Восстановление почв в карстовых ландшафтах: эффективность лесопосадок и контурных террас
Почвенные агрегаты, как фундаментальные единицы структуры почвы, играют ключевую роль в повышении запасов углерода и азота в почве, тем самым поддерживая её плодородие и общее здоровье, особенно в уязвимых карстовых регионах. Цель данного исследования — количественно оценить влияние различных эколого-мелиоративных мероприятий на стабильность почвенных агрегатов, включая такие показатели, как средний геометрический диаметр (GMD), средневзвешенный диаметр (MWD), значение K, а также связанные с агрегатами содержание органического углерода (SOC) и общего азота (TN), механический состав почвы и содержание агрегатов.
Аннотация
Исследуемые мероприятия включали лесные плантации (Y7th–rgl), восстановленные леса (Y6th–zr), плодовые леса (Y6th–jgl) и контурные террасы с обратным уклоном (Y1th–crt). По сравнению с склоновыми пашнями, контурные террасы с обратным уклоном, благодаря своей отличительной функции «приоритетного вовлечения», достоверно увеличивали содержание агрегатов средних и мелких фракций более чем на 87%. Среди всех эколого-мелиоративных мероприятий наибольшую стабильность агрегатов демонстрировали лесные плантации, со средним увеличением показателей от 8% до 157%. Примечательно, что микроагрегаты, независимо от размера, обладали самым высоким содержанием углерода и азота, внося существенный вклад в углеродные и азотные пулы почвы. Более того, как в вариантах с лесными плантациями, так и с контурными террасами с обратным уклоном наблюдался равный вклад углерода и азота во всех размерных фракциях агрегатов.
Анализ моделирования путей с помощью метода частичных наименьших квадратов (PLS-PM) показал, что тип землепользования и содержание углеродных и азотных пулов являются основными факторами, влияющими на стабильность почвенных агрегатов. Полученные результаты позволяют предположить, что лесные плантации особенно эффективны для повышения почво- и водосохранения в уязвимых карстовых районах, в то время как метод контурных террас с обратным уклоном демонстрирует потенциал для стабилизации почвенной структуры на длительных временных масштабах благодаря своей уникальной функции «преимущественного вовлечения».
1. Введение
Почвенные агрегаты являются фундаментальными единицами почвенной структуры, формируясь путем связывания органического вещества, частиц глины и песка, полисахаридов, растительных корневых нитей, почвенного мицелия и карбонатов [1]. Агрегаты регулируют различные физические и биологические процессы в почве [2,3]. В процессе своего формирования и стабилизации почвенные агрегаты играют ключевую роль в сохранении таких важнейших элементов, как углерод и азот, тем самым улучшая плодородие почвы и повышая структурную стабильность [4]. Стабильность почвенной структуры имеет ключевое значение для поддержания здоровья и продуктивности почвы, особенно под влиянием различных эколого-мелиоративных мероприятий [5,6].
Влияние различных экологических мер — таких как создание контурных террас с обратным уклоном на склоновых пашнях, лесовосстановление, залежные лесомелиоративные меры (лесные плантации) и посадка плодовых и хозяйственных лесов — на стабильность почвенных агрегатов и связанное с ними содержание углерода и азота в карстовых ландшафтах стало значительной областью исследований. Это особенно актуально для сохранения почв и управления питательными веществами [7,8,9,10]. Эколого-мелиоративные мероприятия изменяют эко-гидрологические процессы, влияя на растительный покров, корневые структуры, содержание органического вещества в почве, структуру почвы и распределение агрегатов, а также на поверхностный сток и борьбу с эрозией [11,12,13]. Однако большинство недавних исследований по различным типам землепользования в основном были сосредоточены на стабильности почвенных агрегатов и связанных свойствах почвы на Лёссовом плато Китая [14,15,16,17,18]. Хотя некоторые сообщения существуют по карстовым ландшафтам на юго-западе Китая, эти исследования в основном концентрируются на отдельных экологических мерах и прежде всего рассматривают изменения в почвенных агрегатах и органическом углероде, не затрагивая связанное содержание азота [19,20,21]. В частности, влияние контурных террас с обратным уклоном — ключевой меры по сохранению почвы и воды — на почвенные агрегаты, органический углерод и содержание общего азота (TN) остается недостаточно изученным. Различные реакции эко-гидрологических процессов и процессов эрозии почвы на разные эколого-мелиоративные мероприятия могут существенно изменять глубину почвы, гранулометрический состав, растительный покров и другие экологические динамики, следовательно, влияя на содержание и стабильность почвенных агрегатов в различных фракциях [11,15,22]. Поэтому в дальнейшем требуется дополнительное исследование для оценки влияния различных эколого-мелиоративных мероприятий на распределение почвенных агрегатов.
Почвенное органическое вещество представляет собой сложное органическое соединение, состоящее из остатков растений и животных, а также продуктов, являющихся результатом микробной трансформации [23]. Органический углерод и TN являются ключевыми компонентами органического вещества, которые иммобилизуются в почве посредством микробной активности, корневых выделений растений и различных физико-химических взаимодействий во время формирования почвенных агрегатов. Эти элементы имеют важнейшее значение для поддержания структуры почвы и повышения плодородия [23]. Состав почвенных агрегатов разных размеров тесно связан с устойчивостью почвы, углеродными и азотными пулами, а также качеством окружающей среды [24,25,26]. Макроагрегаты, в частности, обычно богаты органическим углеродом и азотом, поскольку они имеют тенденцию более эффективно адсорбировать и стабилизировать органическое вещество, а их более крупная поровая структура помогает защищать эти компоненты от микробного разложения [27]. Напротив, микроагрегаты, будучи более стабильными, хранят органический углерод и азот в течение более длительных периодов, но органическое вещество внутри них менее доступно для микробов из-за их меньшего размера и большей удельной поверхности [28,29]. Почвенные агрегаты различного размера также обладают неиспользованным потенциалом для секвестрации органического углерода и азота, причем их содержание обычно увеличивается с увеличением размера агрегата [30,31]. Однако исследования из разных регионов часто дают противоречивые результаты, вероятно, из-за различий в топографии, землепользовании, глубине почвы и климатических условиях [32,33,34]. Поэтому понимание роли почвенных агрегатов в секвестрации углерода и азота при различных эколого-мелиоративных мероприятиях имеет ключевое значение.
Карстовые ландшафты, характеризующиеся своей уникальной геологической структурой и сложными гидрологическими процессами, широко распространены в различных регионах мира, в частности на юге Китая [27,35]. Структура и устойчивость почвы в этих регионах особенно хрупкие, что приводит к значительной неоднородности процессов почвообразования, влияя на физические, химические и биологические свойства почвы [36,37,38]. Из-за анизотропной среды, динамических экологических факторов и прямой связи между поверхностными и подповерхностными слоями в карстовых регионах эти районы очень уязвимы для деградации земель и загрязнения. Эта нестабильность почвенной структуры является ключевым фактором, способствующим процессу карстового опустынивания [39]. Несмотря на широкое внедрение мер по сохранению почвы и воды, таких как контурные террасы с обратным уклоном, наряду с другими эколого-мелиоративными методами, их влияние на секвестрацию SOC и азота, а также на структурную устойчивость почвы в карстовых районах остается неясным [40,41]. В этом исследовании мы сосредоточились на пяти различных режимах землепользования в бассейне реки Чишуй, карстовом регионе в провинции Юньнань, Китай. Эти режимы включали оптимизацию склоновых пахотных террас в контурные террасы с обратным уклоном, меры по созданию лесных плантаций, меры по восстановлению лесов, плодовые леса и сохранение склоновой пашни в качестве контрольного варианта. Основной целью была оценка стабильности почвенных структур при применении мер контурных террас с обратным уклоном и других эколого-мелиоративных методов. Мы предполагали, что содержание SOC и азота в рамках этих мер будет выше, чем в контрольном варианте. Конкретными задачами данного исследования были (1) оценить влияние различных эколого-мелиоративных мероприятий на содержание и стабильность почвенных агрегатов с использованием метода мокрого просеивания, (2) сравнить изменения содержания углерода и азота в цельном грунте и агрегатах различного размера при различных эколого-мелиоративных мероприятиях в карстовом регионе юго-запада Китая и (3) определить основные факторы, влияющие на стабильность почвенных агрегатов, подверженность эрозии и углеродные и азотные пулы.
2. Материалы и методы
2.1. Район исследования
Данное исследование проводилось в бассейне реки Чишуй (26°49′–28°54′ с.ш., 104°09′–107°10′ в.д.), которая берет начало в уезде Чжэньсюн провинции Юньнань и находится на границах провинций Юньнань, Гуйчжоу и Сычуань. Основное русло реки имеет протяженность 436,5 км, а площадь водосбора составляет 18 932,2 км². Бассейн отличается разнообразным рельефом, с более высокими отметками на юго-западе и более низкими на северо-востоке. Верхнее и среднее течение реки Чишуй являются частью Юньнань-Гуйчжоуского плато, типичного карстового ландшафта, который составляет приблизительно 74% площади бассейна и характеризуется плато-горами. Нижнее течение находится в Сычуаньской котловине, ландшафте Данься, занимая около 26% площади, с преобладанием холмистых равнин. Типы почв в регионе включают зональные желтые и желто-бурые почвы, каменистые известняковые почвы, пурпурные почвы, а также окультуренные рисовые и богарные почвы. Бассейн расположен в переходной зоне между плато и котловиной и характеризуется континентальным климатом, в основном в средней субтропической зоне. Зимы сухие и холодные, а лета жаркие и влажные, с максимальными температурами до 39 °C, минимальными температурами, опускающимися до −5 °C, и среднегодовой температурой в диапазоне от 15 °C до 20 °C (Национальный метеорологический информационный центр, http://data.cma.cn, доступ осуществлен 15 октября 2024 г.). Годовое количество осадков варьирует от 749 до 1286 мм, а годовой сток составляет приблизительно 9,7 млрд м³. Осадки сконцентрированы в период с июня по сентябрь. Основными культурами в регионе являются кукуруза и рис. Растительность в водосборе в основном представлена лесными плантациями, включая криптомерию (Cunninghamia lanceolata), облепиху (Hippophae rhamnoides), пираканту (Pyracantha fortuneana) и стенолому (Stenoloma fee). Другие плантационные виды включают ясень (Fraxinus chinensis Roxb.), китайскую яблоню (Malus sanguinea) и гортензию шершавую (Hydrangea aspera D. Don), а также полынь (Artemisia argyi) и Artemisia dubia. Местоположение района исследования показано на Рисунке 1.
