Время имеет значение: влияние сроков посева на фотосинтетические характеристики и накопление биомассы гибридной озимой пшеницы
В настоящее время использование гибридов становится все более распространенным, и изучение традиционных методов их возделывания также должно уделять внимание сочетанию хороших семян и эффективных агроприемов для достижения максимальной экономической отдачи. «Хорошие семена» отбираются из сортов с высоким производственным потенциалом и сильной устойчивостью к стрессам. Для изучения влияния сроков сева на накопление биомассы и фотосинтетические характеристики гибридной озимой пшеницы в течение двух вегетационных сезонов (2021–2023 гг.) проводилось исследование с использованием гибридного сорта Jingmai 17 (Цзингмай 17) и обычного сорта Jimai 22 (Цзимай 22).
Аннотация
Были испытаны три срока сева: 13 октября (D1), 23 октября (D2) и 2 ноября (D3). Результаты показали, что у Цзингмай 17 была больше площадь листа на стебель (LAC) после цветения и меньшие колебания значений SPAD в течение средних и поздних этапов орошения, что способствовало улучшению фотосинтетической активности и большему накоплению биомассы к созреванию. Его урожайность примерно на 10% превысила урожайность Цзимай 22. Оптимальный срок сева (D2) позволил обоим сортам поддерживать благоприятную LAC, что обеспечило более высокие значения SPAD, чистую скорость фотосинтеза (Pn) и проводимость устьиц (Gs) в поздний период налива зерна. Корреляционный анализ выявил положительную взаимосвязь между накоплением биомассы после цветения и урожайностью, что позволяет предположить, что повышенное накопление на этой стадии лежит в основе формирования урожая. В условиях D2 урожайность Jingmai 17 и Цзимай 22 составила 9603,70 кг·га⁻¹, 9058,68 кг·га⁻¹ и 8785,44 кг·га⁻¹, 8294,89 кг·га⁻¹ соответственно, что на 3,4%, 4,6% и 3,4%, 12,4% выше, чем в условиях D1, и на 10,7%, 12,4% и 12,8%, 14,5% выше, чем в условиях D3, соответственно. D1 характеризовался более высокой массой 1000 зерен (TGW), но меньшим количеством зерен на единицу площади (GN); D3 имел более низкую TGW, в то время как GN не был значительно выше, а D2 эффективно повышал урожайность зерна. В целом, Цзингмай 17 продемонстрировал значительные фотосинтетические и урожайные преимущества, максимизируя потенциал урожайности за счет оптимального взаимодействия между количеством колосьев (SN), количеством зерен в колосе и TGW при сроке сева 23 октября.
1. Введение
В последние годы использование гибридной пшеницы быстро развивается, и оно признано важным подходом для значительного повышения урожайности и общей производительности [1,2]. Использование гибридной пшеницы демонстрирует такие замечательные характеристики, как высокий потенциал урожайности, стабильность и широкая адаптивность [3]. Чтобы полностью раскрыть потенциал урожайности гибридной пшеницы, необходимы соответствующие агротехнические приемы; среди них срок сева является одной из самых прямых и легко реализуемых мер для повышения урожайности озимой пшеницы, значительно влияя на рост и конечный урожай [4]. Правильные сроки сева позволяют достичь более высоких экономических урожаев без дополнительных затрат [5]. Негативное воздействие неблагоприятных условий окружающей среды на урожайность зерна можно минимизировать путем корректировки сроков сева [6,7].
Урожайность зерна (GY) определяется количеством колосьев на единицу площади, количеством зерен в колосе и массой 1000 зерен (TGW) [8]. Формирование урожая у гибридной пшеницы является результатом комплементарных и кумулятивных преимуществ этих компонентов, а также зависит от различных внутренних и внешних факторов [9]. Своевременный посев эффективно балансирует отношения между продуктивной кустистостью (SN), количеством зерен в колосе и TGW, приводя к более высоким урожаям [10]. Исследования показали, что урожайность пшеницы имеет тенденцию к постепенному снижению с задержкой сроков сева, вероятно, из-за сокращения как SN, так и TGW [11,12]. Другие исследования показали, что в определенных пределах задержка срока сева может привести к постепенному уменьшению SN, в то время как количество зерен в колосе и TGW могут увеличиваться, что приводит к тенденции урожайности сначала к увеличению, а затем к снижению. Это говорит о том, что соответствующая задержка посева может повысить урожайность пшеницы [13,14].
Большинство исследований предполагает, что гибридная пшеница также демонстрирует значительные преимущества в использовании света, с выраженной эффективностью фотосинтеза отдельного листа. Фотосинтетические характеристики флагового листа значительно влияют на массу зерна и формирование урожая [15,16,17], и это фотосинтетическое преимущество тесно связано с высокоурожайной агротехникой [18,19]. Срок посева существенно влияет на содержание хлорофилла, скорость фотосинтеза (Pn) и проводимость устьиц (Gs) в флаговом листе озимой пшеницы [20,21]. Задержка посева может повысить значения SPAD и индекс листовой поверхности, тем самым увеличивая Pn и накопление продуктов фотосинтеза, что способствует стабилизации GY [22]. Накопление биомассы, представляющее собой накопление фотосинтетических ассимилятов, формирует основу для урожайности пшеницы [23]. Даже незначительное увеличение Pn может превратиться в значительное увеличение биомассы, приводящее к существенному повышению урожайности [24]. Соответствующая задержка срока посева может усилить накопление биомассы к созреванию и привести к более высоким индексам урожая (HI), тем самым способствуя повышению урожайности [25]. Однако некоторые исследования указывают, что отсроченный посев оказывает незначительное или несущественное влияние на накопление биомассы и HI [26]. Формирование GY в основном зависит от перемещения запасенных ассимилятов в зерна до цветения и накопления продуктов фотосинтеза после цветения [27], причем увеличение накопления ассимилятов после цветения особенно полезно для повышения HI и GY [28].
2. Методы и материалы
2.1. Обзор экспериментального участка
Эксперимент проводился на экспериментальной станции Цзинкоу Академии сельскохозяйственных наук Циндао (36°30′ с.ш., 120°39′ в.д.) в период с 2021 по 2023 год. Перед посевом пшеницы вносили 1500 кг·га−1 органического удобрения и 750 кг·га−1 комплексного удобрения (N:P2O5:K2O = 17:17:17), а на стадии выхода в трубку ретроспективно вносили 150 кг·га−1 мочевины. Содержание питательных веществ в почве 0–20 см, количество осадков (мм) и среднесуточная температура воздуха (°C) на экспериментальных участках в оба года перед посевом показаны в Таблице 1 и на Рисунке 1.
Таблица 1. Содержание питательных веществ в слое почвы 0–20 см опытного поля.
Рисунок 1. Осадки и среднесуточная температура воздуха в течение вегетационного сезона озимой пшеницы.
2.2. Материалы и схема эксперимента
Испытуемыми материалами были гибридный сорт озимой пшеницы Jingmai 17 (BS267×07Y Hua 91-5, Институт исследований гибридной пшеницы Пекинской академии сельского и лесного хозяйства, Пекин, Китай) и обычный сорт озимой пшеницы Jimai 22 (Научно-исследовательский институт зерновых культур Шаньдунской академии сельскохозяйственных наук, Цзинань, Китай). Jingmai 17 — это озимый сорт с широкими и длинными листьями, умеренной способностью к кущению, компактным типом растения, высокой устойчивостью к полеганию и желательными признаками спелости. Колосья веретеновидные с длинными остями и красными зернами, зерна полутвердые и хорошо выполненные. Jimai 22 — это полуозимый сорт с высокой долей продуктивных стеблей, компактным типом растения, высокой устойчивостью к полеганию и желательными признаками спелости. Колосья веретеновидные, длинноостеые, с белыми зернами, хорошо озерненные и полустекловидные.
