Оценка уровня скоординированного развития сельскохозяйственной экономики и экологии в Китае: региональные различия, динамика и барьеры
Достижение устойчивого развития сельских районов в Китае требует эффективной интеграции роста сельскохозяйственного производства и экологического баланса. Однако существующие исследования координации между аграрной экономикой и экосистемами зачастую сосредоточены на изолированных аспектах, таких как экономический рост или экологическая устойчивость, или ограничиваются отдельными провинциями или регионами, не давая всестороннего анализа в национальном масштабе. Для устранения этого пробела в данном исследовании используются пространственные данные по 31 провинциальному региону Китая за период с 2008 по 2022 год.
Аннотация
Разработана многомерная система показателей, охватывающая экономический вклад, структуру, эффективность, результативность, жизнеспособность, а также экологическое состояние и нагрузку. С применением многофакторных эконометрических методов проведена комплексная оценка степени координации между сельскохозяйственной экономикой и экосистемами Китая, выявлены региональные различия и пространственно-временные изменения в уровне их сопряженного согласования (coupling coordination), а также проанализированы барьеры, влияющие на эту координацию.
Результаты исследования показывают следующее. Во-первых, уровень сопряженного согласования неуклонно повышался, а региональные различия сокращались. Во-вторых, региональные различия в первую очередь обусловлены разрывом между восточными, центральными и западными регионами, причем структурный вклад в эти различия сместился с межрегионального на внутрирегиональный (гиперплотность). В-третьих, развитие демонстрирует модель «клубной конвергенции», при которой переход в более высокую группу затруднен, а существует риск скатывания в более низкую. Ключевыми барьерами являются масштабы пахотных земель, эффективность землепользования, площадь лесовосстановления и борьба с эрозией почв.
На основе этих выводов предлагаются рекомендации: разработка региональных стратегий развития, создание механизмов динамического мониторинга, оптимизация землепользования и усиление экологической защиты. Данное исследование предоставляет ценные рекомендации для лиц, ответственных за формирование политики, и практиков, направленные на содействие скоординированному и устойчивому развитию аграрной экономики и экосистем Китая.
1. Введение
В глобальном масштабе достижение скоординированного развития сельского хозяйства и экосистем имеет решающее значение для решения проблем, связанных с изменением климата, деградацией земель и продовольственной безопасностью [ 1 ]. По данным Продовольственной и сельскохозяйственной организации ООН (ФАО), более 30% мировых сельскохозяйственных земель подвергаются деградации, а изменение климата еще больше усиливает неопределенность в сельскохозяйственном производстве. Будучи одним из крупнейших мировых производителей сельскохозяйственной продукции, Китай играет важную роль в обеспечении продовольственной безопасности, стимулировании экономического роста и поддержании социальной стабильности [ 2 ]. Однако его многолетняя зависимость от высокозатратных и высокопроизводительных моделей производства усилила экологическое давление, что привело к чрезмерной эксплуатации земель, эрозии почвы и сокращению биоразнообразия [ 3 , 4 , 5 , 6 ]. Эти проблемы не только угрожают устойчивости сельского хозяйства, но и усугубляют напряженность между развитием сельского хозяйства и целостностью экосистем. Одновременно с этим, координация сельского хозяйства и экологии в Китае демонстрирует заметные региональные различия. Восточные регионы, поддерживаемые передовыми технологиями и надежной политикой, относительно быстро продвинулись в направлении охраны окружающей среды и модернизации сельского хозяйства, в то время как центральные и западные регионы, ограниченные ресурсами и экономическими основами, сталкиваются с более серьезными проблемами в достижении скоординированного развития [ 7 ]. В ответ на эти вызовы в Центральном документе № 1 правительства Китая от 2024 года подчеркивается необходимость продвижения экологически чистого низкоуглеродного сельскохозяйственного перехода, усиления контроля за неточечным загрязнением и повышения уровня защиты и восстановления экосистем. Эти инициативы направлены на сокращение региональных разрывов и направление сельскохозяйственно-экологической координации на более сбалансированный и устойчивый путь. В этом контексте изучение взаимосвязи и скоординированного развития сельскохозяйственной экономики и экосистем, особенно их региональных различий и пространственно-временной динамики, помогает выявить ключевые ограничения и обеспечивает научную поддержку оптимизации ресурсов и целенаправленного формирования политики. Это имеет решающее значение для продвижения устойчивого сельского хозяйства и охраны окружающей среды в Китае. Исходя из этого, в данном исследовании, используя данные по 31 региону провинциального уровня в Китае за период с 2008 по 2022 год, построена комплексная оценочная модель, и с помощью многофакторных эконометрических методов проведен систематический анализ пространственно-временных характеристик, региональных различий, динамики развития и барьеров на пути скоординированного развития сельскохозяйственной экономики и экосистем.
Ожидаемый вклад данного исследования можно суммировать в три аспекта: Во-первых, используя данные по 31 провинции Китая за период с 2008 по 2022 год, данное исследование фокусируется на важнейшей теме координации взаимосвязи между сельскохозяйственной экономикой и экологией. Оно устраняет существующие пробелы в актуальности данных и географическом охвате, предлагая академическому сообществу всесторонний и современный эмпирический анализ. Во-вторых, в исследовании инновационно применяются различные методологии, включая метод энтропийного взвешивания, коэффициент Джини Дагума, модель цепи Маркова и оценку плотности ядра, для систематического анализа динамических тенденций и региональных различий в развитии координации взаимосвязи. Это предоставляет новые аналитические инструменты и идеи для исследования региональных различий. Наконец, исследование углубляется в ключевые факторы, влияющие на координацию взаимосвязи между сельскохозяйственной экономикой и экологией. На основе эмпирических результатов предлагаются целенаправленные политические рекомендации, предоставляющие практические указания и пути достижения устойчивой координации между сельским хозяйством и экологией.
В разделе 1 представлена тема и направление исследования, заложена основа для дальнейшего изучения. В разделе 2 объясняются механизмы взаимосвязи между сельскохозяйственной экономикой и экологическими системами, а также рассматриваются последние научные разработки и тенденции исследований в этой области. В разделе 3 подробно описывается методология исследования, включая источники данных, аналитические методы и систему оценочных показателей, что обеспечивает прочную основу для анализа. В разделе 4 рассматриваются пространственно-временные характеристики, региональные различия, тенденции развития и факторы влияния на координацию сельскохозяйственной экономики и экологии в Китае, раскрывая ее сложность и динамичные закономерности развития. Наконец, в разделе 5 подводятся итоги исследования, предлагаются целенаправленные рекомендации по политике и обсуждаются ограничения исследования, а также предлагаются направления для будущих исследований.
2. Обзор литературы
2.1. Теоретические основы механизма взаимосвязи и координации между сельскохозяйственной экономикой и экосистемой.
Взаимосвязь относится к взаимодействию двух систем посредством внутренних механизмов, формирующих динамичный и скоординированный процесс развития [ 8 ]. Хе (2024) подчеркнул значительную ценность применения теории системной взаимосвязи для изучения сельскохозяйственной экономики и экологии, предложив ее в качестве основы для анализа их синергии и взаимосвязи [ 9 ]. В контексте стратегии возрождения сельских районов Китая процветающая сельскохозяйственная экономика способствует защите экологии, в то время как здоровая экосистема обеспечивает необходимые ресурсы для сельского хозяйства [ 10 , 11 ]. Эффект взаимосвязи между ними не только повышает сельскохозяйственную производительность, но и способствует восстановлению и устойчивому развитию экологической среды [ 12 ]. Взаимосвязь показана на рисунке 1 .
Рисунок 1. Механизм взаимосвязи сельскохозяйственной экономики и экосистемы Китая (источник: создано авторами).
Сельскохозяйственная деятельность оказывает воздействие на экосистемы главным образом через потребление ресурсов и экологическое давление. Эффективные методы ведения сельского хозяйства, такие как оптимизированные методы производства и устойчивые ресурсы, могут снизить потребление ресурсов и загрязнение, уменьшая нагрузку на экосистемы [ 13 , 14 , 15 ]. Например, внедрение климатически устойчивых методов ведения сельского хозяйства (CSAP) предлагает потенциальное решение для повышения урожайности, снижения выбросов парниковых газов и повышения климатической устойчивости для обеспечения экологической устойчивости [ 16 ]. Экологически чистое сельское хозяйство — за счет сокращения использования удобрений и пестицидов, внедрения севооборота и сохранения почвы и воды — помогает смягчить такие проблемы, как эрозия почвы и деградация земель [ 17 ]. При правильном управлении сельское хозяйство поддерживает здоровье экосистем и способствует устойчивости. И наоборот, плохо спланированные методы ведения сельского хозяйства, лишенные «зеленой» трансформации, могут деградировать экосистемы, ставя под угрозу жизненно важные ресурсы, такие как плодородие почвы и качество воды, и в конечном итоге препятствуя долгосрочному развитию сельского хозяйства [ 18 ]. В то же время экосистемы также играют решающую роль в поддержке сельскохозяйственной продуктивности [ 19 ]. Здоровая экосистема обеспечивает критически важные ресурсы, такие как стабильное водоснабжение и благоприятные климатические условия, одновременно регулируя окружающую среду для снижения производственных затрат и повышения качества продукции [ 20 ]. Например, здоровая экосистема обеспечивает стабильное водоснабжение и благоприятные климатические условия, что, в свою очередь, способствует эффективному сельскохозяйственному производству [ 21 ]. Поврежденные экосистемы, однако, нарушают сельскохозяйственное производство, вызывая загрязнение воды и климатические аномалии, что приводит к катастрофам, снижению доходов фермеров и уменьшению социально-экономической стабильности [ 22 , 23 ].
В заключение следует отметить, что механизм взаимосвязи между сельскохозяйственной экономикой и экосистемой имеет важное значение. Позитивное взаимодействие между ними может привести к взаимовыгодному результату, способствуя модернизации сельского хозяйства и развитию экологической цивилизации. Эта динамика обеспечивает как теоретическую поддержку, так и практические пути для устойчивого развития сельскохозяйственной экономики.
