Факторы «зеленого» роста производительности в сельском хозяйстве Китая: конфигурационный анализ на основе динамического метода fsQCA
Сельскохозяйственное производство сталкивается с двойной задачей: увеличения объема выпуска продукции при одновременном обеспечении эффективного использования ресурсов и экологической устойчивости на фоне усугубляющегося глобального изменения климата и неуклонного роста потребностей человечества. В данном исследовании для решения этих проблем использовались панельные данные по провинциям Китая за период с 2001 по 2022 год. Систематически оценивалась динамическая эволюция общей зеленой факторной производительности сельского хозяйства (ОЗФПСХ) путем выбора «ресурсов» и «энергии» в качестве ключевых факторов ввода и принятия подхода двойного выпуска, ориентированного на «экономические» и «низкоуглеродные» результаты.
Аннотация
В исследовании всесторонне анализируются синергетические механизмы таких факторов, как природные условия, сельскохозяйственные технологии, экономическое развитие и экологическое регулирование, а также изучается их влияние на повышение ОЗФПСХ с помощью инновационного применения метода динамического качественного сравнительного анализа нечетких множеств (dynamic fsQCA). По всему Китаю наблюдалась значительная восходящая тенденция в динамике ОЗФПСХ, что указывает на заметный прогресс в развитии экологически ориентированного сельского хозяйства. Кроме того, были идентифицированы три пути, способствующие повышению ОЗФПСХ: движимый ресурсами и экономикой, направляемый технологиями и политикой, и многофакторная синергия. Одновременно были выявлены два режима, сдерживающих рост ОЗФПСХ: подавление со стороны экономики и политики и подавление из-за человеческого капитала и экономики, что подчеркивает ключевую роль регионального экономического развития и обусловленность преобразования преимуществ природных ресурсов. Более того, вклад этих путей в ОЗФПСХ проявлял заметную временную динамику. Крупные экономические события, такие как финансовый кризис 2008 года, и изменения в политике, включая стратегию «Экологической цивилизации» 2012 года, существенно изменили эффективность существующих конфигураций. Наш анализ региональной неоднородности выявил distinct географические модели: модель, движимая ресурсами и экономикой, преобладала в центральных регионах, а модели, направляемые технологиями и политикой, и многофакторной синергии были более распространены в центральных и восточных регионах. Эти выводы подчеркивают важность разработки дифференцированной политики, адаптированной к конкретным потребностям и стадиям развития разных регионов. В частности, усиление синергии между управлением ресурсами и экономическим развитием, оптимизация интеграции технологий и политики, а также содействие скоординированному многосекторальному развитию имеют критическое значение для продвижения устойчивых сельскохозяйственных практик. Данное исследование предоставляет crucial эмпирические доказательства для формирования целенаправленной политики, способной стимулировать развитие зеленого сельского хозяйства в различных региональных контекстах.
1. Введение
Сельское хозяйство имеет первостепенное значение, поскольку оно является краеугольным камнем национального экономического роста и основой продовольственной безопасности [ 1 , 2 , 3 ]. В последние десятилетия сельскохозяйственный сектор Китая пережил необычайный рост [ 4 ]. Валовая продукция сельского хозяйства увеличилась со 111,75 млрд юаней в 1978 году до 8,44 трлн юаней в 2022 году, в то время как урожайность зерна с гектара выросла с 2527,34 кг до 5801,7 кг [ 5 ]. Этот прогресс был обусловлен устойчивыми вложениями, в частности ростом использования удобрений на 45,25%, увеличением пестицидов на 41,23% и ростом сельскохозяйственной пленки на 93,21% с 2000 года, наряду с удвоением общей мощности сельскохозяйственной техники [ 6 , 7 ]. Что еще более важно, вклад технологических достижений, институциональных изменений, перетоков знаний и управленческих инноваций выходит за рамки ощутимых факторных вложений. Эти факторы, вместе называемые совокупной производительностью факторов сельского хозяйства (СПФП), усилили сельскохозяйственное развитие, достигнув вдвое больших результатов при вдвое меньших усилиях [ 8 ]. Однако этот прогресс сопровождается значительными проблемами. Постоянная зависимость от интенсивных вложений ресурсов подвергла китайское сельское хозяйство двойной проблеме ограниченности ресурсов и ухудшения состояния окружающей среды. Широкое применение современных сельскохозяйственных химикатов подчеркнуло «высокоуглеродный» характер сельскохозяйственной деятельности [ 9 , 10 ], усиливая давление на окружающую среду [ 11 , 12 ] и угрожая «двойным углеродным» целям Китая [ 13 ]. Ресурсоемкий и экологически затратный характер сельскохозяйственного производства в настоящее время создает критические проблемы для устойчивого развития [ 14 , 15 ]. Китайское правительство отреагировало интеграцией принципов зеленого развития в сельскохозяйственные стратегии и выпуском политики, способствующей устойчивым практикам. В «14-м пятилетнем плане (2021–2025 гг.) по развитию экологически чистого сельского хозяйства» был обозначен переход от «количественного расширения» к «качественному улучшению», с акцентом на экологичные, низкоуглеродные, цикличные и устойчивые методы ведения сельского хозяйства. Такой стратегический сдвиг ознаменовал собой кардинальный переход китайского сельского хозяйства к модели развития, приоритетами которой являются экологическое равновесие, ресурсоэффективность и экологическая устойчивость [ 16 ].
Совокупная зеленая производительность факторов сельского хозяйства (AGTFP) является важнейшей метрикой, интегрирующей экономическую и экологическую эффективность сельскохозяйственного производства. AGTFP измеряет способность максимизировать выпуск при минимизации воздействия на окружающую среду при заданном наборе ресурсов. В отличие от традиционной ATFP, AGTFP обеспечивает более комплексную оценку, включая фундаментальные ресурсы (например, капитал, землю и трудовые ресурсы, а также энергию и экологические факторы). Такой широкий взгляд позволяет более точно оценивать устойчивые методы ведения сельского хозяйства. Предыдущие исследования AGTFP использовали различные подходы. Некоторые ученые рассматривали экологически вредные переменные, такие как выбросы отходов, как ресурсы в своих аналитических рамках [ 17 , 18 ]. В других исследованиях загрязнение воды, деградация почвы, загрязнение воздуха и разрушение ландшафта рассматривались как нежелательные результаты, отражающие негативные внешние эффекты сельскохозяйственной деятельности [ 19 ]. Выбросы углерода в сельском хозяйстве стали жизненно важным компонентом AGTFP с ростом числа низкоуглеродных инициатив. Эти выбросы косвенно измеряют загрязнение сельского хозяйства и являются важнейшим связующим звеном между сельским хозяйством и глобальным управлением климатом [ 20 ]. Контроль выбросов углерода в сельском хозяйстве способствует развитию зеленого сельского хозяйства и вносит вклад в смягчение последствий изменения климата на глобальном уровне [ 21 ].
Кроме того, потенциал связывания углерода сельскохозяйственными культурами, как положительный вклад в сельскохозяйственные экосистемы, должен быть включен для обеспечения целостной оценки зеленой эффективности в сельскохозяйственном производстве. Методологически AGTFP можно оценить с использованием параметрических и непараметрических подходов. Параметрический метод, примером которого является стохастический граничный анализ, эффективен в определенных контекстах, таких как случаи с одним выходом, но требует предварительной спецификации производственной функции и распределения членов неэффективности [ 22 , 23 , 24 ]. Эти предположения могут вносить смещения, особенно при работе с многовходовой и многовыходной природой сельского хозяйства. Напротив, непараметрические методы, такие как анализ охвата данных (DEA), не требуют заранее определенных производственных функций, что делает их более адаптируемыми к сложным взаимосвязям в сельскохозяйственном производстве. Эта гибкость повышает применимость и точность DEA при оценке эффективности зеленого производства [ 25 , 26 , 27 ].
Улучшение AGTFP является критически важным вопросом на стыке сельскохозяйственного экономического роста и экологического управления, обусловленного сложным взаимодействием факторов. Технологические достижения и инновации в сельском хозяйстве широко признаны основными драйверами роста AGTFP [ 28 , 29 , 30 , 31 ]. Повышение уровня механизации сельского хозяйства [ 32 , 33 ], накопление сельского человеческого капитала [ 34 , 35 , 36 ], оптимизация сельских промышленных структур [ 37 , 38 , 39 ], сокращение разрыва в доходах между городом и деревней и улучшение сельскохозяйственной инфраструктуры - все это положительно влияет на AGTFP [ 40 , 41 , 42 ]. Климатические факторы, такие как колебания температуры и изменения в количестве осадков, вносят неопределенность в зеленое сельскохозяйственное производство с потенциально положительными или отрицательными последствиями [ 43 , 44 , 45 ]. Некоторые ученые также предположили, что загрязнение воздуха, одна из экологических проблем, является ключевым фактором, препятствующим росту AGTFP [ 46 , 47 ]. Экологическое регулирование имеет решающее значение для содействия зеленой трансформации сельского хозяйства, хотя его механизмы остаются дискуссионными. Большинство исследований признают сложную, нелинейную связь между экологическим регулированием и AGTFP [ 48 , 49 , 50 ]. Финансовые инструменты, включая сельскохозяйственное налогообложение, кредитование, страхование и цифровую финансовую доступность, также существенно влияют на AGTFP [ 51 , 52 ]. Подводя итог, можно сказать, что на AGTFP влияют природные, технологические, политические и социально-экономические условия [ 53 ]. Текущие исследования фокусируются на чистых эффектах отдельных факторов в линейных рамках и механизмах их передачи, таких как медиация, порог и эффекты умеренности [ 54 ]. Однако этот подход часто упускает из виду синергетические и комбинированные эффекты множества факторов.
