От поля до розетки: оценка пригодности сельхозотходов для производства электроэнергии с помощью ГИС и многокритериального анализа
На протяжении последних десятилетий деятельность человека была критически зависима от ископаемого топлива. В последних докладах Межправительственной группы экспертов по изменению климата содержится рекомендация о переходе к возобновляемой энергетике и повышению энергоэффективности экономики. Для раскрытия потенциала биоэнергетики необходимы инструменты, позволяющие преодолеть сложности, связанные с принятием решений при реализации жизнеспособных проектов. В данной работе представлен подход к выбору наиболее предпочтительных видов биомассы из сельскохозяйственных отходов, а также рассмотрен практический пример на основе штата Минас-Жерайс (Бразилия).
Аннотация
Среди тринадцати оценённых критериев наибольший потенциал для производства электроэнергии продемонстрировали остатки эвкалипта, за которыми следуют жмых сахарного тростника и кофейная шелуха. Выбор штата Минас-Жерайс в качестве объекта исследования обусловлен разнообразием его сельскохозяйственных ландшафтов и высокому объёму генерации остатков биомассы.
Предлагаемая методика базируется на методе анализа иерархий (AHP), который относится к многокритериальным методам принятия решений (MCDM). Для обоснованного выбора альтернативных видов остатков биомассы при производстве электроэнергии потребовалось тринадцать критериев, оценённых экспертами в области биоэнергетики. Наибольшую значимость показал технический критерий. Результаты исследования показали, что наиболее весомыми подкритериями при определении приоритетности использования сельскохозяйственных отходов стали выбросы CO₂-экв. (11,46%) и спрос на электроэнергию (ED). Эвкалипт был признан наиболее перспективным видом биомассы, за которым следуют жмых сахарного тростника и кофейная шелуха. Кроме того, использование геоинформационных систем (ГИС) позволило составить карту районов штата Минас-Жерайс с наибольшим потенциалом, что обеспечило комплексный подход к выявлению стратегически значимых площадок для развития биоэнергетики.
1. Введение
Значительные изменения климата, усугубляемые выбросами парниковых газов, обусловили необходимость быстрой трансформации моделей энергопотребления. Доклады Организации Объединенных Наций подчеркивают необходимость скорейшего внедрения политики, основанной на возобновляемых источниках энергии и энергоэффективности, что получило название энергетического перехода [1].
Биомасса стала ключевым компонентом мирового энергетического баланса на основе возобновляемых источников благодаря своей способности обеспечивать устойчивую альтернативу ископаемому топливу. Основное преимущество биомассы заключается в её возобновляемом характере. В отличие от ископаемого топлива, диоксид углерода (CO₂), выделяющийся при сжигании биомассы, компенсируется CO₂, поглощенным в процессе роста растений, что делает её вклад в содержание атмосферного CO₂ минимальным [2]. Этот баланс подчеркивает роль биомассы в сокращении выбросов парниковых газов (ПГ) при одновременном использовании сельскохозяйственных и лесных остатков в качестве ценных ресурсов.
Среди всех видов биоэнергии остатки биомассы являются легкодоступным источником, который не создает дополнительной нагрузки на окружающую среду или общество [1]. Согласно данным Пола и Датты, в мире ежегодно образуется около 181,5 миллиарда тонн остатков биомассы [3]. Согласно оценкам, использование топлива из биомассы позволило бы достичь сокращения глобальных выбросов парниковых газов примерно на 35% [4]. Кроме того, использование биоэнергии может быть выгодным и с точки зрения других экономических и социальных факторов [5,6].
По данным Эрреры, к 2050 году вклад агролесомелиоративных остатков и энергетических культур в глобальное снабжение биоэнергией может увеличиться на 250% при внедрении технологий газификации и сжигания [1].
Метод многокритериального принятия решений (MCDM), в частности анализ иерархий (AHP), в основном применялся для выбора технологий производства электроэнергии на основе биомассы, как описано в некоторых примерах ниже, и зарекомендовал себя как жизнеспособный методологический подход. Нкуна исследовал выбор жизнеспособной термохимической технологии конверсии между сжиганием/инсинерацией, плазмой, газификацией и пиролизом для утилизации осадка сточных вод и размещения установки. Сжигание (инсинерация) было определено как наиболее жизнеспособная технология [7].
Коста и др. (2020) разработали модель для оптимального размещения биоэнергетических предприятий с использованием ГИС-инструмента в районах выращивания сахарного тростника в Бразилии [8]. В исследовании было выявлено 1737 потенциальных площадок для установки биоэлектрических станций на основе применения метода взвешенного линейного комбинирования и присвоения весов на основе AHP.
В Колумбии Родригес и др. (2017) определили двенадцать идеальных площадок для электростанций или заводов по производству биотоплива с использованием остатков какао [9]. Они использовали ГИС-инструмент, интегрированный с нечетким методом AHP, а также логистические и экономические критерии для выявления физических и географических ограничений.
Деливанд и др. (2015) применили интегрированный подход, используя комбинацию методологий ГИС-МКА (многокритериальный анализ) для размещения предприятий по переработке отходов соломы твердой пшеницы, а также отходов обрезки оливковых деревьев и виноградников [10].
В то же время применение методов MCDM для выбора наиболее жизнеспособных остатков биомассы и описание специфики этой проблемы встречаются редко [11,12,13].
Мадху и др. (2020) применили AHP в рамках многокритериального принятия решений для выбора наиболее подходящего сырья из биомассы и получения максимального выхода бионефти в процессе пиролиза [14].
Сингх и Шривастава использовали AHP для выбора потенциальных источников биомассы в индийском контексте [12].
Ховари и др. (2023) применили метод MCDM TOPSIS на основе AHP путем расчета весов для ранжирования различных видов биомассы, полученной из сельскохозяйственных и промышленных остатков. Восемь предложенных оценочных критериев учитывали основные элементы химического состава биомассы [15].
Когда для оценки продукта или процесса доступно множество вариантов, выбор оптимальной альтернативы становится важнейшей задачей. Однако эта задача часто является сложной из-за вовлечения множества, иногда противоречащих друг другу критериев. В ответ на эти сложности был разработан широкий спектр методов многокритериального принятия решений (MCDM) для решения задач принятия решений в различных областях. Метод анализа иерархий (AHP), являющийся одним из ключевых методов MCDM, доказал свою эффективность для определения приоритетности альтернатив путем иерархического структурирования решений и включения экспертных оценок [16].
В данной статье представлена методика оценки, основанная на методе MCDM (AHP) и пространственной структуре данных (ГИС). Она была применена в рамках практического исследования по оценке целесообразности проектов использования остатков биомассы для производства электроэнергии в штате Минас-Жерайс (MG), Бразилия. В целом, новая методика оценки учитывает разнообразие, пространственное распределение и генерацию остатков биомассы, логистику, техническую осуществимость, маршрут преобразования энергии, экологическую устойчивость, социальные вопросы и финансовые показатели.
Основная новизна статьи заключается в том, что методы MCDM чаще используются для выбора наиболее приемлемой среди различных технологий преобразования, а не для ранжирования пригодности различных остатков биомассы для производства электроэнергии или биотоплива и определения мест размещения электростанций на основе ГИС.
2. Материалы и методы
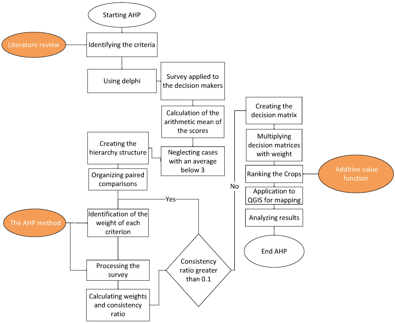
Данные были собраны в 2021 году. Методология данного исследования включает четыре этапа, как показано на Рисунке 1: (i) сбор информации о проблеме, (ii) разработка модели, (iii) определение самой методологии принятия решений и (iv) применение методологии MCDM с ГИС-инструментом к практическому исследованию.
Рисунок 1. Общее описание методологии.
На первом этапе основное внимание уделяется выявлению наиболее значимых сельскохозяйственных культур в анализируемом регионе на основе объемов производства и доступности. Этот шаг гарантирует, что выбор культур отражает реальный сельскохозяйственный профиль региона, закладывая основу для последующего анализа. Для практического исследования, сосредоточенного на штате Минас-Жерайс (MG), Бразилия, данные были получены из базы данных SIDRA, поддерживаемой Бразильским институтом географии и статистики (IBGE) [17].