2.2. Разработка систем оценочных показателей для сельскохозяйственной экономики и экосистемы
Разработка систем оценочных показателей для сельскохозяйственной экономики и экосистемы стала ключевым направлением последних исследований. Ученые сосредоточились на создании этих систем для оценки и улучшения координации между сельскохозяйственным производством и экологической устойчивостью. Эти системы показателей направлены на количественную оценку сложных взаимодействий между сельскохозяйственной деятельностью и экологическими функциями, обеспечивая научную основу для достижения устойчивого развития. Лю и др. [ 24 ] разработали систему оценочных показателей для экологически чистого сельскохозяйственного производства, сосредоточившись на пяти измерениях: потенциал предложения, использование ресурсов, качество окружающей среды, поддержание экосистемы и средства к существованию фермеров. Их анализ выявил разрывы между текущим состоянием и целевыми показателями экологически чистого сельскохозяйственного производства в Китае, а также его пространственную и временную эволюцию. Исследование подчеркивает, что экологически чистое сельскохозяйственное производство имеет решающее значение для достижения зеленой экономики и устойчивой экологии. Сунь и др. [ 25 ] предложили структуру для оценки взаимосвязи между информатизацией сельского хозяйства и экономическим развитием в провинции Шаньдун. Используя девять показателей, включая валовой объем сельскохозяйственного производства и чистый доход фермеров на душу населения, они применили метод энтропии и модели координации для оценки их взаимодействия в период с 2011 по 2019 год. Результаты показали положительную корреляцию и координацию между информатизацией сельского хозяйства и экономическим ростом в провинции. Чжан и др. [ 26 ] разработали исследовательскую структуру для изучения влияния зеленой совокупной факторной производительности (ГФФ) в сельском хозяйстве, используя девять показателей, таких как труд, земля, техника и водные ресурсы. В исследовании применялись методы энтропии-TOPSIS и SBM-GML, а также модели панельных данных, и был сделан вывод, что цифровая экономика значительно повышает ГФФ за счет содействия сельскохозяйственным инновациям, с региональными различиями. Чен и др. [ 27 ] исследовали влияние нерационального распределения факторов на высококачественное развитие сельского хозяйства, сосредоточившись на эффективности и справедливости в сельском хозяйстве. Анализируя данные по 154 основным зернопроизводящим регионам (2004–2020 гг.) с помощью пространственных эконометрических моделей, исследование выявило низкий уровень неэффективного распределения факторов, но определило его сдерживающее воздействие на развитие высококачественного сельского хозяйства, с заметными пространственными и временными различиями. Гао [ 28 ] предложил структуру координации взаимосвязи, основанную на восьми измерениях, включая экономическую жизнеспособность сельского хозяйства, экологическую защиту и экологическое давление. Используя данные по 31 провинции (2011–2021 гг.), исследование применило модель степени координации взаимосвязи и индекс Морана для анализа пространственно-временных тенденций между развитием высококачественного сельского хозяйства и экологическим строительством. Результаты показали низкий уровень координации взаимосвязи, при этом развитие сельского хозяйства отстает от экологического прогресса. Цин и др. [ 29][ ] исследовали координацию взаимосвязи между эффективностью выбросов углерода в сельском хозяйстве и экономическим ростом в бассейне реки Хуанхэ в период с 2010 по 2020 год. Используя данные из 30 городов и такие параметры, как труд, земля, сельскохозяйственный капитал и водные ресурсы, исследование выявило значительные пространственные дисбалансы и тенденцию к снижению степени координации взаимосвязи. Хоу и др. [ 30 ] разработали оценочную структуру для сельскохозяйственной экологической трансформации на основе теории низкоуглеродных инноваций. Используя 10 показателей, таких как площадь обрабатываемых земель и применение удобрений, в исследовании применялись модель Super-SBM и динамическая панельная пороговая модель для анализа нелинейного воздействия цифровой экономики на сельскохозяйственную экологическую трансформацию. Результаты показывают устойчивое улучшение, хотя общий уровень остается относительно низким. Кастрильон-Гомес и др. [ 31 ] разработали методологию, интегрирующую моделирование системной динамики и ANP для оценки и приоритизации зеленых проектов. Подход включает три этапа: участие сообщества, калибровка модели для моделирования сельскохозяйственных и экологических воздействий и принятие решений посредством экспертной оценки. Исследование, проведенное в Колумбии, продемонстрировало эффективность методологии в балансировании местных потребностей и экспертных оценок, улучшении принятия решений и уменьшении предвзятости. Этот подход помогает согласовать «зеленые» проекты с развитием сельского хозяйства и экологической устойчивостью. Ван и др. [ 32 ] исследовали влияние сельскохозяйственных ресурсов и урбанизации на неравенство доходов между городом и деревней в Китае. Они сосредоточились на аспектах сельскохозяйственных ресурсов и урбанизации, используя набор данных с 1997 по 2015 год. Исследование показало, что урбанизация способствовала сокращению неравенства доходов, а использование удобрений оказывало различное влияние в зависимости от уровня урбанизации. Ло и др. [ 33 ] исследовали, как образование фермерских кооперативов влияет на внедрение «зеленых» технологий предотвращения и контроля (GCT) в сельских районах Китая. Они использовали показатели, связанные с образованием, и проанализировали внедрение таких технологий, как борьба с вредителями и интеграция удобрений. Исследование показало, что кооперативное образование значительно увеличило внедрение GCT и повысило экологическую осведомленность фермеров. Цин и др. [ 34 ] изучали влияние экологической осведомленности фермеров на улучшение условий жизни в сельской местности провинции Сычуань. Они проанализировали три аспекта экологической осведомленности: осознание проблемы, терпимость к загрязнению и отношение к защите окружающей среды. Исследование показало, что более высокая осведомленность способствует участию в мероприятиях по улучшению состояния окружающей среды.
2.3. Эмпирические исследования взаимосвязи и координации сельскохозяйственной экономики и экосистемы.
Ван и др. [ 35 ] использовали модель степени координации связи для изучения сельскохозяйственной экоэкономической системы в городе Яньань с 2010 по 2018 год. Исследование показало, что уровень координации значительно улучшился благодаря проектам консолидации земель и восстановления экологии. Цзян и др. [ 36 ] проанализировали влияние цифровой экономики на «зеленое» развитие сельского хозяйства, используя панельные данные из 30 провинций Китая с 2011 по 2020 год. Исследование выявило региональную неоднородность, нелинейные «возрастающие предельные эффекты» и пространственные эффекты распространения цифровой экономики. Лю и др. [ 37 ] применили метод энтропийного взвешивания и модель степени координации связи для анализа взаимосвязей между сельским хозяйством, экономикой, окружающей средой и обществом в провинции Аньхой. Исследование выявило чрезмерное использование пестицидов и недостаточную техническую поддержку как основные барьеры на пути к устойчивому развитию. Яо и др. [ 38 ] использовали метод энтропийного взвешивания CRITIC для оценки агроэкологических и экономических систем в бассейне озера Эбинур с 2001 по 2021 год. Исследование выявило высокую степень взаимосвязи (0,8), но низкую степень координации (0,36), при этом экологическое отставание заменило экономическое отставание в качестве основной проблемы после 2010 года. Чжан и др. [ 39 ] исследовали координацию взаимосвязи между сельским хозяйством и экологией в 16 крупных зернопроизводящих уездах провинции Цзилинь с 2004 по 2018 год. Исследование выявило устойчивое улучшение координации, при этом экологическое развитие отставало от экономического роста в центральных регионах. Ван и др. [ 7 ] проанализировали пространственно-временную координацию взаимосвязи между сельскохозяйственной экологией и экономикой в 31 провинции Китая с 2010 по 2020 год. Исследование выявило устойчивое улучшение уровня координации, но сохраняющиеся региональные различия. Цин и др. [ 29 ] использовали модель сверхэффективного измерения на основе слабых мест (SBM) для оценки эффективности выбросов углерода в сельском хозяйстве бассейна реки Хуанхэ в период с 2010 по 2020 год. Результаты показали значительные пространственные различия и тенденцию к снижению координации взаимосвязи. Сюн и др. [ 40 ] исследовали системы «наука и технологии – инновации – экономика – экология» в бассейне реки Янцзы в период с 2010 по 2021 год. Исследование выявило характеристику «высокая взаимосвязь, низкая координация», со значительными экологическими колебаниями и региональными различиями. Вышеупомянутые исследования показывают, что уровень координации взаимосвязи между сельскохозяйственной экономикой и экологическими системами Китая в целом улучшился с течением времени, но сохраняются значительные региональные различия. Эти результаты предоставляют ценные ориентиры для дальнейшего изучения пространственно-временной эволюции и препятствий в скоординированном развитии сельскохозяйственной экономики и экологии.
В целом, существующие исследования анализируют взаимосвязь между сельскохозяйственной экономикой и экологией с различных методов и точек зрения, но в основном сосредоточены на таких регионах, как Аньхой, Яньань, бассейн реки Хуанхэ, бассейн озера Эбинур, Северо-Китайская равнина, Цзилинь и бассейн реки Янцзы. Однако общенациональные исследования остаются ограниченными. Для решения этой проблемы в данном исследовании применяется теория координации взаимосвязи в сочетании с коэффициентом Джини Дагума, оценкой плотности ядра, цепью Маркова и моделями степени препятствий для проведения эмпирического анализа региональных различий, пространственно-временной эволюции и ограничивающих факторов во взаимосвязи и координации сельскохозяйственной экономики и экологии в 31 провинции Китая. В работе изучаются закономерности пространственного распределения, тенденции развития, количественно оцениваются источники региональных различий и определяются ключевые ограничения для предоставления научного руководства по оптимизации региональной сельскохозяйственной и экологической координации.
3. Методология исследования
3.1. Объект исследования и источники данных
Данные, использованные в этом исследовании, охватывают период с 2008 по 2022 год, то есть 15 лет. В связи со значительными различиями в политическом, статистическом и нормативном контексте между Тайванем, Гонконгом, Макао и материковым Китаем, которые могут повлиять на точность и сопоставимость результатов, эти регионы исключены из данного исследования. Методы отбора и обработки данных в этом исследовании направлены на обеспечение надежности и практической применимости результатов. Для поддержания согласованности и сопоставимости регионального анализа в данном исследовании используется стандарт региональной классификации, установленный Национальным статистическим бюро Китая. Согласно этому стандарту, Китай разделен на три региона — восточный, центральный и западный — на основе географических, экономических и социальных факторов, как показано в таблице 1 .
Таблица 1. Охват трех основных регионов Китая.
Основные данные, необходимые для данного исследования, в основном взяты из изданий «Китайского статистического ежегодника» , «Китайского сельского статистического ежегодника» , «Китайского продовольственного ежегодника» , «Китайского экологического статистического ежегодника» , «Китайского статистического ежегодника водных ресурсов» , статистических ежегодников 31 провинции и « Китайского сельскохозяйственного статистического ежегодника» (2008–2019) .
3.2. Построение системы оценочных показателей
3.2.1. Показатели оценки сельскохозяйственной экономики
Сельскохозяйственная экономика относится к экономической системе, сформированной вокруг сельскохозяйственного производства, обращения, потребления и связанных с ними видов деятельности, являясь неотъемлемой частью национальной экономики [ 41 ]. С развитием современного сельского хозяйства сельскохозяйственная экономическая система становится все более сложной и разнообразной. Один показатель не может всесторонне измерить уровень ее многомерного и комплексного развития. Поэтому построение многоуровневой и многомерной системы оценочных показателей имеет важное значение для научной оценки развития сельскохозяйственной экономической системы. В данном исследовании используются результаты работ Лю и др. (2020) [ 24 ], Чжан и др. (2023) [ 26 ], Чен и др. (2023) [ 27 ], Гао (2023) [ 28 ], Го и др. (2024) [ 42 ], Ван и др. (2024) [ 43 ], Го и др. (2023) [ 44 ], Лю и др. (2022) [ 45 ] и Сунь и др. (2022) [ 25 ]. На основе этих исследований было выбрано 19 показателей из пяти измерений: экономические затраты, экономическая структура, эффективность производства, экономические выгоды и экономическая деятельность, для построения системы оценочных показателей для сельскохозяйственной экономической системы.
Данные, использованные в этом исследовании, в основном получены из Китайского статистического ежегодника, Статистических ежегодников 31 провинции Китая, Китайского сельского статистического ежегодника, Статистической базы данных по возрождению сельских районов, Китайского зернового ежегодника, Китайского финансового ежегодника и Китайской сельскохозяйственной статистики. Веса каждого показателя были рассчитаны с использованием метода энтропии, как показано в формулах (1)–(7). Более подробная информация представлена в Таблице 2 , а конкретные источники данных — в Дополнительной таблице S1 .
Таблица 2. Система показателей для оценки аграрной экономики.
3.2.2. Показатели оценки сельскохозяйственных экосистем
Сельскохозяйственная экология относится к системе, сформированной взаимодействием сельскохозяйственного производства и экологической среды, включая экологические условия, экосистемные услуги и воздействие сельскохозяйственной деятельности на окружающую среду. Она служит важнейшей основой для устойчивого развития сельского хозяйства и экологического баланса. С развитием современного сельского хозяйства сельскохозяйственные экосистемы сталкиваются с растущим экологическим давлением, а также с возрастающими проблемами сложности и стабильности. Для всесторонней оценки уровня их развития необходимо построить многоуровневую, многомерную систему оценочных показателей. В данном исследовании используются результаты исследований Лю и др. (2020) [ 24 ], Хоу и др. (2024) [ 30 ], Цзян и др. (2022) [ 36 ], Лю и др. (2022) [ 45 ] и Ян и др. (2019) [ 46 ]. На основе этих исследований были выбраны 11 показателей из двух измерений: экологические условия и экологическое давление, для построения системы оценочных показателей сельскохозяйственной экологии.
Данные, использованные в этом исследовании, в основном взяты из Статистических ежегодников 31 провинции Китая, Статистического ежегодника лесного хозяйства и пастбищ Китая, Статистического ежегодника лесного хозяйства Китая, Статистического ежегодника окружающей среды Китая, Статистических данных сельского хозяйства Китая (1949–2019), Статистического ежегодника сельской местности Китая и Статистического ежегодника водных ресурсов Китая. Веса каждого показателя были рассчитаны с использованием метода энтропии, как показано в формулах (1)–(7). Более подробная информация представлена в Таблице 3 , а конкретные источники данных — в Дополнительной Таблице S2 .