Рисунок 1. Расположение района исследования.
2.2. Закладка пробных площадок и отбор проб
Обследование бассейна реки Чишуй было проведено в 2023 году, при этом основными типами землепользования были традиционная склоновая пашня, лесные плантации, восстановленные леса и плодовые леса. Основными товарными сельскохозяйственными культурами в бассейне являются в основном кукуруза, киви и др.; однако с экономическим развитием и значительным ростом стоимости рабочей силы все больше и больше сельской молодежи и трудоспособного населения среднего возраста уезжают на работу или занимаются бизнесом, отказываясь от сельскохозяйственного производства как основного источника дохода и используя такие культуры, как кукуруза, для содержания птицы. В связи с местными производственными и бытовыми потребностями в кукурузные поля были добавлены промежуточные культуры, такие как овощи; кроме того, местная склоновая пашня начала внедрять террасную схему посадки в 1986 году из-за серьезной эрозии почвы и сильной инфильтрации в карстовом ландшафте. Однако террасное земледелие на склонах по-прежнему приводит к серьезной карстовой эрозии, поэтому в декабре 2023 года была применена мера контурных террас с обратным уклоном для достижения эффекта сокращения стока и сохранения почвы и воды. Естественная восстановленная растительность формируется в результате естественной сукцессии в районах с опасным рельефом и серьезными карстовыми ландшафтами; лесные плантации формируются путем искусственной посадки и рассеивания с самолета. При выборе пробных площадок годы посадки определялись путем опроса фермеров, консультаций с экспертами и с учетом годового цикла сукцессии растительности в соответствии с полевыми исследованиями и площадью, охваченной в полевых условиях. На основе местных доминирующих видов и практики возделывания были выбраны пять мероприятий: (1) Y38th–ck: Склоновые пахотные террасы с 38-летним непрерывным возделыванием, где выращивалась кукуруза, служили контрольным вариантом. (2) Y1th–crt: Учитывая типичную местную карстовую геоморфологию и сильную эрозию почвы, на склоновой пашне, непрерывно возделываемой в течение 38 лет, были реализованы меры по созданию контурных террас с обратным уклоном (Рисунок 2). Конкретно, контурные террасы были построены вдоль склона с интервалами от 5 до 10 м в зависимости от уклона, чтобы разделить исходный склон на более мелкие сегменты. Это уменьшило длину склонов, способствующих поверхностному стоку [37,38]. В канавах контурных террас с обратным уклоном сформировалась функция «преимущественного вовлечения», которая позволяла частицам почвы и органическому веществу осаждаться в канавах, тем самым уменьшая эрозию почвы и питательных веществ. (3) Y7th–rgl: Меры по залежному облесению были внедрены в 2017 году. (4) Y6th–zr: Из-за высокого содержания камней в карстовом ландшафте сельскохозяйственная деятельность была затруднена. Таким образом, в 2018 году было начато лесовосстановление для предотвращения эрозии и смягчения снижения сельскохозяйственной продуктивности. (5) Y6th–jgl: В 2018 году первоначальные культуры (кукуруза, перец и др.) были заменены плодовым лесом, и в саду круглый год были посажены деревья киви.
Рисунок 2. Схематическая диаграмма ступени контурной террасы с обратным уклоном.
Отбор проб для пяти эколого-мелиоративных мероприятий проводился в конце марта 2024 года. В рамках каждого из пяти вариантов три площадки размером 1 м × 1 м были случайным образом выбраны в качестве повторений. Образцы почвы были отобраны с трех глубин почвы (0–10 см, 10–20 см и 20–30 см) на каждой повторной площадке. Также были собраны образцы из зон «преимущественного вовлечения» контурных террас с обратным уклоном. Всего для данного исследования было получено 45 образцов почвы.
2.3. Экспериментальный анализ
Перед воздушной сушкой собранные образцы почвы были вручную раздроблены на частицы размером менее 5 мм. После воздушной сушки часть образцов подвергли сухому просеиванию для классификации почвенных агрегатов на крупные агрегаты (>2 мм), средние агрегаты (2–0,25 мм) и микроагрегаты (<0,25 мм). Эти классифицированные агрегаты затем использовали для определения содержания различных почвенных агрегатов, а также уровней SOC и TN в каждом фракционном размере. Оставшиеся образцы почвы просеивали через сетку 0,25 мм для определения содержания SOC и TN в цельном грунте. Содержание SOC измеряли с использованием метода внешнего нагрева с дихроматом калия, в то время как содержание TN определяли методом Кьельдаля. Механический состав почвы, включая содержание песка, ила и глины, измеряли с помощью лазерного анализатора размера частиц Malvern. Классификация почвенных частиц проводилась в соответствии со стандартами США.
Для оценки влияния различных эколого-мелиоративных мероприятий на стабильность почвенных агрегатов два ключевых показателя — средневзвешенный диаметр (MWD) и средний геометрический диаметр (GMD) — были рассчитаны на основе весов макро- и микроагрегатов и их соответствующих средних диаметров с использованием следующих уравнений:
где n представляет количество классов размеров агрегатов (в данном случае три), Mi — весовой процент агрегата i относительно общего веса образца почвы, а Xi — средний диаметр агрегата i.
Коэффициенты стратификации (SRs) SOC и TN, которые являются ключевыми показателями для оценки распределения органического углерода и азота на разных глубинах почвы, также были рассчитаны. Эти коэффициенты предоставляют ценную информацию для управления почвой, практики землепользования и экологического здоровья, способствуя разработке устойчивых сельскохозяйственных и почвенных стратегий управления. SRs для SOC и TN были рассчитаны по следующим уравнениям:
где SOC0–10, SOC10–20 и SOC20–30 представляют содержание SOC на глубинах почвы 0–10 см, 10–20 см и 20–30 см соответственно, а TN0–10, TN10–20 и TN20–30 представляют соответствующее содержание TN.
Различия в массовых процентах почвенных агрегатов различного размера, а также в содержании органического углерода и TN в этих агрегатах приводят к вариациям в секвестрации SOC и TN во всем почвенном профиле при различных эколого-мелиоративных мероприятиях. Для оценки вклада агрегатов разного размера в общие пулы SOC и TN при различных экологических мерах использовались следующие уравнения:
где Wai представляет массовый вес агрегата i; SOCai и TNai — содержание органического углерода и азота агрегата i; Wb — массовый вес цельной почвы; SOCb и TNb — общее содержание органического углерода и TN в цельной почве. Cai обозначает вклад агрегата i в пулы SOC и пулы TN.
Значение подверженности почвы эрозии K определяется с использованием модели EPIC. Эта модель оценивает значение K на основе гранулометрического состава почвы и содержания органического углерода в почве. Формула расчета следующая:
Среди них SAN, SIL и CLA соответствуют содержанию песка (%), содержанию ила (%) и содержанию глины (%) соответственно; C — содержание органического углерода (%).
Значение K, рассчитанное по упомянутому уравнению, выражено в американских единицах и должно быть преобразовано в единицы СИ (т·га²·ч/(МДж·мм·га²)) путем умножения на 0,1317. Значение K, предложенное Zhang et al. (2008) [39], было модифицировано, чтобы эффективно адаптироваться к оценке подверженности почвы эрозии в Китае, следующим образом:
2.4. Статистический анализ
В этом исследовании мы комплексно оценили влияние эколого-мелиоративных мероприятий, почвенных агрегатов, глубины почвы и их взаимодействий на содержание органического углерода и азота в почве. Трехфакторный дисперсионный анализ (ANOVA) был выбран, поскольку он позволил одновременно учитывать эти три ключевых фактора и их взаимодействия, адаптироваться к структуре данных подгруппового дизайна в исследовании и показывать относительную важность и механизмы взаимодействия различных факторов. Однофакторный ANOVA использовался для проверки влияния одного фактора (эколого-мелиоративные мероприятия) на множество зависимых переменных, для удовлетворения потребности в множественных сравнениях и для точной оценки эффектов различных мер, в то время как корреляционный анализ Пирсона использовался для изучения линейных корреляций между почвенными переменными при различных эколого-мелиоративных мероприятиях на уровне значимости p < 0,05, для контроля ошибок в статистическом выводе и для предоставления полезного инструмента для понимания взаимодействий между круговоротом углерода и азота в почве и природы взаимодействий агрегатов со свойствами агрегатов. Линейный регрессионный анализ использовался для оценки взаимосвязи между различными агрегатами и содержанием углерода и азота в почве, для построения модели, количественно определяющей степень влияния агрегатов, и для выяснения механизма их роли в круговороте углерода и азота в почве. Метод частичных наименьших квадратов комплексно анализирует многосторонние эффекты типа землепользования, механического состава, состава агрегатов и углеродных и азотных пулов на стабильность агрегатов и извлекает основные влияющие факторы путем сокращения размерности для упрощения процесса анализа данных и повышения объяснительной способности и прогностической способности модели. Все графики были построены с помощью Origin 2022 и языка R v 4.4.1, а для статистического анализа использовалось программное обеспечение SPSS16.0.
