Эффективность рисоводства в Непале: поиск путей увеличения производства
Существует острая необходимость максимизировать производство при ограниченном количестве ресурсов. Таким образом, данное исследование было направлено на изучение технической эффективности фермеров, выращивающих рис, и факторов, влияющих на техническую неэффективность в районе Парса в Непале.
Аннотация
Рис является одним из основных продуктов питания в Непале, и за последние десять лет наблюдается заметный рост производства этой культуры. Тем не менее, существует тенденция к увеличению импорта риса. В равнинном регионе (Тераи) Непала производится более двух третей всего объема риса в стране, причем самая высокая продуктивность отмечается в провинции Мадхеш. Однако из-за ограниченных знаний о технических аспектах производства риса коммерческие производители сталкиваются с проблемами в наиболее эффективном использовании ресурсов для получения продукции. Существует острая необходимость максимизировать производство при ограниченном количестве ресурсов. Таким образом, данное исследование было направлено на изучение технической эффективности фермеров, выращивающих рис, и факторов, влияющих на техническую неэффективность в районе Парса в Непале.
Этот район является основной зоной реализации Проекта модернизации сельского хозяйства премьер-министра (PMAMP), который поддерживает фермеров необходимыми сельскохозяйственными ресурсами, развитием инфраструктуры и внедрением инновационных методов. Данные были собраны от 215 фермеров, выращивающих рис, с использованием многоступенчатой целенаправленной выборки и проанализированы с помощью производственной функции Кобба–Дугласа на основе стохастической границы. Результаты показали, что техническая эффективность производителей риса составила 0,862. Было обнаружено, что возраст и внехозяйственная деятельность существенно влияют на техническую эффективность рисоводов. Техническую эффективность производителей риса можно повысить, используя проектный подход, такой как PMAMP. Для правительства важно внедрять инновации и технологии на фермах с участием пожилых фермеров, поскольку их способность адаптироваться к новым методам и технологиям выше, чем у молодых фермеров. Молодежь, как правило, предпочитает возможности трудоустройства вне сельского хозяйства, поэтому необходимо стимулировать внутренние инвестиции в сельское хозяйство, чтобы сделать этот сектор более привлекательным. Кроме того, политика и программы, направленные на объединение мелких рисовых полей и субсидирование цен на тракторы, помогут повысить урожайность риса.
1. Введение
Непал считается одним из центров происхождения риса [1]. Непал обладает большим разнообразием риса, включая более 153 улучшенных сортов и 2500 местных разновидностей, возделываемых практически во всех регионах Непала [2,3,4]. Рис по-прежнему является основным продуктом питания в Непале, занимая площадь 1 473 474 га, с объемом производства 5 621 710 тонн и продуктивностью 3,82 т/га, внося вклад в размере 25,83% в национальный валовой внутренний продукт [5]. Рис и другие зерновые культуры значительно способствуют продовольственной безопасности Непала. Хотя в настоящее время фермеры Непала имеют больший доступ к улучшенным сортам риса и некоторым технологическим новшествам, которые помогли им увеличить производство, продуктивность Непала (3,8 т/га) все еще отстает от других соседних стран, а именно Бангладеш (4,8 т/га), Китая (7,04 т/га) и Индии (3,96 т/га) [6]. Более того, посевная площадь и производство риса в Непале значительно не увеличиваются, хотя производство немного выросло, как показано на рисунке 1.
Рисунок 1. Площадь, производство и урожайность риса в Непале (источник: [5,7,8]).
Непал импортирует рис в основном из Индии, США, Таиланда и Китая, в указанном порядке [9]. Непал импортировал риса на сумму 251,67 млн долларов США и 381,64 млн долларов США в 2019/2020 и 2020/2021 финансовых годах соответственно, что представляет собой увеличение на 51,4 процента по сравнению с расходами на импорт в 2019/2020 году [10]. Непалу не удалось достичь достаточного производства риса, несмотря на потенциал страны стать самодостаточной с помощью многочисленных планов и политик, хотя сельскохозяйственная система быстро улучшается благодаря использованию улучшенных семян и механизации [11]. Из-за отсутствия понимания наилучшего способа использования ресурсов фермеры применяют ресурсы нерационально, что приводит к низкой урожайности и эффективности [12]. Согласно исследованию Abedullah и Ahmad (2006) [13], ресурсы для сельскохозяйственных ресурсов используются неэффективно, особенно в развивающихся странах. Кроме того, было обнаружено, что за счет повышения технической эффективности продуктивность и урожайность могут быть увеличены без необходимости в дополнительных ресурсах и производственных технологиях [14].
Оценка эффективности производства риса необходима для формулирования планов и политики, а также определения факторов неэффективности [15]. Исследования технической эффективности считаются важными для анализа продуктивности и эффективности, так как они имеют ключевое значение для разработки политики [16]. Техническая эффективность конкретного хозяйства определяется как отношение наблюдаемого выпуска к соответствующему выпуску на границе производственных возможностей [17]. При имеющихся ресурсах максимальное производство может быть достигнуто с использованием технически эффективных методов ведения сельского хозяйства [18]. Таким образом, такие развивающиеся страны, как Непал, должны увеличить производство своей основной продовольственной культуры — риса — путем повышения технической эффективности за счет эффективного использования ресурсов, таких как семена, удобрения, труд и сельскохозяйственное оборудование [19]. Согласно Qu и др. (2020) [20], техническая эффективность (ТЭ) — это способность «производить заданный уровень выпуска, используя минимально возможное количество ресурсов и применяя ту же технологию в производственных системах, что и ранее, избегая инвестиций в новые технологии». Одним из элементов экономической эффективности является техническая эффективность [21].
