«Влияние различных способов заделки соломы на углеродный и водный след пахотных земель»
Заделка соломы — это эффективный агротехнический прием, влияющий на экологию. В условиях глобального изменения климата и необходимости устойчивого развития крайне важно изучить, как различные способы заделки соломы воздействуют на окружающую среду. В данном исследовании был проведен двухлетний полевой эксперимент, в котором сравнивались различные варианты обработки: без заделки соломы (контроль, CK), прямая заделка соломы (SR) и заделка соломы в глубокие борозды (ISR).
Аннотация
Результаты показали, что обработка SR повысила содержание растворенного органического углерода (DOC) (на 21,7~25,8%) и растворенного органического азота (DON) (на 8,5~43,8%) в почве по сравнению с контролем. Обработка ISR привела к еще более значительному росту DOC (на 13,1~33,0%) и DON (на 14,2~50,8%). Оба варианта заделки соломы (SR и ISR) также улучшили показатели роста кукурузы, такие как индекс листовой поверхности (LAI), биомасса стеблей, биомасса листьев и биомасса зерна.
Что касается воздействия на окружающую среду, то прием ISR снизил выбросы закиси азота (N₂O) и значительно уменьшил углеродный след (CF) и водный след (WF). В частности, углеродный след в расчете на урожай (CFy) и водный след в расчете на урожай (WFy) для варианта ISR были снижены на 12,0% и 9,1% соответственно в 2023 году. Корреляционный анализ выявил, что почвенные DON и DOC являются ключевыми факторами, обуславливающими эти экологические преимущества. Более того, снижение водного и углеродного следов тесно связано с увеличением влажности почвы (SWC) и повышенной биомассой всех органов кукурузы.
Таким образом, мы продемонстрировали, что прием ISR не только способствует накоплению биомассы кукурузы, но и эффективно снижает выбросы углерода и водопотребление на пахотных землях. Этот эффект, вероятно, связан с повышением уровня DON и DOC в почве. В целом, метод ISR представляется перспективным для поддержки практик устойчивого земледелия.
1. Введение
Кукуруза является одной из трех основных зерновых культур Китая и играет ключевую роль в развитии сельского хозяйства страны. По мере развития агротехнологий в Китае производство кукурузы растет, и объем производимой кукурузной соломы также резко увеличивается [1]. Однако растительные остатки часто сжигаются или не используются рационально, что приводит к потере ценных органических ресурсов и создает значительную нагрузку на агроэкосистему [2]. Сельское хозяйство вносит существенный вклад в глобальные выбросы парниковых газов (ПГ), на его долю приходится 10–20% от общих мировых выбросов [3]. Сжигание соломы приводит к росту выбросов ПГ, что, в свою очередь, ускоряет глобальное потепление и создает серьезную проблему для выживания и развития человечества [4]. Более того, значительное водопотребление в сельском хозяйстве усугубляет нагрузку на окружающую среду, особенно в полузасушливых регионах с особыми климатическими и почвенными условиями.
Заделка соломы является эффективной стратегией утилизации сельскохозяйственных отходов, доказавшей свою способность поддерживать содержание органического вещества в почве, улучшать физические свойства, усиливать микробную активность и повышать доступность питательных веществ [5]. Различные способы заделки соломы по-разному влияют на процесс разложения и, следовательно, на свойства почвы [6]. Например, мульчирование соломой помогает сохранять влагу, регулировать температуру и удерживать углерод и азот в почве. Однако плохое разложение мульчированной соломы может привести к проблемам с вредителями и болезнями [7,8]. Компостирование соломы предлагает лучшее решение для разложения, но управление обработкой большого объема соломы может быть затруднительным и способно привести к значительным экологическим последствиям [9]. В отличие от этого, непосредственная заделка соломы в почву значительно повышает эффективность ее разложения и снижает риск вспышек вредителей и болезней [8]. Однако неглубокая заделка может снизить pH верхнего слоя почвы, потенциально затрудняя рост корней на стадии всходов. Глубокая заделка соломы улучшает среду для развития корневой системы, способствует микробному разнообразию и повышает плодородие почвы [10]. Этот метод прост в реализации, снижает экологическую нагрузку по сравнению с компостированием и лучше соответствует потребностям современных агропрактик. Кроме того, большинство растительных остатков имеют высокое соотношение углерода к азоту (C:N), что может вызывать конкуренцию за азот между культурами и почвенными микробами в процессе разложения [11]. Внесение азотных удобрений вместе с соломой помогает регулировать соотношение C:N в почве, тем самым смягчая эту конкуренцию [12]. Исследования показали, что комбинирование соломы с азотными удобрениями значительно увеличивает активность внеклеточных ферментов в почве, улучшая микробное разложение устойчивых углеродных соединений по сравнению с внесением одной только соломы [13].
Кроме того, важно отметить, что заделка соломы играет ключевую роль в сокращении выбросов ПГ и водопотребления [14,15]. Например, He et al. [16] провели метаанализ влияния заделки соломы на рисовых полях и показали, что она эффективно снижает выбросы N₂O. Однако увеличение выбросов CO₂ иногда может ослаблять или даже нивелировать эту пользу. Аналогично, Peng et al. [17] наблюдали, что мульчирование соломой пшеницы увеличивало водопотребление в течение всего вегетационного сезона. Поэтому крайне важно точно оценивать выбросы углерода и водопотребление в агроэкосистемах при различных практиках управления соломой.
Углеродный след (CF) и водный след (WF) являются важнейшими показателями для количественной оценки экологического воздействия выбросов ПГ и водопотребления [18]. Они необходимы для оценки устойчивости сельскохозяйственных практик и критически важны для достижения целей по сохранению водных ресурсов и сокращению выбросов. Они стали широко использоваться для оценки экологических последствий сельскохозяйственного производства [18,19]. Например, Zhang et al. [20] использовали метод оценки жизненного цикла (LCA) для оценки CF орошаемых и богарных систем кукурузы на Лёссовом плато. Аналогично, Bai et al. [21] использовали LCA для оценки CF экосистемы пшеница-кукуруза при различных условиях управления соломой и нормах внесения азота. Bocchiola [22] оценил специфичный для местности WF бассейна реки По в Италии с помощью модели PolyCrop, которая прогнозировала будущую урожайность культур и водопотребление в условиях изменения климата до конца века. Кроме того, Bai et al. [23] провели региональную оценку WF для производства кукурузы.
Настоящее исследование восполняет критические пробелы в современных изысканиях, которые в основном концентрировались на экологических эффектах различных способов заделки соломы и проводили анализ единичного экологического следа. Однако лишь в немногих исследованиях сообщалось об интегрированном экологическом следе, объединяющем как смягчение выбросов ПГ, так и сохранение водных ресурсов. Кроме того, многие исследования изучали влияние традиционной заделки соломы на почву, урожай и окружающую среду. Лишь в немногих работах сочетались глубокая заделка соломы с компостированием. В данном исследовании обработка ISR (заделка соломы в глубокие борозды) объединяет глубокую заделку соломы с эффектом, способствующим разложению, чтобы оптимизировать практику заделки соломы и обеспечить комплексную оценку экологического следа. Следовательно, целью данного исследования было следующее: (1) сравнить влияние различных способов заделки соломы на выбросы ПГ и водопотребление, проводя комплексную оценку экологического следа, и (2) проанализировать механизмы, обуславливающие различия в углеродном и водном следах практик заделки соломы, путем интеграции данных о характеристиках почвы и вариациях биомассы урожая. Основываясь на предыдущих исследованиях, мы выдвигаем гипотезу, что заделка соломы в глубокие борозды может усиливать накопление питательных веществ в почве, высвобождаемых при разложении соломы, и способствовать росту урожая. Кроме того, этот метод может помочь снизить выбросы ПГ из почвы и экономить водопотребление. Для проверки этой гипотезы мы заложили полевой эксперимент для тщательного изучения комплексного воздействия различных режимов заделки соломы на свойства почвы, рост урожая, выбросы ПГ из почвы и экологические следы (CF и WF). Данное исследование предоставляет ценную информацию для улучшения агроэкосистем, повышения продуктивности сельского хозяйства и увеличения эффективности использования воды через оптимизированные techniques заделки соломы в богарном земледелии. Оно также предлагает новые перспективы для достижения устойчивого использования ресурсов и обеспечения долгосрочного здоровья агросектора.
