Выбор фосфорного удобрения под тип почвы повышает урожай риса и эффективность использования фосфора
Неэффективное внесение фосфорных (P) удобрений часто приводит к накоплению фосфора в почве, что ведет к потере ценных фосфатных ресурсов и способствует загрязнению окружающей среды. Учитывая неоптимальную эффективность использования фосфорных удобрений (PUE), понимание динамики фосфора в почве и выбор соответствующих удобрений имеют решающее значение. В вегетационном опыте с рисом на лугово-аллювиальной (пойменной) почве и желто-коричневой почве сравнивали пять типов фосфорных удобрений: простой суперфосфат (SSP), диаммонийфосфат (DAP), фосфоритная мука/томасшлак (CMP), двойной суперфосфат (TSP) и аммонийный полифосфат (APP), а также контрольный вариант без фосфора (CK).
Аннотация
На лугово-аллювиальной почве TSP и APP значительно повысили доступность фосфора в ризосфере в период цветения, тогда как SSP увеличил урожайность и накопление фосфора в побегах к созреванию. На желто-коричневой почве наибольшую доступность фосфора в ризосфере в период цветения обеспечил DAP, в то время как APP значительно увеличил накопление фосфора в побегах при цветении, а также накопление фосфора в побегах и урожай зерна к созреванию. Более того, PUE был самым высоким при применении SSP и CMP на лугово-аллювиальной почве и APP и TSP на желто-коричневой почве.
На протяжении всего эксперимента повышение активности щелочной фосфатазы в почве способствовало превращению NaOH-Po в NaHCO3-Pi, что увеличивало поглощение фосфора побегами риса, урожайность и PUE на обоих типах почв. На основе вышеизложенных результатов рекомендуется вносить SSP и TSP на лугово-аллювиальную почву и APP и TSP на желто-коричневую почву для достижения более высокой урожайности и PUE, что в дальнейшем может быть подтверждено полевыми исследованиями.
1. Введение
Фосфор (P) необходим для роста сельскохозяйственных культур, и внесение фосфорных удобрений является ключевой агрономической практикой для улучшения фосфорного питания и урожайности. Эффективное использование фосфорных удобрений крайне важно для смягчения таких проблем, как расточительство фосфорных ресурсов, накопление остаточного фосфора в почве и загрязнение окружающей среды [1]. Более того, из-за высокой сорбции почвой, сезонная эффективность использования фосфора (PUE) обычно находится в пределах от 3,0% до 21,2% [2]. В почве фосфор легко образует комплексы с железом (Fe-P) и алюминием (Al-P) в глинистых минералах и оксидах железа-алюминия в кислых почвах или с кальцием в нейтральных и карбонатных почвах, образуя недоступные соединения, такие как октакальцийфосфат или гидроксиапатит [3,4,5,6]. На круговорот и доступность фосфора в почве влияют различные факторы, включая pH, материнскую породу, методы управления, изменения в землепользовании и климатические условия [7,8,9,10,11]. Различные фосфорные удобрения проявляют разные характеристики в отношении трансформации в почве, поглощения и использования растениями [12,13]. Например, простой суперфосфат (SSP) и фосфоритная мука (CMP) оказывают разное влияние на плодородие в зависимости от типа почвы [14,15,16]. Однако сравнение аммонийного полифосфата (APP) в латеритной красной почве (pH = 5,72) и моноаммонийфосфата (MAP) в латосоле (pH = 4,98) дало противоречивые результаты [17]. Поэтому стратегии внесения фосфора должны быть адаптированы к свойствам почвы для оптимизации доступности фосфора.
Фосфор является вторым по важности элементом в сельскохозяйственном производстве, и эффективность фосфорных удобрений варьируется в зависимости от культур и типов почв [18,19,20]. Например, опыты на полях кукурузы на юго-западе Китая показали, что SSP и диаммонийфосфат (DAP) обеспечили более высокую урожайность и накопление фосфора в низкофосфатной красной почве плато по сравнению с MAP и CMP [21]. Однако в южном Китае CMP превзошел SSP, обеспечив более высокие растения и большую биомассу корней, стеблей, листьев и зерна у кукурузы, выращиваемой на почве ультисоль [22]. Аналогично, двухлетний полевой эксперимент с рисом в Северной Америке показал различное влияние разных фосфорных удобрений (фосфоритная мука, двойной суперфосфат (TSP), DAP и MAP) на урожайность зерна в илистом суглинке Калхун [23]. В Восточном Китае SSP значительно увеличил биомассу побегов риса и компоненты урожая по сравнению с MAP и APP на карбонатной почве [24]. Такие результаты подчеркивают необходимость соответствующего управления фосфором для максимизации урожайности зерна и PUE в различных условиях выращивания культур и типах почв.
Выбор источника фосфорного удобрения влияет на круговорот и доступность фосфора в почве [25]. Поглощение фосфора сельскохозяйственными культурами контролировалось составом пула фосфора в почве [26]. Почвенный фосфор можно разделить на фракции H2O-P, NaHCO3-P, NaOH-P, HCl-P и остаточный фосфор, каждая из которых обладает особыми свойствами [27,28,29,30]. В эксперименте с кукурузой в теплице APP увеличил несколько доступных фракций почвенного фосфора по сравнению с MAP, одновременно снизив содержание HCl-P в карбонатной почве [31]. Однако другое исследование в горшках с томатом не выявило существенных различий между TSP и DAP с точки зрения фракций почвенного фосфора в почве устрохент [32]. Несмотря на такие данные, систематические знания о том, как различные фосфорные удобрения влияют на доступность почвенного фосфора и поглощение растениями в различных типах почв, остаются ограниченными.
Учитывая этот контекст, данное исследование было направлено на то, чтобы (1) изучить влияние различных фосфорных удобрений на фракции фосфора в почве в течение вегетационного периода риса, (2) оценить их влияние на урожай риса, поглощение фосфора и эффективность использования и (3) определить наиболее подходящее фосфорное удобрение для максимизации показателей на лугово-аллювиальной и желто-коричневой почвах. Эти результаты позволят повысить эффективность использования фосфора при возделывании риса, способствуя продовольственной безопасности, экологической устойчивости и развитию зеленого сельского хозяйства.
2. Материалы и методы
2.1. Описание участка и экспериментальные почвы
Лугово-аллювиальная и желто-коричневая почвы были использованы в вегетационном опыте с рисом, который проводился в Аньхойском сельскохозяйственном университете, Хэфэй, провинция Аньхой (117°25′ в.д., 31°87′ с.ш.), где рис (Oryza sativa L.) выращивали в горшках в сетчатом домике. Экспериментальный участок характеризуется влажным субтропическим муссонным климатом со средней годовой нормой осадков 1000 мм и среднегодовой температурой 15,7 °C. Эти почвы были собраны с долгосрочных неудобряемых делянок. Желто-коричневая почва была получена из северной части провинции Аньхой (117°38′ в.д., 32°96′ с.ш.), а лугово-аллювиальная почва — из центральной части провинции Аньхой (117°20′ в.д., 31°93′ с.ш.). Всю почву после сбора высушили и просеяли, а затем поместили в горшки. Свойства двух почв представлены в Таблице 1.
Таблица 1. Физико-химические свойства почвы до начала возделывания.
