Оптимизация азотных подкормок и густоты посева повышает эффективность использования азота и качество зерна мягкой пшеницы
Увеличение плотности посадки с уменьшением внесения азота в подкормку повышает эффективность использования азота и улучшает качество зерна, сохраняя при этом урожайность пшеницы со слабой клейковиной.
Повышение норм азотных удобрений, как правило, способствует росту урожайности и качества зерна пшеницы. Однако в производстве мягкой пшеницы, предназначенной для определенных видов переработки, ключевой задачей является как раз снижение содержания белка в зерне на фоне повышения урожайности. Цель нашего исследования заключалась в том, чтобы за счет сокращения азотных подкормок в сочетании с увеличением густоты посева добиться стабильной урожайности и высоких качественных показателей.
Полевые исследования проводились в течение двух вегетационных сезонов на широко распространенном сорте мягкой пшеницы Янмай 15. Изучалось влияние снижения доз азотных подкормок и увеличения густоты стояния на урожайность, качество зерна и агрономическую эффективность использования азота.
Схема опыта включала четыре уровня азотной подкормки в фазе кущения: 37,8 (N1), 43,2 (N2), 48,6 (N3) и 54,0 кг д.в./га (N4), а также три густоты посева: 180, 240 и 300 × 10⁴ растений/га (D1, D2 и D3 соответственно).
Снижение доз азотной подкормки приводило к значительному уменьшению числа побегов и продуктивных стеблей во все фазы развития, при этом урожайность достигала максимума при норме 48,6 кг N/га, снижаясь при дальнейшем уменьшении азота. Увеличение густоты посева, напротив, достоверно повышало количество побегов и продуктивных стеблей, а также урожайность, которая была максимальной при густоте 180 × 10⁴ растений/га.
При одинаковой густоте посева с уменьшением нормы азота снижались содержание хлорофилла в листе флагового яруса, индекс листовой поверхности, продуктивная эффективность азота и коэффициент его использования. При одной и той же норме подкормки увеличение густоты посева повышало продуктивность азотных удобрений и эффективность их усвоения.
Наивысшие значения относительного содержания хлорофилла, индекса листовой поверхности, парциальной продуктивности азота, эффективности его использования, накопления сухой массы в зерне, доли распределения ассимилятов в зерно и урожайности были достигнуты в варианте с густотой посева 300 × 10⁴ растений/га и нормой азотной подкормки 48,6 кг N/га.
Совместное применение пониженных доз азота и повышенной густоты посева снижало содержание белка, число седиментации и количество сырой клейковины в зерне. Увеличение густоты посева существенно усиливало накопление сухой массы в ценозе, частично компенсируя потерю урожая от снижения азота за счет увеличения числа продуктивных стеблей, что в конечном итоге дополнительно улучшало качество зерна и эффективность использования азота.
Таким образом, агротехнический прием, сочетающий пониженные дозы азотных подкормок и повышенную густоту посева, может быть эффективен для одновременного достижения высокой урожайности, повышения эффективности использования азота и стабилизации технологических качеств зерна мягкой пшеницы.
1. Введение
Пшеница является одной из важнейших продовольственных культур Китая и играет ключевую роль в обеспечении национальной продовольственной безопасности, составляя примерно 11% от общего объема потребляемой человеком пищи [1]. Среднее и нижнее течение реки Янцзы образует основную зону производства мягкой пшеницы. Этот регион богат тепловыми, световыми и водными ресурсами, что благоприятствует производству мягкой пшеницы [2]. Мягкая пшеница характеризуется низким содержанием белка и низкой твердостью зерна. Она используется в качестве сырья для изготовления печенья, пирожных и других кондитерских изделий с нежной текстурой [3]. Растущий спрос на кондитерские изделия, обусловленный улучшением пищевых привычек, привел к дефициту высококачественной мягкой пшеницы на внутреннем рынке [4]. Внесение азотных удобрений и густота посева являются ключевыми агротехническими факторами для достижения высокой урожайности и качества пшеницы [5]. Оптимальное внесение азота и густота посева синергетически улучшают урожайность и качество пшеницы, тогда как чрезмерное внесение азота и высокая густота посева увеличивают численность растительного ценоза и продуктивных побегов, что приводит к ухудшению аэрации и светопроницаемости в посевах и, в конечном итоге, к снижению продуктивной кустистости и урожайности [6,7]. Поэтому разработка технологий возделывания высокоурожайной и высококачественной мягкой пшеницы необходима для удовлетворения потребностей в расчете на душу населения в Китае.
Накопление, транспорт и распределение сухого вещества в пшенице зависят от условий окружающей среды, агротехнических практик и других факторов [8]. Внесение азотных удобрений и густота стояния растений являются важными факторами, влияющими на накопление и транспорт ассимилятов в пшенице после цветения. Оптимальные дозы азотных удобрений и густота посева могут увеличить чистую скорость фотосинтеза в листьях флагового яруса пшеницы, продлить период фотосинтетической активности листьев и способствовать накоплению ассимилятов, в конечном итоге повышая урожайность пшеницы [9]. Густота посева тесно связана с общим числом стеблей. Оптимальная густота посева улучшает аэрацию и светопроницаемость в посевах пшеницы, что приводит к увеличению накопления сухого вещества и урожайности зерна [10,11]. На каждой стадии роста накопление сухого вещества в пшенице сначала увеличивалось, а затем уменьшалось с увеличением густоты посева [12]. Оптимальное внесение азотных удобрений в пшенице способствовало накоплению сухого вещества, тогда как избыточное внесение азота продлевало период накопления в стеблях и листьях, приводя к задержке созревания [13]. Взаимодействие между густотой растений и нормой внесения азота помогает координировать накопление сухого вещества до и после цветения и способствовать перемещению сухого вещества в зерновки, тем самым значительно повышая урожайность [14].
Азот является необходимым минеральным элементом для роста сельскохозяйственных культур [15]. По оценкам, только около половины азотных удобрений, вносимых на сельскохозяйственные угодья во всем мире, реутилизируется в форме урожая [16]. Чрезмерное внесение азота увеличит производственные затраты фермеров, повысит остаточное содержание азота в почве и его вымывание, вызовет эвтрофикацию водных объектов, что окажет множество негативных эффектов на экосистему и будет сдерживать устойчивое развитие сельского хозяйства [17]. Поэтому повышение эффективности использования азота (NUE) в сельском хозяйстве стало ключевой мерой для снижения затрат фермеров, защиты окружающей среды и увеличения урожайности сельскохозяйственных культур, и получило широкое признание. Предыдущие исследования показали, что подкормка азотными удобрениями в стадии кущения может решить проблему низкой степени использования азота, способствовать поглощению азотных удобрений пшеницей и достичь регулирующего эффекта повышения урожайности и улучшения качества зерна [18]. При регулировании густоты посева, управления азотом или их взаимодействия, можно сформировать рациональную структуру высокоурожайного ценоза для повышения урожайности зерна и качества пшеницы [19]. Однако нет единого мнения о влиянии взаимодействия между нормой азотной подкормки и густотой посева на использование азота и технологическое качество мягкой пшеницы. Следовательно, может существовать эффект взаимодействия между азотной подкормкой и густотой посева на качество пшеницы. Однако нет консенсуса относительно влияния взаимодействия между нормой азотной подкормки и густотой посева на урожайность, качество или эффективность использования азота у мягкой пшеницы. Поэтому необходимо изучить, существует ли эффект взаимодействия между азотной подкормкой и густотой посева на урожайность, качество и эффективность использования азота у мягкой пшеницы.