2. Материалы и методы
2.1. Место проведения эксперимента
Экспериментальный участок располагался на Шоуянской станции по богарному земледелию (37°44′52″ с.ш., 113°12′11″ в.д.) в провинции Шаньси. Почва в данном исследовании идентифицирована как Calcic Cambisol согласно карте почв ФАО-ЮНЕСКО [24]. Она имеет суглинистую песчаную текстуру, плотность сложения 1.38 г см−3, наименьшую влагоемкость 36.2%, pH 8.24, содержание органического углерода 8.82 г кг−1 и общее содержание азота 0.46 г кг−1. Заделываемая солома была кукурузной, измельченной до 3–5 см с помощью измельчителя соломы (4JQ-250 Shijiazhuang Jinniu Agricultural Machinery Manufacturing Co., Ltd., Шицзячжуан, Хэбэй, Китай). Содержание органического углерода и общего азота в кукурузной соломе составляло 400 г кг−1 и 3.75 г кг−1 соответственно. Выращивание кукурузы ограничено сухими и холодными погодными условиями. Кукурузу обычно высевают между концом апреля и началом мая и убирают между концом сентября и началом октября, после чего следует период парования. Район исследований характеризуется умеренным полузасушливым муссонным климатом с выраженной сезонностью и относительно низкими температурами. Среднегодовое количество осадков составляет 480 мм, а среднегодовая температура — 7.8 °C.
2.2. Схема эксперимента
Полевые эксперименты проводились в 2023 и 2024 годах с тремя вариантами обработки: (1) без заделки соломы (CK), (2) прямая заделка соломы (SR), и (3) заделка соломы в глубокие борозды (ISR). Каждый вариант повторялся три раза, размер всех делянок составлял 6 × 6 м. Использовалось медленнодействующее сложное удобрение, содержащее 45% общих питательных веществ (28% N, 12% P2O5 и 5% K2O). Кукурузу высаживали с междурядьем 60 см и расстоянием между растениями 30 см. Все делянки были укрыты белой полиэтиленовой мульчей толщиной 10 мкм.
В варианте CK на делянках проводилась только обработка ротационной фрезой, и солома не возвращалась в почву. Обработка ротационной фрезой проводилась на глубину 15–20 см на всех делянках. Медленнодействующее сложное удобрение вносили вручную из расчета 804 кг га−1.
В варианте SR солому разбрасывали по поверхности почвы, а затем заделывали в почву с помощью ротационной фрезы, после чего вносили удобрение. Использовалась кукурузная солома, измельченная до 3–5 см с помощью измельчителя соломы (4JQ-250 Shijiazhuang Jinniu Agricultural Machinery Manufacturing Co., Ltd., Шицзячжуан, Хэбэй, Китай). Солому равномерно заделывали в почву вспашкой из расчета 8 т га−1. Обработка ротационной фрезой проводилась на глубину 15–20 см на всех делянках, после чего медленнодействующее сложное удобрение вносили вручную из расчета 804 кг га−1.
В варианте ISR в почве выкапывали борозды, и солому помещали внутрь них. Затем половину удобрения вносили в борозды, а другую половину разбрасывали по поверхности почвы. Борозды (глубиной 40 см, шириной 25 см) выкапывали между двумя рядами кукурузы. Солому вручную закапывали в борозду из расчета 8 т га−1. Удобрение вручную вносили в борозду и на поверхность почвы в соотношении 1:1 — 402 кг га−1 в борозду и 402 кг га−1 на поверхность, при этом удобрение в борозде смешивали с соломой.
2.3. Методы отбора проб и анализа
2.3.1. Образцы почвы
Образцы почвы отбирали на пяти стадиях роста: до посева (pre-plant), всходы (V1), стеблевание (V6), налив зерна (R2) и спелость (R5). На каждой делянке почву с глубины 0–30 см отбирали с помощью нержавеющего почвенного бура; пять образцов с одинаковой глубины в каждом варианте объединяли в один смешанный образец. Все образцы почвы доставляли в лабораторию в запечатанных пакетах и хранили в холодильнике при −20 °C. Часть образцов анализировали на содержание DOC и DON, другую часть высушивали на воздухе и определяли SWC и pH. Влажность почвы (SWC) измеряли методом высушивания в сушильном шкафу. Кислотность почвы (pH) измеряли непосредственно с помощью pH-метра (PHSJ-4F INESA Scientific Instrument Co., Ltd., Шанхай, Китай). Содержание DOC в почве определяли водной экстракцией и анализировали с помощью TOC-анализатора (TOC-VCPH Shimadzu Corporation, Токио, Япония) [25]. Содержание DON в почве рассчитывали как общий растворенный азот почвы минус содержание неорганического азота, при этом общее содержание растворенного азота измеряли с помощью окисления персульфатом калия и ультрафиолетовой спектрофотометрии (UV-1900I Shimadzu Corporation, Токио, Япония) [26].
2.3.2. Образцы растений
На каждой стадии роста кукурузы (до посева, V1, V6, R2, R5) случайным образом отбирали пять растений с каждой делянки для измерений. Высоту растения оценивали с помощью линейки. Измеряли длину и ширину листа для расчета площади листа и индекса листовой поверхности (LAI) [27]. LAI рассчитывали по следующим формулам:
где Sleaf — площадь листа кукурузы (м²), L — длина листа (см), W — максимальная ширина листа (см), LAI — индекс листовой поверхности, Sground — площадь, занимаемая кукурузой (м²).
При уборке урожая кукурузы случайным образом отбирали пять растений кукурузы с каждой делянки, и все растения собирали. В лаборатории растения разделяли на корни, листья, стебли и зерна. Одинаковые органы растений с одной и той же делянки объединяли вместе. Образцы затем помещали в сушильный шкаф при 105 °C для фиксации, после чего сушили при 80 °C до достижения постоянного веса. Затем измеряли сухую биомассу корней, стеблей, листьев и зерна (урожайность) кукурузы.
2.3.3. Определение выбросов парниковых газов (CO₂ и N₂O)
Пробы ПГ отбирали с использованием метода статических камер [28,29]. Камера была изготовлена из пластика с размерами φ 0.2 × 0.26 м. Пробы газа отбирали каждые 7–15 дней в течение всего периода роста кукурузы. В каждый день отбора из каждой камеры с помощью 500 мл вакуумных пакетов собирали два образца. Пробы отбирали с интервалом в 30 минут, с 8:00 до 11:00 утра. Формула для расчета потока выбросов ПГ приведена в уравнении (3):
где F представляет поток выбросов газа (мкг м⁻² ч⁻¹), ρ представляет плотность ПГ в стандартных условиях, h представляет высоту камеры для отбора проб (м), T представляет температуру внутри камеры во время отбора проб (°C), а dc/dt — скорость изменения концентрации измеряемого газа в камере (мкл л⁻¹ мин⁻¹).
Формула для расчета кумулятивных выбросов ПГ приведена в уравнении (4):
где Y — общий выброс газа (кг га⁻¹), F — поток выбросов газа (мг м⁻² ч⁻¹), i — i-й момент времени, t_{i+1} - t_i — количество дней между интервалами отбора проб, а n — количество раз отбора проб.
2.3.4. Углеродный след (CF)
Для оценки CF использовали подход оценки жизненного цикла (LCA). Область анализа CF включает чистые выбросы ПГ с пашни и выбросы ПГ от сельскохозяйственных ресурсов. Чистые выбросы ПГ рассчитывали с использованием метода пула почвенного углерода [30]. Подтверждено, что выбросы метана с сельскохозяйственных почв в засушливых и полузасушливых регионах незначительны. Поэтому в данном исследовании выбросы метана не оценивались. Углеродные выбросы от сельскохозяйственных ресурсов и использования техники определяли с использованием метода коэффициентов эквивалентности, при этом коэффициенты выбросов для сельскохозяйственных ресурсов приведены в Таблице 1. Использовались следующие формулы для расчета CF:
где CF_общ — общие углеродные выбросы почвы в процессе производства культуры (кг CO₂-экв. га⁻¹), CF_ресурсы — углеродные выбросы от сельскохозяйственных ресурсов (кг CO₂-экв. га⁻¹), CF_SOC — изменение запасов органического углерода в почве (кг CO₂-экв. га⁻¹), CF_N2O — общие выбросы N₂O из почвы (кг CO₂-экв. га⁻¹), AD_i — количество i-го сельскохозяйственного ресурса (кг га⁻¹), EF_i — коэффициент выбросов i-го сельскохозяйственного ресурса (кг CO₂-экв. кг⁻¹), SOC_до и SOC_после — содержание органического углерода в почве до посадки и после уборки урожая соответственно, E_N2O — кумулятивные выбросы N₂O из почвы (кг N₂O га⁻¹), CF_y — углеродный след в расчете на урожай (кг CO₂-экв. кг⁻¹), а Y — урожайность кукурузы (кг га⁻¹).