Таблица 3. Система показателей для оценки сельскохозяйственной экологии.
3.3. Методы исследования
3.3.1. Метод комплексной оценки с учетом энтропии
Сельскохозяйственная экономика и экосистема включают в себя множество сложных показателей. Из-за различий в объеме данных прямое сравнение затруднительно, требуя научного метода для присвоения весов и обеспечения сопоставимости данных. Метод энтропийного взвешивания, заимствованный из физики, измеряет неупорядоченность системы [ 47 ]. Введенный в анализ решений в 1965 году [ 48 ], он широко применяется в теории информации, экологии и экономике. Количественно оценивая неопределенность показателей, более низкие значения энтропии указывают на более высокую изменчивость и больший вес. Благодаря своей объективности и надежности метод энтропийного взвешивания стал важным инструментом для оценки множества показателей [ 49 ]. Таким образом, в данном исследовании мы используем метод энтропийного взвешивания для расчета весов показателей сельскохозяйственной экономики и экосистемы. Процесс вычислений выглядит следующим образом:
(1) Стандартизация исходных данных:
Для положительных показателей:
Для негативных показателей:
(2) Расчет доли показателя b в году a:
В формулах (1)–(7), X'аб представляет собой стандартизированное значение b -го показателя в году a, и Паб — это доля b -го показателя в году а относительно суммы всех стандартизированных значений. Значение энтропии, Эб измеряет неопределенность b -го индикатора и коэффициент дивергенции. dб отражает его изменчивость. Вес Вб. Значение каждого показателя определяется на основе его коэффициента расхождения. Наконец, комплексный индекс развития U получается путем суммирования взвешенных стандартизированных значений всех показателей.
3.3.2. Модифицированная модель степени координации связи
Модель координации связей была первоначально разработана в физике для описания взаимодействий и уровней координации между системами [ 50 ]. При применении в социальных науках традиционные модели часто сталкиваются с проблемой недостаточной дифференциации результатов вычислений, что затрудняет точное отражение степени связи истинной координации систем [ 51 ]. Для решения этой проблемы Ван Шуцзя и другие ученые предложили модифицированную модель координации связей. Эта модифицированная модель вводит механизм нелинейной корректировки и динамические веса, повышая ее адаптивность к взаимодействиям внутри сложных систем. Эти улучшения позволяют модели лучше обрабатывать нелинейные связи и динамические изменения между системами, увеличивая дифференциацию результатов вычислений и значительно повышая достоверность степени связи [ 51 ]. Сегодня модифицированная модель координации связей широко применяется в таких областях, как экономика, экология и охрана окружающей среды [ 52 , 53 , 54 ]. В данном исследовании модифицированная модель координации связей используется для анализа уровня координации сельскохозяйственной экономики и развития экосистем с целью повышения точности и надежности результатов анализа. Процесс вычислений выглядит следующим образом:
Данное исследование посвящено сельскохозяйственной экономической системе и сельскохозяйственной экологической системе, следовательно, n = 2.𝑈𝑖и𝑈джпредставляют собой комплексные индексы развития сельскохозяйственной экономики и экологии соответственно. Предполагая максимальное значение (𝑈𝑖) являетсяУ2, уравнение упрощается до уравнения (9).
В уравнениях (9)–(11) C представляет собой степень взаимосвязи между сельскохозяйственной экономикой и экологией в диапазоне [0, 1]. T обозначает комплексный индекс координации, а α и β представляют собой веса сельскохозяйственной экономики и экологии соответственно. Учитывая взаимное взаимодействие между ними в процессе развития и принимая во внимание результаты предыдущих исследований, предполагается, что они одинаково важны для скоординированного развития, следовательно, α = β = 0,5 [ 25 , 29 , 46 , 55 , 56 ]. D представляет собой индекс взаимосвязи координации между сельскохозяйственной экономикой и экологией в диапазоне [0, 1]. Более высокое значение D указывает на лучшую взаимосвязь координации между ними. На основе метода деления на равные интервалы [ 57 ] степень взаимосвязи координации между сельскохозяйственной экономикой и экологией классифицируется на 10 уровней ( таблица 4 ).
Таблица 4. Критерии оценки координации взаимодействия агроэкономики и агроэкологии.
3.3.3. Коэффициент Джини Дагума
Коэффициент Джини Дагума, предложенный Камило Дагумом в 1980 году, является расширением традиционного коэффициента Джини, предназначенного для лучшего анализа и интерпретации неравенства [ 58 ]. Традиционный коэффициент Джини имеет ограничения в выявлении региональных различий, в частности, в своей неспособности эффективно различать внутрирегиональное и межрегиональное неравенство. Для решения этих проблем коэффициент Джини Дагума разлагает общее неравенство на внутрирегиональное неравенство, межрегиональное неравенство и коэффициент вклада, тем самым преодолевая ограничения традиционной модели [ 58 ]. Это разложение обеспечивает более точное понимание региональных различий, что делает коэффициент Джини Дагума широко применимым в таких областях, как экономика, регионоведение и социальное развитие [ 59 , 60 ]. В данном исследовании коэффициент Джини Дагума используется для измерения региональных различий в сопряженном и скоординированном развитии сельскохозяйственной экономики и экосистем. Он позволяет проводить более глубокий анализ компонентов внутрирегионального и межрегионального неравенства, обеспечивая научную основу для содействия скоординированному региональному развитию. Формула для расчета общего коэффициента Джини выглядит следующим образом:
В уравнении (12) G представляет собой коэффициент Джини Дагума. j иℎi и r обозначают различные регионы, а i и r — провинции в пределах этих регионов. k — общее количество регионов, анджин ℎ количество провинций в регионе j и ℎ, соответственно. 𝑌𝑗 𝑖 и 𝑌ℎ 𝑟 являются уровнями координации связей провинций i и r в регионах j и h соответственно, ий̲— это средний уровень координации связей по всем провинциям. В уравнениях (13)–(17) коэффициент Джини разбит на три части: внутрирегиональное неравенство (Гв), межрегиональное неравенство (Гн б), и плотность межрегиональной изменчивости (ГтВ уравнениях (18)–(22) определены несколько ключевых переменных: Пдж — это доля провинций в регионе j .Сдж — это средний уровень координации связи для области j , и Д𝑗 ℎ представляет собой разницу между регионами j и h .d𝑗 ℎ и п𝑗 ℎ используются для расчета различий в уровнях координации связи между регионами.Фджи Фℎ являются кумулятивными функциями распределения уровней координации связи в областях j и h соответственно.
3.3.4. Оценка плотности ядра
Метод оценки плотности ядра (KDE), предложенный Розенблаттом в 1956 году, является непараметрическим методом, широко используемым для оценки функций плотности вероятности [ 61 ]. KDE генерирует непрерывную кривую плотности вероятности путем применения сглаживающей ядерной функции к каждой наблюдаемой точке данных и вычисления взвешенной суммы. Этот подход эффективно отражает характеристики распределения данных [ 62 ]. По сравнению с традиционными статистическими методами, KDE не требует предположений о типе распределения данных, предлагая большую гибкость. Он особенно хорошо подходит для выявления нелинейных структур и разнообразия в данных. В результате KDE широко применяется в таких областях, как экономика, социология и экология [ 63 , 64 ], и демонстрирует значительные преимущества в многомерном анализе данных. Поэтому в данном исследовании метод оценки плотности ядра используется для анализа характеристик распределения и тенденций взаимосвязи и скоординированного развития сельскохозяйственной экономики и экосистем. Формула расчета выглядит следующим образом:
В уравнениях (23) и (24) f ( x ) — функция плотности случайной величины X , где X𝑖 отражает уровень координации взаимодействия сельского хозяйства и экологии в каждой провинции. x̲— средний уровень координации связи, N — общий размер выборки, h — ширина полосы пропускания, а K (·) — функция ядра. K( 𝑥 ) является стандартной обычной функцией ядра.
3.3.5. Цепь Маркова
Традиционная цепь Маркова
Традиционная цепь Маркова, предложенная Андреем Марковым в 1906 году, представляет собой модель, используемую для описания случайных переходов между состояниями системы [ 65]. ]. Она широко применяется для анализа вероятностей перехода состояний и прогнозирования будущих состояний. В данном исследовании цепь Маркова используется для анализа изменений степени координации связи между сельскохозяйственной экономикой Китая и экосистемами с 2008 по 2022 год. Путем построения матрицы переходов Маркова модель выявляет закономерности переходов координации связи, предоставляя данные для прогнозирования будущих событий.
Цепь Маркова отражает распределение вероятностей переходов между различными состояниями координации взаимодействия в Китае во времени. В этой модели состояниеXтв момент времени t зависит исключительно от состояния.X𝑡 − 1на предыдущем шаге по времени. Вероятность перехода.П𝑡 , 𝑡 + 𝑛𝑖 𝑗обозначает вероятность перехода из состояния i в состояние j в период между годами t и t + n , рассчитываемую следующим образом:
Пространственная цепь Маркова
Традиционная цепь Маркова эффективна для выявления закономерностей перехода степеней координации связи во времени, но не учитывает пространственную зависимость и региональные различия. Для решения этой проблемы была разработана пространственная цепь Маркова, включающая пространственную матрицу смежности для учета влияния соседних регионов. Такой подход позволяет анализировать пространственную агломерацию и эффекты передачи, повышая способность модели улавливать региональную эволюцию [ 66 ]. В данном исследовании пространственная цепь Маркова применяется для анализа характеристик пространственного перехода степени координации связи между сельскохозяйственной экономикой и экосистемами в Китае с 2008 по 2022 год. Для изучения того, как координация связи соседних провинций влияет друг на друга, пространственная цепь Маркова сочетается с индексом Морана I для проверки пространственной корреляции [ 67 ]. Формула для индекса Морана I выглядит следующим образом:
3.3.6. Модель степени препятствия
Модель степени препятствий, основанная на теории систем и теории сложных сетей, количественно оценивает влияние ограничивающих факторов на эффективность и координацию системы [ 68 ]. Основанная на «теории узких мест» и «теории сложных систем», она фокусируется на выявлении и устранении препятствий для содействия развитию системы [ 69 ]. В данной работе модель степени препятствий используется для выявления барьеров на пути взаимосвязанного развития сельскохозяйственной экономики и экосистемы Китая, предлагая идеи для улучшения их координации. Формула расчета выглядит следующим образом:
В уравнениях (28)–(30): X'абп редставляет собой стандартизированное значение индекса. Ф бобозначает вес индекса. ℎб указывает на степень препятствия, которое каждый показатель представляет для развития координации взаимодействия. Х бобозначает степень препятствия на уровне критерия, причем большие значения указывают на большее препятствие, создаваемое соответствующим субиндикатором, для степени координации взаимодействия двух систем.
4. Результаты и анализ
4.1. Анализ результатов измерений координации сцепления
4.1.1. Общие характеристики
Используя уравнения (8)–(11), была рассчитана степень координации взаимосвязи между сельскохозяйственной экономикой и экологией Китая в период с 2008 по 2022 год. Тенденции степени связи и уровня координации были построены с помощью Excel 2016, как показано на рисунке 2 .
Рисунок 2. Степень координации взаимосвязи между сельскохозяйственной экономикой и экологией в Китае (2008–2022 гг.).
С точки зрения степени взаимосвязи, хотя степень взаимосвязи между сельскохозяйственной экономикой и экосистемой Китая в отдельные годы в течение исследуемого периода снижалась, в целом наблюдалась тенденция к росту. Средняя степень взаимосвязи увеличилась с минимального значения 0,7270 в 2008 году до 0,7844 в 2014 году, затем незначительно снизилась до 0,7632 в 2019 году и достигла пика в 0,8267 в 2022 году. Это указывает на то, что взаимосвязь между сельскохозяйственной экономикой и экосистемой постепенно улучшалась, приближаясь к более высокому уровню.