3. Результаты
3.1. Изменение содержания агрегатов и гранулометрического состава почвы
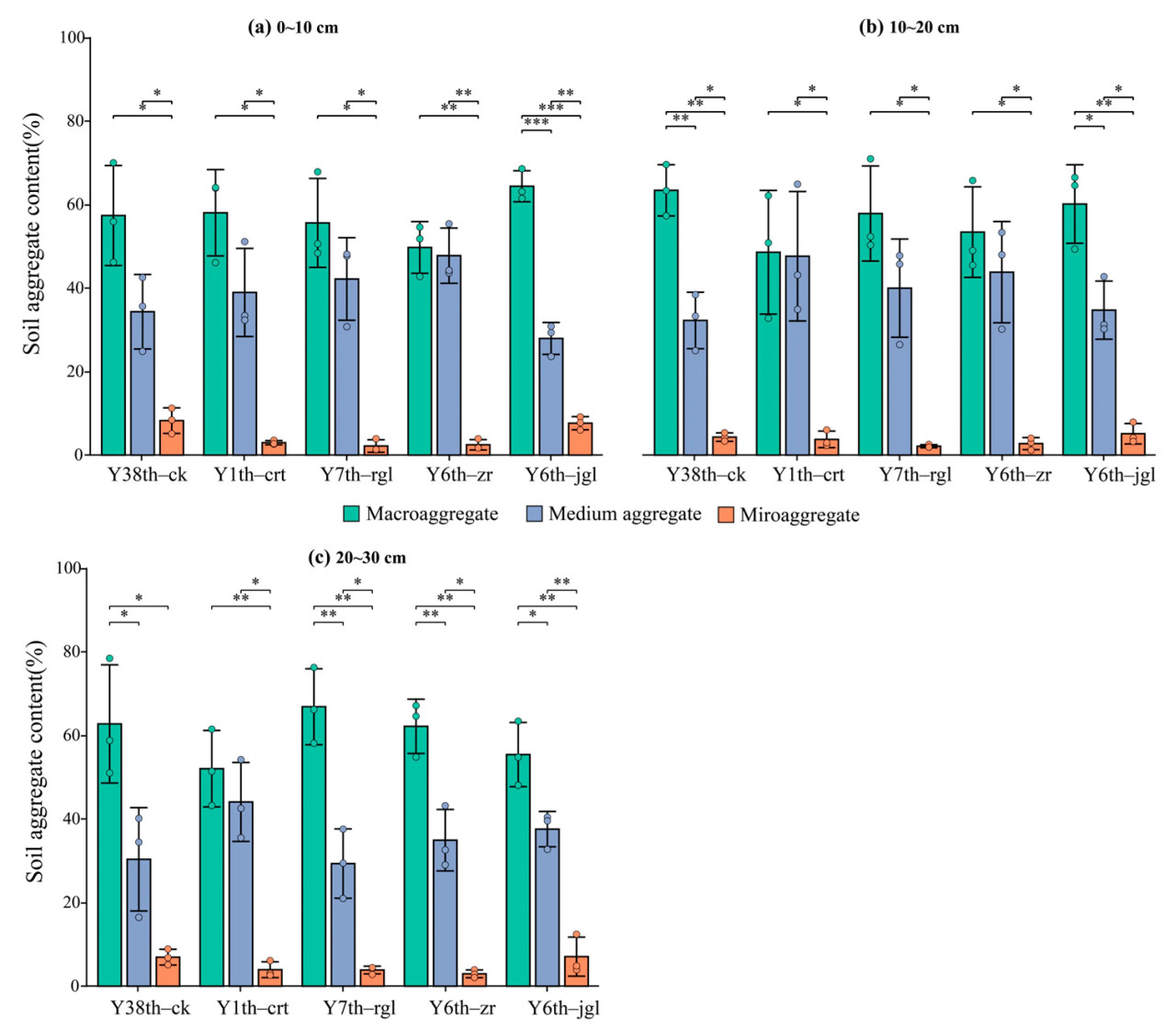
При различных эколого-мелиоративных мероприятиях макроагрегаты имели самое высокое содержание среди трех классов размеров агрегатов (Рисунок 3). По всей глубине почвы 0–30 см среднее содержание макроагрегатов, средних агрегатов и микроагрегатов составляло 58%, 38% и 4% соответственно. Наибольшее содержание макроагрегатов наблюдалось в варианте Y38th–ck (61%), за которым следовал Y7th–rgl (60%), тогда как наименьшее было у Y1th–crt (53%). Конкретно, содержание макроагрегатов в Y38th–ck было в 1,16 и 1,11 раза выше, чем у Y1th–crt и Y7th–rgl соответственно. Напротив, Y1th–crt показал самое высокое содержание средних агрегатов (43%) и микроагрегатов (7%), что представляет увеличение на 1% и 1% соответственно по сравнению с Y6th–zr. Дополнительно, Y1th–crt продемонстрировал увеличение содержания микроагрегатов на 86% по сравнению с Y38th–ck, в то время как Y7th–rgl показал увеличение на 2%. Однако Y6th–jgl имел снижение содержания микроагрегатов на 59% по сравнению с Y38th–ck. В Y1th–crt соотношение макроагрегатов к средним агрегатам составляло приблизительно 1,21, а соотношение макроагрегатов к микроагрегатам — около 8,00. Этот вариант показывал более сбалансированное распределение пропорций агрегатов, с наименьшей разницей между содержанием средних и микроагрегатов по сравнению с другими четырьмя эколого-мелиоративными мероприятиями.
Рисунок 3. Изменение содержания почвенных агрегатов при различных обработках.
В целом, вариант Y1th–crt показал увеличенную долю средних и микроагрегатов по сравнению с другими эколого-мелиоративными мероприятиями, наглядно показывая его потенциальные преимущества в стабилизации структуры почвы.
(Рисунок 4) При различных обработках все, кроме Y1th–crt, демонстрировали механический состав, характеризующийся наибольшими долями глины и ила (p < 0,05), причем ил составлял 60% от общего состава почвы. Доли ила, глины и песка не показали значительных вариаций с глубиной почвы. Среди трех почвенных слоев содержание глины в варианте Y6th–zr обычно было самым высоким, в среднем на 7% выше по сравнению с Y38th–ck. Содержание ила в варианте Y7th–rgl также было самым высоким, в диапазоне от 1,13 до 1,24 раза по сравнению с Y38th–ck, в то время как содержание песка было преимущественно самым высоким в варианте Y1th–crt.
Рисунок 4. Содержание гранулометрического состава почвы при различных обработках.
3.2. Стабильность агрегатов и подверженность эрозии
Среди трех почвенных слоев самые высокие значения GMD наблюдались в варианте Y7th–rgl. В среднем значения GMD для Y7th–rgl были на 8% до 157% выше, чем у других эколого-мелиоративных мероприятий (Рисунок 5). Напротив, структурная стабильность Y38th–ck была самой низкой, со значениями GMD на 15% до 35% ниже, чем у других мер. В слое почвы 0–20 см самое высокое значение MWD было обнаружено в варианте Y6th–jgl, со средним значением 2,60, что было в 1,06–1,15 раза выше, чем у других эколого-мелиоративных мероприятий. В слое почвы 20–30 см самое высокое значение MWD было зафиксировано у Y7th–rgl (3,10), следуя той же тенденции, что и значения GMD. Это было на 10% выше, чем значение MWD у Y6th–jgl. Подверженность почвы эрозии (Рисунок 5) в различных почвенных слоях была самой низкой в варианте Y1th–crt, который показал снижение на 36% по сравнению с вариантом Y38th-ck. Средний геометрический диаметр (GMD, или средневзвешенный диаметр, MWD) и значения K при различных обработках демонстрировали следующие тенденции: Y7th-rgl > Y6th-zr > Y6th-jgl > Y1th-crt > Y38th-ck и Y38th-ck > Y7th-rgl > Y6th-zr > Y6th-jgl > Y1th-crt.
Рисунок 5. Стабильность почвенных агрегатов при различных обработках.