2.3.5. Водный след (WF)
WF рассчитывали с использованием метода LCA для количественной оценки общего водопотребления в течение периодов роста культуры. Область анализа WF включала прямое водопотребление во время роста культуры и косвенное водопотребление от сельскохозяйственных ресурсов. Прямое водопотребление определяли с использованием метода водного баланса почвы [31], который рассчитывался следующим образом:
где W_s — запас воды в почве в слое 0–100 см (мм), h — интервал глубины почвенного образца (см), θ — влагосодержание почвы (%), i — номер слоя почвы, n — общее количество слоев почвы, WF_прямое — прямой водный след (м³ га⁻¹), P — количество осадков в течение вегетационного сезона культуры (мм), а W_s_до и W_s_после — W_s до посадки и после уборки урожая соответственно (мм).
Косвенный водный след, водный след в расчете на площадь и водный след в расчете на урожай рассчитывались следующим образом:
где WF_косвенное — косвенный водный след (м³ га⁻¹), Q_i — количество i-го сельскохозяйственного ресурса (кг га⁻¹ год⁻¹), δ_i — коэффициент водопотребления i-го сельскохозяйственного ресурса (л H₂O-экв. кг⁻¹), WF_a — водный след в расчете на площадь (м³ га⁻¹), WF_y — водный след в расчете на урожай (м³ кг⁻¹), а Y — урожайность кукурузы (кг га⁻¹). Коэффициенты водопотребления для каждого сельскохозяйственного ресурса приведены в Таблице 1.
Таблица 1. Коэффициенты водопотребления и коэффициенты выбросов ПГ от использования материалов.
2.4. Анализ данных
Статистический анализ выполнялся с помощью программного обеспечения IBM SPSS Statistics 27.0 (IBM Inc., Чикаго, Иллинойс, США) с использованием однофакторного дисперсионного анализа (ANOVA). Множественные сравнения различий между вариантами для каждого параметра проводили с помощью теста Дункана (α = 0.05), а графики строили с помощью Origin 2022.
3. Результаты
3.1. Свойства почвы
3.1.1. Кислотность почвы (pH)
В таблице 2 отражены уровни pH почвы при различных способах заделки соломы на каждой стадии роста кукурузы с 2023 по 2024 год. Как показано, pH почвы в варианте ISR увеличился на 0,11, что представляет собой значительный рост на 1,4% по сравнению с CK на стадии R5 в 2023 году (p < 0,05). Однако на других стадиях существенных различий в pH почвы между вариантами не наблюдалось. Кроме того, в течение вегетационного периода кукурузы в 2024 году существенных изменений pH почвы между вариантами не наблюдалось.
Таблица 2. Влияние способов заделки соломы на pH почвы в 2023-2024 гг.
3.1.2. Влажность почвы (SWC)
На рисунке 1 показана SWC при различных способах заделки соломы на каждой стадии роста кукурузы в 2023-2024 гг. SWC в варианте ISR была на 23,5% ниже, чем в варианте CK на стадии R2 в 2023 году (p < 0,05). На стадии R5 SWC в вариантах SR и ISR была достоверно ниже, чем в CK, с уменьшением на 8,3% и 10,9% соответственно. В 2024 году SWC в варианте SR была достоверно выше, чем в CK и ISR, на стадии V6, увеличившись на 15,1% и 12,6% соответственно. Однако существенных различий в SWC на других стадиях роста кукурузы при различных вариантах обработки в 2024 году не наблюдалось.
Рисунок 1. Влияние способов заделки соломы на SWC в 2023-2024 гг. (a) SWC в 2023 году; (b) SWC в 2024 году. Примечание: V1, всходы; V6, стеблевание; R2, налив зерна; R5, спелость. Значения, обозначенные одинаковыми буквами, не имеют достоверных различий между вариантами при p < 0,05.
3.1.3. Растворенный органический углерод (DOC) почвы
На рисунке 2 показаны уровни DOC в почве при различных способах заделки соломы на каждой стадии роста кукурузы в 2023-2024 гг. Как показано, обработка ISR достоверно увеличивала уровни DOC в почве в системе земледелия кукурузы в 2023 году. На стадии V6 обработка ISR повышала уровни DOC в почве на 23,6% и 26,0% по сравнению с CK и SR соответственно. На стадии R5 содержание DOC в почве было достоверно выше на 21,7% в SR и на 16,3% в ISR по сравнению с CK (p < 0,05). В 2024 году, с стадий V1 по R5, обработка ISR постоянно увеличивала уровни DOC в почве на 13,1–33,0% по сравнению с CK. Кроме того, на стадии V6 обработка SR также достоверно повышала уровни DOC в почве, показав увеличение на 25,8% по сравнению с CK (p < 0,05).
Рисунок 2. Влияние способов заделки соломы на DOC почвы в 2023-2024 гг. (a) DOC почвы в 2023 году; (b) DOC почвы в 2024 году. Примечание: V1, всходы; V6, стеблевание; R2, налив зерна; R5, спелость. Значения, обозначенные одинаковыми буквами, не имеют достоверных различий между вариантами при p < 0,05.
3.1.4. Растворенный органический азот (DON) почвы
На рисунке 3 показаны уровни DON в почве при различных способах заделки соломы на каждой стадии роста кукурузы в 2023-2024 гг. Как показано, обработка ISR достоверно увеличивала уровни DON в почве. На стадии V6 в 2023 году уровни DON в почве в вариантах SR и ISR были достоверно выше, чем в CK, с увеличением на 8,5% и 14,2% соответственно (p < 0,05). На стадии V1 в 2024 году уровни DON в почве в вариантах SR и ISR были достоверно выше, чем в CK, увеличившись на 43,8% и 50,8% соответственно. На стадии V6 в 2024 году обработка ISR также привела к значительному увеличению уровней DON в почве, которые были на 35,9% выше, чем в CK (p < 0,05).
Рисунок 3. Влияние способов заделки соломы на DON почвы в 2023-2024 гг. (a) DON почвы в 2023 году; (b) DON почвы в 2024 году. Примечание: V1, всходы; V6, стеблевание; R2, налив зерна; R5, спелость. Значения, обозначенные одинаковыми буквами, не имеют достоверных различий между вариантами при p < 0,05.
3.2. Рост кукурузы
3.2.1. Высота растений и индекс листовой поверхности (LAI)
Тенденция роста индекса листовой поверхности (LAI) и общей высоты растений кукурузы в 2023-2024 гг. показана на рисунке 4. Как показано, LAI кукурузы увеличивался, а затем уменьшался по мере прогрессирования вегетационного сезона, достигая пика в начале августа в оба года. В это время значения LAI для CK, SR и ISR варьировались от 2,71 до 3,47, от 3,29 до 4,13 и от 3,46 до 4,18 соответственно. Оба варианта обработки, SR и ISR, показали достоверно более высокие LAI по сравнению с CK, с увеличением в диапазоне от 18,8% до 21,4% для SR и от 20,2% до 27,7% для ISR (p < 0,05). Прирост высоты растений кукурузы варьировался от 200,8 см до 218,4 см в 2023 году и от 118,4 см до 146,2 см в 2024 году. Общий прирост высоты растений был достоверно больше в варианте ISR по сравнению с CK в оба года, с увеличением на 8,8% в 2023 году и на 23,1% в 2024 году (p < 0,05).
Рисунок 4. Прирост высоты растений кукурузы и LAI при различных способах заделки соломы в 2023-2024 гг. (a) LAI кукурузы в 2023 году; (b) прирост высоты растений в 2023 году; (c) LAI кукурузы в 2024 году; (d) прирост высоты растений в 2024 году. Примечание: LAI: индекс листовой поверхности. обозначает достоверные различия при p < 0,05.
3.2.2. Биомасса различных частей кукурузы
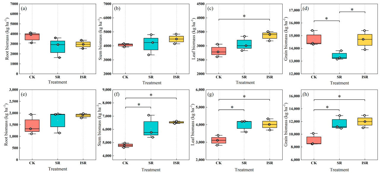
На рисунке 5 показана биомасса органов кукурузы при различных способах заделки соломы в течение 2023-2024 гг. В 2023 году биомасса листьев кукурузы была достоверно выше в варианте ISR, с увеличением на 19,4% по сравнению с CK. Что касается биомассы зерна кукурузы, значения составили 14,71 т га⁻¹ для CK, 13,41 т га⁻¹ для SR и 14,67 т га⁻¹ для ISR. Оба варианта, CK и ISR, имели достоверно более высокую биомассу зерна, чем SR в 2023 году, с увеличением на 9,7% и 9,4% соответственно. В 2024 году биомасса стеблей кукурузы достоверно увеличилась как в CK, так и в ISR, возросши на 26,9% и 36,3% соответственно. Биомасса листьев в вариантах CK и ISR также была выше на 28,2% и 29,1% по сравнению с SR. Биомасса зерна кукурузы в 2024 году составила 9,04 т га⁻¹ в CK, 11,68 т га⁻¹ в SR и 12,00 т га⁻¹ в ISR. Биомасса зерна в вариантах SR и ISR была достоверно выше на 29,2% и 32,6% соответственно по сравнению с CK (p < 0,05).