С точки зрения степени координации взаимодействия, наблюдался устойчивый ежегодный рост, увеличившийся с 0,4363 в 2008 году до 0,5406 в 2022 году, с относительным темпом роста в 23,91%. Однако общий уровень координации остается относительно низким. На основе классификационных стандартов уровней координации взаимодействия, исследуемый период можно разделить на две фазы: первая фаза (2008–2017 гг.), когда степень координации взаимодействия колебалась от 0,4363 до 0,4963, что указывает на состояние «близкое к дисбалансу»; и вторая фаза (2018–2022 гг.), когда степень координации взаимодействия превысила 0,5, достигнув стадии «едва скоординированного» состояния. Улучшение координации взаимодействия в значительной степени объясняется реализацией Китаем Стратегии возрождения сельских районов в 2017 году. Эта стратегия подчеркивала трансформацию традиционного сельского хозяйства в современное и ставила во главу угла охрану окружающей среды как основной принцип развития сельского хозяйства. В сельскохозяйственной экономике развитие индустриализации и технологий в сельском хозяйстве — таких как современная сельскохозяйственная техника, интеллектуальные сельскохозяйственные платформы и методы точного земледелия — способствовало развитию специализированного, высокодоходного сельского хозяйства, повышению производительности и экономической эффективности сельского хозяйства, а также поддержке структурных реформ в сфере предложения. В экологической сфере такие меры, как рациональный севооборот, смешанные посевы и сокращение использования химических удобрений и пестицидов, снизили экологическое давление сельскохозяйственной деятельности, способствуя восстановлению баланса сельских экосистем.
В заключение, эти усилия значительно продвинули развитие взаимосвязи и координации между сельскохозяйственной экономикой Китая и его экосистемой. Однако необходимы дальнейшие усилия для повышения общего уровня координации в целях достижения устойчивого развития сельского хозяйства.
4.1.2. Характеристики провинций и регионов
На основе степени координации взаимодействия, рассчитанной в разделе 4.1.1 с точки зрения провинций, регионы были статистически классифицированы на восточную, центральную и западную области, результаты классификации представлены в таблице 5. Временные тенденции развития уровней координации на провинциальном уровне были визуализированы с помощью ArcGIS 10.6.1, как показано на рисунке 3. Стоит отметить, что провинции, включенные в восточный, центральный и западный регионы, были указаны в разделе 3.1 «Объект исследования и источники данных» ( таблица 1 ).
Рисунок 3. Временные изменения уровней координации развития сельскохозяйственной экономики и экологии в разных провинциях Китая с 2008 по 2022 год. Примечание: подготовлено на основе стандартной карты, предоставленной веб-сайтом стандартной картографической службы Министерства природных ресурсов, GS(2019)1822.
Таблица 5. Степень координации взаимосвязи между аграрной экономикой и экологией в Китае с региональной точки зрения (2008–2022 гг.).
Согласно таблице 5 , результаты исследования можно суммировать в двух основных пунктах: Во-первых, степень координации взаимодействия в трех регионах (восточном, центральном и западном) демонстрировала устойчивое улучшение с течением времени. В течение периода исследования, за исключением небольших колебаний в центральном и западном регионах в 2011 и 2014 годах, во всех регионах наблюдался ежегодный рост, что указывает на прогресс в направлении повышения уровня координации между агроэкономикой и экологией. Многолетние средние значения степени координации взаимодействия были следующими: центральный регион (0,501) > восточный регион (0,493) > западный регион (0,47). Во-вторых, степень координации взаимодействия в восточном регионе увеличилась с 0,431 в 2008 году до 0,555 в 2022 году, с темпом роста 28,77%. С 2011 года она стабильно превышала средний показатель по стране (0,466) и превзошла центральный регион в 2017 году, сохраняя лидерство и в дальнейшем. Это показывает, что восточный регион продемонстрировал наиболее значительный рост среди трех. Центральный регион также показал стабильный рост, увеличившись с 0,464 в 2008 году до 0,549 в 2022 году. На протяжении всего периода исследования степень координации связей в нем оставалась выше среднего показателя по стране, хотя темпы роста были несколько ниже, чем в восточном регионе. В отличие от этого, степень координации связей в западном регионе увеличилась с 0,423 в 2008 году до 0,522 в 2022 году, с темпами роста в 23,4%. Однако она постоянно оставалась ниже среднего показателя по стране и оставалась самой слабой среди трех регионов.
На основании таблицы 5 и рисунка 3 анализ уровней координации взаимодействия на региональном и провинциальном уровнях выявляет заметные тенденции. Восточный регион продемонстрировал значительный рост, обогнав центральный и западный регионы с 2017 года и заняв первое место среди трех регионов. К 2022 году 90,91% провинций восточного региона имели степень координации взаимодействия выше 0,5, при этом Фуцзянь превысила 0,6 и вступила в начальную стадию взаимодействия. Такие провинции, как Шаньдун, Хайнань и Ляонин, также приблизились к пороговому значению 0,6. Центральный регион в целом имеет преимущество, поскольку его средний уровень координации взаимодействия на протяжении всего периода исследования превосходил восточный и западный регионы. К 2022 году 62,5% его провинций превысили степень координации взаимодействия 0,5. Однако внутренние различия сохраняются. На начальном этапе лидировали провинции Цзилинь и Хэйлунцзян, в то время как Цзянси и Хунань продемонстрировали преимущества отстающих, достигнув более высоких показателей только после 2020 года. Шаньси, напротив, пережила стагнацию и спад в 2022 году, что подчеркивает проблемы в достижении скоординированного развития. Западный регион, хотя и отставал в целом, продемонстрировал быстрый рост, при этом степень координации взаимодействия увеличилась на 23,4% с 2008 по 2022 год. Внутренняя Монголия выделилась, достигнув степени координации взаимодействия 0,684 в 2022 году, войдя в число лучших в стране. Большинство других западных провинций показали ограниченный рост, в среднем 0,507 к 2022 году, что отражает устойчивый прогресс, несмотря на региональные проблемы.
В целом, несмотря на значительный прогресс Китая в укреплении координации между сельскохозяйственной экономикой и экологией, региональные различия остаются очевидными. Для решения этих проблем восточному региону следует использовать свои технологические и экономические преимущества для развития «зеленых» инноваций. Центральному региону следует сосредоточиться на оптимизации распределения ресурсов и повышении производительности, в то время как западному региону следует уделять приоритетное внимание восстановлению экологии и развитию специализированного сельского хозяйства. Создание механизмов межрегионального сотрудничества для обмена ресурсами, технологиями и финансированием имеет решающее значение для сокращения региональных различий и достижения скоординированного национального развития.
4.2. Разложение региональных различий в степени координации взаимодействия.
Используя формулы (12)–(22), были рассчитаны общие различия, внутрирегиональные различия, межрегиональные различия и гипервариабельная плотность степени координации взаимосвязи между сельскохозяйственной экономикой и экологией Китая в период с 2008 по 2022 год. Результаты представлены в таблице 6 .
Таблица 6. Результаты расчета коэффициентов Джини Дагума для степени координации взаимосвязи между сельскохозяйственной экономикой и экологией Китая (2008–2022 гг.).
4.2.1. Общие различия
Рисунок 4 , построенный на основе результатов, рассчитанных по данным таблицы 6 , показывает общие различия в степени координации взаимосвязи между сельскохозяйственной экономикой и экологией Китая и их динамику. За исследуемый период общее различие уменьшилось с 0,0495 в 2008 году до 0,0439 в 2022 году, демонстрируя колеблющуюся тенденцию к снижению. Это указывает на постепенное сокращение общих различий в уровнях развития координации. Однако динамические изменения были нестабильными, демонстрируя периодические колебания. Например, общее различие выросло с 0,0495 в 2008 году до 0,051 в 2010 году, упало до 0,0469 в 2011 году, достигло минимума в 0,0422 в 2014 году, а затем колебалось около 0,0437, с двумя дополнительными подъемами и спадами за этот период.
Рисунок 4. Динамика изменения общей степени координации взаимосвязи между сельскохозяйственной экономикой и экологией в Китае (2008–2022 гг.).
4.2.2. Внутрирегиональные различия
Рисунок 5 был создан с использованием результатов, рассчитанных на основе таблицы 6. На рисунке 5 показаны коэффициенты Джини степени координации связей для трех основных регионов. В целом, коэффициенты Джини снизились, но величина и характер снижения различались по регионам. На основе средних значений региональный рейтинг был следующим: центральный (0,0413) > восточный (0,0407) > западный (0,0369), что указывает на относительно более высокий уровень внутреннего дисбаланса в центральном регионе. В частности, центральный регион показал наибольшее снижение: коэффициент Джини упал с 0,057 в 2008 году до 0,0253 в 2022 году, что составляет снижение на 55,61%. Восточный регион демонстрировал модель «рост-падение-рост», достигнув пика в 0,0447 в 2015 году и самого низкого значения в 0,0347 в 2020 году. Западный регион испытывал меньшие колебания, при этом коэффициент Джини оставался относительно стабильным на уровне около 0,037. В целом, внутренние различия между тремя регионами постепенно уменьшались, что отражает значительный прогресс в содействии координации между аграрной экономикой и экологией, а также частично смягчает дисбаланс в региональном развитии.
Рисунок 5. Динамика внутрирегиональных различий в степени координации между сельскохозяйственной экономикой и экологией в Китае (2008–2022 гг.).
4.2.3. Межрегиональные различия
Рисунок 6 был создан на основе результатов, рассчитанных по данным таблицы 6. Рисунок 6 , основанный на таблице 6 , иллюстрирует межрегиональные различия и их эволюцию. В течение исследуемого периода наибольшие колебания наблюдались между восточным и центральным регионами, за которыми следовали различия между центральным и западным регионами, в то время как различия между восточным и западным регионами были наименьшими. С точки зрения тенденций, различия между восточным и центральным регионами, а также между центральным и западным регионами демонстрировали схожие закономерности, но различия между центральным и западным регионами были значительно больше, чем между восточным и центральным регионами. Разница между восточным и центральным регионами постепенно сокращалась и почти сравнялась к 2014 году, в то время как разрыв между центральным и западным регионами оставался существенным. Между тем, различия между восточным и западным регионами демонстрировали тенденцию к расширению, в основном благодаря экономическим и технологическим преимуществам восточного региона. Восточный регион не только скорректировал свою сельскохозяйственную структуру и увеличил сельскохозяйственное производство, но и быстро внедрил передовые сельскохозяйственные технологии, способствуя экологичному и устойчивому развитию сельского хозяйства и значительно повысив уровень координации взаимодействия. Этот вывод подтверждается разделом 4.1.2 .
Рисунок 6. Динамика изменения степени координации между сельскохозяйственной экономикой и экологией в Китае (2008–2022 гг.).
4.2.4. Источники и причины неравенства
Согласно таблице 6 , были определены источники и вклад различий в степени координации взаимосвязи сельскохозяйственной экономики и экологии Китая в период с 2008 по 2022 год. В течение исследуемого периода внутрирегиональные различия демонстрировали «М»-образную структуру, следуя тренду «подъем-падение-подъем-падение», с вкладом от 27,03% до 31,48%, оставаясь относительно стабильными. Межрегиональные различия следовали «Н»-образной структуре, с вкладом от 26,6% до 43,93%, демонстрируя более значительные колебания. Гиперизменчивая плотность следовала тенденции, аналогичной межрегиональным различиям, с вкладом от 27,38% до 43,01%. Кроме того, основные источники различий менялись со временем. С 2008 по 2012 год основным источником были межрегиональные различия, что указывает на значительные различия в уровнях координации между регионами. В этот период вклад внутрирегиональных различий и высокой изменчивости плотности был примерно равным, что свидетельствует о сбалансированном влиянии внутренних дисбалансов и межрегиональных эффектов на общие различия. С 2013 по 2022 год доминирующим фактором стала высокая изменчивость плотности, отражающая увеличение межрегиональных дисбалансов в уровнях координации. Поэтому сокращение межрегиональных разрывов стало критически важной и неотложной задачей.