Техническая эффективность обычно оценивается с использованием стохастического граничного анализа (Stochastic Frontier Analysis — SFA) [21,22] и анализа среды функционирования (Data Envelopment Analysis — DEA) [23]. SFA использует эконометрические методы, тогда как DEA использует методы математического линейного программирования [24]. DEA использует детерминированную методологию для различения эффектов неэффективности и шума при расчете технической эффективности [25]. SFA показывает хорошие результаты для одного выпуска и множества ресурсов. Он использует эконометрический подход для отделения эффектов шума от неэффективности и для различения эффектов ошибочной спецификации функциональной формы от неэффективности [26]. Для производственной функции с одним выпуском и многими ресурсами стохастические и параметрические методы могут дать хорошие результаты, отделяя эффекты шума от компонентов неэффективности [25]. Производство риса использует несколько ресурсов с одним выпуском. Следовательно, в данной работе будет использован подход стохастического граничного анализа для оценки технической эффективности производства риса и влияющих на нее факторов.
Hien и др. (2003) [27] оценили техническую компетентность 120 фермеров, выращивающих рис, в дельте реки Меконг, используя стохастическую граничную производственную функцию. Исследование показало, что на продуктивность риса значительное отрицательное влияние оказали количество активного азота, затраты на семена и пестициды, тогда как на техническую эффективность значительное положительное влияние оказали количество активного калия и фосфатов, а также затраты на наемную технику. Используя информацию из циклического обследования Института исследования риса (2007–2012), Koirala и др. (2013) [28] также применили подход стохастической граничной производственной функции в форме Кобба–Дугласа для исследования технической эффективности производства риса и ее детерминант на Филиппинах. На продуктивность и техническую эффективность производства риса влияет ряд факторов, включая сезон посадки, арендную плату за землю, удобрения и размер хозяйства. Для выявления факторов, влияющих на техническую эффективность производства риса в кооперативах провинции Кьензянг, Вьетнам, Tuan (2017) [29] провел исследование, анализирующее техническую эффективность производства риса. Анализ данных проводился с использованием стохастической граничной модели (SFA), которая использует функцию Кобба–Дугласа и описательную статистику. Результаты показали, что снижение количества семян, повышение уровня активного калия и регулярные посевы рисовых полей также повышают техническую эффективность фермеров. Кроме того, на техническую неэффективность сильно влияли сорт, обучение, опыт в выращивании риса, годы членства в кооперативе и количество собираемого риса в год.
В Непале было проведено множество исследований для оценки технической эффективности производителей риса. Choudhary и др. (2022) [30] использовали стохастическую граничную производственную функцию для анализа эффективности производства риса фермерами. Это показало, что техническая эффективность значительно повышается благодаря доступу к рынкам, знаниям, ирригации, финансовым возможностям и ресурсам. Согласно Subedi и др. (2020) [19], на техническую эффективность сильно влияют опыт ведения сельского хозяйства, членство в организациях и наличие сельского хозяйства в качестве основного занятия.
Однако существует недостаток исследований о факторах, влияющих на техническую эффективность производителей риса в Непале, а также о методах измерения технической эффективности фермеров. Таким образом, цель данного исследования — оценить техническую эффективность фермеров, выращивающих рис, в районе Парса и определить факторы, влияющие на их эффективность. Это позволит обосновать соответствующие политические меры для повышения технической эффективности производителей риса.
Материалы и процедуры данного исследования описаны в Разделе 2. Факторы и данные, использованные в этом исследовании, описаны и объяснены в Разделе 3. В Разделе 4 представлены и обсуждаются результаты оценки технической эффективности, полученные с помощью стохастического граничного анализа. В Разделе 5 изложены результаты данного исследования и их значение для производства риса.
2. Материалы и методы
Данное исследование проводилось в рисовой зоне командного района Проекта модернизации сельского хозяйства премьер-министра, в рамках Группы внедрения проекта района Парса, расположенного в провинции Мадхеш, Непал. Парса — один из крупных районов провинции Мадхеш, граничащий с Индией на юге. Это главный торговый путь между Индией и Непалом, также известный как Ворота Непала. Район расположен между 27° и 27°26′ северной широты и 84°8′ и 84°27′ восточной долготы, на высоте от 122 до 925 метров над уровнем моря. Климат жаркий и субтропический по своему характеру, со средними максимальными температурами, достигающими 40 °C, средними минимальными температурами 18 °C и среднегодовым количеством осадков 1760,6 мм [31]. Парса, расположенный в равнинном регионе Тераи, лидирует по продуктивности риса в провинции Мадхеш, причем производство риса является его основной сельскохозяйственной деятельностью [5]. Кроме того, это один из рисоводческих районов Непала, определенных PMAMP. В 2020/2021 финансовом году площадь, производство и продуктивность риса в районе Парса составили 43 013 га, 176 084 тонны и 4,09 т/га соответственно [5].
Основной текущий проект Министерства сельского хозяйства и развития животноводства, Проект модернизации сельского хозяйства премьер-министра (PMAMP), продвигает механизацию как стратегическое вмешательство, помогающее индустриализировать сельскохозяйственный сектор [32]. Этот десятилетний проект начался в 2016 финансовом году и продлится до 2026 года. Его основные программы включают предоставление фермерам субсидируемых сельскохозяйственных ресурсов, таких как улучшенные семена, сельскохозяйственные орудия и техника; программы содействия послеуборочной обработке; обучение фермеров для наращивания потенциала; а также создание ресурсного центра семян, центра проката сельхозтехники, ирригацию, программы стимулирования на основе результатов и практику объединения земель. Фермеры, зарегистрированные в программе PMAMP, получают субсидии от 50% до 100% в зависимости от потребности, спроса и характера программы.
Район исследования включает муниципалитет Парсагадхи, сельский муниципалитет Джирабхавани, сельский муниципалитет Патервасаугали, сельский муниципалитет Сакхувапарсауни и сельский муниципалитет Тхори, таким образом охватывая один муниципалитет и четыре сельских муниципалитета района Парса. Для обследования 215 домохозяйств, занимающихся производством риса, был принят многоступенчатый подход целенаправленной выборки. На первом этапе для исследования был выбран командный район PMAMP. Эта зона включает один муниципалитет и пять сельских муниципалитетов. На втором этапе для выбора производителей риса были использованы методы снежного кома. Для получения выборки из каждой области было собрано равное количество домохозяйств. Структурированная анкета была предварительно протестирована до сбора данных и скорректирована по мере необходимости. Данные были собраны с помощью личных интервью с учетчиками. Учетчиками были сельскохозяйственные техники с более чем 5-летним опытом работы в области сельскохозяйственного консультирования.
