Использование дронов и алгоритма Random Forest для отслеживания роста пшеницы от всходов до урожая
Пшеница является ключевой продовольственной культурой в мире, имеющей важнейшее значение для продовольственной безопасности и устойчивого развития сельского хозяйства. Результаты этого исследования подчеркивают, как инновационные методы мониторинга, такие как мультиспектральная съемка с беспилотных летательных аппаратов (БПЛА), могут значительно улучшить методы ведения сельского хозяйства, предоставляя точные данные о росте культур в реальном времени.
Аннотация
В данном исследовании использовалась технология дистанционного зондирования на базе БПЛА на экспериментальном поле пшеницы Хэбэйской академии сельскохозяйственных и лесных наук для отслеживания динамических характеристик роста пшеницы с использованием мультиспектральных данных, с целью изучения эффективных и точных стратегий мониторинга и управления посевами пшеницы.
Для сбора изображений высокого разрешения на пяти ключевых этапах роста пшеницы (кущение, выход в трубку, колошение, цветение и созревание) использовался БПЛА, оснащенный мультиспектральными сенсорами. Полученные данные охватывали четыре основных спектральных диапазона: зеленый (560 нм), красный (650 нм), красный край (730 нм) и ближний инфракрасный (840 нм). В сочетании с наземными измерениями, такими как содержание хлорофилла и высота растений, был проведен анализ 21 вегетационного индекса на предмет их нелинейных взаимосвязей с параметрами роста пшеницы. Для выявления наиболее эффективных индексов мониторинга роста пшеницы использовались статистические методы, включая корреляцию Пирсона и пошаговую регрессию.
Нормализованный разностный индекс красного края (NDRE) и треугольный вегетационный индекс (TVI) были выбраны на основе их превосходных показателей в прогнозировании параметров роста пшеницы, что подтверждалось высокими коэффициентами корреляции и точностью прогнозов. Для всесторонней оценки потенциала применения мультиспектральных данных в мониторинге роста пшеницы была разработана модель на основе метода Random Forest. Результаты показали, что индексы NDRE и TVI оказались наиболее эффективными для мониторинга роста пшеницы. Модель Random Forest продемонстрировала превосходную точность прогнозирования: среднеквадратичная ошибка (MSE) была значительно ниже, чем у традиционных регрессионных моделей, особенно на этапах цветения и созревания, где ошибка прогнозирования высоты растений составляла менее 1,01 см.
Кроме того, динамический анализ изображений, полученных с БПЛА, позволил эффективно выявлять проблемные зоны на полях, такие как участки, испытывающие водный стресс или пораженные болезнями, что обеспечивает научную основу для проведения точных агротехнических мероприятий. Это исследование подчеркивает потенциал технологии дистанционного зондирования с БПЛА для мониторинга роста пшеницы, восполняя пробел в области систематического анализа полного цикла развития пшеницы. Оно также предлагает новый технологический путь для оптимизации управления сельскохозяйственными ресурсами и повышения урожайности. Ожидается, что эти результаты будут способствовать развитию интеллектуального сельскохозяйственного производства и ускорят внедрение точного земледелия.
1. Введение
Пшеница является одной из важнейших продовольственных культур в мире, играя ключевую роль в обеспечении продовольственной безопасности и экономической стабильности [1,2,3]. Однако под давлением глобального изменения климата и ограниченных сельскохозяйственных ресурсов повышение урожайности и качества пшеницы при одновременной оптимизации использования ресурсов стало основной задачей для устойчивого развития сельского хозяйства [4,5]. Традиционные методы управления полями, основанные на опыте, больше не соответствуют требованиям точного земледелия к эффективному и обоснованному принятию решений [6]. В последние годы технологии дистанционного зондирования, такие как мультиспектральная, гиперспектральная и спутниковая съемка с БПЛА, все чаще внедряются в сельскохозяйственные исследования и управление. Каждый из этих методов обладает явными преимуществами и ограничениями. Мультиспектральные данные с БПЛА благодаря высокому пространственно-временному разрешению и гибкости позволяют проводить детальный локализованный мониторинг состояния посевов, фиксируя мелкомасштабные вариации роста и стресса. Напротив, гиперспектральная съемка предоставляет более широкий диапазон спектральных каналов, давая более детальную информацию о биохимических свойствах растений, но часто с более высокими затратами и большей сложностью обработки данных. Спутниковая съемка, обеспечивая охват больших территорий, имеет более низкое разрешение и более длительный период повторного наблюдения, что делает ее менее пригодной для мониторинга динамики посевов в реальном времени [7,8,9]. Таким образом, интеграция мультиспектральных данных с БПЛА с другими методами дистанционного зондирования может обеспечить более полное понимание динамики роста сельскохозяйственных культур, предлагая преимущества как в точности, так и в экономической эффективности.
Модель случайного леса (Random Forest) продемонстрировала значительный потенциал в точном прогнозировании параметров роста сельскохозяйственных культур в агрономических приложениях. Ее способность обрабатывать большие наборы данных с многочисленными входными переменными, управлять нелинейными взаимосвязями и хорошо работать с многомерными данными делает ее идеальным выбором для анализа растительности. Несколько основополагающих исследований подчеркнули ее эффективность в сельскохозяйственном дистанционном зондировании, включая работу Бреймана [10], который впервые представил этот алгоритм, и более недавние исследования, такие как работа Гисласона и др. [11], которые применили случайный лес для классификации земного покрова с использованием данных дистанционного зондирования. В контексте анализа растительности недавние исследования, например, Лу и др. [12] и Сан и др. [13], продемонстрировали его успешность в прогнозировании урожайности, мониторинге здоровья растительности и оценке биомассы. Эти исследования подтверждают полезность моделей случайного леса в агрономических приложениях, особенно при анализе сложных взаимосвязей между вегетационными индексами и параметрами роста культур.
Развитие технологии дистанционного зондирования с БПЛА значительно стимулировало прогресс в точном земледелии, при этом применение мультиспектральных сенсоров и соответствующих алгоритмов открывает новые технологические пути для мониторинга роста пшеницы [14,15,16]. Мультиспектральные сенсоры, способные охватывать ключевые спектральные диапазоны, такие как зеленый, красный, красный край и ближний инфракрасный, широко используются для мониторинга состояния полога посевов, динамики роста и nutritional status [17]. Например, NDVI обычно используется для оценки растительного покрова и фотосинтетической активности, в то время как NDRE демонстрирует высокую чувствительность при мониторинге уровня азота в растениях, а TVI эффективно отражает изменения биомассы посевов.
Достижения в области аппаратного обеспечения позволили мультиспектральным сенсорам, установленным на БПЛА, достичь высокого пространственного разрешения и точной радиометрической калибровки, при этом такие системы, как DJI и MicaSense, широко применяются в сельскохозяйственном дистанционном зондировании, хотя ограничения все еще сохраняются, особенно в поддержании радиометрической согласованности при различных условиях освещения и затенения [18,19]. Кроме того, существующие методы часто полагаются на ограниченный набор спектральных каналов или вегетационных индексов. Хотя эти методы эффективны для мониторинга конкретных признаков роста сельскохозяйственных культур, они в меньшей степени способны улавливать полную физиологическую изменчивость культур в сложных и разнообразных условиях произрастания [20]. Кроме того, существующие методы исследования часто полагаются на отдельные спектральные каналы или ограниченное количество вегетационных индексов, которые, хотя и способны отслеживать определенные характеристики роста культур, не позволяют в полной мере уловить физиологическую изменчивость культур в сложных условиях произрастания. Внедрение алгоритмов машинного обучения, в частности случайного леса и опорных векторов, значительно расширило аналитические возможности мультиспектральных данных [21,22,23]. Эти алгоритмы позволяют извлекать нелинейные взаимосвязи между данными дистанционного зондирования и наземными наблюдениями, способствуя более точному прогнозированию динамики роста и урожайности культур. Однако такие модели часто зависят от высококачественных систематических многоэтапных наблюдательных данных, в то время как текущие исследования, как правило, сосредоточены на отдельных этапах роста или ограниченных физиологических показателях, что ограничивает предсказательную способность и обобщаемость моделей [24]. Более того, в то время как дистанционное зондирование с БПЛА предоставляет обильные данные для поддержки управления полями, его широкомасштабное применение сталкивается с такими проблемами, как высокие аппаратные затраты, сложные рабочие процессы обработки данных и трудности интерпретации результатов алгоритмов [25]. Поэтому интеграция достижений в области аппаратного обеспечения с оптимизацией обработки данных для систематического мониторинга роста пшеницы на протяжении всего ее жизненного цикла остается актуальной областью исследований в сельскохозяйственном дистанционном зондировании и имеет решающее значение для повышения эффективности сельскохозяйственного производства и достижения целей точного земледелия [26].
Мультиспектральные сенсоры являются экономически эффективными, что делает их доступными для широкого применения в сельскохозяйственных целях. Кроме того, их проще развертывать и эксплуатировать по сравнению с гиперспектральными системами, которые требуют более сложной настройки и обработки данных. Несмотря на свою простоту, мультиспектральные сенсоры обладают достаточной чувствительностью для мониторинга ключевых признаков роста пшеницы, таких как содержание хлорофилла и биомасса, что делает их практичным и эффективным выбором для точного земледелия. Хотя гиперспектральная съемка может предоставить более детальную спектральную информацию, мультиспектральные данные были выбраны для этого исследования из-за их практических преимуществ. Мультиспектральные сенсоры предлагают хороший баланс между экономической эффективностью, простотой использования и достаточной спектральной чувствительностью для мониторинга ключевых этапов роста пшеницы на протяжении всего вегетационного цикла. Более того, более простые требования к обработке данных мультиспектральной съемки делают ее более пригодной для крупномасштабного сельскохозяйственного мониторинга, что имеет решающее значение для приложений точного земледелия. Эти соображения оправдывают использование мультиспектральной съемки в данном исследовании, обеспечивая как точность, так и практическую применимость в реальных сельскохозяйственных условиях. В настоящее время фокус технологии дистанционного зондирования с БПЛА сместился с традиционного мониторинга отдельных физиологических параметров на динамическое многокритериальное моделирование. С точки зрения аппаратного обеспечения, стабильность полета БПЛА, спектральный охват сенсоров и точность радиометрической калибровки значительно улучшились. Однако экстремальные погодные условия по-прежнему создают проблемы для сбора данных. Например, изменения освещенности и ветра могут снизить сопоставимость данных на разных этапах роста. С точки зрения методологии, интеграция данных дистанционного зондирования с вегетационными индексами открывает новые научные подходы к мониторингу физиологических характеристик культур [27,28]. Классические индексы, такие как NDVI и GNDVI, доказали свою эффективность в оценке фотосинтетической активности и nutritional status культур, в то время как более новые индексы, такие как NDRE и TVI, улавливают тонкие изменения в пологе культур на определенных этапах роста. Эффективность этих индексов зависит от высококачественных спектральных данных и достаточной интеграции с наземными наблюдениями. Однако существующие исследования часто ограничены локальными территориями или конкретными этапами роста и не имеют систематических наблюдений на протяжении всего вегетационного цикла [29,30]. С точки зрения результатов, комбинация мультиспектральных данных и алгоритмов машинного обучения позволила осуществлять высокоточное прогнозирование ключевых параметров роста культур. Например, алгоритмы случайного леса, широко используемые для анализа многомерных характеристик данных дистанционного зондирования, значительно снижают ошибки прогнозирования по сравнению с традиционными моделями линейной регрессии. Однако стабильность и применимость моделей остаются проблемой на практике. Например, выбор и комбинация индексов должны быть адаптированы к различным культурам или условиям окружающей среды, а обучающие наборы данных требуют дополнительных наземных данных наблюдений для калибровки. Следовательно, изучение потенциала технологий дистанционного зондирования для полного цикла мониторинга пшеницы и объединение мультиспектральных данных с алгоритмами машинного обучения для создания более обобщаемых рамок мониторинга и управления является ключевым путем решения текущих задач точного земледелия [31].