3.3. Изменения содержания органического углерода и TN в цельной почве и агрегатах
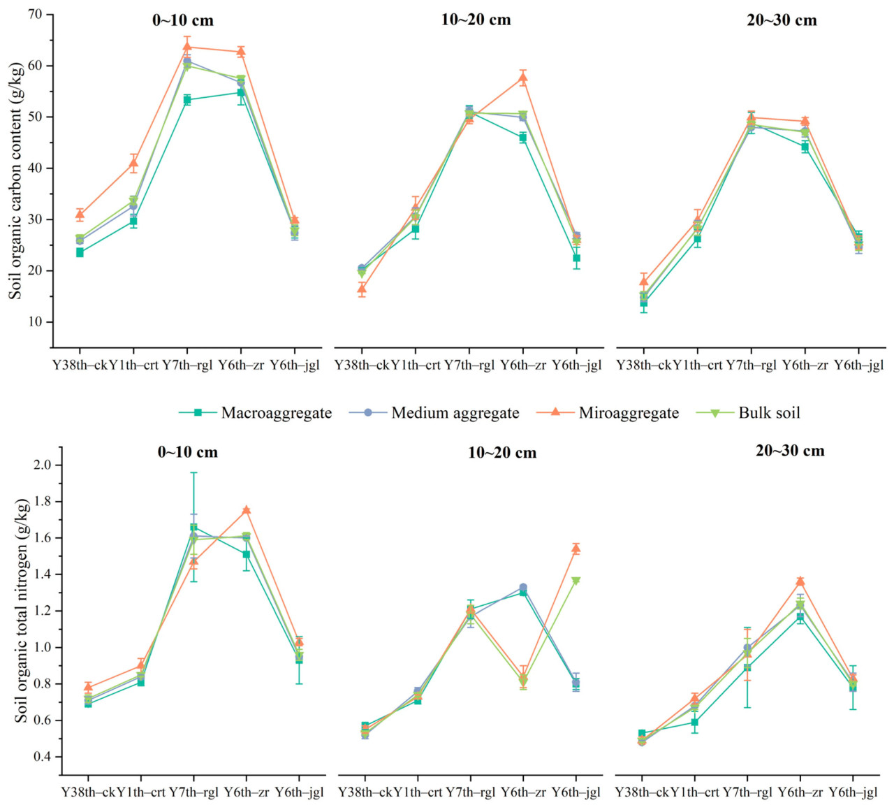
Результаты трехфакторного ANOVA показали, что эколого-мелиоративные мероприятия, почвенные агрегаты и глубина почвы оказывали значительное влияние (p < 0,001) как на общее содержание органического углерода и азота, так и на содержание углерода и азота в почвенных агрегатах (Таблица 1 и Таблица 2). В целом, среднее содержание органического углерода и TN по пяти эколого-мелиоративным мероприятиям снижалось с увеличением глубины почвы, причем самые высокие значения постоянно обнаруживались в микроагрегатах (Рисунок 6). Вариант Y38th–ck показал самые низкие значения органического углерода и TN во всех фракциях агрегатов и в цельной почве. Среди макроагрегатов вариант Y6th–zr имел самое высокое содержание TN (1,33 г/кг), что было на 123% больше, чем самое низкое значение в Y38th–ck (0,60 г/кг). Дополнительно, Y6th–zr также имел самое высокое содержание органического углерода (51,07 г/кг), что было в 2,66 раза выше, чем у Y38th–ck и на 28% выше, чем у Y1th–crt. Для средних агрегатов Y6th–zr также зафиксировал самое высокое содержание TN (1,39 г/кг), в 2,44 раза больше, чем Y38th–ck (0,57 г/кг). Содержание органического углерода у Y7th–rgl составляло 53,33 г/кг, что было в 2,61 раза выше, чем у Y38th–ck. Среди микроагрегатов содержание TN у Y6th–zr (1,32 г/кг) было значительно выше, чем у Y38th–ck (0,60 г/кг), в то время как Y7th–rgl имел содержание TN 1,21 г/кг, что представляет увеличение на 102% по сравнению с Y38th–ck. Содержание органического углерода в варианте Y6th–zr составляло 56,51 г/кг, также в 2,61 раза больше, чем у Y38th–ck. В целом, вариант Y6th–zr показал наилучшие результаты с точки зрения общего содержания SOC и TN, со значениями 53,08 г/кг и 1,25 г/кг соответственно. Во всех трех почвенных слоях тенденции в содержании органического углерода и TN как в агрегатах, так и в цельной почве при пяти эколого-мелиоративных мероприятиях следовали одной и той же схеме: Y7th-rgl > Y6th-zr (Y6th-zr > Y7th-rgl) > Y1th-crt > Y6th-jgl > Y38th-ck.
Рисунок 6. Содержание органического углерода и общего азота при различных обработках.
Таблица 1. Влияние эколого-мелиоративных мероприятий, слоев почвы и агрегатов на содержание органического углерода.
Таблица 2. Влияние эколого-мелиоративных мероприятий, слоев почвы и агрегатов на содержание общего азота.
3.4. Взаимосвязь между содержанием органического углерода и TN в различных агрегатах и цельной почве
Простой линейный регрессионный анализ показал, что взаимосвязь между содержанием общего SOC и азота в цельной почве и содержанием органического углерода и азота в различных агрегатах была близкой, но не статистически значимой (p > 0,05) (Рисунок 7). В слое почвы 0–30 см коэффициент регрессии для содержания органического углерода в крупных агрегатах (b = 0,77) был выше, чем для средних агрегатов (b = 0,71) и микроагрегатов (b = 0,66). Напротив, коэффициенты регрессии для содержания TN в крупных агрегатах (0–10 см: b = 0,031; 10–20 см: b = 0,029; 20–30 см: b = 0,0339) были ниже, чем для средних агрегатов (0–10 см: b = 0,029; 10–20 см: b = 0,0295; 20–30 см: b = 0,039) и микроагрегатов (0–10 см: b = 0,0339; 10–20 см: b = 0,0332; 20–30 см: b = 0,03442).
Рисунок 7. Линейная взаимосвязь между содержанием органического углерода и общего азота в различных агрегатах и содержанием органического углерода и общего азота в различных агрегатах.
Вариант Y7th–rgl показал самые высокие SRs как для органического углерода, так и для TN (SR_SOC = 1,35, 1,74; SR_TN = 1,35, 1,66), которые были значительно выше, чем у других эколого-мелиоративных мероприятий (Рисунок 8), показывая увеличение на 18,4% до 57% по сравнению с другими четырьмя обработками. Это увеличение было статистически значимым. Напротив, Y38th–ck имел самые низкие SRs (SRSOC = 1,08, 1,11; SRTN = 1,14, 1,27), причем значительного увеличения не наблюдалось. SRs для Y1th–crt были в 1,02–1,12 раза выше, чем у Y38th–ck.
Рисунок 8. Коэффициенты стратификации общего органического углерода и азота к содержанию органического углерода и общего азота внутри агрегатов при различных эколого-мелиоративных мероприятиях.
3.5. Вклад различных почвенных агрегатов в пулы органического углерода и TN
Различные эколого-мелиоративные мероприятия значительно повлияли на вклад различных почвенных агрегатов в пулы органического углерода и TN (Рисунок 9). Во всех пяти экологических мерах наибольший вклад как в пулы органического углерода, так и в пулы TN вносили крупные агрегаты. По мере уменьшения размера частиц вклад агрегатов в эти пулы значительно снижался. В слое почвы 0–30 см Y6th–jgl показал самый высокий вклад крупных агрегатов в пулы как органического углерода, так и TN. Это было в 1,35–1,49 раза больше, чем вклады от Y1th–crt, Y38th–ck, Y7th–rgl и Y6th–zr (p < 0,05). Среди средних агрегатов Y7th–rgl имел самый высокий вклад в пулы органического углерода и TN, представляя увеличение на 1% до 30% по сравнению с другими четырьмя эколого-мелиоративными мероприятиями (p < 0,05). Как Y7th–rgl, так и Y1th–crt демонстрировали относительно равномерный вклад в пулы TN, указывая на более сбалансированное распределение азота внутри средних агрегатов, что предполагает потенциал для стабилизации содержания азота в почве. Для микроагрегатов Y6th–zr показал самый высокий вклад в пул органического углерода, который был в 1,02–2,38 раза выше, чем у других обработок. В целом, вклады органического углерода и TN от трех типов агрегатов были наиболее сбалансированными в вариантах Y7th–rgl и Y1th–crt. Эти результаты предполагают, что эти две обработки могут способствовать более интегрированному и стабилизированному процессу цикла питательных веществ в почвенной матрице.
Рисунок 9. Вклад различных агрегатов в углеродные и азотные пулы при различных эколого-мелиоративных мероприятиях.
3.6. Корреляция стабильности со свойствами почвы
Положительная корреляция (p < 0,001) была обнаружена между значениями GMD, MWD и K в слое почвы 0–30 см (Рисунок 10). Дополнительно, содержание ила, значения GMD, MWD и K показали положительную корреляцию (p > 0,05) с содержанием MA, MA-SOC, MI-SOC, ME-SOC, BS-SOC, BS-TN, MA-TN, ME-TN и MI-TN. Содержание макроагрегатов в почве положительно коррелировало как с содержанием SOC, так и с содержанием TN (p > 0,05). Напротив, содержание ME, MI, глины и ила показало отрицательную корреляцию со значениями MWD, GMD, SOC и содержанием TN (p > 0,05), тогда как содержание MA продемонстрировало положительную корреляцию со значениями MWD, GMD, K, SOC и содержанием TN (p > 0,05). Более того, содержание органического углерода как в цельной почве, так и в агрегатах положительно коррелировало с соответствующим содержанием TN (p < 0,001).
Рисунок 10. Корреляция соответствующих свойств почвы в различных почвенных агрегатах и цельной почве.
Тип землепользования оказывал значительное влияние на стабильность почвенных агрегатов, согласно результатам модели путей с частичными наименьшими квадратами (PLS-PM). Этот эффект также косвенно зависел от экологических факторов, таких как углеродные и азотные пулы, механический состав почвы и дисперсия агрегатов (Рисунок 11). Среди них индекс стабильности почвенных агрегатов имел значительную отрицательную корреляцию (p < 0,05) с механическим составом почвы (коэффициент прямого эффекта −0,931) и значительную положительную корреляцию (p < 0,05) с типом землепользования (коэффициент прямого эффекта 2,536) и углеродными и азотными пулами (коэффициент прямого эффекта 0,675). Дополнительно, воздействуя на состав агрегатов, механический состав почвы косвенно влиял на количество углерода и азота в пуле (коэффициент пропускной способности 0,821).
Рисунок 11. Причины стабильности почвенных агрегатов с использованием модели путей на основе частичных наименьших квадратов (PL-SPM).