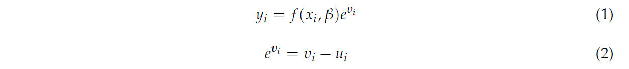
В данном исследовании использовался одноэтапный подход оценки максимального правдоподобия для оценки параметров модели влияния эффективности и стохастической граничной производственной функции. Для изучения данных были использованы подход стохастического граничного анализа и описательная статистика. В этой работе для оценки модели использовалось программное обеспечение STATA (версия 15).
Техническая эффективность производителей риса в районе исследования была измерена с помощью модели SFA, наряду с факторами, влияющими на их техническую эффективность. Результаты, полученные с помощью подхода SPF, отражают проценты как члена неэффективности, так и стохастических ошибок, которые составляют общую неэффективность. Метод SPF относит неэффективность как к члену неэффективности, так и к случайным ошибкам. Поскольку случайные ошибки и неустойчивая погода могут оказать значительное влияние на эффективность сельскохозяйственного производства, эти стохастические ошибки являются важным компонентом при оценке эффективности [20]. Кратко, стохастическая граничная модель была использована для оценки технической эффективности, поскольку предполагается, что стохастические ошибки играют важную роль в определении эффективности. Ниже представлена структура модели SPF, предложенная Aigner, Lovell и Schmidt (1977) [21]:
где
y_i = выпуск i-го фермера;
x_i = объединенные ресурсы фермеров;
β = неизвестные параметры, подлежащие оценке;
e^(υ_i ) = составной член ошибки, т.е. υ_i-u_i.
Двусторонняя случайная ошибка υ_i представляет стохастические эффекты (такие как погода, стихийные бедствия и удача), которые находятся вне контроля фермеров, а односторонний компонент эффективности u_i указывает на техническую неэффективность хозяйства. Стохастическая величина υ_i в этой модели служит верхней границей для возможного производства Y; следовательно, она называется стохастической границей. Симметричный случайный член, представляющий стохастический шум, состоит из члена стохастического шума υ_i, который, как предполагается, является независимо и одинаково распределенным как N(0, σ_υ^2), независимым от u_i, который, как предполагается, является независимо полунормально распределенным как N_+(0, σ_u^2).
Согласно Belotti и др. (2013) [33], предположение, сделанное для u_i, может быть гамма-, экспоненциальным, полунормальным или усеченным нормальным. Предположение о распределении в этом исследовании — полунормальное распределение, которое также использовалось в исследовании Aigner, Lovell и Schmidt (1977) [21], Pitt и Lee (1981) [34] и Kumbhakar (1990) [35].
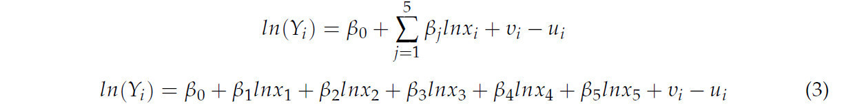
Используя стохастическую граничную модель с транслогарифмической производственной функцией или с функцией Кобба–Дугласа, можно спрогнозировать техническую эффективность. Функция Кобба–Дугласа обычно применяется для анализа технической эффективности [36,37,38]. Напротив, транслогарифмическая функция является гибкой и привлекательной функцией, которая может включать более двух факторов производства и имеет как линейные, так и квадратичные члены [39]. Для того чтобы определить, какая из этих моделей была идеальной для данного исследования, был использован критерий отношения правдоподобия. В качестве производственной функции для данного исследования была использована функция Кобба–Дугласа. Используя производственную модель Кобба–Дугласа и логарифмируя обе стороны, ее можно записать следующим образом:
где
ln = натуральный логарифм (т.е. по основанию e);
Y_i = урожайность (кг/га);
x_1 = количество использованных семян (кг/га);
x_2 = количество использованных химических удобрений (кг/га);
x_3 = использование трактора (часов/га);
x_4 = использование труда людей (человеко-дней/га);
x_5 = земля, используемая фермерами для выращивания риса (га);
β_0 = свободный член или константа;
β_1 β_3, β_2, β_4 и β_5 = коэффициенты соответствующих переменных.
Подход стохастической граничной производственной функции был использован Rahman (2003) [40] и Battese (1992) [41] для определения технологической эффективности. Эффективность вычисляется с использованием модели следующим образом:
где Yi — фактический выпуск i-го фермера.
Y_i^, называемая «границей», представляет максимально возможный выпуск, который может быть произведен с использованием тех же доступных ресурсов. Когда член ошибки равен 0, эффективность i-го фермера равна 1. Отношение наблюдаемого производства к соответствующему выпуску стохастической границы известно как техническая эффективность. Техническая эффективность измеряется по шкале от нуля до единицы (0 < TEi < 1). Она сравнивает выпуск компании с тем, что могло бы создать полностью эффективное предприятие с тем же вектором ресурсов. Предполагается, что переменная в следующем уравнении, объясненная ниже, определяет техническую неэффективность.
где
u_i = техническая неэффективность;
di = параметры, связанные с социально-экономическими характеристиками фермерского домохозяйства;
wi = случайный член ошибки;
Coop_Mem = членство в кооперативе (0 если вовлечен, и 1 в противном случае);
Age = возраст фермера в годах;
TRIAN = количество технических тренингов, полученных фермерами;
OFFFARM = вовлеченность во внехозяйственную деятельность (0 если вовлечен, и 1 в противном случае);
Ag_EXT_SER = доступ к услугам сельскохозяйственного консультирования (0 если получал услуги сельскохозяйственного консультирования, и 1 в противном случае);
CRED = доступ к кредиту (0 если получал кредит, и 1 в противном случае).