В Китае существуют значительные региональные различия в обеспеченности ресурсами и развитии сельского хозяйства, а развитие зелёного сельского хозяйства представляет собой сложный, динамичный процесс, включающий многофакторные комбинации и многоуровневые взаимодействия. Поэтому крайне важно анализировать нелинейные и неаддитивные эффекты многофакторных комбинаций. Этот подход необходим для продвижения AGTFP и достижения зелёной трансформации сельского хозяйства. Для решения этой проблемы мы разработали комплексную исследовательскую модель, включающую множество факторов, влияющих на качество развития сельского хозяйства. В этой модели секвестрация углерода сельскохозяйственными культурами рассматривается как желательный результат, а выбросы углерода сельскохозяйственными культурами – как нежелательный. Мы применили суперэффективную модель SBM (измерение на основе лагов)-DEA, выбранную благодаря её практической применимости, для измерения AGTFP в различных провинциях Китая. Кроме того, мы использовали качественный сравнительный анализ на основе нечётких множеств (fsQCA) для выявления различных комбинаций факторов – или «конфигураций», – которые либо способствовали, либо ограничивали AGTFP. Этот подход открывает новый взгляд на развитие зелёного сельского хозяйства и обеспечивает точную поддержку принятия решений для регионов, ищущих индивидуальные пути для зелёной трансформации.
2. Аналитическая структура и методы обработки данных
2.1. Теоретическая основа
AGTFP измеряет эффективность сельскохозяйственного производства в условиях ограниченных ресурсов, энергии и окружающей среды. Выбор влияющих факторов основан на различиях в обеспеченности ресурсами между провинциями, а отправной точкой является «способность повышать эффективность, сокращать потребление ресурсов и загрязнение окружающей среды». Объединяя соответствующие литературные данные, основные факторы сводятся к четырём измерениям: природная обеспеченность, сельскохозяйственные технологии, экономическое развитие и экологическое регулирование.
Природные богатства являются незаменимой основой для сельскохозяйственного производства, и их уникальность напрямую формирует характеристики и преимущества сельскохозяйственного производства в различных регионах. Обилие природных условий, таких как вода, земля и климат, определяет верхний предел потенциала сельскохозяйственного производства и глубоко влияет на выбор путей повышения эффективности [ 55 , 56 ]. Сельскохозяйственные технологии являются основным двигателем развития зеленого сельского хозяйства. Благодаря постоянным технологическим инновациям и применению, сельскохозяйственные технологии могут значительно сократить потребление ресурсов и загрязнение окружающей среды на единицу продукции и повысить общее качество сельскохозяйственных производителей за счет распространения знаний и повышения квалификации [ 57 , 58 ]. Экономическое развитие является ключевой поддержкой для повышения уровня зеленого сельского хозяйства. Мощная экономическая основа означает, что сельскохозяйственное производство может получить больше средств, технологий и талантов. Инновации в области сельскохозяйственных технологий и научные исследования и разработки (НИОКР) имеют лучшую окружающую среду и условия, способствуя модернизации и зеленой трансформации способа сельскохозяйственного производства. В то же время улучшение экономического развития также стимулирует спрос на экологически чистые сельскохозяйственные продукты в обществе, дополнительно направляя сельскохозяйственное производство в более экологически чистом и устойчивом направлении [ 59 , 60 ]. Экологическое регулирование является важным руководством для продвижения зеленого и устойчивого сельского хозяйства. Строгий государственный надзор может стандартизировать поведение в сельскохозяйственном производстве, стимулировать сельскохозяйственных практиков внедрять более чистые и экологически чистые технологии и методы производства, а также постоянно стремиться к зеленым технологическим инновациям. Конкретные политические стимулы также могут вызывать технологические изменения, стимулировать прогресс зеленых технологий и эффективно компенсировать последствия затрат, вызванных экологическим регулированием, тем самым повышая зеленую эффективность сельского хозяйства [ 61 , 62 ].
Эти четыре фактора не существуют изолированно, а взаимозависимы и взаимно ограничены. Вместе эти факторы составляют сложную систему, способствующую зеленому развитию сельского хозяйства. Природное богатство обеспечивает основные условия для применения технологий, а передовые технологии компенсируют нехватку ресурсов. Экономическое развитие включает поддержку технологических инноваций и прогресса, способствуя быстрому экономическому росту. Экологическое регулирование, как внешнее ограничение, может защитить устойчивое использование природных ресурсов. В то же время, формулирование экологической политики требует учета характеристик природного богатства и реальной ситуации. Экономическое развитие обеспечивает необходимые материальные и технологические ресурсы для экологического регулирования, а экологическое регулирование может дополнительно способствовать преобразованию аграрной экономики в зеленую и низкоуглеродную. Учитывая этот контекст, в данном исследовании была разработана структура анализа конфигурации факторов влияния из четырех элементов ( Рисунок 1 ), направленная на всесторонний и глубокий анализ механизма взаимодействия между различными факторами и их всестороннего влияния на улучшение AGTFP.
Рисунок 1. Четырехэлементная структура анализа конфигурации.
2.2 Выбор индикаторов и источники данных
2.2.1 Выбор индикатора
(1) Переменная результата. В данном исследовании сельское хозяйство рассматривалось в узком смысле, а именно растениеводческая отрасль, в качестве объекта исследования для измерения его валовой валовой продукции (GFP). При выборе входных показателей учитывались ресурсные и энергетические факторы, а при выборе выходных показателей – экономические и низкоуглеродные принципы ( таблица 1 ).
Таблица 1. Система показателей измерения совокупной производительности факторов зеленого сельского хозяйства.
(2) Предшествующие переменные. В этом исследовании использовались индикаторы из четырех аспектов (например, природная обеспеченность, сельскохозяйственные технологии, экономическое развитие и регулирование окружающей среды) для изучения синергетического воздействия каждого влияющего фактора на AGTFP ( таблица 2 ). (1) Природная обеспеченность. Структура посевов (PS) и степень соответствия сельскохозяйственных водных и земельных ресурсов (MDWL) использовались для отражения сельскохозяйственных характеристик и ресурсного фона каждого региона. PS и MDWL были выражены, соответственно, долей посевных площадей зерновых [ 54 ] и коэффициентом соответствия сельскохозяйственных водных и земельных ресурсов [ 67 ]. (2) Сельскохозяйственные технологии. Высококвалифицированная и качественная рабочая сила была основным двигателем сельскохозяйственных технологических инноваций. Уровень сельскохозяйственной механизации напрямую отражал технологический прогресс в процессе сельскохозяйственного производства. Запасы сельского человеческого капитала (HC) и уровень сельскохозяйственной механизации были выбраны для отражения качества рабочей силы и степени модернизации сельского хозяйства [ 33 , 68 ]. Запасы ЧК рассчитывались методом конверсии лет образования и нормой прибыли от образования [ 69 , 70 ]. Уровень механизации сельского хозяйства выражался общей мощностью сельскохозяйственной техники на единицу посевной площади. (3) Экономическое развитие. Валовой внутренний продукт на душу населения (ВВП) отражал общий уровень регионального экономического развития. Располагаемый доход на душу населения сельских домохозяйств (ДИ) отражал уровень жизни сельских жителей, а уровень урбанизации (УР) отражал движущую роль урбанизации в зеленом развитии сельского хозяйства. (4) Экологическое регулирование. Экологическое регулирование было разделено на три категории: государственный надзор (ГН), государственное стимулирование (ГС) и общественное участие (ОО). Количество законов и нормативных актов, связанных с охраной окружающей среды, принятых провинциальными административными единицами в течение года, отражает степень внимания и интенсивность надзора со стороны местных органов власти [ 71 ]. Местные фискальные расходы на охрану окружающей среды использовались для измерения инвестиционного и стимулирующего воздействия правительства. Ряд соответствующих предложений регионального Всекитайского собрания народных представителей (ВСНП) и Народного политического консультативного совета Китая (НПКСК) отражали потребности и обеспокоенность общественности в отношении окружающей среды [ 72 ].
Таблица 2. Предшествующие условия и последствия.
2.2.2 Источники данных
Это исследование включало несколько показателей «вход-выход» и влияющих факторов, а модель fsQCA работала на сбалансированных панельных данных. Таким образом, панельные данные из 30 провинций Китая с 2001 по 2022 год были отобраны на основе полноты и точности (Тибет, Гонконг, Макао и Тайвань не были включены в объем исследования этого исследования). Этот период охватывал начальное формирование и быстрые и всеобъемлющие этапы трансформации развития зеленого сельского хозяйства [ 73 , 74 ]. Этот период предоставил четкие изменения, характерные для продольных исследований. Данные были получены в основном из Статистического ежегодника сельских районов Китая, Сельскохозяйственного ежегодника Китая, Статистического ежегодника Китая, Статистического ежегодника населения и занятости Китая, Экологического ежегодника Китая, Бюллетеня состояния окружающей среды Китая и официальных сайтов Национального бюро статистики, дата обращения 2 июня 2024 г.) и официальных сайтов провинциальных статистических бюро.
2.3 Методы
2.3.1. Сверхэффективная модель SBM-DEA
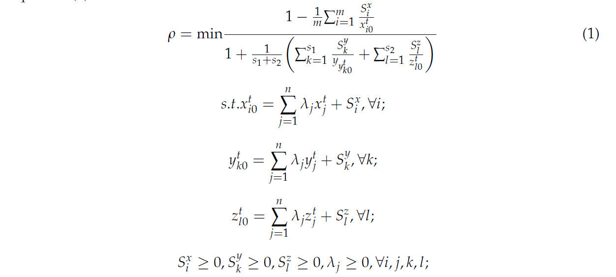
В данном исследовании для расчета AGTFP использовалась модель SBM-DEA. SBM-DEA сочетает в себе широкую применимость DEA с точностью SBM в обработке непредвиденных результатов. SBM-DEA позволяет более точно отразить уровень эффективности блока принятия решений (DMU) и решить проблему, связанную с тем, что стандартная модель SBM может обрабатывать только значения эффективности в интервале (0, 1] [ 75 , 76 , 77 , 78 ]. Конкретная формула представлена в уравнении (1):
Предполагая, что система зеленого сельскохозяйственного производства имеет n DMU, ρ представляет собой значение эффективности DMU, m представляет собой входы,𝑠1и𝑠2представляют собой количество переменных желаемых и нежелательных результатов,𝑆𝑥𝑖𝜖𝑅𝑚,𝑆𝑧𝑙𝜖𝑅𝑠2обозначает избыток входов и нежелательных выходов, соответственно, и𝑆𝑦𝑘∈𝑅1обозначает дефицит желаемых результатов. При ρ = 1,𝑆𝑥𝑖= 0,𝑆𝑦𝑘= 0,𝑆𝑧𝑙= 0, что означает эффективность DMU. При ρ < 1 DMU неэффективен и требует улучшения.
