Зачем вносить уголь на поле с люцерной? Результаты трехлетнего эксперимента
В системах искусственных пастбищ широкое применение неорганических азотных удобрений значительно повысило продуктивность травостоя, однако также привело к серьезным экологическим проблемам. Совместное использование биоугля и азотных удобрений признано эффективным и устойчивым подходом, позволяющим снизить экологические риски и одновременно увеличить урожайность. Тем не менее, конкретное влияние биоугля и азота на урожайность люцерны, свойства почвы и морфологию корневой системы остается недостаточно изученным. В данном исследовании рассматривалось воздействие трех доз внесения биоугля (0, 10, 20 т/га) и четырех уровней азотного питания (0, 47, 94, 188 кг N/га в год) на рост люцерны и характеристики почвы.
Аннотация
Результаты показали, что биоуголь существенно стимулировал развитие корневой системы и повышал содержание осморегулирующих веществ. Увеличение корневой биомассы достигалось за счет роста числа корневых клубеньков, образования корневых шеек и увеличения их диаметра, тогда как внесение азота снижало количество клубеньков. Применение биоугля и азота уменьшило плотность почвы на 0,8–10,5%, при этом биоуголь дополнительно повышал содержание доступного фосфора и калия. Кроме того, их совместное использование значительно увеличило концентрацию нитратов и аммония в почве. В целом, синергизм биоугля и азотных удобрений повышает урожайность люцерны за счет улучшения роста корней и плодородия почвы.
1. Введение
В последние десятилетия растущий спрос на продукцию растениеводства и животноводства является одной из главных проблем, стоящих перед Китаем [1,2,3]. Чтобы ответить на этот вызов, часто увеличивают урожайность с единицы площади за счет внесения чрезмерных доз удобрений (особенно неорганических азотных удобрений), что значительно повышает урожайность сельскохозяйственных культур и продуктивность животноводства, но одновременно приводит к экологическим проблемам [4,5]. Биоуголь — богатый углеродом материал, получаемый в результате пиролиза органического вещества [6,7,8,9], который способен изменять химические и физические свойства почвы, снижать вымывание азота, повышать эффективность использования азота и продуктивность почвы [10,11,12,13]. Сочетание биоугля и азота в настоящее время рассматривается как эффективный и устойчивый подход к снижению воздействия на окружающую среду при одновременном повышении плодородия почвы и урожайности сельскохозяйственных культур [14,15].
Биоуголь может способствовать поглощению питательных веществ, повышать устойчивость и увеличивать продуктивность сельскохозяйственных культур за счет улучшения состояния корневых систем, регуляции морфологии корней и повышения содержания осморегулирующих веществ [11,16,17,18]. Однако влияние биоугля на рост корней и побегов растений сильно зависит от уровня питательных веществ в почве, в частности азота [19,20]. Предыдущее исследование показало, что урожайность сельскохозяйственных культур положительно коррелирует с количеством внесенного биоугля в богатых питательными веществами почвах, тогда как в малоплодородных почвах такой значимой взаимосвязи не наблюдается [21]. Кроме того, некоторые исследования подчеркивают, что биоуголь может значительно улучшать морфологию корней растений, снижать вымывание азота из почвы, повышать эффективность использования азота корнями и, таким образом, увеличивать урожайность культур как на бедных, так и на богатых азотом почвах [22,23]. Таким образом, изучение эффектов биоугля при различных уровнях внесения азотных удобрений является ключевым для понимания того, как он способствует оптимизации использования почвенных питательных веществ и улучшению продуктивности сельскохозяйственных культур.
С 2012 года индустрия искусственных пастбищ в Китае быстро развивается благодаря реализации таких важных программных мер, как возрождение молочной промышленности и программа «Зерно на корм», в частности, в отношении люцерны (Medicago sativa L.) [24,25]. К концу 2020 года площадь искусственных пастбищ в провинции Ганьсу превысила 2 миллиона гектаров. Для достижения высокой урожайности в искусственные пастбища вносилось большое количество азотных удобрений, при этом устойчивость пастбищной экосистемы игнорировалась [26,27,28,29]. Для искусственных пастбищ противоречие между высокими дозами азотных удобрений и охраной окружающей среды по-прежнему остается научной проблемой, требующей безотлагательного решения [30]. Многочисленные исследования продемонстрировали, что внесение биоугля и азота существенно влияет на урожайность сельскохозяйственных культур и содержание органического углерода в почве [31,32,33,34,35]. Одновременно это способствует улучшению круговорота питательных веществ, расширению емкости питательных веществ, снижению их потерь и, следовательно, повышению плодородия почвы [36,37,38]. Добавление биоугля и азота может влиять на урожайность сельскохозяйственных культур за счет улучшения роста корней, включая длину корней [39], диаметр корней [40], плотность корневых тканей [41], ризобии [42,43] и биомассу корней [18]. Поскольку люцерна является азотфиксирующим бобовым растением, широко используемым при закладке искусственных пастбищ, понимание того, как внесение биоугля и азота влияет на свойства почвы, морфологию корней, рост, урожайность и качество люцерны, остается ограниченным.
Для решения этих проблем в данном исследовании изучалось влияние биоугля и азота на рост стеблей и корней люцерны, морфологию корней, осморегулирующие вещества в корнях, свойства почвы, а также на урожайность и качество люцерны в северо-западном Китае. Были выдвинуты следующие гипотезы: (a) Внесение 10 т/га биоугля в сочетании с 94 кг N/га в год может быть оптимальной дозировкой для максимизации урожайности люцерны. (b) Добавление биоугля и азота может улучшить структуру корней и увеличить содержание осморегулирующих веществ, тем самым влияя на урожайность люцерны. (c) Внесение биоугля может снизить плотность почвы и повысить уровень питательных веществ в почве, что в конечном итоге увеличит продуктивность люцерны.
2. Материалы и методы
2.1. Место проведения эксперимента
Полевой эксперимент был проведен на научно-исследовательской базе культурных пастбищ ООО «Яшэн Агрикалчерл Рисерч Инститьют» в городе Цзюцюань, провинция Ганьсу, Китай (40°24′ с.ш., 98°64′ в.д.). Этот регион характеризуется умеренным континентальным пустынным климатом со среднегодовой температурой 8,3 °C, количеством осадков 59,9 мм и испарением, достигающим 2538 мм в год. Вегетационный период длится с апреля по ноябрь. Согласно таксономии почв USDA, почва классифицируется как супесчаная. Предпосевной анализ почвы показал плотность сложения 1,63 г см⁻³, содержание глины — 6,72% (<0,002 мм), ила — 25,14% (0,002–0,05 мм) и песка — 68,17% (>0,05 мм). Электропроводность почвы составляла 1,74 мСм см⁻¹, pH — 7,8, содержание органического углерода — 11,18 г кг⁻¹. Уровни щелочногидролизуемого азота, доступного фосфора и доступного калия составляли 43,60 мг кг⁻¹, 12,90 мг кг⁻¹ и 74,15 мг кг⁻¹ соответственно.
2.2. Схема эксперимента и полевые работы
В полевом опыте использовали метод расщепленных делянок, где уровни азота были главными делянками, а дозы внесения биоугля — субделянками. Применяли четыре уровня азотного питания: N0 (0 кг N/га в год), N1 (47 кг N/га в год), N2 (94 кг N/га в год) и N3 (188 кг N/га в год). Были включены три дозы биоугля: B0 (0 т/га), B1 (10 т/га) и B2 (20 т/га). Каждый вариант имел трехкратную повторность, в результате чего общее количество делянок составило 36. Каждая делянка площадью 28,26 м², соответствующей 3-метровому радиусу действия дождевальной системы, была заложена в апреле 2021 года. Для предотвращения обмена водой и удобрениями между соседними делянками на глубину 120 см были установлены ПВХ-плиты с 1,0-метровой буферной зоной между делянками.
Экспериментальное поле не возделывалось в течение 3 лет; до этого оно было занято люцерной. Биоуголь, использованный в эксперименте, был получен из кукурузной соломы путем пиролиза при 450 °C и произведен компанией «Суйхуа Чаркол Паудер Текнолоджи Ко., ЛТД» (Суйхуа, Хэйлунцзян, Китай). Он содержал 55,31% общего C, 1,35% N, 0,24% P и 1,18% K, pH составлял 9,46. В апреле 2022 года биоуголь был однократно внесен на поверхность почвы каждой делянки перед посевом люцерны и заделан в почву вспашкой на глубину приблизительно 30 см. После полного растворения удобрения в воде оно равномерно распылялось на поверхность люцерны с помощью ирригационной системы. Азотное удобрение (мочевина, 46% N) вносили в дозе 20% в качестве основного удобрения, остальные 80% были разделены на шесть подкормок в 2022 году и восемь подкормок в 2023 году (дважды за укос) в ранний и средний периоды вегетации люцерны. Фосфорное удобрение (суперфосфат, 16% P₂O₅) вносили в дозе 97,5 кг P₂O₅ на гектар, при этом 75% — в качестве основного удобрения и 25% — в период раннего роста. Калийное удобрение (сульфат калия, 52% K₂O) вносили в дозе 150 кг K₂O на гектар, 40% — в качестве основного удобрения и 60% — во время последнего укоса. Остальные агротехнические мероприятия соответствовали стандартным местным методам производства.