Потребность мягкой пшеницы в азоте составляет около 180 кг N/га, и качество соответствует стандарту качества мягкой пшеницы, но урожайность может быть ниже. Для увеличения ее урожайности густоту можно соответственно увеличить, чтобы компенсировать потерю урожая. Таким образом, целями данного исследования были показать эффекты снижения азотных подкормок и увеличения густоты посева на характеристики развития ценоза, поглощение и использование азота, урожайность и качество мягкой пшеницы, а также определить оптимальное сочетание азота и густоты для улучшения показателей мягкой пшеницы и предоставить теоретическую основу для фактического производства и возделывания.
2. Материалы и методы
2.1. Схема эксперимента
Полевые эксперименты проводились в Аньхойском научно-технологическом университете (117.56° в.д., 32.88° с.ш.), провинция Аньхой, Китай, в сезоны выращивания пшеницы 2022–2023 и 2023–2024 годов. Тип почвы на опытном участке – тяжелый суглинок. Испытанный здесь сорт пшеницы – широко распространенный сорт мягкой пшеницы Янмай 15 в регионе Хуайхэ, и основное внесение азотных удобрений составляло 126 кг N/га. Мы использовали четыре уровня внесения азота для подкормки в стадии кущения: 37.8 кг N/га (N1), 43.2 кг N/га (N2), 48.6 кг N/га (N3) и 54 кг N/га (N4) в оба сезона роста, и еще три густоты посева включали 180, 240 и 300 × 10⁴ растений/га (D1, D2 и D3, соответственно). Янмай 15, сорт мягкой пшеницы, широко возделывается в пшеничном экологическом регионе нижнего течения реки Янцзы. В регионе обычно используется норма внесения азота 180~240 кг N/га и густота посева 180~360 × 10⁴ растений/га.
Полевые эксперименты были заложены по схеме двухфакторного полного рандомизированного дизайна с тремя повторениями для каждой обработки. Размер делянки составлял 3 × 3 м с 10 рядами (25 см между рядами). Полевое управление экспериментом было качественным, и не наблюдалось возникновения вредителей или болезней. После посева пшеницы проводился однократный полив для обеспечения прорастания семян, и другие полевые мероприятия были такими же, как и на высокоурожайных полях. Дата посева и дата уборки в первый год составили 28 октября 2022 года и 25 мая 2023 года соответственно. Дата посева и дата уборки во второй год составили 1 ноября 2023 года и 28 мая 2024 года соответственно.
2.2. Обзор опытного участка
Почва опытного участка была тяжелый суглинок, и предыдущей культурой была кукуруза. Все фосфорные и калийные удобрения в течение двух сезонов роста вносились в дозе 90 кг/га для основного внесения. Содержание питательных веществ в пахотном слое почвы 0–20 см показано в Таблице 1. Содержание питательных веществ в почве определяли согласно методу Rogers [20]. Средняя температура и осадки в периоды вегетации показаны на Рисунке 1.
Рисунок 1. Метеорологические условия в течение всего периода роста пшеницы за два сезона выращивания с 2022 по 2024 год.
Таблица 1. Содержание питательных веществ в пахотном слое почвы за два сезона выращивания с 2022 по 2024 год.
2.3. Определение индекса листовой поверхности
Индекс листовой поверхности (LAI) определяли с помощью анализатора растительного покрова (Accupar LP-80, METER Group, Inc., Пульман, Вашингтон, США) в выбранных диагональных областях каждой делянки во время стадий кущения (GS 31), колошения (GS 45), выхода в трубку (GS 55), цветения (GS 65) и налива зерна (GS 75) пшеницы, с шестью повторениями для каждой обработки. Для точного представления стадии роста использовалась шкала Zadocks.
2.4. Определение относительного содержания SPAD в листьях флагового яруса
В каждой делянке отбирали три репрезентативных отдельных стебля с листьями флагового яруса с одинаковым ростом, и содержание хлорофилла в каждом флаговом листе пшеницы измеряли с помощью хлорофилл-метра SPAD-502Plus (Zhejiang Top Instrument, Inc., Ханчжоу, Китай). Внимание уделялось избеганию жилок, и среднее значение 9 измерений было результатом. Эти измерения проводились с 9:00 до 11:00 в солнечные дни на стадии кущения, через 7, 14, 21 и 28 дней после цветения (DAA) и через 35 дней после цветения (DAA).
2.5. Определение накопления сухого вещества и расчет связанных параметров
На стадиях цветения и созревания для каждой обработки отбирали 30 отдельных стеблей, причем каждую обработку повторяли на 10 растениях. Стебли разделяли на три части: стебель-влагалище + лист, колосковые чешуи + стержень колоса и зерновка. Части высушивали при 80 °C до достижения постоянного веса. Рассчитывали накопление, транспорт и распределение сухого вещества.
2.6. Определение и расчет накопления азота
На стадии цветения и созревания на каждое повторение для каждой обработки отбирали по 4 равномерных растения, для которых на стадии цветения отбирали все растение, а на стадии созревания – вегетативные органы (стебель и влагалище, лист, ось колоса, колосковые чешуи) и зерновку. Образцы высушивали при 70 °C до постоянного веса, а затем измельчали в растительном измельчителе. Общее содержание азота в растениях определяли с помощью автоматического азотного анализатора K-05 (Shengsheng Automatic Analysis Instrument, Inc., Шанхай, Китай) и масс-спектрометра с отношением изотопов (Thermo Electron Corporation, Inc., Уолтем, Массачусетс, США). Накопление азота и эффективность использования азота в разных частях растения рассчитывали согласно Wang и Hu и др. [21,22].
Транспорт азота из питательных органов = накопление азота в питательных органах на стадии цветения − накопление азота в питательных органах на стадии созревания;
Использование азотных удобрений = (количество азота, накопленного растением из азота удобрений / общее количество внесенного азота) × 100%;
2.7. Определение динамики ценоза, урожайности и компонентов урожая пшеницы
На стадии трех листьев пшеницы на каждой делянке выбирали участки с одинаковым ростом для маркировки трубками и установления численности seedlings. На каждой делянке устанавливали площадь 1 м² для последующего учета числа колосьев и измерений урожайности. Затем при D1, D2 и D3 устанавливали 45, 60 и 75 seedlings на метр соответственно. На поздней стадии орошения исследовали количество продуктивных колосьев и зерен на засеянных участках каждой обработки. Пшеницу убирали при созревании для измерения урожая, затем высушивали и обмолачивали. Затем случайным образом отбирали 500 зерен для определения массы 1000 зерен, и каждую обработку повторяли три раза.
На каждой делянке с помощью бамбуковых рамок выбирали два ряда по 1 м (представляющих 1 м²). Общее количество стеблей пшеницы учитывали в периоды зимовки (GS 21), кущения (GS 31), выхода в трубку (GS 55) и созревания (GS 92), и рассчитывали коэффициент продуктивной кустистости.
