Взгляд с высоты: мониторинг стадий роста пшеницы с помощью мультиспектральных дронов
В данном исследовании изучаются динамические изменения спектральных характеристик листового покрова пшеницы на семи критических стадиях роста (Кущение, Выход в трубку (начало), Стеблевание, Выход в трубку (продолжение), Колошение, Цветение и Созревание) с использованием мультиспектрального дистанционного зондирования на основе БПЛА. Анализируя четыре ключевых спектральных диапазона — зеленый (G), красный (R), красный край (RE) и ближний инфракрасный (NIR) — и их комбинации, мы выявляем спектральные характеристики, отражающие изменения активности, состояния и структуры листового покрова.
Аннотация
Результаты показывают, что зеленый диапазон очень чувствителен к активности хлорофилла и низкой плотности листового покрова на стадии кущения, в то время как ближний инфракрасный диапазон отражает структурную сложность и плотность листового покрова на стадиях кущения и колошения. Комбинация G и NIR диапазонов выявляет увеличение плотности листового покрова и спектральной концентрации на стадии колошения, в то время как красный край эффективно обнаруживает старение растений и снижение спектральной однородности на стадии созревания. Анализ спектральных данных во временных рядах на разных стадиях роста повышает точность определения стадий роста,
а динамические изменения спектра позволяют получить представление о точках перегиба роста.
В пространственном отношении исследование демонстрирует потенциал для выявления аномалий
на уровне поля, таких как водный стресс или болезни, предоставляя данные, пригодные для целенаправленного вмешательства. Эта комплексная пространственно-временная система мониторинга улучшает управление посевами и предлагает экономически эффективное и точное решение для прогнозирования болезней, прогнозирования урожайности и оптимизации ресурсов. Исследование открывает путь для интеграции дистанционного зондирования с помощью БПЛА в методы точного земледелия, а будущие исследования будут сосредоточены на интеграции гиперспектральных данных для улучшения моделей мониторинга.
1. Введение
Развитие точного земледелия внедрило новые технические средства для мониторинга роста сельскохозяйственных культур, при этом дистанционное зондирование на базе БПЛА стало эффективным инструментом сбора данных, приобретающим все большее значение в сельскохозяйственном секторе [1,2]. Как одна из важнейших зерновых культур в мире, производство пшеницы напрямую связано с продовольственной безопасностью и экономической эффективностью сельского хозяйства [3]. Жизненный цикл пшеницы сложен, охватывая несколько критических стадий от кущения до созревания, со значительными вариациями характеристик листового покрова, свойств спектральной отражательной способности и состояния роста на каждой стадии [3,4]. Традиционные полевые наблюдения могут быть трудоемкими и требовать больших затрат труда, а также могут не обеспечивать такого же уровня пространственного и временного разрешения, как дистанционное зондирование с БПЛА. Дистанционное зондирование с БПЛА, оснащенное мультиспектральными датчиками, позволяет эффективно получать спектральную информацию о листовом покрове с высоким пространственным разрешением, улучшая мониторинг роста сельскохозяйственных культур от стадии кущения до стадии созревания [5,6,7].
Гиперспектральные технологии дистанционного зондирования преобразовали сельскохозяйственный мониторинг, позволяя получать детальные спектральные данные в узких диапазонах, что дает представление о физиологии и биохимии сельскохозяйственных культур [8]. Применение этой технологии решает ключевые задачи, такие как прогнозирование урожайности, обнаружение стресса и оптимизация ресурсов [2]. Гиперспектральные камеры, установленные на БПЛА, особенно эффективны благодаря своему высокому пространственному разрешению и экономической эффективности, дополняя спутниковые и авиационные платформы [9]. Видимый спектр (400–700 нм) позволяет контролировать содержание хлорофилла, в то время как полосы RE (700–750 нм) и NIR (750–1400 нм) имеют ключевое значение для оценки состояния и структуры листового покрова [10]. Продвинутые индексы, такие как NDVI и CI, полученные из этих полос, повышают чувствительность моделей мониторинга. Кроме того, алгоритмы машинного обучения, такие как случайные леса и машины опорных векторов, улучшают выбор оптимальных комбинаций полос, повышая точность анализа сельскохозяйственных культур [11].
Эффективный анализ гиперспектральных данных объединяет предварительную обработку, извлечение признаков и передовые методы моделирования [12]. Предварительная обработка корректирует искажения, в то время как методы, такие как производная спектроскопия и анализ текстуры, показывают критические биофизические свойства [13]. Подходы машинного и глубокого обучения, включая сверточные и рекуррентные нейронные сети, позволяют проводить точный анализ динамики роста и реакции на стресс. Эти методы способствуют таким приложениям, как идентификация стадии роста, раннее обнаружение стресса и прогнозирование урожайности. Однако такие проблемы, как избыточность данных, высокие затраты и отсутствие стандартизированных протоколов, препятствуют широкому внедрению. Решение этих ограничений требует инновационных подходов к управлению данными и разработке алгоритмов.
Во время роста пшеницы характеристики листового покрова и спектральные реакции претерпевают значительные динамические изменения на каждой стадии роста [14]. Например, для стадии кущения характерно низкое покрытие листовым покровом, где G-полоса высокочувствительна к неактивному листовому покрову [15]. На стадии стеблевания структурная сложность листового покрова значительно увеличивается, при этом NIR-полона сильно реагирует на эти структурные изменения [16]. На стадии созревания равномерность спектральной отражательной способности снижается, что отражает старение и зрелость. Однако применение дистанционного зондирования с БПЛА для мониторинга стадий роста пшеницы все еще сталкивается с нерешенными проблемами, такими как точная классификация стадий роста, надежное извлечение признаков и разработка моделей, которые являются одновременно надежными и переносимыми в различных условиях окружающей среды [17,18].
(1) Как можно точно извлечь ключевые признаки различных стадий роста пшеницы из данных мультиспектрального дистанционного зондирования? Извлечение информации о стадии роста зависит от выбора спектральных полос и количественной оценки критических признаков [11]. Отражательная способность G-полосы фиксировала содержание хлорофилла в растениях, служа индикатором фотосинтетической активности. Данные R-полосы облегчали оценку биомассы растительности и общего состояния здоровья, в то время как RE-полоса, будучи высокочувствительной к физиологическим изменениям, показывала тонкие различия в росте растений. Отражательная способность NIR-полосы была особенно ценной для оценки содержания воды в пшенице и накопления биомассы. Предыдущие исследования показывают, что полосы G, R, RE и NIR, а также их комбинации, обладают значительным потенциалом для отражения состояния здоровья растений и изменений структуры листового покрова [19]. Однако отсутствует систематическая оценка чувствительности и эффективности этих полос или комбинаций для различных стадий роста. В частности, как использовать мультиспектральные данные для различения специфических для стадии признаков на фоне динамических изменений цикла роста пшеницы, остается научной проблемой.
(2) Как можно всесторонне контролировать рост пшеницы с пространственно-временной точки зрения для поддержки принятия решений в точном земледелии? Цикл роста пшеницы демонстрирует значительную временную и пространственную неоднородность. Во временном аспекте динамические изменения спектральных характеристик через стадии показывают активность листового покрова, состояние здоровья и условия стресса [20]. В пространственном аспекте однородность спектральной отражательной способности листового покрова, признаки текстуры и локализованные аномалии внутри полей обеспечивают критическую информацию для точного управления [21]. Спектральные данные, текстурная информация и модели пространственного распределения способствуют точному управлению, предоставляя информацию о состоянии здоровья листового покрова пшеницы, уровне питательных веществ и условиях окружающей среды. Эти данные необходимы для принятия обоснованных решений относительно целенаправленного внесения удобрений, корректировки орошения и мониторинга болезней. Однако существующие исследования по интеграции временного мониторинга с характеристиками пространственного распределения недостаточны, что затрудняет достижение систематического мониторинга всего цикла роста пшеницы. Это ограничение не только сдерживает потенциал применения данных дистанционного зондирования в точном земледелии, но и препятствует более глубокому пониманию процесса роста пшеницы.
В этом исследовании разработана комплексная система мониторинга всего цикла роста пшеницы с использованием технологии дистанционного зондирования БПЛА, направленная на решение двух основных научных вопросов, изложенных выше. В частности, исследование сосредоточено на следующих трех аспектах:
(1) Мы выбрали полосы G, R, RE и NIR на основе спектральных характеристик стадий роста пшеницы. Отражательная способность, энтропия, дисперсия и другие метрики были объединены для количественной оценки состояния здоровья листового покрова и характеристик роста [22]. Чувствительность и эффективность комбинаций спектральных полос в идентификации стадий были тщательно проанализированы, предоставив базовые данные для разработки моделей мониторинга.
(2) Мы построили динамические модели признаков, используя мультивременные данные дистанционного зондирования БПЛА, собранные через семь стадий роста, для временного мониторинга и распознавания. Эти модели показывали тенденции спектральных изменений и точки перелома роста, давая представление о моделях спектрального ответа роста пшеницы [23]. Временной анализ прояснил динамические характеристики роста, предоставив основу для прогнозирования урожайности и диагностики стресса.
(3) Используя методы сегментированного картирования и модели пространственного распределения, исследование проанализировало спектральную однородность и локализованные аномалии листового покрова пшеницы внутри полей [24]. Результаты дистрибутивного анализа информировали стратегии точного земледелия, включая целенаправленное внесение удобрений, корректировку орошения и мониторинг болезней.
В ответ на растущий интерес к применению глубокого обучения для гиперспектрального и мультиспектрального дистанционного зондирования мы расширили рукопись, включив сравнение с недавними методами глубокого обучения. Исследования показали эффективность сверточных нейронных сетей (CNN), рекуррентных нейронных сетей (RNN) и других передовых методов глубокого обучения в анализе гиперспектральных и мультиспектральных данных для мониторинга сельскохозяйственных культур. Эти методы показали перспективные результаты, особенно в задачах извлечения признаков, классификации и прогнозирования. Напротив, наш подход сосредоточен на интеграции временной и пространственной динамики с помощью мультиспектрального дистанционного зондирования на базе БПЛА, предлагая комплексную систему мониторинга для роста пшеницы [25]. Сравнивая нашу методологию с этими недавними моделями глубокого обучения, мы подчеркиваем уникальный вклад и преимущества нашей модели в приложениях точного земледелия, выделяя ее способность отслеживать динамические изменения сельскохозяйственных культур во времени и пространстве. Инновации этого исследования включают:
Ключевая инновация этого исследования заключается в использовании временного измерения для захвата динамических спектральных изменений через несколько критических стадий роста, обеспечивая более детальное и точное понимание развития сельскохозяйственных культур по сравнению со статическим анализом. Разработка метода анализа комбинаций спектральных полос на основе мультиспектрального дистанционного зондирования значительно повышает точность извлечения признаков стадии роста [26,27]. Интеграция временного и пространственного моделирования устанавливает комплексную пространственно-временную систему мониторинга для всего цикла роста пшеницы. Связь результатов мониторинга с управлением точным земледелием предоставляет практическое руководство для принятия решений по управлению полем [8]. Это исследование предоставляет ценные теоретические основы и техническую поддержку для динамического мониторинга и комплексного управления ростом пшеницы, способствуя повышению урожайности сельскохозяйственных культур, эффективности использования ресурсов и устойчивой сельскохозяйственной практике.