База данных SIDRA признана одним из самых надежных источников сельскохозяйственной статистики в Бразилии. Она построена на основе систематических и строгих процессов сбора данных, включая Систематическое обследование сельскохозяйственного производства (LSPA), которое предполагает проверку данных сельскохозяйственного производства на местах (IBGE, 2024). Методология LSPA включает ежемесячные полевые обследования и прямое взаимодействие с сельскохозяйственными производителями для получения точной и детальной информации о производстве культур, площадях сбора и урожайности. Эти методы минимизируют потенциальные искажения или неточности в данных, повышая их пригодность для аналитических целей и обеспечивая прочную основу для таких исследований, как данное [18].
Хотя база данных SIDRA является высоконадежной, мы признаем, что любой набор данных может иметь внутренние ограничения, такие как задержки в обновлении или незначительные региональные расхождения. Чтобы решить эту проблему, в исследовании данные SIDRA были перекрестно сопоставлены с экспертными оценками и дополнительной литературой для обеспечения соответствия сельскохозяйственной реальности Минас-Жерайса. Этот процесс дополнительной валидации повысил надежность входных данных, используемых в ГИС-анализе и методологии AHP, смягчая потенциальное влияние любых незначительных расхождений в наборе данных.
Учитывая надежность набора данных SIDRA и его системный подход, мы уверены, что данные точно отражают сельскохозяйственный профиль Минас-Жерайса. Эта надежность подтверждает обоснованность результатов исследования и подкрепляет надежность методологии, примененной в данном практическом исследовании.
Второй этап включает углубленный обзор и выбор подходящих методов MCDM, используемых в энергетических приложениях. К ним относятся AHP, ELECTRE, TOPSIS, VIKOR, MAUT, PROMETHEE и MACBETH. Для данного исследования был выбран AHP благодаря его эффективности в структурировании сложных сценариев принятия решений и его проверенному применению в аналогичных контекстах. После выбора метода были рассчитаны теоретический и технический потенциалы, а также определены критерии и подкритерии для анализа, следуя рекомендациям, предложенным в [19,20,21,22,23].
Третий этап включает применение выбранного метода MCDM для выявления наиболее перспективных остатков сельскохозяйственных культур для производства биоэнергии. Структурированная анкета была распространена среди группы экспертов в области биоэнергетики, которым было предложено оценить критерии с использованием шкалы парных сравнений Саати [24,25]. Результаты опроса были сведены в матрицу сравнения (матрица S), а веса для каждого критерия были получены с помощью геометрического среднего. Для обеспечения надежности ответов был рассчитан и проанализирован индекс согласованности (ИС), чтобы убедиться, что суждения соответствуют приемлемым порогам согласованности.
Четвертый и заключительный этап использует ГИС-инструмент (QGIS 3.34) для создания карт теоретического потенциала для выбранного региона. Эти карты визуально представляют распределение культур и выделяют микрорегионы, где остатки соответствуют установленным критериям для преобразования энергии. Этот шаг облегчает пространственное понимание доступности биомассы и помогает лицам, принимающим решения, определять приоритетные локации для проектов в области биоэнергетики. Комплексный подход позволяет выявить остатки биомассы, которые наилучшим образом соответствуют техническим, экономическим и логистическим критериям, необходимым для производства энергии.
2.1. Методология Саати
Саати предложил методологию многокритериального анализа (МКА), предназначенную для установления ранга среди оцениваемых альтернатив посредством структурированного процесса парных сравнений и взвешивания критериев [25]. Этот подход включает создание матрицы сравнения, где каждый элемент указывает на относительную важность одного критерия по сравнению с другим [13]. Относительная важность определяется с использованием фундаментальной шкалы, как показано в Таблице 1, которая обеспечивает стандартизированную основу для присвоения весов на основе экспертных суждений.
Таблица 1. Фундаментальная шкала, предложенная Саати.
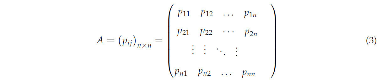
Матрица сравнения, обозначаемая как матрица S, строится с использованием уравнений (1) и (2):
S_ii: Представляет значение самосравнения критерия, которое всегда равно 1 в методе анализа иерархий (AHP), так как критерий одинаково важен при сравнении с самим собой.
S_ij: Представляет относительную важность критерия i по сравнению с критерием j.
S_ji: Представляет обратную величину S_ij, так как важность j по отношению к i является обратной величиной важности i по отношению к j.
Следовательно, веса этих критериев будут установлены с помощью геометрического среднего матрицы S, как показано в уравнении (3), а затем преобразованы в веса атрибутов с использованием метода нормированного среднего геометрического строк или метода собственного вектора для оценки вектора приоритетов.
2.2. Метод анализа иерархий (AHP)
Метод AHP был выбран в качестве инструмента принятия решений для анализа альтернатив, рассматриваемых в этом исследовании [26]. Процесс включает три основных этапа: (i) структурирование иерархии критериев и альтернатив, (ii) создание матрицы парных сравнений и (iii) расчет весовых значений критериев и показателей эффективности для каждой альтернативы.
AHP обеспечивает систематическую основу, которая позволяет принимать решения путем присвоения числовых значений как критериям, так и альтернативным вариантам, и связывания этих значений с общей целью. Процесс реализации показан на Рисунке 2, который описывает основные этапы: (i) проведение обзора литературы для выявления и отбора критериев, влияющих на использование сельскохозяйственных и промышленных отходов для производства электроэнергии, (ii) оценка весов критериев и определение значений баллов для каждого типа остатков сельскохозяйственных культур и (iii) использование аддитивной ценностной функции для ранжирования остатков сельскохозяйственных культур.
Рисунок 2. Трехэтапная блок-схема MCDM/AHP.
Для оценки альтернатив с использованием матрицы парных сравнений в этом исследовании следовали формулировке, предложенной Хейбари [24]. Матрица представлена, как показано в уравнении (3), где каждая строка соответствует критерию, а столбцы указывают на относительную важность этого критерия по сравнению с другими:
A: Матрица парных сравнений размером n×n, где каждый элемент p_ij представляет относительную важность критерия i по сравнению с критерием j.
p_ij: Значение, указывающее важность критерия i по отношению к j.
n: Общее количество критериев, оцениваемых в процессе принятия решений.
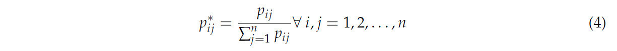
Матрица парных сравнений представляет значение относительной важности критерия (или альтернативы) по сравнению с критерием (или альтернативой), рассчитанное с помощью парных сравнений по всем критериям. Это сравнение использует девятиуровневую фундаментальную шкалу Саати. Затем каждая строка матрицы нормализуется, как показано в уравнении (4):
p_ij*: Нормализованное значение p_ij, представляющее относительный вес или приоритет элемента i по отношению к элементу j после нормализации.
p_ij: Исходное значение парного сравнения, указывающее относительную важность критерия i по сравнению с критерием j.
Сумма всех значений парных сравнений для критерия i по всем n критериям. Эта сумма используется для нормализации значений для обеспечения согласованности.
n: Общее количество критериев, сравниваемых в матрице принятия решений.
Уравнение (5) представляет степень относительной важности для каждого критерия, полученную путем суммирования нормализованных значений:
В процессе MCDM веса из уравнения (6) известны как локальные веса. Локальные веса всех критериев и подкритериев в пределах ветви умножаются для расчета общего веса подкритериев вышестоящего уровня в каждой ветви иерархической структуры. Анализ согласованности необходим для обеспечения надежности оценок [27].
2.3. Индекс согласованности (ИС) и отношение согласованности ответов
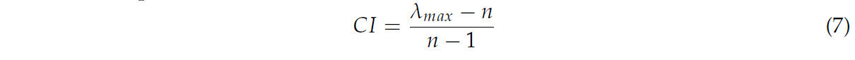
Индекс согласованности (CI) является ключевой мерой для оценки линейной независимости между парами критериев в матрице сравнения. Значение CI, близкое к нулю, указывает на лучшую согласованность матрицы. CI определяется Саати и представлен Хейбари [16], как показано в уравнении (7):
λ_max: Наибольшее собственное значение матрицы парных сравнений.
n: Количество критериев в матрице.