Эксперимент был разработан по методу расщепленных делянок, с тремя сроками посева (13 октября (D1), 23 октября (D2) и 2 ноября (D3)) в качестве основной делянки и двумя сортами в качестве подделянок, всего шесть обработок, для каждой обработки было установлено три повторности. Площадь подделянки составляла 6 м² (2 м × 3 м), с равным междурядьем 20 см. Оба сорта высевались для достижения целевой густоты растений 300 семян·м−2 и убирались единообразно 13 июня 2022 года и 7 июня 2023 года.
2.3. Измеряемые признаки и методы
2.3.1. SPAD флагового листа
Значения SPAD флагового листа измерялись на 0, 7, 14, 21 и 28 дней после цветения (DAA) путем случайного отбора 9 отдельных стеблей с каждой делянки с использованием хлорофиллметра SPAD-502 Minolta (Spectrum Technologies, Плейнфилд, Иллинойс, США) и измерения верхней, средней и нижней частей каждого листа с взятием среднего значения; эти измерения проводились между 10:00 и 11:00 утра в солнечные дни.
2.3.2. Площадь листа на стебель (LAC)
На 0, 7, 14, 21 и 28 DAA на каждой опытной делянке брали подряд 30 растений пшеницы, измеряли площадь зеленого листа с помощью настольного измерителя площади листа LI-3100C (LI-COR, Линкольн, Небраска, США) и вычисляли площадь листа на один стебель [29].
2.3.3. Фотосинтетические характеристики (Pn) флаговых листьев
На 0, 7, 14, 21 и 28 DAA чистая скорость фотосинтеза (Pn), проводимость устьиц (Gs) и межклеточная концентрация CO2 (Ci) флаговых листьев измерялись между 9:30 утра и 12:00 дня в солнечные дни с использованием портативного прибора для фотосинтеза и дыхания растений LI-6400 (LI-COR, США). На каждой делянке выбирали три флаговых листа для определения с тремя повторностями, всего 9 флаговых листьев на обработку.
2.3.4. Накопление и ремобилизация биомассы
На стадии цветения и спелости на каждой делянке отбирали 30 репрезентативных растений пшеницы, их надземные части брали для проведения выборочной обработки; их разделяли на стебли, листья и колосья на стадии цветения и на стеблевые листья, цветковые чешуи и зерна на стадии спелости. Каждый зеленый орган растения высушивали в сушильном шкафу при 105 °C в течение 30 минут, а затем при 75 °C до постоянного веса, и записывали вес биомассы каждого органа. Соответствующие расчеты были следующими [30]:
где BR — ремобилизация биомассы, BManthesis и BMmaturity — биомасса на стадии цветения и спелости, BMPost — биомасса после цветения, DMtotal — общий вес биомассы растения.
2.3.5. Урожай и его компоненты
Перед созреванием у пшеницы определяли число колосьев (SN) (подсчитывали количество колосьев на метре двойного ряда для пересчета) и количество зерен в колосе (пересчитывали количество зерен в колосе, взяв 50 колосьев). При созревании проводили ручную уборку; на каждой делянке для уборки выбирали площадь 2,4 м². После уборки, обмолота, удаления примесей, взвешивания и расчета урожайности (при влажности 13%) также измеряли массу 1000 зерен (TGW) (при влажности 13%).
2.4. Обработка данных и статистический анализ
Данные обрабатывались с помощью Microsoft Excel 2021, и дисперсионный анализ (ANOVA) проводился с использованием статистического программного обеспечения SPSS 26.0 (SPSS Inc., Чикаго, Иллинойс, США). Различия между обработками определялись с помощью теста наименьшей значимой разницы (LSD; p = 0,05). Графики и корреляционный анализ выполнялись с использованием программного обеспечения Origin 2021 (Origin Lab Corporation, Нортгемптон, Массачусетс, США).
3. Результаты
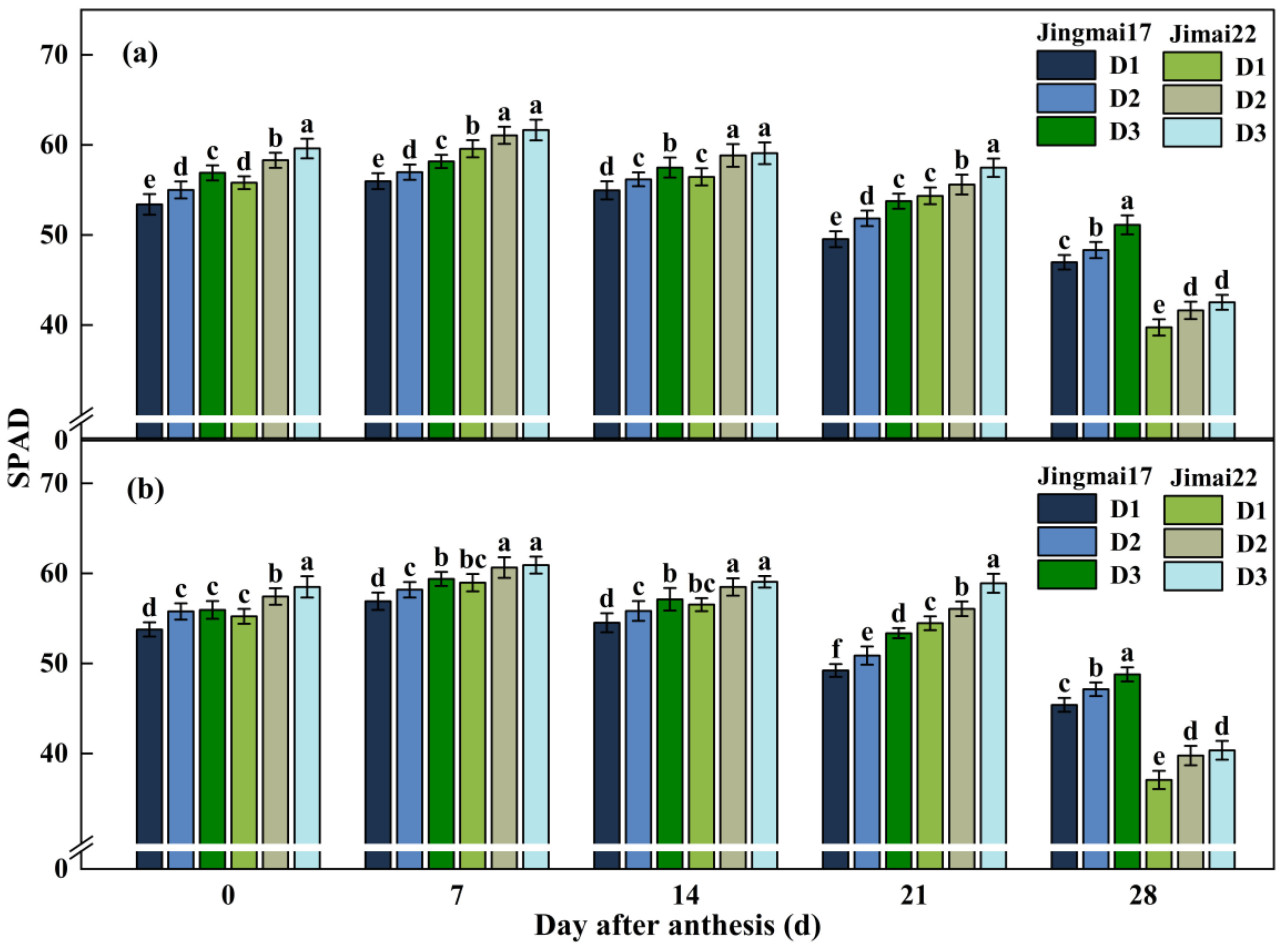
3.1. Влияние срока посева на значения SPAD флагового листа
Значения SPAD флаговых листьев обоих сортов демонстрировали последовательную картину в течение двух лет. По мере развития процесса налива зерна значения SPAD сначала увеличивались, а затем уменьшались с 0 по 28 DAA, достигая пика на 7 DAA. По мере задержки срока посева значения SPAD флагового листа у Jingmai 17 и Jimai 22 имели тенденцию к увеличению, достигая наивысших значений при обработке D3 (Рисунок 2). Это указывает на то, что поздний посев повышает значения SPAD, снижает скорость их снижения и замедляет старение после цветения. При одинаковой обработке сроком посева значения SPAD у Jingmai 17 были ниже, чем у Jimai 22 с 0 по 21 DAA, но значительно выше на 28 DAA. Это позволяет предположить, что у Jingmai 17 значение SPAD снижалось медленнее в поздний период налива зерна, что указывает на более длительную продолжительность эффективного фотосинтеза.
