. SM, мульчирование соломенными полосами; PM, мульчирование пластиковой пленкой; CK, традиционная посадка без мульчирования; RV, стадия возобновления вегетации; JT, стадия выхода в трубку; HA, стадия колошения; FL, стадия цветения; GF, стадия налива зерна; HV, стадия уборки урожая; SD, стадия всходов; BF, стадия большого факела; SQ, стадия бутонизации; TF, стадия клубнеобразования; TB, стадия налива клубней; SA, стадия накопления крахмала.
Аналогично, средние суточные скорости роста для SM и PM показали увеличение на 18,4% и 34,3% для озимой пшеницы, 5,3% и 49,8% для яровой кукурузы и 20,1% и 26,4% для картофеля, соответственно, относительно CK. Тем не менее, примечательно, что суточная скорость роста для PM демонстрировала более выраженное снижение, чем для SM и CK, после периода налива зерна для озимой пшеницы, периода налива зерна для яровой кукурузы и периода накопления крахмала для картофеля.
3.3. Почвенно-температурный статус
3.3.1. Динамика влажности почвы
Как показано на Рисунке 5, пространственно-временная динамика влажности почвы в профиле 0–200 см была сходной среди трех методов мульчирования, хотя наблюдались значительные различия в различные вегетационные сезоны. В пределах 0–120 см слоя почвы влажность почвы демонстрировала существенные колебания при всех обработках мульчирования в течение всего периода мониторинга, в то время как изменения влажности почвы на больших глубинах были относительно минимальными. В частности, потребление почвенной воды яровой кукурузой и картофелем происходило в основном в пределах 0–120 см слоя почвы, тогда как озимая пшеница извлекала почвенную воду с глубин ниже 120 см, простираясь до самых глубоких областей за пределами 200 см слоя почвы. Как SM, так и PM значительно увеличивали запасы влаги в почве в пределах 0–200 см профиля почвы в течение двух вегетационных сезонов (Рисунок 6). В среднем за два года запасы влаги в почве при SM и PM увеличились на 5,1% и 2,3% для озимой пшеницы, 2,0% и 3,1% для яровой кукурузы и 5,8% и 5,3% для картофеля, соответственно, по сравнению с CK. Однако значительных различий между SM и PM в течение двух лет для всех систем земледелия не наблюдалось.
Рисунок 5. Динамика влажности почвы (%) в слое 0–200 см при различных методах мульчирования в течение вегетационных сезонов 2013–2015 годов. SM, мульчирование соломенными полосами; PM, мульчирование пластиковой пленкой; CK, традиционная посадка без мульчирования; SW, стадия посева; WT, стадия зимовки; RV, стадия возобновления вегетации; JT, стадия выхода в трубку; HA, стадия колошения; FL, стадия цветения; GF, стадия налива зерна; HV, стадия уборки урожая; SD, стадия всходов; BF, стадия большого факела; SQ, стадия бутонизации; TF, стадия клубнеобразования; TB, стадия налива клубней; SA, стадия накопления крахмала.
Рисунок 6. Запас влаги в почве в слое 0–200 см при различных методах мульчирования в течение 2013–2015 годов. SM, мульчирование соломенными полосами; PM, мульчирование пластиковой пленкой; CK, традиционная посадка без мульчирования. Серые и розовые области представляют периоды роста озимой пшеницы, яровой кукурузы или картофеля. Полоска погрешности представляет стандартную ошибку среднего (n = 3).
3.3.2. Динамика температуры почвы
Изменения температуры почвы в слое 0–25 см зависели от глубины почвы и методов мульчирования в течение двух вегетационных сезонов (Рисунок 7). Характер изменений температуры почвы демонстрировал последовательную тенденцию в вертикальном распределении, с уменьшением температуры по мере увеличения глубины почвы. В течение двух вегетационных сезонов PM оказывал согревающий эффект на среднюю температуру почвы в слое 0–25 см по сравнению с CK, в то время как SM оказывал охлаждающий эффект, особенно заметный в теплые летние месяцы (Рисунок 8). В среднем за два вегетационных сезона PM увеличил среднюю температуру почвы на 0,6%, 4,2% и 9,9% для озимой пшеницы, яровой кукурузы и картофеля, соответственно, относительно CK. Напротив, SM привело к снижению средней температуры почвы на 6,4%, 6,6% и 6,2% для озимой пшеницы, яровой кукурузы и картофеля, соответственно.
Рисунок 7. Динамика температуры почвы (°C) в слое 0–25 см при различных методах мульчирования в течение вегетационных сезонов 2013–2015 годов. SM, мульчирование соломенными полосами; PM, мульчирование пластиковой пленкой; CK, традиционная посадка без мульчирования; WT, стадия зимовки; RV, стадия возобновления вегетации; JT, стадия выхода в трубку; HA, стадия колошения; FL, стадия цветения; GF, стадия налива зерна; HV, стадия уборки урожая; SD, стадия всходов; BF, стадия большого факела; SQ, стадия бутонизации; TF, стадия клубнеобразования; TB, стадия налива клубней; SA, стадия накопления крахмала.