Благодаря этим вкладам, это исследование предоставляет теоретические основы и техническую поддержку для динамического мониторинга и комплексного управления ростом пшеницы, а также служит ориентиром для мониторинга роста других сельскохозяйственных культур. Будущие направления подчеркивают необходимость интеграции гиперспектральных данных с дополнительными технологиями дистанционного зондирования, такими как LiDAR и тепловизионная съемка, для улучшения многоисточникового анализа. Платформы мониторинга в реальном времени и открытые структуры для обмена данными и доработки алгоритмов необходимы для содействия сотрудничеству и масштабируемости. Достижения в области машинного обучения, адаптированные к гиперспектральным приложениям, будут дальнейшая оптимизация сельскохозяйственного мониторинга и управления ресурсами, стимулируя инновации в точном земледелии.
Технология дистанционного зондирования БПЛА имеет ключевое значение для сельскохозяйственного мониторинга и прокладывает путь для будущего интеллектуального сельскохозяйственного производства [11,28,29]. Результаты этого исследования не только способствуют научному развитию мониторинга роста пшеницы, но и предлагают техническую дорожную карту и парадигму применения для инноваций и распространения современных сельскохозяйственных технологий. Будущие исследования должны быть направлены на интеграцию данных многоисточникового дистанционного зондирования на более крупных территориях, чтобы дальнейшая изучить сложную динамику роста сельскохозяйственных культур, тем самым повышая интеллект и эффективность систем сельскохозяйственного производства.
2. Материалы и методы
2.1. Район исследования
В качестве района исследования была выбрана экспериментальная база пшеницы Академии сельскохозяйственных и лесных наук Хэбэй (114°42′51.92″–114°43′29.61″ в.д., 37°56′36.36″–37°56′22.87″ с.ш.) (Рисунок 1). Расположенная на средней высоте 55 м над уровнем моря, база охватывает приблизительно 7,2 гектара (0,072 квадратных километра). Как одно из ведущих учреждений Китая по исследованию пшеницы, база использует уникальные природные ресурсы и сельскохозяйственные преимущества провинции Хэбэй для создания комплексной исследовательской системы, охватывающей селекцию пшеницы, технологии возделывания и борьбу с вредителями и болезнями [30,31] в пределах полувлажного и полузасушливого региона, характеризующегося теплым умеренным континентальным муссонным климатом. Среднегодовая температура составляет 13,3 °C, с летними пиками в среднем 26,9 °C и зимними минимумами в среднем −2,4 °C. Среднегодовое количество осадков составляет 534,6 мм, в основном сконцентрированных в июле и августе, что приводит к неравномерному сезонному распределению. В регионе преобладают легкие и средние суглинистые почвы, пригодные для сельского хозяйства, но некоторые участки характеризуются более низким содержанием питательных веществ. Практики сельскохозяйственного управления, включая развитие современных парков и контроль загрязнения почв, помогают обеспечить качество сельскохозяйственной продукции. Эти экологические и сельскохозяйственные факторы значительно влияют на рост пшеницы и были учтены при планировании эксперимента.
Рисунок 1. Расположение района выращивания пшеницы на экспериментальном поле. Район исследования расположен в 20 км к юго-востоку от Шицзячжуана, столицы провинции Хэбэй.
База сосредоточена на механизмах роста, улучшении качества и устойчивости пшеницы к стрессам, направленная на стимулирование устойчивого развития и технологических инноваций в отрасли пшеницы [32]. В рамках базы исследовательская группа проводит крупномасштабные эксперименты и сбор данных для систематического анализа моделей роста пшеницы и показателей урожайности в различных условиях окружающей среды [33].
Эта исследовательская платформа обеспечивает прочную основу для понимания динамических процессов роста пшеницы, предлагая критически важную информацию для оптимизации урожайности, устойчивости к болезням и адаптивного управления в условиях меняющейся сельскохозяйственной среды [34]. Благодаря междисциплинарным усилиям и постоянным инновациям, экспериментальная база пшеницы Хэбэй способствует повышению эффективности и устойчивости производства пшеницы в Китае.
2.2. Источники данных и обработка
Используя БПЛА DJI Phantom 4 (DJI Innovations, Шэньчжэнь, Гуандун, Китай), оснащенный шестью датчиками CMOS размером 1/2,9 дюйма, включая один цветной датчик для визуализации в видимом свете и пять монохромных датчиков для мультиспектральной съемки, были собраны мультиспектральные данные пшеницы на различных стадиях роста [35]. Мультиспектральные датчики охватывали четыре ключевые спектральные полосы: G-полосу с центральной длиной волны 560 нм, R-полосу на 650 нм, RE-полосу на 730 нм и NIR-полосу на 840 нм [36]. Мы выбрали эти полосы для захвата спектральных реакций сельскохозяйственных культур, предоставляя критическую информацию о состоянии здоровья растений, уровне питательных веществ и водном статусе. В частности, полосы RE и NIR демонстрировали значительные корреляции с состоянием роста пшеницы и биомассой, предлагая ключевые индикаторы для мониторинга сельскохозяйственных культур [37]. Мы откалибровали данные отражательной способности до и после каждого полета, чтобы обеспечить точность спектральных измерений. Панель была размещена в репрезентативных местах в районе исследования, и были проведены предварительные измерения для корректировки любых атмосферных условий или расхождений датчиков. Этот процесс повторялся после каждого полета для обеспечения согласованного качества данных на протяжении всего эксперимента.
Во время экспериментов БПЛА работал на высоте полета 20 м, балансируя между пространственным разрешением и охватом. Пространственное разрешение, достигнутое Phantom 4, составляло 0,01 м, обеспечивая четкость изображения и детальную насыщенность. Эти изображения высокого разрешения обеспечили надежную основу для последующего анализа данных, позволяя более точно идентифицировать характеристики роста пшеницы и потенциальные проблемы [1].
Для получения точных значений отражательной способности листового покрова данные БПЛА прошли ряд этапов обработки, включая радиометрическую калибровку, атмосферную коррекцию и обрезку региона. Изначально метаданные были извлечены из исходных изображений БПЛА и проанализированы для идентификации ключевых параметров, таких как центральные длины волн, ширина на полувысоте (FWHM), калибровочные коэффициенты и координатная информация для каждой спектральной полосы. Затем эта информация была обработана для обеспечения точной калибровки данных отражательной способности, причем каждый параметр был перепроверен и подтвержден на согласованность через все точки данных [38]. Затем значения яркости были преобразованы в значения абсолютной излучательной способности, переводя цифровые числа в физически значимые значения видимой излучательной способности, тем самым определяя излучательную способность на апертуре датчика [39]. Данные наземной калибровки собирались синхронно для проведения атмосферных коррекций, направленных на устранение ошибок излучательной способности, вызванных атмосферным поглощением и рассеянием, и получения истинных значений отражательной способности для пшеницы. Наконец, карты распределения пшеницы были импортированы, и посторонние данные были обрезаны, генерируя мультиспектральные изображения отражательной способности листового покрова пшеницы [40]. Метод калибровки на основе встроенного солнечного датчика дрона не применялся в этом исследовании. Напротив, мы полагаемся на метод относительной калибровки на основе наземной черно-белой ткани. Эти изображения предоставили необходимые базовые данные для мониторинга состояния роста и экологических оценок, обеспечивая сопоставимость мультиспектральных данных, собранных в различные периоды. Изображения БПЛА были обработаны с использованием программного обеспечения Photoscan (3.11.0, Python Software Foundation, Уилмингтон, Делавэр, США) для создания мультиспектральных ортофотопланов. Фотограмметрические инструменты и алгоритмы в Photoscan обеспечивали высокую геометрическую точность в процессе склейки изображений. Для калибровки отражательной способности мы использовали скрипты на основе Python для коррекции исходных значений отражательной способности и учета атмосферных эффектов. Скрипты на основе Python использовались для калибровки отражательной способности, используя такие библиотеки, как numpy и scipy для манипуляции данными и pyproj для преобразования координат. Для атмосферной коррекции использовались такие инструменты, как Py6S или аналогичные библиотеки атмосферной коррекции, чтобы учесть эффекты атмосферного рассеяния и поглощения, обеспечивая точность значений отражательной способности. На этапе постобработки мы применили методы сегментации для устранения влияния отражательной способности грунта и других потенциальных источников фонового шума, таких как почва и тени. Этот процесс гарантировал, что данные отражательной способности относятся исключительно к растительному покрову, обеспечивая точные измерения здоровья и роста растений.
В этом исследовании мультиспектральные данные БПЛА были собраны в семь временных точек с марта по июнь, соответствующих ключевым стадиям цикла роста пшеницы, включая стадии Кущения, Стеблевания, Колошения, Цветения и Созревания [41]. Этот процесс сбора данных был направлен на всесторонний мониторинг состояния роста и здоровья пшеницы на различных стадиях, способствуя более глубокому анализу моделей роста и влияющих факторов. На каждой стадии роста технология мультиспектральной съемки с БПЛА использовалась для получения данных гиперспектральной отражательной способности листового покрова пшеницы с высоким разрешением. Стадия Кущения (март - начало апреля): Пшеница начинает кущение, образуя несколько побегов, которые усиливают корневые системы и стебли. Стадия Стеблевания (начало апреля - конец апреля): Стебли удлиняются, и междоузлия растут, закладывая основу для последующей дифференциации колоса. Стадия Колошения (конец апреля - середина мая): Колос формируется и постепенно созревает. Стадия Цветения (середина мая - конец мая): Колос начинает цвести и происходит опыление. Стадия Созревания (конец мая - середина июня): Зерна созревают, содержание влаги снижается, и растения готовятся к уборке. Дополнительная коллекция данных во время стадии Стеблевания включала стадии Предстеблевания и Постстеблевания, чтобы всесторонне охватить динамические изменения в росте пшеницы. Мы выбрали эти временные точки, чтобы отразить ключевые переходы и динамику роста на протяжении всего жизненного цикла пшеницы [20] (Таблица 1).
Таблица 1. Обзор стадий роста пшеницы и дат сбора. Эта таблица отображает даты сбора мультиспектральных данных дрона для пшеницы на разных стадиях роста с марта по май 2024 года, облегчая последующий анализ динамики роста и состояния здоровья пшеницы.
Эти данные предоставили критическую информацию для анализа характеристик роста пшеницы в этой конкретной временной точке [42]. Изображение в истинных цветах дало обзор внешнего вида и общего состояния здоровья пшеницы. Интегрируя и анализируя эти спектральные полосы, мы получили всестороннее понимание динамики роста пшеницы на этой стадии (Рисунок 2). Этот многогранный подход не только подчеркивает физиологические и структурные характеристики сельскохозяйственной культуры, но и поддерживает точный мониторинг ее стадии развития.
Рисунок 2. Мультиспектральные полосы и изображения в истинном цвете характеристик роста пшеницы. Этот набор изображений показывает характеристики отражательной способности пшеницы 11 марта 2024 года для полос G, R, RE и NIR. Сравнивая изображения каждой полосы, мы можем четко наблюдать состояние роста, уровень здоровья и физиологические характеристики пшеницы на этой стадии роста, предоставляя интуитивную визуальную поддержку для дальнейшего анализа.
2.3. Спектральный алгоритм
В ответ на предложение о том, что операции между спектральными полосами должны включать более сложные комбинации, подобные вегетационным индексам, мы подробно описали основу и теоретические основы этих комбинаций в спектральном алгоритме. Эти комбинации получены из биофизических и биохимических принципов физиологии сельскохозяйственных культур, в частности сосредоточены на поглощении хлорофилла, структуре листового покрова и динамике содержания воды, которые имеют ключевое значение для понимания роста и здоровья сельскохозяйственных культур.