Рисунок 2. Значение SPAD флагового листа после цветения для различных обработок в вегетационные сезоны 2021–2022 (a) и 2022–2023 (b). Разные маленькие буквы указывают на значимые различия на уровне 0,05. D1: 13 октября; D2: 23 октября; D3: 2 ноября. То же для Рисунков 3, 4, 5, 6, 7, 8 и 9.
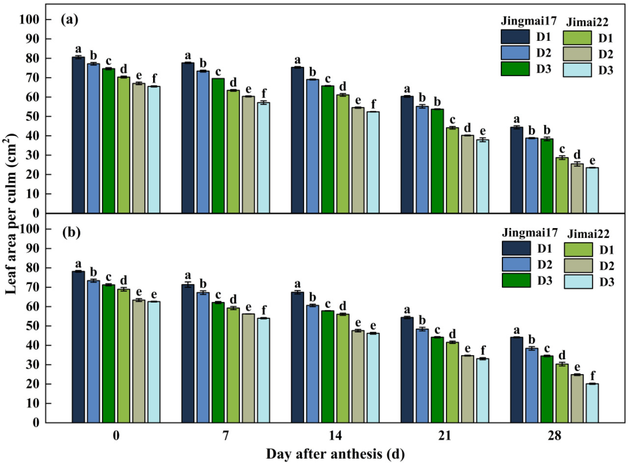
3.2. Влияние срока посева на площадь листа на стебель (LAC) флагового листа
LAC для обоих сортов уменьшался с 0 по 28 DAA, показывая согласованные тенденции в течение двух лет (Рисунок 3). По мере задержки срока посева LAC у Jingmai 17 и Jimai 22 постепенно снижался, со значительно более высокими значениями при обработке D1. Ранний посев способствует формированию большего LAC, обеспечивая тем самым лучшую основу для эффективного фотосинтеза. При одинаковой обработке сроком посева Jingmai 17 последовательно демонстрировал более высокий LAC, чем Jimai 22, в течение обоих лет, причем снижение площади листа после цветения у Jingmai 17 происходило медленнее по сравнению с Jimai 22. Это указывает на то, что Jingmai 17 лучше сохраняет листья зелеными в период после цветения.
Рисунок 3. Площадь листа на стебель (LAC) после цветения для различных обработок в вегетационные сезоны 2021–2022 (a) и 2022–2023 (b). Разные маленькие буквы указывают на значимые различия на уровне 0,05.
3.3. Влияние срока посева на фотосинтетические характеристики флагового листа
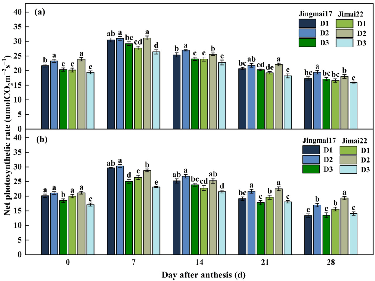
3.3.1. Влияние на чистую скорость фотосинтеза (Pn)
В течение 0–28 DAA Pn как для Jingmai 17, так и для Jimai 22 сначала увеличивалась, а затем уменьшалась, достигая пика на 7 DAA, с согласованными закономерностями в течение обоих лет (Рисунок 4). По мере задержки срока посева Pn обоих сортов показала тенденцию сначала к увеличению, а затем к уменьшению, с наибольшими показателями при обработке D2, затем D1 и наименьшими при D3. В сезоне 2021–2022 Pn у Jingmai 17 была немного выше, чем у Jimai 22, тогда как в сезоне 2022–2023 она была ниже между 21 и 28 DAA, чем у Jimai 22, но выше между 0 и 14 DAA. Несмотря на незначительные вариации, Jingmai 17 последовательно показывал более высокий общий Pn, что указывает на более сильную фотосинтетическую производительность и большее накопление продуктов фотосинтеза.
Рисунок 4. Чистая скорость фотосинтеза (Pn) флаговых листьев после цветения для различных обработок в вегетационные сезоны 2021–2022 (a) и 2022–2023 (b). Разные маленькие буквы указывают на значимые различия на уровне 0,05.
3.3.2. Влияние на проводимость устьиц (Gs)
Как Jingmai 17, так и Jimai 22 показали нисходящую тенденцию в Gs с 0 по 28 DAA, с более быстрым снижением с 0 по 21 DAA и более медленным снижением с 21 по 28 DAA (Рисунок 5). Кроме того, Gs увеличивалась с задержкой посева, достигая наивысших значений при обработке D3, что позволяет предположить, что поздний посев усиливает Gs, создавая благоприятные условия для фотосинтеза. При одинаковой обработке сроком посева Jingmai 17 последовательно демонстрировал более низкую Gs, чем Jimai 22, что указывает на отсутствие у Jingmai 17 преимущества в Gs по сравнению с Jimai 22.
Рисунок 5. Проводимость устьиц (Gs) флаговых листьев после цветения для различных обработок в вегетационные сезоны 2021–2022 (a) и 2022–2023 (b). Разные маленькие буквы указывают на значимые различия на уровне 0,05.