Это исследование, проведенное на экспериментальном поле пшеницы Хэбэйской академии сельскохозяйственных и лесных наук, использовало мультиспектральные данные дистанционного зондирования с БПЛА для изучения динамических изменений высоты растений пшеницы и содержания хлорофилла. Мультиспектральные снимки высокого разрешения были собраны на пяти ключевых этапах роста: кущение, выход в трубку, колошение, цветение и созревание [32,33]. Экспериментальная станция пшеницы Хэбэйской академии сельскохозяйственных и лесных наук была выбрана в качестве места исследования из-за ее репрезентативных агрономических условий и важности в исследованиях пшеницы в Китае. Расположенная в регионе с типичными характеристиками полузасушливого климата, поля пшеницы станции подвержены различным экологическим стрессам, таким как засуха и нерегулярные осадки, которые являются распространенными проблемами в выращивании пшеницы. Кроме того, провинция Хэбэй является одним из основных районов производства пшеницы в Китае, что делает ее идеальным местом для мониторинга динамики роста пшеницы. Результаты, полученные на этом участке, могут быть применены к аналогичным регионам выращивания пшеницы по всему миру, предлагая понимание методов точного земледелия и улучшая мониторинг здоровья и продуктивности пшеницы в различных условиях окружающей среды. Кроме того, давний фокус станции на выращивании пшеницы и ее устоявшаяся исследовательская инфраструктура делают ее отличным выбором для исследования, гарантируя, что результаты актуальны и применимы в более широких сельскохозяйственных контекстах. В сочетании с наземными измерениями с помощью SPAD-метров хлорофилла и датчиков высоты растений, в этом исследовании были проанализированы нелинейные взаимосвязи между 21 вегетационным индексом и параметрами роста пшеницы. Модель случайного леса была использована для изучения возможностей мониторинга мультиспектральных данных в отношении характеристик роста пшеницы, при этом наземная калибровка улучшила предсказательную точность модели. Результаты показали, что динамические изменения вегетационных индексов эффективно отражали закономерности роста пшеницы на критических этапах, особенно в периоды выхода в трубку и колошения. Кроме того, на основе данных с БПЛА была предложена структура управления точным земледелием, включающая оптимизированные стратегии удобрения и орошения, что обеспечивает научное руководство для повышения урожайности пшеницы и эффективности использования ресурсов [34]. Это исследование не только заполняет пробел в области систематического мониторинга полного цикла пшеницы с использованием технологии дистанционного зондирования с БПЛА, но и предоставляет данные и технологические пути для интеллектуального управления пшеницей.
2. Материалы и методы
2.1. Район исследования
Экспериментальная станция пшеницы Хэбэйской академии сельскохозяйственных и лесных наук расположена между 114°42′53″ в.д. и 114°42′55″ в.д. и 37°56′32″ с.ш. и 37°56′30″ с.ш., со средней высотой над уровнем моря приблизительно 55 м. Общая площадь станции составляет около 0,0013 квадратного километра [35] (Рисунок 1). Как одно из ключевых учреждений Китая по исследованию пшеницы, экспериментальная станция использует уникальные природные ресурсы провинции Хэбэй и богатые агрономические условия для создания комплексной исследовательской системы, охватывающей селекцию пшеницы, методы выращивания, а также борьбу с вредителями и болезнями. Станция фокусируется на критических вопросах, таких как механизмы роста пшеницы, улучшение качества и устойчивость к стрессам, направленных на содействие устойчивому развитию и технологическим инновациям в отрасли пшеницы. В этом исследовании мы сосредоточились на четырех спектральных диапазонах — зеленом (560 нм), красном (650 нм), красном крае (730 нм) и ближнем инфракрасном (840 нм) — из-за их доказанной эффективности в улавливании ключевых характеристик растительности, имеющих отношение к мониторингу роста пшеницы. Решение исключить другие спектральные диапазоны, такие как синий и коротковолновый инфракрасный (SWIR), было основано на нескольких соображениях. Синий диапазон, хотя и полезен для некоторых исследований растительности, часто страдает от низкой чувствительности к здоровью растительности по сравнению с зеленым диапазоном и диапазоном красного края, которые более непосредственно связаны с содержанием хлорофилла и фотосинтетической активностью. Диапазон SWIR, хотя и эффективен для обнаружения водного стресса растений, не был включен в это исследование, поскольку основной целью было сосредоточиться на мониторинге роста, а не на оценке водного статуса. Более того, данные SWIR потребовали бы дополнительной обработки для учета вариаций почвенного фона и атмосферных условий, что могло бы усложнить анализ без значительного улучшения результатов для выбранных параметров роста. Поэтому выбранные диапазоны были выбраны за их способность улавливать наиболее релевантную динамику растительности с минимальной сложностью, обеспечивая надежный и понятный анализ для мониторинга роста пшеницы.
Рисунок 1. Расположение экспериментального поля пшеницы. Экспериментальный участок выращивания пшеницы расположен примерно в 20 км к юго-востоку от Шицзячжуана, столицы провинции Хэбэй.
На этой станции исследовательские группы проводят обширные крупномасштабные эксперименты и многомерный сбор данных для систематического изучения влияния различных экологических условий на рост пшеницы, показатели урожайности и формирование качества. Используя передовые агротехнологии и оборудование, они всесторонне анализируют закономерности роста пшеницы в различных климатических, почвенных условиях и при различных методах управления, предоставляя научную основу для повышения эффективности производства пшеницы [22]. Кроме того, группы достигли выдающихся успехов в сборе, идентификации и инновационном использовании зародышевой плазмы пшеницы, внеся значительный вклад в разработку новых сортов пшеницы с высокой урожайностью, превосходным качеством и множественными признаками устойчивости [36].
Станция имеет умеренный континентальный муссонный климат с холодной, сухой зимой; жарким, влажным летом; и мягкими весной и осенью. Среднегодовые температуры составляют около 14,3 °C, средняя температура января — минус 1,4 °C, июля — 27,7 °C. Годовое количество осадков составляет около 422,6 мм, причем большая часть выпадает летом. Регион, получающий 2163 часа солнечного света в год, является типичным для районов выращивания пшеницы в Северном Китае [37]. Около 60% этих районов имеют схожие климатические и почвенные условия, что делает станцию высокорепрезентативной для более широких регионов выращивания пшеницы в полузасушливых зонах, обеспечивая применимость результатов к другим регионам со схожими условиями [38]. Благодаря многолетним целенаправленным усилиям станция ускорила селекцию и распространение новых сортов пшеницы, придав мощный импульс развитию отрасли пшеницы в Китае. Постоянно исследуя интеграцию современной агрономической науки и традиционной сельскохозяйственной практики, станция играет незаменимую роль в повышении потенциала производства пшеницы, обеспечении продовольственной безопасности и решении задач устойчивого развития сельского хозяйства.
2.2. Получение и обработка данных с БПЛА
БПЛА DJI Phantom 4 (DJI Innovations, Наньшань, Шэньчжэнь, Гуандун, Китай), оснащенный шестью 1/2,9-дюймовыми CMOS-сенсорами — одним цветным сенсором для съемки видимого света и пятью монохромными сенсорами для мультиспектральной съемки, — использовался для сбора мультиспектральных данных пшеницы на разных этапах роста, включая один цветной сенсор и пять монохромных мультиспектральных сенсоров, охватывающих четыре критических спектральных диапазона: зеленый (560 нм), красный (650 нм), красный край (730 нм) и ближний инфракрасный (840 нм) [39,40]. Эти диапазоны были тщательно подобраны для улавливания спектральных характеристик пшеницы, отражающих ее здоровье, nutritional status и водный статус. Особенно в диапазонах красного края и ближнего инфракрасного сенсоры эффективно отслеживали состояние роста, биомассу и содержание хлорофилла. Сбор данных проводился на высоте 20 м, достигая пространственного разрешения 0,01 м, что обеспечивало баланс между площадью покрытия и высокой детализацией и четкостью. Используемый в этом исследовании БПЛА DJI Phantom 4 имеет поле зрения (FOV) приблизительно 94 градуса, что позволяет эффективно покрывать целевую зону во время полетов. Скорость сбора данных БПЛА зависит от различных факторов, включая высоту и скорость полета, с типичными значениями 10 м/с в зависимости от конкретных параметров полета. Эта скорость обеспечивает сбор изображений высокого разрешения при сохранении стабильности и точности, необходимых для точного мониторинга посевов. Эти сверхвысококачественные данные обеспечили надежную поддержку для анализа динамики роста пшеницы и выявления потенциальных проблем [41]. В целом, это исследование использовало технологию зондирования с БПЛА и анализ данных для точного мониторинга процессов роста пшеницы, предоставляя прочную техническую основу для управления сельским хозяйством и точного вмешательства [42].