G-полоса высокочувствительна к поглощению хлорофилла, ключевому индикатору фотосинтеза растений, и часто используется при расчете вегетационных индексов, таких как Нормализованный разностный вегетационный индекс (NDVI). R-полоса, будучи еще одним ключевым индикатором поглощения хлорофилла, дополняет G-полосу, так как ее отражательная способность обратно пропорциональна содержанию хлорофилла. NIR-полоса, которая отражает структурные свойства листового покрова и содержание воды, играет значительную роль в понимании здоровья растений, особенно в обнаружении вариаций площади листьев и водного стресса. Комбинируя эти полосы, мы можем усилить обнаружение сложных физиологических условий, таких как плотность листьев, здоровье листового покрова и содержание воды. Например, комбинации полос G и NIR особенно эффективны для мониторинга здоровья листового покрова и плотности листьев, поскольку NIR-полоса чувствительна к структуре растений, а G-полоса реагирует на фотосинтетическую активность. Точно так же комбинация полос RE и NIR оказалась ценной для оценки здоровья растений на стадиях активного роста или старения, поскольку RE-полоса чувствительна к физиологическим изменениям в растении, таким как содержание хлорофилла и зрелость листьев.
Дополнительно, мы включили ссылки на предыдущие исследования, которые подтверждают использование этих спектральных комбинаций в приложениях дистанционного зондирования. Вегетационные индексы, такие как NDVI и Улучшенный вегетационный индекс (EVI), которые используют полосы G, R и NIR, широко используются для мониторинга здоровья растений, водного стресса и содержания азота. Было показано, что эти индексы эффективно фиксируют вариации в состоянии здоровья листового покрова и биомассы, что дальнейшая поддерживает использование многополосных комбинаций в нашем спектральном алгоритме. Эта интеграция биофизических принципов и проверенных методов дистанционного зондирования усиливает способность алгоритма отслеживать динамические характеристики сельскохозяйственных культур и более точно контролировать стадии роста. Это позволяет проводить более точную и всестороннюю оценку здоровья сельскохозяйственных культур, стресса и физиологического развития на разных стадиях роста.
Для изображений дистанционного зондирования, содержащих четыре спектральные полосы, различные значения признаков изображения могут быть рассчитаны с помощью различных комбинаций полос [39]. В частности, комбинации могут быть классифицированы как однополосные, двухполосные, трехполосные и четырехполосные, что в общей сложности дает 15 возможных комбинаций (Таблица 2).
Таблица 2. Различные комбинации полос и формулы расчета для изображений дистанционного зондирования. Таблица показывает различные методы преобразования для одной полосы, двойной полосы, тройной полосы и четверной полосы, облегчая анализ и извлечение признаков изображения.
(1) Однополосные комбинации: Выбор одной полосы из четырех доступных дает C(4,1)=4 комбинации. Однополосные комбинации обычно используются для извлечения основных признаков, таких как яркость и отражательная способность. Они особенно эффективны при анализе поведения конкретных полос в определенных условиях, например, использование синей полосы для мониторинга воды из-за ее высокого поглощения водой, или NIR-полосы для анализа растительности из-за ее сильной чувствительности к хлорофиллу растений. Анализ одной полосы часто используется в качестве начального инструмента скрининга для выявления аномалий.
(2) Двухполосные комбинации: Выбор двух полос из четырех дает C(4,2)=6 комбинаций. Двухполосные комбинации полезны для анализа относительных взаимоотношений между полосами. Например, анализ соотношения может выделить определенные характеристики некоторых типов земного покрова. Эти комбинации широко используются для расчета индексов на основе соотношений, таких как мониторинг покрытия растительностью. Они эффективны в различении различных типов земного покрова и особенно полезны для анализа смешанных пикселей, предлагая понимание вклада различных земных покровов в пределах одного пикселя.
(3) Трехполосные комбинации: Выбор трех полос из четырех дает C(4,3)=4 комбинации. Этот подход обычно используется для вычисления определенных составных индексов. Трехполосные комбинации подходят для получения более сложных индексов и извлечения детальных характеристик земного покрова. Используя текстурные признаки из трех полос, эти комбинации улучшают понимание структур земного покрова и обеспечивают более глубокую интерпретацию свойств поверхности.
(4) Четырехполосные комбинации: Использование всех четырех полос дает C(4,4)=1 комбинацию. Четырехполосные комбинации обеспечивают всестороннюю информацию, делая их идеальными для анализа сложных сценариев. Эти комбинации особенно подходят для приложений, требующих многомерных данных, предлагая более богатую информацию для поддержки детальной классификации и анализа. Четырехполосные комбинации позволяют применять интегрированный подход к пониманию взаимоотношений между спектральными признаками, способствуя целостному и детальному анализу.
Эти комбинации полос и их соответствующие возможности извлечения признаков играют ключевую роль в углублении понимания и интерпретации сложных наборов данных дистанционного зондирования, поддерживая различные приложения от обнаружения аномалий до точной классификации земного покрова [19,43].
2.4. Алгоритм извлечения признаков
При извлечении изображений БПЛА пшеницы на различных стадиях роста важно разработать ряд алгоритмов извлечения признаков для точной идентификации и анализа состояния роста и уровня здоровья сельскохозяйственной культуры [2,44]. Эти алгоритмы нацелены на различные стадии роста, концентрируясь на извлечении ключевых признаков, таких как цвет, текстура и форма, чтобы лучше понять динамику роста пшеницы. Это исследование выбрало 15 индикаторов (Таблица 3), которые всесторонне отражают характеристики изображения в процессе роста пшеницы с различных точек зрения. Эти индикаторы позволяют проводить углубленный анализ состояния роста, уровня здоровья и моделей роста, предоставляя ценную поддержку данных для точного земледелия. Используя комбинацию методов обработки изображений, включая статистический анализ, машинное обучение и глубокое обучение, точность и эффективность извлечения признаков могут быть значительно улучшены, закладывая прочную основу данных для последующего мониторинга роста и управления [45].
Таблица 3. Статистические меры и их значение для анализа изображений. Эта таблица обобщает ключевые статистические меры, используемые в анализе изображений, выделяя их формулы, значения и приложения для оценки различных аспектов качества изображения и текстуры.
Переменные, включенные в Таблицу 3, были выбраны на основе их установленной значимости в дистанционном зондировании и анализе изображений, особенно для мониторинга сельскохозяйственных культур. Эти переменные, такие как энтропия, контраст и дисперсия текстуры, имеют ключевое значение для захвата ключевых аспектов здоровья листового покрова, структурной сложности и динамических изменений, которые происходят на различных стадиях роста сельскохозяйственных культур. В приложениях дистанционного зондирования энтропия измеряет сложность распределения значений пикселей в изображении, давая представление о структурной гетерогенности листового покрова. Более высокие значения энтропии обычно отражают более сложные структуры листового покрова, которые указывают на динамические изменения в здоровье и росте растений. Контраст, с другой стороны, количественно определяет разницу в интенсивности пикселей между соседними областями на изображении. Эта метрика ценна для обнаружения вариаций в текстуре листового покрова, которые связаны с различиями в здоровье растений, площади листьев и стрессе растительности. Дисперсия текстуры измеряет изменчивость значений пикселей через изображение, отражая степень сложности листового покрова. Дисперсия чувствительна к изменениям в архитектуре листового покрова и особенно полезна для обнаружения ранних признаков стресса, таких как дефицит питательных веществ или болезнь.
Эти выбранные переменные играют важную роль в точной оценке здоровья сельскохозяйственных культур, идентификации условий стресса и мониторинге переходов роста. Используя эти метрики, анализ обеспечивает всестороннее понимание динамики листового покрова, позволяя более точный мониторинг развития сельскохозяйственных культур. Включение этих переменных поддерживается обширными исследованиями в этой области, где было показано, что подобные метрики улучшают точность моделей мониторинга сельскохозяйственных культур и прогнозирования урожайности. Соответствующие исследования показали, что эти переменные особенно эффективны в различении различных стадий роста и обнаружении аномалий, связанных со здоровьем растений и факторами окружающей среды. Включая эти хорошо зарекомендовавшие себя метрики в спектральный алгоритм, это исследование улучшает способность фиксировать тонкие изменения в физиологии сельскохозяйственных культур и предлагает более надежную структуру для мониторинга здоровья сельскохозяйственных культур на протяжении всего вегетационного сезона. Обновленная рукопись дальнейшая разъясняет обоснование выбора этих переменных, и ссылки на соответствующие исследования были включены для обоснования их использования в приложениях дистанционного зондирования и мониторинга сельскохозяйственных культур.
Извлекая признаки из изображений БПЛА, собранных в течение семи различных стадий роста, мы можем захватить динамические модели роста пшеницы [39]. Анализ этих признаков облегчает идентификацию различий между стадиями роста, прогнозирование тенденций роста пшеницы и информирование разработки соответствующих стратегий управления. Использование подхода, основанного на данных, позволяет более эффективно контролировать сельскохозяйственные культуры, оптимизировать распределение ресурсов и улучшать как урожайность пшеницы, так и ее качество [36]. Эти усилия в совокупности способствуют продвижению применения точного земледелия, обеспечивая устойчивое и эффективное производство сельскохозяйственных культур.
2.5. Методы постобработки данных
В мультивременном мониторинге дистанционного зондирования характеристики спектральной отражательной способности и пространственная текстурная информация пшеницы на различных стадиях роста динамически меняются на протяжении всего процесса роста [12]. Эти признаки могут отражать критические параметры роста, такие как индекс площади листьев (LAI), покрытие растительностью и состояние здоровья. Однако из-за различных методов расчета и физического значения признаков дистанционного зондирования существуют значительные различия в их размерностях и диапазонах значений. Например, яркость может варьироваться от 0 до 65 535, тогда как контраст и энтропия обычно представлены в виде небольших десятичных значений. Непосредственное использование этих данных признаков для моделирования и анализа может привести к тому, что некоторые признаки будут либо чрезмерно усилены, либо полностью проигнорированы в модели, тем самым снижая точность и научную обоснованность результатов анализа [46].
Основная цель нормализации — сопоставить разные значения признаков в единый диапазон (обычно [0, 1]), сохраняя при этом тенденции вариаций признаков. Формула расчета:
В формуле x представляет исходное значение признака, min(x) — минимальное значение столбца признаков, max(x) — максимальное значение столбца признаков, а x^' — нормализованное значение признака. Этот метод обработки устраняет помехи, вызванные различиями в размерностях, обеспечивая одинаковую важность всех признаков в последующих анализах [23]. Дополнительно, нормализация улучшает эффективность обучения и скорость сходимости моделей, тем самым повышая прогностическую производительность моделей роста пшеницы.
Путем нормализации различных признаков, извлеченных из данных дистанционного зондирования БПЛА, обеспечивается надежная основа для количественных сравнений условий роста пшеницы на различных стадиях роста [47]. Нормализованные данные признаков интуитивно отражают временные модели вариации роста пшеницы, помогая идентифицировать ключевые характеристики роста на разных стадиях и предоставляя научную основу для управления точным земледелием. Дополнительно, этот подход к обработке данных улучшает обобщаемость анализов, позволяя моделям адаптироваться к данным из различных регионов и сортов пшеницы. Эта адаптивность поддерживает крупномасштабный мониторинг дистанционного зондирования и принятие решений в производстве сельскохозяйственных культур [7].
Модели роста пшеницы, построенные с использованием нормализованных данных признаков, не только обеспечивают более высокую точность для мониторинга роста, но и предлагают критическую поддержку данных для прогнозирования урожайности, предупреждения о бедствиях и управления точным земледелием [47]. Это гарантирует, что приложения дистанционного зондирования могут эффективно поддерживать устойчивую и эффективную сельскохозяйственную практику на нескольких масштабах.
2.6. Статистический анализ
В этом исследовании мы выполнили все статистические анализы с использованием Python (версия 3.12.3), используя библиотеки scipy, statsmodels и numpy для проведения необходимых тестов. Из-за целей исследования и характера данных мы использовали t-тесты для оценки взаимоотношений между переменными и проверки наших гипотез. Эти методы были выбраны на основе их способности анализировать влияние независимых переменных на зависимую переменную, что напрямую соответствует целям нашего исследования.