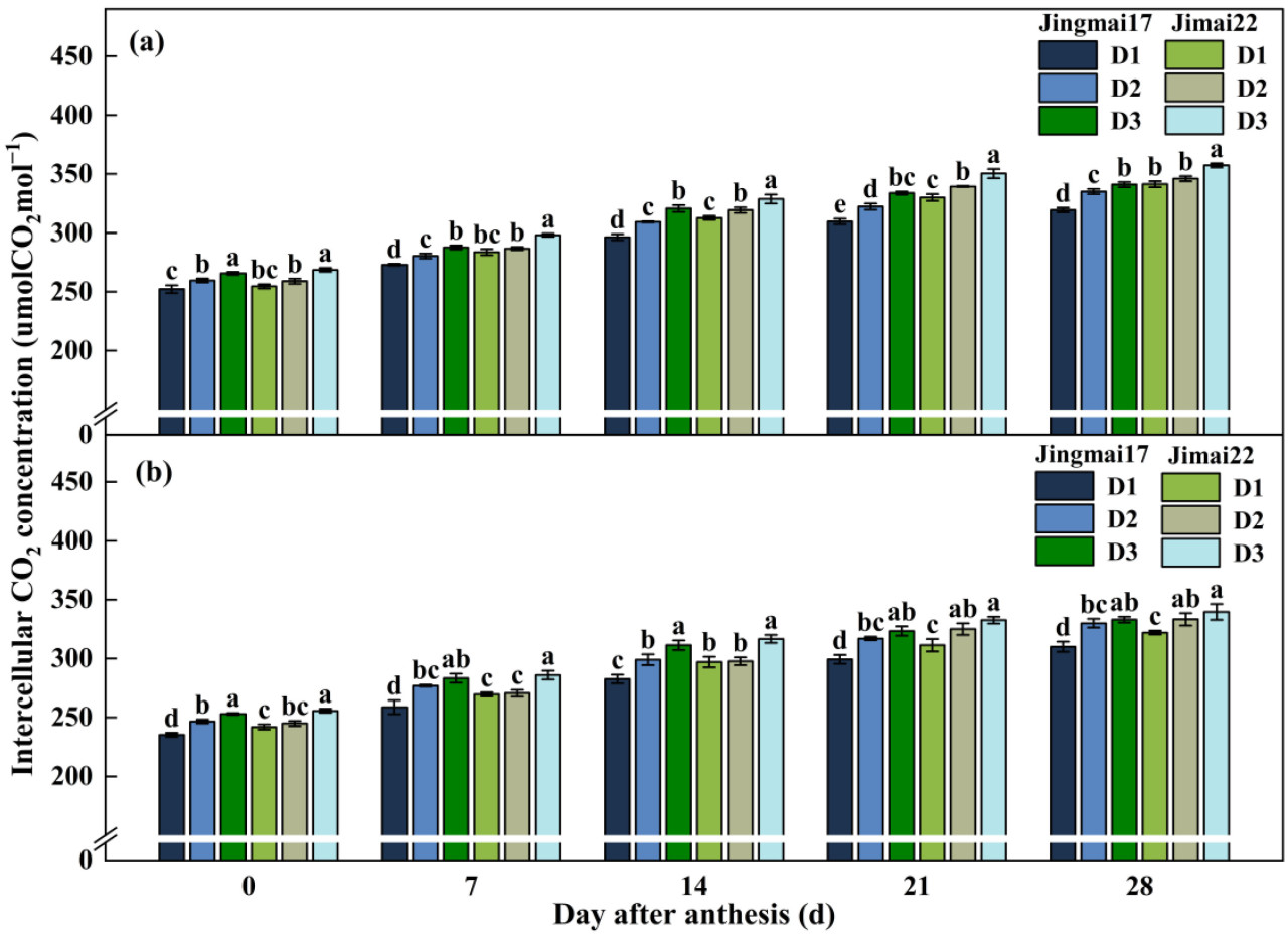
3.3.3. Влияние на межклеточную концентрацию CO2 (Ci)
Как Jingmai 17, так и Jimai 22 показали возрастающую тенденцию в Ci с 0 по 28 DAA, с согласованными закономерностями в течение двух лет (Рисунок 6). По мере задержки срока посева Ci постепенно увеличивалась, достигая наивысших значений при обработке D3. Это указывает на то, что ранний посев усиливает способность флагового листа использовать межклеточный CO2, способствуя фотосинтезу. При одинаковой обработке сроком посева Jingmai 17 имел немного более низкий Ci, чем Jimai 22, что позволяет предположить, что Jingmai 17 более эффективно использует межклеточный CO2, что приводит к лучшей фотосинтетической производительности.
Рисунок 6. Межклеточная концентрация CO2 (Ci) флаговых листьев после цветения для различных обработок в вегетационные сезоны 2021–2022 (a) и 2022–2023 (b). Разные маленькие буквы указывают на значимые различия на уровне 0,05.
3.4. Влияние срока посева на накопление биомассы у озимой пшеницы
3.4.1. Влияние срока посева на накопление биомассы на стадии цветения и спелости
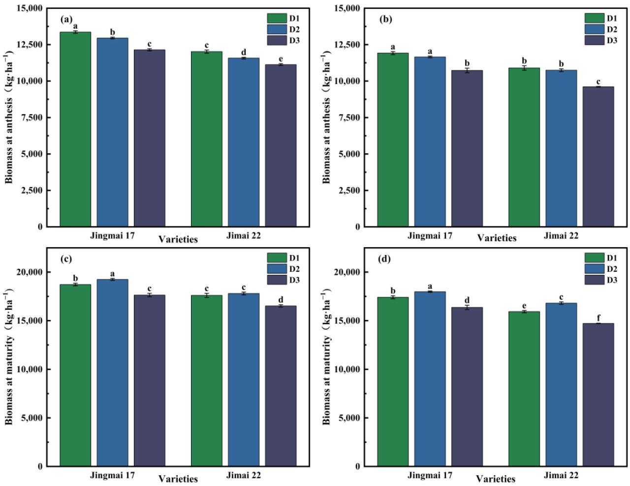
Как показано на Рисунке 7, накопление биомассы у Jingmai 17 и Jimai 22 на стадии цветения прогрессивно уменьшалось с задержкой посева, достигая максимума при обработке D1. И наоборот, накопление биомассы на стадии спелости сначала увеличивалось, а затем уменьшалось с задержкой посева, достигая пика при обработке D2, с согласованными закономерностями, наблюдаемыми в течение двух лет. В сезоне 2021–2022 Jingmai 17 продемонстрировал заметные вариации в накоплении биомассы как на стадии цветения, так и на стадии спелости между обработками, с максимальными значениями 13 361,42 кг·га−1 и 19 240,08 кг·га−1 соответственно. Для Jimai 22 были отмечены значительные различия в накоплении биомассы на стадии цветения, с пиком в 12 024,17 кг·га−1, в то время как накопление на стадии спелости не показало заметных вариаций между D1 и D2, но было намного больше, чем D3, с максимумом 17 801,54 кг·га−1. В сезоне 2022–2023 оба сорта не показали заметных вариаций в накоплении биомассы на стадии цветения между D1 и D2, которые были значительно выше, чем D3, достигая максимальных значений 11 921,53 кг·га−1 и 10 901,37 кг·га−1 соответственно. Значительные различия также наблюдались в накопление биомассы на стадии спелости, с пиками 17 986,12 кг·га−1 для Jingmai 17 и 16 809,51 кг·га−1 для Jimai 22. В течение обоих лет Jingmai 17 последовательно превосходил Jimai 22 по накоплению биомассы как на стадии цветения, так и на стадии спелости, в среднем на 10,7% и 9,8% выше на стадии цветения и на 7,1% и 9,1% выше на стадии спелости, соответственно.
Рисунок 7. Биомасса на стадии цветения и спелости для различных обработок в вегетационные сезоны 2021–2022 (a,c) и 2022–2023 (b,d). Разные маленькие буквы указывают на значимые различия на уровне 0,05.
3.4.2. Влияние срока посева на ремобилизацию биомассы и накопление биомассы после цветения
Рисунок 8 показывает, что с задержкой посева ремобилизация биомассы для обоих сортов уменьшалась, достигая пика при обработке D1. Накопление биомассы после цветения сначала увеличивалось, а затем уменьшалось, достигая максимума при обработке D2, с аналогичными тенденциями, наблюдаемыми в течение двух лет. В сезоне 2021–2022 Jingmai 17 показал значительные различия в ремобилизации биомассы между обработками, с максимумом 3803,67 кг·га−1, что на 23,5% выше, чем при самой низкой обработке. Для Jimai 22 не было обнаружено заметной вариации между D2 и D3 по ремобилизации биомассы, которые были значительно ниже, чем D1, где ремобилизация достигла 2780,65 кг·га−1, что на 20,0% выше, чем при самой низкой обработке. Накопление биомассы после цветения для обоих сортов не показало заметных вариаций между D1 и D3, но было значительно ниже, чем D2, где накопление достигло 6287,83 кг·га−1 для Jingmai 17 и 6225,05 кг·га−1 для Jimai 22, что на 17,3% и 15,5% выше, чем при самой низкой обработке, соответственно. В сезоне 2022–2023 наблюдались значительные различия в ремобилизации биомассы между обработками, с максимальными значениями 3057,87 кг·га−1 для Jingmai 17 и 2641,87 кг·га−1 для Jimai 22, оба показали увеличение на 35,7% по сравнению с самой низкой обработкой. Накопление биомассы после цветения обоих сортов не значительно различалось при обработках D1 и D3, но было значительно ниже, чем при обработке D2, которая накопила 6328,67 кг·га−1 и 6066,28 кг·га−1, соответственно, и увеличилась на 15,3% и 20,6% соответственно по сравнению с самой низкой обработкой.