4.3. Динамические тенденции эволюции степени координации взаимодействия
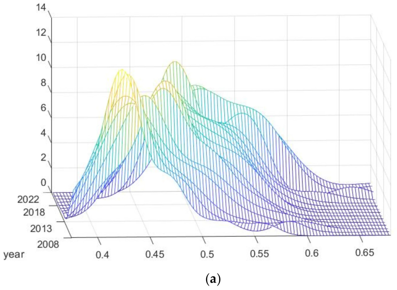
Используя коэффициент Джини Дагума для анализа различий в сельскохозяйственной экономике и экологии Китая, в этом разделе применяется оценка плотности ядра для расчета абсолютных различий и тенденций. Кривые плотности ядра координации связи, построенные с помощью MATLAB 2021b на основе формул (23)–(24), иллюстрируют динамическую эволюцию уровней координации между ними, как показано на рисунке 7 .
Рисунок 7. ( а ) Оценка плотности ядра динамической эволюции уровней координации взаимосвязи между сельскохозяйственной экономикой и экологией в Китае (2008–2022 гг.). ( б ) Оценка плотности ядра для восточного региона (2008–2022 гг.). ( в ) Оценка плотности ядра для центрального региона (2008–2022 гг.). ( г ) Оценка плотности ядра для западного региона (2008–2022 гг.).
4.3.1. Анализ оценки плотности ядра
На национальном уровне на рисунке 7а выделены три основные особенности: Во-первых, кривая плотности ядра в целом смещается вправо, что указывает на устойчивое улучшение уровня координации взаимодействия в 31 провинции и значительный прогресс в устойчивом развитии сельского хозяйства. Во-вторых, с 2020 года пиковая высота кривой плотности уменьшилась, и кривая демонстрирует удлиненный «правый хвост», отражающий растущий разрыв между провинциями с высоким уровнем координации (например, Внутренняя Монголия и Хэйлунцзян) и провинциями с низким уровнем координации (например, Чунцин и Шанхай). В-третьих, высота и ширина пика динамически колеблются, проходя через паттерн «расширение–сжатие–повторное расширение–повторное сжатие», что демонстрирует динамическую изменчивость абсолютных различий в уровнях координации взаимодействия.
На региональном уровне на рисунке 7 b–d показаны динамические тенденции развития восточного, центрального и западного регионов, подчеркивающие как общие тенденции, так и региональные особенности. К общим чертам относятся: Во-первых, общий уровень координации связей во всех трех регионах демонстрирует тенденцию к росту, при этом основные пики кривых плотности ядра постепенно смещаются вправо. В частности, основные пики для восточного, центрального и западного регионов увеличились примерно с 0,43, 0,46 и 0,42 в 2008 году до 0,56, 0,55 и 0,52 в 2022 году соответственно, переходя от стадии «на грани дисбаланса» к стадии «едва выраженной координации связей». Во-вторых, во всех трех регионах наблюдается феномен «правого хвоста», указывающий на значительные внутренние различия в уровнях координации связей. Например, такие провинции, как Ляонин и Хэбэй в восточном регионе, Хэйлунцзян и Цзилинь в центральном регионе, а также Внутренняя Монголия в западном регионе, имеют относительно высокий или низкий уровень координации, что приводит к удлинению «хвостов» распределения. Во-третьих, абсолютные внутренние различия в каждом регионе постепенно сужались. Кривые плотности ядра перешли от «плоских и широких» к «резким и узким», достигнув своих наивысших пиков в 2022 году. Это говорит о том, что внутренние различия внутри регионов первоначально увеличивались, но в конечном итоге сближались, демонстрируя явную тенденцию к сужению. Что касается региональных различий, наблюдаются отчетливые характеристики: Во-первых, пики распределения значительно различаются между регионами. Пики в восточном и центральном регионах сосредоточены вокруг 0,56 и 0,57 соответственно, в то время как пик в западном регионе находится около 0,485. Кроме того, пик в западном регионе более концентрирован, что отражает относительно более высокую согласованность уровней внутренней координации по сравнению с восточным и центральным регионами. Во-вторых, существуют значительные различия в тенденциях дифференциации уровней координации. Кривые плотности ядра в восточном и центральном регионах демонстрируют однопиковые тренды, указывающие на возрастающую однородность уровней координации. В отличие от этого, в западном регионе наблюдаются многопиковые паттерны, отражающие заметную поляризацию уровней координации. Это говорит о том, что западный регион сталкивается со значительными внутренними диспропорциями в развитии сельскохозяйственной экономики и экологической координации, подчеркивая сохраняющиеся проблемы неравномерного развития.
4.3.2. Традиционный анализ цепей Маркова
Анализ плотности ядра позволяет получить представление о динамике распределения развития координации между сельскохозяйственной экономикой и экологией Китая, выявляя тенденции в определенные моменты времени. Однако он не может количественно оценить закономерности переходов или предсказать будущую эволюцию. Для решения этой проблемы в исследовании используется модель цепи Маркова, которая анализирует вероятности переходов и динамические изменения между различными уровнями связи.
Согласно уравнению (25), в данном исследовании используется временной интервал в один год, и уровни координации взаимодействия сельскохозяйственной экономики и экологии в каждой провинции классифицируются на четыре категории на основе их относительных уровней: низкая связь (I): 0–25%, умеренно низкая связь (II): 25–50%, умеренно высокая связь (III): 50–75% и высокая связь (IV): 75–100%. Матрица вероятностей переходов, полученная с помощью модели цепи Маркова, представлена в таблице 7 , обеспечивая надежную количественную основу для дальнейшего анализа динамических закономерностей развития координации взаимодействия.
Таблица 7. Матрица вероятностей марковских переходов для координации развития сельскохозяйственной экономики и экологии Китая (2008–2022 гг.).
Во-первых, структура распределения, где диагональные данные неизменно выше недиагональных, показывает, что уровни координации взаимосвязи сельскохозяйственной экономики и экологии в разных провинциях демонстрируют высокую стабильность. В частности, вероятность сохранения текущего уровня координации в провинциях через год составляет 81,03%, 75,21%, 80,20% и 95% соответственно. Это свидетельствует о значительной устойчивости развития координации взаимосвязи в сельскохозяйственной экономике и экологии в Китае, а также о явной тенденции «клубной конвергенции».
Во-вторых, вероятность сохранения текущего уровня координации в провинциях низкого и высокого уровня составляет 81,03% и 95% соответственно, что значительно выше, чем 75,21% для провинций умеренно низкого уровня и 80,20% для провинций умеренно высокого уровня. Это свидетельствует о том, что провинции как низкого, так и высокого уровня демонстрируют более высокую самостабилизацию в развитии координации взаимодействия, что дополнительно подтверждает существование и значимость феномена «клубной конвергенции».
В-третьих, переходы между уровнями координации происходят в основном между смежными уровнями, с редкими случаями «скачков» между несколькими уровнями. Это указывает на то, что улучшение координации взаимосвязи сельскохозяйственной экономики и экологии происходит постепенно. Например, как показано в таблице 7 , провинции с низким, умеренно низким, умеренно высоким и высоким уровнями переходят только на смежные уровни, как вверх, так и вниз, без случаев перехода через более чем один уровень.
В-четвертых, вероятность перехода провинций с низким, умеренно низким и умеренно высоким уровнем координации на более высокий уровень составляет 18,97%, 24,79% и 18,81% соответственно, что указывает на некоторую нестабильность в улучшении уровня координации. В то же время вероятность перехода провинций с умеренно высоким и высоким уровнем координации на более низкий уровень составляет 0,99% и 5% соответственно, что свидетельствует о том, что по мере улучшения уровня координации возрастает риск его понижения. Поэтому провинциям следует сосредоточиться на укреплении текущего уровня координации, активно стремясь к его повышению, чтобы предотвратить регресс в развитии координации между сельскохозяйственной экономикой и экологией.
4.3.3. Анализ пространственных цепей Маркова
Традиционная цепь Маркова отражает вероятности перехода развития координации связей, но игнорирует пространственные корреляции, что ограничивает ее способность в полной мере отражать региональную динамику. Для решения этой проблемы в данном исследовании представлена пространственная цепь Маркова путем построения матрицы пространственных весов экономической географии и вычисления глобального индекса Морана I для оценки пространственной автокорреляции. На основе формулы (26) был рассчитан глобальный индекс Морана I, результаты которого представлены в таблице 8 .
Таблица 8. Глобальный индекс Морана I, отражающий взаимосвязь между сельскохозяйственной экономикой и экологией Китая (2008–2022 гг.).
Как показано в таблице 8 , глобальный индекс Морана I за 2008–2022 годы стабильно положителен, что указывает на значительную пространственную положительную корреляцию в координации развития сельскохозяйственной экономики и экологии Китая на национальном уровне. Однако индекс Морана I за 2021 год не прошел проверку на значимость. Это явление может быть связано с ограничениями метода расчета, поскольку индекс Морана I рассчитывался с использованием простой бинарной матрицы географических пространственных весов 0–1, которая не может в полной мере отразить сложные пространственные взаимосвязи [ 70 ]. Как отметил ученый Чжао Лэй (2016), незначительный индекс Морана I не обязательно указывает на отсутствие пространственной кластеризации [ 71 ]. Пока переменные демонстрируют общие характеристики пространственной кластеризации, можно построить пространственную модель цепи Маркова [ 71 ]. На основе формулы (27) была рассчитана пространственная матрица вероятностей перехода Маркова, результаты которой показаны в таблице 9 .
Таблица 9. Пространственная матрица вероятностей марковских переходов для координации развития сельскохозяйственной экономики и экологии в Китае (2008–2022 гг.).
Во-первых, значения элементов главной диагонали в пространственной матрице вероятностей перехода состояний Маркова значительно выше, чем значения элементов вне диагонали, что указывает на то, что после учета пространственных факторов координационное развитие сельскохозяйственной экономики Китая и экологической взаимосвязи по-прежнему демонстрирует феномен «клубной конвергенции».
Во-вторых, наблюдаются существенные различия между четырьмя матрицами вероятностей переходов при разных типах пространственного запаздывания. Это говорит о том, что различия в уровнях координации связей соседних провинций существенно влияют на вероятности перехода состояний в данной провинции. Развитие провинции демонстрирует различные характеристики перехода в зависимости от условий соседних регионов.
Во-третьих, пространственная матрица вероятностей переходов состояний Маркова показывает, что переходы состояний на низком, средне-низком, средне-высоком и высоком уровнях в основном сосредоточены между смежными уровнями, а большие скачки через несколько уровней встречаются относительно редко. Это дополнительно подтверждает постепенный и стабильный характер развития координации связей.
В-четвертых, различные типы запаздывания оказывают различное влияние на один и тот же уровень координации связи. Например, при средне-низком, средне-высоком и высоком уровнях запаздывания вероятность перехода на средне-высокий уровень вниз составляет 0%, 2,38% и 0% соответственно. Аналогично, вероятность перехода на высокий уровень вниз составляет 25%, 5,71% и 3,28% соответственно. Вероятность перехода на высокий уровень вниз снижается с 25% до 3,28%, что указывает на то, что при более высоком уровне запаздывания стабильность состояний высокого уровня повышается, а риск перехода на низкий уровень снижается.
Наконец, влияние одного и того же типа задержки также значительно варьируется в зависимости от различных уровней координации взаимосвязей. Например, в условиях средне-высокого уровня задержки вероятность перехода на один уровень вверх для низкого, средне-низкого и средне-высокого уровней составляет 30,33%, 27,66% и 21,43% соответственно, демонстрируя тенденцию к постепенному снижению. Это говорит о том, что на вероятность перехода влияют не только типы задержки, но и начальные уровни развития координации сельскохозяйственной экономики и экологической взаимосвязи.
4.4. Анализ факторов препятствий
Основываясь на предыдущем анализе уровней координации взаимодействия и динамических тенденций, в данном исследовании представлена модель степени препятствий для выявления ключевых факторов, мешающих скоординированному развитию сельскохозяйственной экономики и экологии. Путем расчета и ранжирования степеней препятствий для каждого показателя с использованием формул (28)–(30) эта модель обеспечивает детальное понимание основных проблем, ограничивающих координацию взаимодействия как на национальном, так и на региональном уровнях. Результаты, обобщенные в таблице 10 , выделяют пять основных показателей препятствий для сельскохозяйственной экономики и три основных показателя для сельскохозяйственной экологии, предлагая ценные сведения о целевых областях для улучшения. Ранжирование факторов препятствий для всех показателей представлено в дополнительных таблицах S3–S10 .