Для допущений, лежащих в основе статистических тестов, мы выполнили следующие диагностические проверки: мы оценили нормальность данных с помощью теста Шапиро-Уилка и визуально изучили гистограммы. Предположение об однородности дисперсии было проверено с помощью теста Левена, гарантируя, что изменчивость между группами была согласованной. В случаях регрессионного анализа мы исследовали графики остатков для проверки линейности и гомоскедастичности. Уровень значимости был установлен на p < 0,05 для всех тестов, в соответствии со стандартной практикой в нашей области. Все анализы были выполнены с тщательным учетом допущений и выбранных методов, обеспечивая надежность и достоверность наших выводов.
3. Результаты
3.1. Результаты расчета признаков дистанционного зондирования при 15 комбинациях полос
Мы построили тепловые карты и блочные диаграммы для анализа распределения признаков и моделей вариации данных дистанционного зондирования БПЛА. Тепловые карты визуально представляют динамические тенденции различных признаков во времени в процессе роста пшеницы через вариации интенсивности цвета, отражая пространственно-временные изменения спектральных и текстурных признаков на различных стадиях роста [17]. Этот подход визуализации позволяет быстро идентифицировать значительные интервалы изменения значений признаков, выделяя ключевые признаки, которые влияют на процесс роста. Дополнительно, блочные диаграммы описывают диапазон распределения, центральную тенденцию и выбросы каждого признака, иллюстрируя стабильность и изменчивость признаков в различные временные интервалы [15].
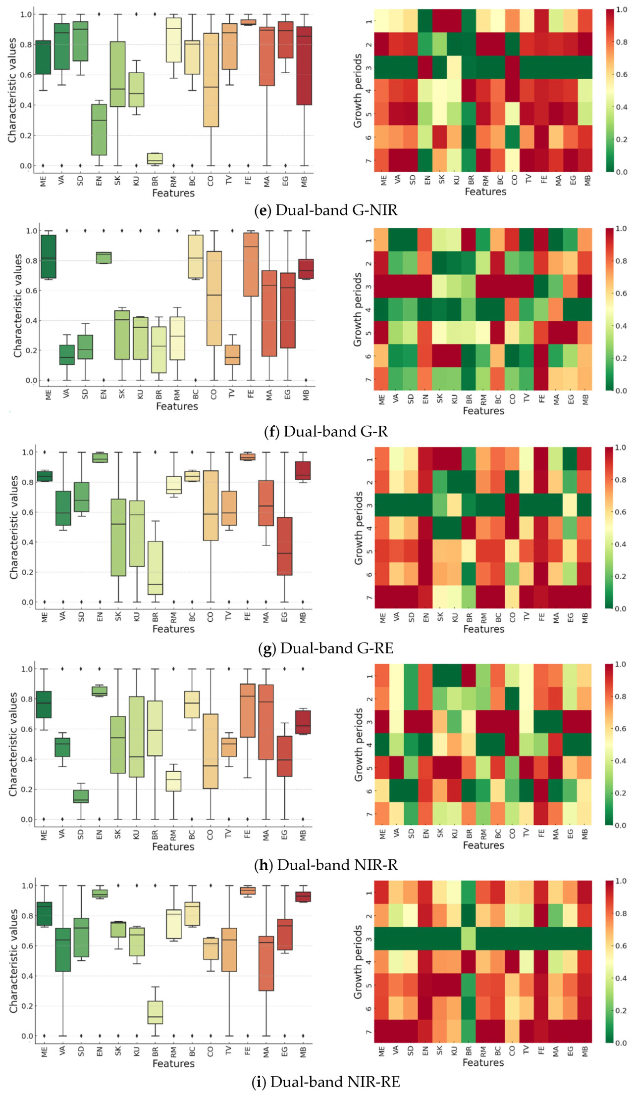
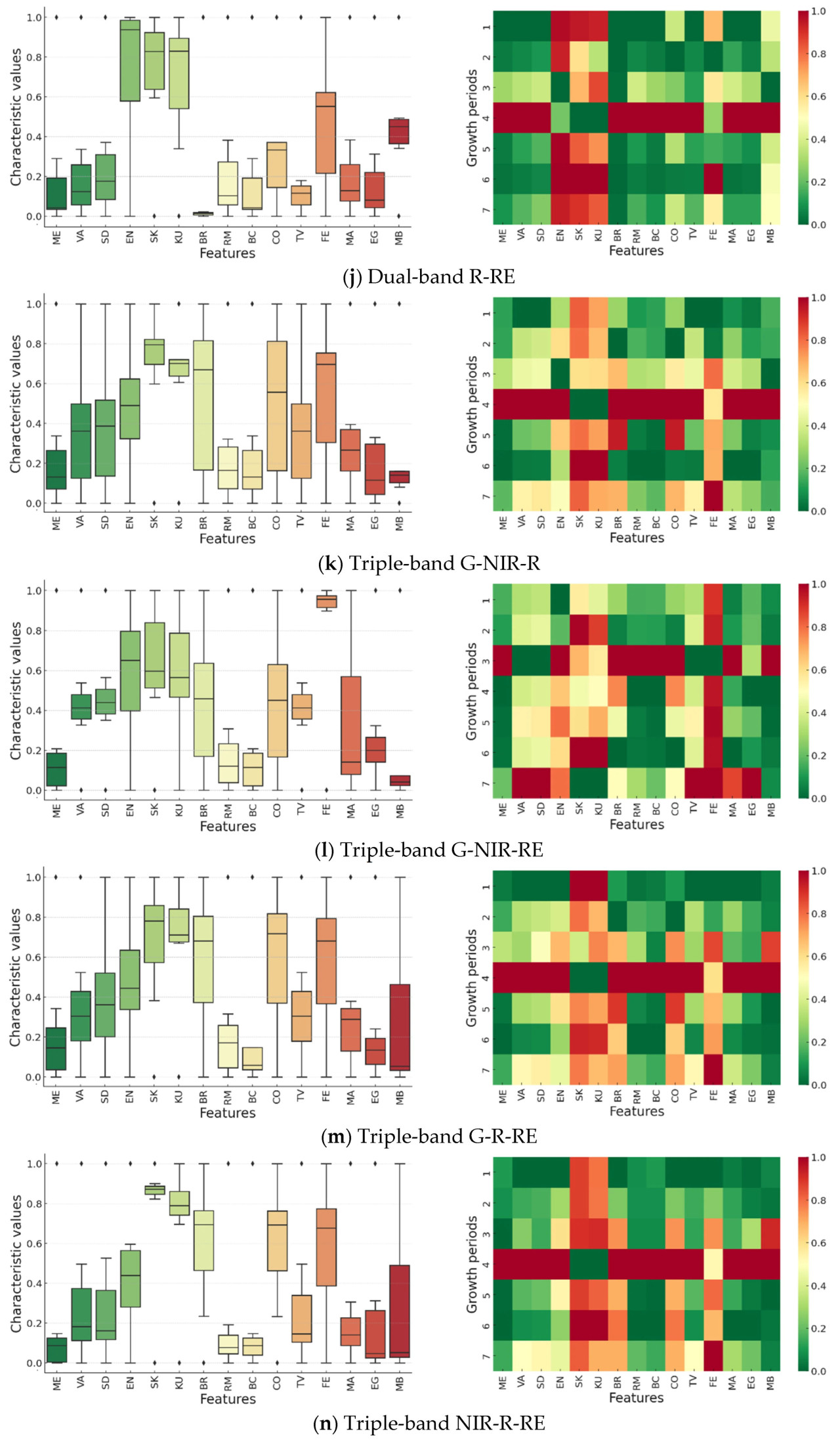
Различные комбинации полос показывают значительные различия и взаимодополняемость в мониторинге динамического роста пшеницы, предоставляя критическую информацию для всесторонней оценки характеристик листового покрова и состояния здоровья [7,48] (Рисунок 3). Левая панель Рисунка 3 показывает нормализованные результаты расчета различных значений признаков. Цель этой визуализации — стандартизировать значения признаков, устраняя влияние различных масштабов или единиц между разными переменными. Нормализуя значения, становится легче сравнивать относительные изменения каждого признака, независимо от их исходных величин. Этот подход позволяет более четко понять, как каждый признак ведет себя со временем, и обеспечивает единую основу для сравнения различных спектральных характеристик. Нормализация гарантирует, что тенденции и модели данных не искажаются различиями в их диапазонах значений, делая анализ более надежным и интерпретируемым. Правая панель, с другой стороны, отображает нормализованные результаты расчета различных значений признаков через семь стадий роста (1–7). Эта визуализация имеет ключевое значение, поскольку она показывает, как спектральные характеристики сельскохозяйственной культуры развиваются на каждой конкретной стадии роста. Представляя нормализованные значения признаков для каждой стадии роста, эта панель дает представление о временной динамике здоровья листового покрова, площади листьев и уровня стресса. Сравнение через стадии роста позволяет лучше понять физиологические изменения сельскохозяйственной культуры на протяжении всего ее жизненного цикла, помогая определить критические периоды для вмешательства (например, внесение удобрений, орошение) и мониторинга стресса. В целом, этот подход улучшает способность отслеживать рост сельскохозяйственных культур с более высокой точностью и поддерживает целевые стратегии сельскохозяйственного управления.
Рисунок 3. Многомерный визуальный анализ динамики роста пшеницы с использованием дистанционного зондирования БПЛА. (a) G-полоса: Отражает высокую активность растительности, подходит для мониторинга изменений листового покрова. (b) NIR: Указывает на здоровый рост и условия водного стресса. (c) R: Представляет стабильность на стадии созревания. (d) RE-полоса: Подходит для мониторинга поглощения азота и здоровья растений. (e) G + NIR: Отражает содержание хлорофилла и плотность листового покрова. (f) G + R: Демонстрирует динамические изменения в структуре листового покрова. (g) G + RE: Подходит для мониторинга спектральной динамики. (h) NIR + R: Отражает стресс от болезней и здоровые области. (i) NIR + RE: Указывает на водный стресс и здоровые условия. (j) R + RE: Отражает характеристики зрелости. (k) G + NIR + R: Полезно для мониторинга стресса от болезней. (l) G + NIR + RE: Отслеживает спектральные изменения через стадии роста. (m) G + R + RE: Контролирует изменения текстуры в листовом покрове. (n) NIR + R + RE: Подходит для мониторинга стресса от болезней. (o) G + NIR + R + RE: Идеально для динамического анализа через цикл роста.
G-полоса наиболее чувствительна к активности растительности во время стадий Стеблевания и Колошения, характеризуясь высокими значениями яркости (среднее значение достигает 0,80) и низкой сложностью текстуры (дисперсия около 0,05), что делает ее подходящей для отражения спектральных характеристик стадий активного роста. NIR-полоса превосходно оценивает водный стресс и здоровье листового покрова, со значениями энтропии, достигающими 1,2 при стрессе от болезней, что указывает на изменения в сложности текстуры листового покрова. R-полоса в основном отражает спектральную стабильность листового покрова на стадии созревания, при этом среднеквадратичные значения падают до 0,5 на поздних стадиях роста, в то время как эксцесс и контраст показывают стабильность спектральной отражательной способности. RE-полоса сильно указывает на поглощение азота и мониторинг здоровья, при этом медианная яркость достигает 0,85 на стадии Стеблевания.