Рисунок 5. Биомасса органов кукурузы при различных способах заделки соломы в 2023-2024 гг. (a) биомасса корней в 2023 году; (b) биомасса стеблей в 2023 году; (c) биомасса листьев в 2023 году; (d) биомасса зерна в 2023 году; (e) биомасса корней в 2024 году; (f) биомасса стеблей в 2024 году; (g) биомасса листьев в 2024 году; (h) биомасса зерна в 2024 году. обозначает достоверные различия при p < 0,05.
3.3. Выбросы парниковых газов из почвы
В таблице 3 представлены кумулятивные выбросы ПГ (CO₂ и N₂O) из почвы при различных способах заделки соломы в течение 2023-2024 гг. Кумулятивные выбросы CO₂ из почвы для различных вариантов обработки варьировались от 3212,12 кг C га⁻¹ до 3645,63 кг C га⁻¹ в 2023 году и от 3745,66 кг C га⁻¹ до 4035,75 кг C га⁻¹ в 2024 году. В 2023 году вариант ISR имел достоверно более высокие кумулятивные выбросы CO₂ по сравнению с CK и SR, с увеличением на 13,5% и 13,6% соответственно (p < 0,05). Что касается кумулятивных выбросов N₂O из почвы при различных вариантах обработки, значения варьировались от 0,97 кг N га⁻¹ до 1,21 кг N га⁻¹ в 2023 году и от 1,32 кг N га⁻¹ до 1,59 кг N га⁻¹ в 2024 году. В 2023 году кумулятивные выбросы N₂O были на 16,9% и 19,4% ниже в вариантах SR и ISR по сравнению с CK соответственно. Более того, кумулятивные выбросы N₂О из варианта ISR в 2024 году были достоверно снижены на 16,9% (p < 0,05) по сравнению с CK.
Таблица 3. Влияние способов заделки соломы на кумулятивные выбросы ПГ (CO₂ и N₂O) в 2023-2024 гг.
3.4. Экологический след
3.4.1. Углеродный след (CF)
На рисунке 6 показан CF (как в расчете на площадь, так и на урожай) пашни при различных способах заделки соломы в течение 2023-2024 гг. Оба варианта обработки, SR и ISR, снижали CF пашни. В 2023 году CFa был достоверно ниже в вариантах SR (4440,53 кг CO₂-экв. га⁻¹) и ISR (4270,91 кг CO₂-экв. га⁻¹) по сравнению с CK (6358,65 кг CO₂-экв. га⁻¹), со снижением на 30,2% и 32,8% соответственно. Кроме того, CFy в вариантах SR (0,33 кг CO₂-экв. кг⁻¹) и ISR (0,29 кг CO₂-экв. кг⁻¹) был достоверно ниже на 37,2% и 44,7% по сравнению с CK (0,53 кг CO₂-экв. кг⁻¹) соответственно. Вариант ISR также имел на 12,0% более низкий CFy, чем SR. В 2024 году CFa оставался достоверно ниже в вариантах SR (8100,47 кг CO₂-экв. га⁻¹) и ISR (8591,66 кг CO₂-экв. га⁻¹) по сравнению с CK, со снижением на 30,3% и 26,1% соответственно. Аналогично, CFy в вариантах SR (0,70 кг CO₂-экв. кг⁻¹) и ISR (0,73 кг CO₂-экв. кг⁻¹) был достоверно ниже на 45,5% и 43,7% по сравнению с CK соответственно (p < 0,05).
Рисунок 6. CF при различных способах заделки соломы в 2023-2024 гг. (a) CF в 2023 году; (b) CF в 2024 году. Примечание: CFa, углеродный след в расчете на площадь; CFy, углеродный след в расчете на урожай. Разные строчные буквы над столбцами означают достоверные различия при p < 0,05.
3.4.2. Водный след (WF)
На рисунке 7 показан WF (как в расчете на площадь, так и на урожай) пашни при различных способах заделки соломы в течение 2023-2024 гг. Заделка соломы достоверно снижала WF пашни. В 2023 году WFa для вариантов SR (3381,69 м³ га⁻¹) и ISR (3360,97 м³ га⁻¹) была достоверно ниже на 7,0% и 7,6% по сравнению с CK (3636,68 м³ га⁻¹) соответственно. Кроме того, WFy в варианте ISR (0,23 м³ кг⁻¹) был достоверно ниже, чем у CK (0,25 м³ кг⁻¹) и SR (0,25 м³ кг⁻¹), со снижением на 7,3% и 9,1% соответственно. В системе земледелия кукурузы 2024 года WFa была достоверно снижена на 17,2% в варианте ISR (950,31 м³ га⁻¹) по сравнению с CK (1147,11 м³ га⁻¹). WFy в вариантах SR и ISR (0,079 м³ кг⁻¹) был достоверно снижен на 27,2% и 38,0% по сравнению с CK (0,13 м³ кг⁻¹). Более того, вариант ISR также показал на 14,8% более низкий WFy, чем вариант SR (0,093 м³ кг⁻¹), и это различие было статистически значимым (p < 0,05).
Рисунок 7. WF при различных способах заделки соломы в 2023-2024 гг. (a) WF в 2023 году; (b) WF в 2024 году. Примечание: WFa, водный след в расчете на площадь; WFy, водный след в расчете на урожай. Разные строчные буквы над столбцами означают достоверные различия при p < 0,05.
3.5. Корреляции между углеродным следом, водным следом, свойствами почвы и биомассой кукурузы
Как показано на рисунке 8, существует линейная корреляция между углеродным следом и водным следом пашни в 2023-2024 гг. В 2023 году наблюдалась положительная корреляция между CFa и WFa (y = 0,12697x + 2821,96), при этом WFa линейно увеличивалась с ростом CFa (R² = 0,57, p < 0,05). В 2024 году наблюдалась сильная положительная корреляция между CFy и WFy (y = 0,05429x + 0,0504), при этом WFy линейно увеличивался с ростом CFy (R² = 0,59, p < 0,01).
Рисунок 8. Корреляции между CF и WF в 2023-2024 гг. (a) Корреляция между CFa и WFa в 2023 году; (b) корреляция между CFy и WFy в 2023 году; (c) корреляция между CFa и WFa в 2024 году; (d) корреляция между CFy и WFy в 2024 году. Примечание: WFa, водный след в расчете на площадь; WFy, водный след в расчете на урожай.
Анализ избыточности (RDA) был использован для изучения взаимосвязи между CFy пашни; WFy; факторами почвенной среды (pH, SWC, DOC и DON); и биомассой кукурузы (Рисунок 9). Первые две оси объяснили 77,3% от общей дисперсии (Рисунок 9a). Эти оси эффективно отразили корреляции между CF, WF и почвенными факторами. Анализ выявил значительное влияние факторов почвенной среды на углеродный и водный следы пашни (p = 0,001). Угловые отношения между факторами показали, что CF отрицательно коррелировал с SWC и DON, тогда как WF положительно коррелировал с SWC и отрицательно — с pH почвы и DOC. Эти результаты позволяют предположить, что различные системы оценки следа проявляют разную чувствительность к каждому фактору почвенной среды.
Рисунок 9. RDA между следами (CFy и WFy) и свойствами почвы и биомассой кукурузы. (a) RDA между следами (CFy и WFy) и свойствами почвы; (b) RDA между следами (CFy и WFy) и биомассой кукурузы. Примечание: SWC: влажность почвы; DOC, растворенный органический углерод почвы; DON, растворенный органический азот почвы; CFy, углеродный след в расчете на урожай; WFy, водный след в расчете на урожай.
Как показано в анализе RDA углеродного следа, водного следа пашни и биомассы кукурузы (Рисунок 9b), первые две координатные оси объясняют 86,68% от общего вариации. Они эффективно отразили корреляции между CF, WF и биомассой кукурузы. Анализ также выявил значительное влияние биомассы урожая на углеродный и водный следы пашни (p = 0,001). Угловые отношения показали, что CF положительно коррелировал с биомассой стеблей и отрицательно — с биомассой зерна и корней. В отличие от этого, WF положительно коррелировал с биомассой корней и зерна, но отрицательно — с биомассой листьев и стеблей.