2.2. Схема эксперимента
На обоих типах почв было реализовано шесть обработок: контроль без фосфора (CK) и пять различных типов фосфорных удобрений (простой суперфосфат, фосфоритная мука, диаммонийфосфат, аммонийный полифосфат и двойной суперфосфат; соответственно обозначены как SSP, CMP, DAP, APP и TSP). Обработка CK не получала фосфорных удобрений, но получала такое же количество удобрений N и K, как и другие обработки (конкретные нормы и сроки внесения удобрений показаны в Таблице S1). Объем горшка составлял 12 л, в нем содержалось 6,0 ± 0,1 кг почвы, и он заливался водой за неделю до посева двух сеянцев риса в каждую из трех лунок на глубину 2 см. Обработки повторялись шесть раз, причем три горшка случайным образом отбирались для деструктивного сбора образцов почвы и растений на стадиях цветения и созревания соответственно. На протяжении всего роста риса положение горшков рандомизировали и периодически переставляли в пределах сетчатого домика. Орошение водопроводной водой поддерживало затопленное состояние до стадии налива зерна, после чего почвенная среда чередовалась между сухими и затопленными условиями. Пестициды и фунгициды применялись по мере необходимости для борьбы с болезнями и вредителями.
2.3. Отбор проб и анализ
Образцы растений отбирали в период цветения и созревания, по три повторяющихся горшка на обработку. Побеги риса немедленно промывали дистиллированной водой, затем инактивировали фермент при 105 °C с последующей сушкой при 65 °C до постоянного веса. Высушенные образцы взвешивали на аналитических весах, а затем измельчали для дальнейшего анализа. Для определения концентрации P в растениях использовали методику, описанную Wei и др. [33].
Цифровые изображения корней риса, их длину и площадь поверхности получали с помощью системы сканирования корней (WinRHIZO 4.1, Regent Instruments, Квебек, Канада) в период цветения. Ризосферную и неризосферную почву отбирали методом встряхивания [34]. Для определения концентрации доступного фосфора (Olson-P) в почве использовали методику, описанную Sui и др. [28]. Активность щелочной фосфатазы (ALP) и кислой фосфатазы (ACP) в почве измеряли методом Liu и др. [35] и Shao и др. [36]. Все концентрации жидкого фосфора определяли с помощью УФ-ВИС спектрофотометра (Carry3500, Agilent, Санта-Клара, Калифорния, США).
2.4. Расчеты
Формулы, используемые для расчета физиологической эффективности фосфора (PPE), парциальной продуктивности фосфора (PPFP), агрономической эффективности фосфора (PAE), эффективности использования фосфора (PUE) и накопления фосфора, подробно описаны в дополнительных материалах.
2.5. Статистический анализ
Для анализа полученных данных использовали двухфакторный дисперсионный анализ (ANOVA) с уровнем значимости p ≤ 0,05. Стандартизированные суммарные эффекты проводили с помощью SPSS 26.0 (IBM SPSS Statistical, Чикаго, Иллинойс, США). Взаимосвязь между почвенной фосфатазой, фракциями фосфора и поглощением фосфора побегами анализировали с использованием модели структурных уравнений (SEM) в Amos 2022 (IBM SPSS Statistical, Чикаго, Иллинойс, США). Канонический редундантный анализ корреляционных параметров почвы и побегов проводили с помощью Canoco 5 (Micro-computer Power, Итака, Нью-Йорк, США). Графики создавали с использованием OriginPro 2023 (OriginLab, Уэлсли, Массачусетс, США).
3. Результаты
3.1. Урожай риса
Тип почвы, фосфорные удобрения и их взаимодействие существенно влияли на урожай зерна риса и его компоненты (Рисунок 1). На лугово-аллювиальной почве SSP и CMP обеспечили урожай зерна, который был на 26,5% и 18,60% выше, чем у CK, в то время как TSP, DAP и APP не показали существенного отличия от CK (Рисунок 1a). Не было обнаружено существенных различий между обработками фосфорными удобрениями по компонентам урожая (Рисунок 1b–d). На желто-коричневой почве фосфорные удобрения увеличили урожай зерна на 41,4–172,2% по сравнению с CK, со значительным увеличением при применении CMP, TSP и APP. Более того, TSP и APP превзошли SSP по урожайности зерна на 80,3% и 92,5% соответственно, а DAP — на 63,0% и 74,1%. Дополнительно, TSP и APP обеспечили на 72,7% и 54,9% больше зерен в колосе, чем DAP (Рисунок 1c), а CMP, TSP и APP дали существенно более высокую массу 1000 зерен, чем SSP (на 35,92%, 30,40% и 46,8% соответственно) (Рисунок 1d).
Рисунок 1. Влияние типа фосфорного удобрения на урожай зерна (a), число колосьев (b), количество зерен в колосе (c) и массу 1000 зерен (d) риса на лугово-аллювиальной и желто-коричневой почве. Данные представляют собой средние значения трех повторностей со стандартными ошибками. Разные строчные буквы указывают на существенные различия между типами фосфорных удобрений в пределах одного типа почвы (LSD, p < 0,05). Вероятности F-статистик для существенных эффектов Типов почв (Soil), Типов фосфорных удобрений (P) и эффекта взаимодействия Типов почв и Типов фосфорных удобрений (S × P) показаны в верхней части каждого рисунка.
3.2. Доступность и фракции фосфора в почве
На лугово-аллювиальной и желто-коричневой почвах внесение фосфора увеличивало концентрации доступного фосфора в почве по сравнению с CK в период цветения и созревания (Рисунок 2). На лугово-аллювиальной почве TSP обеспечил самую высокую концентрацию фосфора в ризосфере в период цветения, в то время как APP имел самую высокую концентрацию фосфора в неризосфере (Рисунок 2a,b). К созреванию концентрация доступного фосфора в почве для TSP занимала первое место среди всех обработок (Рисунок 2c). На желто-коричневой почве DMP и CMP показали самую высокую концентрацию фосфора в ризосфере в период цветения (на 6,3–57,7% и 11,0–64,7% выше, чем SSP, DAP и CMP) (Рисунок 2a), а APP занял первое место по концентрации фосфора в неризосфере (значения на 77,0% и 17,4% выше, чем у SSP и DAP) (Рисунок 2b). К созреванию, по сравнению с SSP, DAP и CMP, TSP и APP существенно увеличили концентрацию доступного фосфора на 41,4–47,7% и 41,2–47,4% соответственно (Рисунок 2c).
Рисунок 2. Влияние типа фосфорного удобрения на концентрацию доступного фосфора в почве на лугово-аллювиальной и желто-коричневой почве. Столбики погрешностей представляют собой стандартные ошибки средних значений (n = 3). Разные строчные буквы указывают на существенные различия между типами фосфорных удобрений в пределах одного типа почвы (LSD, p < 0,05). Вероятности F-статистик для существенных эффектов Типов почв (Soil), Типов фосфорных удобрений (P) и эффекта взаимодействия Типов почв и Типов фосфорных удобрений (S × P) показаны в верхней части каждого рисунка.