2.3. Отбор проб и измерения
В каждый срок укоса в 2022 и 2023 годах растения люцерны вручную убирали с трех случайно выбранных на каждой делянке площадок размером 0,25 м² [44,45]. Собранные растения разделяли на листья и стебли, сушили при 80 °C, взвешивали, тонко измельчали и просеивали для анализа. Измеряли содержание сырого протеина (СП = содержание N × 6,25), кислотно-детергентной клетчатки и нейтрально-детергентной клетчатки. СП анализировали с использованием автоматического прибора Кьельдаля (KjeltecTM8400) [46], в то время как КДК [47] и НДК [48] определяли с помощью полуавтоматического анализатора клетчатки (F800) по методу Ван Соеста. Относительную кормовую ценность рассчитывали по соответствующим уравнениям:
ПСВ (потребление сухого вещества) = 120 / НДК (1)
ППСВ (переваримость сухого вещества) = 88,9 − 0,799 × КДК (2)
ОКЦ = (ПСВ × ППСВ) / 1,29 (3)
После завершающего укоса люцерны в начале октября 2022 и 2023 годов образцы корней отбирали с каждой субделянки с использованием почвенного монолита размером 0,5 × 0,5 × 1,0 м. Все видимые корни внутри почвенного монолита тщательно извлекали и отмывали от почвы. Затем свежие корневые образцы анализировали для определения длины корней, диаметра корневой шейки, количества почек на корневой шейке и числа клубеньков. После этого измеренные корни люцерны равномерно разделяли на две части: одну использовали для расчета биомассы корней после высушивания до постоянной массы при 80 °C, другую — для определения осморегулирующих веществ в корнях [49].
После завершающего укоса люцерны в 2022 и 2023 годах с каждой делянки отбирали три почвенных образца (с глубины 0–20 см) и объединяли их в один смешанный образец. Часть почвы замораживали при -20 °C для анализа доступного азота, оставшуюся почву воздушно-сушили для других измерений. Плотность почвы определяли с помощью цилиндров объемом 100 см³ [50]. pH и электропроводность почвы измеряли потенциометрическим методом при соотношении почва:вода 1:2,5 и 1:5 соответственно [51,52]. Доступный фосфор анализировали методом Ольсена, а доступный калий измеряли с помощью пламенного фотометра (XP, BWB Technologies, Хит, Техас, США) [53,54]. Содержание NO₃⁻-N и NH₄⁺-N определяли с использованием проточно-инжекционного анализатора [44].
2.4. Статистический анализ
Влияние обработок биоуглем и азотом на урожайность люцерны, показатели морфологии корней, осморегулирующие вещества корней и физико-химические свойства почвы анализировали с использованием многофакторного дисперсионного анализа. Эффекты взаимодействия между биоуглем и азотом оценивали с помощью двухфакторного дисперсионного анализа. Статистический анализ, включая дисперсионный анализ и множественные ранговые тесты Дункана, проводили при уровне значимости p = 0,05 с использованием SPSS v. 20.0 (IBM Corp, Армонк, Нью-Йорк, США).
3. Результаты
3.1. Урожайность люцерны и распределение биомассы
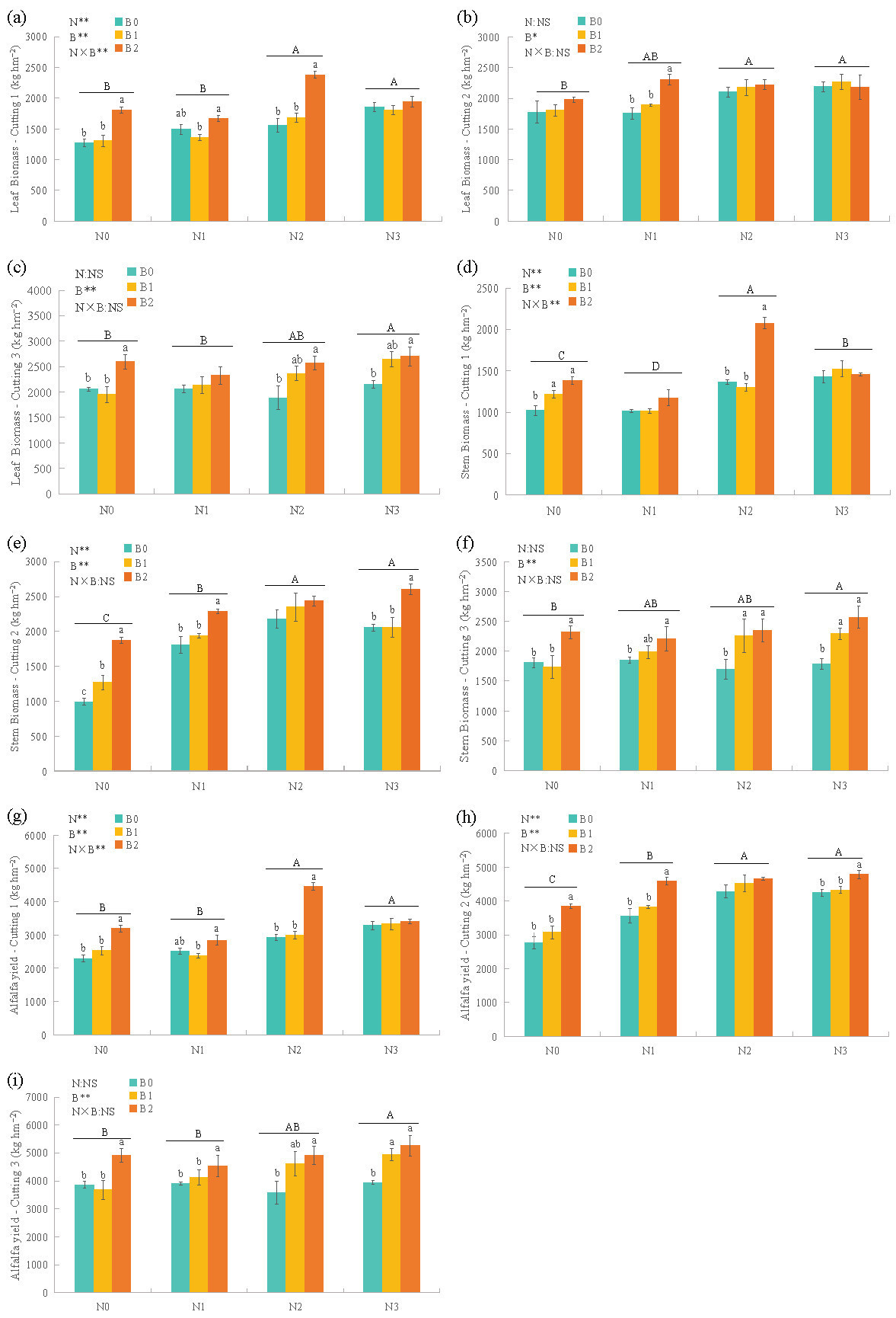
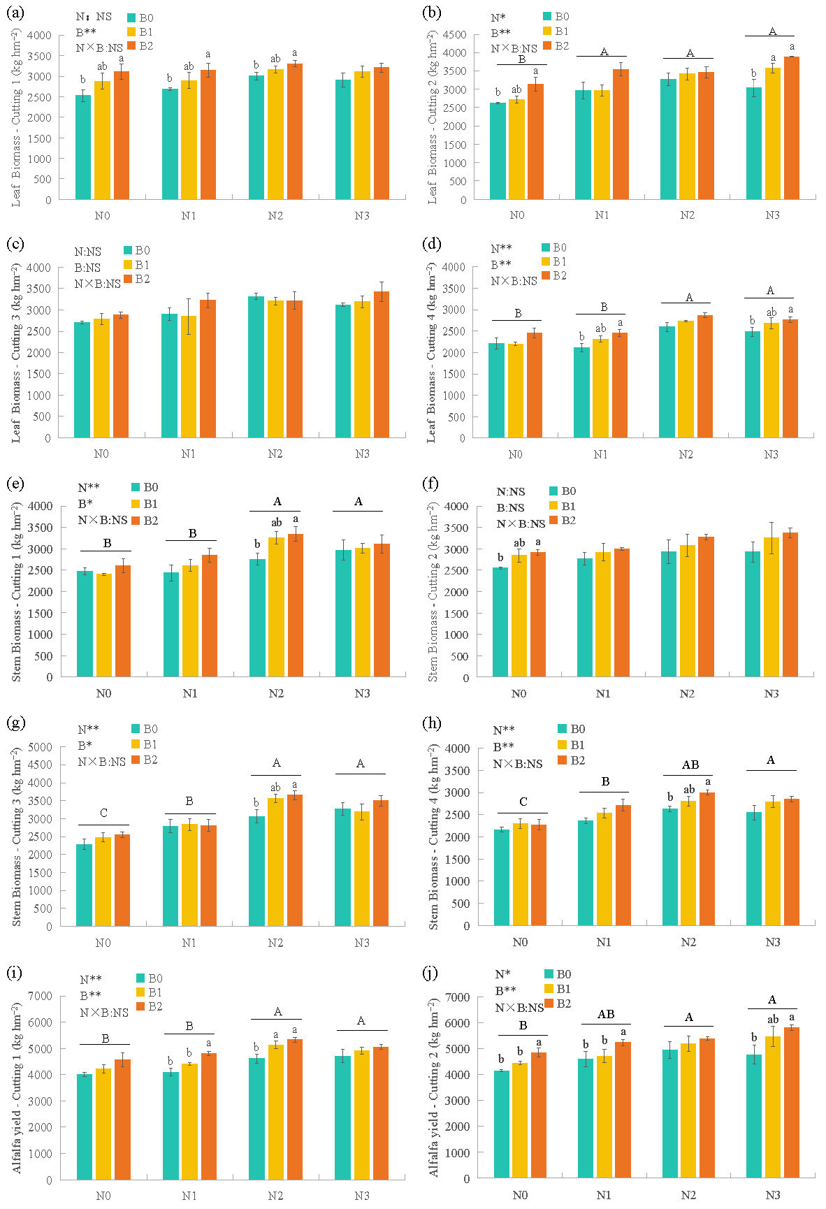
Дисперсионный анализ показал значительное влияние обработки биоуглем, содержания азота и взаимодействия биоугля и азота на люцерну в 2022 и 2023 годах (Рисунок 1 и Рисунок 2). Биомасса листьев заметно увеличивалась при более высоких дозах внесения азота в 2022 году, при этом варианты N2 и N3 показали значительно более высокие значения по сравнению с N0 (Рисунок 1). Биомасса листьев возрастала с увеличением дозы азота и достигла значительного уровня на укосах 2 и 4 в 2023 году (Рисунок 2). С увеличением дозы биоугля биомасса листьев проявляла тенденцию к росту, и максимальная биомасса была обнаружена в варианте B2 (Рисунок 1 и Рисунок 2). Биомасса стеблей была значительно выше в вариантах N2 и N3 по сравнению с N0, хотя значимых различий между N2 и N3 не наблюдалось. Наблюдалась положительная корреляция между биомассой стеблей и количеством внесенного биоугля, причем биомасса стеблей в варианте B2 была выше, чем в B1 и B0. Общая урожайность люцерны в оба года увеличивалась с повышением доз внесения азота, при этом варианты N2 и N3 давали значительно больше, чем N0, хотя различия между соседними вариантами (например, N0 и N1, N2 и N3) не были значимыми. Кроме того, внесение биоугля значительно повышало урожайность люцерны на всех укосах в оба года, при этом прирост урожайности следовал порядку B2 > B1 > B0 (Рисунок 1 и Рисунок 2). Таким образом, результаты свидетельствуют, что оптимальная урожайность люцерны может быть достигнута при внесении 94 кг N/га в год и 10 т/га биоугля.