На рисунке 10 представлены результаты корреляционного анализа Пирсона между факторами почвенной среды и биомассой кукурузы при различных вариантах обработки в 2023-2024 гг. Анализ выявил отрицательную корреляцию между pH почвы и SWC (-0,75) и между SWC и содержанием DOC в почве (-0,74). Однако SWC показала значительную положительную корреляцию с биомассой корней кукурузы (+0,74). В системе земледелия кукурузы 2023 года биомасса листьев кукурузы сильно положительно коррелировала с уровнями DON в почве (+0,87, p < 0,01). В 2024 году биомасса стеблей кукурузы демонстрировала положительные корреляции как с pH почвы (+0,70), так и с уровнями DOC (+0,78). Биомасса зерна также показала значительную положительную корреляцию с уровнями DON (+0,73). Более того, наблюдались сильные положительные корреляции между биомассой стеблей, листьев и зерна кукурузы. Коэффициенты корреляции варьировались от 0,73 до 0,83 (p < 0,05).
Рисунок 10. Корреляции между свойствами почвы и биомассой кукурузы в 2023-2024 гг. (a) Тепловая карта в 2023 году; (b) тепловая карта в 2024 году. Примечание: SWC, влажность почвы; DOC, растворенный органический углерод почвы; DON, растворенный органический азот почвы; RB, биомасса корней; SB, биомасса стеблей; LB, биомасса листьев; GB, биомасса зерна.
4. Обсуждение
4.1. Влияние способов заделки соломы на свойства почвы
В отличие от неорганических питательных веществ, растворимые органические питательные вещества часто являются основным источником элементов во многих почвах и играют ключевую роль в биогеохимических циклах [34]. В частности, DON является ключевым фактором, лимитирующим продуктивность наземных экосистем [35]. Кроме того, DOC почвы разлагается легче и имеет более высокую скорость оборота, чем общий органический углерод. Как таковой, DOC служит ранним и чувствительным индикатором изменений в почвенном органическом углероде [12]. Наши результаты продемонстрировали, что заделка соломы значительно повышала уровни питательных веществ в почве (DOC и DON), что согласуется с предыдущими исследованиями [36]. Примечательно, что обработка ISR была более благоприятной для увеличения почвенных DOC и DON, чем обработка SR (Рисунки 2 и 3). Это можно объяснить тем, что ISR увеличивает площадь контакта между кукурузной соломой и почвенными микроорганизмами и ферментами. Это ускоряет разложение соломы, которое высвобождает больше азотных питательных веществ и способствует образованию большего количества гумуса в почве по сравнению с SR [8]. Кислотность (pH) и влажность почвы (SWC) также являются важными факторами, влияющими на рост сельскохозяйственных культур, особенно в регионах с богарным земледелием, где удержание влаги в почве критически важно для продуктивности. Наше исследование показало, что заделка соломы оказывала минимальное влияние на pH почвы (Таблица 2). Однако ее влияние на влажность почвы варьировалось между годами (Рисунок 1). Эта изменчивость может быть связана с различиями в том, как обработки влияют на перехват осадков и испарение воды [37]. В 2023 году заделка соломы, по-видимому, снижала влажность почвы, возможно, за счет изменения структуры почвы и ее разрыхления, что ускоряло испарение в засушливых условиях и снижало способность почвы удерживать воду [38]. И наоборот, на стадии V6 кукурузы в 2024 году обработка SR улучшала влажность почвы. Это могло быть связано с тем, что обработка SR повышала пористость почвы, улучшала инфильтрацию осадков и увеличивала удержание влаги [37].
4.2. Влияние способов заделки соломы на рост кукурузы
Изменения в росте сельскохозяйственных культур имеют crucialное значение для оценки качества методов ведения сельского хозяйства [39]. Высота растений кукурузы и индекс листовой поверхности (LAI) являются ключевыми показателями фенотипических характеристик культуры, которые важны для оценки роста и прогнозирования урожайности. Наше исследование подтвердило, что заделка соломы значительно увеличивала LAI кукурузы, причем ISR также оказывал значительное влияние на прирост высоты растений кукурузы (Рисунок 4), что согласуется с предыдущими данными [40]. Более того, было показано, что заделка соломы значительно повышает урожайность культур. Это в основном объясняется высокой доступностью питательных веществ в почве после заделки соломы, а также улучшением структуры почвы [41], в то время как надземная биомасса и продуктивность зерна напрямую связаны с LAI [40]. Эти результаты согласуются с выводами Chen et al. [42], которые обнаружили, что заделка соломы с глубокой обработкой почвы может увеличить урожайность культур за счет улучшения условий в более глубоких слоях почвы и усиления распределения корней. Однако результаты нашего эксперимента показали, что SR привела к снижению урожайности кукурузы в 2023 году. Это может быть связано с тем, что SR снижает водоудерживающую способность верхнего слоя почвы. Разложение соломы также потребляет почвенную влагу, что ограничивает доступность воды для роста культуры [43], в конечном итоге снижая урожайность кукурузы [44]. Наши результаты также продемонстрировали, что заделка соломы была эффективна в увеличении биомассы стеблей и листьев кукурузы (Рисунок 5). Оба этих фактора были связаны с дополнительным органическим веществом и питательными веществами, предоставляемыми соломой, которые способствовали накоплению биомассы стеблей и листьев [6].
4.3. Влияние способов заделки соломы на выбросы ПГ, CF и WF
Сельскохозяйственное производство не только направлено на удовлетворение основных потребностей человека и повышение экономической эффективности, но его конечной целью является баланс экономических и экологических выгод для обеспечения устойчивости сельскохозяйственных систем. В этом исследовании выбросы CO₂ из почвы были выше в режиме ISR (Таблица 3), что согласуется с выводами предыдущих исследований [43,45]. Это увеличение, вероятно, связано с добавлением кукурузной соломы, которая снабжает почвенные микроорганизмы обильным углеродом и азотом. Это ускоряет разложение органического вещества и усиливает минерализацию питательных веществ, приводя к более высоким выбросам CO₂ [46]. Однако влияние внесения соломы на выбросы N₂O остается спорным. Zhou et al. [47] предположили, что вариации влажности почвы могут объяснять противоречивые эффекты заделки соломы на выбросы N₂O. В условиях высокой влажности почвы заделка соломы может создавать гипоксические среды, которые могут ускорять денитрификацию, таким образом значительно увеличивая выбросы N₂O. С другой стороны, Lin et al. [48] продемонстрировали, что заделка соломы стимулировала выбросы N₂O за счет увеличения обилия генов аммоний-окисляющих бактерий (AOB—amoA) и нитритредуктазы (nirK), в то же время ингибируя восстановление N₂O за счет уменьшения обилия генов закись-азотредуктазы (nosZ). В противоположность этому, оба способа заделки соломы снижали выбросы N₂O по сравнению с CK в нашем исследовании. Это может быть связано с тем, что заделка соломы ускоряет микробный оборот углерода в почве, что создает анаэробные условия, благоприятствующие преобразованию N₂O в N₂ [49]. Стоит отметить, что ISR оказывал большее снижающее воздействие на выбросы N₂O по сравнению с SR. Это подтверждает вывод Zhou et al. [47] о том, что N₂O может быть далее восстановлен до N₂ в условиях сильной аноксии почвы, где почвенные микроорганизмы используют N₂O в качестве акцептора электронов. В варианте ISR более глубокая заделка соломы в почве формирует аноксическую среду в подповерхностном слое, что способствует восстановлению N₂O из-за потребления кислорода во время разложения соломы.
Углеродный след (CF) и водный след (WF) пашни являются ключевыми показателями выбросов ПГ и водопотребления во время роста культуры [50]. Оценка этих показателей имеет crucialное значение для оптимизации управления агроэкосистемой и руководства устойчивыми сельскохозяйственными практиками. Некоторые исследования использовали метод LCA для оценки CF пашни в условиях заделки соломы. Некоторые в целом обнаружили, что заделка соломы увеличивает выбросы ПГ из почвы, таким образом положительно влияя на CF производства сельскохозяйственных культур [51]. Однако Dhaliwal et al. [52] показали, что комбинирование уменьшенной обработки почвы и сохранения растительных остатков может снизить выбросы углерода и уменьшить CF, что согласуется с нашими результатами. В этом исследовании оба режима заделки соломы (SR и ISR) снижали CF пашни, причем ISR показал более значительное снижение CFy, чем SR в 2023 году (Рисунок 6). Это, вероятно, основная роль секвестрации органического углерода в почве в снижении CF. Заделка соломы способствует секвестрации органического углерода в почве, что помогает снизить выбросы углерода и CF пашни. Мы также проанализировали как прямое водопотребление, так и косвенное водопотребление от материальных ресурсов во время роста культуры на основе метода LCA. Результаты показали, что прямое водопотребление было основным вкладом в водопользование в системах земледелия [31]. Оба способа заделки соломы снижали водопотребление культуры, причем обработка ISR показала более выраженный эффект (Рисунок 7). Это согласуется с выводами Zhang et al. [53], которые сообщили, что обработка ротационной фрезой и заделка соломы в глубокие борозды снижали водопотребление почвы, понижая WF на пашне. В целом, эти результаты позволяют предположить, что мера ISR является эффективной стратегией сохранения почвенной влаги, демонстрируя свой потенциал для экономии воды при одновременном повышении эффективности использования соломы.