2.3.2 Динамическая модель fsQCA
КСА сочетает в себе преимущества качественного и количественного анализа и позволяет систематически анализировать взаимодействие и синергетические эффекты между несколькими факторами. КСА формализует логическую цепочку между условиями и результатами [ 79 , 80 ], углубляя понимание причинно-следственных связей и показывая скрытую внутреннюю логику феномена «разные пути ведут к одному и тому же пункту назначения» с конфигурационной точки зрения. В то же время мы можем точно различать различные механизмы, способствующие и препятствующие определенному результату, значительно обогащая объяснительную основу исследовательской проблемы в соответствии с принципом «асимметрии причинности».
Традиционный QCA часто ограничивается областью анализа статических поперечных данных в приложении, и трудно уловить эффекты конфигурации факторов с течением времени в динамической эволюции зеленого развития сельского хозяйства. Зеленый аграрный развитие - это непрерывное событие, которое продолжает углубляться и продвигаться вдоль временной оси. Динамическая взаимосвязь множественных факторов влияет на улучшение общей производительности факторов. Конфигурационный анализ одного поперечного сечения трудно полностью раскрыть причинно-следственную логику и вертикальное взаимодействие этого сложного процесса. В этом исследовании был представлен метод динамического анализа QCA, основанный на теории, предложенной Гарсиа-Кастро и Ариньо [ 81 ], и использовался язык R для разрушения технических барьеров между панельными данными и QCA [ 82 ] с целью преодоления этого ограничения. Динамический QCA сохраняет преимущества традиционного QCA в конфигурационном анализе и обеспечивает стабильность и надежность результатов анализа во временном измерении и измерении случая. Этот процесс осуществляется посредством всестороннего рассмотрения трёх измерений: межгруппового (BECONS), внутригруппового (WICONS) и объединённого (POCONS), а также введения расстояния корректировки согласованности. Динамический QCA предоставляет мощный аналитический инструмент для изучения влияния различных факторов на AGTFP с течением времени [ 83 ].
Конкретное функционирование модели fsQCA и настройки каждого параметра в данном исследовании были представлены в виде блок-схемы, объединенной с соответствующими теориями и эмпирическими исследованиями ( рисунок 2 ). Основные этапы были следующими:
Рисунок 2. Процедура fsQCA и настройка параметров.
(1) Калибровка: Динамический метод QCA требует калибровки всех данных и преобразует их в набор принадлежности от 0 до 1. В этом исследовании был использован метод прямой калибровки для унифицированной калибровки данных [ 84 ]. В соответствии с распределением переменных в выборочной совокупности, 95%, 50% и 5% квантили были установлены в качестве якорей калибровки, представляющих полное членство, точку пересечения и отсутствие членства [ 85 ] ( таблица 3 ). Степень принадлежности 0,5 была заменена на 0,501, чтобы избежать исключения случаев, когда степень принадлежности модульных нечетких множеств составляла точно 0,5 [ 86 ].
Таблица 3. Калибровка данных.
(2) Анализ необходимости отдельных условий: перед проведением анализа конфигурации необходимо провести анализ необходимости отдельных условий, чтобы определить, влияет ли условная переменная на результат. Критерием оценки для анализа необходимых условий было то, что если уровень согласованности выше 0,9, условная переменная может считаться необходимым условием для переменной результата. Если необходимое условие существовало, оно являлось ключевым фактором, влияющим на высокий или невысокий ATFP. Мы также исследовали, оказывают ли необходимые условия временной эффект и эффект случая в анализе панельных данных QCA, используя расстояние корректировки согласованности для обеспечения надежности итоговой согласованности.
(3) Анализ достаточности условий конфигурации: Анализ конфигурации был основным шагом метода fsQCA. Он подчеркивал, как различные комбинации нескольких условий приводили к определенному результату, и использовался для объяснения сложной причинно-следственной связи, лежащей в основе явления. Шнайдер и Вагеманн обсуждали, что стандартом для оценки достаточности условий конфигурации является уровень согласованности, превышающий 0,75 [ 87 ]. Первым была установка порогового значения. Мы установили пороговое значение частоты равным 4, чтобы гарантировать охват более 75% случаев, порог согласованности составил 0,8, а порог PRI составил 0,7. Вторым был контрфактуальный анализ, целью которого было более глубокое понимание влияния различных условных переменных на результаты путем построения гипотетических сценариев, противоречащих фактам. На этом этапе не было заранее задано направление, чтобы избежать вмешательства субъективного суждения о результатах, и все условные переменные рассматривались как «отсутствующие». Наконец, решение было получено. В этом исследовании промежуточное решение рассматривалось как основной базис, а экономичное решение – как вспомогательное для нахождения окончательных основных и периферийных условий. Если переменная условия присутствовала как в промежуточном, так и в экономичном решении, она считалась основным условием, что означало, что это условие было более важным для результата. Если переменная условия присутствовала только в промежуточном решении, она считалась периферийным условием, что означало, что это условие было менее важным для результата [ 88 ].
В модели fsQCA для понимания сложных причинно-следственных связей с логикой множеств были связаны два основных понятия: согласованность и охват. Согласованность, измеряющая степень согласованности в достижении одного и того же результата при различных условиях или их сочетаниях, рассчитывается как доля случаев с определенным антецедентом или комбинацией антецедентов, которые в конечном итоге приводят к одному и тому же результату, аналогично «значимости» в регрессионном анализе. Охват оценивает степень, в которой комбинация условий, прошедших тест на согласованность, может эффективно объяснить возникновение переменной результата. Охват измеряет долю всех случаев, получивших результаты через определенный путь (т.е. конфигурацию), к общему числу всех результатов, аналогично «силе» в корреляционном анализе. Поскольку причинно-следственная связь в реальности часто бывает сложной, несколько условных конфигураций могут одновременно указывать на один и тот же результат, что может перекрываться при интерпретации результатов. Для более точной характеристики влияния этого явления перекрытия на охват, исходное покрытие и уникальное покрытие: исходное покрытие относится к доле случаев результата, непосредственно охваченных определенной конфигурацией. Это отражало общий вклад конфигурации в степень объяснения. Уникальный охват более точно измерял одну конфигурацию. Степень, в которой результаты были независимо интерпретированы после исключения частей объяснения, общих с другими конфигурациями.
3. Результаты
3.1 Анализ результатов измерения AGTFP
На рисунках 3 и 4 показаны временные и пространственные тенденции AGTFP в провинциях Китая. В целом, AGTFP в целом увеличился в провинциях с 2001 по 2022 год, хотя и с разной начальной точкой и темпом роста [ 89 ]. Это улучшение можно объяснить продолжающимися технологическими инновациями и политическим руководством, что способствовало значительному региональному росту.
Рисунок 3. Временные характеристики совокупной производительности факторов производства в сельском хозяйстве (СПФП) (цвет от светлого к темному означает, что значение СПФП изменяется от низкого к высокому).
Рисунок 4. Пространственные характеристики совокупной зеленой производительности сельскохозяйственного производства (AGTFP) (Классификация AGTFP провинций по годам проводилась в соответствии со следующими уровнями: уровень I: <0,3, уровень II: 0,3–0,5, уровень III: 0,5–0,7, уровень IV: 0,7–0,9 и уровень V: 0,9–1,1.).
В восточных прибрежных регионах, таких как Тяньцзинь и Шанхай, наблюдался стабильный рост. Например, индекс AGTFP в Пекине стабильно увеличивался с 0,406 в 2001 году, заметно ускорившись после 2016 года и достигнув 1,070 к 2022 году. Аналогичным образом, индекс AGTFP в Тяньцзине увеличился с 0,302 в 2001 году до 1,060 в 2022 году, несмотря на первоначальные колебания, и после 2014 года рост стал более стабильным. В Шанхае также наблюдался рост AGTFP с 0,256 в 2001 году до 1,023 в 2022 году. Эти регионы выиграли от прочной экономической базы и инновационного потенциала, что привело к успешному внедрению и распространению экологичных сельскохозяйственных технологий.
В провинциях центрального Китая, таких как Хэнань, Цзилинь, Хэйлунцзян и Внутренняя Монголия, наблюдалась устойчивая тенденция к росту показателя AGTFP. В Хэнани, Цзилине, Хэйлунцзяне и Внутренней Монголии с 2011 по 2022 год показатель AGTFP вырос с 0,443 до 1,026, с 0,752 до 1,056, с 0,526 до 1,085 и с 0,738 до 1,045. Однако в основных регионах производства зерна, таких как Аньхой, Цзянси, Хубэй и Хунань, значения AGTFP были относительно низкими, что свидетельствует о модели сельского хозяйства с высоким уровнем затрат и выбросов. Этот результат в некоторой степени отражает компромисс между национальной продовольственной безопасностью и экологичностью производства.
В западных регионах, таких как Синьцзян, Нинся и Чунцин, AGTFP достиг значительной волатильности, но в целом имел тенденцию к росту. В Синьцзяне, Нинся и Чунцине AGTFP увеличился с 0,902 до 1,061 в 2022 году, с 0,353 до 1,010 и с 0,478 до 1,022 в период с 2001 по 2022 год. Различные траектории роста в этих регионах были обусловлены различиями в природных условиях и экономическом уровне. Тем не менее, AGTFP продолжал улучшаться благодаря поддержке государственной политики и активным инициативам местных органов власти, включая укрепление сельскохозяйственной инфраструктуры и внедрение современных агротехнологий.
3.2 Конфигурационный анализ факторов, влияющих на AGTFP
3.2.1. Анализ необходимости отдельных условий
В таблице 4 представлен анализ необходимости 10 антецедентных факторов. Уровни согласованности для всех условных переменных были ниже 0,9 в группах с высоким и невысоким AGTFP, что указывает на то, что ни один из этих факторов не является необходимым условием. Кроме того, скорректированные на согласованность расстояния между группами и внутри групп для большинства переменных превышают 0,2, что свидетельствует о значительных временных эффектах и заметной индивидуальной гетерогенности. Этот результат подчеркнул необходимость изучения роли каждой условной переменной в объединенных, межгрупповых и внутригрупповых измерениях.