Комбинации полос дальнейшая усиливают чувствительность и стабильность в обнаружении характеристик роста пшеницы [34,43]. Комбинация G + NIR достигает среднего значения 0,85 на стадии Стеблевания, что делает ее подходящей для отражения плотности и активности листового покрова. Комбинация G + R показывает увеличивающийся контраст со временем, отражая динамические изменения в структуре листового покрова на стадиях роста. Комбинация G + RE сильно реагирует на спектральные вариации пшеницы, в то время как комбинация NIR + R лучше подходит для мониторинга здоровья, при этом асимметрия достигает пика 0,5 на стадии Налива зерна. Трехполосные комбинации, такие как G + NIR + R и G + NIR + RE, дальнейшая усиливают динамический ответ на стадии активного роста и упадка. Между тем, четырехполосная комбинация (G + NIR + R + RE) предлагает наиболее всестороннюю оценку текстурных и спектральных изменений на протяжении всего цикла роста. Эти результаты показывают, что отдельные полосы подходят для мониторинга конкретных стадий, в то время как многополосные комбинации позволяют осуществлять полный цикл мониторинга характеристик роста пшеницы [19]. Это обеспечивает научную поддержку для управления точным земледелием, мониторинга болезней и прогнозирования урожайности.
3.2. Анализ дистанционного зондирования семи стадий роста пшеницы
Используя технологию дистанционного зондирования на базе БПЛА, семь критических стадий роста пшеницы можно точно контролировать для оценки покрытия растительностью, структуры листового покрова, состояния здоровья и динамики роста [1]. Анализ этих временных рядов данных не только показывает физиологические характеристики каждой стадии, но и предоставляет научное руководство для предупреждения болезней, точного внесения удобрений и прогнозирования урожайности [8]. Извлечение признаков через эти стадии роста способствует оптимизированному управлению сельскохозяйственными культурами, повышает продуктивность сельского хозяйства и способствует применению технологии дистанционного зондирования в точном земледелии, тем самым предлагая надежную поддержку данных для устойчивого развития сельского хозяйства путем оптимизации использования ресурсов, улучшения прогнозов урожайности сельскохозяйственных культур, обеспечения раннего обнаружения вредителей и болезней и поддержки более точного принятия решений по орошению, внесению удобрений и борьбе с вредителями (Рисунок 4).
Рисунок 4. Радиальная диаграмма ключевых спектральных полосовых признаков для дистанционной идентификации стадий роста пшеницы. (a) Стадия Кущения: Покрытие листовым покровом относительно низкое, при этом среднее значение G-полосы стабилизируется на уровне 0,65, а дисперсия приблизительно 0,05, что отражает характеристики низкой активности листового покрова. (b) Стадия Предстеблевания: Покрытие листовым покровом значительно увеличивается, при этом среднеквадратичное (RMS) значение полосы G + NIR достигает 0,70, указывая на значительное улучшение концентрации хлорофилла и плотности листового покрова. (c) Стадия Стеблевания: Структура листового покрова становится сложной, при этом энтропия NIR-полосы достигает пика 1,2, отражая значительное увеличение сложности текстуры растений. (d) Стадия Постстеблевания: Активность листового покрова стабилизируется, но колебания листового покрова увеличиваются. Дисперсия полосы NIR + R достигает пика 0,12, указывая на увеличенную изменчивость листового покрова. (e) Стадия Колошения: Активность листового покрова усиливается, при этом значение энергии полосы G + NIR достигает 0,90, демонстрируя сильную концентрацию в спектральной отражательной способности листового покрова. (f) Стадия Цветения: Покрытие листовым покровом достигает своего максимума, при этом концентрация яркости комбинации полос G + R + RE достигает пика 0,75, отражая максимальную однородность листового покрова и отражательную способность. (g) Стадия Созревания: Активность листового покрова снижается, и медианная яркость комбинации полос NIR + R + RE падает до 0,55, указывая на уменьшение интенсивности отражательной способности листового покрова.
Рисунок 4 иллюстрирует спектральные характеристики пшеницы на различных стадиях роста, представленные через радиальную диаграмму. Каждый сегмент радиальной диаграммы соответствует конкретной стадии роста (1–7), причем различные оси отражают различные спектральные признаки или переменные, такие как значения отражательной способности из различных спектральных полос (G, R, RE, NIR). Диаграмма показывает, как эти признаки развиваются со временем по мере прогрессирования сельскохозяйственной культуры через ее стадии роста, предоставляя четкое визуальное представление изменений в спектральных свойствах пшеницы на каждой критической фазе роста.
Цель Рисунка 4 — облегчить сравнение спектральных изменений на различных стадиях роста, выделяя ключевые сдвиги в характеристиках сельскохозяйственных культур, таких как здоровье листового покрова, площадь листьев и уровни стресса. Используя радиальную диаграмму, рисунок эффективно передает многомерную природу динамики роста сельскохозяйственных культур и помогает идентифицировать важные переходы роста. Это позволяет лучше понять, как развиваются спектральные признаки сельскохозяйственной культуры, что имеет ключевое значение для точного земледелия и поддерживает решения, связанные со временем вмешательства и обнаружением стресса. На Рисунке 4 выделенная линия подчеркивает ключевые тенденции или значительные вариации в спектральных характеристиках на каждой стадии роста. Эта линия позволяет читателям легко отслеживать наиболее заметные сдвиги в спектральных признаках сельскохозяйственной культуры, такие как изменения в здоровье листового покрова, содержании хлорофилла или уровнях стресса растений. Это также помогает идентифицировать критические стадии роста, где происходят существенные переходы, облегчая более целенаправленный анализ развития сельскохозяйственной культуры и делая проще корреляцию спектральных данных с физиологическими изменениями для информированного принятия решений по управлению сельскохозяйственными культурами.
(1) Стадия Кущения: Покрытие листовым покровом относительно низкое на этой стадии, и NIR-полоса наиболее чувствительна к изменениям активности растительности. Среднее значение поддерживается между 0,60 и 0,70, в то время как дисперсия стабильна около 0,05. На этой стадии отражательная способность растительности низкая, а характеристики текстуры просты, что указывает на то, что побеги не полностью развились, и листовой покров еще не сформировал высокую плотность покрытия. Следовательно, спектральные характеристики NIR-полосы могут эффективно идентифицировать состояние низкой активности листового покрова кущения, делая их важной основой для мониторинга этой стадии.
(2) Стадия Предстеблевания: Это переходная стадия от Кущения к Стеблеванию, во время которой покрытие листовым покровом значительно увеличивается. Среднеквадратичное (RMS) значение комбинации G + NIR быстро возрастает примерно до 0,70, указывая на значительное увеличение концентрации хлорофилла и плотности листового покрова. G-полоса отражает усиленную спектральную отражательную способность листьев листового покрова, в то время как NIR-полоса фиксирует тенденцию изменений структуры листового покрова. Комбинация этих двух полос может точно различить спектральные характеристики стадии Предстеблевания, делая ее основным методом мониторинга для этого периода.
(3) Стадия Стеблевания: Эта стадия знаменует собой критическую точку перелома в росте пшеницы, характеризующуюся значительным увеличением структурной сложности листового покрова. Значение энтропии комбинации G + R достигает пика на этой стадии (приблизительно 1,2). Энтропия отражает сложность текстуры листового покрова, в то время как G-полоса высокочувствительна к состоянию роста растительности и здоровью листового покрова. На этой стадии покрытие листовым покровом быстро увеличивается, спектральная однородность уменьшается, и сложность текстуры усиливается. Пиковое значение энтропии в этот период делает его ключевым признаком для различения стадии стеблевания.
(4) Стадия Постстеблевания: На этой стадии растения пшеницы завершили стеблевание, и активность листового покрова стремится стабилизироваться, хотя колебания текстуры увеличиваются. Дисперсия комбинации G + R + RE достигает пика на этой стадии (приблизительно 0,12), отражая возможные условия стресса и колебания листового покрова. G-полоса фиксирует изменения в физиологическом здоровье листьев, в то время как полосы R и RE чувствительны к старению листьев и реакциям на стресс. Комбинация этих полос может эффективно идентифицировать характеристики состояния листового покрова стадии Постстеблевания.
(5) Стадия Колошения: Это период активного роста, во время которого активность листового покрова дальнейшая усиливается, в то время как признаки текстуры стремятся к стабилизации. Энергия комбинации NIR + RE достигает своего максимального значения (приблизительно 0,90) на этой стадии, отражая концентрацию и однородность спектральной отражательной способности листового покрова. NIR-полоса указывает на высокое содержание хлорофилла, в то время как RE-полоса фиксирует дальнейшее увеличение плотности листового покрова. Пиковое значение энергии делает эту метрику важной основой для различения стадии Колошения.
(6) Стадия Цветения: На этой стадии покрытие листовым покровом достигает своего пика, а спектральные и текстурные признаки демонстрируют высокую однородность и отражательную способность. Концентрация яркости комбинации NIR + RE достигает пика приблизительно 0,75, отражая наивысшие уровни интенсивности отражательной способности и однородности листового покрова. NIR-полоса указывает на активность хлорофилла, RE-полоса фиксирует признаки здоровья листового покрова, и RE-полоса чувствительна к поглощению азота во время стадии Цветения, делая ее эффективным методом для точной идентификации этой стадии.
(7) Стадия Созревания: Во время стадии Созревания активность листового покрова значительно снижается, спектральные характеристики стабилизируются, и старение листьев становится очевидным. Медианная яркость комбинации NIR + RE падает приблизительно до 0,55, указывая на снижение интенсивности отражательной способности листового покрова. NIR-полоса фиксирует снижение содержания воды в листовом покрове и здоровья, R-полоса подчеркивает спектральные характеристики старения листьев, и RE-полоса отражает стабильное поглощение азота. Многополосные комбинации позволяют точно идентифицировать состояния растительности во время стадии Созревания.
3.3. Спектральное картирование для разных стадий роста пшеницы
Практическое влияние модели заключается в ее способности обеспечить мониторинг стадий роста пшеницы, состояния здоровья и условий стресса в реальном времени с высоким разрешением с помощью мультиспектрального дистанционного зондирования на базе БПЛА (Рисунок 5). Эта модель может значительно улучшить точное земледелие, позволяя раннее обнаружение болезней, водного стресса и дефицита питательных веществ, что позволяет своевременные вмешательства. Дополнительно, информация, предоставляемая моделью, может помочь в оптимизации сельскохозяйственной практики, такой как орошение, внесение удобрений и борьба с вредителями, приводя к более эффективному использованию ресурсов, увеличению урожайности сельскохозяйственных культур и снижению воздействия на окружающую среду. Предлагая полезные данные для информированного принятия решений, модель способствует повышению устойчивости и продуктивности сельскохозяйственных систем.
Рисунок 5. Атлас спектрального картирования характеристических полос пшеницы на разных стадиях роста. (a) Стадия Кущения: Преобладает G-полоса, отражающая низкое покрытие листовым покровом и слабую активность растительности. Спектральные различия между регионами минимальны, указывая на равномерную низкую активность через область. (b) Стадия Предстеблевания: Комбинация полос G + NIR показывает быстрые увеличения покрытия листовым покровом и значительное усиление активности растений. Локализованные различия начинают проявляться, указывая на неравномерный рост внутри региона. (c) Стадия Стеблевания: NIR-полоса выделяет увеличенную сложность листового покрова, с отчетливыми региональными текстурами. Области с пиковыми значениями энтропии соответствуют зонам активного роста. (d) Стадия Постстеблевания: Комбинация полос NIR + R подчеркивает изменчивость листового покрова, потенциально указывая на локализованный стресс или физиологические аномалии внутри региона. (e) Стадия Колошения: Комбинация полос G + NIR представляет характеристики высокой плотности листового покрова, с концентрированной спектральной энергией, отражающей эту фазу активного роста. (f) Стадия Цветения: Комбинация полос G + R + RE иллюстрирует максимальное покрытие листовым покровом, с областями концентрации яркости, соответствующими здоровым и активным зонам листового покрова. (g) Стадия Созревания: Комбинация полос NIT + R + RE отражает снижающуюся активность листового покрова, уменьшенную спектральную однородность и заметные признаки старения листьев, отмечая заключительную фазу роста.