Таблица 10. Результаты разложения факторов препятствий и степеней препятствий.
4.4.1. Анализ препятствий в агроэкономической системе
Согласно таблице 10 , пятью основными факторами, препятствующими развитию сельскохозяйственной экономической системы Китая, являются масштаб сельскохозяйственных работ (13,8%), коэффициент использования земель (12,19%), площадь обрабатываемых земель (9,96%), урожайность зерна на душу населения (9,74%) и мощность сельскохозяйственной техники на единицу посевной площади (8,8%). Рейтинги основных факторов-препятствий в трех регионах совпадают с общенациональными результатами, отличаясь лишь порядком. Примечательно, что масштаб сельскохозяйственных работ неизменно занимает первое место, что подчеркивает его значительное и долгосрочное влияние на развитие сельскохозяйственной экономики. Существующие исследования показывают, что неадекватное управление сельскохозяйственными землями замедляет повышение эффективности оборота сельскохозяйственной продукции [ 72 ]. Напротив, крупномасштабное управление сельскохозяйственными землями значительно повышает оборот сельскохозяйственной продукции. Кроме того, расширение масштабов сельскохозяйственных работ несколько ограничивает рост производительности земель. Согласно данным Третьего национального обследования земель, площадь обрабатываемых земель в Китае сократилась на 113 миллионов му за последнее десятилетие, при этом темпы ежегодного сокращения ускоряются. Площадь обрабатываемых земель на душу населения сократилась с 1,59 му в первом исследовании до 1,36 му в третьем исследовании, что сейчас составляет менее 40% от среднемирового показателя. Эта тенденция подчеркивает серьезные ограничения, накладываемые нехваткой обрабатываемых земель на сельскохозяйственную экономику.
Для решения этих проблем правительство должно усилить политику защиты сельскохозяйственных земель и компенсации за землю, чтобы обеспечить эффективное использование земельных ресурсов, одновременно содействуя передаче земель и крупномасштабным операциям по повышению их продуктивности. Кроме того, следует увеличить инвестиции в сельскохозяйственные технологии, уделяя особое внимание внедрению водосберегающих технологий орошения и точного внесения удобрений для повышения продуктивности земель и снижения зависимости от обрабатываемых земель. Наконец, правительство должно поддерживать механизацию и автоматизацию сельского хозяйства для повышения эффективности производства, особенно в регионах с ограниченными ресурсами.
4.4.2. Анализ препятствий в сельскохозяйственной экологической системе
Согласно таблице 10 , основными факторами, препятствующими развитию сельскохозяйственных экологических систем на национальном и региональном уровнях, являются общая площадь лесопосадок (4 случая), площадь обработки почвы от эрозии (4 случая), степень орошения обрабатываемых земель (3 случая) и годовое количество осадков (1 случай). С 2008 по 2022 год общая площадь лесопосадок и площадь обработки почвы от эрозии неизменно занимали первые два места среди факторов, препятствующих развитию сельскохозяйственных систем, как в стране, так и в трех основных регионах, с относительно высокими значениями, что указывает на их значительное влияние на сельскохозяйственную экосистему. В частности, общая площадь лесопосадок демонстрирует общую тенденцию к снижению, хотя и более медленными темпами по сравнению с площадью обработки почвы от эрозии, что предполагает, что она может оказывать более сильное негативное воздействие на сельскохозяйственную экосистему. В то же время степень препятствия, связанного с площадью обработки почвы от эрозии, постепенно снижается, что указывает на вероятное временное ослабление ее негативного воздействия на сельскохозяйственную экосистему.
Для решения потенциальных негативных последствий воздействия общей площади лесопосадок на сельскохозяйственную экосистему крайне важно оптимизировать стратегии лесопосадок, сосредоточившись на улучшении качества лесопосадок и повышении экологических преимуществ. Это включает в себя выбор подходящих видов деревьев, оптимизацию планирования лесопосадок и усиление функций восстановления экологии. В то же время, несмотря на снижение степени угрозы эрозии почвы на обрабатываемых территориях, необходимо продолжать усилия по борьбе с эрозией почвы, особенно в регионах с сильной эрозией. Крайне важно обеспечить долгосрочную стабильность результатов обработки и избежать деградации экологии, вызванной снижением интенсивности обработки.
5. Выводы и обсуждение
5.1. Выводы
В данном исследовании изучается взаимосвязь между сельскохозяйственной экономикой и экологией в 31 провинции Китая с использованием двух систем показателей: одна оценивает сельскохозяйственную экономику (включая ресурсы, структуру, эффективность, выгоды и жизнеспособность), а другая — сельскохозяйственную экосистему (с акцентом на экологические условия и факторы воздействия). Исследование сочетает в себе оценку с учетом энтропии и модифицированную модель взаимосвязи для оценки уровней координации, а также исследует региональные различия и динамику с помощью таких инструментов, как коэффициент Джини Дагума, оценка плотности ядра, цепи Маркова, индекс Морана и модель степени препятствия. Данное исследование расширяет понимание взаимодействия между сельскохозяйственной экономикой и экосистемами, предлагая ценные сведения для региональной координации и разработки политики. Основные выводы исследования следующие:
Во-первых, в течение исследуемого периода взаимосвязь и координация между сельскохозяйственной экономикой и экологией Китая продолжали расти, при этом уровень координации улучшился с состояния, близкого к дисбалансу, до 2017 года до едва скоординированного состояния после 2018 года. Региональные сравнения показывают, что до 2017 года центральный регион имел более высокий уровень, но после 2017 года восточный регион превзошел центральный, в то время как западный регион неизменно оставался ниже среднего показателя по стране.
Во-вторых, общее несоответствие во взаимосвязи и координации между сельскохозяйственной экономикой и экологией Китая продолжает уменьшаться, причем основным источником этого несоответствия являются региональные дисбалансы. Кроме того, уменьшились и внутренние региональные различия, причем наибольшее сокращение наблюдалось в центральном регионе, за которым следуют восточный и западный регионы. В период с 2008 по 2012 год несоответствие в основном было обусловлено региональными дисбалансами, в то время как с 2013 по 2022 год доминирующим фактором стала «плотность трансвариации», что указывает на сохранение значительных региональных дисбалансов.
В-третьих, в целом, уровни взаимодействия и координации улучшились по всей стране и во всех трех регионах, при этом абсолютные различия сократились. Однако результаты, полученные с помощью модели Маркова, показывают феномен «клубной конвергенции», при котором будущий прогресс будет постепенным и ограничен соседними уровнями, что делает значительные скачки маловероятными и создает риск регресса.
В-четвертых, к основным препятствиям в сельскохозяйственной экономической системе относятся масштабы управления сельскохозяйственными угодьями, коэффициент использования земель, площадь обрабатываемых земель, урожайность зерна на душу населения и механизация на единицу посевной площади, при этом наиболее заметными являются недостаточные масштабы управления сельскохозяйственными угодьями и неэффективное использование земель. В сельскохозяйственной экосистеме ключевыми препятствиями являются общая площадь лесопосадок, площадь, контролируемая эрозией почвы, годовое количество осадков и уровень орошения пахотных земель, а также значительные недостатки в лесопосадках и борьбе с эрозией почвы.
5.2. Обсуждение
Данное исследование посвящено взаимосвязи и координации между сельскохозяйственной экономикой и экосистемой Китая, количественно оценивая региональные различия, динамические модели развития и ключевые препятствия. Результаты показывают, что, хотя уровень взаимосвязи и координации между сельскохозяйственной экономикой и экосистемой в Китае в целом улучшился за исследуемый период, значительные дисбалансы между регионами все еще существуют. Этот вывод согласуется с предыдущими исследованиями [ 7 , 73 ]. Исследование также выявляет зависимость от предшествующего пути развития и иерархическую жесткость в развитии взаимосвязи и координации. В частности, наблюдается феномен «клубной конвергенции» в развитии взаимосвязи и координации между сельскохозяйственной экономикой и экосистемой Китая. Будущая тенденция указывает на то, что уровень взаимосвязи и координации между провинциями будет в основном демонстрировать небольшие колебания внутри смежных уровней, а не большие скачки между уровнями. Этот вывод имеет важное значение для политиков, подчеркивая необходимость многоуровневой и региональной политики для преодоления зависимости от предшествующего пути развития и содействия скоординированному развитию между регионами. Кроме того, в данном исследовании выявлены ключевые препятствия, мешающие взаимосвязи и координации между сельскохозяйственной экономикой и экосистемой, такие как недостаточное управление земельными ресурсами, низкая эффективность землепользования, неадекватное лесовосстановление и проблемы сохранения почвы и воды. Для решения этих проблем в исследовании рекомендуется политика, направленная на содействие устойчивому землепользованию, экологически чистым сельскохозяйственным технологиям и увеличение инвестиций в восстановление экосистем.
Важно также отметить, что данное исследование опирается на успешные примеры из других стран в области координации сельского хозяйства и экологии. В Нидерландах технологии точного земледелия, такие как дистанционное зондирование, интеллектуальное орошение и анализ почвы, позволили сбалансировать сельскохозяйственное производство с защитой окружающей среды, повысить эффективность использования ресурсов и снизить загрязнение окружающей среды [ 74 , 75 ]. Экологическая модель сельского хозяйства Новой Зеландии, в которой особое внимание уделяется севообороту, органическому земледелию и переработке ресурсов, дает ценные уроки для устойчивых методов ведения сельского хозяйства [ 76 ]. Стратегии управления водными ресурсами Израиля, такие как капельное орошение и переработка воды, особенно актуальны для районов, сталкивающихся с нехваткой воды и эрозией почвы [ 77 , 78 ]. Этот глобальный опыт предлагает полезные идеи для повышения устойчивости сельского хозяйства в Китае, особенно в регионах со схожими проблемами.
В заключение, данное исследование углубляет понимание взаимосвязи и скоординированного развития сельскохозяйственной экономики и экосистемы Китая. Оно выявляет региональные различия, динамические тенденции и ключевые препятствия, предоставляя эмпирические данные для политиков. В будущем политикам следует разрабатывать дифференцированные региональные стратегии, основанные на специфических характеристиках каждого региона, обеспечивая баланс между экономическим ростом и экологической устойчивостью, тем самым закладывая прочную основу для создания более устойчивой и жизнеспособной системы сельскохозяйственно-экологического сотрудничества.
5.3. Рекомендации
На основе предыдущих исследований и текущего состояния взаимосвязи и координации между сельскохозяйственной экономикой и экосистемой Китая данное исследование предлагает следующие рекомендации для содействия сбалансированному региональному развитию и усиления координации:
Во-первых, несмотря на общий прогресс в скоординированном развитии, сохраняются значительные региональные различия. Необходимо разработать дифференцированные стратегии для восточного, центрального и западного регионов. Восточный регион должен использовать свои технологические и экономические преимущества для продвижения экологически чистых сельскохозяйственных технологий и охраны окружающей среды. Центральный регион должен сосредоточиться на оптимизации распределения ресурсов и повышении производительности сельского хозяйства. Западный регион должен уделять приоритетное внимание охране окружающей среды и развитию характерных для сельского хозяйства отраслей. Кроме того, содействие межрегиональному сотрудничеству поможет сократить неравенство и способствовать сбалансированному развитию в масштабах всей страны.
Во-вторых, следует обратить внимание на эффект «клубной конвергенции» и риски стагнации. Необходим динамический механизм мониторинга для отслеживания изменений в уровнях координации, раннего выявления рисков и соответствующей корректировки политики, обеспечивающий стабильность и устойчивость развития.
В-третьих, преодоление ключевых препятствий имеет решающее значение. Мелкомасштабное управление сельскохозяйственными угодьями и низкая эффективность использования земель являются серьезными проблемами для аграрной экономики, в то время как экологическая система испытывает трудности из-за недостаточного лесовосстановления и борьбы с эрозией почвы. Для решения этих проблем политика должна поддерживать крупномасштабные методы ведения сельского хозяйства, оптимизировать использование земель и активизировать усилия по восстановлению экологии, способствуя переходу к «зеленой» и низкоуглеродной экономике в обеих системах.