Рисунок 1. Влияние внесения биоугля и различных уровней N на биомассу листьев (a–c), биомассу стеблей (d–f) и общую урожайность люцерны (g–i) на разные укосы в 2022 году. B0, B1 и B2 обозначают уровни внесения биоугля 0, 10 и 20 т/га. N0, N1, N2 и N3 обозначают уровни внесения азота 0, 47, 94 и 188 кг N/га в год. Разные строчные буквы указывают на значительные различия между обработками биоуглем при одном и том же уровне азота, а разные заглавные буквы представляют значительные различия между обработками азотом. Планки погрешностей показывают стандартную ошибку среднего. NS, и обозначают p > 0,05, p < 0,05 и p < 0,01 соответственно.
Рисунок 2. Влияние внесения биоугля и различных уровней N на биомассу листьев (a–d), биомассу стеблей (e–h) и общую урожайность люцерны (i–l) на разные укосы в 2023 году. B0, B1 и B2 обозначают уровни внесения биоугля 0, 10 и 20 т/га. N0, N1, N2 и N3 обозначают уровни внесения азота 0, 47, 94 и 188 кг N/га в год. Разные строчные буквы указывают на значительные различия между обработками биоуглем при одном и том же уровне азота, а разные заглавные буквы представляют значительные различия между обработками азотом. Планки погрешностей показывают стандартную ошибку среднего. NS, и обозначают p > 0,05, p < 0,05 и p < 0,01 соответственно.
3.2. Качество люцерны
В 2022 году повышение уровней азота не показало значительной разницы в содержании СП между N0 и другими обработками азотом. Содержание СП в варианте N0 снижалось с увеличением дозы биоугля, тогда как в других обработках азотом содержание СП оставалось неизменным при добавлении биоугля. В 2023 году внесение азота значительно увеличило содержание СП в люцерне, при этом под действием биоугля в варианте N1 наблюдалось B2 > B1 = B0, тогда как различия в содержании СП при других уровнях азота были незначимыми (Таблица 1).
Таблица 1. Содержание сырого протеина в люцерне под влиянием различных уровней биоугля и N.
В первый год ни биоуголь, ни азот не оказали значительного влияния на содержание КДК в люцерне. Однако на второй год биоуголь значительно снизил содержание КДК при уровнях N0 и N1, тогда как при более высоких уровнях азота (N2 и N3) биоуголь не оказал значимого эффекта (Таблица 2). Что касается НДК, внесение азота в 2022 году снизило ее содержание, а добавление биоугля в рамках одной и той же обработки азотом не оказало значимого эффекта. В 2023 году содержание КДК сначала увеличивалось, а затем снижалось с повышением уровня азота, за исключением варианта B2, в то время как содержание НДК следовало тенденции B0 > B1 > B2 с увеличением дозы биоугля (Таблица 3).
Таблица 2. Содержание кислотно-детергентной клетчатки в люцерне под влиянием различных уровней биоугля и N.
Таблица 3. Содержание нейтрально-детергентной клетчатки в люцерне под влиянием различных уровней биоугля и N.
Для уровней биоугля B0 и B1 обработки азотом не показали значительных различий в ОКЦ. В 2022 году ОКЦ значительно увеличилась (на 6,18–16,29%) при внесении азота в варианте B2, в то время как содержание биоугля не оказало значимого влияния на другие обработки азотом. При одном и том же уровне биоугля ОКЦ для B0 и B1 сначала снижалась, а затем увеличивалась с повышением дозы азота. В 2023 году при одинаковом уровне азота ОКЦ в вариантах N1 и N2 значительно увеличивалась с повышением доз биоугля (Таблица 4). Таким образом, результаты свидетельствуют, что биоуголь и N влияли на качество люцерны, однако между годами наблюдались различия.
Таблица 4. Относительная кормовая ценность люцерны под влиянием различных уровней биоугля и N.
3.3. Характеристики корней
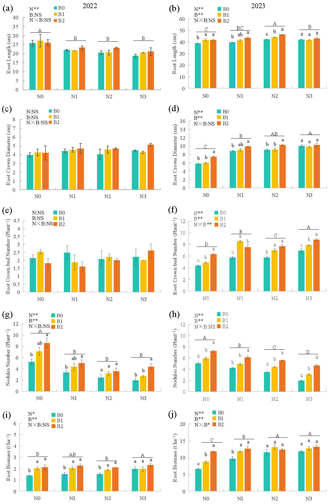
Как внесение N, так и биоугля существенно влияло на характеристики корней в течение двух последовательных лет, хотя реакция варьировала между годами (Рисунок 3). Длина корней стабильно увеличивалась с добавлением биоугля, достигая пика при 20 т/га (Рисунок 3a,b). В 2022 году диаметр корневой шейки не показал значительных изменений при добавлении азота или биоугля, однако в 2023 году наблюдалась значимая положительная корреляция (Рисунок 3c,d). Аналогично, количество почек на корневой шейке оставалось без изменений в первый год, но значительно увеличилось в 2023 году при внесении биоугля и азота (Рисунок 3e,f). Азотное удобрение значительно снизило количество клубеньков, в то время как добавление биоугля значительно его увеличило в оба года (Рисунок 3g,h). В целом, как внесение биоугля, так и азота значительно повысило биомассу корней за два года (Рисунок 3i,j). Результаты показали, что биоуголь и N способны улучшать рост корней и их морфологию.
Рисунок 3. Влияние внесения биоугля и различных уровней N на длину корней (a,b), диаметр корневой шейки (c,d), количество почек на корневой шейке (e,f), количество клубеньков (g,h) и биомассу корней (i,j) в 2022 и 2023 годах. B0, B1 и B2 обозначают уровни внесения биоугля 0, 10 и 20 т/га. N0, N1, N2 и N3 обозначают уровни внесения азота 0, 47, 94 и 188 кг N/га в год. Разные строчные буквы указывают на значительные различия между обработками биоуглем при одном и том же уровне азота, а разные заглавные буквы представляют значительные различия между обработками азотом. Планки погрешностей показывают стандартную ошибку среднего. NS, и обозначают p > 0,05, p < 0,05 и p < 0,01 соответственно.