Рисунок 8. Ремобилизация биомассы и накопление биомассы после цветения для различных обработок в вегетационные сезоны 2021–2022 (a,c) и 2022–2023 (b,d). Разные маленькие буквы указывают на значимые различия на уровне 0,05.
При одинаковом сроке посева Jingmai 17 последовательно демонстрировал значительно более высокую ремобилизацию биомассы, чем Jimai 22, в течение обоих лет, с увеличениями на 35,3% и 18,7%. В сезоне 2021–2022 накопление биомассы после цветения для Jingmai 17 было немного ниже, чем у Jimai 22, на 0,3%, но в сезоне 2022–2023 накопление биомассы после цветения у Jingmai 17 значительно превысило таковое у Jimai 22 на 7,7%.
3.4.3. Влияние срока посева на индекс урожая (HI)
Как показано на Рисунке 9, HI для обоих сортов сначала увеличивался, а затем уменьшался с задержкой посева в течение двух лет. В сезоне 2021–2022 Jingmai 17 достиг наивысшего HI при обработке D2, без значительных различий между D1 и другими обработками. Jimai 22 также достиг пика при D2, при этом между обработками наблюдались значительные различия. В сезоне 2022–2023 HI у Jingmai 17 был самым высоким при D2, а D1 и D3 не значительно отличались друг от друга. Для Jimai 22 наивысший HI также был при D2, без значительных различий между обработками. В течение обоих лет и при одинаковой обработке сроком посева HI у Jingmai 17 был существенно больше, чем у Jimai 22, в среднем на 3,2% и 1,7% выше, соответственно.
Рисунок 9. Индекс урожая (HI) озимой пшеницы в вегетационные сезоны 2021–2022 (a) и 2022–2023 (b). Разные маленькие буквы указывают на значимые различия на уровне 0,05.
3.5. Влияние срока посева на урожай и компоненты урожая озимой пшеницы
Согласно Таблице 2, урожайность обоих сортов увеличивалась, а затем уменьшалась с задержкой посева, достигая пика при обработке D2, при этом между сроками посева наблюдались значительные различия, согласованные в течение обоих лет. В течение двух лет Jingmai 17 достиг максимальной урожайности 9603,70 кг·га−1 и 9058,68 кг·га−1, что на 10,7% и 12,4% выше, чем при обработке D3. Jimai 22 достиг максимальной урожайности 8785,44 кг·га−1 и 8294,89 кг·га−1, что представляет собой увеличение на 12,8% и 14,5% по сравнению с обработкой D3.
Таблица 2. Урожайность зерна (GY) и ее компоненты для различных обработок.
SN постепенно уменьшался с задержкой посева; не было значительных различий между обработками D1 и D2 для обоих сортов, но обе были значительно выше, чем D3. Количество зерен в колосе у Jingmai 17 в оба года не значительно различалось при обработках D2 и D3, но было заметно greater, чем при обработке D1. Для Jimai 22 наблюдались значительные различия между обработками в 2021–2022, тогда как в 2022–2023 не было значительных различий между D2 и D3, но они были значительно выше, чем D1.
TGW уменьшалась с задержкой посева; в 2021–2022 у Jingmai 17 не было заметных вариаций между D1 и D2, но она была значительно выше, чем у D3, в то время как TGW у Jimai 22 значительно различалась между обработками. В 2022–2023 у Jingmai 17 была самая высокая TGW при D1, без значительных различий между D2 и D3, в то время как TGW у Jimai 22 при D2 не considerably отличалась от D1 или D3, но D1 была существенно greater, чем D3. В 2021–2022 количество зерен на единицу площади (GN) для Jingmai 17 не значительно различалось между обработками, в то время как у Jimai 22 был самый высокий GN в D2, без значительных различий между D1 и D3. В 2022–2023 у Jingmai 17 был самый высокий GN в D2, без значительных различий между D1 и D3, в то время как Jimai 22 показал значительные различия между обработками и был значительно самым высоким при обработке D2.
В целом, Jingmai 17 превзошел Jimai 22 по урожайности, TGW и GN, что указывает на явное преимущество в урожайности, с превышением на 10% и 10,3% за два года. Однако у Jingmai 17 был более низкий SN, что ограничивало его потенциал для дальнейшего увеличения урожайности, предоставляя возможность для будущих улучшений урожайности.
Кроме того, дисперсионный анализ показал, что влияние года, сорта и срока посева на урожайность и ее три компонента было высоко значимым (p < 0,01); эффект взаимодействия года и сорта на SN достиг значимости (p < 0,05), в то время как взаимодействие между сортом и сроком посева было высоко значимым. Взаимодействие года и сорта на количество зерен в колосе также было высоко значимым, и взаимодействие года и срока посева на GN было значимым, при этом других эффектов взаимодействия не наблюдалось.
3.6. Корреляционный анализ
Из корреляционного анализа (Рисунок 10 и Рисунок 11) в сезоне 2021–2022 GY была тесно связана с GN, TGW и LAC на стадии цветения и 28 DAA, Pn на стадии цветения и 28 DAA, ремобилизацией биомассы до цветения и HI; она также положительно коррелировала со значениями SPAD флагового листа на 28 DAA и накоплением биомассы после цветения. TGW была тесно связана с LAC на стадии цветения и 28 DAA, ремобилизацией биомассы до цветения и HI; она также положительно коррелировала с Pn на 28 DAA. GN показала значительные и положительные корреляции со значениями SPAD флагового листа на 28 DAA, Pn на стадии цветения и 28 DAA и HI, а также значительные корреляции с LAC и накоплением биомассы после цветения.
В сезоне 2022–2023 GY была тесно связана с GN, TGW и LAC на стадии цветения и 28 DAA, Pn на стадии цветения, ремобилизацией биомассы до цветения, накоплением биомассы после цветения и HI, с сильной и благоприятной связью со значениями SPAD флагового листа на 28 DAA. TGW была тесно связана с LAC на стадии цветения и 28 DAA, ремобилизацией биомассы до цветения и HI, со значительной положительной корреляцией со значениями SPAD на 28 DAA. GN была тесно связана с Pn на стадии цветения и 28 DAA, накоплением биомассы после цветения и HI.
Эти результаты позволяют предположить, что в данном эксперименте GY в основном зависела от GN, TGW и значений SPAD флагового листа на 28 DAA, LAC и Pn на стадии цветения, ремобилизации биомассы до цветения, накопления биомассы после цветения и HI.
Рисунок 10. Корреляционный анализ между урожайностью и показателями в 2021–2022. GY: Урожайность зерна; GN: Количество зерен на м²; TGW: Масса 1000 зерен; SPAD1: SPAD на стадии цветения; SPAD2: SPAD через 28 дней после цветения; LAC1: Площадь листа на стебель на стадии цветения; LAC2: Площадь листа на стебель через 28 дней после цветения; Pn1: Чистая скорость фотосинтеза на стадии цветения; Pn2: Чистая скорость фотосинтеза через 28 дней после цветения; BR: Ремобилизация биомассы; BMPost: Биомасса после цветения; HI: Индекс урожая. Синий цвет указывает на отрицательную корреляцию, красный — на положительную корреляцию, а более темный цвет указывает на более сильную корреляцию. То же для Рисунка 11.