На основе ключевых характеристических полос или комбинаций полос, выбранных для различных стадий роста пшеницы (например, G, NIR, RE и их комбинации), был проведен анализ картирования для семи критических стадий роста пшеницы [49]. Выбор характеристических полос основан на характеристиках роста, таких как покрытие листовым покровом, свойства спектральной отражательной способности листьев и сложность текстуры на каждой стадии роста. Эти признаки не только отражают изменения оптического ответа пшеницы во время роста, но и показывают здоровье растений и модели роста через пространственно-спектральные характеристики [42]. Картирование предоставляет визуальное представление моделей спектрального отражения пшеницы на различных стадиях роста, предлагая научное понимание для оценки состояния роста растений.
Мультиспектральные датчики, установленные на БПЛА, использовались для захвата изображений в течение семи типичных стадий роста [10]. Интегрируя выбранные характеристические полосы, была достигнута количественная идентификация различных стадий роста. G-полоса: Чувствительна к активности листьев листового покрова, отражает изменения в концентрации хлорофилла. NIR-полоса: Фиксирует структурные признаки листового покрова и состояние физиологического здоровья. RE-полоса: Сильно указывает на поглощение азота и зрелость листьев. R-полоса: Высокочувствительна к старению листьев и реакциям на стресс [35]. Количественное извлечение и анализ картирования признаков спектрального отражения для каждой стадии роста показывают динамические изменения в активности листового покрова, здоровье растений и сложности текстуры на протяжении всего процесса роста пшеницы. Этот подход предоставляет четкую и научную основу для оценки состояния роста растений пшеницы [50].
Внедрение мультиспектрального дистанционного зондирования на базе БПЛА в управление сельским хозяйством может привести к значительному снижению затрат и увеличению операционной эффективности. Сводя к минимуму необходимость трудоемких полевых обследований, этот подход упрощает сбор данных, экономя время и ресурсы. Дополнительно, способность модели точно контролировать здоровье сельскохозяйственных культур и обнаруживать стресс или болезнь на ранних стадиях позволяет целенаправленные вмешательства, такие как оптимизированное орошение и внесение удобрений, что снижает общее использование ресурсов. Раннее обнаружение проблем сельскохозяйственных культур также предотвращает потенциальные потери урожайности и снижает зависимость от химических обработок, приводя к дальнейшей экономии затрат и способствуя более устойчивой и эффективной сельскохозяйственной практике.
4. Обсуждение
С быстрым развитием точного земледелия технология дистанционного зондирования БПЛА получила широкое внимание для мониторинга роста сельскохозяйственных культур. По сравнению с традиционными методами наземных обследований, дистанционное зондирование БПЛА предоставляет уточненные и динамические методы мониторинга для процессов роста сельскохозяйственных культур через мультиспектральные и высокого разрешения изображения [12,29]. В частности, в полном цикле роста пшеницы характеристики спектральной отражательной способности листового покрова и пространственные свойства текстуры демонстрируют значительные пространственно-временные изменения, показывая состояние роста сельскохозяйственных культур, уровень здоровья и условия стресса. Извлекая ключевые полосы или признаки комбинаций полос, дистанционное зондирование может количественно идентифицировать характеристики роста пшеницы на различных стадиях роста [17]. Пространственно-временные данные, полученные из изображений БПЛА, могут быть непосредственно включены в платформы GIS для пространственного анализа, позволяя фермерам и агрономам визуализировать здоровье сельскохозяйственных культур, модели роста и изменчивость поля на детальном уровне. Эта интеграция позволяет точно картировать условия листового покрова, которые могут быть использованы для идентификации областей, требующих целенаправленных вмешательств, таких как орошение, внесение удобрений или борьба с вредителями. Дополнительно, данные могут быть связаны с существующими системами управления сельским хозяйством, улучшая процессы принятия решений. Комбинируя спектральную информацию в реальном времени с другими данными управления фермой, такими как здоровье почвы, погодные условия и историческая производительность сельскохозяйственных культур, эти системы могут предоставлять полезную информацию для оптимизации использования ресурсов, сокращения отходов и улучшения урожайности сельскохозяйственных культур. Эта интеграция данных дистанционного зондирования с GIS и системами управления может упростить сельскохозяйственную практику, поддерживать стратегии точного земледелия и способствовать более устойчивым и эффективным сельскохозяйственным операциям. В сочетании с временным анализом и пространственным моделированием, она предлагает комплексное решение мониторинга для всего цикла роста.
(1) Технические методы для выбора ключевых полос и извлечения признаков
Спектральные характеристики пшеницы демонстрируют значительные динамические изменения на различных стадиях роста, причем определенные полосы или комбинации полос чувствительно отражают физиологические свойства и условия роста листового покрова. Мультиспектральные датчики, установленные на БПЛА, обеспечивают основу данных для выбора полос и извлечения признаков через сбор данных с высоким спектральным разрешением [45]. Во время стадии кущения G-полоса является ключевой полосой из-за ее чувствительности к активности хлорофилла, отражая состояние низкого покрытия листовым покровом. Во время стадии стеблевания NIR-полоса фиксирует быстрое увеличение структурной сложности листового покрова, представляя сложность текстуры. Во время стадий Колошения и Цветения комбинации, такие как G + NIR и G + R + RE, точно показывают здоровье растений и спектральную концентрацию. Для этих полос дистанционное зондирование БПЛА использует методы мультиспектрального картирования на основе отражательной способности полос в сочетании с метриками, такими как среднее значение, энтропия и дисперсия, чтобы количественно извлекать и динамически контролировать характеристики роста пшеницы. Дополнительно, анализ веса полос с использованием алгоритмов машинного обучения (например, случайные леса или машины опорных векторов) оптимизирует комбинации полос и улучшает точность классификации стадий роста. Технические обсуждения указывают, что выбор полос и извлечение признаков являются основными элементами мониторинга дистанционного зондирования для стадий роста пшеницы, закладывая теоретическую и техническую основу для последующих применений в точном земледелии [22,29,51].
(2) Характеристики распределения и управления точным земледелием.
Дистанционное зондирование БПЛА предоставляет пространственное разрешение на субметровом уровне, позволяя детальный мониторинг и анализ характеристик листового покрова пшеницы на уровне поля [35,47]. Через мультиспектральные изображения и картирование с характеристическими полосами можно отразить характеристики пространственного распределения и однородности покрытия листовым покровом внутри полей. Например, во время стадии постстеблевания дисперсия полосы NIR + R выделяет локализованные аномальные области, предполагая потенциальное возникновение водного стресса или болезней. Во время стадии цветения области с высокой концентрацией яркости в полосе G + R + RE соответствуют полям с хорошим здоровьем листового покрова. Эти характеристики пространственного распределения поддерживают решения по управлению точным земледелием, включая точное внесение удобрений, дифференцированное орошение и ранний мониторинг вредителей и болезней. Дополнительно, комбинируя дистанционное зондирование БПЛА с методами пространственного анализа (например, зональное управление на основе NDVI или кластерный анализ), можно обеспечить иерархическое управление внутри полей, улучшая эффективность использования ресурсов [46,52]. Дополнительно, с интеграцией технологии дистанционного зондирования и географических информационных систем (GIS), могут быть установлены пространственно-временные динамические модели для количественной оценки процесса вариации пространственного распределения роста, предоставляя поддержку данных для диагностики здоровья сельскохозяйственных культур в реальном времени и планирования производства [44].
(3) Мониторинг во времени и моделирование цикла роста.
Возможность высокочастотного мониторинга дистанционного зондирования БПЛА позволяет непрерывно записывать и анализировать весь цикл роста пшеницы от кущения до созревания. Во временном измерении спектральные данные отражают ключевые процессы роста растений [9,29,52]. Например, от стадий Кущения до Стеблевания отражательная способность G-полосы значительно увеличивается, отражая увеличение содержания хлорофилла, в то время как энтропия NIR-полосы достигает пика во время стадии стеблевания, показывая точку перелома сложности листового покрова. Извлечение спектральных характеристик во времени может идентифицировать точки перелома роста и критические стадии пшеницы. Дополнительное временное моделирование, такое как подгонка динамической кривой NDVI или моделирование биомассы на основе признаков дистанционного зондирования, предоставляет основу для прогнозирования тенденций роста и оценки урожайности. Временной мониторинг также может идентифицировать аномальные явления роста, такие как локализованные спектральные аномалии во время стадии цветения, которые могут указывать на ранние сигналы болезни или стресса. Эта способность динамического мониторинга во временном измерении продвигает сельскохозяйственный мониторинг от статического описания к динамическому моделированию, закладывая основу для научного управления на протяжении всего цикла сельскохозяйственного производства [39].
(4) Технические ограничения и будущие направления развития
Хотя дистанционное зондирование БПЛА демонстрирует значительные преимущества в извлечении информации о стадиях роста пшеницы, оно все еще имеет определенные ограничения. С точки зрения пространственного разрешения, хотя БПЛА могут предоставлять изображения высокого разрешения, неоднородность поля может вызывать локализованные смещения данных [41,53]. Во временном измерении погодные условия (например, облачные или дождливые дни) могут влиять на сбор мультивременных данных, приводя к разрывам во временных данных. Дополнительно, разнообразие выбора полос и сложность обработки данных предъявляют более высокие требования к дизайну алгоритмов и вычислительным ресурсам. Для решения этих проблем будущие направления развития должны включать: интеграцию данных наземного, БПЛА и спутникового дистанционного зондирования для построения моделей слияния нескольких масштабов для комплексного пространственно-временного мониторинга; внедрение технологий глубокого обучения для повышения точности идентификации стадий роста через извлечение признаков из гиперспектральных данных; оптимизацию процессов сбора данных для улучшения автоматизации и интеллекта мониторинга дистанционного зондирования; и разработку открытых платформ анализа сельскохозяйственного дистанционного зондирования для содействия распространению и применению технологии в точном земледелии [20,54]. Через эти достижения дистанционное зондирование БПЛА будет дальнейшая стимулировать цифровую трансформацию сельскохозяйственного производства, позволяя эффективный мониторинг и управление ростом сельскохозяйственных культур.
В последние годы дроны становятся все более важными в точном земледелии, предлагая экономически эффективное и эффективное решение для мониторинга сельскохозяйственных культур с высоким разрешением. Технология БПЛА революционизировала то, как мы собираем пространственные и временные данные о сельскохозяйственных культурах, позволяя детальный анализ здоровья листового покрова, динамики роста и факторов стресса окружающей среды. Недавние обзоры подчеркнули преимущества дронов, включая их гибкость, низкие операционные затраты и способность охватывать большие площади с высоким пространственным разрешением. В результате дроны все чаще интегрируются в системы управления сельскохозяйственными культурами, помогая фермерам принимать более обоснованные решения относительно орошения, внесения удобрений и борьбы с вредителями.