Коэффициент продуктивной кустистости = число продуктивных колосьев / максимальное число побегов × 100%
2.8. Измерение качественных признаков
Пшеницу убирали при созревании и хранили в холодильной камере в течение 2 месяцев. Содержание белка и сырой клейковины в зерновках определяли с помощью ближнего инфракрасного анализатора DA 7200 (Perten Instruments, Inc., Хагерстен, Швеция).
2.9. Обработка данных
Дисперсионный анализ применяли с использованием DPS версии 7.0. В качестве пост-хок теста был принят тест LSD на уровне значимости p < 0,05. Кроме того, мы также использовали версию Origin 2021 для построения графиков.
3. Результаты
3.1. Влияние азотной подкормки и густоты на динамику побегообразования пшеницы
Динамика побегообразования в ценозе пшеницы показала параболическую тенденцию увеличения, а затем уменьшения с увеличением периода вегетации, с максимальным значением числа побегов на стадии кущения, за которым следовало постепенное снижение количества побегов, что было одинаково между двумя годами (Таблица 2). Влияние обработки густоты в период зимовки на число побегов пшеницы было высоко значимым. Густота и азотные удобрения оказывали значительные эффекты на число побегов в разные годы и во все периоды после зимовки. При одинаковой густоте число побегов в каждый период после стадии кущения заметно снижалось с уменьшением азотной подкормки. Эта закономерность была одинаковой в различные годы, что указывает на то, что снижение азотной подкормки было неблагоприятным для кущения пшеницы. При одном и том же уровне азота число побегов в каждый период после стадии кущения значительно увеличивалось с увеличением густоты в оба года; закономерность была одинаковой в различные годы (D3 > D2 > D1), и разница была значительной между обработками, что указывает на то, что оптимальное увеличение густоты посева было благоприятным для кущения пшеницы. При D1 коэффициент продуктивной кустистости снижался с уменьшением азотной подкормки. При D2 и D3 коэффициент продуктивной кустистости увеличивался с уменьшением азотной подкормки и был выше при D3, чем при D1, что может объяснять низкий коэффициент продуктивной кустистости из-за низкой густоты. Коэффициент продуктивной кустистости варьировал от 29,34% до 36,54% и был самым высоким при N3D3 в оба года. Это указывает на то, что оптимальное снижение внесения азота и увеличение густоты посева благоприятны для формирования продуктивных побегов у пшеницы, что, в свою очередь, повышает урожайность зерна.
Таблица 2. Динамика кущения пшеницы при разной густоте и уровнях азотной подкормки.
3.2. Влияние азотной подкормки и густоты на LAI пшеницы
LAI пшеницы изменялся по параболической тенденции увеличения, а затем уменьшения с течением вегетационного периода (Таблица 3). Азотные удобрения не оказывали значительного влияния на LAI пшеницы на стадии кущения, но эффект был высоко значимым при обработках густотой. Различные обработки внесением азота и густотой оказали значительное влияние на LAI пшеницы на поздней стадии кущения; LAI больше зависел от густоты, чем от внесения азота, и проявление было одинаковым между двумя годами. При одинаковой густоте LAI в целом снижался с уменьшением азотной подкормки при D1 и D2, с самым высоким LAI при N3D3, который увеличился на 2,87%, 9,30% и 24,16% в 2022–2023 годах по сравнению с N4, N2 и N1 соответственно, и на 0,74%, 4,92% и 15,27% в 2023–2024 годах соответственно. При одном и том же уровне азотной подкормки LAI увеличивался с увеличением густоты, где разница между обработками D3 и D2 была небольшой. В течение двух лет, как при обработке N3D3, LAI был значительно выше, чем при других обработках. Таким образом, комбинация D3 и оптимального внесения азота способствовала улучшению LAI пшеницы и закладывала основу для формирования урожая.
Таблица 3. Индекс листовой поверхности пшеницы при разной густоте и уровнях азотной подкормки.
3.3. Влияние азотной подкормки и густоты на содержание хлорофилла (значение SPAD) пшеницы
Наблюдалась параболическая тенденция увеличения, а затем уменьшения с продвижением вегетационного периода; содержание хлорофилла достигло пика на стадии цветения, а затем постепенно снижалось (Рисунок 2). Как густота, так и азотные удобрения оказывали значительное влияние на содержание хлорофилла в листьях флагового яруса пшеницы, с одинаковым проявлением между двумя годами. При одинаковой густоте значение SPAD флагового листа уменьшалось с уменьшением внесения азота при D1, а значение SPAD флагового листа после цветения увеличивалось, а затем уменьшалось с уменьшением внесения азота при D2 и D3, что указывает на то, что снижение азота при D1 было неблагоприятным для накопления содержания хлорофилла, тогда как снижение внесения азота в D2 и D3 было полезным для увеличения значения SPAD. При одном и том же уровне азотной подкормки значение SPAD флагового листа пшеницы уменьшалось, а затем увеличивалось с увеличением густоты, и значение SPAD флагового листа значительно увеличивалось в D3 по сравнению с D1 и D2. Эти находки указывают на то, что оптимальная густота посева увеличила фотосинтез после цветения, что, в свою очередь, увеличило содержание хлорофилла. Более высокое значение SPAD при обработке N3D3 указывало на то, что увеличение оптимальной густоты было благоприятным для увеличения содержания хлорофилла в флаговом листе, когда внесение азота было оптимально снижено.
Рисунок 2. Относительное содержание хлорофилла пшеницы при разной густоте и уровнях азотной подкормки. Примечание: N1, N2, N3 и N4 обозначают норму N 37,8, 43,2, 48,6 и 54 кг N/га соответственно. D1, D2 и D3 обозначают густоту растений 180, 240 и 300 × 10⁴ растений/га соответственно. Относительное содержание хлорофилла каждой обработки в 2022~2023 (A); относительное содержание хлорофилла каждой обработки в 2023~2024 (B). Разные строчные буквы на рисунке указывают на то, что тест LSD был значительно различен на уровне вероятности 0,05. DAA, дни после цветения.