Таблица 4. Необходимость каждой переменной.
3.2.2 Объединенные результаты анализа достаточности конфигурационных условий
Результаты в Таблице 5 показали, что общая согласованность и согласованность всех шести конфигураций превысили 0,9, превзойдя порог в 0,75, предложенный Шнайдером и Вагеманом. Кроме того, скорректированные на согласованность расстояния между группами и внутри групп для всех шести конфигураций были меньше 0,2, что указывает на сильную объяснительную силу. Эти результаты подтвердили, что эти конфигурации можно считать достаточными условиями для достижения высокого AGTFP. Шесть конфигураций были разделены на три отдельных движущих пути, чтобы сбалансировать целостную целостность и уникальность каждой конфигурации: модели, основанные на экономике ресурсов, на политике, ориентированной на технологии, и многофакторной синергии. Две конфигурации образовали эквивалентные конфигурации второго порядка внутри каждого пути [ 90 ].
Таблица 5. Результаты агрегированной конфигурации с высоким AGTFP.
Путь 1: Модель, ориентированная на ресурсы и экономику. В конфигурациях 1 и 2 высокий показатель AGTFP был обусловлен в первую очередь MDWL и PCG, а PP выступал в качестве дополнительного неосновного условия. Поэтому эти конфигурации были обозначены как «Модель, ориентированная на ресурсы и экономику». Конфигурации охватывали 19,5% и 18,5% случаев высокого показателя AGTFP соответственно, с независимыми показателями охвата 0,7% и 2,7% после исключения наложений с другими конфигурациями. Эти результаты показали, что в регионах с благоприятным соотношением водных и земельных ресурсов синергия между региональным экономическим развитием и обеспеченностью природными ресурсами играла значительную роль в улучшении AGTFP. Даже когда участие общественности было относительно низким или недостаточным, оно не оказывало существенного влияния на рост AGTFP.
Например, Фуцзянь и Цинхай служили репрезентативными случаями. Фуцзянь, расположенный на юго-востоке Китая, пользовался преимуществами обильных водных ресурсов, высокой доли сельскохозяйственных угодий и сильным экономическим потенциалом. Благодаря научному планированию и эффективному управлению регион оптимизировал распределение водных и земельных ресурсов, что значительно способствовало развитию зеленого сельского хозяйства и повышению AGTFP. Напротив, Цинхай, имеющий обильный поверхностный сток, но ограниченные пахотные земли, продемонстрировал, как преимущества природных ресурсов в сочетании с улучшением экономической базы все еще могут приводить к высокому росту AGTFP, несмотря на его относительно более низкий экономический уровень [ 91 ]. Этот случай дал ценную информацию для других регионов, богатых природными ресурсами, но экономически неразвитых.
Путь 2: Модель, ориентированная на технологии и политику. В конфигурациях 3 и 4, в то время как MDWL было неосновным состоянием, HC, AM и GS стали основными драйверами. Эти конфигурации подчеркнули, что даже в регионах с менее благоприятным соответствием водных и земельных ресурсов высокие уровни HC и AM в сочетании с сильным GS все еще могут способствовать улучшению AGTFP. Поэтому эти конфигурации были названы «Моделью, ориентированной на технологии и политику». Высокие случаи AGTFP в конфигурациях 3 и 4 составили 22,5% и 23,5% соответственно, с независимыми показателями охвата 0,7% для конфигурации 3 и 6,1% для конфигурации 4. Это указывает на то, что сочетание технологических и обусловленных политикой факторов играет значительную роль в улучшении AGTFP [ 92 ].
Шаньдун, как показательный пример, демонстрирует, как передовая механизация сельского хозяйства и строгое государственное регулирование, подкрепленные эффективной политической базой, могут способствовать зелёной трансформации сельского хозяйства. Уровень комплексной механизации в провинции, превышающий 91%, и интеграция сельскохозяйственной техники с информационными технологиями значительно повысили эффективность производства и снизили потребление ресурсов. Более того, строгая экологическая политика и нормативные акты провинции эффективно способствовали переходу к зелёному сельскому хозяйству, особенно в плане минимизации выбросов углерода и загрязнения окружающей среды.
Путь 3: Многофакторная синергетическая модель. В конфигурациях 5 и 6 взаимодействие высоких сельскохозяйственных технологий, устойчивого регионального экономического развития и строгого экологического регулирования создало синергетический эффект, значительно повысивший AGTFP. Эти конфигурации были классифицированы как «Многофакторная синергетическая модель», демонстрирующая высокую гибкость и разнообразие сочетаний различных факторов.
Типичные регионы, такие как Пекин, Шанхай, Хэйлунцзян и Внутренняя Монголия, являются примерами этой модели. И Пекин, и Шанхай, с их прочной экономической базой и государственными ресурсами, лидируют в стране по уровню образования в сельской местности, темпам урбанизации, ВВП на душу населения, располагаемому доходу в сельской местности и расходам на охрану окружающей среды. Развитие городского сельского хозяйства в сочетании с интеграцией сельскохозяйственных технологий сыграло ключевую роль в продвижении зеленых сельскохозяйственных инноваций и продвижении устойчивых практик. В Хэйлунцзяне использование таких технологий, как возврат соломы и посев по нулевой обработке, эффективно сдержало деградацию почвы, улучшив как экономические, так и экологические результаты. Аналогичным образом, Внутренняя Монголия внедрила комплексную зеленую сельскохозяйственную политику, такую как контроль за водой, удобрениями и пестицидами, а также утилизация ресурсов соломы и отходов животноводства, что позиционировало регион как лидера в области устойчивого развития сельского хозяйства.
Горизонтальное сравнение показало, что региональный экономический уровень имеет решающее значение для повышения AGTFP, о чем свидетельствует его значимая роль во всех трех движущих путях. Однако региональный экономический уровень не является абсолютным пороговым значением. Регионы могут изучать пути, соответствующие их конкретным условиям и стадиям развития. Экологизации сельского хозяйства можно добиться даже в условиях ограниченных ресурсов, используя политическое руководство и технологические инновации. Представление PS и MDWL как обеспеченности сельскохозяйственными ресурсами проявилось в трех различных состояниях: центральном, периферийном и не оказывающем воздействия. Этот результат свидетельствует о том, что влияние природных ресурсов на AGTFP зависит от конкретных условных сочетаний, что еще раз подтверждает интерактивное и комбинационное влияние факторов внутри конфигураций. В целом, две конфигурации в рамках многофакторно-синергетического пути охватывают 32,2% и 24,4% случаев. После исключения перекрывающихся случаев отдельные конфигурации охватывают 4,2% и 3% случаев с высоким AGTFP, что представляет собой максимальный охват. Этот результат свидетельствует об относительно широкой применимости данного пути для повышения AGTFP во многих провинциях. Уникальный охват шести конфигураций был низким, что свидетельствует о том, что, хотя конфигурация каждой провинции в некоторой степени объясняла AGTFP, не существует единого пути к достижению высокого AGTFP. Эти пути были в некоторой степени взаимозаменяемыми.
3.2.3. Между результатами анализа достаточности конфигурационных условий
Результаты межгруппового анализа представили уровни согласованности поперечного сечения для каждого года в пределах панели, направленные на оценку того, являются ли конфигурации в каждом году в течение периода выборки достаточными условиями для переменной результата. Этот подход бросил вызов статической конфигурационной перспективе, распространенной в традиционных исследованиях QCA, и компенсировал отсутствие временного измерения [ 93 ]. Кроме того, этот подход отразил динамические изменения в движущих путях, которые привели к результату с течением времени. Как показано в Таблице 5 , согласованность всех шести конфигураций превысила 0,75, что указывает на сильную объяснительную силу. Дальнейший анализ временных тенденций в уровнях согласованности каждой конфигурации ( Рисунок 5 ) показал, что в течение всего периода наблюдения уровни согласованности шести конфигураций колебались и росли в диапазоне от 0,75 до 1. Этот результат указал на значительный временной эффект. Эти шесть конфигураций были достаточны для достижения высокого AGTFP, при этом эффективность различных путей в постоянном улучшении AGTFP.
Рисунок 5. Тенденции уровней согласованности между группами в конфигурациях с 2001 по 2022 год. Шесть конфигураций, полученных из fsQCA, соответствующие шести конфигурациям, показанным в Таблице 5 , и их пути к достижению высокого AGTFP.
Все конфигурации продемонстрировали одновременное снижение согласованности, особенно в 2009 году, что, вероятно, можно объяснить мировым финансовым кризисом 2008 года. Будучи событием мирового масштаба, кризис стал центральным фактором, препятствующим развитию сельскохозяйственного AGTFP, снижая объяснительную силу других факторов. Это обстоятельство ещё больше подчеркнуло критическую роль регионального экономического уровня в производительности сельского хозяйства. Аналогичным образом, стремление к «зелёной» трансформации сельского хозяйства в соответствии с принципами ресурсосбережения и охраны окружающей среды привело к соответствующему снижению объяснительной силы конфигурационных условий с 2012 года, когда «активное содействие построению экологической цивилизации» было преобразовано в национальную стратегию.
3.2.4 В рамках результатов анализа достаточности конфигурационных условий
Внутригрупповой анализ позволил определить, обеспечивали ли конфигурации внутри каждого региона в течение периода выборки достаточные условия для достижения результата. Более 90% провинций продемонстрировали высокую степень согласованности (выше 0,75) по всем шести конфигурациям, однако наблюдались явные региональные различия в конфигурациях, которых придерживались разные провинции. Этот результат свидетельствует о том, что достижение высокого AGTFP не ограничивалось одним путём, поскольку количество объясняющих конфигураций варьировалось в зависимости от региона ( рисунок 6 ).
Рисунок 6. Распределение конфигураций (номера 1, 2 и 3 представляют общее количество конфигураций, которые можно объяснить в различных регионах).
Исследуемая территория была разделена на три основные зоны для дальнейшего анализа различий в путях достижения высокого AGTFP в восточных, центральных и западных регионах. Был рассчитан средний охват каждого региона ( таблица 6 ). Значения охвата в таблице 6 отражают относительное влияние каждого пути в соответствующих регионах, а не абсолютные значения, и служат для демонстрации региональных различий в значимости путей.