5.4. Ограничения и перспективы
Несомненно, наше исследование все еще имеет некоторые ограничения. В данном исследовании мы разработали систему показателей для сельскохозяйственной экономики и экосистем Китая на основе 30 показателей и провели эмпирический анализ с использованием панельных данных из 31 провинции. Однако, из-за уникальных характеристик муниципальных или уездных единиц в каждой провинции, эмпирический анализ с использованием данных на уровне городов или уездов обеспечил бы более высокую точность, чем данные на уровне провинций. Поэтому в будущих исследованиях следует рассмотреть улучшения в этом отношении. Кроме того, данное исследование охватывает только три региона Китая, но между провинциями внутри каждого региона существуют значительные различия в развитии. Таким образом, рекомендуется сузить региональный охват.
В будущих исследованиях мы планируем расширить масштабы и глубину изучения взаимосвязи и координации между сельскохозяйственной экономикой Китая и экосистемами. На уровне данных мы будем использовать данные более высокого разрешения на уровне городов или уездов для повышения точности и региональной применимости. Что касается региональной классификации, мы будем использовать более детальное региональное деление для сужения регионального охвата, что поможет выявить различия во взаимосвязи и координации между сельским хозяйством и экосистемами в разных регионах.
Дополнительные материалы
Вспомогательную информацию можно загрузить по адресу: https://www.mdpi.com/article/10.3390/agriculture15020176/s1 . Дополнительные пояснения к конкретным источникам показателей приведены в таблицах 2 и 3 , как показано в дополнительных таблицах S1–S2. Степень препятствий для всех показателей ранжирована, как показано в дополнительных таблицах S3–S10.
Ссылки
1. He, H.; Zhang, Z.; Ding, R.; Shi, Y. Multi-Driving Paths for the Coupling Coordinated Development of Agricultural Carbon Emission Reduction and Sequestration and Food Security: A Configurational Analysis Based on Dynamic fsQCA. Ecol. Indic. 2024, 160, 111875. [Google Scholar] [CrossRef]
2. Du, J. Understanding China’s Agricultural Track Record and Food Security. In Farmland, Farming and Food in the National Economy of China, 1947–2020: A Framework for Understanding China’s Agricultural Track Record and Food Security; Du, J., Ed.; Springer Nature Switzerland: Cham, Switzerland, 2024; pp. 125–138. [Google Scholar]
3. Ahvo, A.; Heino, M.; Sandstrom, V.; Chrisendo, D.; Jalava, M.; Kummu, M. Agricultural Input Shocks Affect Crop Yields More in the High-Yielding Areas of the World. Nat. Food 2023, 4, 1037–1046. [Google Scholar] [CrossRef]
4. Liu, L.; Zheng, X.; Wei, X.; Kai, Z.; Xu, Y. Excessive Application of Chemical Fertilizer and Organophosphorus Pesticides Induced Total Phosphorus Loss from Planting Causing Surface Water Eutrophication. Sci. Rep. 2021, 11, 23015. [Google Scholar] [CrossRef] [PubMed]
5. Jankielsohn, A. Sustaining Insect Biodiversity in Agricultural Systems to Ensure Future Food Security. Front. Conserv. Sci. 2023, 4, 1195512. [Google Scholar] [CrossRef]
6. Liu, Q.; Sun, X.; Wu, W.; Liu, Z.; Fang, G.; Yang, P. Agroecosystem Services: A Review of Concepts, Indicators, Assessment Methods and Future Research Perspectives. Ecol. Indic. 2022, 142, 109218. [Google Scholar] [CrossRef]
7. Wang, Y.; Chen, H.; Zhang, Y. Spatial Characteristics of Coupling Development of Ecological Protection and Agricultural Economy in China. Sustainability 2023, 15, 9068. [Google Scholar] [CrossRef]
8. Ren, F.; Yu, X. Coupling Analysis of Urbanization and Ecological Total Factor Energy Efficiency—A Case Study from Hebei Province in China. Sustain. Cities Soc. 2021, 74, 103183. [Google Scholar] [CrossRef]
9. He, H.; Guo, F.; Li, L.; Ding, R. Coupling Relationship and Development Patterns of Agricultural Emission Reduction, Carbon Sequestration, and Food Security. Sci. Total Environ. 2024, 955, 176810. [Google Scholar] [CrossRef] [PubMed]
10. Yu, J.; Wu, J. The Sustainability of Agricultural Development in China: The Agriculture–Environment Nexus. Sustainability 2018, 10, 1776. [Google Scholar] [CrossRef]
11. DeClerck, F.; Jones, S.; Attwood, S.; Bossio, D.; Girvetz, E.; Chaplin-Kramer, B.; Enfors, E.; Fremier, A.; Gordon, L.; Kizito, F.; et al. Agricultural Ecosystems and Their Services: The Vanguard of Sustainability? Curr. Opin. Environ. Sustain. 2016, 23, 92–99. [Google Scholar] [CrossRef]
12. Gamage, A.; Gangahagedara, R.; Gamage, J.; Jayasinghe, N.; Kodikara, N.; Suraweera, P.; Merah, O. Role of Organic Farming for Achieving Sustainability in Agriculture. Farming Syst. 2023, 1, 100005. [Google Scholar] [CrossRef]
13. Han, G.; Xu, J.; Zhang, X.; Pan, X. Efficiency and Driving Factors of Agricultural Carbon Emissions: A Study in Chinese State Farms. Agriculture 2024, 14, 1454. [Google Scholar] [CrossRef]
14. Kumar, P.; Raj, A.; Kumar, V.A. Approach to Reduce Agricultural Waste via Sustainable Agricultural Practices. In Valorization of Biomass Wastes for Environmental Sustainability: Green Practices for the Rural Circular Economy; Srivastav, A.L., Bhardwaj, A.K., Kumar, M., Eds.; Springer Nature Switzerland: Cham, Switzerland, 2024; pp. 21–50. [Google Scholar]
15. Rehman, A.; Farooq, M.; Lee, D.-J.; Siddique, K.H.M. Sustainable Agricultural Practices for Food Security and Ecosystem Services. Environ. Sci. Pollut. Res. 2022, 29, 84076–84095. [Google Scholar] [CrossRef]
16. Samim, S.A.; Deng, X.; Li, Z. Climate-Smart Agricultural Practices- Determinants and Impact on Crop Production. New Insights from Afghanistan. Mitig. Adapt. Strat. Glob. Chang. 2024, 29, 91. [Google Scholar] [CrossRef]
17. Cheng, Z.; Zhu, M.; Cai, J. Reducing Fertilizer and Pesticide Application through Mandatory Agri-Environmental Regulation: Insights from “Two Zero” Policy in China. Environ. Impact Assess. Rev. 2025, 110, 107716. [Google Scholar] [CrossRef]
18. Ingrao, C.; Strippoli, R.; Lagioia, G.; Huisingh, D. Water Scarcity in Agriculture: An Overview of Causes, Impacts and Approaches for Reducing the Risks. Heliyon 2023, 9, e18507. [Google Scholar] [CrossRef]
19. Bennett, E.M.; Baird, J.; Baulch, H.; Chaplin-Kramer, R.; Fraser, E.; Loring, P.; Morrison, P.; Parrott, L.; Sherren, K.; Winkler, K.J.; et al. Chapter One—Ecosystem Services and the Resilience of Agricultural Landscapes. In Advances in Ecological Research; Bohan, D.A., Vanbergen, A.J., Eds.; The Future of Agricultural Landscapes, Part II; Academic Press: Cambridge, MA, USA, 2021; Volume 64, pp. 1–43. [Google Scholar]
20. Peng, L.; Chen, L.; Dai, H. The Impact of Energy Structure on Agricultural Green Productivity in China. Sci. Rep. 2024, 14, 27938. [Google Scholar] [CrossRef] [PubMed]
21. Deng, G.; Jiang, H.; Wen, Y.; Ma, S.; He, C.; Sheng, L.; Guo, Y. Driving Effects of Ecosystems and Social Systems on Water Supply and Demand in Semiarid Areas. J. Clean. Prod. 2024, 482, 144222. [Google Scholar] [CrossRef]
22. Jiang, L.; Liu, Y.; Wu, S.; Yang, C. Analyzing Ecological Environment Change and Associated Driving Factors in China Based on NDVI Time Series Data. Ecol. Indic. 2021, 129, 107933. [Google Scholar] [CrossRef]
23. Mehta, P. The Impact of Climate Change on the Environment, Water Resources, and Agriculture: A Comprehensive Review. In Climate, Environment and Agricultural Development: A Sustainable Approach Towards Society; Rai, P.K., Rai, S., Eds.; Springer Nature: Singapore, 2024; pp. 189–201. [Google Scholar]
24. Liu, Y.; Sun, D.; Wang, H.; Wang, X.; Yu, G.; Zhao, X. An Evaluation of China’s Agricultural Green Production: 1978–2017. J. Clean. Prod. 2020, 243, 118483. [Google Scholar] [CrossRef]
25. Sun, Y.; Zhao, Z.; Li, M. Coordination of Agricultural Informatization and Agricultural Economy Development: A Panel Data Analysis from Shandong Province, China. PLoS ONE 2022, 17, e0273110. [Google Scholar] [CrossRef] [PubMed]
26. Zhang, Y.; Ji, M.; Zheng, X. Digital Economy, Agricultural Technology Innovation, and Agricultural Green Total Factor Productivity. SAGE Open 2023, 13, 21582440231194388. [Google Scholar] [CrossRef]
27. Chen, H.; Qin, S.; Wang, H. Spatial Spillover Effect and Nonlinear Relationship between Factor Misallocation and High-Quality Agricultural Economy: Evidence from 154 Cities in Major Grain-Producing Areas of China. Agriculture 2023, 13, 1922. [Google Scholar] [CrossRef]
28. Gao, D. Study on the Coupling Coordination and Obstacle Factors between High-Quality Agricultural Development and Ecological Construction in China. Environ. Res. Commun. 2023, 5, 075004. [Google Scholar] [CrossRef]
29. Qing, Y.; Zhao, B.; Wen, C. The Coupling and Coordination of Agricultural Carbon Emissions Efficiency and Economic Growth in the Yellow River Basin, China. Sustainability 2023, 15, 971. [Google Scholar] [CrossRef]
30. Hou, J.; Zhang, M.; Li, Y. Can Digital Economy Truly Improve Agricultural Ecological Transformation? New Insights from China. Humanit. Soc. Sci. Commun. 2024, 11, 153. [Google Scholar] [CrossRef]
31. Castrillon-Gomez, J.A.; Olivar-Tost, G.; Valencia-Calvo, J. Systems Dynamics and the Analytical Network Process for the Evaluation and Prioritization of Green Projects: Proposal That Involves Participative Integration. Sustainability 2022, 14, 11519. [Google Scholar] [CrossRef]
32. Wang, X.; Shao, S.; Li, L. Agricultural Inputs, Urbanization, and Urban-Rural Income Disparity: Evidence from China. China Econ. Rev. 2019, 55, 67–84. [Google Scholar] [CrossRef]
33. Luo, L.; Qiao, D.; Zhang, R.; Luo, C.; Fu, X.; Liu, Y. Research on the Influence of Education of Farmers’ Cooperatives on the Adoption of Green Prevention and Control Technologies by Members: Evidence from Rural China. Int. J. Environ. Res. Public Health 2022, 19, 6255. [Google Scholar] [CrossRef] [PubMed]
34. Qing, C.; Guo, S.; Deng, X.; Xu, D. Farmers’ Awareness of Environmental Protection and Rural Residential Environment Improvement: A Case Study of Sichuan Province, China. Environ. Dev. Sustain. 2022, 24, 11301–11319. [Google Scholar] [CrossRef]
35. Wang, J.; Hu, Y.; Bai, Q.J. Analysis on Coupling Development of Agricultural Eco-Economic System in Yan’an City under the Background of Gully Control and Land Consolidation Project. Chin. J. Appl. Ecol. 2020, 31, 3154–3162. [Google Scholar]