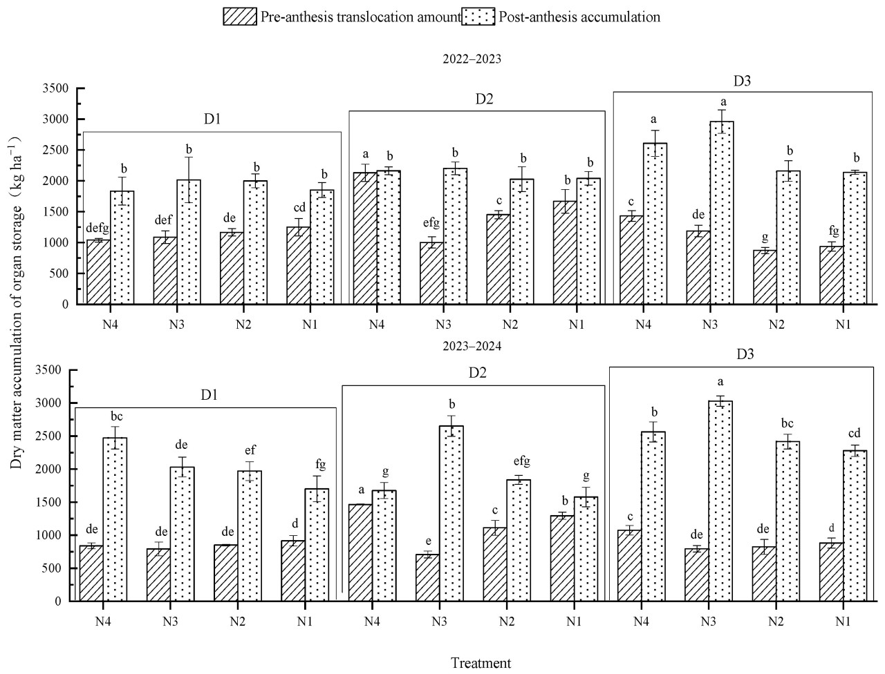
3.4. Влияние азотной подкормки и густоты на транспорт и накопление сухого вещества в пшенице
Количество азотной подкормки и густота оказали значительное влияние на количество транспортированного сухого вещества до антезиса, скорость транспорта, долю вклада в зерно и накопление сухого вещества после антезиса пшеницы в 2023 году (Рисунок 3). Взаимодействие азотной подкормки и густоты оказало значительное влияние на накопление в вегетативных органах до антезиса, скорость транспорта, долю вклада в зерно и накопление сухого вещества после антезиса в 2023 году. Количество азотной подкормки, густота и их взаимодействие оказали значительные эффекты на количество транспортированного сухого вещества до антезиса, скорость транспорта, долю вклада в зерно, накопление сухого вещества после антезиса и долю вклада в зерно пшеницы в 2024 году. При одном и том же уровне густоты количество транспортированного сухого вещества до цветения, скорость транспорта и доля вклада в зерно сначала уменьшались, а затем увеличивались с уменьшением количества азотной подкормки. Накопление после антезиса показало тенденцию увеличения, а затем уменьшения, и накопление сухого вещества после антезиса и доля вклада в зерно после антезиса были самыми высокими при уровне N3, и закономерность между двумя годами была одинаковой. Это указывает на то, что оптимальное количество азотной подкормки было beneficial для увеличения накопления сухого вещества после антезиса и доли вклада в зерно после антезиса, таким образом увеличивая урожайность зерна. При одном и том же уровне азотной подкормки количество транспортированного сухого вещества до антезиса, скорость транспорта и доля вклада в зерно сначала увеличивались, а затем уменьшались с увеличением густоты, и количество накопленного сухого вещества после антезиса и доля вклада в зерно после антезиса были самыми высокими на уровне D3, и закон между двумя годами был одинаковым. Это указывает на то, что подходящая густота посева была beneficial для увеличения накопления сухого вещества после антезиса и доли вклада в зерно после антезиса, и затем для увеличения урожайности зерна. Доля вклада до антезиса составляла 22,37~49,22%, а доля вклада после антезиса составляла 52,50~79,26%. Накопление после антезиса и доля вклада в зерно N3 D3 были самыми высокими среди других обработок, и проявление было одинаковым между годами (Рисунок 4). Результаты показывают, что подходящая комбинация азота и густоты может улучшить эффективность накопления и транспорта сухого вещества после антезиса, способствовать передаче сухого вещества, накопленного в вегетативных органах, в зерновки и, таким образом, увеличить урожай.
Рисунок 3. Накопление по органам пшеницы при разной густоте и уровнях азотной подкормки. Примечание: N1, N2, N3 и N4 составляли 37,8, 43,2, 48,6 и 54 кг N/га соответственно. D1, D2 и D3 представляют густоту растений 180, 240 и 300 × 10⁴ растений/га соответственно. Разные строчные буквы на рисунке указывают на то, что тест LSD был значительно различен на уровне вероятности 0,05.
Рисунок 4. Доля вклада в зерно пшеницы при разной густоте и уровнях азотной подкормки. Примечание: N1, N2, N3 и N4 составляли 37,8, 43,2, 48,6 и 54 кг N/га соответственно. D1, D2 и D3 представляют густоту растений 180, 240 и 300 × 10⁴ растений/га соответственно. Разные строчные буквы на рисунке указывают на то, что тест LSD был значительно различен на уровне вероятности 0,05.
3.5. Влияние количества азотной подкормки и густоты на распределение сухого вещества пшеницы на стадии созревания
Азотная подкормка и густота оказали значительное влияние на накопление сухого вещества в листьях, сухого вещества в стеблях-влагалищах, сухого вещества в стержне колоса + колосковых чешуях и сухого вещества в семенах в разные годы (Рисунок 5). Были значительные эффекты азота и густоты посева на накопление сухого вещества в листе, стебле-влагалище, стержне колоса + колосковых чешуях и зерне в разные годы. Накопление сухого вещества и доля распределения во всех органах при созревании в оба года была в порядке зерновка > стебель-влагалище > стержень колоса + колосковые чешуи > лист. При одинаковой густоте накопление сухого вещества в листьях и зерновках в целом увеличивалось, а затем уменьшалось с уменьшением азота. Оба имели наибольшее накопление сухого вещества в зерновках на уровне N3, и закономерность была одинаковой в различные годы. При одном и том же уровне внесения N, распределение сухого вещества листьев, стеблей-влагалищ и зерновок в целом увеличивалось с увеличением густоты, и все показали наибольшее накопление сухого вещества в зерновках на уровне D3, с одинаковой закономерностью в различные годы. Среди них количество сухого вещества, распределенного в зерновки, было больше при обработке N3D3, и закономерность показала одинаковость между годами. Это указывает на то, что оптимальная комбинация азота и густоты способствует снижению преждевременного старения питательных органов, увеличению доли накопления сухого вещества в зерне, thus увеличивая урожайность зерна пшеницы.
Рисунок 5. Распределение сухого вещества пшеницы на стадии созревания при разной густоте и уровнях азотной подкормки. Примечание: N1, N2, N3 и N4 составляли 37,8, 43,2, 48,6 и 54 кг N/га соответственно. D1, D2 и D3 представляют густоту растений 180, 240 и 300 × 10⁴ растений/га соответственно. Число на рисунке представляет собой процент накопления сухого вещества в каждом органе.
3.6. Влияние количества азотной подкормки и густоты на урожайность пшеницы и компоненты урожая
Количество азотной подкормки и густота посева значительно повлияли на число колосьев и урожайность, и их взаимные эффекты были значительными только в урожайности (Таблица 4). При одинаковой густоте число колосьев пшеницы значительно уменьшалось с уменьшением N, тогда как число зерен и масса 1000 зерен сначала увеличивались, а затем уменьшались. При D1 урожайность уменьшалась с уменьшением N. В группах обработок D2 и D3 урожайность увеличивалась, а затем уменьшалась, и обе были самыми высокими при обработке N3. При одном и том же уровне внесения азота число колосьев, масса 1000 зерен и урожайность значительно увеличивались с увеличением густоты, и самая высокая урожайность была получена на уровне D3. Таким образом, оптимальное внесение азота и густота посева улучшили урожай зерна за счет гармонизации числа колосьев пшеницы, числа колосьев и массы 1000 зерен, с самой высокой урожайностью при N3D3.
Таблица 4. Урожайность пшеницы и компоненты урожая при разной густоте и уровнях азотной подкормки.