Максимальное собственное значение может быть определено с использованием уравнения (8):
λ_max: Наибольшее собственное значение матрицы парных сравнений. Это значение используется при расчете индекса согласованности (CI) в методе AHP.
n: Общее количество критериев в матрице парных сравнений.
A: Матрица парных сравнений (n x n).
w: Вектор нормализованных весов, где каждый элемент w_i представляет относительный вес критерия i.
(Aw)_i: i-й элемент вектора, полученного в результате умножения матрицы A на вектор весов w.
В этом уравнении (Aw)_i представляет произведение исходной матрицы сравнения A на вектор весов w, а n — количество критериев, оцениваемых в матрице сравнения. По сути, n соответствует количеству критериев, перечисленных для конкретной проблемы принятия решений, анализируемой с использованием метода AHP [15,28].
Для идеально согласованной матрицы сравнения CI = 0 и λ_max = n. Однако достижение CI = 0, как правило, нереалистично на практике. Таким образом, для лучшей оценки согласованности суждений отношение согласованности (CR) рассчитывается в соответствии с уравнением (9):
CR (Отношение согласованности): Мера, используемая для оценки согласованности суждений в матрице парных сравнений в рамках метода анализа иерархий (AHP). Значение CR ниже 0,1 обычно считается приемлемым для надежных результатов.
CI (Индекс согласованности): Значение, которое количественно определяет степень несогласованности в матрице парных сравнений.
Случайный индекс (RI), который варьируется в зависимости от количества критериев, показан в Таблице 2. Когда n < 3, матрица сравнения является внутренне согласованной, и значение RI считается случайным. Согласованность и надежность матрицы подтверждаются, когда CR < 0,1. Когда CR ≥ 0,1, необходима корректировка матрицы суждений для достижения приемлемых уровней согласованности [25,29].
Таблица 2. Значения RI основаны на выбранных критериях. Источник: [25,26].
2.4. Анализ данных
Анализ данных был проведен с использованием вычислительного пакета R 0.4.1, который обрабатывает и уточняет агрегированные данные для достижения значения согласованности ответов на анкету, как описано Чо [30]. Это обеспечивает надежность результатов AHP и помогает подтвердить согласованность матрицы.
Инструмент «ahpsurvey» из пакета R был использован для количественной оценки несогласованности в ответах и внесения автоматических корректировок для приведения их в соответствие с условием согласованности Саати. Этот инструмент упрощает процесс путем перекалибровки данных, гарантируя, что индекс согласованности (CI) и отношение согласованности (CR) соответствуют приемлемым пороговым значениям. Окончательные значения для каждой альтернативы были рассчитаны с использованием уравнения (10):
V_i: Общий балл или ценность альтернативы i. Он представляет собой взвешенную сумму значений полезности по всем критериям для альтернативы.
W_j: Нормализованный вес критерия j, указывающий его относительную важность в процессе принятия решений.
U_ij: Значение полезности альтернативы i по отношению к критерию j. Оно отражает эффективность альтернативы i по критерию j.
n: Общее количество критериев, рассматриваемых в анализе.
В этом уравнении Wj представляет вес каждого критерия, определенный на предыдущем этапе, а Uij обозначает показатель эффективности каждой альтернативы по каждому критерию.
2.5. Практическое исследование
Практическое исследование было проведено в штате Минас-Жерайс (MG), Бразилия (Рисунок 3), который известен своим значительным сельскохозяйственным производством, включая такие культуры, как сахарный тростник, древесина лиственных пород, кукуруза, бобы и кофе [30]. Целью было применение методологии AHP для выявления наиболее подходящих остатков сельскохозяйственных культур для производства биоэнергии и оценки их потенциала для производства электроэнергии.
Рисунок 3. Микрорегионы штата Минас-Жерайс.
В этом анализе рассматривались пять типов биомассы: жмых сахарного тростника, стебли кукурузы, кофейная шелуха, остатки древесины лиственных пород и солома бобов. Они были выбраны на основе их высокой доступности и значимости для сельскохозяйственного ландшафта региона. Данные, полученные из базы данных SIDRA и региональной статистики производства, послужили основой для выбора этих конкретных видов биомассы.
Процесс принятия решений включал группу из 32 экспертов в области биоэнергетики, включая исследователей, инженеров и отраслевых специалистов. Такое разнообразное представительство обеспечило широкий спектр взглядов, охватывающих как теоретические знания, так и практический опыт в области биоэнергетических проектов. Согласно рекомендациям, изложенным в литературе [31,32], идеальное количество участников для исследований AHP обычно составляет от 2 до 100 экспертов. Этот диапазон обеспечивает баланс между разнообразием мнений и возможностью организации и анализа собранных данных.
Консультации с экспертами проводились посредством структурированных опросов, включавших парные сравнения критериев с использованием девятиуровневой фундаментальной шкалы Саати. Ответы на опросы собирались через онлайн-анкетирование, что обеспечивало всесторонний и репрезентативный сбор данных.
Отбор критериев для этого исследования основывался на анализе различных библиографических источников и соответствовал доступности надежных наборов данных. Такой подход гарантирует, что выбранные критерии всесторонне представляют факторы, влияющие на целесообразность использования биомассы, минимизируя при этом влияние субъективных суждений. Обосновывая процесс отбора в установленной литературе и проверенных источниках данных, таких как база данных SIDRA IBGE, исследование снижает потенциальную предвзятость, свойственную экспертным методологиям.
Критерии оценки потенциала каждой биомассы включали техническую осуществимость, экономическую жизнеспособность, воздействие на окружающую среду и логистические соображения. Эти критерии были выбраны на основе тщательного обзора литературы и консультаций с экспертной группой для соответствия ключевым факторам, влияющим на проекты в области биоэнергетики в регионе. Каждый критерий был взвешен и оценен с использованием процесса AHP, включая методологии и уравнения, описанные в разделах 2.1, 2.2, 2.3 и 2.4.
Кроме того, использование экспертных оценок было дополнено проверками согласованности, как описано в разделе 2.3, для подтверждения когерентности и надежности парных сравнений. Эта комбинация выбора критериев на основе данных и экспертной валидации подкрепляет надежность структуры метода анализа иерархий (AHP), примененной в данном исследовании.
Рассматриваемые технологии преобразования биомассы в электроэнергию включали традиционные системы цикла Ренкина, системы органического цикла Ренкина (ORC) и двигатели внутреннего сгорания с газификаторами. Эти технологии были выбраны из-за их различной эффективности и применимости к различным типам биомассы. Оценка была направлена на выявление того, какие остатки сельскохозяйственных культур будут работать лучше всего в этих технологических условиях, предоставляя четкую основу для будущих биоэнергетических инициатив в Минас-Жерайсе.
Результаты анализа включали ранжирование альтернатив биомассы и понимание того, как выбранные критерии повлияли на процесс принятия решений. Структурированный подход гарантировал, что результаты исследования были также практичными, предлагая ценную информацию для заинтересованных сторон, участвующих в развитии биоэнергетики в штате.
3. Результаты и обсуждение
3.1. Определение критериев и подкритериев и иерархическое структурирование
Критерии, использованные в этом исследовании, были разделены на четыре основные группы: экономические, технические, экологические и социальные, с 13 подкритериями, распределенными по этим группам. Эти критерии и подкритерии были выбраны на основе комбинации количественных и качественных данных, что обеспечило всестороннюю основу для оценки потенциала различных остатков биомассы. На Рисунке 4 показана иерархическая структура, примененная в этом анализе принятия решений для планирования ресурсов биомассы.
Рисунок 4. Иерархическая структура исследования принятия решений для планирования ресурсов биомассы.
Эти эксперты предоставили информацию, основанную на их обширных знаниях и практическом опыте, гарантируя, что критерии всесторонне отражают технические, экономические, экологические и социальные аспекты, критически важные для целесообразности использования биомассы.
Чтобы минимизировать субъективную предвзятость, критерии были структурированы иерархически и перекрестно проверены с помощью установленных систем в исследованиях биоэнергетики. Кроме того, матрицы парных сравнений были подвергнуты проверкам отношения согласованности (CR), при необходимости вносились корректировки, чтобы гарантировать, что значения CR остаются ниже приемлемого порога 0,1, как рекомендовано Саати (1980) [25].