Рисунок 8. Средняя температура почвы в слое 0–25 см при различных методах мульчирования в течение 2013–2015 годов. SM, мульчирование соломенными полосами; PM, мульчирование пластиковой пленкой; CK, традиционная посадка без мульчирования. Серые и розовые области представляют периоды роста озимой пшеницы, яровой кукурузы или картофеля. Полоска погрешности представляет стандартную ошибку среднего (n = 3).
3.4. Потребление воды и эффективность использования воды
Эвапотранспирация (ET), которая представляет общее потребление воды сельскохозяйственными культурами и испарение с почвы, значительно зависела как от метода мульчирования, так и от экспериментального года (p < 0,05). В течение двух вегетационных сезонов PM демонстрировал самые высокие показатели эвапотранспирации для всех систем земледелия (Рисунок 9 и Таблица 2). В частности, средняя эвапотранспирация при SM и PM увеличилась на 2,1% и 5,4% для озимой пшеницы, 0,1% и 3,6% для яровой кукурузы и 2,4% и 7,0% для картофеля, соответственно, по сравнению с CK. Кроме того, по сравнению с SM, PM привело к увеличению эвапотранспирации на 3,4%, 3,6% и 4,5% для озимой пшеницы, яровой кукурузы и картофеля, соответственно.
Рисунок 9. Эвапотранспирация и эффективность использования воды при различных методах мульчирования в течение вегетационных сезонов 2013–2015 годов. SM, мульчирование соломенными полосами; PM, мульчирование пластиковой пленкой; CK, традиционная посадка без мульчирования. Разные буквы после средних значений означают значимость на 5% уровне (LSD). Полоска погрешности представляет стандартную ошибку среднего (n = 3).
Таблица 2. Дисперсионный анализ потребления почвенной воды и эффективности использования воды при различных методах мульчирования.
Эффективность использования воды (WUE), за исключением озимой пшеницы, заметно зависела от метода мульчирования и экспериментального года (p < 0,05) (Рисунок 9 и Таблица 2). Как SM, так и PM продемонстрировали превосходную эффективность использования воды по сравнению с CK. В среднем, WUE для SM и PM увеличилась на 9,1% и 20,6% для озимой пшеницы, 1,6% и 19,7% для яровой кукурузы и 23,8% и 17,9% для картофеля, соответственно, по сравнению с CK. Более того, PM повысила эффективность использования воды на 10,5% для озимой пшеницы и на 17,8% для яровой кукурузы относительно SM, тогда как для картофеля она снизила WUE на 4,8%. Значительное взаимодействие между методом мульчирования и экспериментальным годом также влияло на эффективность использования воды картофеля (p < 0,05).
3.5. Анализ экономической эффективности
Метод мульчирования и экспериментальный год значительно влияли на экономический доход, чистый доход и коэффициент окупаемости затрат трех систем земледелия в течение двухлетнего периода исследования (p < 0,05) (Таблица 3). Как SM, так и PM привели к улучшению выходной выручки по сравнению с CK. Однако эти практики также привели к увеличению общих затрат из-за расходов на рабочую силу и материалы для мульчирования. Примечательно, что PM был связан с самым низким чистым доходом и коэффициентом окупаемости затрат за все годы, что объясняется его самыми высокими общими затратами. В деталях, SM значительно повысил чистый доход и коэффициент окупаемости затрат для озимой пшеницы в период 2013–2015 годов и для картофеля в течение обоих вегетационных сезонов по сравнению с CK. И наоборот, SM привело к снижению как чистого дохода, так и коэффициента окупаемости затрат для яровой кукурузы. Кроме того, дисперсионный анализ выявил значительное взаимодействие между методом мульчирования и экспериментальным годом, влияющее на общий доход, чистый доход и коэффициент окупаемости затрат для картофеля (p < 0,05).
Таблица 3. Дисперсионный анализ экономических выгод различных методов мульчирования.
3.6. Эффективность различных методов мульчирования по выбранным параметрам
Анализ радиолокационной диаграммы выявил эффективность различных методов мульчирования по нескольким ключевым параметрам, подчеркивая, что PM, как правило, обеспечивает превосходные результаты с точки зрения урожайности зерна, суточной скорости роста, числа зерен на квадратный метр, эффективности использования воды (WUE), эвапотранспирации и общего дохода. И наоборот, SM превосходит в достижении более высокой WUE, чистого дохода и коэффициента окупаемости затрат, с заметными преимуществами, особенно в системе возделывания картофеля (Рисунок 10). Комплексный анализ показывает, что в условиях богарного полузасушливого земледелия практика SM для картофеля демонстрирует наибольший потенциал для урожайности зерна, WUE и чистого дохода, а также связана с относительно более низким потреблением воды по сравнению с PM. Следовательно, на основе выбранных параметров, использование SM для возделывания картофеля определяется как наиболее экономичный и устойчивый подход для оптимизации сельскохозяйственных практик в богарных полузасушливых регионах.