Рисунок 11. Корреляционный анализ между урожайностью и показателями в 2022–2023.
4. Обсуждение
4.1. Влияние срока посева на урожай и компоненты урожая озимой пшеницы
Многочисленные исследования показали, что увеличение количества зерен на единицу площади (GN) (произведение числа колосьев (SN) на единицу площади и количества зерен в колосе) имеет важное значение для повышения урожайности. Однако для дальнейшего повышения урожайности необходимо оптимизировать синергетические взаимодействия между компонентами урожая [31,32]. У гибридной пшеницы преимущество в урожайности примерно равно сумме гетерозиса ее компонентов. Таким образом, чтобы полностью использовать потенциал урожайности гибридной пшеницы, важно максимизировать гетерозис ее компонентов [9,33]. Предыдущие исследования показали, что у гибридной пшеницы по сравнению с обычной пшеницей наиболее значительный вклад в урожайность вносит масса 1000 зерен (TGW) [34,35].
Настоящее исследование демонстрирует, что при одинаковых сроках посева GN у Jingmai 17 была выше, чем у Jimai 22, со значительно более высокой TGW, что привело к значительно более высокой урожайности Jingmai 17. Срок посева влияет на массу зерна, воздействуя на термические условия в период налива зерна, служа важным агротехническим приемом для достижения высоких урожаев. Задержка посева сначала увеличивала урожайность, а затем вызывала ее снижение, с уменьшением SN и TGW, но увеличением количества зерен в колосе, что согласуется с выводами Li и др. [36]. Однако Qiao и др. указали, что для "Heng za 102" TGW и количество зерен в колосе увеличивались с задержкой посева, хотя SN значительно уменьшался [37]. Различия с нашими результатами могут быть связаны с различиями в сортах. Оба сорта достигли наивысшей урожайности при обработке D2, где, хотя TGW была ниже, чем при D1, более высокий GN компенсировал это, приводя к более высокой урожайности. По сравнению с D3, более высокий GN или отсутствие значительной разницы в сочетании со значительно более высокой TGW способствовали более высокой урожайности при D2.
Более того, корреляционный анализ показал, что урожайность зерна (GY) положительно коррелировала с GN и TGW. Задержка посева увеличивала урожайность главным образом через увеличение GN. Таким образом, оба сорта были более благоприятны при обработке 23 октября (D2) для координации отношений между TGW, SN и количеством зерен в колосе, в конечном итоге увеличивая GY.
4.2. Влияние срока посева на фотосинтетические характеристики флагового листа
Фотосинтез играет значительную регулирующую роль в росте растений и урожайности. При отсутствии других ограничивающих факторов улучшение фотосинтеза может повысить урожайность сельскохозяйственных культур и является важным фактором для достижения качественного производства [24,38]. Увеличение площади зеленого листа на растение расширяет фотосинтетическую площадь для популяции, и поддержание высокого уровня площади листа после кущения полезно для эффективного фотосинтеза, что является ключевым для достижения высокой GY у пшеницы [29]. Более высокая площадь зеленого листа помогает поддерживать повышенные значения SPAD флагового листа.
Настоящее исследование указывает, что задержка посева увеличивает значения SPAD флагового листа, но уменьшает площадь листа на стебель (LAC), что согласуется с предыдущими выводами [39]. Это позволяет предположить, что хотя ранний посев способствует большому LAC, он не значительно усиливает значения SPAD или фотосинтез. Кроме того, с задержкой срока посева чистая скорость фотосинтеза (Pn) флагового листа пшеницы сначала увеличивается, а затем уменьшается, что согласуется с Liu и др. [40]. Проводимость устьиц (Gs) и межклеточная концентрация CO2 (Ci) показывают возрастающую тенденцию, что согласуется с исследованиями Chen и Zhan и др. [41,42]. Это указывает на то, что соответствующая поздняя посадка (23 октября) выгодна для усиления листовой Pn и Gs, а также для улучшения использования флаговым листом межклеточного CO2, таким образом способствуя фотосинтезу. Учитывая подходящую структуру популяции, значения SPAD флагового листа и LAC, соответствующая обработка позднего посева может отсрочить старение флагового листа после цветения, что способствует поддержанию лучшей зелени листьев в середине и конце цветения, период функционирования фотосинтеза листьев longer и способствует фотосинтезу, что, в свою очередь, улучшает накопление фотосинтеза после цветения и способствует полному наполнению зерна.
При одинаковой обработке сроком посева Jingmai 17 демонстрирует большую LAC в поздний период цветения, со значениями SPAD флагового листа, снижающимися более медленно, что приводит к prolonged листовой зелени. Это помогает поддерживать зелень отдельных листьев после цветения, позволяя более эффективно использовать межклеточный CO2. Кроме того, гибриды демонстрируют явные преимущества в использовании световой энергии, более способствующие increased накоплению биомассы, обеспечивая сильную физиологическую основу для повышения урожайности.
4.3. Влияние срока посева на накопление и ремобилизацию биомассы у озимой пшеницы
Накопление биомассы является материальной основой для формирования урожайности пшеницы. Накопление и распределение биомассы не только представляют результаты фотосинтеза, но и directly связаны с урожайностью сельскохозяйственных культур и общими условиями роста [43,44]. В частности, накопление биомассы после цветения имеет решающее значение для повышения урожайности, показывая значительную положительную корреляцию с урожайностью в определенных пределах [45,46].
Исследования указывают, что поздний посев может привести к decrease в накоплении биомассы при созревании [28], в то время как другие исследования предполагают, что соответствующая поздняя посадка может улучшить накопление биомассы при созревании, thereby повышая урожайность через увеличение индекса урожая (HI) [25]. В этом эксперименте, с задержкой срока посева, накопление биомассы на стадии цветения gradually уменьшалось, в то время как накопление биомассы на стадии спелости и накопление биомассы после цветения сначала увеличивались, а затем уменьшались. Это позволяет предположить, что соответствующая поздняя посадка не только помогает накоплению биомассы после цветения, но и координирует отношения между ремобилизацией биомассы и накоплением биомассы после цветения, приводя к высокой GY [47,48].
Хотя влияние срока посева на HI было minor, оптимизация этих факторов может enhance как ремобилизацию биомассы, так и накопление биомассы после цветения, обеспечивая strong поддержку для повышения урожайности сельскохозяйственных культур.
5. Выводы
Соответствующая поздняя посадка (23 октября) более выгодна для гибридного сорта Jingmai 17 в координации отношений между числом колосьев, количеством зерен в колосе и массой 1000 зерен, максимизируя преимущества всех трех компонентов для оптимальной урожайности. При этом сроке посева оба сорта, Jingmai 17 и Jimai 22, обладают подходящей площадью листьев на стебель, что помогает поддерживать более высокие значения SPAD флагового листа в средний-поздний период цветения, позволяя slower старению листьев и лучшему использованию межклеточного CO2 для накопления продуктов фотосинтеза. Это приводит к increased накоплению биомассы после цветения и индексу урожая, while также достигается более высокое количество зерен на единицу площади и масса 1000 зерен, effectively повышая урожайность пшеницы.