На обоих типах почв все фосфорные удобрения обеспечили существенно более высокие концентрации части подвижного фосфора почвы (H2O-P, NaHCO3-Pi) и части умеренно подвижного фосфора почвы (NaOH-Pi), чем CK (Рисунок 3). На лугово-аллювиальной почве TSP и SSP больше всего увеличили концентрации H2O-P и NaHCO3-Pi соответственно в ризосферной почве, а SSP и DAP соответственно сделали то же самое в неризосферной почве.
Рисунок 3. Влияние типа фосфорного удобрения на концентрацию фракций фосфора в почве в ризосфере (a) и неризосфере (b) на лугово-аллювиальной и желто-коричневой почве. Данные представляют собой средние значения трех повторностей со стандартными ошибками. Разные строчные буквы указывают на существенные различия между типами фосфорных удобрений в пределах одного типа почвы (LSD, p < 0,05).
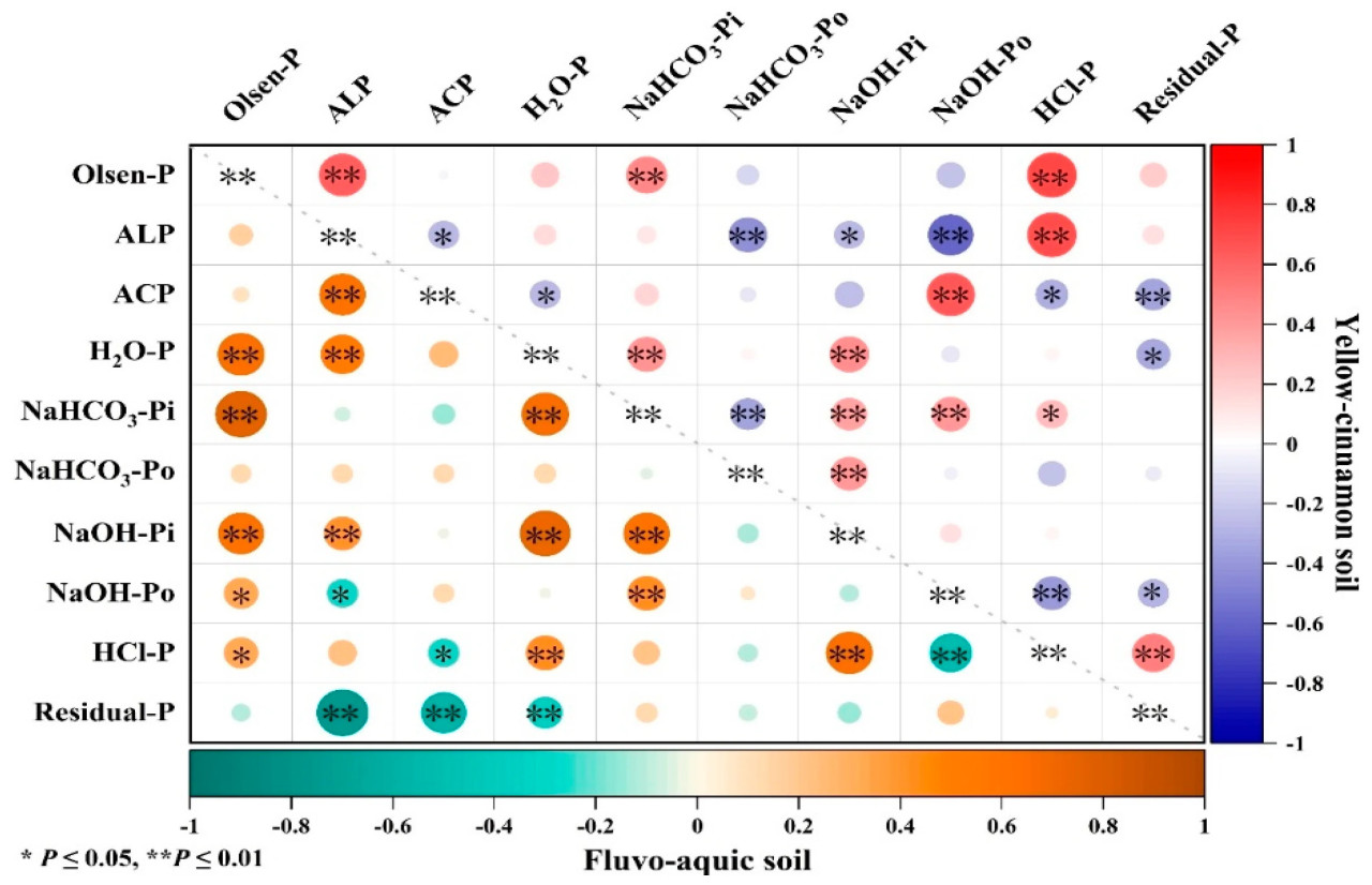
Наблюдалась положительная корреляция между доступным фосфором почвы и различными фракциями фосфора (H2O-P, NaHCO3-Pi, NaOH-Pi, NaOH-Po и HCl-P) (Рисунок 4). Более того, активность ALP положительно коррелировала с активностью ACP и концентрациями H2O-P и NaOH-Pi, но отрицательно коррелировала с концентрациями NaOH-Po и остаточного фосфора, в то время как активность ACP отрицательно коррелировала с концентрациями HCl-P и остаточного фосфора. На желто-коричневой почве DAP, SSP, TSP и CMP больше всего увеличили концентрации NaHCO3-Pi, NaOH-Pi, NaOH-Po и HCl-P соответственно в ризосферной почве, а DAP, SSP, DAP и CMP соответственно сделали то же самое в неризосферной почве (Рисунок 3). Наблюдались положительные корреляции между доступным фосфором почвы и концентрациями NaHCO3-Pi и HCl-P (Рисунок 4), активностью ALP и концентрацией HCl-P, а также активностью ACP и концентрацией NaOH-Po.
Рисунок 4. Матрица корреляции Пирсона, показывающая взаимосвязи между концентрацией доступного фосфора в почве, активностью кислой фосфатазы (ACP), активностью щелочной фосфатазы (ALP) и концентрациями фракций фосфора на лугово-аллювиальной (нижняя половина) и желто-коричневой (верхняя половина) почве.
3.3. Морфологические характеристики корней
На лугово-аллювиальной почве SSP и CMP существенно увеличили общую длину корней на 32,6–46,4% и 28,2–41,64% соответственно по сравнению с другими обработками фосфором (Рисунок 5). Более того, SSP имел самую высокую площадь поверхности корней, на 23,2% большую, чем CMP. На желто-коричневой почве DAP и APP существенно увеличили общую длину корней на 22,9–62,8% и 25,1–65,7% соответственно по сравнению с другими обработками фосфором, но общая площадь поверхности корней существенно не отличалась между обработками.
Рисунок 5. Влияние типа фосфорного удобрения на общую длину корней (a) и общую площадь поверхности корней (b) на лугово-аллювиальной и желто-коричневой почве. Столбики погрешностей представляют собой стандартные ошибки средних значений (n = 3). Разные строчные буквы указывают на существенные различия между типами фосфорных удобрений в пределах одного типа почвы (LSD, p < 0,05). Вероятности F-статистик для существенных эффектов Типов почв (Soil), Типов фосфорных удобрений (P) и эффекта взаимодействия Типов почв и Типов фосфорных удобрений (S × P) показаны в верхней части каждого рисунка.