3. Данные
Краткий обзор социально-экономических характеристик производителей риса представлен в Таблице 1. Социально-экономические переменные, включенные в это исследование, включают возраст, членство в кооперативе, количество тренингов, полученных фермерами, вовлеченность во внехозяйственную деятельность, доступ к услугам сельскохозяйственного консультирования и доступ к кредиту. Возраст является важным фактором, определяющим опыт фермера. Важно обсудить возрастное распределение выборки фермеров в этом исследовании. Результаты обследования показывают, что большинство выборки домохозяйств были в возрасте 35 лет или младше. Было 115 фермеров в возрасте 35 лет или младше, что составляет приблизительно 53 процента от общей выборки. Около 33 процентов участников домохозяйств были в возрасте от 36 до 50 лет, и 14 процентов выборки домохозяйств были старше 50 лет. Сельскохозяйственные кооперативы были основными учреждениями, тесно работающими с фермерами в сельской местности. Сообщалось, что связи с такими учреждениями, как кооперативы, помогают фермерам получать доступ к сельскохозяйственным ресурсам, повышать доступность рынков, получать кредиты, снижать сельскохозяйственный риск и повышать техническую эффективность хозяйства. В исследовании 215 домохозяйств, равная выборка домохозяйств из обеих групп, а именно вовлеченных в кооперативы и не вовлеченных, была отобрана целенаправленно. Около 48 процентов выборки домохозяйств были вовлечены в кооперативы, тогда как 52 процента не были вовлечены.
Таблица 1. Описательная статистика социально-экономических и производственных переменных фермеров.
Техническое обучение является следующим важным социально-экономическим фактором, который может повысить сельскохозяйственное производство, учитывая, что обучение помогает увеличить технические знания фермеров. Это исследование показало, что большинство респондентов, около 55,35 процента, не прошли технического обучения по производству риса. Таким образом, большинство фермеров все еще используют свои традиционные знания и навыки для выращивания риса. Только 44,65 процента респондентов прошли хотя бы одно обучение. Количество респондентов, прошедших два обучения, составляет 44, что представляет 20,47 процента от общей выборки. Только 18,60 процента исследуемого населения вовлечены во внехозяйственную деятельность, тогда как 81,40 процента не вовлечены ни в какой вид внехозяйственной деятельности. Примерно 44,19 процента выборки домохозяйств имеют доступ к услугам сельскохозяйственного консультирования, тогда как 55,81 процента не имеют. Примерно 56,74 процента респондентов имеют доступ к кредиту, тогда как 43,26 процента не имеют.
4. Результаты
4.1. Сводка производственных переменных, использованных в модели SFA
Производственные переменные, использованные в этом исследовании, включают выход собранного риса (в килограммах на гектар), использование семян (в килограммах на гектар), использование удобрений (в килограммах на гектар), использование труда (в человеко-днях на гектар), землю, принадлежащую фермерам для выращивания риса (в гектарах), и использование трактора (в часах на гектар). Описательные данные для производственных переменных, рассматриваемых в этом исследовании, показаны в Таблице 2. Эта таблица содержит среднее значение, стандартное отклонение, а также минимальное и максимальное значения для каждой переменной. Урожайность риса варьируется от 2750 кг на гектар до 6600 кг на гектар, со средней урожайностью 5389,8 кг на гектар. Средние количества семян и удобрений, используемых в районе исследования, составляют 44,71 кг и 362,64 кг на гектар соответственно. Среднее время использования трактора фермерами в районе исследования варьируется от минимума 7,5 часов до максимума 24 часов, в то время как средние затраты труда фермеров в районе исследования варьируются от минимума 107 человеко-дней до максимума 336 человеко-дней. Разница между минимальными и максимальными значениями для использования трактора и труда может быть объяснена эффектом замещения трактором труда. Земля, используемая для выращивания риса в районе исследования, варьируется от 0,1 до 6,67 гектара. Большинство фермеров выращивают рис в небольших местных масштабах.
Таблица 2. Сводная статистика переменных, использованных в модели SFA.
4.2. Проверка гипотез и выбор модели
Параметры моделей стохастических границ в уравнениях (1) и (2) вычисляются с использованием STATA 15.0. Критерий отношения правдоподобия используется для проверки гипотез, включающих параметры стохастической производственной границы. В результате критерий отношения правдоподобия был использован для оценки последующей гипотезы.
В Таблице 3 представлена нулевая гипотеза вместе с соответствующим значением. Модель границы Кобба–Дугласа обеспечивает точное описание данных, подтверждая первую нулевую гипотезу H0: βjk = 0, j ≤ k = 1, 2, …, 5. Это свидетельствует о том, что модель границы Кобба–Дугласа была бы более подходящим методом для оценки данных.
Таблица 3. Критерий отношения правдоподобия (LR-тест) гипотезы для параметров стохастической граничной функции.
Значение тестовой статистики следует смешанному распределению хи-квадрат с 15 степенями свободы. Критические значения распределения приведены в таблице выше. Степени свободы равны 15, поскольку в тесте ограничено в общей сложности 15 параметров. Эта таблица показывает, что критическое значение статистики на 5%-ном уровне значимости составляет 24,38. Учитывая, что тестовая статистика равна 22,7, нулевая гипотеза принимается. Таким образом, производственная граничная модель Кобба–Дугласа обеспечивает адекватное представление данных.
Вторая нулевая гипотеза, утверждающая, что в модели нет компонентов технической неэффективности, уверенно отвергается. Это свидетельствует о том, что в процессе производства риса присутствуют элементы технической неэффективности.
4.3. Тест на мультиколлинеарность
Перед проведением эконометрического анализа был выполнен тест на мультиколлинеарность с использованием фактора инфляции дисперсии (VIF), как показано в Таблице 4. Согласно Gujarati и Porter (2009) [43], значение VIF больше 10 считается признаком серьезной мультиколлинеарности. VIF для труда, удобрений, земли, семян и тракторов был вычислен, чтобы определить, существует ли мультиколлинеарность между этими переменными. Эти факторы имеют VIF менее 10, в диапазоне от 1,07 до 1,51. С помощью теста мы смогли подтвердить, что мультиколлинеарность между переменными отсутствует.