Эта методологическая строгость дает уверенность в том, что выбранные критерии в достаточной степени охватывают соответствующие факторы, влияющие на целесообразность использования биомассы. Хотя субъективные суждения присущи AHP, проверки согласованности и разнообразная экспертная группа смягчают потенциальные предубеждения. Кроме того, методология может быть адаптирована и расширена для включения новых критериев по мере развития региональных или технологических приоритетов, что повышает ее надежность и применимость.
Хотя 32 члена группы представляют собой репрезентативный размер выборки в контексте исследований многокритериального принятия решений, было уделено внимание балансу состава группы, чтобы избежать потенциальных предубеждений, связанных с чрезмерным представительством какого-либо отдельного сектора или региона. Более того, структурированная методология опроса в сочетании с парными сравнениями позволила объединить индивидуальные суждения в согласованную и репрезентативную систему.
Экспертная оценка была неотъемлемой частью этого процесса. Структурированная анкета была распространена среди 32 специалистов в области биоэнергетики, которые провели парные сравнения критериев и подкритериев на основе фундаментальной шкалы Саати. Согласованность их ответов была оценена с использованием отношения согласованности (CR), что обеспечило надежность и когерентность суждений. Полученные веса отражают агрегированные экспертные оценки, обеспечивая надежную основу для анализа.
Чтобы дополнительно смягчить потенциальные ограничения, отношение согласованности (CR) парных сравнений было тщательно оценено, а любые несогласованности были устранены путем перекалибровки матриц с использованием вычислительного пакета R. Этот шаг гарантировал, что экспертные оценки соответствуют порогу надежности, рекомендованному Саати (CR < 0,1).
Система взвешивания подчеркивала критерии, отражающие региональные и технологические приоритеты. Будущие исследования могли бы дополнительно увеличить размер и разнообразие группы для повышения репрезентативности, особенно в более широких оценках. Эта адаптивность гарантирует, что методология остается надежной и реагирует на меняющиеся задачи биоэнергетики.
Включение различных точек зрения и применение строгих проверок согласованности повышают достоверность результатов, снижая вероятность искаженных результатов из-за состава группы. Тем не менее, как и в любом применении AHP, будущие исследования могли бы расширить размер и разнообразие группы для дальнейшего повышения репрезентативности, особенно в более широких региональных или глобальных оценках.
Согласованность этих оценок была проверена для обеспечения надежности, как подробно описано в разделе 2.3. Экспертные оценки использовались для расчета локальных весов каждого критерия и подкритерия, которые впоследствии были агрегированы для получения глобальных весов. Эта система взвешивания подчеркнула относительную важность каждого критерия в процессе принятия решений, отражая реальные приоритеты и проблемы, связанные с использованием биомассы для производства энергии.
3.2. Обобщаемость методологии
Хотя практическое исследование фокусируется на штате Минас-Жерайс, Бразилия, разработанная в этом исследовании методология предназначена для широкого применения. Подход сочетает метод анализа иерархий (AHP) с инструментами географических информационных систем (ГИС), используя общедоступные и стандартизированные источники данных. Это гарантирует, что система может быть адаптирована для разных регионов при условии наличия эквивалентных наборов данных и геопространственной информации.
Сила методологии заключается в ее гибкости. Процесс AHP позволяет настраивать критерии и подкритерии для отражения региональных или местных условий, таких как различия в методах ведения сельского хозяйства, типах биомассы или социально-экономических факторах. Аналогичным образом, инструменты ГИС могут включать региональные геопространственные данные для обеспечения точного пространственного анализа. Система не привязана к Минас-Жерайсу, но была продемонстрирована в этом контексте как практическое применение ее возможностей.
Кроме того, наборы данных, использованные в этом исследовании, такие как данные IBGE, аналогичны данным, доступным от статистических агентств во многих других странах. Это делает методологию особенно подходящей для более широкого применения, позволяя лицам, принимающим решения, в различных регионах оценивать целесообразность использования остатков биомассы для производства энергии в их уникальных условиях.
Будущие исследования могли бы расширить применение этой методологии на другие регионы, включив различные наборы данных и критерии для проверки ее обобщаемости. Эта адаптивность подчеркивает потенциал методологии как ценного инструмента для оценки целесообразности использования биомассы во всем мире, поддерживая разработку индивидуальных энергетических решений, которые отвечают местным потребностям, одновременно способствуя достижению глобальных целей в области возобновляемой энергетики.
3.3. Технические критерии
Технические критерии включают теоретический и технический энергетические потенциалы рассматриваемых остатков биомассы.
3.3.1. Теоретический потенциал
Количественно определяет максимальное количество энергии, которое может быть извлечено из данного источника биомассы, на основе объема его производства, низшей теплотворной способности (LHV) и коэффициента выхода остатков [33]. Этот потенциал количественно определяется с использованием уравнения (11):
E_theoretical: Теоретический энергетический потенциал, выраженный в гигаваттах (ГВт). Он представляет общую потенциальную энергию, которая может быть произведена из остатков биомассы.
P: Продуктивность биомассы или общий годовой объем производства рассматриваемого остатка биомассы (например, тонн в год).
A_f: Коэффициент доступности, представляющий долю биомассы, практически доступной для производства энергии после учета неэнергетического использования и потерь.
LHV: Низшая теплотворная способность, то есть количество энергии, выделяемой при сгорании единицы массы биомассы (например, МДж/кг или МДж/тонну).
RPR: Коэффициент выхода остатков, указывающий количество остатков, образующихся на единицу первичной сельскохозяйственной продукции (например, кг остатков на кг продукции).
n: Общее количество типов биомассы или культур, рассматриваемых в анализе.
В этом уравнении p относится к объему производства, A_f — годовой коэффициент доступности отходов, LHV — низшая теплотворная способность, а RPR — коэффициент выхода остатков. Данные по LHV для остатков, проанализированных в этом исследовании, подробно представлены в Таблице 3.
Таблица 3. Остатки с высокой теплотворной способностью на сухой основе. Источник: [34,35,36,37].
3.3.2. Технический потенциал
Технический потенциал рассчитывается после выбора подходящей технологии преобразования биомассы. Для этого исследования был выбран традиционный цикл Ренкина из-за его широкого коммерческого использования и высокой технологической зрелости [38]. Технический потенциал оценивается путем применения уравнения (12) с коэффициентом эффективности:
E_technical: Технический энергетический потенциал, выраженный в гигаваттах (ГВт). Он представляет ту часть теоретического энергетического потенциала, которая может быть реально преобразована в полезную энергию с учетом эффективности системы.
E_theoretical: Теоретический энергетический потенциал, выраженный в гигаваттах (ГВт). Это максимальный потенциальный потенциал энергии, рассчитанный без учета потерь на эффективность.
η: Коэффициент эффективности преобразования, который учитывает техническую эффективность процесса преобразования энергии (например, из биомассы в электричество). Это безразмерная величина, обычно находящаяся в диапазоне от 0 до 1.
3.3.3. Технические подкритерии
В рамках технических критериев было оценено несколько подкритериев, как описано ниже.
(a) RPR (Коэффициент выхода остатков): Представляет собой отношение количества образующихся остатков биомассы к основной сельскохозяйственной продукции, указывая на доступность ресурса (как показано в Таблице 4).
Таблица 4. Коэффициент выхода остатков для рассматриваемых культур. Источник: [34,36,39].
(b) AF (Годовой коэффициент доступности отходов): Процент времени в течение года, когда отходы доступны для сбора и использования (как показано в Таблице 5).
Таблица 5. Коэффициент доступности отходов (AF). Источник: [36,39,40,41].
(c) AR (Коэффициент извлечения остатков): Процент остатков биомассы, которые могут быть реально собраны и извлечены для производства энергии с учетом ограничений при сборе и транспортировке (Таблица 6).
Таблица 6. Коэффициент извлечения отходов сельскохозяйственных культур. Источник: [36,37].
(d) RT (Среднее расстояние транспортировки): Среднее расстояние между плантациями сельскохозяйственных культур и предлагаемой электростанцией на биомассе, как показано на Рисунке 5. Этот фактор влияет на логистическую осуществимость и общие затраты по проекту.