Рисунок 10. Эффективность выбранных параметров для различных систем земледелия с использованием радиолокационной диаграммы. Примечание: SM, мульчирование соломенными полосами; PM, мульчирование пластиковой пленкой; CK, традиционная посадка без мульчирования; GY, урожайность зерна; KPM, число зерен на квадратный метр; KW, вес зерна; HI, индекс урожая; DGR, суточная скорость роста; TPP, число клубней на растение; STW, вес одного клубня; FTY, урожайность свежих клубней; ET, эвапотранспирация; WUE, эффективность использования воды; SWS, запас влаги в почве; ST, температура почвы; OI, коэффициент окупаемости затрат; NI, чистый доход; TI, общий доход.
4. Обсуждение
4.1. Влияние метода мульчирования на почвенно-температурную среду и использование воды
Влияние методов мульчирования на почвенно-температурный статус широко задокументировано в литературе [12,17,22,32]. В нашем районе исследований средняя температура почвы на глубине 0–25 см показала, что мульчирование пластиковой пленкой (PM) оказывало согревающий эффект по сравнению с контролем (CK), в то время как мульчирование соломенными полосами (SM) производило охлаждающий эффект в течение двухлетнего периода (Рисунки 7 и 8). Эти находки согласуются с глобальными наблюдениями, о которых сообщалось в предыдущих исследованиях [3,9,10,33]. Это расхождение в температуре почвы в первую очередь объясняется различным воздействием мульчирующих материалов на поглощение почвой солнечной лучистой энергии и теплообмен между почвой и атмосферой, а также эффектом затенения, обеспечиваемым более крупным пологом культуры под мульчированием пластиковой пленкой [12,20]. В частности, Dong et al. [12,20] revealed, что мульчирование соломой создает физический барьер на поверхности почвы, эффективно перехватывая и поглощая прямую солнечную радиацию, уменьшая поверхностную эффективную радиацию и ограничивая обмен водяного пара и тепла между почвой и атмосферой, тем самым приводя к снижению температуры почвы. Величина изменений температуры почвы варьировала среди различных культур; например, PM увеличила температуру почвы на 0,6%, 4,2% и 9,9% для озимой пшеницы, яровой кукурузы и картофеля, соответственно, по сравнению с CK, в то время как SM снизила на 6,4%, 6,6% и 6,2%, соответственно. Вероятно, это было связано с различным периодом роста, в который высевались или высаживались семена. В частности, озимая пшеница высевалась в конце сентября и убиралась в середине июля, в то время как яровая кукуруза и картофель высевались/высаживались в конце апреля и убирались в начале октября каждого экспериментального года.
Методы мульчирования (SM и PM) имеют двойные эффекты увеличения и уменьшения температуры почвы по сравнению с традиционной посадкой без мульчирования, в то время как оба метода мульчирования увеличивали влажность почвы в течение двух вегетационных сезонов в нашем исследовании. Однако эффекты метода мульчирования на влажность почвы зависят от климатических факторов и типа культуры [12,34]. В этом исследовании как SM, так и PM показали эффект сохранения влаги в почве у разных культур (Рисунки 5 и 6), SM увеличила влажность почвы озимой пшеницы, яровой кукурузы и картофеля на 5,1%, 2,0% и 5,8% по сравнению с CK, а PM увеличила на 2,3%, 3,1% и 5,3%, соответственно. На самом деле, метод мульчирования также улучшил почвенную эвапотранспирацию по сравнению с CK (Рисунок 9 и Таблица 2). Вероятно, это было связано с повышенной температурой почвы при улучшенной влажности почвы и может обеспечить основу для успешного укоренения всходов и развития полога, что ускоряет потребление почвенной воды и способствует эвапотранспирации [7,11,19]. Эти результаты указывают на то, что метод мульчирования регулирует температуру почвы и сохраняет влажность почвы на основных стадиях роста, что обеспечивает хорошую почвенно-температурную среду для роста сельскохозяйственных культур.