Таблица 4. Факторы инфляции дисперсии (VIF) ресурсов.
4.4. Оценки параметров модели SPF
Одноэтапный подход оценки максимального правдоподобия был использован для одновременной оценки параметров модели влияния эффективности и стохастической граничной производственной функции, как показано в Таблице 5. Адекватное представление данных обеспечивается производственной граничной моделью Кобба–Дугласа, на что указывает результат проверки гипотезы в Таблице 3.
Таблица 5. Оценки максимального правдоподобия для стохастических граничных производственных функций Кобба–Дугласа и транслогарифмической с моделью неэффективности.
Предполагая, что все ресурсы остаются постоянными, эластичность производства представляет собой процентное изменение выпуска по отношению к процентному изменению уровней ресурсов. Параметры оценок максимального правдоподобия стохастической производственной функции определяют эластичность среднего выпуска по соответствующим ресурсам. В Таблице 5 представлен результат эластичности. Увеличение на один процент любой из переменных производственной модели приведет к увеличению выпуска риса менее чем на один процент, поскольку все факторы, принятые во внимание для производственной функции, являются неэластичными. С эластичностью 0,073 использование трактора является наиболее значительным производственным фактором среди пяти переменных, включенных в производственную модель. Оно оказывает небольшое, но существенное влияние на урожайность риса. Это указывает на то, что выпуск увеличится на 0,073% при увеличении на 1% использования тракторов для выращивания риса. Площадь земли, используемой для выращивания риса, демонстрирует следующую по величине эластичность — 0,019. Это означает, что при прочих равных условиях увеличение площади земли на 1% приводит к увеличению производства на 0,019%.
С другой стороны, влияние использования труда было положительным, но статистически незначимым, что позволяет предположить, что количество труда, используемого в производстве риса, существенно не влияет на выход риса в районе Парса. Аналогично, использование удобрений и семян имело отрицательные и незначимые эффекты, указывая на то, что их использование не оказывает существенного влияния на производство.
4.5. Факторы, влияющие на техническую неэффективность
В Таблице 5 представлены результаты исследования неэффективности. Направление влияния переменных в моделях указывается коэффициентами. Согласно результатам, возраст оказывает отрицательное влияние на техническую неэффективность, что позволяет предположить, что эти факторы имеют ключевое значение для снижения технической неэффективности среди фермеров. Учитывая, что коэффициент возраста является значительно отрицательным, можно сделать вывод, что пожилые фермеры менее неэффективны, чем молодые. Результат свидетельствует о том, что пожилые фермеры более технически компетентны, чем их более молодые коллеги. Кроме того, техническая неэффективность положительно коррелирует с внехозяйственной деятельностью, указывая на то, что фермеры, занимающиеся этой деятельностью, также технически неэффективны.
4.6. Показатели технической эффективности
Средний уровень технической эффективности фермера в районе исследования составляет 86,2 процента, как показано в Таблице 6. Результаты позволяют предположить, что в настоящее время фермеры, выращивающие рис, не занимаются выращиванием риса эффективно. Используя более продуктивные методы ведения сельского хозяйства без внедрения новых технологий, производство риса может быть увеличено до 13,8 процента без изменения объема используемых в настоящее время ресурсов. В среднем типичные фермеры работают на 13,8 процента ниже максимального выпуска. Кроме того, техническая эффективность фермеров варьируется от 44,4 процента до 99,2 процента. Другими словами, минимальный и максимальный уровни эффективности составляют 44,4 процента и 99,2 процента соответственно.
Таблица 6. Среднее, минимальное и максимальное значения технической эффективности.
На Рисунке 2 показано распределение показателей технической эффективности среди различных фермеров. Наибольшее количество фермеров с технической эффективностью от 90% до 100% составляет 103, а второе по величине количество с эффективностью от 70% до 80% составляет 55. Примерно 52% фермеров, выращивающих рис, производили урожайность ниже 90-процентного уровня технической эффективности.
Рисунок 2. Распределение технической эффективности среди фермеров.
В Таблице 7 показано распределение показателей технической эффективности вместе со средней урожайностью. Фермеры с технической эффективностью выше 90% производят приблизительно 5997 кг риса. Фермеры с показателями технической эффективности от 40% до 60% производят 2875 кг риса. Те, у кого показатели технической эффективности от 60% до 70%, производят 4180,36 кг риса. Фермеры с показателями технической эффективности от 70% до 80% производят 4709,85 кг риса, а фермеры с показателями технической эффективности от 80% до 90% производят 5167,20 кг риса.
Таблица 7. Распределение показателей технической эффективности фермеров вместе со средней урожайностью (в кг).