Таблица 6. Среднее значение регионального охвата.
Модель, ориентированная на экономику ресурсов, в первую очередь описывала регионы в центральной зоне, вероятно, из-за относительно обильных сельскохозяйственных ресурсов и быстрого экономического роста, которые предоставили новые возможности для оптимизации распределения ресурсов и повышения AGTFP. Представительные провинции включали Хубэй и Цзянси. Модель, ориентированная на политику в области технологий, в первую очередь описывала случаи в центральной зоне, а затем в восточной зоне. Оба региона имели высокий уровень сельскохозяйственных технологий со значительными эффектами перетока технологий. Однако в восточной зоне применялись строгие экологические нормы, что могло привести к высоким затратам на контроль загрязнения и охрану окружающей среды, потенциально нивелируя преимущества технологических инноваций и препятствуя улучшению AGTFP. В результате AGTFP в центральной зоне превзошел показатель восточной зоны. Представительные провинции включают Тяньцзинь, Цзянсу, Аньхой, Цзянси, Хэнань и Хубэй.
Модель многофакторной синергии охватила большую часть центральной зоны, за которой следовала восточная. Эти регионы, как правило, достигли высокого уровня экономического развития, обладали значительным потенциалом для исследований и применения сельскохозяйственных технологий, а также глубоко укоренившейся философией «энергосбережения, сокращения выбросов и экологичной защиты окружающей среды» в сельскохозяйственном развитии. Синергетический эффект множества факторов способствовал развитию экологичного сельского хозяйства в этих регионах. В число типичных провинций восточной зоны входили Пекин, Тяньцзинь, Чжэцзян, Фуцзянь и Шанхай, а в центральной зоне – Цзянси, Аньхой и Шаньси.
3.2.5. Проверка надежности
Мы провели тесты, следуя рекомендации, что «если результаты существенно не меняются после корректировки операций QCA, результаты можно считать надежными», чтобы гарантировать надежность результатов. Для проверки надежности использовались два метода: повышение порога согласованности и корректировка калибровочных якорей ( таблица 7 ). В первом тесте порог согласованности был увеличен с 0,8 до 0,85, а результаты остались такими же, как в таблице 5. Во втором тесте якоря были скорректированы до 90-го квантиля и 50-го и 10-го процентилей. Хотя эта корректировка привела к пяти конфигурациям, полученные представленные пути соответствовали исходным результатам без существенных изменений. Таким образом, результаты данного исследования были надежными.
Таблица 7. Результаты испытаний на надежность.
3.3 Анализ конфигураций с невысоким AGTFP
В отличие от традиционных методов исследования, квантовый анализ (QCA) продемонстрировал «асимметрию» причинно-следственных связей, что означает, что факторы, приведшие к наличию желаемого результата, отличаются от факторов, приведших к его отсутствию. В данном исследовании эта характеристика также использовалась для изучения конфигураций, приводящих к невысокому AGTFP ( таблица 8 ). Эти конфигурации можно в целом разделить на «экономика–политическое подавление» и «человеческий капитал–экономика», что ограничивает развитие «зелёного» сельского хозяйства. Поперечно-срезовое сравнение показывает, что низкий уровень экономики, слабый GI и низкий HC являются распространёнными ограничениями для улучшения AGTFP.
Таблица 8. Результаты агрегированной конфигурации невысокого AGTFP.
Модель «экономика – политика подавления»: конфигурации 1 и 2 показали, что в регионах с благоприятными природными ресурсами, такими как водные и земельные, отстающее экономическое развитие и недостаточный GI препятствуют повышению AGTFP. Провинции, представляющие эту конфигурацию, включали Сычуань, Чунцин и Юньнань. Временно эти конфигурации были сосредоточены в основном до 2008 года, что отражает период, когда низкий уровень экономического развития привел к сельскохозяйственной модели «окружающая среда для роста». В таких случаях местные органы власти, ограниченные в финансовых ресурсах, выделяли недостаточно средств на управление окружающей средой, что затрудняло эффективное предотвращение и устранение загрязнения в сельскохозяйственном производстве.
Модель подавления человеческого капитала и экономики: конфигурация 3 предполагает, что в регионах с высоким уровнем механизации сельского хозяйства и строгими экологическими нормами развитие зеленого сельского хозяйства может по-прежнему тормозиться, если у сельскохозяйственных рабочих не хватает знаний и навыков [ 36 ]. Этот путь типичен для таких провинций, как Шаньдун, Хэнань и Хэбэй, основных зернопроизводящих регионов Китая. Несмотря на один из самых высоких уровней оснащенности сельскохозяйственной техникой в стране, эти регионы сталкиваются с ограничениями из-за недостаточного понимания и принятия фермерами современных сельскохозяйственных технологий и методов зеленого производства. Это отставание во внедрении устойчивых методов напрямую влияет на прогресс развития зеленого сельского хозяйства.
4. Обсуждение
4.1. Сложное взаимодействие и ситуативная зависимость в драйверах AGTFP с использованием динамического fsQCA
QCA широко применяется в социологии, политологии и организационных исследованиях для причинного анализа, демонстрируя свою эффективность в изучении социальных явлений, политических решений и различий в производительности. Однако полезность QCA вышла за рамки этих областей. Недавнее исследование по интеграции сокращения выбросов углерода в сельском хозяйстве и продовольственной безопасности использовало динамическую модель fsQCA (He, 2024) [ 94 ], подчеркивая применимость этого метода в разных дисциплинах. QCA направлен на объяснение сложных явлений посредством целостного, комбинаторного подхода к множественным причинно-следственным условиям. Сельское хозяйство как многогранная система, включающая ресурсы, окружающую среду, общество и экономику, особенно в зеленом развитии, требует коллективных усилий правительства, рынков, общественности и фермеров. Таким образом, применение QCA к исследованию AGTFP было как логичным, так и сложным.
Это исследование определило значимость ключевых факторов — обеспеченности ресурсами, экономического развития, технологического прогресса и силы политики — и выявило сложные взаимодействия между этими факторами, используя динамический fsQCA для анализа движущих механизмов AGTFP. В частности, были определены три критических пути: двойной стимул «ресурсы–экономика», интеграция технологий и политики и многофакторная синергия. Эти пути в совокупности иллюстрируют, как взаимодействие факторов усиливает улучшение AGTFP [ 95 ]. Более того, исследование показало, что одни и те же факторы оказывают различное влияние в зависимости от контекстуальных комбинаций. Например, в регионах с сильным экономическим развитием и значительными технологическими инвестициями эффективная политика обеспечивает финансовую поддержку и налоговые льготы, а также регулирует рынки ресурсов и окружающей среды посредством законодательства, ускоряя внедрение зеленых технологий и усиливая AGTFP. И наоборот, в регионах с более слабой сельскохозяйственной базой и ограниченными технологическими ресурсами чрезмерная политическая поддержка может привести к «политической ловушке», подрывая рыночные механизмы и подавляя инновации, что в конечном итоге препятствует росту AGTFP. Одни и те же меры политики продемонстрировали противоположные положительные и отрицательные эффекты в разных сценариях [ 96 ]. Это открытие позволило получить более детальное понимание, чем традиционный однофакторный анализ.
4.2 Стратегические пути повышения эффективности AGTFP
В этом исследовании были выявлены ключевые сочетания факторов, определяющие AGTFP, и изучено, как они динамически влияют на развитие «зелёного» сельского хозяйства в разные периоды времени и в разных регионах. Реализация гибких и точных стратегий вмешательства, адаптированных к конкретным экономическим, технологическим и политическим условиям различных регионов, имеет решающее значение для обеспечения эффективности и актуальности этих мер для максимального использования полученных данных.
4.2.1. Усиление синергии ресурсо-экономики
Крайне важно усилить синергию между управлением ресурсами и экономическим развитием. Это требует регионального анализа распределения земельных и водных ресурсов, что позволит разработать научно обоснованные схемы сельскохозяйственного производства и стратегии распределения ресурсов. Приоритетность высококачественного экономического развития будет иметь решающее значение для поддержки сельскохозяйственных ресурсов, улучшения использования водных ресурсов и повышения продуктивности пахотных земель [ 97 ]. Продвигая ресурсоэффективную, экологически чистую модель сельского хозяйства, движимую экономическим ростом, политика может стимулировать устойчивые практики, обеспечивая при этом экономическую устойчивость. Инвестиции в инфраструктуру, особенно в ирригационные системы и водосберегающие технологии, имеют важное значение для оптимизации использования ресурсов и поддержки долгосрочной устойчивости сельского хозяйства, напрямую внося вклад в улучшение AGTFP [ 98 ].
4.2.2 Оптимизация интеграции технологий и политики
Другим важнейшим направлением повышения эффективности AGTFP является оптимизация интеграции технологически ориентированной политики, учитывающей специфические технологические потребности и этапы развития различных регионов. В регионах с низким уровнем механизации политика должна быть направлена на увеличение поддержки приобретения сельскохозяйственной техники и повышение эксплуатационной эффективности. В регионах, где развиваются передовые технологии, такие как большие данные и Интернет вещей, целенаправленные усилия должны быть направлены на интеграцию этих инноваций в сельскохозяйственную практику для повышения как производительности, так и экологической устойчивости. Необходимы дифференцированные и точные политические меры с акцентом на согласование политики с местными потребностями. Кроме того, политическая основа развития «зелёного» сельского хозяйства должна способствовать развитию технологических инноваций как ключевого фактора устойчивости, устанавливая технические стандарты и разрабатывая политику, способствующую внедрению экологически безопасных технологий.