3.4. Осморегулирующие вещества корней
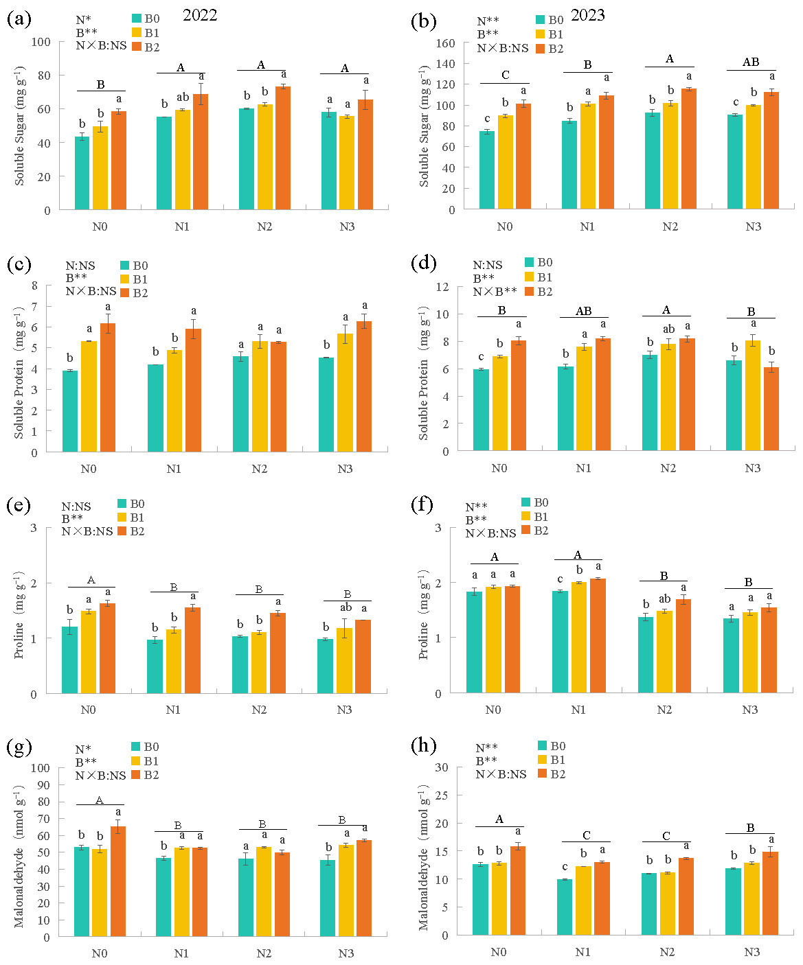
Эффекты биоугля и азота на осморегулирующие вещества корней различались (Рисунок 4). Обе обработки значительно увеличили содержание растворимого сахара в корнях люцерны. Содержание растворимого белка в корнях люцерны положительно коррелировало с количеством внесенного биоугля, но не с количеством внесенного азота. В отличие от растворимого сахара и белка, содержание малонового диальдегида и пролина в корнях снижалось с увеличением дозы азотного удобрения, в то время как возрастало с увеличением добавления биоугля. Результаты показали, что биоуголь и N значительно увеличивают содержание осморегулирующих веществ в корнях.
Рисунок 4. Влияние внесения биоугля и различных уровней N на содержание растворимого сахара (a,b), растворимого белка (c,d), пролина (e,f) и малонового диальдегида (g,h) в 2022 и 2023 годах. B0, B1 и B2 обозначают уровни внесения биоугля 0, 10 и 20 т/га. N0, N1, N2 и N3 обозначают уровни внесения азота 0, 47, 94 и 188 кг N/га в год. Разные строчные буквы указывают на значительные различия между обработками биоуглем при одном и том же уровне азота, а разные заглавные буквы представляют значительные различия между обработками азотом. Планки погрешностей показывают стандартную ошибку среднего. NS, и обозначают p > 0,05, p < 0,05 и p < 0,01 соответственно.
3.5. Физико-химические свойства почвы
В 2022 и 2023 годах внесение биоугля значительно снизило плотность почвы, тогда как азотное удобрение не оказало заметного влияния (Рисунок 5a,b). pH почвы следовал закономерности B2 > B1 > B0 при добавлении биоугля. В 2022 году pH в варианте N2 был значительно ниже, чем в других вариантах с азотом, в то время как в 2023 году самый низкий pH наблюдался в варианте N3 (Рисунок 5c,d).
Рисунок 5. Влияние биоугля и уровней N на плотность сложения (a,b) и pH (c,d) в 2022 и 2023 годах. B0, B1 и B2 обозначают уровни внесения биоугля 0, 10 и 20 т/га. N0, N1, N2 и N3 обозначают уровни внесения азота 0, 47, 94 и 188 кг N/га в год. Разные строчные буквы указывают на значительные различия между обработками биоуглем при одном и том же уровне азота, а разные заглавные буквы представляют значительные различия между обработками азотом. Планки погрешностей показывают стандартную ошибку среднего. NS, и обозначают p > 0,05, p < 0,05 и p < 0,01 соответственно.
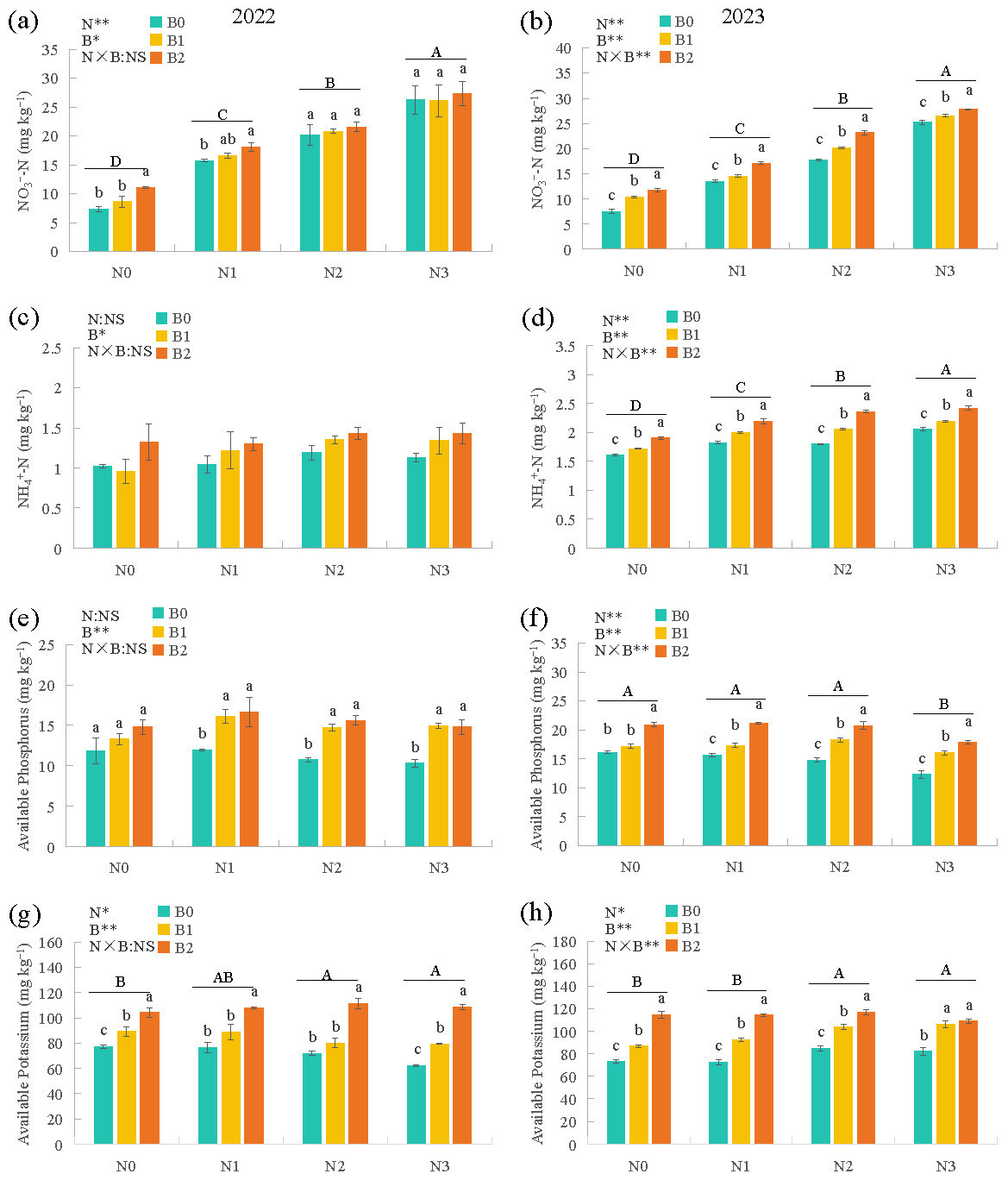
В 2022 году содержание NO₃⁻-N значительно увеличилось в вариантах N0 и N1 после добавления биоугля, в то время как в вариантах N2 и N3 значительного увеличения не наблюдалось (Рисунок 6). В 2023 году значение NO₃⁻-N при добавлении биоугля в каждой обработке азотным удобрением значительно возросло. Внесение азотного удобрения значительно увеличило содержание NO₃⁻-N в почве. По сравнению с N0, среднее содержание NO₃⁻-N увеличилось на 46,5%, 56,8%, 66,2% и 34,3%, 51,5%, 62,7% в 2022 и 2023 годах соответственно при различных обработках азотом. В 2023 году содержание NH₄⁺-N увеличилось благодаря добавлению азота и биоугля, однако в 2022 году значимой корреляции между содержанием NH₄⁺-N и азотом и биоуглем не наблюдалось. Содержание доступного фосфора и доступного калия в почве под люцерной значительно увеличилось после добавления биоугля. Азот не оказал значимого влияния на доступный фосфор в 2022 году, а в 2023 году содержание доступного фосфора в варианте N3 снизилось на 17% по сравнению с N0. Добавление азотного удобрения увеличило содержание доступного калия в почве, причем с увеличением дозы азотного удобрения доступный калий соответствовал N3 = N2 > N1 = N0. Эти результаты показывают, что на плотность почвы и уровень питательных веществ в почве влияют дозы внесения биоугля и азота.