5. Обсуждение и выводы
Цели данного исследования — измерить техническую эффективность фермеров, выращивающих рис, в районе Парса и определить факторы, влияющие на нее, используя стохастическую граничную производственную функцию Кобба–Дугласа. Гипотеза о том, что производственная граничная модель Кобба–Дугласа обеспечивает адекватное представление данных, уверенно принимается. Кроме того, гипотеза, утверждающая, что в модели нет компонентов технической неэффективности, уверенно отвергается. Это свидетельствует о том, что в процессе производства риса присутствуют элементы технической неэффективности. Результаты указывают на то, что средняя техническая эффективность фермеров составляет 86,2. Более того, наши результаты указывают на неэффективное использование производственных факторов. Таким образом, техническая эффективность в 86,2 процента могла бы быть увеличена на 13,8 процента при эффективном использовании имеющихся ресурсов. Это ясно показывает эффективное использование производственных факторов. Данное исследование проводилось в районах работы Проекта модернизации сельского хозяйства премьер-министра (PMAMP), где основные программы включают предоставление фермерам субсидируемых сельскохозяйственных ресурсов, таких как улучшенные семена, сельскохозяйственные орудия и техника; программы содействия послеуборочной обработке; обучение фермеров для наращивания потенциала; а также создание ресурсных центров семян, центров проката сельхозтехники, ирригацию, программы стимулирования на основе результатов и практику объединения земель. Фермеры, зарегистрированные в программе PMAMP, получают субсидии от пятидесяти до ста процентов в зависимости от потребности, спроса и характера программы. Техническая эффективность фермеров может быть повышена за счет увеличения доступности ресурсов и улучшения их способности эффективно использовать доступные ресурсы. Проектный подход включает влияние социально-экономических характеристик, при этом результаты показывают, что возраст и внехозяйственная деятельность оказывают значительное влияние на производство риса. Результаты указывают на то, что возраст фермера оказывает отрицательное влияние на техническую неэффективность, подразумевая, что пожилые фермеры более технически эффективны, чем молодые фермеры. Этот результат согласуется с предыдущими исследованиями (Atamja и Yoo 2022; Subedi и др. 2020; Tuan 2017) [16,19,29]. Кроме того, коэффициент внехозяйственной деятельности является значительно положительным, подразумевая, что доход от внехозяйственной деятельности более привлекателен, чем от сельского хозяйства. Таким образом, фермеры могут уделять меньше внимания сельскохозяйственной деятельности и могут направлять больше семейного труда и времени на внехозяйственную деятельность. Это может быть связано с большим количеством возможностей для внехозяйственной занятости и сезонной занятости в сельском хозяйстве [30]. Этот результат согласуется с исследованием Coelli и др. (2002) [44], которое показало, что фермеры, которые меньше занимались несельскохозяйственной работой, были более технически эффективны. Исследования, проведенные Goodwin и Mishra (2004) [45], Chang и Wen (2011) [46], Kilic и др. (2009) [47], Larochelle и Alwang (2013) [48], Qu и др. (2020) [20] и Choudhary и др. (2022) [30], также показали, что участие во внехозяйственной деятельности оказывает отрицательное влияние на сельское хозяйство. Молодежь предпочитает возможности трудоустройства вне сельского хозяйства, даже если они живут в фермерском домохозяйстве. Согласно Paudel и Wagle (2020) [49], потенциальным вариантом решения этой проблемы является стимулирование внутренних инвестиций в сельское хозяйство с соответствующей минимальной заработной платой, чтобы сделать этот сектор привлекательным. Наконец, коэффициент земельной площади положителен; таким образом, создание большого поля для выращивания риса повысит техническую эффективность рисовода. Tuan (2017) [29] также предположил, что политика, направленная на объединение мелких рисовых полей для создания большого поля, может повысить техническую эффективность рисовода. Увеличение размера земельного участка помогает достичь эффекта масштаба, который гласит, что средние затраты на единицу продукции снижаются по мере увеличения масштаба операции. Согласно Choudhary и др. (2022) [30], размер земельного участка напрямую связан с эффектом масштаба. Это позволит фермерам эффективно использовать ресурсы, поскольку мелкие фермеры имеют слабую переговорную силу при заключении трудовых договоров, покупке сельхозтехники и других транзакционных издержках.
В заключение, важно обеспечить участие опытных фермеров в процессах планирования, разработки стратегии и политики. Это поможет распространять новые технологии и поощрять их активное внедрение, что могло бы помочь проекту достичь своих целей по повышению урожайности и производства риса. Согласно результатам этого исследования, фермеры, выращивающие рис, в командном районе PMAMP более технически эффективны. Результаты позволяют предположить, что подход PMAMP к такой политике, как объединение земель и центры проката сельхозтехники, должен быть реализован в качестве наивысшего приоритета, поскольку он способствует коммерциализации и расширяет доступ фермеров к технике. Аналогичным образом, такая политика, как программы стимулирования на основе результатов, будет поощрять фермеров и помогать делать сельскохозяйственный сектор привлекательным. Производители риса, по-видимому, выигрывают от программной стратегии PMAMP, которая включает субсидирование поставок сельскохозяйственных ресурсов, предложение обучающих программ и поощрение использования сельскохозяйственных машин и оборудования с точки зрения повышения технической эффективности.
Данное исследование имеет ряд ограничений. Семена, удобрения, труд, использование трактора и земля были использованы в качестве переменных неэффективности. Дальнейшие исследования могли бы рассмотреть дополнительные факторы, такие как ирригация, использование пестицидов, доступ к кредиту, образование, пол, консультационные услуги и другая техника, используемая при выращивании риса. Было принято предположение о полунормальном распределении, и дальнейшие исследования могли бы оценить другие распределения u_i, включая гамма-, экспоненциальное, полунормальное или усеченное нормальное. Это исследование было проведено в районах работы PMAMP района Парса с небольшим размером выборки. Будущие исследования должны включать больше областей и районов для получения большего размера выборки.
Ссылки
1. Joshi, G.R.; Bauer, S. Determinants of Rice Variety Diversity on Household Farms in the Terai Region of Nepal. In Proceedings of the International Association of Agricultural Economics Conference, Gold Coast, Australia, 12–18 August 2006. [Google Scholar]
2. Mallick, R.N. Rice in Nepal, Kathmandu; Kala Prakashan: Delhi, India, 1981. [Google Scholar]
3. Joshi, B.K.; Acharya, A.K.; Gauchan, D.; Singh, D.; Ghimire, K.H.; Sthapit, B.R. (Eds.) Geographical indication: A tool for supporting on-farm conservation of crop landraces and for rural development. In Conservation and Utilization of Agricultural Plant Genetic Resources in Nepal, Proceedings of the 2nd National Workshop, Kathmandu, Nepal, 22–23 May 2017; NAGRC/FDD/DoA/MoAD: Kathmandu, Nepal, 2017; pp. 50–62. ISBN 978-9937-0-2769-4. [Google Scholar]
4. Joshi, B.K.; Ghimire, K.H.; Bista, P.R.; Yadaw, R.B.; Shrestha, R.K.; Kharel, G.K.; Paneru, P.; KC, R.B.; Bhandari, D. Intellectual Property Right on Basmati Rice: Current Scenario and Evidence of Origin, Diversity, Cultivation and Use Values of Basmati Rice in Nepal. Nepal J. Biotech. 2021, 9, 93–108. [Google Scholar] [CrossRef]
5. Ministry of Agriculture and Livestock Development (MoALD); Government of Federal Democratic Republic of Nepal. Statistical Information of Nepalese Agriculture 2077/78 (2020/21); MoALD: Kathmandu, Nepal, 2022.