4. Обсуждение
4.1. Изменения содержания и стабильности почвенных агрегатов при различных эколого-мелиоративных мероприятиях
В этом исследовании макроагрегаты составляли наибольшую часть почвенных агрегатов, что согласуется с выводами Yang et al. [30] в карстовом регионе юго-запада. Количество и распределение макроагрегатов отражают структурную устойчивость почвы и устойчивость к эрозии, способствуя росту растений и улучшению плодородия почвы [10,40]. Вариант Y1th–crt значительно способствовал формированию средних и микроагрегатов, что привело к наибольшей доле этих размеров агрегатов среди всех обработок (Рисунок 3) и более сбалансированному распределению пропорций агрегатов. Это предполагает, что Y1th–crt имеет более высокий потенциал для усиления формирования макроагрегатов. Вероятная причина этого заключается в том, что мера контурных террас с обратным уклоном уменьшает склоновый сток, изменяя микрорельеф, задерживая сток в зонах «преимущественного вовлечения» во время дождя. Этот сток затем инфильтрует в почву, увеличивая пористость почвы и улучшая проницаемость на склоновой пашне [41,42]. Это, в свою очередь, улучшает физическую структуру почвы и способствует формированию средних и микроагрегатов. Средние почвенные частицы способствуют инфильтрации воды и аэрации в корневой зоне из-за их большего размера пор, поддерживая связность пор. Эти частицы в основном связываются с микроагрегатами посредством биологических взаимодействий, включая временные связующие (такие как микробные секреты, включая полисахариды и белки) и краткосрочные связующие (такие как корни и мицелий), которые объединяются, чтобы формировать макроагрегаты [1,43]. Одно предыдущее исследование, изучавшее влияние мер контурных террас с обратным уклоном на структуру почвы в суб-водосборе плотины Сунхуа в провинции Юньнань, продемонстрировало, что эти меры значительно улучшили состав почвенных агрегатов. Содействие формированию макроагрегатов этими мерами было дополнительно подтверждено посредством разработки Минимального Набора Данных (MDS) [35] и улучшенной устойчивости почвы к эрозии, что подтверждается контурной террасой с обратным уклоном с ее минимальной подверженностью эрозии. Стабильно, наши данные предполагают, что контурные террасы с обратным уклоном особенно эффективны в содействии формированию и стабилизации крупных агрегатов в карстовых ландшафтах. Хорошо развитая и сложная корневая система естественной растительности фиксирует почву, уменьшает эрозию и увеличивает накопление слизистых веществ и муки, одновременно создавая благоприятные условия для их формирования (разложение корней и апопластическое вещество). Это может быть причиной высокого содержания слизистых веществ и муки в вариантах восстановленного леса и лесной плантации, согласно исследованию [10].
Y7th–rgl показал самый высокий GMD в слое почвы 0–30 см, указывая на более высокую степень структурной стабильности почвы и эффективность в содействии формированию крупных почвенных агрегатов. Эти крупные агрегаты имеют ключевое значение для улучшения структуры почвы и снижения подверженности эрозии [19,33,44]. Этот вывод согласуется с предыдущими исследованиями, сравнивающими стабильность агрегатов на разных стадиях сукцессии растительности в карстовом регионе юго-запада [30]. В этом исследовании обработка лесными плантациями (Y6th–jgl) привела к наибольшей доле агрегатов >0,25 мм. Эти агрегаты способствовали включению органического вещества и улучшению взаимодействий корень–почва, дополнительно способствуя процессу агрегации почвы и стабилизируя более крупные почвенные частицы [45], внося вклад в более стабильную структуру почвы. Y6th–jgl был особенно эффективен в улучшении стабильности агрегатов в поверхностном слое почвы, вероятно, из-за специфических практик управления, таких как оптимизированный выбор видов растений (киви) и методов полевого управления, включая обработку почвы и внесение органических удобрений. Эти практики стимулируют формирование агрегатов и улучшают структурную целостность почвы [46,47], что подтверждается более низкой подверженностью эрозии меридиональных лесов (Рисунок 5). Напротив, Y38th–ck показал наихудшую структурную стабильность и подверженность эрозии, указывая на снижение качества обрабатываемой почвы и увеличение эрозии на склоновой пашне из-за непрерывной круглогодичной обработки. Осадки разрушают почвенные агрегаты на более мелкие частицы, забивая поры почвы и формируя поверхностные корки, что увеличивает поверхностный сток [47,48]. Более того, частая обработка почвы, изменение температуры или огонь нарушают формирование агрегатов и снижают стабильность более крупных агрегатов [49,50]. Чтобы решить эту проблему, сокращение обработки почвы в течение сезона дождей — когда повышенная влажность почвы может разрыхлять структуру почвы и усугублять эрозию — может помочь повысить стабильность почвы. В дальнейшем исследования должны быть сосредоточены на длительных эффектах лесных плантаций на здоровье почвы на разных временных масштабах, а также на их потенциальном применении в более широких проектах экологического восстановления.
4.2. Изменения органического углерода и TN в почвенных агрегатах при различных эколого-мелиоративных мероприятиях
Наши результаты показали, что микроагрегаты имели самое высокое содержание органического углерода и TN среди пяти эколого-мелиоративных мероприятий. Это может быть связано с внутренней структурной иерархией микроагрегатов, которые имеют компактную структуру и меньшие поровые пространства, эффективно инкапсулируя и защищая органическое вещество. Это снижает вероятность микробной деградации, помогает удерживать воду и питательные вещества и предоставляет благоприятную среду для микробной активности. Микроорганизмы внутри этих агрегатов разлагают органическое вещество и иммобилизуют ключевые элементы питания (такие как углерод, азот, фосфор и микроэлементы), тем самым увеличивая содержание органического углерода и TN [23,50,51,52]. Это подтверждается самым высоким процентом пылеватых частиц в этом исследовании. Пылеватые частицы могут формировать микроагрегаты, сочетая их с цементирующими веществами. В слое почвы 0–30 см вариант Y7th–rgl показал самое высокое среднее содержание органического углерода в различных макроагрегатах, микроагрегатах и цельных почвах. Это предполагает, что Y7th–rgl был наиболее эффективен в увеличении запасов органического углерода во фракциях агрегатов и цельных почвах, вероятно, из-за его превосходной структурной стабильности почвы (MWD = 4,35, GMD = 3,10) и более высокого содержания крупных агрегатов (60,11%) (Рисунок 2 и 3). Большая стабильность агрегатов подразумевает, что крупные агрегаты более устойчивы к эрозии, вызванной осадками [20,53]. Дополнительно, лесные плантации, которые обладают функциональными признаками, такими как большая площадь листьев, толщина листьев, длина корней и площадь поверхности корней, играют ключевую роль в секвестрации углерода и азота на многих уровнях, включая как атмосферу, так и литосферу. Эти признаки являются ключевыми драйверами динамики SOC и азота [54,55]. Y7th–rgl также продемонстрировал высокие SRs для органического углерода и TN (SRSOC = 1,35, 1,74; SRTN = 1,35, 1,66), что значительно улучшило длительную стабилизацию питательных веществ в почве, что согласуется с выводами Deng et al. [25]. В результате, богатые органическим углеродом макроагрегаты были более устойчивы к вытеснению эрозией дождевой воды, тем самым увеличивая содержание органического углерода. Эта взаимосвязь между содержанием, связанным с макроагрегатами, и пулами органического углерода подтверждает эти выводы.
Напротив, самые низкие содержания органического углерода и TN, наблюдаемые при обработке Y38th–ck, указывают на ее относительную неэффективность в содействии накоплению углерода и азота в почве. Это может быть связано с непрерывной круглогодичной обработкой почвы, которая значительно снижает поступления от растительности и почвы, усиливает микробное разложение элементов углерода и азота [4,56] и не предотвращает потерю органического вещества, вызванную дождевым стоком [41]. Неудивительно, что самые низкие значения органического углерода и SRs (SRSOC = 1,08, 1,11, SRTN = 1,14, 1,27) были обнаружены в Y38th–ck в этом исследовании. Эти результаты предполагают, что непрерывная обработка на склоновой пашне приводит к деградации почвы, негативно влияя на функцию экосистемы, здоровье почвы и продуктивность [57,58]. Содержание TN в Y6th–zr демонстрировало более высокие значения в различных трех размерах почвенных агрегатов и в цельных почвах, предполагая, что Y6th–zr может быть более эффективным в повышении удержания азота, чем другие обработки. Это может быть связано с мерами по восстановлению лесов, которые могли благоприятствовать фиксации азота или снижать потери азота через выщелачивание или испарение [59,60].
Коэффициенты регрессии между содержанием углерода в почвенных агрегатах и содержанием SOC в цельной почве увеличивались с размером агрегата в слое почвы 0–30 см, указывая, что накопление органического углерода было значительно выше в крупных агрегатах по сравнению со средними и микроагрегатами. Напротив, связанное содержание азота показало противоположную тенденцию, предполагая, что микроагрегаты играют более ключевую роль в фиксации азота экосистемой [32,61]. Дополнительно, SRs как органического углерода, так и TN были самыми высокими в варианте Y7th–rgl, со значительным увеличением обоих коэффициентов. Это предполагает более высокий потенциал для накопления питательных веществ вблизи поверхности почвы, что имеет важнейшее значение для поддержания продуктивности растений и плодородия почвы [22,25,62,63]. Коэффициенты разделения TN в Y7th–rgl превышали таковые у других эколого-мелиоративных мероприятий, указывая, что эта обработка может быть наиболее эффективной в повышении разделения азота и доступности питательных веществ в верхнем слое почвы. Напротив, большее увеличение SRs органического углерода для Y38th–ck и меньшее увеличение для Y1th–crt предполагают, что Y38th–ck проявлял большие диспропорции в распределении органического углерода в различных почвенных горизонтах, не способствуя улучшению доступности питательных веществ для корней. С другой стороны, SRs органического углерода и TN Y1th–crt были в 1,02–1,12 раза выше, чем у контрольного варианта (Рисунок 4). Это указывает, что мера контурных террас с обратным уклоном с ее уникальной функцией «преимущественного вовлечения» оказывает значительный эффект на улучшение сохранения почвы и воды, а также удержания питательных веществ в почве на склоновой пашне. Террасное земледелие может значительно уменьшить количество наносов, образующихся с единицы площади поверхности, а также перехватывать наносы выше по склону [64,65,66]. Ступень контурной террасы с обратным уклоном увеличивает потенциал для химического и фракционного разделения частиц, контролируя «преимущественное вовлечение» питательных веществ почвы, что усиливает пространственную неоднородность распределений SOC и TN [67].
Эти результаты подчеркивают эффективность Y1th–crt, Y7th–rgl и Y6th–zr в повышении содержания SOC и азота, в частности через их положительные эффекты на агрегацию почвы и стратификацию питательных веществ. Поэтому контурные антиклинальные ступени, плантации и меры по естественному восстановлению растительности обладают значительным потенциалом для улучшения плодородия почвы и устойчивости в карстовых ландшафтах. Длительные эффекты этих мер на здоровье почвы и экосистемные услуги заслуживают дополнительного исследования.