Рисунок 5. RT (км) Среднее расстояние от плантаций сельскохозяйственных культур до предлагаемых мест расположения тепловых электростанций в Минас-Жерайсе.
3.4. Экологические критерии
Для оценки экологических аспектов, связанных с использованием остатков биомассы, были определены два подкритерия: чистые выбросы парниковых газов (CO₂-экв.) и экологически устойчивый коэффициент извлечения (ESR) [36]. Подкритерий CO₂-экв. количественно определяет выбросы парниковых газов при сжигании различных остатков биомассы, как показано в Таблице 7. Эта таблица подчеркивает разницу в выбросах CO₂ для каждого типа остатков, отражая их воздействие на окружающую среду при использовании для производства энергии.
Таблица 7. Общие выбросы CO₂ при сжигании биомассы по типу культуры. Источник: [42,43,44,45].
(a) CO₂ [%]: Этот показатель представляет процентное содержание диоксида углерода в выхлопных газах, выделяемых при сжигании биомассы в стехиометрических условиях. Это относительное измерение чистых выбросов CO₂ на тип биомассы (Таблица 7).
(b) ESR (Экологически устойчивый коэффициент извлечения, %): ESR представляет процент остатков биомассы, которые должны оставаться на поле для поддержания здоровья и устойчивости почвы и не ставить под угрозу долгосрочную продуктивность земли. Обычно для соблюдения устойчивых методов собирается только 30% доступных остатков [36].
3.5. Экономические критерии
Выбранный экономический критерий фокусируется на комплексных затратах, связанных с цепочкой поставок биомассы, включая сбор, хранение, погрузку и транспортировку на электростанцию. Этот критерий, обозначаемый как CET [$/км], отражает финансовую жизнеспособность и логистические расходы, необходимые для обеспечения экономически эффективного снабжения биомассой для производства электроэнергии.
3.6. Социальные критерии
Социальные критерии были выбраны для отражения более широких социально-экономических последствий использования биомассы. Подкритерии подробно описаны ниже:
(a) ВВП: ВВП отражает экономический объем вовлеченных регионов, визуализированный на Рисунке 6.
Рисунок 6. ВВП (R$ × 1000) на душу населения в различных микрорегионах Минас-Жерайса.
(b) ВВП: ВВП отражает экономический объем вовлеченных регионов, визуализированный на Рисунке 6. ИЧР: Индекс человеческого развития (Рисунок 7) [46].
Рисунок 7. ИЧР в различных микрорегионах Минас-Жерайса.
(c) Спрос на электроэнергию (ED): Среднее количество электроэнергии, необходимое для снабжения всех нагрузок, которые потребитель будет использовать для осуществления своей деятельности в течение определенного периода (Рисунок 8) [47].
Рисунок 8. ED [МВт·ч/год] по микрорегионам Минас-Жерайса.
(d) CUI (Коэффициент использования мощности): Коэффициент использования мощности (CUI) измеряет электрическую мощность, вырабатываемую существующими электростанциями на биомассе в каждом микрорегионе (Рисунок 9).
Рисунок 9. CUI: Действующие электростанции на биомассе в каждом микрорегионе Минас-Жерайса (МВт).
3.7. Процесс внедрения AHP
Постановка задачи была направлена на определение с помощью AHP того, какой остаток биомассы будет наиболее перспективным для проектов производства электроэнергии в каждом микрорегионе.
3.7.1. Матрица парных сравнений
Данные опроса использовались для построения матриц, отражающих парные сравнения между 13 подкритериями, как описано уравнением (1). Затем данные были обработаны с использованием уравнений (2)–(6), а их согласованность была оценена в соответствии с уравнениями (7)–(9).
В Таблице 8 представлена полученная матрица парных сравнений с цветовым кодированием для улучшения интерпретируемости. Ячейки, закрашенные зеленым, выделяют подкритерии с более высокой относительной важностью, отражая больший вес или влияние в иерархии. Между тем, ячейки серого цвета соответствуют значениям с более низкой относительной важностью или близким к нейтральному влиянию в процессе сравнения.
Таблица 8. Тринадцать выбранных подкритериев с использованием матрицы парных сравнений с определениями весов.
Это визуальное различие помогает быстро идентифицировать доминирующие подкритерии и их соответствующие взаимосвязи, обеспечивая всестороннее понимание матрицы и расстановку приоритетов подкритериев, рассчитанных с помощью методологии AHP.
3.7.2. Результаты применения метода AHP
Среди более чем 70 видов культур, выращиваемых в Минас-Жерайсе, пять были отобраны на основе их географической доступности, объема производимых остатков и характеристик этих остатков: кукуруза, соя, сахарный тростник, кофе и эвкалипт.
Применение метода AHP показало, что наиболее влиятельными подкритериями были CO₂-экв. и ED. Другие подкритерии, включая RPR, AR, η, RPj, AF, L, CET, VHS, ВВП, ИЧР и CUI, также получили веса в соответствии с их относительной важностью в процессе принятия решений.
3.8. Согласованность и надежность экспертных суждений
Метод анализа иерархий (AHP) полагается на парные сравнения для определения относительной важности критериев и подкритериев. Чтобы обеспечить надежность этих сравнений, в этом исследовании была тщательно оценена согласованность экспертных суждений с использованием отношения согласованности (CR), как предложено Саати [25]. Значение CR ниже 0,1 считается приемлемым порогом, указывающим на надежность суждений.
Была разработана структурированная анкета для оценки относительной важности критериев и подкритериев. В этом исследовании матрицы парных сравнений были построены на основе ответов 32 экспертов в области биоэнергетики. Первоначальные значения CR были рассчитаны, и некоторые матрицы показали несогласованность, превышающую порог 0,1. Чтобы решить эту проблему, была проведена систематическая перекалибровка несогласованных ответов с использованием пакета «ahpsurvey» в R, который специально разработан для оценки и корректировки несогласованностей в приложениях AHP (Cho [29]). Процесс перекалибровки снизил все значения CR до уровня ниже 0,1, при этом самое высокое скорректированное значение CR составило 0,04, что намного ниже приемлемого диапазона.
Применение этой строгой оценки согласованности обеспечило надежность экспертных суждений и достоверность результатов. Кроме того, использование разнообразной группы экспертов, включающей академических, государственных и отраслевых специалистов, способствовало минимизации потенциальных предубеждений и повышению надежности анализа AHP.
Хотя достижение идеальной согласованности в парных сравнениях является сложной задачей, методологические шаги, реализованные в этом исследовании, такие как перекалибровка и проверка согласованности, предоставляют убедительные доказательства надежности и устойчивости результатов AHP. Эти меры гарантируют, что окончательные веса, присвоенные критериям и подкритериям, являются как согласованными, так и репрезентативными для экспертного консенсуса.
Результаты этого исследования показали необходимость использования достаточного, но не чрезмерного количества критериев и экспертов-оценщиков. Использование значительного количества критериев в контексте подхода с парными ответами может потенциально увеличить вероятность субъективных ошибок, возникающих из-за таких факторов, как предвзятость и возможность путаницы среди экспертов. Было показано, что проведение предварительного обучения для каждого эксперта с использованием серии тщательно описанных примеров способствует снижению неопределенностей.
Отношение согласованности
На Рисунке 10 показаны начальные значения отношения согласованности (CR), которые указывают на то, что экспертные суждения имели неопределенности, превышающие приемлемый порог 0,1. Чтобы решить эту проблему, был применен метод уточнения для корректировки этих ответов. На Рисунке 11 представлены уточненные значения, где самый высокий скорректированный CR составил 0,04, что значительно ниже приемлемых пределов. Окончательные значения CR для основных критериев, подробно представленные в Таблице 9, подтверждают согласованность анализа: все значения ниже порога 0,1.
Рисунок 10. CR опрошенного эксперта без применения пакета R.
Рисунок 11. CR ответов экспертов, скорректированный с использованием инструмента пакета R.
Таблица 9. Отношение согласованности (CR) для различных критериев и подкритериев.
Новые уточненные значения имеют наибольшее найденное значение согласованности, равное 0,04, как показано на (Рисунке 11).
3.9. Веса критериев и подкритериев
Технический критерий оказался наиболее значимым, за ним следуют социальные, экологические и экономические критерии (Рисунок 12). Это отражает критическую важность максимизации потенциальной выработки электроэнергии.