Кроме того, гибридный сорт Jingmai 17 характеризуется большей площадью листа на стебель, longer продолжительностью зеленых листьев после цветения и явными фотосинтетическими преимуществами, resulting в более эффективном накоплении продуктов фотосинтеза и более высоком накоплении биомассы после цветения, наряду с increased массой 1000 зерен и количеством зерен в колосе. Таким образом, гибрид демонстрирует значительное преимущество в урожайности. В целом, гибридная пшеница Jingmai 17 показывает strong стабильность и потенциал для увеличения урожайности при соответствующих условиях позднего посева. Эти результаты verified, что число колосьев является важным фактором, ограничивающим увеличение урожайности гибридной пшеницы, и то, как увеличить число колосьев, при условии обеспечения того, что масса 1000 зерен и количество зерен в колосе не уменьшаются, стало focus улучшения урожайности гибридной пшеницы в будущем, и в то же время, это предоставляет valuable ссылки для выбора сорта и решений по оптимальному сроку посева в регионе Хуан-Хуай-Хай, закладывая теоретическую основу для методов высокоурожайного земледелия.
Ссылки
1. An, C.L.; Zhang, G.S.; Wang, S.S.; Yue, X.Q.; Wang, H.; Yang, M.M.; Tang, T.; Yu, X.Y.; Li, C.B. Study on selective mathematical models for high-yield hybrid wheat. J. China Agric. Univ. 2012, 17, 25–30. [Google Scholar]
2. Zhao, C.P. Research progress and prospects of two-line hybrid wheat in China. Chin. Sci. Bull. 2022, 67, 3119–3128. [Google Scholar] [CrossRef]
3. Gupta, P.K.; Balyan, H.S.; Gahlaut, V.; Saripalli, G.; Pal, B.; Basnet, B.R.; Joshi, A.K. Hybrid wheat: Past, present and future. Theor. Appl. Genet. 2019, 132, 2463–2483. [Google Scholar] [CrossRef]
4. Qin, J.Y. Effects of Sowing Date, Planting Density and Nitrogen Management on Grain Yield, Nitrogen Uptake and Utilization and Quality of Strong Gluten Wheat; Shandong Agriculture University: Shandong, China, 2022. [Google Scholar]
5. Ali, M.A.; Ali, M.; Sattar, M.; Ali, L. Sowing date effect on yield of different wheat varieties. J. Agric. Res. 2010, 48, 157–162. [Google Scholar]
6. Ahmed, M.; Fayyaz ul, H. Response of spring wheat (Triticum aestivum L.) quality traits and yield to sowing date. PLoS ONE. 2015, 10, e0126097. [Google Scholar] [CrossRef]
7. Motzo, R.; Fois, S.; Giunta, F. Protein content and gluten quality of durum wheat (Triticum turgidum subsp. durum) as affected by sowing date. J. Sci. Food Agric. 2007, 87, 1480–1488. [Google Scholar]
8. Dholakia, B.B.; Ammiraju, J.S.S.; Singh, H.; Lagu, M.D.; Röder, M.S.; Rao, V.S.; Dhaliwal, H.S.; Ranjekar, P.K.; Gupta, V.S.; Weber, W.E. Molecular marker analysis of kernel size and shape in bread wheat. Plant Breed. 2003, 122, 392–395. [Google Scholar] [CrossRef]
9. Zhang, S.Q. Advances on yield formation of hybrid wheat. Chin. Agric. Sci. Bull. 2019, 35, 1–5. [Google Scholar]
10. Wang, A.B.; Gu, Z.Z.; Zhou, Y.M.; Yang, Z.B.; Du, Y.Y. Influence of different sowing periods and sowing densities on the yield and its components of the new wheat variety “Huai Mai 44”. Shanghai Agric. Sci. Technol. 2021, 46–47+80. [Google Scholar]
11. Darwinkel, A.; Hag, B.A.T.; Kuizenga, J. Effect of sowing date and seed rate on crop development and grain production of winter wheat. Neth. J. Agric. Sci. 1977, 25, 83–94. [Google Scholar] [CrossRef]
12. Yan, Z.S.; Wang, R.Q. Study on relation between the leaf weight leaf area and yield of winter wheat in different sowing time. Xinjiang Agric. Sci. 2005, 42, 59–61. [Google Scholar]
13. Wang, X.; Wang, C. Effects of different sowing dates and seeding rates on the growth characteristics and yield of winter wheat. Crops 2021, 182–188. [Google Scholar]
14. Meng, X.H.; Qiao, W.C.; Zhao, M.H.; Li, D.; Sun, S.L.; Li, Q.; Lu, G.L. Effects of sowing date and planting density on yield and its components of winter wheat new cultivar Hengmai 26. J. Hebei Agric. Sci. 2020, 24, 24–28. [Google Scholar]
15. Li, S.Q.; Shao, M.A.; Li, Z.Y.; Wu, W.M.; Zhang, X.C. Review of characteristics of wheat grain fill and factors to influence it. Acta Bot. Boreali-Occident. Sin. 2003, 23, 2031–2039. [Google Scholar]
16. Yin, W.J.; Liu, X.; Ni, D.P.; Qiu, D.L.; Wan, Z.L. Effect of sowing time on grain filling characteristics and grain yield components of high quality wheat cultivars. Shandong Agric. Sci. 2005, 5, 22–24+28. [Google Scholar]
17. Wu, S.H.; Gao, H.T.; Zhang, X.P.; Zhang, Y.X.; Zhao, Y.T. Effect of sowing date on grain filling characters in different wheat varieties. J. Triticeae Crops. 2004, 24, 105–107. [Google Scholar]
18. Zhang, Y.L.; Xiao, K.; Li, Y.M. Studies on the photosynthetic heterosis of flag leaves in different wheat hybrids. Acta Agric. Boreali-Sin. 2004, 19, 63–66. [Google Scholar]
19. Chen, S.Y.; Zhang, X.Y.; Mao, R.Z.; Wang, Y.M.; Sun, H.Y. Effect of sowing date and rate on canopy intercepted photo-synthetically active radiation and yield of winter wheat. Chin. J. Eco-Agric. 2009, 17, 681–685. [Google Scholar] [CrossRef]
20. Pei, X.X.; Wang, J.A.; Dang, J.Y.; Zhang, D.Y. Characteristics of grain filling and fiag leaf photosynthesis of high quality wheat under different planting dates. Chin. J. Eco-Agric. 2008, 16, 121–128. [Google Scholar]
21. Yang, W.P.; Guo, T.C.; Liu, S.B.; Zhu, Y.J.; Wang, C.H.; Wang, Y.H. Light intensity on flag leaf photosynthetic characteristics and water use of two Spike—Type cultivars of winter wheat. Acta Agric. Boreali-Sin. 2008, 23, 9–11. [Google Scholar]
22. Zhang, X.Q.; Du, S.Z.; Cao, C.F.; Zhao, Z.; Zhang, Y.L. Effects of sowing date on population traits, yield and chlorophyll fluorescence characteristics of winter wheat. J. Triticeae Crops 2014, 34, 71–77. [Google Scholar]
23. Kong, L.H.; Zhao, Y.L.; Zhou, F.P. The relations of the high production and the wheat dry matter accumulation and the revolution. J. Shanxi Agric. Sci. 2007, 35, 6–8. [Google Scholar]
24. Parry, M.A.J.; Reynolds, M.; Salvucci, M.E.; Raines, C.; Andralojc, P.J.; Zhu, X.G.; Price, G.D.; Condon, A.G.; Furbank, R.T. Raising yield potential of wheat. II. Increasing photosynthetic capacity and efficiency. J. Exp. Bot. 2011, 62, 453–467. [Google Scholar] [CrossRef] [PubMed]