Однако, несмотря на их преимущества, использование БПЛА в сельском хозяйстве не лишено ограничений. Ключевые проблемы включают условия эксплуатации полета, такие как погода, высота и время полета, которые могут влиять на качество и согласованность собираемых данных. Например, неблагоприятные погодные условия, такие как сильный ветер или осадки, могут препятствовать стабильности полета, приводя к неполным или неточным данным. Точно так же рабочая высота БПЛА может ограничивать их зону охвата, в то время как время полета часто ограничено сроком службы батареи, требуя тщательного планирования для крупномасштабных полевых обследований. Эти факторы должны учитываться при использовании дронов в точном земледелии, чтобы обеспечить оптимальный сбор данных и анализ. Одним из ограничений этого исследования является то, что данные были собраны за один год (март-июнь 2024). Хотя результаты дают ценную информацию о росте пшеницы и эффективности дистанционного зондирования БПЛА для точного земледелия, выводы могут не полностью учитывать межгодовую изменчивость из-за таких факторов, как климат, условия почвы и методы управления. Чтобы улучшить надежность и обобщаемость результатов, будущие исследования должны рассмотреть использование многолетних данных для оценки согласованности наблюдаемых тенденций и дальнейшая проверка применимости этих методов в различных условиях окружающей среды.
Исследование проводилось в одном регионе с акцентом на пшеницу, что может ограничивать более широкую применимость результатов к другим регионам или сельскохозяйственным культурам. Хотя выводы предоставляют ценную информацию о динамических спектральных характеристиках пшеницы на различных стадиях роста, будущие исследования должны расшириться, чтобы включить разнообразные географические регионы и множество типов сельскохозяйственных культур. Это позволило бы более всестороннее понимание временной и пространственной динамики спектральных признаков листового покрова, таким образом улучшая обобщаемость методов мультиспектрального дистанционного зондирования на базе БПЛА. Расширяя рамки исследования, эффективность системы мониторинга могла бы быть оценена в различных условиях окружающей среды и системах сельскохозяйственных культур, предлагая ценную информацию для точного земледелия в глобальном масштабе.
5. Выводы
Это исследование, проведенное на Экспериментальной базе пшеницы Академии сельскохозяйственных и лесных наук Хэбэй, систематически проанализировало характеристики спектра листового покрова пшеницы через семь критических стадий роста с использованием технологии мультиспектрального дистанционного зондирования на базе БПЛА. Используя четыре спектральные полосы — G, R, RE и NIR — и их комбинации, это исследование картировало и количественно оценило состояния роста и признаки здоровья пшеницы во время различных стадий роста [6,43]. Результаты показали, что ключевые спектральные полосы высокочувствительны к динамическим изменениям в листовом покрове пшеницы на различных стадиях роста пшеницы. Например, G-полоса выделила низкое покрытие листовым покровом во время стадии кущения, NIR-полоса показала значительные увеличения структурной сложности листового покрова во время стадии стеблевания, и комбинация G + NIR отразила усиленную плотность листового покрова и концентрированную спектральную энергию во время стадии колошения [7,34]. Через картирование полос, временной анализ и моделирование пространственного распределения, это исследование всесторонне продемонстрировало динамику спектрального отражения и условия здоровья пшеницы во время ее процесса роста. Результаты указывают, что многополосные комбинации эффективно повышают точность мониторинга и эффективность извлечения информации, предоставляя надежные технические средства для полного цикла мониторинга роста пшеницы. Временной мониторинг идентифицировал критические точки перелома роста и динамические признаки, в то время как пространственное моделирование предложило целевую зональную поддержку принятия решений для управления точным земледелием [12].
Это исследование предоставляет научную основу для управления точным земледелием пшеницы, достигая мониторинга с высокой точностью на протяжении всего цикла роста и предлагая поддержку данных для предупреждения болезней, оптимизации ресурсов и улучшения урожайности в сельскохозяйственном производстве. Будущие усилия должны быть сосредоточены на интеграции наземных наблюдений и гиперспектральной технологии для построения моделей слияния данных многоисточникового дистанционного зондирования, дальнейшая способствуя применению и развитию технологии сельскохозяйственного дистанционного зондирования в более широком масштабе.
Ссылки
1. Maulit, A.; Nugumanova, A.; Apayev, K.; Baiburin, Y.; Sutula, M. A Multispectral UAV Imagery Dataset of Wheat, Soybean and Barley Crops in East Kazakhstan. Data 2023, 8, 88. [Google Scholar] [CrossRef]
2. Su, X.; Nian, Y.; Shaghaleh, H.; Hamad, A.; Yue, H.; Zhu, Y.; Li, J.; Wang, W.; Wang, H.; Ma, Q.; et al. Combining features selection strategy and features fusion strategy for SPAD estimation of winter wheat based on UAV multispectral imagery. Front. Plant Sci. 2024, 15, 1404238. [Google Scholar] [CrossRef] [PubMed]
3. Wang, Y.; Tan, S.; Jia, X.; Qi, L.; Liu, S.; Lu, H.; Wang, C.; Liu, W.; Zhao, X.; He, L.; et al. Estimating Relative Chlorophyll Content in Rice Leaves Using Unmanned Aerial Vehicle Multi-Spectral Images and Spectral-Textural Analysis. Agronomy 2023, 13, 1541. [Google Scholar] [CrossRef]
4. Mohammadi, S.; Uhlen, A.K.; Lillemo, M.; Ergon, A.; Shafiee, S. Enhancing phenotyping efficiency in faba bean breeding: Integrating UAV imaging and machine learning. Precis. Agric. 2024, 25, 1502–1528. [Google Scholar] [CrossRef]
5. Li, X.; Ba, Y.; Zhang, M.; Nong, M.; Yang, C.; Zhang, S. Sugarcane Nitrogen Concentration and Irrigation Level Prediction Based on UAV Multispectral Imagery. Sensors 2022, 22, 2711. [Google Scholar] [CrossRef]
6. Bian, C.; Shi, H.; Wu, S.; Zhang, K.; Wei, M.; Zhao, Y.; Sun, Y.; Zhuang, H.; Zhang, X.; Chen, S. Prediction of Field-Scale Wheat Yield Using Machine Learning Method and Multi-Spectral UAV Data. Remote Sens. 2022, 14, 1474. [Google Scholar] [CrossRef]
7. Shafi, U.; Mumtaz, R.; Anwar, Z.; Ajmal, M.M.; Khan, M.A.; Mahmood, Z.; Qamar, M.; Jhanzab, H.M. Tackling Food Insecurity Using Remote Sensing and Machine Learning-Based Crop Yield Prediction. IEEE Access 2023, 11, 108640–108657. [Google Scholar] [CrossRef]
8. Wilke, N.; Siegmann, B.; Postma, J.A.; Muller, O.; Krieger, V.; Pude, R.; Rascher, U. Assessment of plant density for barley and wheat using UAV multispectral imagery for high-throughput field phenotyping. Comput. Electron. Agric. 2021, 189, 106380. [Google Scholar] [CrossRef]
9. Fei, S.; Hassan, M.A.; Ma, Y.; Shu, M.; Cheng, Q.; Li, Z.; Chen, Z.; Xiao, Y. Entropy Weight Ensemble Framework for Yield Prediction of Winter Wheat Under Different Water Stress Treatments Using Unmanned Aerial Vehicle-Based Multispectral and Thermal Data. Front. Plant Sci. 2021, 12, 730181. [Google Scholar] [CrossRef] [PubMed]
10. Zhang, B.; Gu, L.; Dai, M.; Bao, X.; Sun, Q.; Zhang, M.; Qu, X.; Li, Z.; Zhen, W.; Gu, X. Estimation of grain filling rate of winter wheat using leaf chlorophyll and LAI extracted from UAV images. Field Crops Res. 2024, 306, 109198. [Google Scholar] [CrossRef]
11. Zhou, L.; Nie, C.; Su, T.; Xu, X.; Song, Y.; Yin, D.; Liu, S.; Liu, Y.; Bai, Y.; Jia, X.; et al. Evaluating the Canopy Chlorophyll Density of Maize at the Whole Growth Stage Based on Multi-Scale UAV Image Feature Fusion and Machine Learning Methods. Agriculture 2023, 13, 895. [Google Scholar] [CrossRef]
12. Shafiee, S.; Mroz, T.; Burud, I.; Lillemo, M. Evaluation of UAV multispectral cameras for yield and biomass prediction in wheat under different sun elevation angles and phenological stages. Comput. Electron. Agric. 2023, 210, 107874. [Google Scholar] [CrossRef]
13. Selvaraj, M.G.; Valderrama, M.; Guzman, D.; Valencia, M.; Ruiz, H.; Acharjee, A. Machine learning for high-throughput field phenotyping and image processing provides insight into the association of above and below-ground traits in cassava (Manihot esculenta Crantz). Plant Methods 2020, 16, 87. [Google Scholar] [CrossRef]
14. Jiang, J.; Zhang, Z.; Cao, Q.; Liang, Y.; Krienke, B.; Tian, Y.; Zhu, Y.; Cao, W.; Liu, X. Use of an Active Canopy Sensor Mounted on an Unmanned Aerial Vehicle to Monitor the Growth and Nitrogen Status of Winter Wheat. Remote Sens. 2020, 12, 3684. [Google Scholar] [CrossRef]
15. Fu, Z.; Jiang, J.; Gao, Y.; Krienke, B.; Wang, M.; Zhong, K.; Cao, Q.; Tian, Y.; Zhu, Y.; Cao, W.; et al. Wheat Growth Monitoring and Yield Estimation based on Multi-Rotor Unmanned Aerial Vehicle. Remote Sens. 2020, 12, 508. [Google Scholar] [CrossRef]
16. Dhakal, R.; Maimaitijiang, M.; Chang, J.; Caffe, M. Utilizing Spectral, Structural and Textural Features for Estimating Oat Above-Ground Biomass Using UAV-Based Multispectral Data and Machine Learning. Sensors 2023, 23, 9708. [Google Scholar] [CrossRef] [PubMed]
17. Prey, L.; Hanemann, A.; Ramgraber, L.; Seidl-Schulz, J.; Noack, P.O. UAV-Based Estimation of Grain Yield for Plant Breeding: Applied Strategies for Optimizing the Use of Sensors, Vegetation Indices, Growth Stages, and Machine Learning Algorithms. Remote Sens. 2022, 14, 6345. [Google Scholar] [CrossRef]
18. Liu, S.; Bai, X.; Zhu, G.; Zhang, Y.; Li, L.; Ren, T.; Lu, J. Remote estimation of leaf nitrogen concentration in winter oilseed rape across growth stages and seasons by correcting for the canopy structural effect. Remote Sens. Environ. 2023, 284, 113348. [Google Scholar] [CrossRef]
19. Camenzind, M.P.; Yu, K. Multi temporal multispectral UAV remote sensing allows for yield assessment across European wheat varieties already before flowering. Front. Plant Sci. 2024, 14, 1214931. [Google Scholar] [CrossRef] [PubMed]