3.4. Эффективность использования фосфора и поглощение фосфора побегами
Внесение фосфорных удобрений существенно увеличило накопление фосфора в побегах по сравнению с CK в период цветения и созревания (Рисунок 6). На лугово-аллювиальной почве внесение фосфора увеличило накопление фосфора в побегах на 47,1–84,3% в период цветения, с ранжированием обработок: CMP > APP > SSP > TSP > DAP, и на 44,1–73,7% к созреванию соответственно, с ранжированием обработок: SSP > CMP > TSP > APP > DAP. На желто-коричневой почве накопление фосфора в побегах увеличилось на 36,1–117,6% в период цветения, с наибольшим накоплением при APP, и на 51,4–91,8% к созреванию, причем SSP, TSP и APP были существенно выше, чем DAP.
Рисунок 6. Влияние типа фосфорного удобрения на накопление фосфора в побегах в период цветения (a) и созревания (b) на лугово-аллювиальной и желто-коричневой почве. Столбики погрешностей представляют собой стандартные ошибки средних значений (n = 3). Разные строчные буквы указывают на существенные различия между типами фосфорных удобрений в пределах одного типа почвы (LSD, p < 0,05). Вероятности F-статистик для существенных эффектов (p < 0,01) Типов фосфорных удобрений показаны в верхней части каждого рисунка. Вероятности F-статистик для существенных эффектов Типов почв (Soil), Типов фосфорных удобрений (P) и эффекта взаимодействия Типов почв и Типов фосфорных удобрений (S × P) показаны в верхней части каждого рисунка.
На лугово-аллювиальной почве SSP увеличил PUE, PPFP, PAE и PPE на 44,2–74,4%, 23,3–26,3%, 355,2–1450,0% и 264,0–1065,4% соответственно по сравнению с APP и TSP (Рисунок 7). На желто-коричневой почве SSP, TSP и APP обеспечили существенно более высокий PUE, чем DAP (на 63,2%, 78,7% и 47,9% соответственно), а TSP и APP обеспечили существенно более высокие PPFP, PAE и PPE, чем SSP и DAP.
Рисунок 7. Влияние типа фосфорного удобрения на эффективность использования фосфора (a), парциальную продуктивность фосфора (b), агрономическую эффективность фосфора (c) и физиологическую эффективность фосфора (d) на лугово-аллювиальной и желто-коричневой почве. Столбики погрешностей представляют собой стандартные ошибки средних значений (n = 3). Разные строчные буквы указывают на существенные средние различия между типами фосфорных удобрений в пределах одного типа почвы (LSD, p < 0,05). Вероятности F-статистик для существенных эффектов Типов почв (Soil), Типов фосфорных удобрений (P) и эффекта взаимодействия Типов почв и Типов фосфорных удобрений (S × P) показаны в верхней части каждого рисунка.
3.5. Взаимосвязь между поглощением фосфора, фракциями почвенного фосфора и активностью ACP/ALP
Моделирование структурными уравнениями (SEM) выявило взаимосвязи между активностью почвенной ALP, фракциями фосфора и поглощением фосфора побегами (Рисунок 8). Модель объяснила 46% и 30% общей вариации на лугово-аллювиальной и желто-коричневой почвах соответственно. На обоих типах почв концентрации H2O-P, NaHCO3-Pi и NaHCO3-Po непосредственно влияли на поглощение фосфора побегами, в то время как активность ALP, NaOH-Pi и NaOH-Po оказывали косвенные эффекты. На лугово-аллювиальной почве стандартизированный коэффициент пути влияния NaHCO3-Pi на поглощение фосфора побегами составлял 0,79, в то время как на желто-коричневой почве коэффициенты пути составляли 0,45 для NaHCO3-Pi и 0,37 для NaHCO3-Po, что позволяет предположить, что NaHCO3-Pi оказывал наибольшее влияние на поглощение фосфора побегами на обеих почвах (Рисунок 8c,d). На лугово-аллювиальной почве активность ALP влияла на NaOH-Pi (0,40), NaHCO3-Pi (–0,26) и NaOH-Po (–0,29), в то время как на желто-коричневой почве коэффициенты пути составляли –0,27, 0,42 и –0,58 соответственно (Рисунок 8a,b). Влияние NaHCO3-Po на поглощение фосфора побегами было более выраженным на желто-коричневой почве, что указывает на его большую роль в поглощении фосфора на этой почве.
Рисунок 8. Модель структурных уравнений (SEM), показывающая прямые и косвенные эффекты щелочной фосфатазы почвы (ALP) и фракций почвенного фосфора на поглощение фосфора культурой на лугово-аллювиальной (a) и желто-коричневой почве (b), и стандартизированные прямые и косвенные эффекты, полученные из SEM на лугово-аллювиальной (c) и желто-коричневой почве (d). Значения R2 внутри рамок показывают объясненный процент дисперсии переменными-предикторами. Сплошные и пунктирные стрелки указывают на существенные и несущественные взаимосвязи соответственно. Синие и красные стрелки указывают на положительные и отрицательные взаимосвязи соответственно. Числа над стрелками обозначают стандартизированные коэффициенты пути ( p < 0,05, p < 0,01), величины которых пропорциональны толщине стрелок. χ2, хи-квадрат; P, уровень значимости; df, степени свободы.
Редундантный анализ дополнительно продемонстрировал, что на желто-коричневой почве NaHCO3-Pi объяснял 46,9% дисперсии индексов и вносил вклад 72,5%, подчеркивая его сильное влияние на урожай зерна и накопление фосфора (Рисунок 9b). В отличие от этого, на лугово-аллювиальной почве наибольший эффект оказывал доступный фосфор (Olsen-P), объясняя 16,3% дисперсии индексов и внося вклад 36,9% (Рисунок 9a).
Рисунок 9. Канонический редундантный анализ (RDA) признаков Olsen-P и фракций почвенного фосфора как объясняющих переменных, на которые влияют типы фосфорных удобрений на лугово-аллювиальной (a) и желто-коричневой почве (b) в период цветения, после обработки фосфорными удобрениями объяснил 71,5% и 43,8% дисперсии урожайности риса, накопления фосфора в зерне и накопления фосфора в побегах соответственно.
4. Обсуждение
4.1. Влияние типов фосфорных удобрений на урожай и поглощение фосфора рисом
Это исследование подчеркивает важность соответствия характеристик почвы подходящим типам фосфорных удобрений для оптимизации урожайности зерна и обеспечения устойчивости сельского хозяйства. В то время как большинство исследований, направленных на удовлетворение глобального спроса на продовольствие, сосредоточено на повышении урожайности сельскохозяйственных культур [37,38], некоторые исследования изучали, как различные фосфорные удобрения влияют на урожай зерна и поглощение фосфора различными культурами и почвами [39,40,41,42]. В нашем исследовании SSP оказался высокоэффективным в увеличении урожайности зерна риса, поглощения фосфора побегами и PUE на лугово-аллювиальной почве, тогда как TSP и APP показали наилучшие результаты на желто-коричневой почве. Другие исследования сообщают о различных результатах. Например, исследование в горшках на открытом воздухе на лугово-аллювиальной почве (pH = 7,2) показало, что DAP обеспечил самый высокий урожай кукурузы, поглощение фосфора побегами и накопление сухого вещества по сравнению с MAP, CMP, APP и SSP [41]. В эксперименте с пшеницей TSP и APP продемонстрировали превосходную урожайность, PAE, PPFP и PPE по сравнению с SSP на лугово-аллювиальной почве (pH = 8,04), в то время как TSP и DAP превзошли SSP и APP на желто-коричневой почве (pH = 7,17) [43]. Наши результаты согласуются с другими исследованиями, указывающими на преимущество SSP на лугово-аллювиальной почве, увеличивая урожай зерна на 9–11% и накопление фосфора в побегах на 13–14% по сравнению с другими фосфорными удобрениями [24], и TSP мог улучшить урожай риса лучше, чем DAP и MAP [23].