4.2. Влияние метода мульчирования на накопление сухого вещества и суточную скорость роста
Улучшенные почвенно-температурные условия, характеризующиеся благоприятными температурными режимами и улучшенным статусом почвенной влаги, могут значительно влиять на динамику роста сельскохозяйственных культур, включая суточные скорости роста и накопление сухого вещества в течение периода роста [13]. Наше исследование ясно продемонстрировало эту взаимосвязь, о чем свидетельствует увеличенное накопление сухого вещества на стадии уборки при различных методах мульчирования. В частности, по сравнению с контролем (CK), накопление сухого вещества увеличилось на 9,7%, 4,7% и 19,1% для SM у озимой пшеницы, яровой кукурузы и картофеля, соответственно, в то время как PM привело к увеличению на 37,6%, 21,1% и 16,7% для тех же культур (Рисунок 4). Эти увеличения можно объяснить созданием подходящей почвенно-температурной среды через методы мульчирования, которые обычно усиливают захват радиации (приводя к более высокому индексу листовой поверхности [LAI]), улучшают параметры фотосинтеза листьев и способствуют развитию корней [11,35]. Такие улучшения положительно влияют на доступность питательных веществ в почве и структурные свойства [2,23]. Однако обработка PM также привела к более быстрому снижению суточных скоростей роста после периода налива зерна для зерновых культур и периода накопления крахмала для картофеля. Это явление, вероятно, связано с уменьшением sensible теплообмена между почвой и атмосферой под мульчированием пластиковой пленкой и его потенциалом ограничивать развитие корней в течение поздних стадий роста [11].
Логистическая модель роста эффективно смоделировала тенденции накопления сухого вещества сельскохозяйственных культур в течение вегетационных сезонов, обеспечивая надежную основу для характеристики динамики роста сельскохозяйственных культур при различных методах мульчирования [13]. В то время как PM имела тенденцию ускорять накопление сухого вещества в течение периода роста яровой кукурузы, это приводило к более низкому накоплению сухого вещества для периода роста картофеля (Рисунок 4). Эти контрастирующие эффекты можно объяснить distinct оптимальными температурными диапазонами для различных культур [12,36]. Например, кукуруза является термочувствительной культурой с оптимальной температурой роста между 21 °C и 27 °C [37]. Таким образом, повышенные температуры почвы под PM, вероятно, способствовали более высокому накоплению сухого вещества в течение периода роста кукурузы. Напротив, картофель требует диапазона температуры почвы 16–20 °C для правильного развития клубней [9]. Следовательно, умеренно более низкие температуры почвы, достигаемые при мульчировании соломой, более благоприятны для роста картофеля и формирования урожая. Соломенная мульча поддерживала сопоставимое с мульчированием пластиковой пленкой содержание влаги в почве, одновременно смягчая температуру почвы в жаркие летние месяцы, что benefits росту картофеля [22,24]. Для озимой пшеницы, которая высевается в конце сентября и убирается в середине июля, улучшенные почвенно-температурные условия, предоставляемые PM в течение более холодных стадий роста (зима и ранняя весна), могли поддержать лучшее укоренение всходов и развитие полога, тем самым ускоряя рост растений и формирование урожая [20,33]. Это подчеркивает важность выбора соответствующих стратегий мульчирования на основе конкретных климатических условий и периодов роста различных культур для оптимизации environmental условий для роста и развития сельскохозяйственных культур.
4.3. Влияние метода мульчирования на урожайность сельскохозяйственных культур и эффективность использования воды
В богарных системах земледелия мульчирование пластиковой пленкой (PM) обычно способствует росту сельскохозяйственных культур и может значительно повышать как урожайность сельскохозяйственных культур, так и эффективность использования воды для производства озимой пшеницы, яровой кукурузы и картофеля [9,14,38]. Наше исследование подтверждает эти выводы, демонстрируя, что PM увеличила урожайность зерна и эффективность использования воды на 27,1% и 20,6% для озимой пшеницы, 24,3% и 19,7% для яровой кукурузы и 13,9% и 17,9% для картофеля, соответственно, по сравнению с контролем (CK) (Рисунок 2 и Таблица 2). Однако эффективность мульчирования соломой (SM) в увеличении урожайности сельскохозяйственных культур не так последовательна для разных культур. В то время как SM также может улучшать продуктивность сельскохозяйственных культур, его охлаждающий эффект может быть detrimental для роста озимой пшеницы и яровой кукурузы из-за чрезмерного снижения температуры [5,9]. Напротив, для культур прохладного сезона, таких как картофель, SM может соответствовать или даже превосходить преимущества продуктивности, предоставляемые PM [24,34]. Это преимущество возникает из способности SM защищать поверхность почвы от прямого солнечного света, тем самым снижая температуру почвы и создавая условия, более благоприятные для развития клубней картофеля, что приводит к увеличению урожайности [3,33]. В целом, в то время как PM, как правило, предлагает больший потенциал урожайности для разных культур, как SM, так и PM демонстрируют наибольшее увеличение урожайности для картофеля, указывая на то, что SM особенно эффективно для производства картофеля в богарных полузасушливых регионах.