Вместо использования встроенного метода калибровки по солнечному датчику дрона был применен подход относительной калибровки с использованием черной и белой ткани, размещенной на земле. Этот метод позволил сравнивать мультиспектральные данные за несколько периодов, устанавливая существенную базовую информацию для мониторинга роста и экологических оценок. Изображения с БПЛА обрабатывались с использованием программного обеспечения Photoscan (версия 2.2.0.19890, Agisoft LLC, Санкт-Петербург, Россия), которое способствовало созданию мультиспектральных ортофотопланов. Фотограмметрические алгоритмы Photoscan обеспечивали высокую геометрическую точность в процессе сшивки изображений. Калибровка отражательной способности проводилась с использованием пользовательских скриптов на Python (версия 3.11.0, Python Software Foundation, Уилмингтон, Делавэр, США) с использованием библиотек, таких как numpy и scipy для обработки данных, и pyproj для преобразования координат. Для атмосферной коррекции использовался инструмент Py6S (версия 1.9.2, Python Software Foundation, Уилмингтон, Делавэр, США) для компенсации атмосферного рассеяния и поглощения, гарантируя точность данных об отражательной способности. На этапе постобработки применялись методы сегментации для удаления влияния отражения от земли, почвы и теней, обеспечивая, чтобы измерения отражательной способности точно отражали растительный покров, предоставляя, таким образом, точные данные о здоровье и росте растений.
Чтобы обеспечить точное восстановление истинной отражательной способности полога пшеницы, в этом исследовании следовали систематическому рабочему процессу, включающему радиометрическую калибровку, атмосферную коррекцию и региональную обрезку мультиспектральных данных БПЛА. Во-первых, были проанализированы метаданные для извлечения центральной длины волны, полной ширины на полувысоте, калибровочных коэффициентов и пространственных координат каждого спектрального диапазона, что сформировало основу для последующего анализа [43]. Затем цифровые значения (DN) были преобразованы в значения кажущейся радиации для количественной оценки лучистой энергии, поступающей в апертуру сенсора, обеспечивая физическую квантификацию данных [44]. Впоследствии была выполнена атмосферная коррекция с использованием данных калибровочной панели, собранной в поле, что позволило устранить ошибки, вызванные атмосферным поглощением и рассеянием, для получения истинной отражательной способности целевых объектов. Это обеспечило сопоставимость и согласованность данных, собранных в различных условиях окружающей среды. Наконец, карта распределения пшеницы была использована для обрезки посторонних данных, создавая мультиспектральные изображения полога пшеницы с точными значениями отражательной способности [45]. Этот процесс предоставил важные исходные данные для мониторинга роста пшеницы и экологической оценки. Повышая точность и согласованность данных, этот рабочий процесс установил прочную основу для динамического анализа мультиспектральных данных пшеницы, одновременно поддерживая точный мониторинг и управление в сельскохозяйственном производстве.
Для этого исследования мультиспектральные данные с БПЛА были собраны в пять временных точек в период с марта по июнь, охватывающих ключевые этапы роста пшеницы: этап кущения, этап выхода в трубку, этап колошения, этап цветения и этап созревания [46]. Целью сбора данных было всестороннее отслеживание состояния роста пшеницы и изменений здоровья на разных этапах, предоставляя важную информацию о закономерностях роста и влияющих факторах. На каждом этапе были получены данные о спектральной отражательной способности полога пшеницы высокого разрешения с использованием технологии мультиспектральной съемки с БПЛА, обеспечивая всесторонний и точный сбор информации (Таблица 1). Исключение ранних (прорастание) и поздних (налив зерна) этапов роста было сделано с учетом того, что выбранные этапы — кущение, выход в трубку и цветение — представляют ключевые фазы развития пшеницы. Эти этапы обеспечивают достаточное понимание общих тенденций роста культуры. Хотя ранние и поздние этапы важны, сосредоточение на этапах середины роста позволяет эффективно отслеживать здоровье и развитие культуры. Будущие исследования могли бы включить эти этапы для дальнейшей проверки надежности модели и обеспечения ее применимости на протяжении всего вегетационного цикла пшеницы.
Таблица 1. Обзор ключевых этапов роста пшеницы и дат сбора данных. В этой таблице представлены даты сбора мультиспектральных данных с дрона во время ключевых этапов роста пшеницы с апреля по май 2024 года, а также синхронизированный сбор данных с дрона и наземных источников.
- Этап кущения (с середины марта до начала апреля) Эта фаза знаменует начало кущения и развитие корней и стеблевых структур.
- Этап выхода в трубку (с начала до конца апреля) Происходит быстрое удлинение стеблей и междоузлий, закладывая основу для последующей дифференциации колоса.
- Этап колошения (с конца апреля до середины мая) Колос начинает развиваться и постепенно созревать.
- Этап цветения (с середины мая до конца мая) Колос проходит цветение и завершает опыление.
- Этап созревания (с конца мая до середины июня) Зерна созревают, содержание влаги уменьшается, растения готовятся к уборке урожая.
Из-за небольшой площади листьев и недостаточной толщины листьев на этапе кущения, а также пожелтения и высыхания листьев на этапе созревания измерения содержания хлорофилла для этих этапов не проводились. Чтобы уловить критическую динамику на этапе выхода в трубку, дополнительные данные были собраны непосредственно до и после этой фазы, названные соответственно пред-выход-в-трубку и пост-выход-в-трубку [47]. Эта стратегия дополнительного сбора данных обеспечила более полное представление о ключевых изменениях в развитии пшеницы, предоставляя точные данные для тщательной оценки условий роста пшеницы.
1 апреля 2024 года был проведен сбор данных с БПЛА для получения изображений в истинных цветах и мультиспектральных данных пшеницы в период ее роста. Собранные спектральные данные включали ключевые диапазоны: G, R, RE и NIR. Эти наборы данных предоставили критически важную поддержку для анализа условий роста пшеницы в этот конкретный момент времени [48,49]. Изображения в истинных цветах визуально представляли общий внешний вид и состояние здоровья пшеницы, обеспечивая прямое наблюдение за ее состоянием. Отражательная способность в зеленом диапазоне подчеркивала содержание хлорофилла в растении, служа индикатором фотосинтетической активности. Данные из красного диапазона использовались для оценки биомассы и общего здоровья растительности, в то время как диапазон красного края, высокочувствительный к физиологическим изменениям в растениях, показывал тонкие различия в росте, которые в противном случае могли бы остаться незамеченными. Отражательная способность в ближнем инфракрасном диапазоне предоставляла важную информацию о водном статусе и накоплении биомассы пшеницы. Интегрируя данные по этим диапазонам, был достигнут всесторонний анализ динамических характеристик пшеницы на данном этапе роста (Рисунок 2). Этот многогранный подход не только способствовал более глубокому пониманию физиологического состояния пшеницы, но и обеспечил прочную основу для точного управления сельским хозяйством и стратегий вмешательства.
Рисунок 2. Данные мультиспектральной отражательной способности (G, R, RE, NIR) пшеницы, собранные 1 апреля 2024 года, иллюстрирующие условия роста и физиологические характеристики на этапе выхода в трубку. (a) Зеленый диапазон; (b) Ближний инфракрасный диапазон; (c) Красный диапазон; (d) Диапазон красного края.
2.3. Получение и анализ наземных данных
В этом исследовании были собраны наземные данные истинности для проверки точности мультиспектральных изображений с БПЛА и предоставления важных ссылок для моделирования. SPAD-метры хлорофилла и измерительные ленты использовались на экспериментальном поле пшеницы для измерения физиологических и морфологических признаков. Для каждой делянки содержание хлорофилла в 20 растениях пшеницы измерялось с помощью SPAD-метра, и среднее значение записывалось как данные о хлорофилле для делянки [50]. Аналогично, высота тех же 20 растений пшеницы измерялась с помощью измерительной ленты, и среднее значение использовалось как данные о высоте пшеницы для делянки. Эти наземные измерения предоставили важные ссылки для изучения взаимосвязи между спектральными характеристиками полога пшеницы и физиологическими свойствами. Содержание хлорофилла отражает фотосинтетическую эффективность и здоровье растений, в то время как высота растений служит ключевым индикатором прогресса роста. Собранные наземные данные не только предоставили точные ссылки для моделирования изображений с БПЛА, но и предоставили высококачественные наземные данные для калибровки модели, обеспечивая научную обоснованность и надежность результатов анализа [51].
С марта по май высота растений пшеницы демонстрировала значительную восходящую тенденцию. В начале марта средняя высота растений составляла 0,28 м, а на некоторых делянках достигала приблизительно 0,35 м. К середине апреля, в период быстрого роста, средняя высота растений увеличилась до 0,45 м, а на высокопродуктивных делянках приблизилась к 0,52 м. В конце апреля высота растений дополнительно увеличилась до среднего значения 0,65 м, причем на самых высоких делянках она достигла 0,72 м. В начале мая высота растений достигла приблизительно 0,85 м, а в зонах с высокими значениями превысила 0,9 м. К концу мая, на этапе созревания, высота растений стабилизировалась, составив в среднем 1,0 м, а на самых высоких делянках превысила 1,05 м. Содержание хлорофилла показывало аналогичную динамическую картину. В начале марта среднее содержание хлорофилла составляло 0,60 мг/г, а в зонах с высокими значениями приближалось к 0,70 мг/г. К середине апреля содержание хлорофилла увеличилось до 0,85 мг/г, причем на некоторых делянках превысило 0,90 мг/г. В конце апреля содержание хлорофилла достигло пика в среднем 1,05 мг/г, причем на некоторых делянках достигло 1,10 мг/г. В начале мая содержание хлорофилла начало снижаться, составив в среднем 0,95 мг/г. К концу мая оно дополнительно снизилось до 0,75 мг/г, причем в некоторых зонах с низкими значениями упало ниже 0,70 мг/г. Этот набор данных наземной истинности предоставляет жизненно важную поддержку для понимания физиологических изменений пшеницы в течение ее вегетационного цикла и для повышения точности мониторинга и анализа на основе БПЛА (Рисунок 3).
Рисунок 3. Временная динамика роста пшеницы: высота и содержание хлорофилла. (a) Динамика высоты пшеницы на пяти этапах роста; (b) Изменения содержания хлорофилла в пшенице на пяти этапах роста. На рисунках иллюстрируются динамические тенденции высоты пшеницы и содержания хлорофилла на пяти этапах роста на 72 экспериментальных делянках, отражая состояние роста и здоровья пшеницы.
2.4. Спектральные алгоритмы
Расчет спектральных индексов играет критическую роль в исследованиях дистанционного зондирования, повышая интерпретируемость данных сырой отражательной способности путем фокусировки на ключевых биофизических и биохимических свойствах растительности [52]. В этом исследовании 21 вегетационный индекс был выбран из спектральных диапазонов G, R, RE и NIR для анализа их взаимосвязей с высотой полога пшеницы и содержанием хлорофилла. Эти индексы были выбраны из-за их доказанной эффективности в мониторинге роста, здоровья и физиологических изменений растительности, что было продемонстрировано во многочисленных агрономических и экологических исследованиях. Среди них широко признанные индексы, такие как NDVI, GNDVI и RENDVI, известны своей способностью отслеживать фотосинтетическую активность, концентрацию хлорофилла и общую жизнеспособность растительности. Такие индексы, как NDRE и CIre, которые используют чувствительность диапазона красного края, могут обнаруживать тонкие физиологические изменения в растениях, особенно на ранних стадиях стресса или деградации хлорофилла. Кроме того, индексы, такие как TVI и CVI, которые интегрируют несколько спектральных диапазонов, способны оценивать биомассу и структурные свойства растительности, которые напрямую связаны с динамикой роста пшеницы. Выбор этих индексов позволяет провести всестороннюю оценку биофизического и биохимического состояния пшеницы на различных этапах роста (Таблица 2).