Рисунок 6. Влияние биоугля и уровня N на содержание NO₃⁻-N (a,b), NH₄⁺-N (c,d), доступного фосфора (e,f) и доступного калия (g,h) в 2022 и 2023 годах. B0, B1 и B2 обозначают уровни внесения биоугля 0, 10 и 20 т/га. N0, N1, N2 и N3 обозначают уровни внесения азота 0, 47, 94 и 188 кг N/га в год. Разные строчные буквы указывают на значительные различия между обработками биоуглем при одном и том же уровне азота, а разные заглавные буквы представляют значительные различия между обработками азотом. Планки погрешностей показывают стандартную ошибку среднего. NS, и обозначают p > 0,05, p < 0,05 и p < 0,01 соответственно.
3.6. Корреляция между урожайностью, качеством люцерны, характеристиками корней, осморегулирующими веществами корней и физико-химическими параметрами почвы
На Рисунке 7 показаны взаимосвязи между урожайностью, качеством люцерны, характеристиками корней, осморегулирующими веществами корней и физико-химическими параметрами почвы. Результаты показали, что урожайность люцерны положительно коррелировала с биомассой листьев, биомассой стеблей, КДК, НДК, длиной корней, диаметром корневой шейки, количеством почек на корневой шейке, содержанием растворимого сахара и химическими свойствами почвы. Напротив, наблюдались отрицательные корреляции с ОКЦ, содержанием растворимого белка, плотностью сложения и малоновым диальдегидом. Кроме того, ОКЦ показала отрицательные корреляции с урожайностью, биомассой листьев и стеблей, КДК, НДК, длиной корней, диаметром корневой шейки, количеством почек на корневой шейке, содержанием растворимого сахара и NH₄⁺-N, но положительные корреляции с содержанием растворимого белка и малоновым диальдегидом. Биомасса корней показала положительные корреляции с урожайностью, доступным калием и NO₃⁻-N, но отрицательные корреляции с плотностью сложения.
Рисунок 7. Корреляционный анализ Пирсона между урожайностью, качеством люцерны, характеристиками корней, осморегулирующими веществами корней и физико-химическими параметрами почвы. Leaf — биомасса листьев; Stem — биомасса стеблей; CP — сырой протеин; ADF — кислотно-детергентная клетчатка; NDF — нейтрально-детергентная клетчатка; RFV — относительная кормовая ценность; RL — длина корней; RCD — диаметр корневой шейки; RCBN — количество почек на корневой шейке; NN — количество клубеньков; RB — биомасса корней; SS — растворимый сахар; SP — растворимый белок; BD — плотность сложения; NO₃⁻-N — нитратный азот; NH₄⁺-N — аммонийный азот; AP — доступный фосфор; AK — доступный калий. , и обозначают p < 0,05, p < 0,01 и p < 0,001 соответственно.
4. Обсуждение
4.1. Влияние биоугля и азота на морфологию корней люцерны
Корни растений играют ключевую роль в росте растений, влияя на надземную биомассу посредством поглощения питательных веществ и воды из почвы. Биоуголь может улучшать рост и морфологию корней, повышая продуктивность растений, особенно в сочетании с удобрениями [11,55,56,57,58]. Данное исследование показало, что при низких уровнях азота (≤94 кг N/га в год) добавление биоугля значительно увеличило длину корней, диаметр корневой шейки, количество почек на корневой шейке в 2023 году, а также количество клубеньков и биомассу корней в 2022 и 2023 годах. Однако при высоких уровнях азота (>94 кг N/га в год) биоуголь значительно увеличил количество клубеньков и почек на корневой шейке в 2023 году, но не оказал значимого влияния на биомассу корней или урожайность люцерны. Более высокая норма удобрений не увеличивает ни биомассу корней, ни урожайность люцерны. Добавление азота значительно увеличило биомассу корней, в то время как добавление биоугля способно повысить коэффициент использования азота, снизить количество азотного удобрения и сохранить более высокую биомассу [59]. Другая причина заключается в том, что в плодородной почве корни сельскохозяйственных культур, достигнув определенного уровня развития, стремятся поставлять больше питательных веществ для надземного роста. В этом исследовании длина корней люцерны на первый и второй год превышала 20 см и 40 см соответственно. Добавление азотного удобрения могло дополнительно стимулировать рост надземных частей [60]. Кроме того, количество почек на корневой шейке и диаметр корневой шейки варьировали от года к году после добавления биоугля и азота, что может быть связано с особо стабильной структурой биоугля, период полураспада которого в почве может достигать нескольких десятилетий [6], а эффекты биоугля и азотного удобрения на почву и урожайность сельскохозяйственных культур могут иметь кумулятивный характер. Как бобовое растение, люцерна отличается по своим азотным питательным свойствам от других неазотфиксирующих культур. Ее корни вступают в симбиоз с ризобиями, преобразуя атмосферный азот в органический, что существенно влияет на накопление азота и урожайность [61]. Внесение азота влияет на развитие корней и клубеньков, инфицирование ризобиями и азотфиксирующую способность клубеньков [62]. Исследования показали, что соответствующее количество азотного удобрения способствует образованию и росту клубеньков, усиливая азотфиксацию, в то время как избыточный азот подавляет образование клубеньков — результаты, согласующиеся с данным исследованием [63,64]. Внесение азота подавляет развитие примордиев клубеньков и рост самих клубеньков [62,65], в то время как увеличение количества органического удобрения может увеличить количество корневых клубеньков и их сырую массу за счет улучшения фотосинтеза сельскохозяйственных культур и, таким образом, повышения эффективности использования азота корнями [61]. Наше исследование показало, что добавление биоугля значительно увеличило содержание растворимого сахара, растворимого белка, пролина и малонового диальдегида в корнях люцерны при различных уровнях азотных удобрений. Внесение биоугля повысило содержание осморегулирующих веществ в корнях растений, улучшив их способность противостоять холоду и засухе, а также улучшило способность к перезимовке и урожайность люцерны следующего года за счет увеличения количества корневых почек [49,66]. Внесение азота снизило содержание малонового диальдегида и пролина в корнях люцерны, тем самым уменьшая стрессоустойчивость, в то время как добавление биоугля увеличило содержание осморегулирующих веществ в корнях люцерны. Слишком высокое плодородие почвы может привести к тому, что сельскохозяйственные культуры не смогут выжить в неблагоприятных условиях окружающей среды, таких как засуха, холод, поскольку люцерна не пригодна для перезимовки, и внесение биоугля может смягчить это явление. Таким образом, внесение биоугля рассматривается как важный агротехнический прием для повышения активности корней, увеличения устойчивости к стрессам и повышения урожайности сельскохозяйственных культур.
4.2. Влияние биоугля и азота на физико-химические свойства почвы
Растущее количество доказательств свидетельствует о том, что внесение биоугля и азота повышает продуктивность сельскохозяйственных культур за счет улучшения физических свойств и плодородия почвы [67,68,69]. В этом исследовании биоуголь значительно снизил плотность почвы, тогда как азот не оказал заметного влияния. Низкая плотность, пористая структура и большая площадь поверхности биоугля снижают плотность почвы, увеличивают влагоемкость в легких почвах и способствуют росту корней за счет снижения механического сопротивления [6,70,71,72]. Как биоуголь, так и азот улучшили плодородие почвы [73]. Биоуголь также повысил pH почвы, что согласуется с предыдущими исследованиями [74,75]. Оптимальный pH для роста люцерны составляет 6,5–7,5, и влияние биоугля на pH улучшает содержание органического углерода, обменных катионов и поглощение питательных веществ корнями [76]. Совместное внесение биоугля и азотных удобрений значительно увеличило доступность NO₃⁻-N, NH₄⁺-N, калия и фосфора в почве. Это может быть связано с высокой удельной поверхностью биоугля, отрицательным поверхностным зарядом и повышением емкости катионного обмена почвы, что снижает вымывание нитратов и улучшает адсорбцию аммония [11]. Биоуголь способствует росту биомассы корней, особенно в более глубоких слоях почвы, облегчая поглощение нитратов. Аммоний легко адсорбируется отрицательно заряженными глинистыми минералами, и превосходная ЕКО биоугля усиливает удержание аммония [77]. Кроме того, биоуголь содержит высокие уровни питательных веществ, особенно фосфора и калия, а его функциональные группы адсорбируют ионы питательных веществ, увеличивая содержание доступного фосфора и доступного калия в почве для поддержки роста корней и урожайности [78]. Структура биоугля улучшает воздухопроницаемость почвы, водоудерживающую способность и круговорот углерода, создавая благоприятную среду для почвенных микроорганизмов и ускоряя круговорот питательных веществ [12,79,80]. Эти свойства улучшают снабжение почвы питательными веществами, способствуя улучшению роста и продуктивности сельскохозяйственных культур.