Рисунок 12. Взвешивание четырех основных оцененных критериев.
На Рисунке 13 показаны веса технических подкритериев, где AF был определен как наиболее важный. AF представляет годовую доступность и предложение остатков сельскохозяйственных культур, что напрямую влияет на мощность тепловых электростанций.
Рисунок 13. Взвешивание технических подкритериев.
На Рисунке 14 показана классификация социальных подкритериев, где PD (спрос на электроэнергию) был наиболее влиятельным фактором.
Рисунок 14. Взвешивание социальных подкритериев.
В Таблице 10 представлены глобальные уровни приоритетности 13 подкритериев, рассчитанные с использованием уравнений (5)–(11), проиллюстрированные на Рисунке 15. Подкритерий CO₂-экв. получил самый высокий вес, в то время как ВВП имел самый низкий приоритет.
Рисунок 15. Веса подкритериев, полученные с помощью AHP.
Таблица 10. Процентное соотношение глобальных весов подкритериев после применения AHP.
Оценка жизнеспособности биомассы на основе AHP-ГИС
Результаты позволили создать карту жизнеспособности биомассы для Минас-Жерайса с использованием программного обеспечения QGIS 3.34 (Рисунок 16 и Рисунок 17). Кроме того, метод AHP-ГИС позволил ранжировать наиболее перспективные остатки для биоэнергетических проектов, как показано на Рисунке 17.
Рисунок 16. Выбранный остаток сельскохозяйственной культуры с более высокой жизнеспособностью в каждом микрорегионе после внедрения AHP-ГИС.
Рисунок 17. Ранжирование выбранных остатков сельскохозяйственных культур для каждого микрорегиона.
3.10. Сравнение с соответствующими исследованиями
Это исследование объединяет метод анализа иерархий (AHP) с инструментами географических информационных систем (ГИС) для обеспечения комплексной оценки жизнеспособности биомассы. Этот интегрированный подход контрастирует с традиционными методологиями, которые часто фокусируются на конкретных аспектах жизнеспособности биомассы, не учитывая взаимодействие множества критериев.
Например, Мизиара (2013) разработал логический алгоритм для выбора альтернатив производства биоэнергии, подчеркивая техническую жизнеспособность и такие факторы, как доступность и характеристики биомассы. Однако в исследовании не использовалась многокритериальная система, такая как AHP, которая позволяет структурированно определять приоритетность разнообразных и противоречивых факторов [48].
Аналогичным образом, Тейшейра (2023) представил методологию на основе ГИС для поиска лесных биоэнергетических единиц в Минас-Жерайсе. Хотя этот метод эффективен для географического планирования, исследование не включало иерархическую расстановку приоритетов критериев с помощью AHP, что ограничивало его способность решать вопросы компромиссов между техническими, экономическими и экологическими факторами [49].
Мачадо (2021) провел анализ экономической целесообразности повторного использования осадка в качестве биомассы в котлах, сосредоточившись на конкретных экономических параметрах. Однако в исследовании отсутствовал более широкий многокритериальный подход, который мог бы интегрировать социальные и экологические соображения наряду с экономическими факторами [50].
Традиционные методы часто используют одномерный анализ или статистические модели, которые не отражают сложность и взаимозависимость факторов, влияющих на жизнеспособность биомассы. Например, исследования, сосредоточенные исключительно на количественной оценке связывания углерода в лесах, используют прямые или косвенные методы без учета экономических или социальных аспектов. Аналогичным образом, подходы к выявлению потенциальных площадей для выращивания биомассы часто подчеркивают агрономические факторы и факторы землепользования без привлечения экспертных оценок или многокритериального анализа.
Напротив, методология AHP-ГИС, представленная в этом исследовании, устраняет эти ограничения путем интеграции множества критериев — технических, экономических, экологических и социальных — в структурированную систему поддержки принятия решений. Этот подход использует экспертные оценки и пространственные данные для выявления зон с высоким приоритетом с большей точностью и балансом между конкурирующими целями. Объединяя эти элементы, методология предоставляет надежный инструмент для лиц, принимающих решения, предлагая практические рекомендации, адаптированные к конкретному контексту Минас-Жерайса, оставаясь при этом адаптируемой для других регионов и наборов данных.
4. Выводы
В этом исследовании представлена комплексная методология, объединяющая метод анализа иерархий (AHP) и инструменты географических информационных систем (ГИС) для оценки потенциала производства биоэнергии из сельскохозяйственных остатков в Минас-Жерайсе, Бразилия. Подход, который интегрировал экспертные оценки и пространственный анализ, позволил провести детальное изучение технических, экономических, экологических и социальных аспектов, влияющих на жизнеспособность биоэнергетики.
Это исследование представляет научно обоснованную методологию, которая объединяет метод анализа иерархий (AHP) с географическими информационными системами (ГИС) для оценки и определения приоритетности остатков биомассы для производства электроэнергии. Научное обоснование этого исследования заключается в решении проблемы сложности многокритериального принятия решений (MCDM) при оценке жизнеспособности биоэнергетики. Включая экономические, технические, экологические и социальные критерии, эта методология обеспечивает комплексную оценку, которая соответствует принципам устойчивости и региональной применимости. Результаты демонстрируют полезность этого интегрированного подхода для выявления наиболее жизнеспособных остатков биомассы при сохранении сельскохозяйственной и экологической устойчивости. Кроме того, методология адаптируется к другим регионам и сценариям, предлагая воспроизводимую систему для продвижения планирования возобновляемой энергетики в глобальном масштабе.
Применение метода AHP, поддержанное экспертной оценкой 32 специалистов в области биоэнергетики, позволило определить приоритетность ключевых критериев и подкритериев. Анализ выявил выбросы CO₂-экв. и спрос на электроэнергию (ED) как наиболее значимые подкритерии, подчеркивая двойную важность экологической устойчивости и удовлетворения потребностей в энергии. Эвкалипт оказался наиболее перспективным источником биомассы среди оцененных культур благодаря своим благоприятным техническим свойствам и широкой доступности.
Помимо предоставления надежной методологии для оценки жизнеспособности биомассы, это исследование открывает несколько направлений для будущих исследований. Одно из потенциальных направлений может включать расширение сферы применения методологии для включения дополнительных типов биомассы и регионов, что позволит провести более широкий анализ потенциала биоэнергетики. Кроме того, интеграция инструментов динамического моделирования для учета временных изменений в доступности биомассы и спросе на энергию могла бы повысить адаптивность подхода. Еще одной областью для изучения является разработка гибридных методов MCDM, которые объединяют AHP с другими системами принятия решений, такими как TOPSIS или PROMETHEE, для дальнейшего уточнения процесса определения приоритетов. Наконец, включение оценок жизненного цикла (LCA) в анализ могло бы дать более глубокое понимание экологических и экономических компромиссов, связанных с различными стратегиями использования биомассы.
Результаты предоставляют практические рекомендации для политиков и заинтересованных сторон, участвующих в энергетическом планировании. Полученные данные подчеркивают, что стратегический выбор остатков биомассы на основе многокритериального подхода может оптимизировать цепочку поставок биоэнергии за счет балансирования технической эффективности, экономической целесообразности и воздействия на окружающую среду. ГИС-картирование еще больше обогатило анализ, визуализируя распределение потенциала биомассы по различным микрорегионам, предлагая практический инструмент для регионального планирования энергетической инфраструктуры.
Эта методология является надежной и адаптируемой, способной поддерживать принятие решений в биоэнергетических проектах за пределами контекста Минас-Жерайса. Она может быть адаптирована для включения дополнительных критериев или для использования с различными типами сельскохозяйственных остатков и в разных регионах. Вовлечение заинтересованных сторон гарантирует, что процесс принятия решений соответствует реальным ограничениям и приоритетам, повышая актуальность и применимость исследования. Предложенная структура AHP-ГИС является эффективным инструментом для руководства развитием биоэнергетики путем систематической оценки множества критериев. Будущие исследования могли бы расширить этот подход, включив в него новые технологии и более широкий спектр источников биомассы, поддерживая диверсификацию и устойчивость сектора биоэнергетики. Адаптивность методологии делает ее ценной для расширения матрицы возобновляемой энергетики и содействия развитию устойчивых энергетических решений.