Изменения в почвенно-температурной среде из-за методов мульчирования значительно влияют на рост сельскохозяйственных культур [12]. Предыдущее исследование reveals положительную линейную корреляцию между урожаями пшеницы и кукурузы и числом зерен на квадратный метр при мульчирующем возделывании, где увеличение урожая в первую очередь обусловлено увеличением числа зерен на квадратный метр [7,33]. Напротив, для картофеля вес одного клубня играет более значительную роль в определении свежего урожая [24]. Эти выводы согласуются с нашими результатами за два экспериментальных года (Рисунки 2 и 3 и Таблица 1). Тем не менее, преимущества PM с точки зрения температуры и влажности почвы иногда могут приводить к чрезмерному росту сельскохозяйственных культур, что негативно сказывается на индексе урожая [39]. С другой стороны, было показано, что SM увеличивает индекс урожая картофеля, подчеркивая его эффективность в повышении урожайности сельскохозяйственных культур в холодных и засушливых условиях [24]. Поэтому выбор подходящего метода мульчирования на основе конкретных требований сельскохозяйственных культур и климатических условий может оптимизировать производственный потенциал сельскохозяйственных культур в этих регионах.
4.4. Экономические выгоды и прикладная ценность различных методов мульчирования
Экономические выгоды и операционная простота являются crucialными соображениями для мелких фермеров при выборе подходящего метода мульчирования [20]. Jabran et al. [39] demonstrated, что в то время как и SM, и PM увеличивают производственные затраты, они также значительно улучшают валовой доход. В нашем исследовании мы обнаружили, что хотя операционные затраты, такие как затраты на семена, удобрения, рабочую силу, топливо и гербициды, были схожи между SM и PM, PM нес дополнительные затраты на пластиковую пленку. В результате чистый доход, как правило, был выше при SM, чем при PM, особенно в производстве картофеля (Рисунки 2 и 10 и Таблица 1). Более высокие экономические returns от производства картофеля при SM указывают на то, что этот метод мульчирования предлагает более прибыльный подход для увеличения чистого дохода, несмотря на более высокие первоначальные инвестиции в семенной картофель. Это finding согласуется с предыдущими исследованиями, которые highlighted SM как экономически жизнеспособную стратегию для повышения продуктивности и прибыльности сельскохозяйственных культур [14,40]. Эти находки предполагают, что SM, особенно для производства картофеля, предлагает более экономически выгодный и устойчивый подход для мелких фермеров в богарных полузасушливых районах. Балансируя первоначальные инвестиции с долгосрочными выгодами, SM поддерживает увеличение продуктивности сельскохозяйственных культур и эффективности использования ресурсов. Хотя это исследование предоставляет ценные insights в урожайность, характеристики использования ресурсов и экономические выгоды различных методов мульчирования, необходимы дальнейшие исследования для изучения статуса питательных веществ в почве и структурных особенностей при различных системах мульчирования. Понимание этих аспектов поможет в разработке комплексных стратегий мульчирования, которые не только повышают урожайность сельскохозяйственных культур и экономические returns, но и улучшают здоровье и устойчивость почвы в богарных сельскохозяйственных системах. Хотя мы исследовали рост сельскохозяйственных культур, показатели урожайности и характеристики использования воды различных методов мульчирования в трех системах земледелия в богарном земледелии на Лёссовом плато, существует ограниченная информация из исследований, раскрывающих механизм формирования урожая различных культур при различных методах мульчирования. Например, оно focuses на различиях в накоплении сухого вещества над и под землей, а также на влиянии различных методов мульчирования на физико-химические свойства почвы и структуру почвы в системе богарного земледелия.
5. Выводы
В полузасушливых богарных агроэкосистемах северо-западного Китая методы мульчирования, включая мульчирование соломой (SM) и мульчирование пластиковой пленкой (PM), оказывают значительное влияние на урожайность сельскохозяйственных культур, компоненты урожая и экономические выгоды для озимой пшеницы, яровой кукурузы и картофеля. Наблюдалось, что PM увеличивает урожайность зерна как озимой пшеницы, так и яровой кукурузы, хотя его влияние на урожайность свежих клубней картофеля варьировалось от года к году. Основным механизмом, с помощью которого методы мульчирования повышают урожайность зерна, является увеличение числа зерен на квадратный метр для озимой пшеницы и яровой кукурузы. Напротив, для урожайности клубней картофеля вес одного клубня был более значимым фактором, чем число клубней на растение. В то время как и SM, и PM способствовали общему росту сельскохозяйственных культур, эффект мульчирования на индекс урожая различался среди культур. В течение двух экспериментальных лет методы мульчирования, как правило, увеличивали влажность почвы, но оказывали двойное влияние на температуру почвы, как увеличивая, так и уменьшая ее по сравнению с CK. В заключение, комплексный анализ урожайности сельскохозяйственных культур, экономических выгод и эффективности использования ресурсов указывает на то, что использование SM для производства картофеля представляет собой более устойчивую и экологически чистую управленческую практику. Этот подход рекомендуется для богарного земледелия на Лёссовом плато и аналогичных экосистем по всему миру.