36. Jiang, Q.; Li, J.; Si, H.; Su, Y. The Impact of the Digital Economy on Agricultural Green Development: Evidence from China. Agriculture 2022, 12, 1107. [Google Scholar] [CrossRef]
37. Liu, F.; Wang, C.; Luo, M.; Zhou, S.; Liu, C. An Investigation of the Coupling Coordination of a Regional Agricultural Economics-Ecology-Society Composite Based on a Data-Driven Approach. Ecol. Indic. 2022, 143, 109363. [Google Scholar] [CrossRef]
38. Yao, L.; Halike, A.; Wei, Q.; Tang, H.; Tuheti, B. Research on Coupling and Coordination of Agro-Ecological and Agricultural Economic Systems in the Ebinur Lake Basin. Sustainability 2022, 14, 10327. [Google Scholar] [CrossRef]
39. Zhang, Z.; Zhang, Y.; Shao, X. Coupling Coordination Analysis and Spatiotemporal Heterogeneity of the Agricultural Eco-Economic System in the Main Grain-Producing Areas of Jilin Province. Env. Sci Pollut Res 2023, 30, 41782–41793. [Google Scholar] [CrossRef]
40. Xiong, C.; Zhang, Y.; Wang, W. An Evaluation Scheme Driven by Science and Technological Innovation—A Study on the Coupling and Coordination of the Agricultural Science and Technology Innovation-Economy-Ecology Complex System in the Yangtze River Basin of China. Agriculture 2024, 14, 1844. [Google Scholar] [CrossRef]
41. Borsari, B.; Kunnas, J. Agriculture Production and Consumption. In Responsible Consumption and Production; Leal Filho, W., Azul, A.M., Brandli, L., özuyar, P.G., Wall, T., Eds.; Springer International Publishing: Cham, Switzerland, 2020; pp. 1–11. [Google Scholar]
42. Guo, J.; Lyu, J. The Digital Economy and Agricultural Modernization in China: Measurement, Mechanisms, and Implications. Sustainability 2024, 16, 4949. [Google Scholar] [CrossRef]
43. Wang, Z.; Zhang, J.; He, Y.; Liu, H. A Study on the Potential of Digital Economy in Reducing Agricultural Carbon Emissions. Heliyon 2024, 10, e31941. [Google Scholar] [CrossRef] [PubMed]
44. Guo, C.; Zhang, R.; Zou, Y. The Efficiency of China’s Agricultural Circular Economy and Its Influencing Factors under the Rural Revitalization Strategy: A DEA–Malmquist–Tobit Approach. Agriculture 2023, 13, 1454. [Google Scholar] [CrossRef]
45. Liu, W.; Zhou, W.; Lu, L. An Innovative Digitization Evaluation Scheme for Spatio-Temporal Coordination Relationship between Multiple Knowledge Driven Rural Economic Development and Agricultural Ecological Environment—Coupling Coordination Model Analysis Based on Guangxi. J. Innov. Knowl. 2022, 7, 100208. [Google Scholar] [CrossRef]
46. Yang, X.; Zhang, D.; Jia, Q.; Zhang, W.; Wang, T. Exploring the Dynamic Coupling Relationship between Agricultural Economy and Agro-Ecological Environment in Semi-Arid Areas: A Case Study of Yulin, China. Sustainability 2019, 11, 2259. [Google Scholar] [CrossRef]
47. Luo, L.; Nie, Q.; Jiang, Y.; Luo, F.; Wei, J.; Cui, Y. Spatiotemporal Dynamics and Spatial Spillover Effects of Resilience in China’s Agricultural Economy. Agriculture 2024, 14, 1522. [Google Scholar] [CrossRef]
48. Heusler, S.; Dür, W.; Ubben, M.S.; Hartmann, A. Aspects of Entropy in Classical and in Quantum Physics. J. Phys. A Math. Theor. 2022, 55, 404006. [Google Scholar] [CrossRef]
49. Ouadfel, S.; Abd Elaziz, M. A Multi-Objective Gradient Optimizer Approach-Based Weighted Multi-View Clustering. Eng. Appl. Artif. Intell. 2021, 106, 104480. [Google Scholar] [CrossRef]
50. Li, Y.; Chen, Y. The Spatiotemporal Characteristics and Obstacle Factors of the Coupled and Coordinated Development of Agricultural and Rural Digitalization and Food System Sustainability in China. Front. Sustain. Food Syst. 2024, 8, 1357752. [Google Scholar] [CrossRef]
51. Wang, S.; Kong, W.; Ren, L.; Zhi, D.; Dai, B. Research on Misuses and Modification of Coupling Coordination Degree Model in China. J. Nat. Resour. 2021, 36, 793–810. [Google Scholar] [CrossRef]
52. Wei, H.; Xue, D.; Huang, J.; Liu, M.; Li, L. Identification of Coupling Relationship between Ecosystem Services and Urbanization for Supporting Ecological Management: A Case Study on Areas along the Yellow River of Henan Province. Remote Sens. 2022, 14, 2277. [Google Scholar] [CrossRef]
53. Li, L.; Zhou, Y.; Li, M.; Cao, K.; Tao, Y.; Liu, Y. Integrated Modelling for Cropping Pattern Optimization and Planning Considering the Synergy of Water Resources-Society-Economy-Ecology-Environment System. Agric. Water Manag. 2022, 271, 107808. [Google Scholar] [CrossRef]
54. Luo, Z.; Zuo, Q. Evaluating the Coordinated Development of Social Economy, Water, and Ecology in a Heavily Disturbed Basin Based on the Distributed Hydrology Model and the Harmony Theory. J. Hydrol. 2019, 574, 226–241. [Google Scholar] [CrossRef]
55. Zhu, C.; Lin, Y.; Zhang, J.; Gan, M.; Xu, H.; Li, W.; Yuan, S.; Wang, K. Exploring the Relationship between Rural Transition and Agricultural Eco-Environment Using a Coupling Analysis: A Case Study of Zhejiang Province, China. Ecol. Indic. 2021, 127, 107733. [Google Scholar] [CrossRef]
56. Han, X.; Wang, Y.; Yu, W.; Xia, X. Coupling and Coordination between Green Finance and Agricultural Green Development: Evidence from China. Financ. Res. Lett. 2023, 58, 104221. [Google Scholar] [CrossRef]
57. Tan, S.; Liu, Q.; Han, S. Spatial-Temporal Evolution of Coupling Relationship between Land Development Intensity and Resources Environment Carrying Capacity in China. J. Environ. Manag. 2022, 301, 113778. [Google Scholar] [CrossRef] [PubMed]
58. Dagum, C. Decomposition and Interpretation of Gini and the Generalized Entropy Inequality Measures. Statistica 1997, 57, 295–308. [Google Scholar]
59. Zhang, X.; Zhou, X.; Liao, K. Regional Differences and Dynamic Evolution of China’s Agricultural Carbon Emission Efficiency. Int. J. Environ. Sci. Technol. 2023, 20, 4307–4324. [Google Scholar] [CrossRef]
60. Wang, W.; Elahi, E.; Sun, S.; Tong, X.; Zhang, Z.; Abro, M.I. Factors Influencing Water Use Efficiency in Agriculture: A Case Study of Shaanxi, China. Sustainability 2023, 15, 2157. [Google Scholar] [CrossRef]
61. Rosenblatt, M. Remarks on Some Nonparametric Estimates of a Density Function. Ann. Math. Stat. 1956, 27, 832–837. [Google Scholar] [CrossRef]
62. Senga Kiesse, T.; Corson, M.S. The Utility of Less-Common Statistical Methods for Analyzing Agricultural Systems: Focus on Kernel Density Estimation, Copula Modeling and Extreme Value Theory. Behaviormetrika 2023, 50, 491–508. [Google Scholar] [CrossRef]
63. Hu, Y.; Liu, X.; Zhang, Z.; Wang, S.; Zhou, H. Spatiotemporal Heterogeneity of Agricultural Land Eco-Efficiency: A Case Study of 128 Cities in the Yangtze River Basin. Water 2022, 14, 422. [Google Scholar] [CrossRef]
64. Peng, X.; Wang, G.; Chen, G. Spatial Distribution of Freshippo Villages under the Digitalization of New Retail in China. Sustainability 2023, 15, 3292. [Google Scholar] [CrossRef]
65. Tran, H.; Lokuge, W.; Karunasena, W.; Setunge, S. Markov-Based Deterioration Prediction and Asset Management of Floodway Structures. Sustain. Resilient Infrastruct. 2022, 7, 789–802. [Google Scholar] [CrossRef]
66. Liu, N.; Liu, C.; Xia, Y.; Ren, Y.; Liang, J. Examining the Coordination Between Green Finance and Green Economy Aiming for Sustainable Development: A Case Study of China. Sustainability 2020, 12, 3717. [Google Scholar] [CrossRef]
67. Hu, W.; Liu, J. The Coupling and Coordination of Urban Modernization and Low-Carbon Development. Sustainability 2023, 15, 14335. [Google Scholar] [CrossRef]
68. Xunping, L.; Qiu, R.; Yong, L. Evaluation of regional land use performance based on entropy TOPSIS model and diagnosis of its obstacle factors. Trans. Chin. Soc. Agric. Eng. 2016, 32, 243–253. [Google Scholar]
69. Zhang, K.; Shen, J.; He, R.; Fan, B.; Han, H. Dynamic Analysis of the Coupling Coordination Relationship between Urbanization and Water Resource Security and Its Obstacle Factor. Int. J. Environ. Res. Public Health 2019, 16, 4765. [Google Scholar] [CrossRef]
70. Wang, X.; Fang, H.; Zhang, F.; Fang, S. The Spatial Analysis of Regional Innovation Performance and Industry-University-Research Institution Collaborative Innovation—An Empirical Study of Chinese Provincial Data. Sustainability 2018, 10, 1243. [Google Scholar] [CrossRef]
71. Lei, Z.; Cheng, F.; Xiangming, W. Tourism Development, Spatial Spillover and Economic Growth: An Empirical Evidence from China. Tour. Trib. 2014, 29, 16–30. [Google Scholar]
72. Li, C.; Guo, G. The Influence of Large-Scale Agricultural Land Management on the Modernization of Agricultural Product Circulation: Based on Field Investigation and Empirical Study. Sustainability 2022, 14, 13967. [Google Scholar] [CrossRef]
73. Jin, S.; Mei, Z.; Duan, K. Coupling Coordination of China’s Agricultural Environment and Economy under the New Economic Background. Agriculture 2022, 12, 1147. [Google Scholar] [CrossRef]
74. Van de Vliert, A.; Van Peij, J. Circular Economy Implementation in Dutch Agriculture: Assessing Sustainable Practices and Economic Impact. Law Econ. 2024, 3, 20–31. [Google Scholar]
75. De Koeijer, T.J.; Wossink, G.A.A.; Struik, P.C.; Renkema, J.A. Measuring Agricultural Sustainability in Terms of Efficiency: The Case of Dutch Sugar Beet Growers. J. Environ. Manag. 2002, 66, 9–17. [Google Scholar] [CrossRef] [PubMed]
76. Ma, W.; Vatsa, P.; Bicknell, K. Transition to Sustainable Agriculture in New Zealand: Challenges and the Way Forward. New Zealand Econ. Pap. 2023, 57, 119–124. [Google Scholar] [CrossRef]
77. Tal, A. Israeli Agriculture—Innovation and Advancement. In From Food Scarcity to Surplus: Innovations in Indian, Chinese and Israeli Agriculture; Gulati, A., Zhou, Y., Huang, J., Tal, A., Juneja, R., Eds.; Springer: Singapore, 2021; pp. 299–358. [Google Scholar]
78. Mutale, B. Agricultural Water Utilization Efficiency: Israel’s Innovations as Lessons for China’s Arid and Semi-Arid Regions. Int. J. Curr. Res. 2021, 13, 18945–18951. [Google Scholar]
Zhan L, Huang X, Xu Z, Huang Z. Assessing the Coordination Development Level of Agricultural Economy and Ecology in China: Regional Disparities, Dynamics, and Barriers. Agriculture. 2025; 15(2):176. https://doi.org/10.3390/agriculture15020176
Перевод статьи «Assessing the Coordination Development Level of Agricultural Economy and Ecology in China: Regional Disparities, Dynamics, and Barriers» авторов Zhan L, Huang X, Xu Z, Huang Z., оригинал доступен по ссылке. Лицензия: CC BY. Изменения: переведено на русский язык
































Комментарии (0)