4.4. Корреляции между углеродным следом, водным следом, свойствами почвы и биомассой кукурузы
В сельскохозяйственных системах рост растений в значительной степени зависит от поступления азота. Практики заделки соломы непосредственно вносят азот в почву, способствуя росту растений. Эти практики также влияют на почвенное дыхание и выбросы углерода, тем самым воздействуя на CF пашни [44,54]. Некоторые исследования показали, что изменения влажности почвы управляют межгодовыми изменениями почвенного углерода [55]. Управление органическим углеродом почвы может помочь смягчить изменение климата за счет сокращения выбросов CO₂ [56] и снижения CFy. Следовательно, CFy также регулируется влажностью почвы. Засушливые почвенные условия препятствуют почвенной микробной активности и снижают секвестрацию органического углерода в почве, что, в свою очередь, влияет на выбросы углерода [57]. Наблюдаемая в нашем исследовании отрицательная корреляция между CFy и SWC подтверждает эту идею. Кроме того, влажность почвы напрямую влияет на эвапотранспирацию культуры, что, в свою очередь, влияет на WFy в сельскохозяйственных системах (Рисунок 9). Было показано, что биомасса урожая и водопотребление сильно коррелированы [58]. Это открытие согласуется с нашим исследованием, в котором WFy был значительно положительно коррелирован с SWC, биомассой зерна кукурузы и биомассой корней. Кроме того, мы обнаружили значительную положительную линейную связь между CF и WF (Рисунок 8). Это позволяет предположить, что меры по заделке соломы обладают потенциалом для одновременного сокращения выбросов углерода и водопотребления. Это предоставляет многообещающую стратегию для достижения устойчивого «тройного выигрыша» в сельском хозяйстве (низкоуглеродное, водосберегающее и энергоэффективное) [59].
Органический углерод почвы влияет на урожайность и биомассу культуры за счет улучшения качества и здоровья почвы [60]. Liu et al. [28] обнаружили, что DOC почвы был более чувствителен к различным методам земледелия, чем общий органический углерод, и служил надежным индикатором биомассы кукурузы. Наши результаты further поддержали это открытие, которое показало сильную положительную корреляцию между уровнями DOC в почве и биомассой стеблей кукурузы (Рисунок 10). Уровень азота в почве напрямую определяет доступность питательных веществ для культуры, причем повышенное содержание азота в почве способствует накоплению биомассы в различных органах кукурузы [61]. В то же время, DON почвы непосредственно поглощается растениями без минерализации, и его концентрация напрямую влияет на накопление биомассы культуры [62]. В соответствии с этим, мы обнаружили сильную положительную корреляцию между уровнями DON в почве и биомассой листьев и зерна кукурузы. В 2023 году наше исследование выявило значительную положительную корреляцию между SWC и биомассой корней кукурузы, подтверждая выводы Quaye et al. [63]. Они сообщили, что биомасса кукурузы увеличивалась с повышением влажности почвы. В заключение, наше исследование подтвердило, что заделка соломы способствовала накоплению биомассы кукурузы. Это может быть связано с улучшением уровней DOC и DON в почве. Эта практика также помогает смягчить выбросы углерода и водопотребление на пашне, тем самым снижая CF и WF пашни. Среди различных режимов заделки соломы подход ISR оказал наиболее значительное влияние на увеличение урожайности кукурузы и смягчение негативных экологических эффектов на пашне.
Эти результаты дают ценную информацию о влиянии различных режимов заделки соломы на свойства почвы и урожая. Однако анализ химического состава соломы может лучше поддержать лежащие в основе механизмы этих эффектов. В будущих исследованиях мы будем принимать во внимание изменения характеристик соломы, чтобы получить более глубокое понимание ее роли в реакциях почвы и урожая.
5. Выводы
Различные режимы заделки соломы оказывали различное влияние на свойства почвы, рост культуры и экологический след. По сравнению с CK, обе меры, SR и ISR, повышали уровни DOC и DON в почве, подчеркивая положительное влияние заделки соломы на повышение плодородия и качества почвы. Меры SR и ISR также эффективно повышали LAI кукурузы, биомассу стеблей, биомассу листьев и биомассу зерна. С точки зрения экологических эффектов на пашне, ISR увеличивал выбросы CO₂ из почвы, в то время как SR и ISR снижали выбросы N₂O, причем ISR показал наибольшее снижение. Что касается экологических следов, заделка соломы помогла снизить CF и WF пашни, причем ISR оказал наибольший эффект снижения. Корреляционный анализ показал, что WFy положительно коррелировал с SWC, биомассой корней кукурузы и биомассой зерна, но отрицательно коррелировал с биомассой листьев и стеблей. CFy положительно коррелировал с биомассой стеблей и отрицательно — с биомассой зерна и корней. Более того, почвенные DON и DOC были ключевыми факторами, положительно регулирующими производство урожая и биомассы кукурузы. В целом, мы продемонстрировали, что мера ISR не только способствует накоплению биомассы кукурузы, но и смягчает выбросы углерода и водопотребление, тем самым снижая CF и WF пашни. Это может быть связано с положительным эффектом ISR на уровни DON и DOC в почве. Положительная линейная корреляция между углеродным и водным следами further указывает на то, что мера ISR обладает большим потенциалом для достижения «низкоуглеродного, водосберегающего и энергоэффективного» сельского хозяйства. Эта технология перспективна для улучшения качества почвы, повышения урожайности культур, смягчения экологического давления и содействия устойчивому развитию сельского хозяйства. В будущих исследованиях мы будем комбинировать химические характеристики соломы, чтобы лучше объяснить механизм ее влияния на почву и экологическую среду.