Ссылки
1. Zhang, Y.; Yin, J.; Guo, Z.; Li, J.; Wang, R. Simulation of soil water balance and crop productivity of long-term continuous maize cropping under high planting density in rainfed agroecosystems. Agric. For. Meteorol. 2022, 312, 108740. [Google Scholar] [CrossRef]
2. Dong, Q.; Yang, Y.; Yu, K.; Feng, H. Effects of straw mulching and plastic film mulching on improving soil organic carbon and nitrogen fractions, crop yield and water use efficiency in the Loess Plateau, China. Agric. Water Manag. 2018, 201, 133–143. [Google Scholar] [CrossRef]
3. Chen, Y.; Chai, S.; Tian, H.; Chai, Y.; Li, Y.; Chang, L.; Cheng, H. Straw strips mulch on furrows improves water use efficiency and yield of potato in a rainfed semiarid area. Agric. Water Manag. 2019, 211, 142–151. [Google Scholar] [CrossRef]
4. Wang, F.; Wu, X.; Shock, C.C.; Chu, L.; Gu, X.; Xue, X. Effects of drip irrigation regimes on potato tuber yield and quality under plastic mulch in arid Northwestern China. Field Crops Res. 2011, 122, 78–84. [Google Scholar] [CrossRef]
5. Yu, Y.; Turner, N.C.; Gong, Y.; Li, F.; Fang, C.; Ge, L.; Ye, J. Benefits and limitations to straw-and plastic-film mulch on maize yield and water use efficiency: A meta-analysis across hydrothermal gradients. Eur. J. Agron. 2018, 99, 138–147. [Google Scholar] [CrossRef]
6. Ren, X.; Jia, Z.; Chen, X. Rainfall concentration for increasing corn production under semiarid climate. Agric. Water Manag. 2008, 95, 1293–1302. [Google Scholar] [CrossRef]
7. Mo, F.; Wang, J.; Zhou, H.; Luo, C.; Zhang, X.; Li, X.; Li, F.; Xiong, L.; Kavagi, L.; Nguluu, S.N.; et al. Ridge-furrow plastic-mulching with balanced fertilization in rainfed maize (Zea mays L.): An adaptive management in east African Plateau. Agric. For. Meteorol. 2017, 236, 100–112. [Google Scholar] [CrossRef]
8. Gholamhoseini, M.; Dolatabadian, A.; Habibzadeh, F. Ridge-furrow planting system and wheat straw mulching effects on dryland sunflower yield, soil temperature, and moisture. Agron. J. 2019, 111, 3383–3392. [Google Scholar] [CrossRef]
9. El-Beltagi, H.S.; Basit, A.; Mohamed, H.I.; Ali, I.; Ullah, S.; Kamel, E.A.R.; Shalaby, T.A.; Ramadan, K.M.A.; Alkhateeb, A.A.; Ghazzawy, H.S. Mulching as a sustainable water and soil saving practice in agriculture: A review. Agronomy 2022, 12, 1881. [Google Scholar] [CrossRef]
10. Kasirajan, S.; Ngouajio, M. Polyethylene and biodegradable mulches for agricultural applications: A review. Agron. Sustain. Dev. 2012, 32, 501–529. [Google Scholar] [CrossRef]
11. Bu, L.; Liu, J.; Zhu, L.; Luo, S.; Chen, X.; Li, S.; Lee Hill, R.; Zhao, Y. The effects of mulching on maize growth, yield and water use in a semi-arid region. Agric. Water Manag. 2013, 123, 71–78. [Google Scholar] [CrossRef]
12. Kader, M.A.; Senge, M.; Mojid, M.A.; Ito, K. Recent advances in mulching materials and methods for modifying soil environment. Soil Tillage Res. 2017, 168, 155–166. [Google Scholar] [CrossRef]
13. Ding, D.; Feng, H.; Zhao, Y.; Hill, R.L.; Yan, H.; Chen, H.; Hou, H.; Chu, X.; Liu, J.; Wang, N.; et al. Effects of continuous plastic mulching on crop growth in a winter wheat-summer maize rotation system on the Loess Plateau of China. Agric. For. Meteorol. 2019, 271, 385–397. [Google Scholar] [CrossRef]
14. Huang, T.; Wu, Q.; Yuan, Y.; Zhang, X.; Sun, R.; Hao, R.; Yang, X.; Li, C.; Qin, X.; Song, F.; et al. Effects of plastic film mulching on yield, water use efficiency, and nitrogen use efficiency of different crops in China: A meta-analysis. Field Crops Res. 2024, 312, 109407. [Google Scholar] [CrossRef]