Таблица 2. Ключевые вегетационные индексы и их применение в мониторинге пшеницы. В этой таблице перечислены 21 ключевой вегетационный индекс, включая их порядковые номера, методы расчета, формулы и основное применение в мониторинге пшеницы, что предоставляет ценный справочный материал для анализа и исследований.
В этом исследовании 21 вегетационный индекс был выбран для мониторинга различных аспектов роста пшеницы, таких как содержание хлорофилла и биомасса. Чтобы обеспечить надежность результатов и предотвратить мультиколлинеарность, взаимосвязи между индексами были проанализированы с использованием фактора инфляции дисперсии (VIF). Значения VIF указывают, насколько дисперсия коэффициента регрессии увеличивается из-за коллинеарности с другими индексами. Общепринятым порогом для мультиколлинеарности является VIF больше 10, что свидетельствует о том, что индексы сильно коррелированы и могут привести к ненадежным результатам модели. Индексы со значениями VIF выше этого порога обычно исключаются для поддержания надежности модели и статистической независимости среди сохраненных индексов. В этом анализе значения VIF для всех 21 выбранного вегетационного индекса варьировались от 1,075 до 1,320, что значительно ниже порога 10. Это указывает на отсутствие значительной мультиколлинеарности среди индексов, и они статистически независимы. Поэтому сохраненные индексы подходят для дальнейшего моделирования и прогнозирования без риска завышенных стандартных ошибок или смещенных коэффициентов. Выбранный порог VIF > 10 широко используется в статистическом анализе для выявления проблематичной мультиколлинеарности, и поскольку все значения VIF находятся ниже этого порога, мы можем уверенно заключить, что мультиколлинеарность не является проблемой в этом исследовании.
Для установления взаимосвязей между выбранными индексами и параметрами роста пшеницы (высотой полога и содержанием хлорофилла) использовались методы регрессионного моделирования. Каждый индекс был протестирован на его предсказательную способность с использованием как линейных, так и нелинейных регрессионных подходов. Кроме того, были построены многомерные модели, объединяющие несколько индексов, для изучения их синергетических эффектов [53]. Этот подход к моделированию направлен на выявление спектральных закономерностей, связанных с физиологическими свойствами пшеницы, предоставляя научную основу для практик точного земледелия. Связывая спектральные индексы с измеренными в поле параметрами, это исследование предоставляет более глубокое понимание динамики роста пшеницы и действенные рекомендации для оптимизации азотных подкормок, орошения и управления стрессами. Эта методология моделирования на основе индексов имеет значительный потенциал для развития приложений дистанционного зондирования в устойчивом производстве пшеницы и точном земледелии.
Модель случайного леса (Random Forest) использовалась для прогнозирования параметров роста пшеницы на основе выбранных вегетационных индексов. Чтобы оптимизировать производительность модели, настройка гиперпараметров была выполнена с использованием поиска по сетке с перекрестной проверкой. Поиск по сетке был выбран из-за его простоты и надежности, поскольку он систематически тестирует диапазон значений гиперпараметров, чтобы найти наилучшую комбинацию, минимизирующую ошибку прогнозирования. Хотя другие подходы, такие как байесовская оптимизация, могут быть более эффективными, поиск по сетке был предпочтительнее здесь из-за его простоты в применении и надежности, особенно когда вычислительные ресурсы и время позволяли провести исчерпывающий поиск. Ключевые гиперпараметры, такие как количество деревьев (n_estimators), максимальная глубина деревьев (max_depth) и минимальное количество образцов, необходимое для разделения внутреннего узла (min_samples_split), были настроены. Поиск по сетке был выполнен с 10-кратной перекрестной проверкой для оценки производительности модели на различных подмножествах данных и обеспечения обобщаемости. Окончательно выбранные гиперпараметры: n_estimators = 100, max_depth = 10 и min_samples_split = 4, что обеспечивает наилучший баланс между сложностью модели и точностью прогнозирования.
Хотя модели регрессии на основе деревьев решений склонны к переобучению, особенно со сложными наборами данных, подобными используемому в этом исследовании, переобучение контролировалось с использованием таких методов, как обрезка и k-кратная перекрестная проверка. Обрезка помогает предотвратить чрезмерную сложность дерева и подгонку к шуму в данных. Чтобы дополнительно повысить надежность, мы выполнили 10-кратную перекрестную проверку, при которой данные были разделены на 10 подмножеств, и производительность модели оценивалась на каждом подмножестве, в то время как остальные 9 подмножеств использовались для обучения. Этот подход гарантировал, что модель будет хорошо обобщаться на невидимых данных. Эти методы помогли сбалансировать сложность модели с точностью прогнозирования, снижая риск переобучения и повышая надежность прогнозов.
2.5. Оценка точности
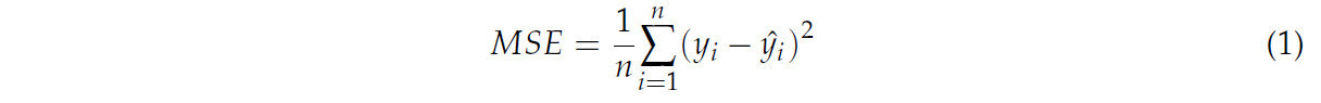
Для всесторонней оценки производительности моделей использовалась среднеквадратичная ошибка (MSE) для количественной оценки отклонения между прогнозируемыми и наблюдаемыми значениями [54]. MSE — это широко используемый показатель в регрессионном анализе для измерения точности прогнозирования модели. Она рассчитывается путем суммирования квадратов разностей между прогнозируемыми значениями и фактическими наблюдаемыми значениями, а затем деления на общее количество точек данных. Более низкое значение MSE указывает на более высокую точность прогнозирования, отражая способность модели тесно соответствовать фактическим данным. Принцип MSE заключается в оценке квадратов ошибок между прогнозируемыми и наблюдаемыми значениями для учета дисперсии в прогнозах. Наказывая большие отклонения сильнее, чем малые, MSE предоставляет надежную меру надежности прогнозирования. В частности, формула для MSE выглядит следующим образом:
где n представляет количество выборок; i — индекс выборки; y_i — фактическое значение (наблюдаемое значение); а (y_i ) ̂ — прогнозируемое значение (выход модели). В этом исследовании оценка точности в основном использовала MSE для количественной оценки точности прогнозирования моделей. В частности, для прогнозирования высоты пшеницы и содержания хлорофилла использовались регрессионные модели на основе вегетационных индексов и модели регрессии случайного леса для прогнозирования наблюдаемых данных на различных этапах роста. Затем выходные данные модели сравнивались с фактическими измеренными данными для оценки точности моделей.
3. Результаты
3.1. Картирование вариаций высоты и содержания хлорофилла на 72 экспериментальных делянках
Картирование пространственного распределения высоты пшеницы и содержания хлорофилла на пяти этапах роста (пред-выход-в-трубку, выход в трубку, пост-выход-в-трубку, колошение и цветение) имеет значительную важность [39]. Визуализация пространственного распределения характеристик роста культур на различных этапах предоставляет понимание динамики роста и пространственной изменчивости. Вариации между делянками подчеркивают влияние микро-среды на рост культур, предоставляя ценную информацию для точного земледелия. Пространственные карты высоты и содержания хлорофилла идентифицируют зоны с аномальным ростом, позволяя проводить целенаправленные вмешательства, такие как корректировка удобрения или орошения. Кроме того, отслеживание динамических изменений на этапах роста поддерживает оптимизацию агрономических практик, улучшая эффективность использования ресурсов и повышая урожайность. В целом, пространственные карты улучшают понимание роста культур и предоставляют основу для точного мониторинга культур и принятия решений.
Высота пшеницы и содержание хлорофилла демонстрируют значительные динамические изменения на различных этапах роста (Рисунок 4). На этапе пред-выход-в-трубку средняя высота пшеницы составляет приблизительно 0,25 м, а содержание хлорофилла — около 0,55 мг/г, что отражает раннюю фазу роста, когда растения относительно низкие, а фотосинтетическая активность ограничена. На этапе выхода в трубку высота растений значительно увеличивается до около 0,50 м, а содержание хлорофилла достигает 0,80 мг/г, указывая на начало быстрого роста с ускоренным поглощением питательных веществ и накоплением биомассы. К этапу пост-выход-в-трубку высота дополнительно увеличивается до 0,75 м, а содержание хлорофилла достигает пика в 1,0 мг/г, что знаменует стабильную фазу роста с высокой фотосинтетической эффективностью. На этапе колошения средняя высота достигает 0,95 м, в то время как содержание хлорофилла незначительно снижается до 0,90 мг/г, поскольку растение переходит к репродуктивному росту, перераспределяя фотосинтетические ресурсы на налив зерна. К этапу цветения высота пшеницы стабилизируется на уровне приблизительно 0,90 м, а содержание хлорофилла дополнительно снижается до 0,75 мг/г, указывая на предуборочную стадию, когда рост замедляется и распределение питательных веществ фокусируется на развитии зерна. В целом, высота пшеницы демонстрирует непрерывную восходящую тенденцию, в то время как содержание хлорофилла достигает пика на этапе пост-выход-в-трубку и постепенно снижается впоследствии. Эти динамические изменения подчеркивают переход от вегетативного к репродуктивному росту, предоставляя ценную информацию для оптимизации сроков удобрения, орошения и уборки урожая в точном земледелии.
Рисунок 4. Карты пространственного распределения высоты полога пшеницы и содержания хлорофилла на пяти этапах роста. (a, b) иллюстрируют пространственное распределение высоты пшеницы и содержания хлорофилла в течение пяти этапов роста (пред-выход-в-трубку, выход в трубку, пост-выход-в-трубку, колошение и цветение), показывая динамику роста культур и региональные вариации.