Ccылки
1. Ren, J.; Yu, P.; Xu, X. Straw utilization in China—Status and recommendations. Sustainability 2019, 11, 1762. [Google Scholar] [CrossRef]
2. Bai, W.; Yan, L.; Zhang, L.; Ye, L. Practice, pathways, and performance for resource utilization of crop straw: A case study of Xinyang City in China. Environ. Sci. Pollut. Res. 2023, 30, 10812–10829. [Google Scholar] [CrossRef]
3. Wang, Y.; Liu, S.; Xie, Q.; Ma, Z. Carbon Footprint of a Typical Crop–Livestock Dairy Farm in Northeast China. Agriculture 2024, 14, 1696. [Google Scholar] [CrossRef]
4. Chataut, G.; Bhatta, B.; Joshi, D.; Subedi, K.; Kafle, K. Greenhouse gases emission from agricultural soil: A review. J. Agric. Food Res. 2023, 11, 100533. [Google Scholar] [CrossRef]
5. Chen, B.; Liu, E.; Tian, Q.; Yan, C.; Zhang, Y. Soil nitrogen dynamics and crop residues. A review. Agron. Sustain. Dev. 2014, 34, 429–442. [Google Scholar] [CrossRef]
6. Zhang, M.; Song, D.; Pu, X.; Dang, P.; Qin, X.; Siddique, K.H. Effect of different straw returning measures on resource use efficiency and spring maize yield under a plastic film mulch system. Eur. J. Agron. 2022, 134, 126461. [Google Scholar] [CrossRef]
7. Du, C.; Li, L.; Effah, Z. Effects of straw mulching and reduced tillage on crop production and environment: A review. Water 2022, 14, 2471. [Google Scholar] [CrossRef]
8. Huang, T.; Yang, N.; Lu, C.; Qin, X.; Siddique, K.H. Soil organic carbon, total nitrogen, available nutrients, and yield under different straw returning methods. Soil Tillage Res. 2021, 214, 105171. [Google Scholar] [CrossRef]
9. Zhao, J.; Zhang, C.; Zhang, J. Effect of Straw Returning via Deep Burial Coupled with Application of Fertilizer as Primer on Soil Nutrients and Winter Wheat Yield. Acta Pedol. Sin. 2016, 53, 438–449. [Google Scholar]
10. Li, J.; Ye, X.; Zhang, Y.; Chen, J.; Yu, N.; Zou, H. Maize straw deep-burying promotes soil bacteria community abundance and improves soil fertility. J. Soil Sci. Plant Nutr. 2021, 21, 1397–1407. [Google Scholar] [CrossRef]
11. Fu, B.; Chen, L.; Huang, H.; Qu, P.; Wei, Z. Impacts of crop residues on soil health: A review. Environ. Pollut. Bioavailab. 2021, 33, 164–173. [Google Scholar] [CrossRef]
12. Liu, J.; Chen, X.; Li, D.; Xu, C.; Wu, M.; Liu, M.; Li, P.; Li, G.; Zhang, T.; Li, Z. Variation of soil dissolved organic carbon under long-term different fertilizations and its correlation with maize yields. J. Soil Sediments 2020, 20, 2761–2770. [Google Scholar] [CrossRef]
13. Liu, B.; Xia, H.; Jiang, C.; Riaz, M.; Yang, L.; Chen, Y.; Fan, X.; Xia, X. 14 year applications of chemical fertilizers and crop straw effects on soil labile organic carbon fractions, enzyme activities and microbial community in rice-wheat rotation of middle China. Sci. Total Environ. 2022, 841, 156608. [Google Scholar] [CrossRef] [PubMed]
14. Guo, R.; Qian, R.; Du, L.; Sun, W.; Wang, J.; Cai, T.; Zhang, P.; Jia, Z.; Ren, X.; Chen, X. Straw-derived biochar optimizes water consumption, shoot and root characteristics to improve water productivity of maize under reduced nitrogen. Agric. Water Manag. 2024, 294, 108722. [Google Scholar] [CrossRef]
15. Huang, T.; Wen, S.; Zhang, M.; Pan, Y.; Chen, X.; Pu, X.; Zhang, M.; Dang, P.; Meng, M.; Wang, W. Effect on greenhouse gas emissions (CH4 and N2O) of straw mulching or its incorporation in farmland ecosystems in China. Sustain. Prod. Consum. 2024, 46, 223–232. [Google Scholar] [CrossRef]
16. He, Z.; Cao, H.; Qi, C.; Hu, Q.; Liang, J.; Li, Z. Straw management in paddy fields can reduce greenhouse gas emissions: A global meta-analysis. Field Crop. Res. 2024, 306, 109218. [Google Scholar] [CrossRef]
17. Peng, Z.; Ting, W.; Haixia, W.; Min, W.; Xiangping, M.; Siwei, M.; Rui, Z.; Zhikuan, J.; Qingfang, H. Effects of straw mulch on soil water and winter wheat production in dryland farming. Sci. Rep. 2015, 5, 10725. [Google Scholar] [CrossRef]
18. Holka, M.; Bieńkowski, J. Carbon footprint and life-cycle costs of maize production in conventional and non-inversion tillage systems. Agronomy 2020, 10, 1877. [Google Scholar] [CrossRef]
19. Xu, Z.; Chen, X.; Wu, S.R.; Gong, M.; Du, Y.; Wang, J.; Li, Y.; Liu, J. Spatial-temporal assessment of water footprint, water scarcity and crop water productivity in a major crop production region. J. Clean. Prod. 2019, 224, 375–383. [Google Scholar] [CrossRef]
20. Zhang, W.; He, X.; Zhang, Z.; Gong, S.; Zhang, Q.; Zhang, W.; Liu, D.; Zou, C.; Chen, X. Carbon footprint assessment for irrigated and rainfed maize (Zea mays L.) production on the Loess Plateau of China. Biosyst. Eng. 2018, 167, 75–86. [Google Scholar] [CrossRef]
21. Bai, J.; Song, J.; Chen, D.; Zhang, Z.; Yu, Q.; Ren, G.; Han, X.; Wang, X.; Ren, C.; Yang, G. Biochar combined with N fertilization and straw return in wheat-maize agroecosystem: Key practices to enhance crop yields and minimize carbon and nitrogen footprints. Agric. Ecosyst. Environ. 2023, 347, 108366. [Google Scholar] [CrossRef]
22. Bocchiola, D. Impact of potential climate change on crop yield and water footprint of rice in the Po valley of Italy. Agric. Syst. 2015, 139, 223–237. [Google Scholar] [CrossRef]
23. Bai, Y.; Zhang, T.; Zhai, Y.; Shen, X.; Ma, X.; Zhang, R.; Ji, C.; Hong, J. Water footprint coupled economic impact assessment for maize production in China. Sci. Total Environ. 2021, 752, 141963. [Google Scholar] [CrossRef]
24. FAO. Soil map of the world, revised legend. In World Soil Resources Report; FAO: Rome, Italy, 1988; p. 60. [Google Scholar]
25. Zou, J.; Osborne, B. Spatially related sampling uncertainty in the assessment of labile soil carbon and nitrogen in an Irish forest plantation. Appl. Sci. 2021, 11, 2139. [Google Scholar] [CrossRef]
26. Doyle, A.; Weintraub, M.N.; Schimel, J.P. Persulfate digestion and simultaneous colorimetric analysis of carbon and nitrogen in soil extracts. Soil Sci. Soc. Am. J. 2004, 68, 669–676. [Google Scholar] [CrossRef]
27. Pan, Y.Q.; Tung, S.A.; Yang, L.; Wang, Y.; Zhou, X.B. Effect of straw return and nitrogen application rate on the photosynthetic characteristics and yield of double-season maize. J. Soil Sci. Plant Nutr. 2021, 22, 660–673. [Google Scholar] [CrossRef]
28. Guo, Y.; Ma, Z.; Ren, B.; Zhao, B.; Liu, P.; Zhang, J. Effects of humic acid added to controlled-release fertilizer on summer maize yield, nitrogen use efficiency and greenhouse gas emission. Agriculture 2022, 12, 448. [Google Scholar] [CrossRef]
29. Mohammed, S.; Mirzaei, M.; Pappné Törő, Á.; Anari, M.G.; Moghiseh, E.; Asadi, H.; Szabó, S.; Kakuszi Széles, A.; Harsányi, E. Soil carbon dioxide emissions from maize (Zea mays L.) fields as influenced by tillage management and climate. Irrig. Drain. 2022, 71, 228–240. [Google Scholar] [CrossRef]
30. Huang, J.; Chen, Y.; Sui, P.; Gao, W. Estimation of net greenhouse gas balance using crop-and soil-based approaches: Two case studies. Sci. Total Environ. 2013, 456, 299–306. [Google Scholar] [CrossRef]
31. Chen, B.; Cui, J.; Man, X.; Dong, W.; Yan, C.; Mei, X. The climate cost of saving water by different plastic mulching patterns. J. Clean. Prod. 2022, 359, 132011. [Google Scholar] [CrossRef]
32. Xunhao, L.; Wenxiu, X.; Zengjia, L.; Qingquan, C.; Xiaolin, Y.; Fu, C.; University, C.A.; University, X.A.; University, S.A. The Missteps, Improvement and Application of Carbon Footprint Methodology in Farmland Ecosystems with the Case Study of Analyzing the Carbon Efficiency of China’s Intensive Farming. Chin. J. Agric. Resour. Reg. Plan. 2013. [Google Scholar]
33. Wang, L.; Li, L.; Xie, J.; Luo, Z.; Sumera, A.; Zechariah, E.; Fudjoe, S.K.; Palta, J.A.; Chen, Y. Does plastic mulching reduce water footprint in field crops in China? A meta-analysis. Agric. Water Manag. 2022, 260, 107293. [Google Scholar] [CrossRef]