Ссылки
1. Errera, M.R.; Dias, T.A.d.C.; Maya, D.M.Y.; Lora, E.E.S. Global Bioenergy Potentials Projections for 2050. Biomass Bioenergy 2023, 170, 106721. [Google Scholar] [CrossRef]
2. Elqadhi, M.E.; Skrbic, S.; Mohamoud, O.; Asonja, A. Energy Integration of Corn Cob in the Process of Drying the Corn Seeds. Therm. Sci. 2024, 28, 104. [Google Scholar] [CrossRef]
3. Paul, S.; Dutta, A. Challenges and Opportunities of Lignocellulosic Biomass for Anaerobic Digestion. Resour. Conserv. Recycl. 2018, 130, 164–174. [Google Scholar] [CrossRef]
4. Zhao, X.G.; Li, A. A Multi-Objective Sustainable Location Model for Biomass Power Plants: Case of China. Energy 2016, 112, 1184–1193. [Google Scholar] [CrossRef]
5. Nimmanterdwong, P.; Chalermsinsuwan, B.; Piumsomboon, P. Prediction of Lignocellulosic Biomass Structural Components from Ultimate/Proximate Analysis. Energy 2021, 222, 119945. [Google Scholar] [CrossRef]
6. Ullah, K.; Kumar Sharma, V.; Dhingra, S.; Braccio, G.; Ahmad, M.; Sofia, S. Assessing the Lignocellulosic Biomass Resources Potential in Developing Countries: A Critical Review. Renew. Sustain. Energy Rev. 2015, 51, 682–698. [Google Scholar] [CrossRef]
7. Nkuna, S.G.; Olwal, T.O.; Chowdhury, S.D. Assessment of Thermochemical Technologies for Wastewater Sludge-to-Energy: An Advance MCDM Model. Clean. Eng. Technol. 2022, 9, 100519. [Google Scholar] [CrossRef]
8. Costa, F.R.; Ribeiro, C.A.A.S.; Marcatti, G.E.; Lorenzon, A.S.; Teixeira, T.R.; Domingues, G.F.; de Castro, N.L.M.; dos Santos, A.R.; Soares, V.P.; da Costa de Menezes, S.J.M.; et al. GIS Applied to Location of Bioenergy Plants in Tropical Agricultural Areas. Renew. Energy 2020, 153, 911–918. [Google Scholar] [CrossRef]
9. Rodríguez, R.; Gauthier-Maradei, P.; Escalante, H. Fuzzy Spatial Decision Tool to Rank Suitable Sites for Allocation of Bioenergy Plants Based on Crop Residue. Biomass Bioenergy 2017, 100, 17–30. [Google Scholar] [CrossRef]
10. Delivand, M.K.; Cammerino, A.R.B.; Garofalo, P.; Monteleone, M. Optimal Locations of Bioenergy Facilities, Biomass Spatial Availability, Logistics Costs and GHG (Greenhouse Gas) Emissions: A Case Study on Electricity Productions in South Italy. J. Clean. Prod. 2015, 99, 129–139. [Google Scholar] [CrossRef]
11. Andrews, S.S. Crop Residue Removal for Biomass Energy Production: Effects on Soils and Recommendations; USDA-Natural Resource Conservation Service: Washington, DC, USA, 2006. [Google Scholar]
12. Yadav, S.; Srivatava, A.K.; Singh, R.S. Selection and Ranking of Multifaceted Criteria for the Prioritization of Most Appropriate Biomass Energy Sources for the Production of Renewable Energy in Indian Perspective Using Analytic Hierarchy Process. Int. J. Eng. Technol. Sci. Res. 2015, 2, 89–98. [Google Scholar]
13. Saaty, T.L. Decision Making with the Analytic Hierarchy Process. Int. J. Serv. Sci. 2008, 1, 83–98. [Google Scholar] [CrossRef]
14. Madhu, P.; Sowmya Dhanalakshmi, C.; Mathew, M. Multi-Criteria Decision-Making in the Selection of a Suitable Biomass Material for Maximum Bio-Oil Yield during Pyrolysis. Fuel 2020, 277, 118109. [Google Scholar] [CrossRef]
15. Howari, H.; Parvez, M.; Khan, O.; Alhodaib, A.; Mallah, A.; Yahya, Z. Multi-Objective Optimization for Ranking Waste Biomass Materials Based on Performance and Emission Parameters in a Pyrolysis Process—An AHP–TOPSIS Approach. Sustainability 2023, 15, 3690. [Google Scholar] [CrossRef]
16. Trung, D.D.; Truong, N.X.; Dung, H.T.; Ašonja, A. Combining DOE and EDAS Methods for Multi-Criteria Decision Making. In Proceedings of the 32nd International Conference on Organization and Technology of Maintenance (OTO 2023); Keser, T., Ademović, N., Desnica, E., Grgić, I., Eds.; Springer Nature Switzerland: Cham, Switzerland, 2024; pp. 210–227. [Google Scholar]
17. IBGE, Sistema IBGE de Recuperação Automática—SIDRA, 2022. Available online: https://sidra.ibge.gov.br/home/pms/brasil/ (accessed on 30 January 2025).
18. IBGE LSPA—Levantamento Sistemático Da Produção Agrícola. Available online: https://www.ibge.gov.br/estatisticas/economicas/agricultura-e-pecuaria/9201-levantamento-sistematico-da-producao-agricola.html?=&t=conceitos-e-metodos (accessed on 18 January 2025).
19. Kumar, A.; Sah, B.; Singh, A.R.; Deng, Y.; He, X.; Kumar, P.; Bansal, R.C. A Review of Multi Criteria Decision Making (MCDM) towards Sustainable Renewable Energy Development. Renew. Sustain. Energy Rev. 2017, 69, 596–609. [Google Scholar] [CrossRef]
20. Kumar, D.; Rahman, Z.; Chan, F.T.S. A Fuzzy AHP and Fuzzy Multi-Objective Linear Programming Model for Order Allocation in a Sustainable Supply Chain: A Case Study. Int. J. Comput. Integr. Manuf. 2017, 30, 535–551. [Google Scholar] [CrossRef]
21. Campolina, A.G.; De Soárez, P.C.; do Amaral, F.V.; Abe, J.M. Análise de Decisão Multicritério Para Alocação de Recursos e Avaliação de Tecnologias Em Saúde: Tão Longe e Tão Perto? Cad. Saúde Pública 2017, 33, e00045517. [Google Scholar] [CrossRef] [PubMed]
22. Kudláč, Š.; Štefancová, V.; Majerčák, J. Using the Saaty Method and the FMEA Method for Evaluation of Constraints in Logistics Chain. In Proceedings of the Procedia Engineering; Elsevier Ltd.: Amsterdam, The Netherlands, 2017; Volume 187, pp. 749–755. [Google Scholar]
23. Bogdanovic, D.; Nikolic, D.; Ilic, I. Mining Method Selection by Integrated AHP and PROMETHEE Method. An. Acad. Bras. Ciências 2012, 84, 219–233. [Google Scholar] [CrossRef]
24. Kheybari, S.; Rezaie, F.M.; Naji, S.A.; Najafi, F. Evaluation of Energy Production Technologies from Biomass Using Analytical Hierarchy Process: The Case of Iran. J. Clean. Prod. 2019, 232, 257–265. [Google Scholar] [CrossRef]
25. Saaty, T. The analytic hierarchy process (AHP) for decision making. Kobe Jpn. 1980, 1, 69. [Google Scholar]
26. Golden, B.L.; Wasil, E.A.; Harker, P.T.; Alexander, M.; Daniel, W.D.; Dolan, G.; Fatti, L.P.; Hamalainen, R.P.; Levy, D.E.; Lewis, R.; et al. The Analytic Hierarchy Process; Golden, B.L., Wasil, E.A., Harker, P.T., Eds.; Springer: Berlin/Heidelberg, Germany, 1989; ISBN 978-3-642-50246-0. [Google Scholar]
27. Tsinidou, M.; Gerogiannis, V.; Fitsilis, P. Evaluation of the Factors That Determine Quality in Higher Education: An Empirical Study. Qual. Assur. Educ. 2010, 18, 227–244. [Google Scholar] [CrossRef]
28. Liu, F.; Yu, Q.; Pedrycz, W.; Zhang, W.G. A Group Decision Making Model Based on an Inconsistency Index of Interval Multiplicative Reciprocal Matrices. Knowl. Based Syst. 2018, 145, 67–76. [Google Scholar] [CrossRef]
29. CHO, Frankie. CHO, Frankie. Analytic Hierarchy Process for Survey Data in R. Vignettes Ahpsurvey Package (ver 0.4.0), v. 26, 2019. Available online: https://cran.r18project.org/web/packages/ahpsurvey/vignettes/my-vignette.html (accessed on 15 March 2022).