6. Food and Agriculture Organization of the United Nation (FAOSTAT). Information Sheet on Rice; FAOSTAT: Rome, Italy, 2022. [Google Scholar]
7. Ministry of Agriculture and Livestock Development (MoALD); Government of Federal Democratic Republic of Nepal. Statistical Information of Nepalese Agriculture 2075/76 (2018/19); MoALD: Kathmandu, Nepal, 2020.
8. Ministry of Agriculture and Livestock Development (MoALD); Government of Federal Democratic Republic of Nepal. Statistical Information of Nepalese Agriculture 2076/77 (2019/20); MoALD: Kathmandu, Nepal, 2021.
9. Trade and Export Promotion Centre (TEPC); Government of Federal Democratic Republic of Nepal. Nepal Foreign Trade Statistics; TEPC: Kathmandu, Nepal, 2020.
10. Nepal Rastra Bank (NRB). Current Macroeconomic and Financial Situation of Nepal, 2022. Available online: https://www.nrb.org.np/contents/uploads/2022/08/Current-Macroeconomic-and-Financial-Situation-English-Based-on-Annual-data-of-2021.22-2.pdf (accessed on 8 June 2022).
11. Thapa, G.; Kumar, A.; Joshi, P.K. Concluding Chapter: The Policy Agenda. In Agricultural Transformation in Nepal; Thapa, G., Kumar, A., Joshi, P.K., Eds.; Springer: Singapore, 2019; pp. 603–628. [Google Scholar] [CrossRef]
12. Uprety, R. SRI takes root in Nepal. Low External Input Sustain. Agric. 2006, 22, 26–27. [Google Scholar]
13. Abedullah, K.B.; Ahmad, B. Technical Efficiency and its Determinants in Potato Production, Evidence from Punjab, Pakistan. Lahore J. Econ. 2006, 11, 1–22. [Google Scholar] [CrossRef]
14. Bravo-Ureta, B.E.; Pinheiro, A.E. Technical, economic, and allocative efficiency in peasant farming: Evidence from the Dominican Republic. Dev. Econ. 1997, 34, 48–67. [Google Scholar] [CrossRef]
15. Huy, H.T. Technical Efficiency of Rice-Producing Households in the Mekong River Delta of Vietnam. Asian J. Agric. Dev. 2009, 6, 35–50. [Google Scholar]
16. Atamja, L.; Yoo, S. Analysis of the Technical Efficiency of Potato Farmers in Mezam Division of the Northwest Region in Cameroon. J. Agric. Life Environ. Sci. 2022, 34, 118–133. [Google Scholar] [CrossRef]
17. Kibaara, B.W. Technical Efficiency in Kenyan’s Maize Production: An Application of the Stochastic Frontier Approach. Master’s Thesis, Department of Agricultural and Resource Economics, Colorado State University, Fort Collins, CO, USA, 2005. [Google Scholar]
18. Chiona, S. Technical and Allocative Efficiency of Smallholder Maize Farmers in Zambia. Master’s Thesis, University of Zambia, Lusaka, Zambia, 2011. [Google Scholar]
19. Subedi, S.; Ghimire, Y.N.; Kharel, M.; Adhikari, S.P.; Shrestha, J.; Sapkota, B.K. Technical efficiency of rice production in Terai district of Nepal. J. Agric. Nat. Resour. 2020, 3, 32–44. [Google Scholar] [CrossRef]
20. Qu, R.; Wu, Y.; Chen, J.; Jones, G.D.; Li, W.; Jin, S.; Chang, Q.; Cao, Y.; Yang, G.; Li, Z.; et al. Effects of Agricultural Cooperative Society on Farmers’ Technical Efficiency: Evidence from Stochastic Frontier Analysis. Sustainability 2020, 12, 8194. [Google Scholar] [CrossRef]
21. Aigner, D.; Lovell, C.; Schmidt, P. Formulation and estimation of stochastic frontier production function models. J. Econ. 1977, 6, 21–37. [Google Scholar] [CrossRef]
22. Meeusen, W.; Van den Broeck, J. Efficiency Estimation from Cobb-Douglas Production Functions with Composed Error. Int. Econ. Rev. 1977, 18, 435–444. [Google Scholar] [CrossRef]
23. Charnes, A.; Cooper, W.W.; Rhodes, E. Measuring the efficiency of decision making units. Eur. J. Oper. Res. 1978, 2, 429–444. [Google Scholar] [CrossRef]
24. Coelli, T.J.; Rao, D.S.P.; O’Donnell, C.J.; Battese, G.E. An Introduction to Efficiency and Productivity Analysis; Springer Science & Business Media: Berlin, Germany, 2005. [Google Scholar]
25. Kebede, T.A. Farm Household Technical Efficiency: A Stochastic Frontier Analysis: A Study of Rice Producers in Mardi Watershed in the Western Development Region of Nepal. Master’s Thesis, Department of Economics and Social Sciences, Agricultural University of Norway, Oslo, Norway, 2001. [Google Scholar]
26. Aigner, D.J.; Chu, S.F. On Estimating the Industry Production Function. Am. Econ. Rev. 1968, 58, 826–839. [Google Scholar]
27. Hien, N.T.M.; Kawaguchi, T.; Suzuki, N. A study on Technical Efficiency of Rice Production in The Mekong Delta-Vietnam by Stochastic Frontier Analysis. J. Fac. Agr. 2003, 48, 325–357. [Google Scholar]
28. Koirala, K.H.; Mishra, A.K.; Mohanty, S. Determinants of Rice Productivity and Technical Efficiency in the Philippines. In Proceedings of the Southern Agricultural Economics Association (SAEA) Annual Meeting, Orlando, FL, USA, 2–5 February 2013; pp. 1–16. [Google Scholar]
29. Tuan, C.M. Technical Efficiency in Rice Production of Farmers in Cooperatives in Chau Thanh District, Kien Giang Province, Vietnam. Master’s Thesis, Prince of Songkla University, Hat Yai, Songkhla, 2017. [Google Scholar]
30. Choudhary, D.; Banskota, K.; Khanal, N.P.; McDonald, A.J.; Krupnik, T.J.; Erenstein, O. Rice Subsector Development and Farmer Efficiency in Nepal: Implications for Further Transformation and Food Security. Front. Sustain. Food Syst. 2022, 5, 740546. [Google Scholar] [CrossRef]
31. National Statistics Office of Nepal. District Profile Parsa 2017; Government of Federal Democratic Republic of Nepal: Kathmandu, Nepal, 2017. Available online: https://daoparsa.moha.gov.np/upload/7f22b3f541b3ed156d97d5c401c1720a/files/Parsa_Profile_Final2_(1).pdf (accessed on 3 June 2022).