Различная эффективность удобрений на разных почвах может быть обусловлена специфическими для почвы факторами. Например, при затопленном возделывании риса пониженный окислительно-восстановительный потенциал может высвобождать фосфор, связанный с железом, делая больше фосфора доступным для растений и потенциально маскируя ожидаемую реакцию на фосфорные удобрения между культурами. Длительное затопление почвы также может повысить PUE фосфатов железа [44]. Как показано в нашем исследовании, поглощение фосфора побегами положительно коррелировало с доступным фосфором почвы (Рисунок 10), в сочетании с внесением удобрений (SSP на лугово-аллювиальной почве и TSP или APP на желто-коричневой почве) улучшает доступность фосфора в почве, способствует поглощению фосфора, увеличивает количество продуктивных побегов на растение и зерен в метелке и, таким образом, улучшает урожай зерна и PUE.
Рисунок 10. Взаимосвязи между почвенным Olsen-P и накоплением фосфора в побегах в период цветения (a) и созревания (b) на лугово-аллювиальной и желто-коричневой почве.
4.2. Влияние типов фосфорных удобрений на пул фосфора в почве
На фракции и биодоступность почвенного фосфора влияет внесение фосфорных удобрений [45], что отражает сложную динамику трансформации фосфора в сельскохозяйственных почвах. В этом исследовании внесение фосфорных удобрений увеличило подвижные фракции фосфора, такие как NaHCO3-Pi, и умеренно подвижные фракции, такие как NaOH-Pi, в ризосферной почве, что положительно коррелировало с повышением доступности фосфора в почве [46]. Эта трансформация фракций почвенного фосфора важна для поддержания долгосрочного плодородия почвы. Шестилетний полевой эксперимент показал, что внесение APP привело к более высоким концентрациям доступного фосфора в почве по сравнению с AMP и SSP [24]. Аналогично, исследование на карбонатных почвах (pH = 8,1) в Южной Европе показало, что MAP был лучше, чем SSP, в повышении доступности фосфора в почве, с пропорциональным увеличением при более высокой норме внесения фосфорных удобрений [47]. Внесение подходящего типа фосфорного удобрения могло улучшить содержание подвижного и умеренно подвижного фосфора в почве, повышая доступность фосфора в почве [46,48]. Более того, более высокая корреляция между фракциями почвенного фосфора и концентрацией доступного фосфора приводит к увеличению содержания доступного фосфора в почве [40,49]. Аналогично, наше исследование выявило существенные корреляции между доступным фосфором почвы и различными фракциями фосфора. На лугово-аллювиальной почве концентрации H2O-P, NaCO3-Pi, NaOH-Pi и NaOH-Po положительно коррелировали с почвенным Olsen-P, причем увеличение на 1 мг кг−1 приводило к увеличению Olsen-P на 1,24, 0,69, 1,34 и 8,02 мг кг−1 соответственно (Рисунок 11). Аналогично, желто-коричневая почва показала количественные взаимосвязи между конкретными фракциями почвенного фосфора и Olsen-P. Эти результаты позволяют предположить, что водорастворимые фосфорные удобрения активируют природный почвенный фосфор, способствуя хелатирующим реакциям, уменьшая сорбцию фосфора почвенными частицами и органическим веществом в условиях затопления и превращая стабильные формы фосфора в более биодоступные подвижные и умеренно подвижные формы [50,51].
Рисунок 11. Взаимосвязи между почвенным Olsen-P и H2O-P (a), NaHCO3-Pi (b), NaHCO3-Po (c), NaOH-Pi (d), NaOH-Po (e) и HCl-P или остаточным фосфором (f) на лугово-аллювиальной и желто-коричневой почве.
4.3. Взаимосвязь между поглощением фосфора побегами и пулом почвенного фосфора
Подвижные и умеренно подвижные фракции фосфора, особенно NaHCO3-Pi, оказывали значительное положительное или отрицательное влияние на поглощение фосфора побегами, поскольку эти формы высокодоступны для сельскохозяйственных культур. В частности, NaHCO3-Pi играл доминирующую положительную роль в поглощении фосфора побегами (Рисунок 8c,d). Интересно, что наши результаты противоречат результатам другого полевого эксперимента, в котором сообщалось об отрицательной корреляции между NaHCO3-Pi и поглощением фосфора, причем NaOH-Pi играл более значительную положительную роль [45]. Более того, в нашем исследовании концентрация NaOH-Po отрицательно влияла на концентрацию H2O-P на лугово-аллювиальной почве и концентрацию NaHCO3-Po на желто-коричневой почве, что согласуется с результатами Zhang и др. [52], которые сообщили о сильных положительных корреляциях между неорганическими фракциями фосфора и общим поглощением фосфора у риса, выращенного на карбонатной почве, и отрицательных корреляциях между NaOH-Po и смоляным фосфором (p < 0,01) и NaHCO3-Po (p > 0,05). Положительная корреляция между доступным фосфором почвы и подвижными фракциями фосфора позволяет предположить, что эти переменные непосредственно влияют на поглощение фосфора культурой через их влияние на доступный фосфор почвы.
Анализ SEM также выделил важный фактор ACP/ALP в обороте почвенного фосфора и его последующем влиянии на поглощение фосфора рисом (Рисунок 8a,b). На обоих типах почв увеличение активности ALP отрицательно сказывалось на поглощении фосфора побегами, что согласуется с результатами пятилетнего полевого эксперимента в севообороте рис-пшеница, где активность ALP снижалась с уменьшением уровня фосфора в почве [46]. Фосфатазные ферменты имеют решающее значение для гидролиза органического фосфора (Po) в неорганический фосфор (Pi) для поглощения растениями [53,54], что делает активность ALP полезным индикатором доступности фосфора в почве. Исследования показали, что внесение фосфорных удобрений (ортофосфат) подавляет активность ALP, аналогично механизму, наблюдаемому в водных средах [55]. Недавний мета-анализ также показал, что фосфорные удобрения снижали активность ACP на 5,1–10,3% [56]. В этом исследовании отрицательная корреляция между активностью ALP и концентрацией NaOH-Po согласовывалась с данными, полученными в ризосферных почвах сосны лучистой [57], подчеркивая роль активности ALP в минерализации органического фосфора в почвах под рисом. Почвенная микробная активность и состав сообщества также сильно влияют на активность фосфатаз [58].