3.7. Влияние азотной подкормки и густоты посева на накопление азота в питательных органах и зернах на стадиях цветения и созревания пшеницы
Количество азотной подкормки, густота посева и их взаимодействие оказали чрезвычайно значительные эффекты на накопление азота в вегетативных органах и зернах в разные годы, на стадии цветения пшеницы и зрелой стадии (Таблица 5). При одинаковой густоте и уменьшении нормы внесения азота накопление азота уменьшалось в растениях пшеницы и зернах на стадиях цветения и созревания, и различия между N1 и N4 были значительными. При одном и том же уровне азотной подкормки и увеличенной густоте посева накопление азота значительно увеличивалось в растениях на стадии цветения и в вегетативных органах и зернах на стадии созревания, и различия между D1 и D3 были значительными. Накопление азота у пшеницы N4D3 на стадии цветения и созревания было значительно выше, чем у других обработок. Это показывает, что увеличение нормы внесения азота и густоты посева может способствовать накоплению азота в пшенице в условиях данного эксперимента.
Таблица 5. Накопление азота на стадии цветения и созревания пшеницы при разной густоте и уровнях азотной подкормки.
3.8. Влияние азотной подкормки и густоты посева на эффективность использования азотных удобрений
Количество азотной подкормки, густота посева и их взаимодействие оказали значительные эффекты на индекс Harvest азота, индекс Harvest азота, продуктивность азота и эффективность использования азота пшеницы в разные годы (Таблица 6). При одинаковой густоте продуктивность азотных удобрений и коэффициент использования азотных удобрений уменьшались, при этом количество азотной подкормки значительно уменьшалось при D1, увеличивалось сначала, затем уменьшалось при D2 и D3, и достигало пика при N3. При одном и том же уровне азотной подкормки, с увеличением густоты, продуктивность азотных удобрений и коэффициент использования азотных удобрений значительно увеличивались. Таким образом, эффективность использования азотных удобрений и продуктивность азотных удобрений были высокими, когда количество азотной подкормки составляло 48,0 кг N/га и густота посева составляла 300 × 10⁴ растений/га.
Таблица 6. Агрономическая эффективность азота пшеницы при разной густоте и уровнях азотной подкормки.
3.9. Влияние азотной подкормки и густоты на белок, сырую клейковину и число седиментации зерновок пшеницы
Количество азотной подкормки и густота посева оказали значительное влияние на сырую клейковину и содержание белка пшеницы в разные годы. При одном и том же уровне густоты сырая клейковина и белок зерна пшеницы значительно снижались с уменьшением количества азотной подкормки (Таблица 7), что было следующим: N4 > N3 > N2 > N1. И закон был одинаковым между годами (Рисунок 6). По сравнению с N4, N3 и N1, содержание сырой клейковины и белка в пшенице значительно снижалось, и закономерность между годами была одинаковой. При одном и том же уровне азотной подкормки содержание сырой клейковины и белка в зернах пшеницы уменьшалось с увеличением густоты, и закономерность между годами была одинаковой, что проявлялось как D1 > D2 > D3. По сравнению с D1 и D2, содержание сырой клейковины и белка в пшенице значительно снижалось, и закономерность между годами была одинаковой. Уменьшение азотной подкормки и увеличение густоты посева значительно снизили значение седиментации и содержание белка (Рисунок 6).
Рисунок 6. Связь между разной густотой и количествами азотной подкормки и урожайностью пшеницы.
Таблица 7. Качественные признаки зерна пшеницы при разной густоте и уровнях азотной подкормки.
3.10. Корреляционный анализ
Урожайность была значительно положительно коррелирована с числом колосьев, коэффициентом продуктивной кустистости, LAI и накоплением сухого вещества после антезиса, и значительно положительно коррелирована с коэффициентом продуктивной кустистости (Рисунок 7). Существовала значительная положительная корреляция между числом колосьев и коэффициентом продуктивной кустистости. Эти находки указывают на то, что структуру ценоза пшеницы можно улучшить, регулируя число колосьев, thereby способствуя формированию колосьев, и координируя конкуренцию среди ценозов для увеличения LAI и накопления сухого вещества после антезиса, thereby увеличивая урожайность зерна.
Рисунок 7. Корреляционный анализ урожайности и связанных с урожайностью показателей при разной густоте и уровнях азотной подкормки. Примечание: : p < 0,05; : p < 0,01.
4. Обсуждение
Качество ценоза пшеницы является показателем основных характеристик ценоза пшеницы, и оптимальное внесение азота может регулировать структурные характеристики ценоза пшеницы, способствовать синергетическому улучшению урожайности и трех элементов, и затем увеличивать урожай семян [23]. Мягкая пшеница способствовала кущению пшеницы и увеличивала коэффициент продуктивной кустистости при подходящих комбинациях азота и густоты [24]. Это исследование показывает, что снижение азота значительно уменьшило число побегов пшеницы, в то время как густота значительно увеличила число побегов пшеницы, и коэффициент продуктивной кустистости за два года был самым высоким при обработке густотой посева 300 × 10⁴ растений/га и азотной подкормкой 48,6 кг N/га. Это показывает, что комбинация оптимального количества азотной подкормки и густоты посева благоприятна для поддержания хорошего количества ценоза, что очень важно для колошения пшеницы. Фотосинтез является основным источником урожайности зерна пшеницы, составляя 90–95%. Эффект фотосинтеза тесно связан с фотосинтетической площадью растения, скоростью фотосинтеза и временем фотосинтеза [25]. При одном и том же уровне внесения азота оптимальное увеличение густоты посева улучшило скорость транспирации и содержание хлорофилла [26]. Внесение азотных удобрений на стадии кущения увеличивало содержание хлорофилла пшеницы, функциональный период листьев, накопление фотосинтата и урожайность зерна [27]. Уровень LAI влиял на урожайность пшеницы, что является важным показателем для урожайности сельскохозяйственных культур [28]. Результаты этого исследования показывают, что от антезиса до 35 дней после колошения снижение азота значительно снизило значение SPAD и LAI флаговых листьев пшеницы, а густота значительно увеличила значение SPAD и LAI флаговых листьев пшеницы. Кроме того, было обнаружено, что увеличение густоты посева оказывало более значительное влияние на значение SPAD и LAI, чем снижение азотной подкормки, и эффект взаимодействия между ними был значительным. Видно, что хотя снижение азота приведет к снижению значения SPAD и LAI пшеницы, увеличение густоты компенсирует снижение значения SPAD и LAI, вызванное снижением азота. Поэтому это объясняет, почему мягкая пшеница может поддерживать стабильную урожайность, потому что взаимодействие между азотными удобрениями и густотой посева может комплексно регулировать структуру ценоза и фотосинтетическую способность. На ранней стадии роста пшеницы комбинация appropriate азотных удобрений и разумной густоты может способствовать раннему росту и быстрому развитию побегов пшеницы, увеличить число побегов, способствовать здоровому росту побегов, оптимизировать структуру ценоза, заложить хорошую основу ценоза, а затем повысить фотосинтетическую эффективность ценоза пшеницы, и заложить прочную основу для стабильной урожайности мягкой пшеницы.