15. Li, Y.; Chai, Y.; Ma, J.; Li, R.; Cheng, H.; Chang, L.; Chai, S. Straw strip mulching in a semiarid rainfed agroecosystem achieves carbon sequestration and emission reduction from winter wheat fields. Agric. Ecosyst. Environ. 2022, 334, 107990. [Google Scholar] [CrossRef]
16. Gao, H.; Yan, C.; Liu, Q.; Ding, W.; Chen, B.; Li, Z. Effects of plastic mulching and plastic residue on agricultural production: A meta-analysis. Sci. Total Environ. 2019, 651, 484–492. [Google Scholar] [CrossRef] [PubMed]
17. Li, R.; Chai, S.; Chai, Y.; Li, Y.; Lan, X.; Ma, J.; Cheng, H.; Chang, L. Mulching optimizes water consumption characteristics and improves crop water productivity on the semi-arid Loess Plateau of China. Agric. Water Manag. 2021, 254, 106965. [Google Scholar] [CrossRef]
18. Bhatt, R.; Khera, K.L. Effect of tillage and mode of straw mulch application on soil erosion in the submontaneous tract of Punjab, India. Soil Tillage Res. 2006, 88, 107–115. [Google Scholar] [CrossRef]
19. Akhtar, K.; Wang, W.; Khan, A.; Ren, G.; Afridi, M.Z.; Feng, Y.; Yang, G. Wheat straw mulching offset soil moisture deficient for improving physiological and growth performance of summer sown soybean. Agric. Water Manag. 2019, 211, 16–25. [Google Scholar] [CrossRef]
20. Chai, Y.; Chai, Q.; Li, R.; Li, Y.; Yang, C.; Cheng, H.; Chang, L.; Chai, S. Straw strip mulching in a semiarid rainfed agroecosystem achieves winter wheat yields similar to those of full plastic mulching by optimizing the soil hydrothermal regime. Crop J. 2022, 10, 879–892. [Google Scholar] [CrossRef]
21. Abrantes, J.R.C.B.; Prats, S.A.; Keizer, J.J.; de Lima, J.L.M.P. Effectiveness of the application of rice straw mulching strips in reducing runoff and soil loss: Laboratory soil flume experiments under simulated rainfall. Soil Tillage Res. 2018, 180, 238–249. [Google Scholar] [CrossRef]
22. Ma, J.; Chang, L.; Li, Y.; Lan, X.; Ji, W.; Zhang, J.; Han, F.; Cheng, H.; Chai, Y.; Chai, S. Straw strip mulch improves soil moisture similar to plastic film mulch but with a higher net income. Agric. Ecosyst. Environ. 2024, 362, 108855. [Google Scholar] [CrossRef]
23. Islam, M.U.; Guo, Z.; Jiang, F.; Peng, X. Does straw return increase crop yield in the wheat-maize cropping system in China? A meta-analysis. Field Crops Res. 2022, 279, 108447. [Google Scholar] [CrossRef]
24. Chang, L.; Han, F.; Chai, S.; Cheng, H.; Yang, D.; Chen, Y. Straw strip mulching affects soil moisture and temperature for potato yield in semiarid regions. Agron. J. 2020, 112, 1126–1139. [Google Scholar] [CrossRef]
25. Qin, Y.; Chai, Y.; Li, R.; Li, Y.; Ma, J.; Cheng, H.; Chang, L.; Chai, S. Evaluation of straw and plastic film mulching on wheat production: A meta-analysis in Loess Plateau of China. Field Crops Res. 2022, 275, 108333. [Google Scholar] [CrossRef]
26. Chai, Y.; Chai, Q.; Han, F.; Li, Y.; Ma, J.; Li, R.; Cheng, H.; Chang, L.; Chai, S. Increasing yields while reducing soil nutrient accumulation by straw strip mulching in the dryland wheat (Triticum aestivum L.) cropping system of Northwest China. Agric. Ecosyst. Environ. 2022, 326, 107797. [Google Scholar] [CrossRef]
27. Peng, Z.; Wang, L.; Xie, J.; Li, L.; Coulter, J.A.; Zhang, R.; Luo, Z.; Cai, L.; Carberry, P.; Whitbread, A. Conservation tillage increases yield and precipitation use efficiency of wheat on the semi-arid Loess Plateau of China. Agric. Water Manag. 2020, 231, 106024. [Google Scholar] [CrossRef]
28. Dong, N.; Tang, M.; Zhang, W.; Bao, X.; Wang, Y.; Christie, P.; Li, L. Temporal differentiation of crop growth as one of the drivers of intercropping yield advantage. Sci. Rep. 2018, 8, 3110. [Google Scholar] [CrossRef]