4.2.3 Содействие скоординированному многосекторальному развитию
Третий стратегический путь предполагает содействие скоординированному многосекторальному развитию посредством создания межведомственной структуры управления. Эта структура должна интегрировать ресурсы из сельского хозяйства, охраны окружающей среды, науки и экономики для обеспечения комплексной поддержки зеленого сельского хозяйства. Такие инструменты, как зеленое сельское хозяйство и зеленое страхование, могут быть использованы для направления социального капитала в экологическое, циклическое и органическое сельское хозяйство, помогая сбалансировать экономический рост с защитой окружающей среды [ 99 ]. Кроме того, укрепление сельскохозяйственного образования и обучения имеет важное значение для повышения технологической грамотности фермеров, их экологической осведомленности и управленческих навыков. Это включает в себя воспитание нового поколения профессиональных фермеров и технических экспертов, которые могут способствовать переходу к устойчивому сельскому хозяйству. Разработка надежных механизмов общественного надзора также будет иметь решающее значение для повышения осведомленности общественности и поддержки зеленых методов ведения сельского хозяйства. Для обеспечения скоординированного развития жизненно важно межсекторальное сотрудничество, при этом политики поощряют интеграцию сельскохозяйственной, экологической и технологической политики в единую структуру для устойчивого развития сельского хозяйства. Кампании по просвещению общественности и повышению осведомленности также будут играть ключевую роль в обеспечении широкой общественной поддержки зеленого сельского хозяйства.
4.3 Ограничения и будущие направления исследований
Хотя данное исследование представило новый методологический подход, применив динамическую модель fsQCA для изучения многомерных движущих механизмов AGTFP, эффективно устраняя традиционные ограничения QCA во временном анализе, некоторые ограничения заслуживают дальнейшего рассмотрения. Во-первых, необходимо признать присущие самому методу ограничения. Количество конфигураций растёт экспоненциально по мере увеличения числа условных переменных, что требует компромиссов при выборе влияющих факторов и индикаторов для контроля количества переменных. Хотя этот компромисс был необходим на текущем этапе исследования, он также позволил провести дальнейшие исследования. Последующие исследования должны быть направлены на дальнейшую оптимизацию стратегий выбора переменных, вводя более точные и репрезентативные индикаторы для всестороннего и точного выявления многомерных движущих механизмов AGTFP.
Кроме того, несмотря на некоторую интеграцию количественного анализа с качественными кейс-стади, характер квантового анализа на больших выборках ограничивает глубину и детализацию качественного анализа по сравнению с индивидуальными кейс-стади. В будущем исследования могут быть сосредоточены на конкретных режимах вождения или региональных характеристиках AGTFP, чтобы устранить этот недостаток, выбрав репрезентативные случаи для углубленного анализа. Исследователи могут выявить конкретные пути и глубинные механизмы, определяющие AGTFP при различных сочетаниях факторов, используя разнообразные качественные методы исследования, такие как полевые исследования и интервью. Такой подход расширяет теоретическое понимание и предоставляет более конкретные и практические рекомендации для разработки политики и практики.
5. Выводы
В этом исследовании были использованы панельные данные по провинциям за период с 2001 по 2022 год, в рамках которых «ресурсы» и «энергия» были определены как основные вложения в рамках двойного подхода, ориентированного на «экономические» и «низкоуглеродные» результаты. Мы систематически измеряли AGTFP и внедрили динамический количественный анализ (QCA) в область «зелёного» развития сельского хозяйства. Этот подход позволил провести детальный анализ взаимодействия природных ресурсов, сельскохозяйственных технологий, экономического роста и экологического регулирования для достижения AGTFP. Были получены следующие основные результаты:
Во-первых, несмотря на различия в первоначальных уровнях AGTFP и темпах роста в 30 провинциях, в большинстве из них с 2001 года наблюдалась восходящая траектория, что подчеркивает позитивный прогресс в развитии зеленого сельского хозяйства в Китае.
Во-вторых, были выявлены три пути, способствующие развитию AGTFP: ресурсно-экономический, технологически-политический и многофакторно-синергический. Напротив, было выявлено два пути, сдерживающих рост AGTFP: экономико-политическое подавление и экономическое подавление человеческого капитала. Важно отметить, что региональное экономическое развитие стало центральным фактором развития «зелёного» сельского хозяйства, в то время как эффективность использования природных ресурсов для достижения прироста AGTFP зависела от конкретных контекстуальных факторов.
В-третьих, межгрупповой анализ выявил различную временную динамику вклада каждого пути в AGTFP, что указывает на эволюцию эффективности различных конфигураций. В частности, мировой финансовый кризис 2008 года и внедрение стратегии «Экологическая цивилизация» в 2012 году снизили объяснительную силу предыдущих конфигураций. В-четвертых, внутригрупповой анализ выявил региональную неоднородность в развитии зеленого сельского хозяйства. Модель, ориентированная на ресурсы и экономику, преобладала в центральных регионах, тогда как модели, ориентированные на технологии и политику, и многофакторная синергия были более распространены в центральных и восточных регионах. Выводы, полученные в ходе данного исследования, предлагают важные теоретические и практические идеи для развития зеленого сельского хозяйства. Применяя динамическую модель fsQCA, мы выявляем сложные, зависящие от контекста взаимодействия между природными ресурсами, сельскохозяйственными технологиями, экономическим развитием и экологическим регулированием, которые способствуют развитию AGTFP. Результаты подчеркивают необходимость разработки региональных стратегий, которые согласуют эти факторы для повышения AGTFP и обеспечения устойчивости. С практической точки зрения, данное исследование подчёркивает важность укрепления синергии ресурсосбережения и экономики, оптимизации интеграции технологий и политики, а также содействия скоординированному многосекторальному развитию. Политики могут использовать эти знания для разработки индивидуальных стратегий, способствующих внедрению устойчивых методов ведения сельского хозяйства и снижению воздействия сельскохозяйственного производства на окружающую среду.
Ссылки
1. Winters, L.A. Digging for Victory: Agricultural Policy and National Security. World Econ. 1990, 13, 170–191. [Google Scholar] [CrossRef]
2. Pittelkow, C.M.; Liang, X.; Linquist, B.A.; van Groenigen, K.J.; Lee, J.; Lundy, M.E.; van Gestel, N.; Six, J.; Venterea, R.T.; van Kessel, C. Productivity limits and potentials of the principles of conservation agriculture. Nature 2015, 517, 365–368. [Google Scholar] [CrossRef] [PubMed]
3. Duan, W.; Chen, Y.; Zou, S.; Nover, D. Managing the water-climate- food nexus for sustainable development in Turkmenistan. J. Clean. Prod. 2019, 220, 212–224. [Google Scholar] [CrossRef]
4. Chen, Y.; Miao, J.; Zhu, Z. Measuring green total factor productivity of China’s agricultural sector: A three-stage SBM-DEA model with non-point source pollution and CO2 emissions. J. Clean. Prod. 2021, 318, 128543. [Google Scholar] [CrossRef]
5. Rozelle, S.; Huang, J. China’s rural economy and the path to a modern industrial state. In China’s Agricultural Development: Challenges and Prospects; Routledge: London, UK, 2006; Volume 43. [Google Scholar]
6. Du, Y.; Liu, H.; Huang, H.; Li, X. The carbon emission reduction effect of agricultural policy—Evidence from China. J. Clean. Prod. 2023, 406, 137005. [Google Scholar] [CrossRef]
7. Huan, M.; Zhan, S. Agricultural Production Services, Farm Size and Chemical Fertilizer Use in China’s Maize Production. Land 2022, 11, 1931. [Google Scholar] [CrossRef]
8. Coomes, O.T.; Barham, B.L.; MacDonald, G.K.; Ramankutty, N.; Chavas, J.-P. Leveraging total factor productivity growth for sustainable and resilient farming. Nat. Sustain. 2019, 2, 22–28. [Google Scholar] [CrossRef]
9. Lamb, A.; Green, R.; Bateman, I.; Broadmeadow, M.; Bruce, T.; Burney, J.; Carey, P.; Chadwick, D.; Crane, E.; Field, R.; et al. The potential for land sparing to offset greenhouse gas emissions from agriculture. Nat. Clim. Change 2016, 6, 488–492. [Google Scholar] [CrossRef]
10. Han, D.; Yu, D.; Cao, Q. Assessment on the features of coupling interaction of the food-energy-water nexus in China. J. Clean. Prod. 2020, 249, 119379. [Google Scholar] [CrossRef]
11. Liang, D.; Lu, X.; Zhuang, M.; Shi, G.; Hu, C.; Wang, S.; Hao, J. China’s greenhouse gas emissions for cropping systems from 1978–2016. Sci. Data 2021, 8, 171. [Google Scholar] [CrossRef]
12. Xu, J.; Chen, X.Y.; Chen, X. Coupling mechanism of regional carbon-water symbiosis system and water resources regulation and control under low carbon perspective. Appl. Ecol. Environ. Res. 2017, 15, 457–465. [Google Scholar] [CrossRef]
13. Xie, T.; Huang, Z.; Tan, T.; Chen, Y. Forecasting China’s agricultural carbon emissions: A comparative study based on deep learning models. Ecol. Inform. 2024, 82, 102661. [Google Scholar] [CrossRef]