4.3. Влияние биоугля и азота на урожайность люцерны
Как биоуголь, так и азотные удобрения значительно повысили продуктивность люцерны в 2022 и 2023 годах. Внесение азота заметно увеличило биомассу стеблей и листьев, в то время как биоуголь дополнительно повысил урожайность. Однако при нормах азота, превышающих 94 кг N/га в год, азот не оказал дополнительного влияния на урожайность люцерны. Не наблюдалось значительной разницы в урожайности между вариантами N2 (94 кг N/га в год) и N3 (188 кг N/га в год), но оба варианта превзошли N0 и N1. Азотное удобрение изменило пул питательных веществ в почве, способствовало поглощению азота корнями и повышению урожайности, хотя постоянное внесение снизило соотношение C:N в почве и растениях, потенциально ограничивая рост из-за углеродных ограничений [44,81]. Биоуголь улучшил соотношение C:N, повысил эффективность использования азота и дополнительно увеличил урожайность люцерны. В этом исследовании добавление биоугля значительно повысило урожайность при низких уровнях азота (<94 кг N/га в год) по схеме B2 > B1 > B0, тогда как при более высоких уровнях азота (>94 кг N/га в год) не наблюдалось значительной разницы в урожайности между B1 (10 т/га) и B2 (20 т/га). Предыдущие исследования показали, что биоуголь улучшает удержание азота в почве и снижает потребность в удобрениях: 15 т/га биоугля снижают внесение азота на 20–40% [59], а 24 т/га биоугля при самостоятельном внесении поддерживают высокую урожайность сои [58,82]. В данном исследовании было установлено, что максимальная урожайность люцерны достигается при сочетании 10 т/га биоугля с 94 кг N/га азота. Азотное удобрение увеличило содержание СП в люцерне в 2023 году и в варианте B2 (20 т/га) в 2022 году, а также повысило ОКЦ за счет снижения содержания НДК. Это может быть результатом исходно низкого уровня азота в почве на опытном участке после трех лет парования. Влияние азота и биоугля на качество люцерны было минимальным при низких уровнях азота и стало значимым только на второй год. Совместные положительные эффекты биоугля и азота на урожайность были связаны с улучшением почвенных и корневых характеристик, включая снижение плотности почвы, увеличение количества почек на корневой шейке, биомассы корней, осморегулирующих веществ, повышение pH почвы и большей доступности фосфора и калия. Эти преимущества (i) улучшили физические и химические свойства почвы, поддерживая рост корней и поглощение питательных веществ [83], и (ii) повысили доступность и трансформацию питательных веществ в почве, обеспечивая больше питательных веществ для роста и развития люцерны.
5. Выводы
Наши результаты показывают, что биоуголь и азотные удобрения играют важную роль в повышении урожайности люцерны и улучшении физико-химических свойств почвы. Добавление биоугля и азота увеличило биомассу стеблей, листьев и корней люцерны, снизило плотность почвы, улучшило характеристики корней и увеличило содержание осморегулирующих веществ в корнях, а также содержание доступного фосфора, доступного калия, NO₃⁻-N и NH₄⁺-N в почве, что привело к повышению урожайности люцерны.
Основываясь на результатах нашего эксперимента, 94 кг N/га в год и 10 т/га биоугля могут быть оптимальной дозой, используемой на практике для улучшения почвы и повышения урожайности люцерны в супесчаных районах. Однако с увеличением количества лет внесения биоугля его применение может привести к различным результатам, и эффективность использования азота удобрений, а также динамика почвенного азота после внесения биоугля также различаются при разных дозах азота. Таким образом, необходимо проводить мониторинг долгосрочных эффектов различных дозировок биоугля и азота на коэффициент использования удобрений и динамику почвенного азота, а также на связанные с этим микробные механизмы.
Ссылки
1. Valin, H.; Havlík, P.; Mosnier, A.; Herrero, M.; Schmid, E.; Obersteiner, M. Agricultural productivity and greenhouse gas emissions: Trade-offs or synergies between mitigation and food security? Environ. Res. Lett. 2013, 8, 035019. [Google Scholar] [CrossRef]
2. Xu, H.; Cai, A.; Wu, D.; Liang, G.; Xiao, J.; Xu, M.; Colinet, G.; Zhang, W. Effects of biochar application on crop productivity, soil carbon sequestration, and global warming potential controlled by biochar C:N ratio and soil pH: A global meta-analysis. Soil. Till. Res. 2021, 213, 105125. [Google Scholar] [CrossRef]
3. Zhou, Z. Achieving food security in China: Past three decades and beyond. China Agric. Econ. Rev. 2010, 2, 251–275. [Google Scholar] [CrossRef]
4. Ju, X.; Xing, G.; Chen, X.; Zhang, F. Reducing environmental risk by improving N management in intensive Chinese agricultural systems. Proc. Natl. Acad. Sci. USA 2009, 106, 3041–3046. [Google Scholar] [CrossRef] [PubMed]
5. Zhang, W.F.; Dou, Z.X.; He, P.; Ju, X.T.; Powlson, D.; Chadwick, D.; Norse, D.; Lu, Y.L.; Zhang, Y.; Wu, L.; et al. New technologies reduce greenhouse gas emissions from nitrogenous fertilizer in China. Proc. Natl. Acad. Sci. USA 2013, 110, 8375–8380. [Google Scholar] [CrossRef] [PubMed]
6. Zhang, Y.; Wang, J.; Feng, Y. The effects of biochar addition on soil physicochemical properties: A review. Catena 2021, 202, 105284. [Google Scholar] [CrossRef]
7. Chen, X.; Lewis, S.; Heal, K.V.; Lin, Q.; Sohi, S.P. Biochar engineering and ageing influence the spatiotemporal dynamics of soil pH in the charosphere. Geoderma 2021, 386, 114919. [Google Scholar] [CrossRef]
8. Sahoo, S.S.; Vijay, V.K.; Chandra, R.; Kumar, H. Production and characterization of biochar produced from slow pyrolysis of pigeon pea stalk and bamboo. Clean. Eng. Technol. 2021, 3, 100101. [Google Scholar] [CrossRef]
9. Darby, I.; Xu, C.-Y.; Wallace, H.M.; Joseph, S.; Pace, B.; Bai, S.H. Short-term dynamics of carbon and nitrogen using compost, compost-biochar mixture and organo-mineral biochar. Environ. Sci. Pollut. Res. 2016, 23, 11267–11278. [Google Scholar] [CrossRef] [PubMed]
10. Lehmann, F.; Joseph, S. Biochar for Environmental Management: An Introduction. Sci. Tec. 2009, 25, 15801–15811. [Google Scholar] [CrossRef]
11. Liu, B.; Li, H.; Li, H.; Zhang, A.; Rengel, Z. Long-term biochar application promotes rice productivity by regulating root dynamic development and reducing nitrogen leaching. GCB Bioenergy 2020, 13, 257–268. [Google Scholar] [CrossRef]
12. Prayogo, C.; Jones, J.E.; Baeyens, J.; Bending, G.D. Impact of biochar on mineralisation of C and N from soil and willow litter and its relationship with microbial community biomass and structure. Biol. Fert. Soils 2013, 50, 695–702. [Google Scholar] [CrossRef]
13. Joseph, S.; Cowie, A.L.; Van Zwieten, L.; Bolan, N.; Budai, A.; Buss, W.; Cayuela, M.L.; Graber, E.R.; Ippolito, J.A.; Kuzyakov, Y.; et al. How biochar works, and when it doesn’t: A review of mechanisms controlling soil and plant responses to biochar. GCB Bioenergy 2021, 13, 1731–1764. [Google Scholar] [CrossRef]
14. Ibrahim, M.M.; Tong, C.; Hu, K.; Zhou, B.; Xing, S.; Mao, Y. Biochar-fertilizer interaction modifies N-sorption, enzyme activities and microbial functional abundance regulating nitrogen retention in rhizosphere soil. Sci. Total Environ. 2020, 739, 140065. [Google Scholar] [CrossRef]
15. Sekaran, U.; Sandhu, S.S.; Qiu, Y.; Kumar, S.; Gonzalez Hernandez, J.L. Biochar and manure addition influenced soil microbial community structure and enzymatic activities at eroded and depositional landscape positions. Land. Degrad. Dev. 2019, 31, 894–908. [Google Scholar] [CrossRef]
16. Prendergast-Miller, M.T.; Duvall, M.; Sohi, S.P. Localisation of nitrate in the rhizosphere of biochar-amended soils. Soil. Biol. Biochem. 2011, 43, 2243–2246. [Google Scholar] [CrossRef]
17. Wen, Y.; Shi, F.; Zhang, B.; Li, K.; Chang, W.; Fan, X.; Dai, C.; Song, F. Rhizophagus irregularisand biochar can synergistically improve the physiological characteristics of saline-alkali resistance of switchgrass. Physiol. Plant. 2024, 176, e14367. [Google Scholar] [CrossRef] [PubMed]