Разница в рекомендациях по фосфорным удобрениям между лугово-аллювиальной и желто-коричневой почвами частично обусловлена их классификацией как карбонатные и некарбонатные почвы соответственно. Простой суперфосфат, водорастворимое кислое фосфорное удобрение, помогает регулировать pH карбонатных почв и улучшает доступность фосфора [14]. В отличие от этого, APP обладает свойствами медленного высвобождения, причем его полифосфатный компонент конкурирует с ортофосфатом за места адсорбции, тем самым уменьшая адсорбцию ортофосфата глинистыми минералами и его осаждение с ионами металлов. Этот механизм, вероятно, объясняет, почему APP более эффективен на желто-коричневых почвах [31]. Почвенные микроорганизмы, такие как фосфатмобилизующие бактерии, также играют ключевую роль в фосфорном питании растений [59]. Кроме того, микробная биомасса фосфора и углерода в почве имеют решающее значение для оборота фосфора в почвах с высоким и низким содержанием фосфора соответственно [45]. Необходимы дальнейшие исследования для изучения взаимосвязи между различными типами фосфорных удобрений, доступным фосфором почвы и составом микробного сообщества, чтобы раскрыть лежащие в основе механизмы.
5. Выводы
Это исследование подчеркивает различное влияние разных типов фосфорных удобрений на урожай риса и поглощение фосфора. Простой суперфосфат показал превосходные результаты на лугово-аллювиальной почве, в то время как APP и TSP были более эффективны на желто-коричневой почве. Увеличение активности ALP на обоих типах почв способствовало превращению NaOH-Po в NaHCO3-Pi, повышая поглощение фосфора побегами риса, урожайность и PUE. Увеличение подвижных и умеренно подвижных фракций фосфора было обусловлено особыми свойствами фосфорных удобрений, которые способствовали активации природного почвенного фосфора. На лугово-аллювиальной почве TSP и SSP существенно увеличили концентрации H2O-P и NaHCO3-Pi, тогда как DAP оказал более выраженное влияние на концентрацию NaHCO3-Pi на желто-коричневой почве. Эти фракции фосфора положительно коррелировали с концентрацией доступного фосфора на обоих типах почв. Эти обнадеживающие результаты позволяют предположить, что преимущества внесения SSP и TSP или APP для соответствия свойствам почвы и максимизации урожайности зерна риса и PUE также могут быть подтверждены в будущих полевых исследованиях для поддержки устойчивого управления фосфорными ресурсами и продвижения целей устойчивого развития.
Дополнительные материалы
Вспомогательная информация может быть загружена по адресу: www.mdpi.com/article/10.3390/agriculture15020172/s1, Таблица S1: Обработки и внесение удобрений.
Ссылки
1. Zou, T.; Zhang, X.; Davidson, E.A. Global trends of cropland phosphorus use and sustainability challenges. Nature 2022, 611, 81–87. [Google Scholar] [CrossRef] [PubMed]
2. Yu, X.; Keitel, C.; Dijkstra, F.A. Global analysis of phosphorus fertilizer use efficiency in cereal crops. Glob. Food Secur.-Agric. Policy Econ. Environ. 2021, 29, 100545. [Google Scholar] [CrossRef]
3. Hinsinger, P. Bioavailability of soil inorganic P in the rhizosphere as affected by root-induced chemical changes: A review. Plant Soil 2001, 237, 173–195. [Google Scholar] [CrossRef]
4. Arai, Y.; Sparks, D.L. Phosphate reaction dynamics in soils and soil components: A muiltiscale approach. Adv. Agron. 2007, 94, 135–179. [Google Scholar] [CrossRef]
5. Shen, J.B.; Yuan, L.X.; Zhang, J.L.; Li, H.G.; Bai, Z.H.; Chen, X.P.; Zhang, W.F.; Zhang, F.S. Phosphorus Dynamics: From Soil to Plant. Plant Physiol. 2011, 156, 997–1005. [Google Scholar] [CrossRef] [PubMed]
6. Barrow, N.J.; Sen, A.; Roy, N.; Debnath, A. The soil phosphate fractionation fallacy. Plant Soil 2021, 459, 1–11. [Google Scholar] [CrossRef]
7. Oberson, A.; Besson, J.M.; Maire, N.; Sticher, H. Microbiological processes in soil organic phosphorus transformations in conventional and biological farming systems. Biol. Fertil. Soils 1996, 21, 138–148. [Google Scholar] [CrossRef]
8. Jin, X.C.; Wang, S.R.; Pang, Y.; Wu, F.C. Phosphorus fractions and the effect of pH on the phosphorus release of the sediments from different trophic areas in Taihu Lake, China. Environ. Pollut. 2006, 139, 288–295. [Google Scholar] [CrossRef] [PubMed]
9. Negassa, W.; Leinweber, P. How does the Hedley sequential phosphorus fractionation reflect impacts of land use and management on soil phosphorus: A review. J. Plant Nutr. Soil Sci. 2009, 172, 305–325. [Google Scholar] [CrossRef]
10. Dao, T.H.; Schomberg, H.H.; Cavigelli, M.A. Tillage and rotational effects on exchangeable and enzyme-labile phosphorus forms in conventional and organic cropping systems. Nutr. Cycl. Agroecosyst. 2015, 101, 153–165. [Google Scholar] [CrossRef]
11. Wang, C.; Yang, Q.N.; Zhang, C.; Zhou, B.; Liu, T.X.; Zhang, X.L.; Chen, J.; Chen, J.J.; Liu, K.X. Vegetation restoration of abandoned cropland improves soil phosphorus availability and microbial activities in the Danxia degraded region. Appl. Soil Ecol. 2023, 188, 104921. [Google Scholar] [CrossRef]
12. Gong, H.Q.; Meng, F.L.; Wang, G.H.; Hartmann, T.E.; Feng, G.; Wu, J.C.; Jiao, X.Q.; Zhang, F.S. Toward the sustainable use of mineral phosphorus fertilizers for crop production in China: From primary resource demand to final agricultural use. Sci. Total Environ. 2022, 804, 150183. [Google Scholar] [CrossRef] [PubMed]
13. Khan, A.; Guo, S.L.; Wang, R.; Zhang, S.L.; Yang, X.Y.; He, B.H.; Li, T.Y. An assessment of various pools of organic phosphorus distributed in soil aggregates as affected by long-term P fertilization regimes. Soil Use Manag. 2023, 39, 833–848. [Google Scholar] [CrossRef]
14. Wang, L.; Gao, X.Z.; Ma, W.Q.; Zhang, W.F. The using conditions and developing directions of Chinese phosphorous fertilizer. Plant Nutr. Fertil. Sci. 2006, 12, 732–737. [Google Scholar] [CrossRef]