В этом исследовании пространственная статистика была использована для оценки пространственных закономерностей роста пшеницы на экспериментальном участке. Индекс Морана I был рассчитан для измерения пространственной автокорреляции параметров роста пшеницы. Результаты показали значение индекса Морана I, равное 0,65, что указывает на умеренную положительную пространственную автокорреляцию. Это свидетельствует о том, что зоны с более высоким ростом пшеницы имеют тенденцию группироваться вместе, в то время как зоны с более низким ростом также сгруппированы. С практической агрономической точки зрения это означает, что регионы со схожими условиями роста могли бы извлечь выгоду из схожих методов управления, таких как оптимизированные стратегии орошения или удобрения, для повышения эффективности и урожайности. Кроме того, была построена полувариограмма для анализа пространственной непрерывности роста пшеницы. График полувариограммы показал постепенное увеличение полудисперсии с расстоянием, которое выравнивалось на больших расстояниях, указывая на то, что пространственная зависимость была значительной на меньших расстояниях, но становилась незначительной по мере увеличения расстояния между точками выборки. Этот анализ предоставил ценную информацию о пространственной структуре роста пшеницы, показывая, как изменчивость роста распределена по ландшафту. Эти пространственные анализы подчеркивают важность пространственно-явных методов управления в точном земледелии, поскольку зоны с более высоким или более низким ростом могут быть целевыми для конкретных вмешательств на основе их пространственных характеристик.
Взаимосвязь между содержанием хлорофилла и высотой растений является ключевым индикатором здоровья растений и динамики роста в процессе развития пшеницы [55]. В этом исследовании были созданы графики корреляции между содержанием хлорофилла и высотой растений для пяти этапов роста (пред-выход-в-трубку, выход в трубку, пост-выход-в-трубку, колошение и цветение), чтобы показать закономерности и взаимодействия физиологических признаков на различных этапах (Рисунок 5).
Рисунок 5. Корреляция между содержанием хлорофилла и высотой на пяти этапах роста пшеницы. (a) На этапе пред-выход-в-трубку коэффициент корреляции между содержанием хлорофилла и высотой составляет -0,04, указывая на почти полное отсутствие корреляции. Точки рассеяния распределены случайным образом, отражая слабую взаимосвязь между высотой растений и содержанием хлорофилла на этом этапе. (b) На этапе выхода в трубку коэффициент корреляции составляет -0,25, показывая слабую отрицательную корреляцию. По мере вступления растений в фазу быстрого роста различия в размере растений могут маскировать взаимосвязь между содержанием хлорофилла и высотой. (c) На этапе пост-выход-в-трубку коэффициент корреляции составляет -0,23, также указывая на небольшую отрицательную корреляцию. Высота растений стабилизируется на этом этапе, в то время как снижение содержания хлорофилла может быть связано с изменениями в фотосинтетической эффективности. (d) На этапе колошения коэффициент корреляции составляет -0,48, демонстрируя умеренную отрицательную корреляцию. Снижение содержания хлорофилла отражает перемещение питательных веществ в зерна, дополнительно уменьшая зависимость высоты растений от хлорофилла. (e) На этапе цветения коэффициент корреляции составляет -0,24, сохраняя небольшую отрицательную корреляцию. К этому этапу содержание хлорофилла значительно снизилось, а высота растений стабильна, указывая на слабую взаимосвязь между ними.
Эти пять графиков визуально демонстрируют изменения в тенденциях корреляции, и коэффициенты корреляции Пирсона были рассчитаны для количественной оценки этих взаимосвязей. На этапе пред-выход-в-трубку коэффициент корреляции составил -0,04, что указывает на почти полное отсутствие корреляции между содержанием хлорофилла и высотой растений. Это может быть связано с тем, что растения находятся на ранней стадии накопления питательных веществ, со значительными индивидуальными вариациями и относительно случайной динамикой роста. На этапе выхода в трубку коэффициент корреляции снизился до -0,25, показывая слабую отрицательную корреляцию. Быстрый рост растений на этом этапе, вероятно, повлиял на равномерное распределение хлорофилла. На этапе пост-выход-в-трубку корреляция оставалась слабо отрицательной на уровне -0,23, отражая, что высота растений стабилизировалась, в то время как содержание хлорофилла постепенно снижалось, что привело к менее значительной физиологической взаимосвязи. На этапе колошения коэффициент корреляции дополнительно снизился до -0,48, указывая на умеренную отрицательную корреляцию. Это отражает начало перемещения питательных веществ к репродуктивным органам. К этапу цветения коэффициент корреляции составил -0,24, показывая небольшую отрицательную корреляцию, так как рост высоты растений почти прекратился, в то время как содержание хлорофилла продолжало снижаться. В целом, графики корреляции показывают, что взаимосвязь между содержанием хлорофилла и высотой растений ослабевает по мере прогрессирования этапов роста, а на репродуктивных этапах становится умеренно или значительно отрицательной. Это открытие предоставляет критически важную информацию для мониторинга роста пшеницы и помогает оптимизировать стратегии управления полями, такие как сроки орошения и удобрения, для повышения урожайности и качества.
3.2. Корреляционный анализ между признаками пшеницы и вегетационными индексами на пяти этапах роста
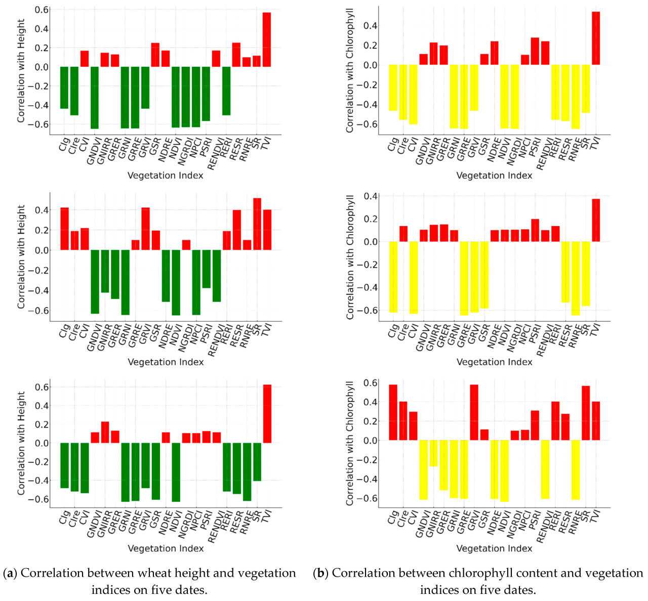
Чтобы проанализировать взаимосвязи между высотой полога пшеницы, содержанием хлорофилла и различными вегетационными индексами, коэффициенты корреляции между 21 индексом и признаками пшеницы были пересчитаны для пяти ключевых этапов роста [34]. Три индекса с самыми высокими корреляциями в каждый момент времени были идентифицированы, а также их значимость в мониторинге пшеницы (Рисунок 6). Валидация модели была выполнена с использованием нескольких метрик для обеспечения всесторонней оценки производительности модели. В дополнение к среднеквадратичной ошибке (MSE) были также рассчитаны другие критические метрики валидации, такие как коэффициент детерминации (R²) и корень из среднеквадратичной ошибки (RMSE). R² предоставляет меру того, насколько хорошо модель объясняет дисперсию в данных, причем значения, близкие к 1, указывают на лучшее соответствие модели. RMSE — это еще один важный показатель, который дает стандартное отклонение ошибок прогнозирования, причем более низкие значения указывают на более высокую точность прогнозирования. Результаты показали R², равный 0,87, указывая на то, что модель объясняет 87% дисперсии в параметрах роста пшеницы. RMSE составил 0,23, что свидетельствует о достаточно небольших ошибках прогнозирования. Кроме того, для каждой из метрик были вычислены 95% доверительные интервалы, которые помогли оценить неопределенность в прогнозах модели. Доверительные интервалы для MSE, R² и RMSE были относительно узкими, указывая на высокий уровень точности в оценках производительности модели. Это добавление доверительных интервалов повышает статистическую надежность оценки модели, предоставляя более четкое понимание неопределенности в прогнозах модели и дополнительно укрепляя надежность результатов.
Рисунок 6. Корреляционный анализ роста пшеницы: вегетационные индексы с высотой и содержанием хлорофилла. (a) Корреляция между высотой пшеницы и вегетационными индексами. На этом рисунке показана корреляция 21 вегетационного индекса с высотой пшеницы. На этапе кущения (20240401) самые высокие корреляции наблюдались для CIg (0,65), TVI (0,64) и RERI (0,62), что указывает на их высокую чувствительность к мониторингу высоты пшеницы на этом этапе. Наиболее отрицательно коррелированным индексом был GNDVI (-0,63), отражая значительный отклик вариаций высоты на этот индекс в фазе кущения. К этапу созревания (20240521) TVI (0,67) оставался наиболее коррелированным, за ним следовали SR (0,64) и CIg (0,63), демонстрируя их высокую полезность для мониторинга высоты, в то время как GNDVI (-0,59) показал наибольшую отрицательную корреляцию, подчеркивая его уникальную чувствительность к вариациям высоты во время созревания. (b) Корреляция между содержанием хлорофилла в пшенице и вегетационными индексами. На этом рисунке иллюстрируется корреляция 21 вегетационного индекса с содержанием хлорофилла в пшенице. На этапе выхода в трубку (20240423) самые высокие корреляции наблюдались для TVI (0,65), SR (0,61) и CIg (0,61), отражая их значительные отклики на содержание азота и фотосинтетическую эффективность. Наиболее отрицательно коррелированным индексом был GNIRR (-0,59), подчеркивая его важность в мониторинге изменений содержания хлорофилла на этапе выхода в трубку. К этапу созревания (20240521) TVI (0,66) и SR (0,64) имели самые высокие корреляции, за ними следовал CIg (0,64), показывая их исключительную чувствительность для мониторинга содержания хлорофилла в этой фазе. GNIRR (-0,55) оставался наиболее отрицательно коррелированным индексом, демонстрируя его критическую ценность в мониторинге хлорофилла во время созревания.
(1) 1 апреля 2024 г. (этап кущения): Наибольшая корреляция с высотой пшеницы наблюдалась для CIg (0,65), за ним следовали TVI (0,64) и RERI (0,62). Эти индексы, связанные с биомассой растительности и структурой полога, указывают на высокую чувствительность высоты пшеницы к этим спектральным изменениям на данном этапе. Среди отрицательно коррелированных индексов GNDVI показал самую сильную абсолютную корреляцию (-0,63), что свидетельствует о его важности в отслеживании вариаций высоты на этапе кущения. Для содержания хлорофилла наиболее коррелированным индексом был TVI (0,64), за ним следовали CIre (0,26) и CIg (0,21). Наиболее отрицательно коррелированным индексом был GNIRR (-0,61), отражая значительный отклик содержания хлорофилла на длины волн красного края и ближнего инфракрасного диапазона.