30. IBGE. Cidades e Estados 2022. Available online: https://www.ibge.gov.br/cidades-e-estados/mg.html (accessed on 6 January 2022).
31. Şahin, M.; Yurdugül, H. A Content Analysis Study on the Use of Analytic Hierarchy Process in Educational Studies. J. Meas. Eval. Educ. Psychol. 2018, 9, 376–392. [Google Scholar] [CrossRef]
32. Melillo, P.; Pecchia, L. What Is the Appropriate Sample Size to Run Analytic Hierarchy Process in a Survey-Based Research? In Proceedings of the International Symposium on the Analytic Hierarchy Process, London, UK, 15 August 2016. [Google Scholar]
33. La Picirelli de Souza, L.; Rajabi Hamedani, S.; Silva Lora, E.E.; Escobar Palacio, J.C.; Comodi, G.; Villarini, M.; Colantoni, A. Theoretical and Technical Assessment of Agroforestry Residue Potential for Electricity Generation in Brazil towards 2050. Energy Rep. 2021, 7, 2574–2587. [Google Scholar] [CrossRef]
34. Tagomori, I.S.; Rochedo, P.R.R.; Szklo, A. Techno-Economic and Georeferenced Analysis of Forestry Residues-Based Fischer-Tropsch Diesel with Carbon Capture in Brazil. Biomass Bioenergy 2019, 123, 134–148. [Google Scholar] [CrossRef]
35. Durante, A.; Pena-Vergara, G.; Curto-Risso, P.L.; Medina, A.; Calvo Hernández, A. Thermodynamic Simulation of a Multi-Step Externally Fired Gas Turbine Powered by Biomass. Energy Convers. Manag. 2017, 140, 182–191. [Google Scholar] [CrossRef]
36. Portugal-Pereira, J.; Soria, R.; Rathmann, R.; Schaeffer, R.; Szklo, A. Agricultural and Agro-Industrial Residues-to-Energy: Techno-Economic and Environmental Assessment in Brazil. Biomass Bioenergy 2015, 81, 521–533. [Google Scholar] [CrossRef]
37. Ruibran Januário dos Reis e Luciano Sathler dos Reis ATLAS DE BIOMASSA DE MINAS GERAIS (Org.). Editora Rosa Gráfica Belo Horizonte. 2017. Available online: https://www.cemig.com.br/wp-content/uploads/2021/03/atlas-biomassa-mg.pdf (accessed on 16 August 2022).
38. Dovichi Filho, F.B.; Castillo Santiago, Y.; Silva Lora, E.E.; Escobar Palacio, J.C.; Almazan del Olmo, O.A. Evaluation of the Maturity Level of Biomass Electricity Generation Technologies Using the Technology Readiness Level Criteria. J. Clean. Prod. 2021, 295, 126426. [Google Scholar] [CrossRef]
39. EPE-Empresa de Pesquisa Energética. 2014. Available online: https://www.epe.gov.br/sites-pt/publicacoes-dados-abertos/publicacoes/PublicacoesArquivos/publicacao-251/topico-308/DEA%2015%20-%2014%20- (accessed on 30 January 2025).
40. CELSO FOELKEL. Prof. Celso Foelkel. Available online: https://www.celso-foelkel.com.br/ (accessed on 30 January 2025).
41. Menandro, L.M.S.; Castro, S.G.Q.; Hernandes, T.A.D.; Castioni, G.A.F.; Bordonal, R.O.; Luciano, A.C.S.; Carvalho, J.L.N. Guidelines for Sugarcane Straw Removal: A Decision-Making Tool to Assessing the Potential and Availability of Biomass. Proceedings of European Biomass Conference and Exhibition Proceedings, Virtual, 6–9 July 2020; pp. 4–8, v. 28th EUBCE—Online 2020. [Google Scholar] [CrossRef]
42. Kumar, A.; Wang, L.; Dzenis, Y.A.; Jones, D.D.; Hanna, M.A. Thermogravimetric Characterization of Corn Stover as Gasification and Pyrolysis Feedstock. Biomass Bioenergy 2008, 32, 460–467. [Google Scholar] [CrossRef]
43. Nascimento, M.F.R. Modelagem de Gaseificador Co-Corrente Utilizando Diferentes 5 Fluidos de Gaseificação. 2015. Available online: https://repositorio.unifei.edu.br/jspui/handle/123456789/593 (accessed on 20 June 2022).
44. Schmitt, C.C.; Moreira, R.; Neves, R.C.; Richter, D.; Funke, A.; Raffelt, K.; Grunwaldt, J.D.; Dahmen, N. From Agriculture Residue to Upgraded Product: The Thermochemical Conversion of Sugarcane Bagasse for Fuel and Chemical Products. Fuel Process. Technol. 2020, 197, 106199. [Google Scholar] [CrossRef]
45. Elis De Ramos E Paula, L.; Fernando Trugilho, P.; Napoli, A.; Bianchi, M.L. Characterization of Residues from Plant Biomass for Use in Energy Generation. Cerne 2011, 17, 237–246. [Google Scholar] [CrossRef]
46. Firjan Índice FIRJAN de Desenvolvimento Municipal (IFDM). Available online: https://www.firjan.com.br/ifdm/ (accessed on 20 September 2022).
47. BEN, 2021BEN-Balanço Energético Nacional. 2021. Available online: https://www.epe.gov.br/sites-pt/publicacoesdadosabertos/publica-coes/PublicacoesArquivos/publicacao-601/topico-588/BEN_S%C3%ADntese_2021_PT.pdfBEN2021 (accessed on 26 June 2022).
48. Calhau Jorge, D. Carlos Renato Miziara Estudo Técnico e Econômico das Fontes de Biomassa Para Uso em Cogeração de Energia Elétrica Dissertação Apresentada à Banca Examinadora do Programa de Mestrado Profissional em Inovação Tecnológica da Universidade Federal do Triângulo Mineiro Para Obtenção do Título de Mestre. 2013. Available online: https://bdtd.uftm.edu.br/bitstream/tede/68/1/Dissert%20Carlos%20R%20Miziara.pdf (accessed on 30 January 2025).
49. Ribeiro Teixeira, T. Thaisa Ribeiro Teixeira Cenários Para Instalação de Usinas de Biomassa Florestal em Minas Gerais. 2016. Available online: https://locus.ufv.br/bitstreams/5993d2d6-e2a9-405c-b816-4892657bf710/download (accessed on 30 January 2025).
50. Universidade Federal de Uberlândia Instituto de Ciências Agrárias Bacharelado em Engenharia Ambiental Ana Júlia Medeiros Machado Análise de Viabilidade Econômica Para Reaproveitamento de Lodo Como Biomassa Na Geração de Energia em Caldeira Uberlândia-Mg. 2021. Available online: https://repositorio.ufu.br/bitstream/123456789/31319/4/An%C3%A1liseDeViabilidade.pdf (accessed on 30 January 2025).
Dovichi Filho FB, de Sousa LVM, Lora EES, Palacio JCE, Borges PT, Barros RM, Jaen RL, Errera MR, Quintero QR. A Methodology for the Feasibility Assessment of Using Crop Residues for Electricity Production Through GIS-MCD and Its Application in a Case Study. Agriculture. 2025; 15(3):334. https://doi.org/10.3390/agriculture15030334
Перевод статьи «A Methodology for the Feasibility Assessment of Using Crop Residues for Electricity Production Through GIS-MCD and Its Application in a Case Study» авторов Dovichi Filho FB, de Sousa LVM, Lora EES, Palacio JCE, Borges PT, Barros RM, Jaen RL, Errera MR, Quintero QR., оригинал доступен по ссылке. Лицензия: CC BY. Изменения: переведено на русский язык
Фото: freepik









































Комментарии (0)