15. Lv, Y.M.; Yang, J.P.; Zhao, X.; Ye, X.Y. Effects of different phosphate fertilizers on the availability and bioaccumulation of cadmium in the tea garden soil. J. Zhejiang Univ. 2015, 42, 726–754. [Google Scholar] [CrossRef]
16. Shen, P.; Sun, X.S.; Wang, C.B.; Shi, C.R.; Yu, T.Y. Research progress and prospect of the utilization characteristics of phosphorus and its high-efficiency management for peanut. J. Nucl. Agric. Sci. 2015, 29, 2246–2251. [Google Scholar] [CrossRef]
17. Chen, Y.L.; Chen, X.J.; Zhang, C.L.; Tu, P.F.; Deng, L.S. Conversion of ammonium polyphosphate (APP) in acidic soil and its effect on soil phosphorus availability. Appl. Ecol. Environ. Res. 2020, 18, 4405–4415. [Google Scholar] [CrossRef]
18. Bundy, L.G.; Tunney, H.; Halvorson, A.D. Agronomic aspects of phosphorus management. Phosphorus Agric. Environ. 2005, 46, 683–727. [Google Scholar] [CrossRef]
19. Koenig, R.; Winward, D.; Reid, C.; Barnhill, J.; Pace, M.; Heaton, K. Phosphorus source and surface fluid band spacing effects on irrigated alfalfa. Soil Sci. Soc. Am. J. 2009, 73, 367–374. [Google Scholar] [CrossRef]
20. Mussarat, M.; Ali, H.; Muhammad, D.; Mian, I.A.; Khan, S.; Adnan, M.; Fahad, S.; Wahid, F.; Dawar, K.; Ali, S.; et al. Comparing the phosphorus use efficiency of pre-treated (organically) rock phosphate with soluble P fertilizers in maize under calcareous soils. PeerJ 2021, 9, e11452. [Google Scholar] [CrossRef] [PubMed]
21. Zhou, L.; Su, L.Z.; Zhao, H.M.; Zhang, L.Y.; Zheng, Y.; Tang, L. Matching study of low phosphorus red soil-maize-phosphate fertilizer varieties. Soil Fertil. Sci. China 2023, 12, 210–218. [Google Scholar]
22. Wang, Y.Z.; Peng, X.Y.; Lai, L.Y.; Li, H.; Zhang, X.Y.; Chen, H.X.; Xie, L.T. Phosphorus fertilization regimes and rates alter Cd extractability in rhizospheric soils and uptake in maize (Zea mays L.). Chemosphere 2022, 298, 134288. [Google Scholar] [CrossRef] [PubMed]
23. Omidire, N.S.; Brye, K.R.; Roberts, T.L.; Kekedy-Nagy, L.; Greenlee, L.; Gbur, E.E.; Mozzoni, L.A. Evaluation of electrochemically precipitated struvite as a fertilizer-phosphorus source in flood-irrigated rice. Agron. J. 2022, 114, 739–755. [Google Scholar] [CrossRef]
24. Liu, L.; Miao, Q.; Wang, H.Y.; Xue, Y.F.; Qi, S.J.; Zhang, J.S.; Li, J.C.; Meng, Q.F.; Cui, Z.L. Optimizing phosphorus application for winter wheat production in the coastal saline area. Agronomy 2022, 12, 2966. [Google Scholar] [CrossRef]
25. Oliveira, L.E.Z.; Nunes, R.D.; de Figueiredo, C.C.; Rein, T.A. Spatial distribution of soil phosphorus fractions in a clayey oxisol submitted to long-term phosphate fertilization strategies. Geoderma 2022, 418, 115847. [Google Scholar] [CrossRef]
26. Milic, S.; Ninkov, J.; Zeremski, T.; Latkovic, D.; Seremesic, S.; Radovanovic, V.; Zarkovic, B. Soil fertility and phosphorus fractions in a calcareous chernozem after a long-term field experiment. Geoderma 2019, 339, 9–19. [Google Scholar] [CrossRef]
27. Hedley, M.J.; Stewart, J.W.B.; Chauhan, B.S.C. Changes in inorganic and organic soil phosphorus fractions induced by cultivation practices and by laboratory incubations. Soil Sci. Soc. Am. J. 1982, 46, 970–976. [Google Scholar] [CrossRef]
28. Sui, Y.B.; Thompson, M.L.; Shang, C. Fractionation of phosphorus in a Mollisol amended with biosolids. Soil Sci. Soc. Am. J. 1999, 63, 1174–1180. [Google Scholar] [CrossRef]
29. Abdel-Satar, A.M.; Sayed, M.F. Sequential fractionation of phosphorus in sediments of El-Fayum lakes-Egypt. Environ. Monit. Assess. 2010, 169, 169–178. [Google Scholar] [CrossRef]
30. Li, L.; Liang, X.Q.; Ye, Y.S.; Zhao, Y.; Zhang, Y.X.; Jin, Y.; Yuan, J.L.; Chen, Y.X. Effects of repeated swine manure applications on legacy phosphorus and phosphomonoesterase activities in a paddy soil. Biol. Fertil. Soils 2015, 51, 167–181. [Google Scholar] [CrossRef]
31. Gao, Y.J.; Wang, X.W.; Shah, J.A.; Chu, G.X. Polyphosphate fertilizers increased maize (Zea mays L.) P, Fe, Zn, and Mn uptake by decreasing P fixation and mobilizing microelements in calcareous soil. J. Soils Sediments 2020, 20, 1–11. [Google Scholar] [CrossRef]
32. Turan, M.; Ataoglu, N.; Sahin, F. Effects of Bacillus FS-3 on growth of tomato (Lycopersicon esculentum L.) plants and availability of phosphorus in soil. Plant Soil Environ. 2007, 53, 58–64. [Google Scholar] [CrossRef]
33. Wei, P.; Shi, F.; Wang, X.X.; Peng, S.Y.; Chai, R.S.; Zhang, L.L.; Zhang, C.C.; Luo, L.C.; Siddique, K.H.M. Optimizing rice yield and phosphorus use efficiency through root morphology and soil phosphorus management in agricultural soils. Ann. Agric. Sci. 2024, 69, 53–66. [Google Scholar] [CrossRef]
34. Fan, K.K.; Weisenhorn, P.; Gilbert, J.A.; Chu, H.Y. Wheat rhizosphere harbors a less complex and more stable microbial co-occurrence pattern than bulk soil. Soil Biol. Biochem. 2018, 125, 251–260. [Google Scholar] [CrossRef]
35. Liu, B.H.; Wang, S.X.; Wang, J.; Zhang, X.Z.; Shen, Z.G.; Shi, L.; Chen, Y.H. The great potential for phytoremediation of abandoned tailings pond using ectomycorrhizal Pinus sylvestris. Sci. Total Environ. 2020, 719, 137475. [Google Scholar] [CrossRef] [PubMed]
36. Shao, T.Y.; Zhao, J.Y.; Liu, A.H.; Long, X.H.; Rengel, Z. Effects of soil physicochemical properties on microbial communities in different ecological niches in coastal area. Appl. Soil Ecol. 2020, 150, 103486. [Google Scholar] [CrossRef]
37. Cakmak, I. Plant nutrition research: Priorities to meet human needs for food in sustainable ways. Plant Soil 2002, 247, 3–24. [Google Scholar] [CrossRef]
38. Jobbágy, E.G.; Sala, O.E. The imprint of crop choice on global nutrient needs. Environ. Res. Lett. 2014, 9, 084014. [Google Scholar] [CrossRef]
39. Dhillon, J.; Torres, G.; Driver, E.; Figueiredo, B.; Raun, W.R. World phosphorus use efficiency in cereal crops. Agron. J. 2017, 109, 1670–1677. [Google Scholar] [CrossRef]