14. Asche, F.; Roll, K.H.; Tveteras, R. Economic inefficiency and environmental impact: An application to aquaculture production. J. Environ. Econ. Manag. 2009, 58, 93–105. [Google Scholar] [CrossRef]
15. Zhen, W.; Qin, Q.; Wei, Y.-M. Spatio-temporal patterns of energy consumption-related GHG emissions in China’s crop production systems. Energy Policy 2017, 104, 274–284. [Google Scholar] [CrossRef]
16. Sun, C.; Xu, S.; Xu, M. What causes green efficiency losses in Chinese agriculture? A perspective based on input redundancy. Technol. Forecast. Soc. Change 2023, 197, 122907. [Google Scholar] [CrossRef]
17. Boggs, R.L. Hazardous Waste Treatment Facilities: Modeling Production with Pollution as Both an Input and an Output; The University of North Carolina at Chapel Hill: Chapel Hill, NC, USA, 1997. [Google Scholar]
18. Murty, S.; Russell, R.R.; Levkoff, S.B. On modeling pollution-generating technologies. J. Environ. Econ. Manag. 2012, 64, 117–135. [Google Scholar] [CrossRef]
19. Oskam, A. Productivity measurement, incorporating environmental effects of agricultural production. In Agricultural Economics and Policy: International Challenges for the Nineties; Elsevier: Amsterdam, The Netherlands, 1991; pp. 186–204. [Google Scholar] [CrossRef]
20. Change on Climate. Intergovernmental panel on climate change. World Meteorol. Organ. 2007, 52, 1–43. [Google Scholar]
21. Ji, M.; Li, J.; Zhang, M. What drives the agricultural carbon emissions for low-carbon transition? Evidence from China. Environ. Impact Assess. Rev. 2024, 105, 107440. [Google Scholar] [CrossRef]
22. Aigner, D.; Lovell, C.A.K.; Schmidt, P. Formulation and estimation of stochastic frontier production function models. J. Econom. 1977, 6, 21–37. [Google Scholar] [CrossRef]
23. Meeusen, W.; Van Den Broeck, J. Efficiency estimation from Cobb-Douglas production functions with composed error. Int. Econ. Rev. 1977, 18, 435–444. [Google Scholar] [CrossRef]
24. Lin, B.; Wang, X. Exploring energy efficiency in China’s iron and steel industry: A stochastic frontier approach. Energy Policy 2014, 72, 87–96. [Google Scholar] [CrossRef]
25. Färe, R.; Grosskopf, S.; Norris, M.; Zhang, Z. Productivity growth, technical progress, and efficiency change in industrialized countries. Am. Econ. Rev. 1994, 84, 66–83. [Google Scholar]
26. Battese, G.E.; Coelli, T.J. A model for technical inefficiency effects in a stochastic frontier production function for panel data. Empir. Econ. 1995, 20, 325–332. [Google Scholar] [CrossRef]
27. Lv, N.; Zhu, L. Study on China’s agricultural environmental technical efficiency and green total factor productivity growth. J. Agrotech. Econ. 2019, 4, 95–103. [Google Scholar]
28. Rotz, S.; Gravely, E.; Mosby, I.; Duncan, E.; Finnis, E.; Horgan, M.; LeBlanc, J.; Martin, R.; Neufeld, H.T.; Nixon, A.; et al. Automated pastures and the digital divide: How agricultural technologies are shaping labour and rural communities. J. Rural. Stud. 2019, 68, 112–122. [Google Scholar] [CrossRef]
29. Zhang, Y.-F.; Ji, M.-X.; Zheng, X.-Z. Digital Economy, Agricultural Technology Innovation, and Agricultural Green Total Factor Productivity. Sage Open 2023, 13, 21582440231194388. [Google Scholar] [CrossRef]
30. Mao, H.; Zhou, L.; Ying, R.; Pan, D. Time Preferences and green agricultural technology adoption: Field evidence from rice farmers in China. Land Use Policy 2021, 109, 105627. [Google Scholar] [CrossRef]
31. Danish; Ulucak, R. How do environmental technologies affect green growth? Evidence from BRICS economies. Sci. Total Environ. 2020, 712, 136504. [Google Scholar] [CrossRef]
32. Ma, W.; Liu, T.; Li, W.; Yang, H. The role of agricultural machinery in improving green grain productivity in China: Towards trans-regional operation and low-carbon practices. Heliyon 2023, 9, e20279. [Google Scholar] [CrossRef]
33. Zhu, Y.; Zhang, Y.; Piao, H. Does Agricultural Mechanization Improve the Green Total Factor Productivity of China’s Planting Industry? Energies 2022, 15, 940. [Google Scholar] [CrossRef]
34. Li, H.; Zhou, X.; Tang, M.; Guo, L. Impact of Population Aging and Renewable Energy Consumption on Agricultural Green Total Factor Productivity in Rural China: Evidence from Panel VAR Approach. Agriculture 2022, 12, 715. [Google Scholar] [CrossRef]
35. Xiao, H.; You, J. The Heterogeneous Impacts of Human Capital on Green Total Factor Productivity: Regional Diversity Perspective. Front. Environ. Sci. 2021, 9, 713562. [Google Scholar] [CrossRef]
36. Wang, M.; Xu, M.; Ma, S. The effect of the spatial heterogeneity of human capital structure on regional green total factor productivity. Struct. Change Econ. Dyn. 2021, 59, 427–441. [Google Scholar] [CrossRef]
37. Feng, Y.; Zhong, S.; Li, Q.; Zhao, X.; Dong, X. Ecological well-being performance growth in China (1994–2014): From perspectives of industrial structure green adjustment and green total factor productivity. J. Clean. Prod. 2019, 236, 117556. [Google Scholar] [CrossRef]
38. Azam, A.; Shafique, M.; Rafiq, M.; Ateeq, M. Moving toward sustainable agriculture: The nexus between clean energy, ICT, human capital and environmental degradation under SDG policies in European countries. Energy Strategy Rev. 2023, 50, 101252. [Google Scholar] [CrossRef]
39. Yang, H.; Wang, X.; Bin, P. Agriculture carbon-emission reduction and changing factors behind agricultural eco-efficiency growth in China. J. Clean. Prod. 2022, 334, 130193. [Google Scholar] [CrossRef]
40. Felloni, F.; Wahl, T.; Wandschneider, P. Evidence of the Effect of Infrastructure on Agricultural Production and Productivity: Implications for China; Food and Agriculture Organization (FAO): Rome, Italy, 1996. [Google Scholar]
41. Dhehibi, B.; El-Shahat, A.A.I.A.; Frija, A.; Hassan, A.-A. Growth in Total Factor Productivity in the Egyptian Agriculture Sector: Growth Accounting and Econometric Assessments of Sources of Growth. Sustain. Agric. Res. 2016, 5, 38. [Google Scholar] [CrossRef][Green Version]
42. Ma, G.; Lv, D.; Luo, Y.; Jiang, T. Environmental Regulation, Urban-Rural Income Gap and Agricultural Green Total Factor Productivity. Sustainability 2022, 14, 8995. [Google Scholar] [CrossRef]
43. Song, Y.; Zhang, B.; Wang, J.; Kwek, K. The impact of climate change on China’s agricultural green total factor productivity. Technol. Forecast. Soc. Change 2022, 185, 122054. [Google Scholar] [CrossRef]
44. Zhou, H.; Tao, F.; Chen, Y.; Yin, L.; Wang, Y.; Li, Y.; Zhang, S. Climate change reduces agricultural total factor productivity in major agricultural production areas of China even with continuously increasing agricultural inputs. Agric. For. Meteorol. 2024, 349, 109953. [Google Scholar] [CrossRef]
45. Shah, W.U.H.; Lu, Y.; Liu, J.; Rehman, A.; Yasmeen, R. The impact of climate change and production technology heterogeneity on China’s agricultural total factor productivity and production efficiency. Sci. Total Environ. 2024, 907, 168027. [Google Scholar] [CrossRef]
46. Ahmed, N.; Hamid, Z.; Mahboob, F.; Rehman, K.U.; Ali, M.S.; Senkus, P.; Wysokińska-Senkus, A.; Siemiński, P.; Skrzypek, A. Causal Linkage among Agricultural Insurance, Air Pollution, and Agricultural Green Total Factor Productivity in United States: Pairwise Granger Causality Approach. Agriculture 2022, 12, 1320. [Google Scholar] [CrossRef]
47. Dong, D.; Wang, J. Air pollution as a substantial threat to the improvement of agricultural total factor productivity: Global evidence. Environ. Int. 2023, 173, 107842. [Google Scholar] [CrossRef] [PubMed]
48. Zhan, J.-T.; Xu, Y.-J. Environmental regulation, agricultural green TFP and grain security. China Popul. Resour. Environ. 2019, 29, 167–176. [Google Scholar]
49. Xiong, H.; Zhan, J.; Xu, Y.; Zuo, A.; Lv, X. Challenges or drivers? Threshold effects of environmental regulation on China’s agricultural green productivity. J. Clean. Prod. 2023, 429, 139503. [Google Scholar] [CrossRef]
50. Du, J.; Zhong, Z.; Shi, Q.; Wang, L.; Liu, Y.; Ying, N. Does government environmental attention drive green total factor productivity? Evidence from China. J. Environ. Manag. 2024, 366, 121766. [Google Scholar] [CrossRef]
51. Carter, M.R.; Cheng, L.; Sarris, A. Where and How Index Insurance Can Boost the Adoption of Improved Agricultural Technologies. J. Dev. Econ. 2016, 118, 59–71. [Google Scholar] [CrossRef]
52. Chen, Z.; Zhang, Y.; Wang, H.; Ouyang, X.; Xie, Y. Can green credit policy promote low-carbon technology innovation? J. Clean. Prod. 2022, 359, 132061. [Google Scholar] [CrossRef]
53. Liu, Z.; Zhang, M.; Li, Q.; Zhao, X. The impact of green trade barriers on agricultural green total factor productivity: Evidence from China and OECD countries. Econ. Anal. Policy 2023, 78, 319–331. [Google Scholar] [CrossRef]
54. Wang, J.; Yang, G.; Zhou, C. Does internet use promote agricultural green development? Evidence from China. Int. Rev. Econ. Financ. 2024, 93, 98–111. [Google Scholar] [CrossRef]
55. De Wit, C.D. Resource use efficiency in agriculture. Agric. Syst. 1992, 40, 125–151. [Google Scholar] [CrossRef]
56. Dogliotti, S.; van Ittersum, M.; Rossing, W. Influence of farm resource endowment on possibilities for sustainable development: A case study for vegetable farms in South Uruguay. J. Environ. Manag. 2006, 78, 305–315. [Google Scholar] [CrossRef] [PubMed]
57. Wen, D.; Tang, Y.; Zheng, X.; He, Y. Sustainable and productive agricultural development in China. Agric. Ecosyst. Environ. 1992, 39, 55–70. [Google Scholar] [CrossRef]