Стадия цветения является ключевым периодом накопления и транспорта сухого вещества в вегетативных органах [29]. Рациональное внесение азотных удобрений увеличивало накопление сухого вещества в различных вегетативных органах пшеницы и улучшало скорость его транспорта в зерно [30]. Накопление и транспорт сухого вещества оказывали большее влияние на урожайность пшеницы, причем сухое вещество после антезиса вносило больший вклад в урожайность зерна [31]. Вклад до антезиса был меньше, чем вклад после антезиса в этом исследовании, что согласуется с предыдущими выводами [31]. Это исследование показывает, что когда густота посева составляла 300 × 10⁴ растений/га и количество азотной подкормки составляло 48,6 кг N/га, накопление в зерне и распределение сухого вещества после антезиса были больше. Взаимодействие appropriate азотной подкормки и густоты посева значительно увеличило накопление сухого вещества после антезиса и его долю вклада в зерно и снизило долю вклада транспорта ассимилятов до антезиса в зерно. Причиной большого накопления в зерне после антезиса является то, что разумное количество азотной подкормки обеспечивает сырье для фотосинтеза листьев и обеспечивает непрерывный синтез фотосинтетических продуктов после антезиса. Подходящая густота посева оптимизирует структуру ценоза и улучшает фотосинтетическую эффективность. В то же время взаимодействие между ними может синергетически усиливать силу стока зернового пула, способствовать передаче запасных веществ из вегетативных органов в зерновки и, наконец, способствовать значительному увеличению накопления сухого вещества после антезиса пшеницы, закладывая основу для высокой урожайности. То есть, меньшее накопление в листьях связано с тем, что питательные вещества в листьях транспортируются к другим органам, особенно к зерновкам.
Накопление азота в зерновках пшеницы значительно увеличивалось с увеличением внесения азота от 0 до 180 кг N/га [32]. В определенных пределах увеличение густоты посева уменьшало накопление азота в растениях пшеницы [33]. В этом исследовании накопление азота на стадии цветения, растения на стадии созревания и зрелые семена уменьшались с уменьшением внесения азота. Это можно объяснить уменьшением накопления азота из-за сокращения внесения азота, что снизило транспортировку азота, накопленного до цветения, к семенам. Содержание азота в растениях на стадии цветения и в питательных органах и семенах на стадии созревания значительно увеличивалось с увеличением густоты, и оптимальная густота способствовала транспортировке подкормленного азотного удобрения из питательных органов в семена; поэтому накопление азота поддерживалось на высоком уровне. Повышение эффективности использования азотных удобрений пшеницы является одним из основных способов достижения высокой урожайности. Меры возделывания тесно связаны с поглощением питательных веществ и эффективностью использования азотных удобрений [34]. Внесение оптимального количества азота beneficial для одновременного повышения урожайности и эффективности использования азотных удобрений. Увеличение густоты посева улучшило плотность длины корней в почве и способствовало поглощению азота и, таким образом, улучшило коэффициент использования азота в пшенице [35]. Это исследование показывает, что снижение количества азотной подкормки значительно снизило продуктивность азота, эффективность использования азота и накопление азота, а увеличение густоты значительно увеличило продуктивность азота, эффективность использования азота и накопление азота. Кроме того, это исследование показало, что норма внесения азота и густота посева оказывали значительный эффект взаимодействия на NAE, и эффект густоты на NAE был больше, чем эффект азотной подкормки. Количество удобренного азота и накопление азота, поглощенное при густоте 180 × 10⁴ растений/га, было значительно ниже, чем при густоте 300 × 10⁴ растений/га, что указывает на то, что густота посева 300 × 10⁴ растений/га могла лучше регулировать взаимоотношения в ценозе, способствовать лучшему поглощению и использованию азота растениями и поддерживать урожайность пшеницы. Когда густота посева составляла 300 × 10⁴ растений/га и норма азотной подкормки составляла 48,6 кг N/га, продуктивность азотных удобрений и эффективность использования азота пшеницы были самыми высокими. Это показывает, что увеличение густоты посева может улучшить способность поглощения азота до некоторой степени компенсировать уменьшение накопления азота в пшенице, вызванное уменьшением нормы внесения азота, и может увеличить зернопродуктивность пшеницы. Видно, что комбинация подходящего количества азотной подкормки и густоты посева является благоприятной мерой возделывания для получения более высокого NAE у мягкой пшеницы.
Внесение азота увеличивало число колосьев, число зерен в колосе и массу 1000 зерен у пшеницы [36]. Увеличение густоты посева значительно увеличивало число колосьев и урожайность, но уменьшало число зерен в пшенице [37]. Это исследование показывает, что при густоте 180 × 10⁴ растений/га урожайность зерна и число колосьев пшеницы значительно снижались после уменьшения количества азотной подкормки. Когда количество азотной подкормки уменьшалось с 54 кг·га⁻² до 48,6 кг N/га при густоте посева 270~300 × 10⁴ растений/га, урожайность зерна увеличивалась. Это может быть связано с тем, что три элемента состава урожая более скоординированы, и освещение на поздней стадии роста пшеницы является достаточным для стимулирования фотосинтеза, thereby увеличивая урожайность зерна. Когда количество подкормки азотом уменьшалось до 37,8 кг N/га, урожайность зерна значительно снижалась, вероятно, потому, что сокращение подкормки азотными удобрениями повлияло на кущение растений и уменьшило число колосьев. Урожайность зерна при обработке густотой посева 300 × 10⁴ растений/га и азотной подкормкой 48,6 кг N/га была значительно выше, чем при обработке густотой посева 180 × 10⁴ растений/га и азотной подкормкой 48,6 кг N/га. Причина в том, что соответствующее уменьшение количества азотной подкормки может увеличить число продуктивных побегов растений за счет увеличения густоты посева, увеличивая коэффициент продуктивной кустистости, и затем увеличивая урожайность зерна. Анализ корреляции урожайности подтвердил, почему мягкая пшеница могла поддерживать стабильную урожайность (Рисунок 7). То есть, взаимодействие азота и густоты регулирует число колосьев для оптимизации структуры ценоза, чтобы способствовать колошению пшеницы, координировать групповую конкуренцию, увеличивать индекс листовой поверхности и накопление сухого вещества после антезиса, обеспечивать достаточный материал для налива зерна и эффективно способствовать урожайности зерна. Это ключевая агротехническая мера для обеспечения высокой урожайности пшеницы. В производстве мягкой пшеницы снижение внесения азота и увеличение густоты посева снижали качество зерна пшеницы [38]. В этом исследовании, согласно национальному стандарту содержания мягкой пшеницы, содержание белка < 12,5% и содержание сырой клейковины < 26% являются стандартами высококачественной мягкой пшеницы. На уровне 300 × 10⁴ растений/га количество азотной подкормки не превышало 48,6 кг N/га, и все показатели достигли стандарта содержания мягкой пшеницы. Когда густота посева составляла 300 × 10⁴ растений/га и количество азотной подкормки составляло 48,6 кг N/га, стандартное содержание мягкой пшеницы было достигнуто. Поэтому комбинация снижения азота и увеличения густоты является важным способом возделывания для улучшения технологического качества мягкой пшеницы.