(2) 23 апреля 2024 г. (этап выхода в трубку): На этом этапе высота пшеницы наиболее сильно коррелировала с TVI (0,65), за ним следовали CIg (0,64) и SR (0,64). Среди отрицательно коррелированных индексов GNDVI показал самую сильную абсолютную корреляцию (-0,62), подчеркивая его роль в мониторинге изменений высоты на этапе выхода в трубку. Для содержания хлорофилла TVI (0,65) показал самую высокую корреляцию, за ним следовали SR (0,61) и CIg (0,61). GNIRR оставался наиболее отрицательно коррелированным индексом (-0,59), указывая на сильные спектральные отклики для мониторинга хлорофилла.
(3) 30 апреля (этап колошения): Высота пшеницы наиболее сильно коррелировала с TVI (0,64), за ним следовали SR (0,62) и RERI (0,60). Наиболее сильная отрицательная корреляция наблюдалась для GNDVI (-0,61), отражая его значимость в мониторинге высоты на этапе колошения. Для содержания хлорофилла наиболее коррелированным индексом был TVI (0,66), за ним следовали SR (0,63) и CIg (0,60). GNIRR снова был наиболее отрицательно коррелированным индексом (-0,57), показывая его потенциал для мониторинга содержания хлорофилла на этапе колошения.
(4) 9 мая (этап цветения): На этапе цветения наиболее коррелированными индексами с высотой пшеницы были TVI (0,63), SR (0,61) и RERI (0,61). GNDVI показал самую сильную отрицательную корреляцию (-0,61), указывая на его ценность для мониторинга изменений высоты на этом этапе. Для содержания хлорофилла TVI (0,64) имел самую высокую корреляцию, за ним следовали SR (0,62) и CIg (0,60). GNIRR (-0,56) оставался наиболее отрицательно коррелированным индексом, отражая значительные спектральные отклики листьев.
(5) 21 мая (этап созревания): На этапе созревания наиболее коррелированными индексами с высотой пшеницы были TVI (0,67), SR (0,64) и CIg (0,63). Наиболее сильная отрицательная корреляция была обнаружена для GNDVI (-0,59), указывая на его значимость в мониторинге высоты на этапе созревания. Для содержания хлорофилла TVI (0,66) был наиболее коррелированным индексом, за ним следовали SR (0,64) и CIg (0,64). GNIRR (-0,55) продолжал демонстрировать сильную отрицательную корреляцию, подчеркивая его роль в мониторинге содержания хлорофилла на этапе созревания.
Корреляционный анализ показал четкие закономерности положительных и отрицательных корреляций между признаками пшеницы и вегетационными индексами на различных этапах роста. Такие индексы, как TVI и SR, стабильно демонстрировали значительные положительные корреляции, в то время как индексы, такие как GNDVI и GNIRR, проявляли сильные отрицательные корреляции на нескольких этапах. Эти результаты предоставляют новые доказательства для научного управления точным земледелием, способствуя улучшению методов мониторинга роста пшеницы и прогнозирования урожайности.
3.3. Моделирование высоты пшеницы с использованием регрессии на основе деревьев решений
Модель регрессии на основе деревьев решений была применена для анализа взаимосвязей между различными вегетационными индексами и данными о высоте пшеницы. Дерево решений изучает нелинейные взаимосвязи между вегетационными индексами и высотой пшеницы путем рекурсивного разделения пространства входных признаков [56]. Во время моделирования дерево решений разделяет пространство данных на основе пороговых значений вегетационных индексов и прогнозирует значения высоты пшеницы в каждом листовом узле. Чтобы повысить обобщающую способность и предотвратить переобучение, максимальная глубина дерева решений была ограничена 5. Визуализация дерева решений предоставила интуитивное понимание относительной важности различных индексов в прогнозировании высоты пшеницы и их правил разделения (Рисунок 7). NDRE и TVI были наиболее эффективными индексами для мониторинга роста пшеницы из-за их чувствительности к ключевым физиологическим процессам. NDRE, использующий область красного края (730 нм), особенно эффективен для обнаружения содержания хлорофилла, которое тесно связано с фотосинтетической активностью. Эта область меньше подвержена влиянию почвенных и атмосферных условий, что делает NDRE надежным индикатором здоровья посевов. TVI, объединяя красный, зеленый и ближний инфракрасный диапазоны, отражает как содержание хлорофилла, так и структуру полога, которые являются критическими факторами для роста пшеницы. Эти индексы превосходят другие, потому что они точно отражают физиологические процессы, такие как фотосинтез и накопление биомассы, что делает их высокоэффективными для мониторинга здоровья пшеницы на различных этапах роста. Эффективность NDRE и TVI в мониторинге роста пшеницы может варьироваться в зависимости от сорта. Хотя оба индекса показали сильные корреляции с параметрами роста пшеницы в этом исследовании, важно учитывать, что различные сорта пшеницы могут проявлять физиологические различия, такие как вариации в морфологии листьев, закономерностях роста и поглощении питательных веществ. Эти различия могут влиять на то, насколько точно индексы отражают характеристики роста. Поэтому, хотя результаты этого исследования являются перспективными, эффективность NDRE и TVI может быть не постоянной для всех сортов пшеницы. Необходимы дальнейшие исследования, чтобы изучить, как эти индексы работают на различных сортах пшеницы, чтобы определить, является ли их эффективность специфичной для сорта или универсально применимой ко всей пшенице.
Рисунок 7. Прогнозирование высоты пшеницы и правила разделения на основе модели регрессии на деревьях решений. (a) 1 апреля 2024 г.: NDVI, GNDVI и RENDVI были ключевыми предикторными индексами, высота варьировалась от 26,7 до 37,8 см; (b) 23 апреля 2024 г.: RNRE, SR и RESR были ключевыми предикторными индексами, высота варьировалась от 56,7 до 63,6 см; (c) 30 апреля 2024 г.: TVI, CIg и SR были ключевыми предикторными индексами, высота варьировалась от 66,0 до 75,8 см; (d) 9 мая 2024 г.: TVI, SR и NPCI были ключевыми предикторными индексами, высота варьировалась от 68,0 до 82,7 см; (e) 21 мая 2024 г.: TVI, SR и GRNI были ключевыми предикторными индексами, высота варьировалась от 70,0 до 76,4 см.
(1) 1 апреля 2024 г. (Этап кущения)
Индексами, внесшими наибольший вклад в прогнозирование высоты пшеницы, были NDVI, GNDVI и RENDVI. Например, в одной основной ветви, когда значение NDVI было менее 0,45, прогнозируемая высота пшеницы была ниже (приблизительно 26,7 см). Если NDVI превышал 0,45, модель дополнительно разделяла данные на основе GNDVI с пороговым значением 0,35. Если GNDVI был ниже этого порога, прогнозируемая высота составляла 31,2 см; в противном случае она дополнительно разделялась на основе RENDVI с порогом 0,42, в конечном итоге прогнозируя наибольшую высоту (приблизительно 37,8 см). Это пошаговое уточнение эффективно улавливало сложные нелинейные взаимосвязи между высотой пшеницы и вегетационными индексами. Среднеквадратичная ошибка (MSE) этой модели дерева решений для обучающих данных составила 1,23, что значительно ниже, чем MSE, равная 2,87, достигнутая простой моделью линейной регрессии.
(2) 23 апреля 2024 г. (Этап выхода в трубку)
Индексами с наибольшим вкладом были RNRE, SR и RESR. Например, в одной ветви, когда значение RNRE было менее 0,23, прогнозируемая высота пшеницы составляла в среднем 56,7 см. Если RNRE дополнительно снижался ниже 0,16, модель включала GNIRR для разделения, прогнозируя высоту 61,6 см, когда GNIRR был ниже 0,75, и 60,2 см, когда он превышал 0,75, в сочетании с RERI. В другой ветви, когда значение SR превышало 1,88, модель уточняла прогнозы на основе RESR. Когда RESR был менее 2,36, происходило дальнейшее разделение с использованием GSR, с прогнозируемыми высотами 61,9 см для GSR ниже 2,08 и 63,6 см для NDVI ниже 0,35. MSE для этой модели составила 1,08, что значительно лучше, чем MSE линейной регрессии, равная 2,53.
(3) 30 апреля 2024 г. (Этап колошения)
Индексами с наибольшей предсказательной способностью были TVI, CIg и SR. В основной ветви, когда TVI был ниже 8523,3, прогнозируемая высота пшеницы составляла 71,2 см. Дальнейшее разделение TVI показало, что значение ниже 7920,1 прогнозировало высоту 66,0 см, в то время как значения между 7920,1 и 8523,3 прогнозировали 74,2 см. Когда TVI превышал 8523,3, модель включала CIg для дальнейших разделений. Для CIg ниже 0,78 использовался SR, и когда SR был ниже 2,08, прогнозируемая высота составляла 73,6 см; для SR выше 2,08 и GRNI больше 1,21 прогноз высоты увеличивался до 75,7 см. Для CIg, превышающего 0,78, использовались GNIRR и GNDVI, с прогнозируемыми высотами до 75,8 см. MSE составила 1,05, что значительно превосходит MSE линейной регрессии, равную 2,41.
(4) 9 мая 2024 г. (Этап цветения)
TVI, SR и NPCI были наиболее значимыми предикторами. Когда TVI был ниже 8536,6, прогнозируемая высота пшеницы составляла в среднем 72,7 см. Для TVI ниже 7858,8 прогнозируемая высота составляла 68,0 см; между 7858,8 и 8536,6 — 70,6 см. Для TVI выше 8536,6 включался SR. Когда SR был ниже 2,1, модель использовала PSRI для дальнейших разделений, с высотами 75,1 см для PSRI ниже 2,8 и 77,6 см для RESR выше 2,23. Когда SR превышал 2,1, модель включала NPCI, GRRE и GRVI, прогнозируя высоты до 82,7 см для GRVI выше 1,46 и GRRE выше 1,25. MSE составила 1,01, превосходя MSE линейной регрессии, равную 2,37.
(5) 21 мая 2024 г. (Этап созревания)
TVI, SR и GRNI были лучшими предикторами. Когда TVI был ниже 8420,4, средний прогноз высоты составлял 72,4 см. Для TVI ниже 7968,8 прогнозируемая высота составляла 70,0 см, в то время как для значений между 7968,8 и 8420,4 она возрастала до 74,1 см. Для TVI выше 8420,4 включался SR. Когда SR был ниже 2,4, модель использовала GRNI, прогнозируя 74,1 см для GRNI ниже 1,4. Для GRNI выше 1,4 и NDVI выше 0,23 PSRI использовался для дальнейших разделений, прогнозируя высоты до 76,4 см. Когда SR превышал 2,4, GRNI и PSRI дополнительно уточняли прогнозы, достигая высоты 73,4 см для GRNI между 1,02 и 1,32 и 72,4 см для GRNI выше 1,32 и PSRI ниже 3,26. MSE для этой модели составила 1,02 по сравнению с 2,39 для линейной регрессии.