58. Huang, X.; Feng, C.; Qin, J.; Wang, X.; Zhang, T. Measuring China’s agricultural green total factor productivity and its drivers during 1998–2019. Sci. Total Environ. 2022, 829, 154477. [Google Scholar] [CrossRef]
59. Li, Z.; Luo, X.; Xue, L. Agricultural green technical efficiency and its affecting factors in China. J. China Agric. Univ. 2017, 22, 203–212. [Google Scholar] [CrossRef]
60. Liu, D.; Zhu, X.; Wang, Y. China’s agricultural green total factor productivity based on carbon emission: An analysis of evolution trend and influencing factors. J. Clean. Prod. 2021, 278, 123692. [Google Scholar] [CrossRef]
61. Li, G.; Chen, N.; Min, R. Growth and sources of agricultural total factor productivity in China under environmental regulations. China Popul. Resour. Environ. 2011, 11, 153–160. [Google Scholar] [CrossRef]
62. Goulder, L.H.; Mathai, K. Optimal CO2 Abatement in the Presence of Induced Technological Change. J. Environ. Econ. Manag. 2000, 39, 1–38. [Google Scholar] [CrossRef]
63. Zhou, Y.; Zou, S.; Duan, W.; Chen, Y.; Takara, K.; Di, Y. Analysis of energy carbon emissions from agroecosystems in Tarim River Basin, China: A pathway to achieve carbon neutrality. Appl. Energy 2022, 325, 119842. [Google Scholar] [CrossRef]
64. Yu, Y.; Jiang, T.; Li, S.; Li, X.; Gao, D. Energy-related CO2 emissions and structural emissions’ reduction in China’s agriculture: An input–output perspective. J. Clean. Prod. 2020, 276, 124169. [Google Scholar] [CrossRef]
65. Gao, F. Evolution trend and internal mechanism of regional total factor productivity in Chinese agriculture. J. Quant. Tech. Econ. 2015, 32, 3–19. [Google Scholar] [CrossRef]
66. Zhao, Y.; Chen, L.; Zhang, Y.; Wu, Z. Spatial and temporal evolotion of carbon effect and carbon equity of grain planting industry in China. Acta Ecol. Sin. 2024, 44, 5059–5069. [Google Scholar] [CrossRef]
67. Zhao, R.; Liu, Y.; Tian, M.; Ding, M.; Cao, L.; Zhang, Z.; Chuai, X.; Xiao, L.; Yao, L. Impacts of water and land resources exploitation on agricultural carbon emissions: The water-land-energy-carbon nexus. Land Use Policy 2018, 72, 480–492. [Google Scholar] [CrossRef]
68. Huang, Y.; Ahmad, M.; Ali, S.; Kirikkaleli, D. Does eco-innovation promote cleaner energy? Analyzing the role of energy price and human capital. Energy 2022, 239, 122268. [Google Scholar] [CrossRef]
69. Hall, R.E.; Jones, C.I. Why do some countries produce so much more output per worker than others? Q. J. Econ. 1999, 114, 83–116. [Google Scholar] [CrossRef]
70. Psacharopoulos, G.; Patrinos, H.A. Returns to investment in education: A further update. Educ. Econ. 2004, 12, 111–134. [Google Scholar] [CrossRef]
71. Liu, Y.; She, Y.; Liu, S.; Lan, H. Supply-shock, demand-induced or superposition effect? The impacts of formal and informal environmental regulations on total factor productivity of Chinese agricultural enterprises. J. Clean. Prod. 2022, 380, 135052. [Google Scholar] [CrossRef]
72. Xie, X.; Zhu, Q. How can green innovation solve the dilemmas of “harmonious coexistence”. J. Manag. World 2021, 37, 128–149. [Google Scholar]
73. Su, B. 40 years of China’s rural reform: Review and prospect. China Agric. Econ. Rev. 2018, 10, 2. [Google Scholar] [CrossRef]
74. Zhang, Q.; Qu, Y.; Zhan, L. Great transition and new pattern: Agriculture and rural area green development and its coordinated relationship with economic growth in China. J. Environ. Manag. 2023, 344, 118563. [Google Scholar] [CrossRef] [PubMed]
75. Caves, D.W.; Christensen, L.R.; Diewert, W.E. The economic theory of index numbers and the measurement of input, output, and productivity. Econom. J. Econom. Soc. 1982, 50, 1393–1414. [Google Scholar] [CrossRef]
76. Tone, K. A slacks-based measure of efficiency in data envelopment analysis. Eur. J. Oper. Res. 2001, 130, 498–509. [Google Scholar] [CrossRef]
77. Du, J.; Liang, L.; Zhu, J. A slacks-based measure of super-efficiency in data envelopment analysis: A comment. Eur. J. Oper. Res. 2010, 204, 694–697. [Google Scholar] [CrossRef]
78. Zhang, H.; Duan, Y.; Wang, H.; Han, Z.; Wang, H. An empirical analysis of tourism eco-efficiency in ecological protection priority areas based on the DPSIR-SBM model: A case study of the Yellow River Basin, China. Ecol. Inform. 2022, 70, 101720. [Google Scholar] [CrossRef]
79. Kent, R.; Olsen, W. Using fsQCA: A Brief Guide and Workshop for Fuzzy-Set Qualitative Comparative Analysis; The Cathie Marsh Centre, University of Manchester: Manchester, UK, 2008. [Google Scholar]
80. Ragin, C.C. Redesigning Social Inquiry: Fuzzy Sets and Beyond; University of Chicago Press: Chicago, IL, USA, 2009. [Google Scholar] [CrossRef]
81. Castro, R.G.; Ariño, M.A. A general approach to panel data set-theoretic research. J. Adv. Manag. Sci. Inf. Syst. 2016, 2, 63–76. [Google Scholar] [CrossRef]
82. Beynon, M.J.; Jones, P.; Pickernell, D. Country-level entrepreneurial attitudes and activity through the years: A panel data analysis using fsQCA. J. Bus. Res. 2020, 115, 443–455. [Google Scholar] [CrossRef]
83. Guedes, M.J.; Gonçalves, V.d.C.; Soares, N.; Valente, M. UK evidence for the determinants of R&D intensity from a panel fsQCA. J. Bus. Res. 2016, 69, 5431–5436. [Google Scholar] [CrossRef]
84. Fiss, P.C. Building better causal theories: A fuzzy set approach to typologies in organization research. Acad. Manag. J. 2011, 54, 393–420. [Google Scholar] [CrossRef]
85. Greckhamer, T.; Gur, F.A. Disentangling combinations and contingencies of generic strategies: A set-theoretic configurational approach. Long Range Plan. 2021, 54, 101951. [Google Scholar] [CrossRef]
86. Zhang, M.; Du, Y. Qualitative comparative analysis (QCA) in management and organization research: Position, tactics, and directions. Chin. J. Manag. 2019, 16, 1312–1323. [Google Scholar] [CrossRef]
87. Schneider, C.Q.; Wagemann, C. Set-Theoretic Methods for the Social Sciences: A Guide to Qualitative Comparative Analysis; Cambridge University Press: Cambridge, UK, 2012. [Google Scholar]
88. Tho, N.D.; Trang, N.T.M. Can knowledge be transferred from business schools to business organizations through in-service training students? SEM and fsQCA findings. J. Bus. Res. 2015, 68, 1332–1340. [Google Scholar] [CrossRef]
89. Lei, S.; Yang, X.; Qin, J. Does agricultural factor misallocation hinder agricultural green production efficiency? Evidence from China. Sci. Total Environ. 2023, 891, 164466. [Google Scholar] [CrossRef] [PubMed]
90. Du, Y.Z.; Liu, Q.C.; Chen, K.W.; Xiao, R.Q.; Li, S.S. Ecosystem of doing business, total factor productivity and multiple patterns of high-quality development of Chinese cities: A configurational research based on complex system view. J. Manag. World 2023, 2023, 11–29. [Google Scholar] [CrossRef]
91. Deng, C.; Li, R.; Xie, B.; Wan, Y.; Li, Z.; Liu, C. Impacts of the integrated pattern of water and land resources use on agricultural greenhouse gas emissions in China during 2006–2017: A water-land-energy-emissions nexus analysis. J. Clean. Prod. 2021, 308, 127221. [Google Scholar] [CrossRef]
92. Lu, F.; Meng, J.; Cheng, B. How does improving agricultural mechanization affect the green development of agriculture? Evidence from China. J. Clean. Prod. 2024, 472, 143298. [Google Scholar] [CrossRef]
93. Meng, K.; Wei, B. Rethinking the “time blindness” of the qualitative comparative analysis: Bringing back “time” for public management research”. Chin. Public Adm. 2023, 1, 96–104. [Google Scholar] [CrossRef]
94. He, H.; Zhang, Z.; Ding, R.; Shi, Y. Multi-driving paths for the coupling coordinated development of agricultural carbon emission reduction and sequestration and food security: A configurational analysis based on dynamic fsQCA. Ecol. Indic. 2024, 160, 111875. [Google Scholar] [CrossRef]
95. Cui, S.; Adamowski, J.F.; Wu, M.; Zhang, P.; Yue, Q.; Cao, X. An integrated framework for improving green agricultural production sustainability in human-natural systems. Sci. Total Environ. 2024, 945, 174153. [Google Scholar] [CrossRef]
96. Tian, C.; Li, L.; Liao, B. Evaluation of the green development effects of heterogeneous agricultural cleaner production place-based policy. J. Clean. Prod. 2024, 442, 140969. [Google Scholar] [CrossRef]
97. Ye, F.; Wang, L.; Razzaq, A.; Tong, T.; Zhang, Q.; Abbas, A. Policy Impacts of High-Standard Farmland Construction on Agricultural Sustainability: Total Factor Productivity-Based Analysis. Land 2023, 12, 283. [Google Scholar] [CrossRef]
98. Guo, C.; Bai, Z.; Shi, X.; Chen, X.; Chadwick, D.; Strokal, M.; Zhang, F.; Ma, L.; Chen, X. Challenges and strategies for agricultural green development in the Yangtze River Basin. J. Integr. Environ. Sci. 2021, 18, 37–54. [Google Scholar] [CrossRef]
99. Han, X.; Wang, Y.; Yu, W.; Xia, X. Coupling and coordination between green finance and agricultural green development: Evidence from China. Financ. Res. Lett. 2023, 58, 104221. [Google Scholar] [CrossRef]
Lu D, Zhang X, Yang D, Zhang S. What Affects Agricultural Green Total Factor Productivity in China? A Configurational Perspective Based on Dynamic Fuzzy-Set Qualitative Comparative Analysis. Agriculture. 2025; 15(2):136. https://doi.org/10.3390/agriculture15020136
Перевод статьи «What Affects Agricultural Green Total Factor Productivity in China? A Configurational Perspective Based on Dynamic Fuzzy-Set Qualitative Comparative Analysis» авторов Lu D, Zhang X, Yang D, Zhang S., оригинал доступен по ссылке. Лицензия: CC BY. Изменения: переведено на русский язык




















Комментарии (0)