5. Выводы
Снижение количества азотной подкормки улучшило качество зерна мягкой пшеницы, но уменьшило количество ценоза, накопление сухого вещества и накопление азота, что привело к значительной потере урожайности зерна. Увеличение густоты значительно увеличило накопление сухого вещества, накопление азота, урожайность и продуктивность азотных удобрений в условиях снижения азотной подкормки за счет увеличения числа продуктивных колосьев, thereby улучшая качество зерна. Кроме того, снижение азотной подкормки и увеличение густоты посева может снизить содержание белка и содержание сырой клейковины, и снижение азотной подкормки оказывает более значительное влияние на содержание белка, чем увеличение густоты посева. При густоте посева 300 × 10⁴ растений/га⁻² количество подкормки азотом составляло 48,6 кг N/га (количество основного азотного удобрения составляло 126 кг N/га), что позволяло получить квалифицированное качество зерна мягкой пшеницы и поддерживать наилучшую урожайность в этом регионе. Поэтому в условиях сокращения внесения азотных удобрений возможно поддерживать высокое качество и стабильную урожайность мягкой пшеницы и эффективное использование азотных удобрений за счет увеличения густоты посева.
References
1. Lu, Y.; Jenkins, A.; Ferrier, R.C.; Bailey, M.; Gordon, I.J.; Song, S.; Huang, J.; Jia, S.; Zhang, F.; Liu, X. Addressing China’s grand challenge of achieving food security while ensuring environmental sustainability. Sci. Adv. 2015, 1, e1400039. [Google Scholar] [CrossRef] [PubMed]
2. Ashraf, M. Stress-induced changes in wheat grain composition and quality. Crit. Rev. Food Sci. Nutr. 2014, 54, 1576–1583. [Google Scholar] [CrossRef] [PubMed]
3. De Santis, M.A.; Giuliani, M.M.; Flagella, Z.; Reyneri, A.; Blandino, M. Impact of nitrogen fertilisation strategies on the protein content, gluten composition and rheological properties of wheat for biscuit production. Field Crops Res. 2020, 254, 107829. [Google Scholar] [CrossRef]
4. Ghafoor, I.; Habib-ur-Rahman, M.; Ali, M.; Afzal, M.; Ahmed, W.; Gaiser, T.; Ghaffar, A. Slow-release nitrogen fertilizers enhance growth, yield, NUE in wheat crop and reduce nitrogen losses under an arid environment. Environ. Sci. Pollut. Res. 2021, 28, 43528–43543. [Google Scholar] [CrossRef]
5. Si, Z.; Qin, A.; Liang, Y.; Duan, A.; Gao, Y. A review on regulation of irrigation management on wheat physiology, grain yield, and quality. Plants 2023, 12, 692. [Google Scholar] [CrossRef]
6. Wan, C.; Dang, P.; Gao, L.; Wang, J.; Tao, J.; Qin, X.; Feng, B.; Gao, J. How does the environment affect wheat yield and protein content response to drought? A meta-analysis. Front. Plant Sci. 2022, 13, 896985. [Google Scholar] [CrossRef]
7. Wang, J.; Hussain, S.; Sun, X.; Zhang, P.; Javed, T.; Dessoky, E.S.; Ren, X.; Chen, X. Effects of nitrogen application rate under straw incorporation on photosynthesis, productivity and nitrogen use efficiency in winter wheat. Front. Plant Sci. 2022, 13, 862088. [Google Scholar] [CrossRef]
8. Wardlaw, I.; Sofield, I.; Cartwright, P. Factors limiting the rate of dry matter accumulation in the grain of wheat grown at high temperature. Funct. Plant Biol. 1980, 7, 387–400. [Google Scholar] [CrossRef]
9. Gültekin Subaşı, B.; Vahapoğlu, B.; Capanoglu, E.; Mohammadifar, M. A review on protein extracts from sunflower cake: Techno-functional properties and promising modification methods. J. Cereal Sci. 2022, 62, 6682–6697. [Google Scholar] [CrossRef]
10. Huang, X.; Wang, C.; Hou, J.; Du, C.; Liu, S.; Kang, J.; Lu, H.; Xie, Y.; Guo, T.; Ma, D. Coordination of carbon and nitrogen accumulation and translocation of winter wheat plant to improve grain yield and processing quality. Sci. Rep. 2020, 10, 10340. [Google Scholar] [CrossRef]
11. Kant, S.; Bi, Y.M.; Rothstein, S.J. Understanding plant response to nitrogen limitation for the improvement of crop nitrogen use efficiency. J. Exp. Bot. 2011, 62, 1499–1509. [Google Scholar] [CrossRef] [PubMed]
12. Koua, A.P.; Siddiqui, M.N.; Heß, K.; Klag, N.; Kambona, C.M.; Duarte-Delgado, D.; Oyiga, B.C.; Léon, J.; Ballvora, A. Genome-wide dissection and haplotype analysis identified candidate loci for nitrogen use efficiency under drought conditions in winter wheat. Plant Genome 2024, 17, e20394. [Google Scholar] [CrossRef] [PubMed]
13. Li, X.X.; Shi, Z.L.; Wang, J.-C.; Wang, F.; Jiang, R.F. Economical nitrogen application rate of winter wheat under rice-wheat rotation in the Yangtze River basin of China. J. Appl. Ecol. 2020, 31, 3015–3022. [Google Scholar]
14. Li, Y.; Cui, Z.; Ni, Y.; Zheng, M.; Yang, D.; Jin, M.; Chen, J.; Wang, Z.; Yin, Y. Plant density effect on grain number and weight of two winter wheat cultivars at different spikelet and grain positions. PLoS ONE 2016, 11, e0155351. [Google Scholar] [CrossRef]
15. Liu, Q.; Wu, K.; Song, W.; Zhong, N.; Wu, Y.; Fu, X. Improving crop nitrogen use efficiency toward sustainable green revolution. Annu. Rev. Plant Biol. 2022, 73, 523–551. [Google Scholar] [CrossRef]
16. Conant, R.T.; Berdanier, A.B.; Grace, P.R. Patterns and trends in nitrogen use and nitrogen recovery efficiency in world agriculture. Glob. Biogeochem. Cycles 2013, 27, 558–566. [Google Scholar] [CrossRef]
17. Hawkesford, M.J. Reducing the reliance on nitrogen fertilizer for wheat production. J. Cereal Sci. 2014, 59, 276–283. [Google Scholar] [CrossRef]
18. Zhang, Z.; Yu, Z.; Zhang, Y.; Shi, Y. Optimized nitrogen fertilizer application strategies under supplementary irrigation improved winter wheat (Triticum aestivum L.) yield and grain protein yield. PeerJ 2021, 9, e11467. [Google Scholar] [CrossRef]
19. Arduini, I.; Masoni, A.; Ercoli, L.; Mariotti, M. Grain yield, and dry matter and nitrogen accumulation and remobilization in durum wheat as affected by variety and seeding rate. Eur. J. Agron. 2006, 25, 309–318. [Google Scholar] [CrossRef]