18. Xiang, Y.; Deng, Q.; Duan, H.; Guo, Y. Effects of biochar application on root traits: A meta-analysis. GCB Bioenergy 2017, 9, 1563–1572. [Google Scholar] [CrossRef]
19. Jeffery, S.; Verheijen, F.G.A.; van der Velde, M.; Bastos, A.C. A quantitative review of the effects of biochar application to soils on crop productivity using meta-analysis. Agric. Ecosyst. Environ. 2011, 144, 175–187. [Google Scholar] [CrossRef]
20. Biederman, L.A.; Harpole, W.S. Biochar and its effects on plant productivity and nutrient cycling: A meta-analysis. GCB Bioenergy 2012, 5, 202–214. [Google Scholar] [CrossRef]
21. Noguera, D.; Rondón, M.; Laossi, K.-R.; Hoyos, V.; Lavelle, P.; Cruz de Carvalho, M.H.; Barot, S. Contrasted effect of biochar and earthworms on rice growth and resource allocation in different soils. Soil. Biol. Biochem. 2010, 42, 1017–1027. [Google Scholar] [CrossRef]
22. Huang, M.; Yang, L.; Qin, H.; Jiang, L.; Zou, Y. Quantifying the effect of biochar amendment on soil quality and crop productivity in Chinese rice paddies. Field Crop. Res. 2013, 154, 172–177. [Google Scholar] [CrossRef]
23. Arif, M.; Ali, A.; Umair, M.; Munsif, F.; Ayub, G. Effect of biochar, FYM and mineral nitrogen alone and in combination on yield and yield components of maize. Sarhad J. Agric. 2012, 28, 191–195. [Google Scholar] [CrossRef]
24. Wang, W. Improving China’s alfalfa industry development: An economic analysis. China Agric. Econ. Rev. 2020, 13, 211–228. [Google Scholar] [CrossRef]
25. Han, Q.; Jia, Z.; Wang, J. The analysis of current situation and development prospect of alfalfa industry at home and abroad. Pratacultural Sci. 2005, 22, 4. [Google Scholar]
26. Wei, K.; Zhao, J.; Sun, Y.; López, I.F.; Ma, C.; Zhang, Q. Optimizing nitrogen and phosphorus application to improve soil organic carbon and alfalfa hay yield in alfalfa fields. Front. Plant Sci. 2024, 14, 1276580. [Google Scholar] [CrossRef]
27. Stanger, T.F.; Lauer, J.G. Corn Grain Yield Response to Crop Rotation and Nitrogen over 35 Years. Agron. J. 2008, 100, 643–650. [Google Scholar] [CrossRef]
28. Elgharably, A.; Benes, S. Alfalfa Biomass Yield and Nitrogen Fixation in Response to Applied Mineral Nitrogen Under Saline Soil Conditions. J. Plant Nutr. Soil. Sci. 2021, 21, 744–755. [Google Scholar] [CrossRef]
29. Wang, Y.; Li, M.; Zhuo, Y.; Guo, H.; Yan, H.; Yan, X. Responses of Alfalfa Growth and Nitrogen Utilization to Foliar Fertilization with Different Urea Concentrations. J. Plant Growth Regul. 2023, 49, 5507–5522. [Google Scholar] [CrossRef]
30. Zhu, Z.; Xiong, Z.; Xing, G. Impacts of Pollution Growth and Economic Development on the Nitrogen Cycle in Asian. Sci. China Ser. C. 2006, 48, 729–737. [Google Scholar] [CrossRef]
31. Dong, L.; Wang, J.; Shen, M.; Zhang, H.; Wang, L.; Li, C.; Lu, C. Biochar combined with nitrogen fertilizer affects soil properties and wheat yield in medium-low-yield farmland. Soil Use Manag. 2021, 38, 584–595. [Google Scholar] [CrossRef]
32. Liu, Z.; Li, Z.; Huang, F.; Wang, B.; Zhao, C.; Zhang, P.; Jia, Z. Plastic film mulching and biochar amendment enhance maize yield and nitrogen fertilizer use efficiency by reducing gaseous nitrogen losses. Field Crop. Res. 2022, 289, 108714. [Google Scholar] [CrossRef]
33. Zhang, J.; Liu, X.; Wu, Q.; Qiu, Y.; Chi, D.; Xia, G.; Arthur, E. Mulched drip irrigation and maize straw biochar increase peanut yield by regulating soil nitrogen, photosynthesis and root in arid regions. Agric. Water Manag. 2023, 289, 108565. [Google Scholar] [CrossRef]
34. Jaufmann, E.; Schmid, H.; Hülsbergen, K.-J. Effects of biochar in combination with cattle slurry and mineral nitrogen on crop yield and nitrogen use efficiency in a three-year field experiment. Eur. J. Agron. 2024, 156, 127168. [Google Scholar] [CrossRef]
35. Wu, C.; Sun, Q.; Ren, Z.; Xia, N.; Wang, Z.; Sun, H.; Wang, W. Combined effects of nitrogen fertilizer and biochar on the growth, yield, and quality of pepper. Open Life Sci. 2024, 19, 20220882. [Google Scholar] [CrossRef] [PubMed]
36. Laird, D.; Fleming, P.; Wang, B.Q.; Horton, R.; Karlen, D. Biochar impact on nutrient leaching from a Midwestern agricultural soil. Geoderma 2010, 158, 436–442. [Google Scholar] [CrossRef]
37. Sachdeva, V.; Hussain, N.; Husk, B.R.; Whalen, J.K. Biochar induced soil stability influences phosphorus retention in a temperate agricultural soil. Geoderma 2019, 351, 71–75. [Google Scholar] [CrossRef]
38. Pokharel, P.; Ma, Z.; Chang, S. Biochar increase soil microbial biomass with changes in extra and intracellular enzyme activities: A global meta-analysis. Biochar 2020, 2, 65–79. [Google Scholar] [CrossRef]
39. Olmo, M.; Villar, R. Changes in root traits explain the variability of biochar effects on fruit production in eight agronomic species. Org. Agric. 2019, 9, 139–153. [Google Scholar] [CrossRef]
40. Sun, C.; Wang, D.; Shen, X.; Li, C.; Liu, J.; Lan, T.; Wang, W.; Xie, H.; Zhang, Y. Effects of biochar, compost and straw input on root exudation of maize (Zea mays L.): From function to morphology. Agric. Ecosyst. Environ. 2020, 297, 106952. [Google Scholar] [CrossRef]
41. Bruun, E.W.; Petersen, C.T.; Hansen, E.; Holm, J.K.; Hauggaard-Nielsen, H. Biochar amendment to coarse sandy subsoil improves root growth and increases water retention. Soil Use Manag. 2014, 30, 109–118. [Google Scholar] [CrossRef]
42. Wu, Z.F.; Chen, D.X.; Zheng, Y.M.; Wang, C.B.; Sun, X.W.; Li, X.D.; Wang, X.X.; Shi, C.R.; Feng, H.; Yu, T.Y. Supply characteristics of different nitrogen sources and nitrogen use efficiency of peanut. Chin. J. Oil Crop Sci. 2016, 38, 207–213. [Google Scholar]
43. Etesami, H. Bacterial mediated alleviation of heavy metal stress and decreased accumulation of metals in plant tissues: Mecha nisms and future prospects. Ecotoxicol. Environ. Saf. 2018, 147, 175–191. [Google Scholar] [CrossRef] [PubMed]
44. Xiao, H.; Yang, H.; Zhao, M.; Monaco, T.; Wang, D. Soil extracellular enzyme activities and the abundance of nitrogen-cycling functional genes responded more to N addition than P addition in an Inner Mongolian meadow steppe. Sci. Total Environ. 2020, 759, 143541. [Google Scholar] [CrossRef] [PubMed]
45. Usmanov, R.Z.; Babaeva, M.A.; Osipova, S.V. Influence of salted environment on fodder herbs efficiency of pasturable phytocoenoses of the north-western Caspian lowland. South Russ.-Ecol. Dev. 2013, 4, 91–95. [Google Scholar] [CrossRef][Green Version]
46. Zhang, Z. Feed Analysis and Feed Quality Testing Technology; China Agricultural University Press: Beijing, China, 2021; pp. 23–56. [Google Scholar]
47. Zhang, J.X.; Liu, X.J.; Hao, F.; Fan, J.J.; Feng, B.Z.; Qi, P. Effects of nitrogen and phosphorus regulation on alfalfa nitrogen accumulation and the nitrogen and phosphorus nutrients of soil. Acta Prataculturae Sin. 2016, 24, 61–68. [Google Scholar]
48. Liu, M.; Wang, Z.; Mu, L.; Xu, R.; Yang, H. Effect of regulated deficit irrigation on alfalfa performance under two irrigation systems in the inland arid area of midwestern China. Agric. Water Manag. 2021, 248, 106764. [Google Scholar] [CrossRef]
49. Li, M.; Cheng, L.; Zhang, M.; Yang, L.; Han, M. Platycodon grandiflorus subjected to full- and restricted-water regimes show differential biosynthesis of triterpenoid saponins. Acta Physiol. Plant. 2023, 45, 45–55. [Google Scholar] [CrossRef]
50. Chai, J.; Yu, X.; Xu, C.; Xiao, H.; Zhang, J.; Yang, H.; Pan, T. Effects of yak and Tibetan sheep trampling on soil properties in the northeastern Qinghai-Tibetan Plateau. Appl. Soil Ecol. 2019, 144, 147–154. [Google Scholar] [CrossRef]
51. Rojas-Pinzon, P.A.; Prommer, J.; Sedlacek, C.J.; Sandén, T.; Spiegel, H.; Pjevac, P.; Fuchslueger, L.; Giguere, A.T. Inhibition profile of three biological nitrification inhibitors and their response to soil pH modification in two contrasting soils. FEMS Microbiol. Ecol. 2024, 100, fiae072. [Google Scholar] [CrossRef]
52. Xiao, M.; Chen, C.; Yao, R.; Wang, X.; Liu, G. Response of Soil Fungal Community in Coastal Saline Soil to Short-Term Water Management Combined with Bio-Organic Fertilizer. Agronomy 2024, 14, 1441. [Google Scholar] [CrossRef]