32. Prime Minister Agriculture Modernization Project of Nepal. Project Implementation Manual; Ministry of Agriculture and Livestock Development, Government of Nepal: Kathmandu, Nepal, 2020. Available online: https://pmamp.gov.np/sites/default/files/2020-09/परियोजना%20कार्यान्वयन%20म्यानुअल.pdf (accessed on 3 June 2022).
33. Belotti, F.; Daidone, S.; Ilardi, G.; Atella, V. Stochastic Frontier Analysis using Stata. Stata J. 2013, 13, 719–758. [Google Scholar] [CrossRef]
34. Pitt, M.M.; Lee, L.-F. The measurement and sources of technical inefficiency in the Indonesia weaving industry. J. Dev. Econ. 1981, 9, 43–64. [Google Scholar] [CrossRef]
35. Kumbhakar, S.C. Production frontiers, panel data, and time varying technical inefficiency. J. Econ. 1990, 46, 201–211. [Google Scholar] [CrossRef]
36. Djomo, J.M.N.; Sikod, F. The Effects of Human Capital on Agriculture Productivity and Farmer’s Income in Cameroon. Int. Bus. Res. 2012, 5, 149–159. [Google Scholar] [CrossRef]
37. Akamin, A.; Bidogeza, J.-C.; Minkoua N, J.R.; Afari-Sefa, V. Efficiency and productivity analysis of vegetable farming within root and tuber-based systems in the humid tropics of Cameroon. J. Integr. Agric. 2017, 16, 1865–1873. [Google Scholar] [CrossRef]
38. Mengui, K.C.; Oh, S.; Lee, S.H. The Technical Efficiency of Smallholder Irish Potato Producers in Santa Subdivision, Cameroon. Agriculture 2019, 9, 259. [Google Scholar] [CrossRef]
39. Christensen, L.R.; Jorgenson, D.W.; Lau, L.J. Transcendental Logarithmic Production Frontiers. Rev. Econ. Stat. 1973, 55, 28–45. [Google Scholar] [CrossRef]
40. Rahman, S. Profit efficiency among Bangladeshi rice farmers. Food Policy. 2003, 28, 487–503. [Google Scholar] [CrossRef]
41. Battese, G.E. Frontier production functions and technical efficiency: A survey of empirical applications in agricultural economics. Agric. Econ. 1992, 7, 185–208. [Google Scholar] [CrossRef]
42. Kodde, D.A.; Palm, F.C. Wald Criteria for Jointly Testing Equality and Inequality Restriction. Econometrica 1986, 54, 1243–1248. [Google Scholar] [CrossRef]
43. Gujarati, D.N.; Porter, D.C. Basic Econometrics, 5th ed.; Douglas Reiner: New York, NY, USA, 2009. [Google Scholar]
44. Coelli, T.; Rahman, S.; Thirtle, C. Technical, Allocative, Cost and Scale Efficiencies in Bangladesh Rice Cultivation: A Non-parametric Approach. J. Agric. Econ. 2002, 53, 607–626. [Google Scholar] [CrossRef]
45. Goodwin, B.K.; Mishra, A.K. Farming Efficiency and the Determinants of Multiple Job Holding by Farm Operators. Am. J. Agric. Econ. 2004, 86, 722–729. [Google Scholar] [CrossRef]
46. Chang, H.-H.; Wen, F.-I. Off-farm work, technical efficiency, and rice production risk in Taiwan. Agric. Econ. 2011, 42, 269–278. [Google Scholar] [CrossRef]
47. Kilic, T.; Carletto, C.; Miluka, J.; Savastano, S. Rural nonfarm income and its impact on agriculture: Evidence from Albania. Agric. Econ. 2009, 40, 139–160. [Google Scholar] [CrossRef]
48. Larochelle, C.; Alwang, J. The Role of Risk Mitigation in Production Efficiency: A Case Study of Potato Cultivation in the Bolivian Andes. J. Agric. Econ. 2013, 64, 363–381. [Google Scholar] [CrossRef]
49. Paudel, R.; Wagle, S. Structural Transformation and Growth: Whither Agriculture in Nepal. In Agricultural Transformation in Nepal; Thapa, G., Kumar, A., Joshi, P.K., Eds.; Springer: Singapore, 2019; pp. 11–25. [Google Scholar] [CrossRef]
Rauniyar PB, Kim J. Assessing the Technical Efficiency of Rice Producers in the Parsa District of Nepal. Agriculture. 2025; 15(3):342. https://doi.org/10.3390/agriculture15030342
Перевод статьи «Assessing the Technical Efficiency of Rice Producers in the Parsa District of Nepal» авторов Rauniyar PB, Kim J., оригинал доступен по ссылке. Лицензия: CC BY. Изменения: переведено на русский язык
Фото: freepik














Комментарии (0)