40. Meyer, G.; Bell, M.J.; Doolette, C.L.; Brunetti, G.; Zhang, Y.Q.; Lombi, E.; Kopittke, P.M. Plant-available phosphorus in highly concentrated fertilizer bands: Effects of soil type, phosphorus form, and coapplied potassium. J. Agric. Food Chem. 2020, 68, 7571–7580. [Google Scholar] [CrossRef] [PubMed]
41. Zhao, Y.N.; Li, R.K.; Huang, Y.F.; Sun, X.M.; Qin, W.; Wei, F.F.; Ye, Y.L. Effects of various phosphorus fertilizers on maize yield and phosphorus uptake in soils with different pH values. Arch. Agron. Soil Sci. 2022, 68, 1746–1754. [Google Scholar] [CrossRef]
42. Luo, L.C.; Wei, P.; Peng, S.Y.; Wang, X.X.; Chai, R.S.; Zhang, C.C.; Kadambot, H.M.S.; Palta, J.A. Rational phosphorus stewardship for sustainable maize production in China: A meta-analysis. Eur. J. Agron. 2024, 153, 127072. [Google Scholar] [CrossRef]
43. Luo, L.C.; Zhang, X.Y.; Zhang, M.; Wei, P.; Chai, R.S.; Wang, Y.Y.; Zhang, C.C.; Siddique, K.H.M. Improving wheat yield and phosphorus use efficiency through the optimization of phosphorus fertilizer types based on soil P pool characteristics in calcareous and non-calcareous soil. Agronomy 2023, 13, 928. [Google Scholar] [CrossRef]
44. Saracanlao, R.J.; Van, R.H.; Verbeeck, M.; Everaert, M.; Smolders, E. Increasing phosphorus fertilizer value of recycled iron phosphates by prolonged flooding and organic matter addition. Pedosphere 2024, 34, 631–640. [Google Scholar] [CrossRef]
45. Wang, K.K.; Ren, T.; Yan, J.Y.; Zhu, D.D.; Liao, S.P.; Zhang, Y.Y.; Lu, Z.F.; Cong, R.H.; Li, X.K.; Lu, J.W. Straw returning mediates soil microbial biomass carbon and phosphorus turnover to enhance soil phosphorus availability in a rice-oilseed rape rotation with different soil phosphorus levels. Agric. Ecosyst. Environ. 2022, 335, 107991. [Google Scholar] [CrossRef]
46. Wang, Y.; Zhao, X.; Wang, L.; Jin, S.Z.; Zhu, W.B.; Lu, Y.N.; Wang, S.Q. A five-year P fertilization pot trial for wheat only in a rice-wheat rotation of Chinese paddy soil: Interaction of P availability and microorganism. Plant Soil 2016, 399, 305–318. [Google Scholar] [CrossRef]
47. Pizzeghello, D.; Schiavon, M.; Maretto, L.; Stevanato, P.; Ertani, A.; Altissimo, A.; Nardi, S. Short-term application of polymer-coated mono-ammonium phosphate in a calcareous soil affects the pools of available phosphorus and the growth of Hypericum x moserianum (L.). Front. Sustain. Food Syst. 2019, 3, 4. [Google Scholar] [CrossRef]
48. Pizzeghello, D.; Berti, A.; Nardi, S.; Morari, F. Phosphorus forms and P-sorption properties in three alkaline soils after long-term mineral and manure applications in north-eastern Italy. Agric. Ecosyst. Environ. 2011, 141, 58–66. [Google Scholar] [CrossRef]
49. Li, S.X.; Wang, Z.H.; Stewart, B.A. Differences of some leguminous and nonleguminous crops in utilization of soil phosphorus and responses to phosphate fertilizers. Adv. Agron. 2011, 110, 125–249. [Google Scholar] [CrossRef]
50. Pheav, S.; Bell, R.W.; Kirk, G.J.D.; White, P.F. Phosphorus cycling in rainfed lowland rice ecosystems on sandy soils. Plant Soil 2005, 269, 89–98. [Google Scholar] [CrossRef]
51. Shah, J.A.; Chu, G.X. Short-chain soluble polyphosphate fertilizers increased soil P availability and mobility by reducing P fixation in two contrasting calcareous soils. PeerJ 2021, 9, e11493. [Google Scholar] [CrossRef]
52. Zhang, Q.; Wang, G.H.; Feng, Y.K.; Sun, Q.Z.; Witt, C.; Dobermann, A. Changes in soil phosphorus fractions in a calcareous paddy soil under intensive rice cropping. Plant Soil 2006, 288, 141–154. [Google Scholar] [CrossRef]
53. DeForest, J.L.; Smemo, K.A.; Burke, D.J.; Elliott, H.L.; Becker, J.C. Soil microbial responses to elevated phosphorus and pH in acidic temperate deciduous forests. Biogeochemistry 2012, 9, 189–202. [Google Scholar] [CrossRef]
54. Olander, L.P.; Vitousek, P.M. Regulation of soil phosphatase and chitinase activity by N and P availability. Biogeochemistry 2000, 49, 175–190. [Google Scholar] [CrossRef]
55. Pettersson, K. The availability of phosphorus and the species composition of the spring phytoplankton in lake Erken. Int. Rev. Hydrobiol. 1985, 70, 527–546. [Google Scholar] [CrossRef]
56. Gou, X.M.; Ren, Y.Q.; Qin, X.; Wei, X.R.; Wang, J.J. Global patterns of soil phosphatase responses to nitrogen and phosphorus fertilization. Pedosphere 2024, 34, 200–210. [Google Scholar] [CrossRef]
57. Chen, C.R.; Condron, L.M.; Davis, M.R.; Sherlock, R.R. Phosphorus dynamics in the rhizosphere of perennial ryegrass (Lolium perenne L.) and radiata pine (Pinus radiata D. Don.). Soil Biol. Biochem. 2002, 34, 487–499. [Google Scholar] [CrossRef]
58. Zheng, M.M.; Wang, C.; Li, W.X.; Guo, L.; Cai, Z.J.; Wang, B.R.; Chen, J.; Shen, R.F. Changes of acid and alkaline phosphatase activities in long-term chemical fertilization are driven by the similar soil properties and associated microbial community composition in acidic soil. Eur. J. Soil Biol. 2021, 104, 103312. [Google Scholar] [CrossRef]
59. Timofeeva, A.; Galyamova, M.; Sedykh, S. Prospects for using phosphate-solubilizing microorganisms as natural fertilizers in agriculture. Plants 2022, 11, 2119. [Google Scholar] [CrossRef] [PubMed]
Peng S, Zhang X, Sun L, Chai R, Zhang C, Chen X, Luo L, Siddique KHM. Matching Phosphorus Fertilizer Types with Soil Type in Rice Cultivation Optimizes Yield, Soil Phosphorus Availability, and Phosphorus Fertilizer Use Efficiency. Agriculture. 2025; 15(2):172. https://doi.org/10.3390/agriculture15020172
Перевод статьи «Matching Phosphorus Fertilizer Types with Soil Type in Rice Cultivation Optimizes Yield, Soil Phosphorus Availability, and Phosphorus Fertilizer Use Efficiency» авторов Peng S, Zhang X, Sun L, Chai R, Zhang C, Chen X, Luo L., оригинал доступен по ссылке. Лицензия: CC BY. Изменения: переведено на русский язык













Комментарии (0)