3.4. Моделирование содержания хлорофилла в пшенице с использованием регрессии на основе деревьев решений
Модель регрессии на основе деревьев решений была применена для анализа взаимосвязей между различными вегетационными индексами и содержанием хлорофилла в пшенице. Дерево решений постепенно разделяло пространство входных признаков, чтобы изучить нелинейные взаимосвязи между вегетационными индексами и содержанием хлорофилла. В каждом листовом узле модель прогнозировала значение содержания хлорофилла. Чтобы повысить обобщающую способность и предотвратить переобучение, максимальная глубина дерева решений была ограничена 5. Визуализация дерева решений предоставила интуитивное понимание важности отдельных индексов в прогнозировании хлорофилла и их правил разделения. Этот подход улавливает сложные нелинейные взаимосвязи между содержанием хлорофилла и вегетационными индексами, предоставляя интерпретируемый и точный инструмент прогнозирования для управления сельским хозяйством (Рисунок 8).
Рисунок 8. Прогнозирование содержания хлорофилла в пшенице и правила разделения на основе модели регрессии на деревьях решений. (a) 1 апреля 2024 г.: TVI, NPCI и GRVI были основными вносящими вклад индексами для прогнозирования содержания хлорофилла, с прогнозируемым диапазоном 49,0–61,1 мг/г; (b) 23 апреля 2024 г.: RNRE, NDVI и GNDVI были основными вносящими вклад индексами для прогнозирования содержания хлорофилла, с прогнозируемым диапазоном 52,0–60,7 мг/г; (c) 30 апреля 2024 г.: TVI, PSRI и GNIRR были основными вносящими вклад индексами для прогнозирования содержания хлорофилла, с прогнозируемым диапазоном 50,0–58,2 мг/г; (d) 9 мая 2024 г.: TVI, RESR и PSRI были основными вносящими вклад индексами для прогнозирования содержания хлорофилла, с прогнозируемым диапазоном 53,0–60,0 мг/г; (e) 21 мая 2024 г.: TVI, GRVI и NPCI были основными вносящими вклад индексами для прогнозирования содержания хлорофилла, с прогнозируемым диапазоном 31,1–55,0 мг/г.
(1) 1 апреля 2024 г. (Этап кущения)
Тремя наиболее значимыми вегетационными индексами для прогнозирования содержания хлорофилла в пшенице были TVI, NPCI и GRVI. В одной основной ветви, когда значение TVI было ниже 7747,7, прогнозируемое содержание хлорофилла составляло приблизительно 49,0 мг/г. Когда значение TVI находилось в диапазоне от 7747,7 до 8510,4, прогнозируемое содержание хлорофилла увеличивалось до 55,4 мг/г. Для значений TVI выше 8510,4 модель включала NPCI. Для значений NPCI ниже 2,19 среднее прогнозируемое содержание хлорофилла составляло 59,5 мг/г. Для значений NPCI выше 2,19 модель дополнительно разделялась на основе GRVI, прогнозируя содержание хлорофилла 60,8 мг/г, когда GRVI превышал 1,61. Дополнительные разделения с использованием GSR и NDRE уточняли прогнозы. Для GSR > 1,75 и NDRE < 1,74 прогнозируемое содержание хлорофилла составляло 59,7 мг/г, в то время как для NDRE > 1,74 содержание увеличивалось до 61,1 мг/г. Модель достигла MSE 1,02, превзойдя линейную регрессию (MSE = 2,37).
(2) 23 апреля 2024 г. (Этап выхода в трубку)
Тремя наиболее значимыми вегетационными индексами были RNRE, NDVI и GNDVI. В одной основной ветви, для RNRE < 0,22, модель дополнительно разделялась на основе NDVI. Для NDVI < 0,42 дополнительные разделения с использованием GRNI прогнозировали содержание хлорофилла как 57,7 мг/г, когда GRNI < 0,16 и SR < 2,29. Когда GRNI > 0,16, прогнозируемое содержание хлорофилла увеличивалось до 60,1 мг/г. Для NDVI > 0,42 модель включала GNDVI и GNIRR. Для GNDVI > 0,27 и GNIRR > 0,58 прогнозируемое содержание хлорофилла составляло 60,7 мг/г, в то время как для GNIRR < 0,58 содержание падало до 54,1 мг/г. В другой ветви, для RNRE > 0,22, разделения с использованием TVI и GSR уточняли прогнозы. Для TVI < 2495 и RESR > 1,09 прогнозируемое содержание хлорофилла составляло 52,0 мг/г. Модель достигла MSE 1,08, превзойдя линейную регрессию (MSE = 2,47).
(3) 30 апреля 2024 г. (Этап колошения)
Тремя наиболее значимыми вегетационными индексами были TVI, PSRI и GNIRR. В одной основной ветви, для TVI < 8467,7, прогнозируемое содержание хлорофилла составляло приблизительно 50,0 мг/г. Для TVI между 8467,7 и 8850,8 прогнозируемое содержание хлорофилла увеличивалось до 57,0 мг/г. Для TVI > 8850,8 модель включала PSRI. Для PSRI < 3,11 среднее прогнозируемое содержание хлорофилла составляло 57,3 мг/г, в то время как для PSRI > 3,11 дополнительные разделения с использованием GNIRR и NPCI прогнозировали 57,7 мг/г, когда GNIRR > 0,76 и NPCI > 1,78. Дальнейшие разделения с использованием GRRE и NGRDI уточняли прогнозы. Для GRRE > 1,44 и NGRDI > 0,28 прогнозируемое содержание хлорофилла составляло 58,2 мг/г, в то время как для NGRDI < 0,28 содержание было 57,5 мг/г. Модель достигла MSE 1,01, превзойдя линейную регрессию (MSE = 2,35).
(4) 9 мая 2024 г. (Этап цветения)
Тремя наиболее значимыми вегетационными индексами были TVI, RESR и PSRI. В одной основной ветви, для TVI < 8536,6, прогнозируемое содержание хлорофилла составляло приблизительно 53,0 мг/г. Для TVI между 8536,6 и 9080,14 прогнозируемое содержание хлорофилла увеличивалось до 59,3 мг/г. Для TVI > 9080,14 модель включала RESR. Для RESR < 2,17 среднее прогнозируемое содержание хлорофилла составляло 59,4 мг/г, в то время как для RESR > 2,17 и PSRI > 2,91 содержание увеличивалось до 60,0 мг/г. Дополнительные разделения с использованием GNDVI и GSR уточняли прогнозы. Для GNDVI > 0,30 и GSR < 1,59 прогнозируемое содержание хлорофилла составляло 59,1 мг/г, в то время как для GSR > 1,59 содержание увеличивалось до 59,6 мг/г. Модель достигла MSE 1,01, превзойдя линейную регрессию (MSE = 2,39).
(5) 21 мая 2024 г. (Этап созревания)
Тремя наиболее значимыми вегетационными индексами были TVI, GRVI и NPCI. В одной основной ветви, для TVI < 8490,8, среднее прогнозируемое содержание хлорофилла составляло 42,6 мг/г. Для TVI < 7955,2 прогнозируемое содержание хлорофилла составляло 31,1 мг/г, в то время как для TVI между 7955,2 и 8490,8 содержание увеличивалось до 50,2 мг/г. Для TVI > 8490,8 модель включала GRVI. Для GRVI < 1,4 дополнительные разделения с использованием GNDVI прогнозировали содержание хлорофилла как 48,3 мг/г, когда GNDVI > 1,08. Для GRVI > 1,4 и NPCI > 2,0 содержание достигало наивысшего прогнозируемого значения модели — 55,0 мг/г. Модель достигла MSE 0,98, превзойдя линейную регрессию (MSE = 2,21).
4. Обсуждение
В этом исследовании использовались мультиспектральные данные с БПЛА и анализ вегетационных индексов в сочетании с моделью случайного леса (Random Forest) для мониторинга и моделирования динамики роста полога пшеницы на 72 экспериментальных делянках на Экспериментальной станции пшеницы Хэбэйской академии сельскохозяйственных и лесных наук [57]. По сравнению с предыдущими исследованиями, результаты этого исследования демонстрируют как согласованность, так и расхождения в определенных аспектах мониторинга роста пшеницы с использованием мультиспектральных данных с БПЛА. Подобно предыдущим исследованиям, которые также обнаружили, что мультиспектральные индексы эффективно улавливают ключевые вегетативные признаки, такие как содержание хлорофилла, наши результаты подтверждают надежность таких вегетационных индексов, как NDRE и TVI, в мониторинге здоровья посевов. Однако, в отличие от некоторых исследований, которые сообщали о более высокой точности прогнозирования с использованием меньшего подмножества индексов, превосходная производительность нашей модели может быть объяснена более широким выбором вегетационных индексов и включением передовых методов машинного обучения, таких как случайный лес. Эти сравнения подчеркивают надежность выбранной методологии, а также свидетельствуют о том, что интеграция более широкого круга индексов и более сложных подходов к моделированию может улучшить точность прогнозирования роста культур в точном земледелии. Вегетационные индексы дистанционного зондирования широко применялись в различных областях, включая оценку здоровья растительности, мониторинг изменений окружающей среды и управление производством культур в различных условиях, таких как экстремальные температуры, доступность воды и вариации интенсивности или качества света [58]. Эти индексы являются неоценимыми инструментами для обнаружения реакций растений, которые часто отражаются через изменения в составе пигментов и фотосинтетической эффективности. Подчеркивание их более широкой применимости усиливает обоснование оптимизации вегетационных индексов, специально адаптированных для мониторинга пшеницы и других культур в точном земледелии. Будущие исследования будут изучать альтернативные методы машинного обучения вместо случайного леса, включая подходы глубокого обучения. Эти методы могут предложить улучшенную предсказательную производительность, особенно для больших и сложных наборов данных, и могли бы повысить точность систем мониторинга роста пшеницы. Модели глубокого обучения, в частности, показали перспективность в улавливании нелинейных взаимосвязей и признаков более высокого порядка в данных, что может привести к лучшему пониманию динамики культур. Изучая эти передовые методы, мы нацелены на дальнейшую оптимизацию возможностей мониторинга и расширение применимости методов машинного обучения в точном земледелии. В исследовании был систематически проанализирован пространственно-временной анализ вариаций высоты пшеницы и содержания хлорофилла, а также изучен их потенциальный потенциал применения в точном земледелии.