34. Kalbitz, K.; Solinger, S.; Park, J.; Michalzik, B.; Matzner, E. Controls on the dynamics of dissolved organic matter in soils: A review. Soil Sci. 2000, 165, 277–304. [Google Scholar] [CrossRef]
35. Jones, D.L.; Willett, V.B. Experimental evaluation of methods to quantify dissolved organic nitrogen (DON) and dissolved organic carbon (DOC) in soil. Soil Biol. Biochem. 2006, 38, 991–999. [Google Scholar] [CrossRef]
36. Cheng, Z.; Li, A.; Wang, R.; Hu, Q.; Zhou, J.; Li, M.; Wang, T.; He, D.; Zhu, L. Long-term straw return promotes accumulation of stable soil dissolved organic matter by driving molecular-level activity and diversity. Agric. Ecosyst. Environ. 2024, 374, 109155. [Google Scholar] [CrossRef]
37. Wang, J.; Sun, C.; Zhang, Y.; Xiao, J.; Ma, Y.; Jiang, J.; Jiang, Z.; Zhang, L. Straw return rearranges soil pore structure improving soil moisture memory in a maize field experiment under rainfed conditions. Agric. Water Manag. 2024, 306, 109164. [Google Scholar] [CrossRef]
38. Tang, M.; Liu, R.; Luo, Z.; Zhang, C.; Kong, J.; Feng, S. Straw returning measures enhance soil moisture and nutrients and promote cotton growth. Agronomy 2023, 13, 1850. [Google Scholar] [CrossRef]
39. Lou, Y.; Zhang, X.; Zhang, S.; Li, N.; Zhao, Y.; Bai, W.; Sun, Z.; Zhang, Z. Effects of Straw Input on the Yield and Water-Use Efficiency of Spring Maize in Film-Mulched Farmland. Agriculture 2024, 14, 1803. [Google Scholar] [CrossRef]
40. Li, Y.; Chen, H.; Feng, H.; Wu, W.; Zou, Y.; Chau, H.W.; Siddique, K.H. Influence of straw incorporation on soil water utilization and summer maize productivity: A five-year field study on the Loess Plateau of China. Agric. Water Manag. 2020, 233, 106106. [Google Scholar] [CrossRef]
41. Wang, X.; Jia, Z.; Liang, L.; Zhao, Y.; Yang, B.; Ding, R.; Wang, J.; Nie, J. Changes in soil characteristics and maize yield under straw returning system in dryland farming. Field Crop Res. 2018, 218, 11–17. [Google Scholar] [CrossRef]
42. Jin, C.; Pang, D.; Min, J.; Luo, Y.; Li, H.; Yong, L.I.; Wang, Z. Improved soil characteristics in the deeper plough layer can increase grain yield of winter wheat. J. Integr. Agric. 2020, 19, 1215–1226. [Google Scholar]
43. Zhao, X.M.; He, L.; Zhang, Z.D.; Wang, H.B.; Zhao, L.P. Simulation of accumulation and mineralization (CO2 release) of organic carbon in chernozem under different straw return ways after corn harvesting. Soil Tillage Res. 2016, 156, 148–154. [Google Scholar] [CrossRef]
44. Hua, L.; Yang, Z.; Li, W.; Zhao, Y.; Xia, J.; Dong, W.; Chen, B. Effects of Different Straw Return Modes on Soil Carbon, Nitrogen, and Greenhouse Gas Emissions in the Semiarid Maize Field. Plants 2024, 13, 2503. [Google Scholar] [CrossRef] [PubMed]
45. Yang, L.; Muhammad, I.; Chi, Y.X.; Liu, Y.X.; Wang, G.Y.; Wang, Y.; Zhou, X.B. Straw return and nitrogen fertilization regulate soil greenhouse gas emissions and global warming potential in dual maize cropping system. Sci. Total Environ. 2022, 853, 158370. [Google Scholar] [CrossRef]
46. Wang, J.; Han, Y.; Zhou, C.; Xu, T.; Qu, Z.; Ma, B.; Yuan, M.; Wang, L.; Liu, Y.; Li, Q. Effects of depth of straw returning on maize yield potential and greenhouse gas emissions. Front. Plant Sci. 2024, 15, 1344647. [Google Scholar] [CrossRef] [PubMed]
47. Zhou, Y.; Zhang, Y.; Tian, D.; Mu, Y. The influence of straw returning on N2O emissions from a maize-wheat field in the North China Plain. Sci. Total Environ. 2017, 584, 935–941. [Google Scholar] [CrossRef]
48. Lin, J.; Xu, Z.; Xue, Y.; Sun, R.; Yang, R.; Cao, X.; Li, H.; Shao, Q.; Lou, Y.; Wang, H. N2O emissions from soils under short-term straw return in a wheat-corn rotation system are associated with changes in the abundance of functional microbes. Agric. Ecosyst. Environ. 2023, 341, 108217. [Google Scholar] [CrossRef]
49. Zhang, H.; Liang, S.; Wang, Y.; Liu, S.; Sun, H. Greenhouse gas emissions of rice straw return varies with return depth and soil type in paddy systems of Northeast China. Arch. Agron. Soil Sci. 2021, 67, 1591–1602. [Google Scholar] [CrossRef]
50. Li, Z.; Yang, Y.; So, N.; Lee, J. Carbon footprint of maize planting under intensive subsistence cultivation in South Korea. Int. J. Clim. Chang. Strat. Manag. 2023, 15, 301–321. [Google Scholar] [CrossRef]
51. Li, S.; Guo, L.; Cao, C.; Li, C. Effects of straw returning levels on carbon footprint and net ecosystem economic benefits from rice-wheat rotation in central China. Environ. Sci. Pollut. Res. 2021, 28, 5742–5754. [Google Scholar] [CrossRef]
52. Dhaliwal, S.S.; Naresh, R.K.; Gupta, R.K.; Panwar, A.S.; Mahajan, N.C.; Singh, R.; Mandal, A. Effect of tillage and straw return on carbon footprints, soil organic carbon fractions and soil microbial community in different textured soils under rice–wheat rotation: A review. Rev. Environ. Sci. Bio/Technol. 2020, 19, 103–115. [Google Scholar] [CrossRef]
53. Zhang, Q.; Wang, S.; Zhang, Y.; Li, H.; Liu, P.; Wang, R.; Wang, X.; Li, J. Effects of subsoiling rotational patterns with residue return systems on soil properties, water use and maize yield on the semiarid Loess Plateau. Soil Tillage Res. 2021, 214, 105186. [Google Scholar] [CrossRef]
54. Zhong, Y.; Yan, W.; Shangguan, Z. The effects of nitrogen enrichment on soil CO2 fluxes depending on temperature and soil properties. Glob. Ecol. Biogeogr. 2016, 25, 475–488. [Google Scholar] [CrossRef]
55. Humphrey, V.; Berg, A.; Ciais, P.; Gentine, P.; Jung, M.; Reichstein, M.; Seneviratne, S.I.; Frankenberg, C. Soil moisture–atmosphere feedback dominates land carbon uptake variability. Nature 2021, 592, 65–69. [Google Scholar] [CrossRef] [PubMed]
56. Lehmann, J.; Hansel, C.M.; Kaiser, C.; Kleber, M.; Maher, K.; Manzoni, S.; Nunan, N.; Reichstein, M.; Schimel, J.P.; Torn, M.S. Persistence of soil organic carbon caused by functional complexity. Nat. Geosci. 2020, 13, 529–534. [Google Scholar] [CrossRef]
57. Liu, Z.; Liu, Z.; Xie, N.; Ban, L. Research Progress of Forage Grass Cultivation. In Research Progress on Forage Production, Processing and Utilization in China; Springer: Singapore, 2022; pp. 65–95. [Google Scholar]
58. Steduto, P.; Hsiao, T.C.; Fereres, E. On the conservative behavior of biomass water productivity. Irrig. Sci. 2007, 25, 189–207. [Google Scholar] [CrossRef]
59. Zhang, G.; Wang, X.; Zhang, L.; Xiong, K.; Zheng, C.; Lu, F.; Zhao, H.; Zheng, H.; Ouyang, Z. Carbon and water footprints of major cereal crops production in China. J. Clean. Prod. 2018, 194, 613–623. [Google Scholar] [CrossRef]
60. Lal, R. Soil organic matter content and crop yield. J. Soil Water Conserv. 2020, 75, 27A–32A. [Google Scholar] [CrossRef]
61. Lawlor, D.W.; Lemaire, G.; Gastal, F. Nitrogen, plant growth and crop yield. In Plant Nitrogen; Springer: Berlin/Heidelberg, Germany, 2001; pp. 343–367. [Google Scholar]
62. Salazar, O.; Balboa, L.; Peralta, K.; Rossi, M.; Casanova, M.; Tapia, Y.; Singh, R.; Quemada, M. Effect of cover crops on leaching of dissolved organic nitrogen and carbon in a maize-cover crop rotation in Mediterranean Central Chile. Agric. Water Manag. 2019, 212, 399–406. [Google Scholar] [CrossRef]
63. Quaye, A.K.; Laryea, K.B.; Abeney-Mickson, S. Soil water and nitrogen interaction effects on maize (Zea mays L.) grown on a vertisol. J. For. Hortic. Soil Sci. 2009, 3, 1–11. [Google Scholar]
Hua L, Gao Y, Li D, Yang Z, Liu Z. Effects of Different Straw Return Methods on Farmland Carbon Footprint and Water Footprint. Agriculture. 2025; 15(1):73. https://doi.org/10.3390/agriculture15010073
Перевод статьи «Effects of Different Straw Return Methods on Farmland Carbon Footprint and Water Footprint» авторов Hua L, Gao Y, Li D, Yang Z, Liu Z., оригинал доступен по ссылке. Лицензия: CC BY. Изменения: переведено на русский язык




















Комментарии (0)