4.3. Вклад агрегатов одинакового размера в пулы органического углерода и пулы TN
Почвенные агрегаты разных размеров зерен составляют цельную почву, и содержание органического углерода в цельной почве происходит из углеродных пулов, образованных связанным содержанием углерода этих агрегатов [29]. В этом исследовании макроагрегаты вносили наибольший вклад как в пулы органического углерода, так и в пулы TN среди различных эколого-мелиоративных мероприятий, что согласуется с предыдущими выводами [3,20]. Вероятно, это связано с тем, что микроагрегаты объединяются, чтобы формировать макроагрегаты, и высокое содержание органического углерода в макроагрегатах может быть связано с включением органического вещества в этот процесс [29]. Органическое вещество внутри микроагрегатов гелеобразно связывается, в то время как корни и грибные гифы помогают разлагать органическое вещество внутри макроагрегатов, дополнительно способствуя их формированию [3]. Дополнительно, корреляционные анализы Пирсона показали, что содержание макроагрегатов было сильно пропорционально связанной с ними стабильности, и макроагрегаты были значительно и положительно коррелированы с их содержанием органического углерода и TN (Рисунок 8). Это предполагает, что макроагрегаты играют ключевую роль в качестве стоков углерода и азота в экосистемах. Примечательно, что в обработке Y6th–jgl вклад макроагрегатов в пулы органического углерода и TN достиг 207% и 205% соответственно, что было значительно выше, чем у других обработок. Этот результат может быть связан с длительным накоплением органических удобрений, корневых выделений и экссудатов во время управления садом, что способствовало формированию макроагрегатов и их способности адсорбировать и защищать питательные вещества углерода и азота [20]. Среди средних агрегатов посаженные леса и естественно восстановленная растительность вносили наибольший вклад в пулы органического углерода и TN, что согласуется с выводами Liu et al. [68] по облесению в субтропических карстовых регионах. Это может быть связано с поступлением корневых экссудатов и других органических материалов в посаженных лесах и естественно восстановленной растительности, которые регулируют распределение углерода и азота в различных размерах агрегатов [69,70]. Эффект этого процесса становится более выраженным с увеличением срока облесения [68].
Дополнительно, вклад микроагрегатов в пул органического углерода был самым высоким в варианте Y6th–zr (67%). Это может быть связано с усиленными взаимодействиями между системой растение–почва во время восстановления лесов, что увеличило поступление органического вещества, усилило микробную активность, улучшило структуру почвы и способствовало стабилизации запасов углерода. Формирование и стабилизация почвенных микроагрегатов были значительно усилены, тем самым увеличивая их вклад в органический углерод [10,30,56].
В целом, вклад почвенных агрегатов как в пулы органического углерода, так и в пулы TN был самым высоким в обработке по восстановлению лесов, указывая, что восстановление лесов оказывает более сильное регулирующее воздействие на функцию экосистемы в карстовых районах.
4.4. Изучение переменных, влияющих на стабильность агрегатов
Согласно PLS-PM, модели землепользования, состав агрегатов и углеродные и азотные пулы являются основными детерминантами стабильности почвенных агрегатов. Этот результат согласуется с выводами исследования Luo et al. [71]. Распределение размеров и поровая структура почвенных агрегатов могут сильно зависеть от частых моделей нарушения почвы. Это облегчает метаболизм и трансформацию микробами защищенного органического вещества, что, в свою очередь, влияет на процесс химической трансформации микробной нагрузки почвы и распад коллоидных веществ, таких как органическое вещество и полисахариды. В конечном счете, эти изменения могут влиять на формирование и стабильность почвенных агрегатов [72,73,74]. Однако в этом исследовании коэффициент пропускной способности эффекта состава агрегатов не был значительным, предполагая, что состав агрегатов оказывает ограниченное влияние на стабильность почвенных агрегатов. Следовательно, увеличение доли макроагрегатов почвы и их стабилизация требует повышения содержания углерода и азота в почве. Это усиливает способность почвенных агрегатов к секвестрации углерода и удержанию азота. Таким образом, антропогенное нарушение и само-цикличность питательных веществ почвы объединяются, чтобы производить структурную стабильность почвенных агрегатов.
5. Выводы
Это исследование продемонстрировало значительные эффекты различных эколого-мелиоративных мероприятий на содержание и стабильность почвенных агрегатов, а также на изменения содержания углерода и азота внутри агрегатов в карстовых ландшафтах. Среди различных размеров агрегатов крупные агрегаты имели самое высокое содержание, наглядно показывая их ключевую роль в содействии стабильности структуры почвы и поддержке функции экосистемы. Напротив, микроагрегаты были основными вкладчиками в углеродные и азотные пулы почвы в районе исследования. По сравнению с другими мерами, мера контурных террас с обратным уклоном значительно усилила формирование средних и микроагрегатов. Это указывает, что контурные террасы с обратным уклоном предоставляют необходимые вещества для формирования и стабилизации макроагрегатов, тем самым увеличивая их потенциал формирования. По сравнению с традиционной склоновой пашней, мера контурных террас с обратным уклоном способствует пространственной неоднородности органического углерода и TN через свой уникальный механизм «преимущественного вовлечения», максимизируя эффективность сохранения почвы и воды с течением времени. Посаженные леса проявляли высокую стабильность структуры почвы, играя ключевую роль в улучшении структуры карстовых почв. Примечательно, что меры по восстановлению лесов внесли наибольший вклад в углеродные и азотные пулы среди всех экологических мер в этом исследовании, наглядно показывая их превосходящую способность улучшать функционирование экосистемы в хрупких карстовых районах, которые характеризуются слабыми почвами, высоким риском эрозии и необходимостью передовых сельскохозяйственных технологий. Результаты этого исследования углубляют наше понимание функций стока углерода и азота, а также аспектов сохранения почвы и воды различных эколого-мелиоративных мероприятий в карстовом регионе юго-запада Китая.
Ссылки
1. Wang, F. Variations in Soil Aggregate Distribution and Associated Organic Carbon and Nitrogen Fractions in Long-Term Continuous Vegetable Rotation Soil by Nitrogen Fertilization and Plastic Film Mulching. Sci. Total Environ. 2022, 835, 155420. [Google Scholar] [CrossRef] [PubMed]
2. Dekemati, I.; Simon, B.; Vinogradov, S.; Birkás, M. The Effects of Various Tillage Treatments on Soil Physical Properties, Earthworm Abundance and Crop Yield in Hungary. Soil Tillage Res. 2019, 194, 104334. [Google Scholar] [CrossRef]
3. Mustafa, A. Soil Aggregation and Soil Aggregate Stability Regulate Organic Carbon and Nitrogen Storage in a Red Soil of Southern China. J. Environ. Manag. 2020, 270, 110894. [Google Scholar] [CrossRef] [PubMed]
4. Dheri, G.S.; Lal, R.; Moonilall, N.I. Soil Carbon Stocks and Water Stable Aggregates under Annual and Perennial Biofuel Crops in Central Ohio. Agric. Ecosyst. Environ. 2022, 324, 107715. [Google Scholar] [CrossRef]
5. Gan, F.; Shi, H.; Gou, J.; Zhang, L.; Dai, Q.; Yan, Y. Responses of Soil Aggregate Stability and Soil Erosion Resistance to Different Bedrock Strata Dip and Land Use Types in the Karst Trough Valley of Southwest China. Int. Soil Water Conserv. Res. 2023, 12, 684–696. [Google Scholar] [CrossRef]
6. Breg Valjavec, M.; Čarni, A.; Žlindra, D.; Zorn, M.; Marinšek, A. Soil Organic Carbon Stock Capacity in Karst Dolines under Different Land Uses. Catena 2022, 218, 106548. [Google Scholar] [CrossRef]
7. Yuan, J.; Liang, Y.; Zhuo, M.; Sadiq, M.; Liu, L.; Wu, J.; Xu, G.; Liu, S.; Li, G.; Yan, L. Soil Nitrogen and Carbon Storages and Carbon Pool Management Index under Sustainable Conservation Tillage Strategy. Front. Ecol. Evol. 2023, 10, 1082624. [Google Scholar] [CrossRef]