29. Zhang, D.; Sun, Z.; Feng, L.; Bai, W.; Yang, N.; Zhang, Z.; Du, G.; Feng, C.; Cai, Q.; Wang, Q.; et al. Maize plant density affects yield, growth and source-sink relationship of crops in maize/peanut intercropping. Field Crops Res. 2020, 257, 107926. [Google Scholar] [CrossRef]
30. Sun, T.; Feng, X.; Lal, R.; Cao, T.; Guo, J.; Deng, A.; Zheng, C.; Zhang, J.; Song, Z.; Zhang, W. Crop diversification practice faces a tradeoff between increasing productivity and reducing carbon footprints. Agric. Ecosyst. Environ. 2021, 321, 107614. [Google Scholar] [CrossRef]
31. Ladha, J.K.; Rao, A.N.; Raman, A.K.; Padre, A.T.; Dobermann, A.; Gathala, M.; Kumar, V.; Saharawat, Y.; Sharma, S.; Piepho, H.P.; et al. Agronomic improvements can make future cereal systems in South Asia far more productive and result in a lower environmental footprint. Glob. Change Biol. 2015, 22, 1054–1074. [Google Scholar] [CrossRef] [PubMed]
32. Jiménez, M.N.; Pinto, J.R.; Ripoll, M.A.; Sánchez-Miranda, A.; Navarro, F.B. Impact of straw and rock-fragment mulches on soil moisture and early growth of holm oaks in a semiarid area. Catena 2017, 152, 198–206. [Google Scholar] [CrossRef]
33. Li, Y.; Chai, S.; Chai, Y.; Li, R.; Lan, X.; Ma, J.; Cheng, H.; Chang, L. Effects of mulching on soil temperature and yield of winter wheat in the semiarid rainfed area. Field Crops Res. 2021, 271, 108244. [Google Scholar] [CrossRef]
34. Li, Q.; Li, H.; Zhang, L.; Zhang, S.; Chen, Y. Mulching improves yield and water-use efficiency of potato cropping in China: A meta-analysis. Field Crops Res. 2018, 221, 50–60. [Google Scholar] [CrossRef]
35. Zhang, Y.; Wang, J.; Gong, S.; Xu, D.; Mo, Y.; Zhang, B. Straw mulching improves soil water content, increases flag leaf photosynthetic parameters and maintaines the yield of winter wheat with different irrigation amounts. Agric. Water Manag. 2021, 249, 106809. [Google Scholar] [CrossRef]
36. Lin, W.; Liu, W.; Xue, Q. Spring maize yield, soil water use and water use efficiency under plastic film and straw mulches in the Loess Plateau. Sci. Rep. 2016, 6, 38995. [Google Scholar] [CrossRef]
37. Friero, I.; Larriba, E.; Martínez-Melgarejo, P.A.; Justamante, M.S.; Alarcón, M.V.; Albacete, A.; Salguero, J.; Pérez-Pérez, J.M. Transcriptomic and hormonal analysis of the roots of maize seedlings grown hydroponically at low temperature. Plant Sci. 2023, 326, 111525. [Google Scholar] [CrossRef]
38. Qin, R.; Zhang, F.; Yu, C.; Zhang, Q.; Qi, J.; Li, F. Contributions made by rain-fed potato with mulching to food security in China. Eur. J. Agron. 2022, 133, 126435. [Google Scholar] [CrossRef]
39. Wang, J.; Ghimire, R.; Fu, X.; Sainju, U.M.; Liu, W. Straw mulching increases precipitation storage rather than water use efficiency and dryland winter wheat yield. Agric. Water Manag. 2018, 206, 95–101. [Google Scholar] [CrossRef]
40. Ren, A.; Zhou, R.; Mo, F.; Liu, S.; Li, J.-Y.; Chen, Y.; Zhao, L.; Xiong, Y. Soil water balance dynamics under plastic mulching in dryland rainfed agroecosystem across the Loess Plateau. Agric. Ecosyst. Environ. 2021, 312, 107354. [Google Scholar] [CrossRef]
Han F, Zhang Y, Chang L, Chai Y, Bao Z, Cheng H, Chai S, Chang F, Chang G, Yang R. Mulching Practice Regulates the Soil Hydrothermal Regime to Improve Crop Productivity in the Rainfed Agroecosystem of the Loess Plateau in China. Agriculture. 2025; 15(1):76.
Перевод статьи «Mulching Practice Regulates the Soil Hydrothermal Regime to Improve Crop Productivity in the Rainfed Agroecosystem of the Loess Plateau in China» авторов Han F, Zhang Y, Chang L, Chai Y, Bao Z, Cheng H, Chai S, Chang F, Chang G, Yang R., оригинал доступен по ссылке. Лицензия: CC BY. Изменения: переведено на русский язык


















Комментарии (0)