25. Qian, T.F.; Dong, X.C.; Zhang, X.; Chu, J.P.; Fei, L.W.; Zheng, F.N.; Dai, X.L.; He, M.R. Effect of sowing date on dry matter accumulation, distribution and yield of winter wheat. Shandong Agric. Sci. 2019, 51, 24–28+35. [Google Scholar]
26. Dai, X.L.; Wang, Y.C.; Dong, X.C.; Qian, T.F.; Yin, L.; Dong, S.X.; Chu, J.P.; He, M.R. Delayed sowing can increase lodging resistance while maintaining grain yield and nitrogen use efficiency in winter wheat. Crop J. 2017, 5, 541–552. [Google Scholar] [CrossRef]
27. Garcia, A.L.; Savin, R.; Slafer, G.A. Fruiting efficiency differences between cereal species. Field Crops Res. 2019, 231, 68–80. [Google Scholar] [CrossRef]
28. Ma, S.Y.; Wang, Y.Y.; Liu, Y.A.; Yao, K.J.; Huang, Z.L.; Zhang, W.J.; Fan, Y.H.; Ma, Y.S. Effect of sowing date, planting density, and nitrogen application on dry matter accumulation, transfer, distribution, and yield of wheat. Chin. J. Eco-Agric. 2020, 28, 375–385. [Google Scholar]
29. Zhang, Y.L.; Du, Y.H.; Li, W.L.; Zhu, Z.X.; Jia, J.; Meng, F.G.; Zhang, S.Q.; Zhao, C.X. Hybrid winter wheat performance: A study on planting density, nitrogen use efficiency, and yield optimization in eastern China. Int. J. Plant Prod. 2024, 18, 497–512. [Google Scholar] [CrossRef]
30. Chen, M.; Liang, X.Q.; Li, L.; Zhang, L.; Zhang, F.; Chen, G.D.; Wu, Q.Z.; Zhai, Y.L. Effect of planting density on dry matter accumulation, translocation and grain yield of uniformly sown winter wheat. J. Triticeae Crops 2021, 41, 238–244. [Google Scholar]
31. Slafer, G.A.; Savin, R.; Sadras, V.O. Coarse and fine regulation of wheat yield components in response to genotype and environment. Field Crops Res. 2014, 157, 71–83. [Google Scholar] [CrossRef]
32. Slafer, G.A.; Savin, R.; Sadras, V.O. Wheat yield is not causally related to the duration of the growing season. Eur. J. Agron. 2023, 148, 126885. [Google Scholar] [CrossRef]
33. Zhang, A.M.; Sun, Q.X. The relationship between heterosis of yield and heterosis of yield components in hybrid wheat. Acta Agron. Sin. 1993, 19, 94–96. [Google Scholar]
34. Pu, Z.J.; Liu, Z.Q.; Rao, S.D.; Yu, D.M. Comparison of genetic improvement in hybrid wheat and common wheat. J. Triticeae Crops 2001, 21, 15–17. [Google Scholar]
35. Qi, Z.G. Analysis of yield components of hybrid wheat. J. Hebei Norm. Univ. (Nat. Sci. Ed.) 2005, 29, 399–403. [Google Scholar]
36. Li, Q.; Li, H.M.; Li, D.; Qiao, W.C.; Sun, S.L.; Meng, X.H.; Wei, J.W.; Zhao, M.H.; Zhao, F.W. Effects of new sowing date and planting density on yield and yield components of new winter wheat cultivar Heng S29. Shandong Agric. Sci. 2017, 49, 37–41. [Google Scholar]
37. Qiao, W.C.; Chen, X.M.; Sun, S.L.; Meng, X.H.; Wei, J.W.; Li, D.; Li, Q.; Li, H.M.; Zhao, M.H.; Feng, J.; et al. Study on the high efficiency modes of water and fertilizer about winter wheat new variety Heng 4399. J. Hebei Agric. Sci. 2016, 20, 16–19. [Google Scholar]
38. Hui, H.X.; Xu, X.; Li, S.H.; Wang, J.D.; Li, S.M. Differences in photosynthetic physiological characteristics of different spring wheat varieties (lines). Gansu Agric. Sci. Technol. 2003, 19–21. [Google Scholar]
39. Chen, S.B. Study on Regulation of Nitrogen Application Amount and Plant Density over Yield and Quality of Yunan Winter Wheat. Master’s Thesis, Huanzhong Agriculture University, Wuhan, China, 2007. [Google Scholar]
40. Liu, Z.Q.; Liu, Z.Y.; Liang, Z.L.; Zeng, S.F.; Ma, D.P.; Zhao, J. Genetic studies on chlorophyll content of rice. J. Mountain Agric. Biol. 1983, 1–7. [Google Scholar] [CrossRef]
41. Chen, C.; Shi, K.; Zhu, C.W.; Jiang, G.Y.; Luo, L.; Meng, W.W.; Liu, F.; Shen, F.M.; Liu, S.L. Effects of planting density and nitrogen application rate on wheat photosynthetic characteristics, yield, and soil nitrogen content in Fluvo-aquic soil in northern Henan province. J. Agric. Sci. Technol. 2023, 25, 24–33. [Google Scholar]
42. Zhan, C.G.; Sun, T.; Wang, J.C.; Gao, Z.; Li, T.R.; Aximu, R. Effects of sowing date and density on photosynthetic characteristics and yield of winter wheat under drip irrigation. Xinjiang Agric. Sci. 2021, 58, 1971–1980. [Google Scholar]
43. Ke, Y.Y.; Chen, X.; Ni, Q.Q.; Zhang, L.L.; Wei, F.Z.; Li, J.C. Research progress of dry matter accumulation and distribution pattern in wheat. Barley and Cereal Sci. 2021, 38, 1–7+12. [Google Scholar]
44. Lü, G.D.; Yin, F.W.; Sun, Y.Y.; Qian, Z.G.; Xu, J.L.; Li, N.; Xue, L.N.; Wu, K. Effects of different seeding rates on yield, dry matter accumulation and distribution of Linmai 4. Crops 2020, 3, 142–148. [Google Scholar]
45. Yang, J. Effect of Sow Dates and Densities on Wheat Growth Characteristics and Yield. Master’s Thesis, North West Agriculture & Forestry University, Xianyang, China, 2011. [Google Scholar]
46. Huang, Y.S.; Zhang, H.C.; Xu, K.; Li, B.S.; Qian, J. Effects of the quantities of nitrogenous fertilizer on the yield and population quality of the Mid- gluten wheat Yangmai 11. Chin. Agric. Sci. Bull. 2006, 22, 238–241. [Google Scholar]
47. Tian, Z.W.; Wang, F.R.; Dai, T.B.; Cai, J.; Jiang, D.; Cao, W.X. Characteristics of dry matter accumulation and translocation during the wheat genetic improvement and their relationship to grain yield. Sci. Agric. Sin. 2012, 45, 801–808. [Google Scholar]
48. Shi, Z.L.; Wang, F.; Li, X.; Wang, J.C.; Zhe, B.; Sun, R.H.; Jia, T.; Song, C.J. Dry matter and nitrogen accumulation as affected by nitrogen fertilization and seeding rate in winter wheat. Am. J. Agric. For. 2018, 6, 50–59. [Google Scholar] [CrossRef]
Zhang Y, Li W, Zhu Z, Zhao L, Duan H, Ge H, Zhao C. Timing Matters: The Impact of Sowing Dates on Photosynthetic Traits and Biomass Accumulation in Hybrid Winter Wheat. Agriculture. 2025; 15(1):40. https://doi.org/10.3390/agriculture15010040
Перевод статьи «Timing Matters: The Impact of Sowing Dates on Photosynthetic Traits and Biomass Accumulation in Hybrid Winter Wheat» авторов Zhang Y, Li W, Zhu Z, Zhao L, Duan H, Ge H, Zhao C., оригинал доступен по ссылке. Лицензия: CC BY. Изменения: переведено на русский язык
















Комментарии (0)