53. Yang, F.; He, B.; Dong, B.; Zhang, G. Film mulched ridge–furrow tillage improves the quality and fertility of dryland agricultural soil by enhancing soil organic carbon and nutrient stratification. Agric. Water Manag. 2024, 292, 108686. [Google Scholar] [CrossRef]
54. Ye, C.; Zheng, G.; Tao, Y.; Xu, Y.; Chu, G.; Xu, C.; Chen, S.; Liu, Y.; Zhang, X.; Wang, D. Effect of Soil Texture on Soil Nutrient Status and Rice Nutrient Absorption in Paddy Soils. Agronomy 2024, 14, 1339. [Google Scholar] [CrossRef]
55. Nan, Q.; Wang, C.; Wang, H.; Yi, Q.; Liang, B.; Xu, J.; Wu, W. Biochar drives microbially-mediated rice production by increasing soil carbon. J. Hazard. Mater. 2020, 387, 121680. [Google Scholar] [CrossRef]
56. Reyes-Cabrera, J.; Leon, R.G.; Erickson, J.E.; Silveira, M.L.; Rowland, D.L.; Morgan, K.T. Biochar Changes Shoot Growth and Root Distribution of Soybean during Early Vegetative Stages. Crop Sci. 2017, 57, 454–461. [Google Scholar] [CrossRef]
57. Zhu, Q.; Kong, L.; Xie, F.; Zhang, H.; Wang, H.; Ao, X. Effects of biochar on seedling root growth of soybeans. Chil. J. Agric. Res. 2018, 78, 549–558. [Google Scholar] [CrossRef]
58. Wu, D.; Zhang, W.; Xiu, L.; Sun, Y.; Gu, W.; Wang, Y.; Zhang, H.; Chen, W. Soybean Yield Response of Biochar-Regulated Soil Properties and Root Growth Strategy. Agronomy 2022, 12, 1412. [Google Scholar] [CrossRef]
59. Ning, C.; Liu, R.; Kuang, X.; Chen, H.; Tian, J.; Cai, C. Nitrogen fertilizer reduction combined with biochar application maintain the yield and nitrogen supply of rice but improve the nitrogen use efficiency. Agronomy 2022, 12, 3039. [Google Scholar] [CrossRef]
60. Poorter, H.; Niklas, K.J.; Reich, P.B.; Oleksyn, J.; Poot, P.; Mommer, L. Biomass allocation to leaves, stems and roots: Meta-analyses of interspecific variation and environmental control. New Phytol. 2011, 193, 30–50. [Google Scholar] [CrossRef] [PubMed]
61. Zhang, G.; Liu, Q.; Zhang, Z.; Ci, D.; Zhang, J.; Xu, Y.; Guo, Q.; Xu, M.; He, K. Effect of Reducing Nitrogen Fertilization and Adding Organic Fertilizer on Net Photosynthetic Rate, Root Nodules and Yield in Peanut. Plants 2023, 12, 2902. [Google Scholar] [CrossRef] [PubMed]
62. Zheng, Y.M.; Wang, C.X.; Liu, Q.M.; Wu, Z.F.; Wang, C.B.; Sun, X.S.; Zheng, Y.P. Effect of nitrogen fertilizer regulation on root growth and nodulating ability of peanut. J. Nucl. Agric. Sci. 2017, 31, 2418–2425. [Google Scholar]
63. Jiang, P.; Xu, F.X.; Xiong, H.; Zhang, L.; Zhu, Y.C.; Guo, X.Y.; Chen, L.; Ming, J. Effect of reduced nitrogen application on grain yield and nitrogen use efficiency of hybrid mid-season rice under two yield levels. J. Nucl. Agric. Sci. 2020, 1, 153–162. [Google Scholar]
64. Zheng, Y.M.; Sun, X.S.; Wang, C.B.; Zheng, Y.P. Differences in nitrogen utilization characteristics of different peanut genotypes in high fertility soils. J. Appl. Ecol. 2016, 27, 3977–3986. [Google Scholar]
65. Qiao, Y.F.; Han, X.Z. Effects of long-term fertilization on root phenotype and nodulation of soybean. Soybean Sci. 2011, 30, 119–122. [Google Scholar]
66. Fang, Q.E. Study on the Rules of Alfalfa Crown Bud Developing into Shoot and Its Winter Hardiness in the State of Dormancy. Ph.D. Thesis, Gansu Agricultural University, Lanzhou, China, 2016. [Google Scholar]
67. Phares, C.; Amoakwah, E.; Danquah, A.; Akaba, S.; Frimpong, K.; Mensah, T. Improved soil physicochemical, biological properties and net income following the application of inorganic NPK fertilizer and biochar for maize production. Acta Ecol. Sin. 2021, 42, 289–295. [Google Scholar] [CrossRef]
68. Ammal, A.; Seutra, K.; Evans, D.; Adutwum, A. A comprehensive review of the effects of biochar on soil physicochemical properties and crop productivity. Waste Dispos. Sustain. Energy 2022, 4, 343–359. [Google Scholar] [CrossRef]
69. Wang, P.; Lin, X.; Liu, Q.; Lin, Z.; Yang, Y.; Chen, H.; Fan, S. Interactions between flue gas desulfurization gypsum and biochar on water infiltration characteristics and physicochemical properties of saline-alkaline soil. Environ. Monit. Assess. 2023, 195, 1273. [Google Scholar] [CrossRef]
70. Villagra-Mendoza, K.; Horn, R. Effect of biochar addition on hydraulic functions of two textural soils. Geoderma 2018, 326, 88–95. [Google Scholar] [CrossRef]
71. Jain, S.; Singh, A.; Khare, P.; Chanda, D.; Mishra, D.; Shanker, K.; Karak, T. Toxicity assessment of Bacopa monnieri L. grown in biochar amended extremely acidic coal mine spoils. Ecol. Eng. 2017, 108, 211–219. [Google Scholar] [CrossRef]
72. Brennan, A.; Jiménez, E.M.; Puschenreiter, M.; Alburquerque, J.A.; Switzer, C. Effects of biochar amendment on root traits and contaminant availability of maize plants in a copper and arsenic impacted soil. Plant Soil. 2014, 379, 351–360. [Google Scholar] [CrossRef]
73. Singh, C.; Tiwari, S.; Gupta, V.K.; Singh, J.S. The effect of rice husk biochar on soil nutrient status, microbial biomass and paddy productivity of nutrient poor agriculture soils. Catena 2018, 171, 485–493. [Google Scholar] [CrossRef]
74. Abujabhah, I.S.; Bound, S.A.; Doyle, R.; Bowman, J.P. Effects of biochar and compost amendments on soil physico-chemical properties and the total community within a temperate agricultural soil. Appl. Soil Ecol. 2016, 98, 243–253. [Google Scholar] [CrossRef]
75. Jatav, H.; Jayant, H.; Kumar, S.; Kumar, V.; Chattopadhya, A.; Dhawal, S.; Singh, Y. Role of Biochar: In agriculture sector its implication and perspective. Int. J. Chem. Stud. 2017, 5, 14–18. [Google Scholar]
76. McDonald, M.R.; Bakker, C.; Motior, M.R. Evaluation of wood biochar and compost soil amendment on cabbage yield and quality. Can. J. Plant Sci. 2019, 99, 624–638. [Google Scholar] [CrossRef]
77. Clough, T.; Condron, L.; Kammann, C.; Müller, C. A review of biochar and soil nitrogen dynamics. Agronomy 2013, 3, 275–293. [Google Scholar] [CrossRef]
78. Uroić Štefanko, A.; Leszczynska, D. Impact of Biomass Source and Pyrolysis Parameters on Physicochemical Properties of Biochar Manufactured for Innovative Applications. Front. Energy. Res. 2020, 8, 138. [Google Scholar] [CrossRef]
79. Lopes, É.M.G.; Reis, M.M.; Frazão, L.A.; da Mata Terra, L.E.; Lopes, E.F.; dos Santos, M.M.; Fernandes, L.A. Biochar increases enzyme activity and total microbial quality of soil grown with sugarcane. Environ. Technol. Innov. 2021, 21, 101270. [Google Scholar] [CrossRef]
80. Li, S.; Wang, S.; Fan, M.; Wu, Y.; Shangguan, Z. Interactions between biochar and nitrogen impact soil carbon mineralization and the microbial community. Soil. Till. Res. 2020, 196, 104437. [Google Scholar] [CrossRef]
81. Stevens, C.J.; Duprè, C.; Dorland, E. The impact of nitrogen deposition on acid grasslands in the Atlantic region of Europe. Environ. Pollut. 2011, 159, 2243–2250. [Google Scholar] [CrossRef] [PubMed]
82. Agegnehu, G.; Nelson, P.N.; Bird, M.I. Crop yield, plant nutrient uptake and soil physicochemical properties under organic soil amendments and nitrogen fertilization on Nitisols. Soil. Till. Res. 2016, 160, 1–13. [Google Scholar] [CrossRef]
83. Chen, M.; Zhang, S.; Liu, L.; Wu, L.; Ding, X. Combined organic amendments and mineral fertilizer application increase rice yield by improving soil structure, P availability and root growth in saline-alkaline soil. Soil Till. Res. 2021, 212, 105060. [Google Scholar] [CrossRef]
Chai J, Yang H, Chen Z, Li W, Li D, Yu X. Biochar and Nitrogen Fertilizer Promote Alfalfa Yield by Regulating Root Development, Osmoregulatory Substances and Improve Soil Physicochemical Properties. Agriculture. 2025; 15(3):239. https://doi.org/10.3390/agriculture15030239
Перевод статьи «Biochar and Nitrogen Fertilizer Promote Alfalfa Yield by Regulating Root Development, Osmoregulatory Substances and Improve Soil Physicochemical Properties» авторов Chai J, Yang H, Chen Z, Li W, Li D, Yu X., оригинал доступен по ссылке. Лицензия: CC BY. Изменения: переведено на русский язык













Комментарии (0)