8. Zhang, Y.; Xu, X.; Li, Z.; Liu, M.; Xu, C.; Zhang, R.; Luo, W. Effects of Vegetation Restoration on Soil Quality in Degraded Karst Landscapes of Southwest China. Sci. Total Environ. 2019, 650, 2657–2665. [Google Scholar] [CrossRef]
9. Deng, L.; Kim, D.-G.; Peng, C.; Shangguan, Z. Controls of Soil and Aggregate–Associated Organic Carbon Variations Following Restored forest on the Loess Plateau in China. Land Degrad. Dev. 2018, 29, 3974–3984. [Google Scholar] [CrossRef]
10. Dou, Y.; Yang, Y.; An, S.; Zhu, Z. Effects of Different Vegetation Restoration Measures on Soil Aggregate Stability and Erodibility on the Loess Plateau, China. Catena 2020, 185, 104294. [Google Scholar] [CrossRef]
11. Nouwakpo, S.K.; Weltz, M.A.; Green, C.H.M.; Arslan, A. Combining 3D Data and Traditional Soil Erosion Assessment Techniques to Study the Effect of a Vegetation Cover Gradient on Hillslope Runoff and Soil Erosion in a Semi-Arid Catchment. Catena 2018, 170, 129–140. [Google Scholar] [CrossRef]
12. Yue, L.; Juying, J.; Bingzhe, T.; Binting, C.; Hang, L. Response of Runoff and Soil Erosion to Erosive Rainstorm Events and Vegetation Restoration on Abandoned Slope Farmland in the Loess Plateau Region, China. J. Hydrol. 2020, 584, 124694. [Google Scholar] [CrossRef]
13. Zhao, B.; Zhang, L.; Xia, Z.; Xu, W.; Xia, L.; Liang, Y.; Xia, D. Effects of Rainfall Intensity and Vegetation Cover on Erosion Characteristics of a Soil Containing Rock Fragments Slope. Adv. Civ. Eng. 2019, 2019, 7043428. [Google Scholar] [CrossRef]
14. Lu, Y.; Dai, Q.; Yi, X.; Li, H.; Peng, H.; Tan, J. Impacts of Abandoned Sloping Farmland on Soil Aggregates and Aggregate–Associated Organic Carbon in Karst Rocky Desertification Areas. Environ. Monit. Assess. 2023, 195, 1404. [Google Scholar] [CrossRef] [PubMed]
15. Tang, F.K.; Cui, M.; Lu, Q.; Liu, Y.G.; Guo, H.Y.; Zhou, J.X. Effects of Vegetation Restoration on the Aggregate Stability and Distribution of Aggregate–Associated Organic Carbon in a Typical Karst Gorge Region. Solid Earth 2016, 7, 141–151. [Google Scholar] [CrossRef]
16. Zhu, D.; Yang, Q.; Zhao, Y.; Cao, Z.; Han, Y.; Li, R.; Ni, J.; Wu, Z. Afforestation Influences Soil Aggregate Stability by Regulating Aggregate Transformation in Karst Rocky Desertification Areas. Forests 2023, 14, 1356. [Google Scholar] [CrossRef]
17. Zhang, Z.; Huang, X.; Zhou, Y. Spatial Heterogeneity of Soil Organic Carbon in a Karst Region under Different Land Use Patterns. Ecosphere 2020, 11, e03077. [Google Scholar] [CrossRef]
18. Hoffland, E.; Kuyper, T.W.; Comans, R.N.J.; Creamer, R.E. Eco-Functionality of Organic Matter in Soils. Plant Soil 2020, 455, 1–22. [Google Scholar] [CrossRef]
19. Anderson, R.; Brye, K.R.; Wood, L.S. Soil Aggregate Stability as Affected by Landuse and Soil Properties in the Lower Mississippi River Valley. Soil Sci. Soc. Am. J. 2019, 83, 1512–1524. [Google Scholar] [CrossRef]
20. Cao, S.; Zhou, Y.; Zhou, Y.; Zhou, X.; Zhou, W. Soil Organic Carbon and Soil Aggregate Stability Associated with Aggregate Fractions in a Chronosequence of Citrus Orchards Plantations. J. Environ. Manag. 2021, 293, 112847. [Google Scholar] [CrossRef]
21. Liu, C.; Wu, Z.; He, C.; Huang, B.; Zhang, Y.; Li, P.; Huang, W. Effect of Land Use Conversion on the Soil Aggregate–Associated Microbial Necromass Carbon in Estuarine Wetland of the Pearl River in China. Catena 2024, 236, 107761. [Google Scholar] [CrossRef]
22. Liu, S.; Wang, R.; Yang, Y.; Shi, W.; Jiang, K.; Jia, L.; Zhang, F.; Liu, X.; Ma, L.; Li, C.; et al. Changes in Soil Aggregate Stability and Aggregate–Associated Carbon under Different Slope Positions in a Karst Region of Southwest China. Sci. Total Environ. 2024, 928, 172534. [Google Scholar] [CrossRef]
23. Schweizer, S.A. Soil Microaggregate Size Composition and Organic Matter Distribution as Affected by Clay Content. Geoderma 2019, 355, 113901. [Google Scholar] [CrossRef]
24. Totsche, K.U.; Amelung, W.; Gerzabek, M.H.; Guggenberger, G.; Klumpp, E.; Knief, C.; Lehndorff, E.; Mikutta, R.; Peth, S.; Prechtel, A.; et al. Microaggregates in Soils. J. Plant Nutr. Soil Sci. 2018, 181, 104–136. [Google Scholar] [CrossRef]
25. Deng, J.; Sun, P.; Zhao, F.; Han, X.; Yang, G.; Feng, Y.; Ren, G. Soil C, N, P and Its Stratification Ratio Affected by Artificial Vegetation in Subsoil, Loess Plateau China. PLoS ONE 2016, 11, e0151446. [Google Scholar] [CrossRef] [PubMed]
26. Zhang, W.; Munkholm, L.J.; Liu, X.; An, T.; Xu, Y.; Ge, Z.; Xie, N.; Li, A.; Dong, Y.; Peng, C.; et al. Soil Aggregate Microstructure and Microbial Community Structure Mediate Soil Organic Carbon Accumulation: Evidence from One-Year Field Experiment. Geoderma 2023, 430, 116324. [Google Scholar] [CrossRef]
27. Lützow, M. Stabilization of organic matter in temperate soils: Mechanisms and their relevance under different soil conditions—A review. Eur. J. Soil Sci. 2006, 57, 426–445. [Google Scholar] [CrossRef]
28. Paye, W.S.; Thapa, V.R.; Ghimire, R. Limited Impacts of Occasional Tillage on Dry Aggregate Size Distribution and Soil Carbon and Nitrogen Fractions in Semi-Arid Drylands. Int. Soil Water Conserv. Res. 2024, 12, 96–106. [Google Scholar] [CrossRef]
29. Okolo, C.C.; Gebresamuel, G.; Zenebe, A.; Haile, M.; Eze, P.N. Accumulation of Organic Carbon in Various Soil Aggregate Sizes under Different Land Use Systems in a Semi-Arid Environment. Agric. Ecosyst. Environ. 2020, 297, 106924. [Google Scholar] [CrossRef]
30. Yang, Y.; Wei, H.; Lin, L.; Deng, Y.; Duan, X. Effect of Vegetation Restoration on Soil Humus and Aggregate Stability within the Karst Region of Southwest China. Forests 2024, 15, 292. [Google Scholar] [CrossRef]
31. Bai, X.; Ran, C.; Chen, J.; Luo, G.; Chen, F.; Xiao, B.; Long, M.; Li, Z.; Zhang, X.; Shen, X.; et al. Methods, progress and prospect for diagnosis of karst ecosystem health in China—An overview. Chin. Sci. Bull. 2023, 68, 2550–2568. [Google Scholar] [CrossRef]
32. Bi, M.; Zhang, S.; Xu, Q.; Hou, S.; Han, M.; Yu, X. Coupling and Synergistic Relationships between Soil Aggregate Stability and Nutrient Stoichiometric Characteristics under Different Microtopographies on Karst Rocky Desertification Slopes. Catena 2024, 243, 108142. [Google Scholar] [CrossRef]
33. Lan, J. Changes of Soil Aggregate Stability and Erodibility After Cropland Conversion in Degraded Karst Region. J. Soil Sci. Plant Nutr. 2021, 21, 3333–3345. [Google Scholar] [CrossRef]
34. D’Ettorre, U.S.; Liso, I.S.; Parise, M. Desertification in Karst Areas: A Review. Earth-Sci. Rev. 2024, 253, 104786. [Google Scholar] [CrossRef]
35. Li, M.; Wang, K.; Ma, X.; Fan, M.; Song, Y. Effects of Land Use Change on Soil Aggregate Stability and Erodibility in the Karst Region of Southwest China. Agronomy 2024, 14, 1534. [Google Scholar] [CrossRef]
36. Ma, L.; Si, H.; Li, M.; Li, C.; Zhu, D.; Mao, Z.; Yan, Y.; Jiang, K.; Yu, P. Influence of Land Use Types on Soil Properties and Soil Quality in Karst Regions of Southwest China. Agronomy 2024, 14, 882. [Google Scholar] [CrossRef]
37. Xu, Q.; Hou, L.; Wang, L.; Li, Q.; Wang, K. Contribution of glomalin-related soil protein to soil carbon and nitrogen storage in sloping farmland under contour reverse-slop terrace measures. Acta Ecol. Sin. 2023, 44, 2919–2930. [Google Scholar] [CrossRef]
38. Chen, X.; Song, Y.; Wang, Z. Effect of contour reverse-slope terrace measures on soil water storage in sloping farmland of red soil in Central Yunnan Province. Res. Soil Water Conserv. 2019, 26, 92–99. [Google Scholar]
39. Zhang, K.; Shu, A.; Xu, X.; Yang, Q.; Yu, B. Soil erodibility and its estimation for agricultural soils in China. J. Arid Environ. 2008, 72, 1002–1011. [Google Scholar] [CrossRef]
40. Xiao, Y.; Ma, Z.; Jiang, Y.; Deng, Y. A Study on Soil Aggregate Stability and Splash Erosion under Exogenous Electrolyte Conditions in the Karst Region of Southwest China. J. Hydrol. Reg. Stud. 2024, 53, 101817. [Google Scholar] [CrossRef]
41. Liang, Z.; Chen, X.; Wang, C.; Zhang, Z. Response of Soil Moisture to Four Rainfall Regimes and Tillage Measures under Natural Rainfall in Red Soil Region, Southern China. Water 2024, 16, 1331. [Google Scholar] [CrossRef]