20. Rogers, C.W.; Dari, B.; Schroeder, K.L. Comparison of Soil-Test Extractants for Potassium, Calcium, Magnesium, Sulfur, and Micronutrients in Idaho Soils. Agrosystems Geosci. Environ. 2019, 2, 1–9. [Google Scholar] [CrossRef]
21. Wang, H.; Guo, Z.; Shi, Y.; Zhang, Y.; Yu, Z. Impact of tillage practices on nitrogen accumulation and translocation in wheat and soil nitrate-nitrogen leaching in drylands. Soil Till. Res. 2015, 153, 20–27. [Google Scholar] [CrossRef]
22. Hu, C.; Tian, Z.; Gu, S.; Guo, H.; Fan, Y.; Abid, M.; Chen, K.; Jiang, D.; Cao, W.; Dai, T. Winter and spring night-warming improve root extension and soil nitrogen supply to increase nitrogen uptake and utilization of winter wheat (Triticum aestivum L.). Eur. J. Agron. 2018, 96, 96–107. [Google Scholar] [CrossRef]
23. Kaur, R.; Kaur, H.; Srivastava, P. Role of tryptophan content in determining gluten quality and wheat grain characteristics. Heliyon 2022, 8, e10715. [Google Scholar] [CrossRef]
24. Noor, H.; Noor, F.; Liang, L.T.; Ding, P.; Sun, M.; Gao, Z. Nitrogen fertilization and precipitation affected Wheat (Triticum aestivum L.) in dryland the Loess Plateau of South Shanxi, China. Heliyon 2023, 9, e18177. [Google Scholar] [CrossRef]
25. Kubar, M.S.; Alshallash, K.S.; Asghar, M.A.; Feng, M.; Raza, A.; Wang, C.; Saleem, K.; Ullah, A.; Yang, W.; Kubar, K. Improving winter wheat photosynthesis, nitrogen use efficiency, and yield by optimizing nitrogen fertilization. Life 2022, 12, 1478. [Google Scholar] [CrossRef]
26. Kubar, M.S.; Zhang, Q.; Feng, M.; Wang, C.; Yang, W.; Kubar, K.A.; Riaz, S.; Gul, H.; Samoon, H.A.; Sun, H. Growth, yield and photosynthetic performance of winter wheat as affected by co-application of nitrogen fertilizer and organic manures. Life 2022, 12, 1000. [Google Scholar] [CrossRef]
27. Ma, C.; Liu, M.; Ding, F.; Li, C.; Cui, Y.; Chen, W.; Wang, Y. Wheat growth monitoring and yield estimation based on remote sensing data assimilation into the SAFY crop growth model. Sci. Rep. 2022, 12, 5473. [Google Scholar] [CrossRef]
28. Ghafoor, I.; Rahman, M.H.U.; Hasnain, M.U.; Ikram, R.M.; Khan, M.A.; Iqbal, R.; Hussain, M.I.; Sabagh, A.E. Effect of slow-release nitrogenous fertilizers on dry matter accumulation, grain nutritional quality, water productivity and wheat yield under an arid environment. Sci. Rep. 2022, 12, 14783. [Google Scholar] [CrossRef]
29. Chen, W.; Deng, X.-P.; Eneji, A.E.; Wang, L.L.; Xu, Y.; Cheng, Y. Dry-matter partitioning across parts of the wheat internode during the grain filling period as influenced by fertilizer and tillage treatments. Commun. Soil Sci. Plant Anal. 2014, 45, 1799–1812. [Google Scholar] [CrossRef]
30. Li, J.; Wang, Z.; Song, Y.; Li, J.; Zhang, Y. Effects of reducing nitrogen application rate under different irrigation methods on grain yield, water and nitrogen utilization in winter wheat. Agronomy 2022, 12, 1835. [Google Scholar] [CrossRef]
31. Zheng, B.; Zhang, X.; Wang, Q.; Li, W.; Huang, M.; Zhou, Q.; Cai, J.; Wang, X.; Cao, W.; Dai, T. Increasing plant density improves grain yield, protein quality and nitrogen agronomic efficiency of soft wheat cultivars with reduced nitrogen rate. Field Crops Res. 2021, 267, 108145. [Google Scholar] [CrossRef]
32. Yang, D.; Cai, T.; Luo, Y.; Wang, Z. Optimizing plant density and nitrogen application to manipulate tiller growth and increase grain yield and nitrogen-use efficiency in winter wheat. PeerJ 2019, 7, e6484. [Google Scholar] [CrossRef] [PubMed]
33. Li, J.; Xu, X.; Lin, G.; Wang, Y.; Liu, Y.; Zhang, M.; Zhou, J.; Wang, Z.; Zhang, Y. Micro-irrigation improves grain yield and resource use efficiency by co-locating the roots and N-fertilizer distribution of winter wheat in the North China Plain. Sci. Total Environ. 2018, 643, 367–377. [Google Scholar] [CrossRef] [PubMed]
34. Ding, Y.G.; Zhang, X.B.; Quan, M.; Li, F.J.; Tao, R.-R.; Min, Z.; Li, C.Y.; Zhu, X.K.; Guo, W.S.; Ding, J.F. Tiller fertility is critical for improving grain yield, photosynthesis, and nitrogen efficiency in wheat. J. Integr. Agric. 2023, 22, 2054–2066. [Google Scholar] [CrossRef]
35. Fuertes-Mendizábal, T.; Estavillo, J.M.; Duñabeitia, M.K.; Huérfano, X.; Castellón, A.; González-Murua, C.; Aizpurua, A.; González-Moro, M.B. 15N natural abundance evidences a better use of N sources by late nitrogen application in bread wheat. Front. Plant Sci. 2018, 9, 853. [Google Scholar] [CrossRef]
36. Demotes-Mainard, S.; Jeuffroy, M.H. Effects of nitrogen and radiation on dry matter and nitrogen accumulation in the spike of winter wheat. Field Crops Res. 2004, 87, 221–233. [Google Scholar] [CrossRef]
37. Ullah, I.; Ali, N.; Durrani, S.; Shabaz, M.A.; Hafeez, A.; Ameer, H.; Ishfaq, M.; Fayyaz, M.R.; Rehman, A.; Waheed, A. Effect of different nitrogen levels on growth, yield and yield contributing attributes of wheat. Int. J. Sci. Eng. Res. 2018, 9, 595–602. [Google Scholar]
38. Wu, H.; Wang, Z.; Zhang, X.; Wang, J.; Hu, W.; Wang, H.; Gao, D.; Souza, E.; Cheng, S. Effects of different fertilizer treatments, environment and varieties on the yield, grain, flour, and dough-related traits and cookie quality of weak-gluten wheat. Plants 2022, 11, 3370. [Google Scholar] [CrossRef]
Zhou W, Yan S, Rehman A, Li H, Zhang S, Yong Y, Liu Y, Xiao L, Zheng C, Li W. Increasing Planting Density with Reduced Topdressing Nitrogen Inputs Increased Nitrogen Use Efficiency and Improved Grain Quality While Maintaining Yields in Weak-Gluten Wheat. Agriculture. 2025; 15(1):13. https://doi.org/10.3390/agriculture15010013
Перевод статьи «Increasing Planting Density with Reduced Topdressing Nitrogen Inputs Increased Nitrogen Use Efficiency and Improved Grain Quality While Maintaining Yields in Weak-Gluten Wheat» авторов Zhou W, Yan S, Rehman A, Li H, Zhang S, Yong Y, Liu Y, Xiao L, Zheng C, Li W., оригинал доступен по ссылке. Лицензия: CC BY. Изменения: переведено на русский язык




















Комментарии (0)