20. Zhang, S.; Zhao, G.; Lang, K.; Su, B.; Chen, X.; Xi, X.; Zhang, H. Integrated Satellite, Unmanned Aerial Vehicle (UAV) and Ground Inversion of the SPAD of Winter Wheat in the Reviving Stage. Sensors 2019, 19, 1485. [Google Scholar] [CrossRef]
21. Wan, L.; Cen, H.; Zhu, J.; Zhang, J.; Zhu, Y.; Sun, D.; Du, X.; Zhai, L.; Weng, H.; Li, Y.; et al. Grain yield prediction of rice using multi-temporal UAV-based RGB and multispectral images and model transfer - a case study of small farmlands in the South of China. Agric. For. Meteorol. 2020, 291, 108096. [Google Scholar] [CrossRef]
22. Wang, S.; Tao, S.; Li, Y.; Wang, W. Leaf area index inversion of winter wheat based on UAV multispectral imagery. In Proceedings of the 2023 4th International Conference on Geology, Mapping and Remote Sensing (ICGMRS 2023), Wuhan, China, 14–16 April 2023; Volume 12978. [Google Scholar] [CrossRef]
23. Banerjee, B.P.; Sharma, V.; Spangenberg, G.; Kant, S. Machine Learning Regression Analysis for Estimation of Crop Emergence Using Multispectral UAV Imagery. Remote Sens. 2021, 13, 2918. [Google Scholar] [CrossRef]
24. Furlanetto, J.; Dal Ferro, N.; Caceffo, D.; Morari, F. Mapping hailstorm damage on winter wheat (Triticum aestivum L.) using a microscale UAV hyperspectral approach. Precis. Agric. 2024, 25, 681–703. [Google Scholar] [CrossRef]
25. Ferro, M.V.; Sørensen, C.G.; Catania, P. Comparison of different computer vision methods for vineyard canopy detection using UAV multispectral images. Comput. Electron. Agric. 2024, 225, 109277. [Google Scholar] [CrossRef]
26. Shu, M.; Fei, S.; Zhang, B.; Yang, X.; Guo, Y.; Li, B.; Ma, Y. Application of UAV Multisensor Data and Ensemble Approach for High-Throughput Estimation of Maize Phenotyping Traits. Plant Phenomics 2022, 2022, 9802585. [Google Scholar] [CrossRef]
27. Zhang, S.-H.; He, L.; Duan, J.-Z.; Zang, S.-L.; Yang, T.-C.; Schulthess, U.R.S.; Guo, T.-C.; Wang, C.-Y.; Feng, W. Aboveground wheat biomass estimation from a low-altitude UAV platform based on multimodal remote sensing data fusion with the introduction of terrain factors. Precis. Agric. 2024, 25, 119–145. [Google Scholar] [CrossRef]
28. Yang, Q.; Shi, L.; Han, J.; Chen, Z.; Yu, J. A VI-based phenology adaptation approach for rice crop monitoring using UAV multispectral images. Field Crops Res. 2022, 277, 108419. [Google Scholar] [CrossRef]
29. Heinemann, P.; Haug, S.; Schmidhalter, U. Evaluating and defining agronomically relevant detection limits for spectral reflectance-based assessment of N uptake in wheat. Eur. J. Agron. 2022, 140, 126609. [Google Scholar] [CrossRef]
30. Wang, J.; Lou, Y.; Wang, W.; Liu, S.; Zhang, H.; Hui, X.; Wang, Y.; Yan, H.; Maes, W.H. A robust model for diagnosing water stress of winter wheat by combining UAV multispectral and thermal remote sensing. Agric. Water Manag. 2024, 291, 108616. [Google Scholar] [CrossRef]
31. Qiao, L.; Tang, W.; Gao, D.; Zhao, R.; An, L.; Li, M.; Sun, H.; Song, D. UAV-based chlorophyll content estimation by evaluating vegetation index responses under different crop coverages. Comput. Electron. Agric. 2022, 196, 106775. [Google Scholar] [CrossRef]
32. Fu, Z.; Yu, S.; Zhang, J.; Xi, H.; Gao, Y.; Lu, R.; Zheng, H.; Zhu, Y.; Cao, W.; Liu, X. Combining UAV multispectral imagery and ecological factors to estimate leaf nitrogen and grain protein content of wheat. Eur. J. Agron. 2022, 132, 126405. [Google Scholar] [CrossRef]
33. Zhang, Y.; Han, W.; Niu, X.; Li, G. Maize Crop Coefficient Estimated from UAV-Measured Multispectral Vegetation Indices. Sensors 2019, 19, 5250. [Google Scholar] [CrossRef]
34. Revill, A.; Florence, A.; MacArthur, A.; Hoad, S.; Rees, R.; Williams, M. Quantifying Uncertainty and Bridging the Scaling Gap in the Retrieval of Leaf Area Index by Coupling Sentinel-2 and UAV Observations. Remote Sens. 2020, 12, 1843. [Google Scholar] [CrossRef]
35. Wu, Q.; Zhang, Y.; Zhao, Z.; Xie, M.; Hou, D. Estimation of Relative Chlorophyll Content in Spring Wheat Based on Multi-Temporal UAV Remote Sensing. Agronomy 2023, 13, 211. [Google Scholar] [CrossRef]
36. Su, J.; Liu, C.; Hu, X.; Xu, X.; Guo, L.; Chen, W.-H. Spatio-temporal monitoring of wheat yellow rust using UAV multispectral imagery. Comput. Electron. Agric. 2019, 167, 105035. [Google Scholar] [CrossRef]
37. Wei, L.; Yang, H.; Niu, Y.; Zhang, Y.; Xu, L.; Chai, X. Wheat biomass, yield, and straw-grain ratio estimation from multi-temporal UAV-based RGB and multispectral images. Biosyst. Eng. 2023, 234, 187–205. [Google Scholar] [CrossRef]
38. Zheng, H.; Ma, J.; Zhou, M.; Li, D.; Yao, X.; Cao, W.; Zhu, Y.; Cheng, T. Enhancing the Nitrogen Signals of Rice Canopies across Critical Growth Stages through the Integration of Textural and Spectral Information from Unmanned Aerial Vehicle (UAV) Multispectral Imagery. Remote Sens. 2020, 12, 957. [Google Scholar] [CrossRef]
39. Liu, Y.; Liu, G.; Sun, H.; An, L.; Zhao, R.; Liu, M.; Tang, W.; Li, M.; Yan, X.; Ma, Y.; et al. Exploring multi-features in UAV based optical and thermal infrared images to estimate disease severity of wheat powdery mildew. Comput. Electron. Agric. 2024, 225, 109285. [Google Scholar] [CrossRef]
40. Zhou, H.; Yang, J.; Lou, W.; Sheng, L.; Li, D.; Hu, H. Improving grain yield prediction through fusion of multi-temporal spectral features and agronomic trait parameters derived from UAV imagery. Front. Plant Sci. 2023, 14, 1217448. [Google Scholar] [CrossRef] [PubMed]
41. Lu, R.; Zhang, P.; Fu, Z.; Jiang, J.; Wu, J.; Cao, Q.; Tian, Y.; Zhu, Y.; Cao, W.; Liu, X. Improving the spatial and temporal estimation of ecosystem respiration using multi-source data and machine learning methods in a rainfed winter wheat cropland. Sci. Total Environ. 2023, 871, 161967. [Google Scholar] [CrossRef]
42. Wang, F.; Yang, M.; Ma, L.; Zhang, T.; Qin, W.; Li, W.; Zhang, Y.; Sun, Z.; Wang, Z.; Li, F.; et al. Estimation of Above-Ground Biomass of Winter Wheat Based on Consumer-Grade Multi-Spectral UAV. Remote Sens. 2022, 14, 1251. [Google Scholar] [CrossRef]
43. Sanders, J.T.; Jones, E.A.L.; Minter, A.; Austin, R.; Roberson, G.T.; Richardson, R.J.; Everman, W.J. Remote Sensing for Italian Ryegrass [Lolium perenne L. ssp. multiflorum (Lam.) Husnot] Detection in Winter Wheat (Triticum aestivum L.). Front. Agron. 2021, 3, 687112. [Google Scholar] [CrossRef]
44. Jiang, J.; Atkinson, P.M.; Chen, C.; Cao, Q.; Tian, Y.; Zhu, Y.; Liu, X.; Cao, W. Combining UAV and Sentinel-2 satellite multi-spectral images to diagnose crop growth and N status in winter wheat at the county scale. Field Crops Res. 2023, 294, 108860. [Google Scholar] [CrossRef]
45. Wang, J.; Yin, Q.; Cao, L.; Zhang, Y.; Li, W.; Wang, W.; Zhou, G.; Huo, Z. Enhancing Winter Wheat Soil-Plant Analysis Development Value Prediction through Evaluating Unmanned Aerial Vehicle Flight Altitudes, Predictor Variable Combinations, and Machine Learning Algorithms. Plants 2024, 13, 1926. [Google Scholar] [CrossRef]
46. Li, X.; Su, X.; Li, J.; Anwar, S.; Zhu, X.; Ma, Q.; Wang, W.; Liu, J. Coupling Image-Fusion Techniques with Machine Learning to Enhance Dynamic Monitoring of Nitrogen Content in Winter Wheat from UAV Multi-Source. Agriculture 2024, 14, 1797. [Google Scholar] [CrossRef]
47. Zhang, B.; Chen, Y.; Liu, H.; Wu, Y.; Ye, S.; Yang, N.; Bai, X.; Huang, J.; Xie, P.; Zhang, Z.; et al. Monitoring soil moisture content in the root zone of winter wheat with multi-angle multispectral imagery. Int. J. Remote Sens. 2024, 45, 4692–4709. [Google Scholar] [CrossRef]
48. Wang, W.; Gao, X.; Cheng, Y.; Ren, Y.; Zhang, Z.; Wang, R.; Cao, J.; Geng, H. QTL Mapping of Leaf Area Index and Chlorophyll Content Based on UAV Remote Sensing in Wheat. Agriculture 2022, 12, 595. [Google Scholar] [CrossRef]
49. Zhang, X.; Zhang, K.; Wu, S.; Shi, H.; Sun, Y.; Zhao, Y.; Fu, E.; Chen, S.; Bian, C.; Ban, W. An Investigation of Winter Wheat Leaf Area Index Fitting Model Using Spectral and Canopy Height Model Data from Unmanned Aerial Vehicle Imagery. Remote Sens. 2022, 14, 5087. [Google Scholar] [CrossRef]
50. Yin, Q.; Zhang, Y.; Li, W.; Wang, J.; Wang, W.; Ahmad, I.; Zhou, G.; Huo, Z. Estimation of Winter Wheat SPAD Values Based on UAV Multispectral Remote Sensing. Remote Sens. 2023, 15, 3595. [Google Scholar] [CrossRef]
51. Chen, P.; Wang, F. Effect of crop spectra purification on plant nitrogen concentration estimations performed using high-spatial-resolution images obtained with unmanned aerial vehicles. Field Crops Res. 2022, 288, 108708. [Google Scholar] [CrossRef]
52. Hasan, U.; Sawut, M.; Chen, S. Estimating the Leaf Area Index of Winter Wheat Based on Unmanned Aerial Vehicle RGB-Image Parameters. Sustainability 2019, 11, 6829. [Google Scholar] [CrossRef]
53. Feng, W.; Lan, Y.; Zhao, H.; Tang, Z.; Peng, W.; Che, H.; Zhu, J. Identification of High-Photosynthetic-Efficiency Wheat Varieties Based on Multi-Source Remote Sensing from UAVs. Agronomy 2024, 14, 2389. [Google Scholar] [CrossRef]
54. Su, X.; Nian, Y.; Yue, H.; Zhu, Y.; Li, J.; Wang, W.; Sheng, Y.; Ma, Q.; Liu, J.; Wang, W.; et al. Improving Wheat Leaf Nitrogen Concentration (LNC) Estimation across Multiple Growth Stages Using Feature Combination Indices (FCIs) from UAV Multispectral Imagery. Agronomy 2024, 14, 1052. [Google Scholar] [CrossRef]
Zhang D, Hou L, Lv L, Qi H, Sun H, Zhang X, Li S, Min J, Liu Y, Tang Y, et al. Precision Agriculture: Temporal and Spatial Modeling of Wheat Canopy Spectral Characteristics. Agriculture. 2025; 15(3):326. https://doi.org/10.3390/agriculture15030326
Перевод статьи «Precision Agriculture: Temporal and Spatial Modeling of Wheat Canopy Spectral Characteristics» авторов Zhang D, Hou L, Lv L, Qi H, Sun H, Zhang X, Li S, Min J, Liu Y, Tang Y, et al., оригинал доступен по ссылке. Лицензия: CC BY. Изменения: переведено на русский язык
Фото: freepik


















Комментарии (0)