42. Wang, S.; Wang, K.; Song, Y.; Chen, X.; Wang, Z. Effects of contour reverse-slope terrace on nitrogen and phosphorus loss in sloping farmland in the water resource of area of Songhua Dam in Kunming City. J. Soil Water Conserv. 2017, 31, 7. [Google Scholar] [CrossRef]
43. Rillig, M.C. Soil Aggregates as Massively Concurrent Evolutionary Incubators. ISME J. 2017, 11, 1943–1948. [Google Scholar] [CrossRef] [PubMed]
44. Feng, H.; Wang, S.; Gao, Z.; Pan, H.; Zhuge, Y.; Ren, X.; Hu, S.; Li, C. Aggregate Stability and Organic Carbon Stock under Different Land Uses Integrally Regulated by Binding Agents and Chemical Properties in Saline-sodic Soils. Land Degrad. Dev. 2021, 32, 4151–4161. [Google Scholar] [CrossRef]
45. Liu, Y.; Wang, P.; Wang, J. Formation and Stability Mechanism of Soil Aggregates: Progress and Prospect. Acta Pedol. Sin. 2023, 60, 627–643. [Google Scholar] [CrossRef]
46. Yuan, J. Long-Term Organic Fertilization Enhances Potassium Uptake and Yield of Sweet Potato by Expanding Soil Aggregates-Associated Potassium Stocks. Agric. Ecosyst. Environ. 2023, 358, 108701. [Google Scholar] [CrossRef]
47. Zhang, Z. Effect of Long-Term Combined Application of Organic and Inorganic Fertilizers on Soil Nematode Communities within Aggregates. Sci. Rep. 2016, 6, 31118. [Google Scholar] [CrossRef]
48. Shi, P. Soil Aggregate Stability and Size-Selective Sediment Transport with Surface Runoff as Affected by Organic Residue Amendment. Sci. Total Environ. 2017, 607, 95–102. [Google Scholar] [CrossRef]
49. Tobiašová, E.; Lemanowicz, J.; Dębska, B.; Kunkelová, M.; Sakáč, J. The Effect of Reduced and Conventional Tillage Systems on Soil Aggregates and Organic Carbon Parameters of Different Soil Types. Agriculture 2023, 13, 818. [Google Scholar] [CrossRef]
50. Arunrat, N.; Kongsurakan, P.; Solomon, L.W.; Sereenonchai, S. Fire Impacts on Soil Properties and Implications for Sustainability in Rotational Shifting Cultivation: A Review. Agriculture 2024, 14, 1660. [Google Scholar] [CrossRef]
51. Hartmann, M.; Six, J. Soil Structure and Microbiome Functions in Agroecosystems. Nat. Rev. Earth Environ. 2022, 4, 4–18. [Google Scholar] [CrossRef]
52. Lehmann, J.; Kleber, M. The Contentious Nature of Soil Organic Matter. Nature 2015, 528, 60–68. [Google Scholar] [CrossRef]
53. Dong, L.; Li, J.; Zhang, Y.; Bing, M.; Liu, Y.; Wu, J.; Hai, X.; Li, A.; Wang, K.; Wu, P.; et al. Effects of Vegetation Restoration Types on Soil Nutrients and Soil Erodibility Regulated by Slope Positions on the Loess Plateau. J. Environ. Manag. 2022, 302, 113985. [Google Scholar] [CrossRef] [PubMed]
54. Dijkstra, F.A.; Zhu, B.; Cheng, W. Root Effects on Soil Organic Carbon: A Double-edged Sword. New Phytol. 2020, 230, 60–65. [Google Scholar] [CrossRef] [PubMed]
55. Hu, W.; Lu, Z.; Meng, F.; Li, X.; Cong, R.; Ren, T.; Sharkey, D.; Lu, J. The Reduction in Leaf Area Precedes That in Photosynthesis under Potassium Deficiency: The Importance of Leaf Anatomy. New Phytol. 2020, 227, 1749–1763. [Google Scholar] [CrossRef]
56. Yu, P.; Liu, J.; Tang, H.; Ci, E.; Tang, X.; Liu, S.; Ding, Z.; Ma, M. The Increased Soil Aggregate Stability and Aggregate–Associated Carbon by Farmland Use Change in a Karst Region of Southwest China. Catena 2023, 231, 107284. [Google Scholar] [CrossRef]
57. Guo, S.; Zhai, L.; Liu, J.; Liu, H.; Chen, A.; Wang, H.; Wu, S.; Lei, Q. Cross-Ridge Tillage Decreases Nitrogen and Phosphorus Losses from Sloping Farmlands in Southern Hilly Regions of China. Soil Tillage Res. 2019, 191, 48–56. [Google Scholar] [CrossRef]
58. Xin, X.; Sun, Z.; Xiao, J.; Feng, L.; Yang, N.; Liu, Y. Ridge-furrow Rainfall Harvesting Planting and Its Effect on Soil Erosion and Soil Quality in Sloping Farmland. Agron. J. 2021, 113, 863–877. [Google Scholar] [CrossRef]
59. Sun, M.; Xiao, D.; Zhang, W.; Wang, K. Impacts of Managed Vegetation Restoration on Arbuscular Mycorrhizal Fungi and Diazotrophs in Karst Ecosystems. J. Fungi 2024, 10, 280. [Google Scholar] [CrossRef]
60. Xiao, Z. Nitrogen and Phosphorus Change the Early Restored forest in Degraded Phaeozems of Gullies. Sci. Total Environ. 2023, 888, 164107. [Google Scholar] [CrossRef]
61. Zhao, G.; Cong, M.; Zhang, Z.; Zeng, F.; Dong, X.; Song, J. Microaggregates Regulate the Soil Organic Carbon Sequestration and Carbon Flow of Windproof Sand Fixation Forests in Desert Ecosystems. Catena 2024, 245, 108320. [Google Scholar] [CrossRef]
62. Ferreira, C.D.R.; Silva Neto, E.C.D.; Pereira, M.G.; Guedes, J.D.N.; Rosset, J.S.; Anjos, L.H.C.D. Dynamics of Soil Aggregation and Organic Carbon Fractions over 23 Years of No-till Management. Soil Tillage Res. 2020, 198, 104533. [Google Scholar] [CrossRef]
63. Yu, P.; Tang, X.; Liu, S.; Liu, W.; Zhang, A. Short Term Effects of Revegetation on Labile Carbon and Available Nutrients of Sodic Soils in Northeast China. Land 2020, 9, 10. [Google Scholar] [CrossRef]
64. Londero, A.L. Impact of Broad-Based Terraces on Water and Sediment Losses in No-till (Paired Zero-Order) Catchments in Southern Brazil. J. Soils Sediments 2017, 18, 1159–1175. [Google Scholar] [CrossRef]
65. Meng, X.; Zhu, Y.; Shi, R.; Yin, M.; Liu, D. Rainfall–Runoff Process and Sediment Yield in Response to Different Types of Terraces and Their Characteristics: A Case Study of Runoff Plots in Zhangjiachong Watershed, China. Land Degrad. Dev. 2023, 35, 1449–1465. [Google Scholar] [CrossRef]
66. Bai, J.; Yang, S.; Zhang, Y.; Liu, X.; Guan, Y. Assessing the Impact of Terraces and Vegetation on Runoff and Sediment Routing Using the Time-Area Method in the Chinese Loess Plateau. Water 2019, 11, 803. [Google Scholar] [CrossRef]
67. Hou, T. Tillage-Induced Surface Soil Roughness Controls the Chemistry and Physics of Eroded Particles at Early Erosion Stage. Soil Tillage Res. 2020, 207, 104807. [Google Scholar] [CrossRef]
68. Liu, L.; Zhu, Q.; Wan, Y.; Yang, R.; Mou, J.; Li, Y.; Meng, L.; Zhu, T.; Elrys, A.S. Afforestation Improves Soil Organic Carbon and Total Nitrogen Stocks Mainly through Increasing > 2 Mm Aggregate Fractions and Stimulating Carbon and Nitrogen Transformations within Aggregates in Subtropical Karst Region. Catena 2024, 243, 108220. [Google Scholar] [CrossRef]
69. Bhattacharyya, R. Soil Organic Carbon Is Significantly Associated with the Pore Geometry, Microbial Diversity and Enzyme Activity of the Macro-Aggregates under Different Land Uses. Sci. Total Environ. 2021, 778, 146286. [Google Scholar] [CrossRef]
70. Stainsby, A.; May, W.E.; Lafond, G.P.; Entz, M.H. Soil Aggregate Stability Increased with a Self-Regenerating Legume Cover Crop in Low-Nitrogen, No-till Agroecosystems of Saskatchewan, Canada. Can. J. Soil. Sci. 2019, 100, 314–318. [Google Scholar] [CrossRef]
71. Luo, T.; Xia, L.; Xia, D.; Liu, W.; Xu, Y.; He, Z.; Xu, W. Impact of Typical Land Use Type on the Stability and Content of Carbon and Nitrogen of Soil Aggregates in Western Hubei. Ecosphere 2023, 14, e4736. [Google Scholar] [CrossRef]
72. Luo, L.; Meng, H.; Wu, R.; Gu, J.-D. Impact of Nitrogen Pollution/Deposition on Extracellular Enzyme Activity, Microbial Abundance and Carbon Storage in Coastal Mangrove Sediment. Chemosphere 2017, 177, 275–283. [Google Scholar] [CrossRef] [PubMed]
73. Wang, Y.; Ran, L.; Fang, N.; Shi, Z. Aggregate Stability and Associated Organic Carbon and Nitrogen as Affected by Soil Erosion and Vegetation Rehabilitation on the Loess Plateau. Catena 2018, 167, 257–265. [Google Scholar] [CrossRef]
74. Zhang, Y. Effects of Farmland Conversion on the Stoichiometry of Carbon, Nitrogen, and Phosphorus in Soil Aggregates on the Loess Plateau of China. Geoderma 2019, 351, 188–196. [Google Scholar] [CrossRef]
Li M, Wang K, Ma X, Fan M, Li B, Song Y. Relationship Between Soil Aggregate Stability and Associated Carbon and Nitrogen Changes Under Different Ecological Construction Measures in the Karst Region of Southwest China. Agriculture. 2025; 15(2):207. https://doi.org/10.3390/agriculture15020207
Перевод статьи «Relationship Between Soil Aggregate Stability and Associated Carbon and Nitrogen Changes Under Different Ecological Construction Measures in the Karst Region of Southwest China» авторов Li M, Wang K, Ma X, Fan M, Li B, Song Y., оригинал доступен по ссылке. Лицензия: CC BY. Изменения: переведено на русский язык



















Комментарии (0)