(1) Инновационные приложения и ограничения технологии дистанционного зондирования с БПЛА в мониторинге роста пшеницы
В исследовании использовались мультиспектральные сенсоры, установленные на БПЛА, для сбора изображений высокого разрешения на пяти ключевых этапах роста (кущение, выход в трубку, колошение, цветение и созревание). Данные охватывали четыре ключевых спектральных диапазона: зеленый (560 нм), красный (650 нм), красный край (730 нм) и ближний инфракрасный (840 нм). Эти диапазоны были научно разработаны, чтобы точно отражать здоровье, рост и nutritional status пшеницы. По сравнению с традиционными наземными измерениями (например, SPAD-метром хлорофилла и ручными измерениями высоты), изображения с БПЛА предоставили более высокое пространственно-временное разрешение и охват. Например, разрешение изображений в исследовании достигло 0,01 м, в то время как наземные измерения были ограничены отдельными точками или небольшими областями [59]. Мультиспектральная съемка и радиометрическая коррекция дополнительно повысили точность данных, предоставив прочную основу для последующего моделирования.
Однако было выявлено несколько ограничений. Во-первых, сбор данных был ограничен погодными условиями в провинции Хэбэй. На некоторые изображения значительно повлияли вариации освещенности [60,61]. Несмотря на радиометрическую калибровку и атмосферную коррекцию, расхождения в отражательной способности между солнечными и облачными условиями (например, значения NDVI 1 апреля и 23 апреля 2024 г. различались более чем на 8%) указывали на возможность улучшения качества изображений. Во-вторых, модели деревьев решений показали чувствительность к экстремальным значениям, что увеличило ошибки прогнозирования. Например, 21 мая 2024 г. MSE для прогнозирования высоты составила 1,02 см, но на некоторых делянках ошибки прогнозирования превышали 3 см. Это свидетельствует о возможности включения более надежных моделей глубокого обучения для повышения точности. Наконец, исследование сосредоточилось на пяти ключевых этапах роста, исключив полный жизненный цикл пшеницы (например, прорастание семян и налив зерна), что потенциально упускает критическую динамику роста. Будущие исследования должны увеличить частоту сбора данных и количество временных точек для оптимизации временного моделирования.
(2) Эффективность и научная значимость мультиспектральных данных и вегетационных индексов в оценке роста пшеницы
Результаты показали, что мультиспектральные вегетационные индексы эффективно улавливают ключевые характеристики роста пшеницы. Модель случайного леса достигла высокой точности прогнозирования высоты и содержания хлорофилла [62,63,64]. Например, на этапе цветения (9 мая 2024 г.) MSE модели для прогнозирования высоты составила 1,01 см, что значительно превзошло традиционную линейную регрессию (MSE = 2,37 см). Однако расхождения между данными БПЛА и наземными измерениями сохранялись. Например, на этапе созревания (21 мая 2024 г.) содержание хлорофилла, измеренное SPAD-метром, было примерно на 0,08 мг/г выше, чем прогнозы БПЛА на некоторых делянках, вероятно, из-за ограничений разрешения БПЛА в улавливании спектральной отражательной способности листьев внутреннего полога.
Динамический анализ по этапам роста показал спектральные изменения во время перехода от вегетативного к репродуктивному росту. Например, на этапе цветения (9 мая 2024 г.) TVI показал пиковую корреляцию с содержанием хлорофилла (r = 0,63, p < 0,01), что указывает на его чувствительность к фотосинтетической активности и здоровью. Более того, динамические изменения вегетационных индексов помогли выявить аномальные зоны поля (например, области с низким NDVI, имеющие сниженную высоту и содержание хлорофилла на этапе выхода в трубку, 23 апреля 2024 г.), что свидетельствует о необходимости целенаправленных управленческих вмешательств.
(3) Практики точного земледелия и рекомендации по политике на основе дистанционного зондирования с БПЛА
Результаты показали, что мультиспектральные данные с БПЛА могут направлять точное азотное удобрение и управление орошением пшеницы [65]. Например, на этапе выхода в трубку (23 апреля 2024 г.) делянки со значениями NDVI ниже 0,35 имели среднее содержание хлорофилла всего 0,62 мг/г по сравнению с 0,90 мг/г в регионах с высоким NDVI. Дополнительное внесение азота в зоны с низкими значениями значительно улучшило здоровье посевов. Аналогично, на этапе колошения (30 апреля 2024 г.) индекс NDRE эффективно выявил зоны, испытывающие водный стресс, предоставив научную основу для оптимизации решений по орошению.
Рекомендуется, чтобы местные сельскохозяйственные департаменты продвигали технологию дистанционного зондирования с БПЛА как часть планов модернизации сельского хозяйства [66]. Создавая платформы сельскохозяйственного мониторинга на основе дистанционного зондирования, можно достичь мониторинга роста региональных культур в реальном времени. Кроме того, следует усилить программы обучения фермеров, чтобы обеспечить эффективную эксплуатацию БПЛА и интерпретацию данных изображений. Политическая поддержка могла бы включать субсидии на оборудование для точного земледелия и широкое внедрение услуг дистанционного зондирования.
(4) Будущие перспективы интеграции многопараметрических данных и глубокого обучения в мониторинге культур
Будущие исследования могли бы улучшить качество данных путем внедрения сенсоров с более высоким спектральным разрешением (например, гиперспектральной съемки) и расширения временных окон выборки. Например, включение этапов налива зерна и уборки урожая обеспечило бы всестороннее понимание динамики роста пшеницы [67,68]. Интеграция многопараметрических данных, таких как влажность почвы, метеорологические данные и мониторинг вредителей, могла бы дополнительно оптимизировать модели случайного леса или позволить использовать модели глубокого обучения более высокого порядка (например, сверточные нейронные сети) для повышения точности прогнозирования и прикладной ценности.
Хотя проблемы масштабируемости в мониторинге на основе БПЛА признаны, можно внести несколько адаптаций для решения этих проблем для крупномасштабных применений. Одним из потенциальных решений является интеграция спутниковых данных, которые обеспечивают более широкий охват и могут использоваться для дополнения высококачественных данных БПЛА. Спутниковые снимки, например, со спутников Sentinel-2 или Landsat, предлагают частые периоды повторного посещения и мониторинг больших территорий, хотя они могут иметь более низкое разрешение по сравнению с БПЛА. Объединение данных как БПЛА, так и спутников может помочь найти баланс между пространственным разрешением и охватом, повышая способность эффективно отслеживать крупномасштабные сельскохозяйственные территории. Кроме того, снижение аппаратных затрат является еще одним ключевым соображением для масштабируемости. Достижения в технологии дронов и разработка более доступных сенсоров могли бы сделать системы на основе БПЛА более доступными для широкого использования. Кроме того, автоматизация обработки данных и использование облачных вычислений могли бы оптимизировать анализ и снизить эксплуатационные расходы, способствуя внедрению этого подхода для крупномасштабного сельскохозяйственного мониторинга. Наземные измерения играют ключевую роль в дополнении измерений на основе БПЛА, предоставляя точные эталонные данные для целей калибровки и валидации. Данные наземной истинности, такие как высота растений, содержание хлорофилла и биомасса, собираются непосредственно в поле с использованием ручных или автоматизированных инструментов. Эти измерения помогают обеспечить точность данных, полученных с БПЛА, служа в качестве ориентира для сравнения. Согласовывая данные БПЛА с наземными наблюдениями, исследователи могут корректировать ошибки, вносимые атмосферными условиями, калибровкой сенсоров или изменчивостью окружающей среды. Кроме того, данные наземной истинности позволяют выявлять расхождения между индексами, полученными с БПЛА, и фактическими условиями культур, улучшая надежность и применимость систем мониторинга на основе БПЛА в точном земледелии. Эта интеграция наземных и БПЛА-измерений повышает общую точность и надежность оценок здоровья культур. При переходе от БПЛА к спутникам для мониторинга роста пшеницы существуют компромиссы между разрешением и возможностью мониторинга в реальном времени. БПЛА предоставляют высокое пространственное разрешение и могут предоставлять данные в реальном времени, что делает их идеальными для детальных локализованных наблюдений и немедленного принятия решений. Однако их применение может быть ограничено небольшими территориями из-за логистических ограничений и необходимости частых полетов. Напротив, спутники предоставляют более широкий охват, что полезно для крупномасштабного сельскохозяйственного мониторинга, но их пространственное разрешение, как правило, ниже по сравнению с БПЛА. Это сниженное разрешение может ограничить возможность обнаружения мелкомасштабных вариаций в состоянии культур. В то время как спутники могут предоставлять экономически эффективный мониторинг больших территорий, БПЛА остаются преимущественными для точных оценок на месте. Поэтому выбор между БПЛА и спутниками зависит от конкретных требований исследования, включая желаемое пространственное разрешение, масштаб территории, подлежащей мониторингу, и частоту сбора данных.
Предлагаемая структура не ограничивается мониторингом пшеницы, но также может быть распространена на другие культуры, такие как кукуруза и рис. Например, использование мультиспектральных данных для мониторинга вариаций роста среди полевых культур в провинции Хэбэй и других регионах могло бы поддерживать сравнительные исследования культур. Сотрудничество с государственными учреждениями и сельскохозяйственными предприятиями для создания крупномасштабных баз данных дистанционного зондирования с БПЛА помогло бы в разработке региональных систем мониторинга и раннего предупреждения в сельском хозяйстве, предоставляя надежную поддержку данных для обеспечения продовольственной безопасности.
5. Выводы
В этом исследовании использовалась технология мультиспектрального дистанционного зондирования с БПЛА для всестороннего мониторинга роста пшеницы на 72 экспериментальных делянках на Экспериментальной станции пшеницы Хэбэйской академии сельскохозяйственных и лесных наук. В исследовании был глубоко проанализирован корреляционный анализ между вегетационными индексами (например, NDVI, NDRE, TVI) и признаками пшеницы, такими как высота и содержание хлорофилла [69]. Результаты показали, что индекс TVI продемонстрировал сильную предсказательную способность на различных этапах роста, в частности проявляя хорошую пространственно-временную стабильность в прогнозировании высоты. Используя модель регрессии случайного леса для прогнозирования высоты пшеницы и содержания хлорофилла, результаты показали значительно более высокую точность по сравнению с традиционными моделями линейной регрессии. В частности, на этапах цветения и созревания MSE модели случайного леса была значительно ниже, чем у модели линейной регрессии, что демонстрирует превосходство случайного леса в улавливании нелинейных характеристик процессов роста пшеницы.
Результаты этого исследования предоставляют ценную информацию об использовании мультиспектральных данных с БПЛА для мониторинга роста пшеницы. Однако есть несколько областей для будущих исследований, которые могли бы дополнительно повысить применимость этих методов. Во-первых, включение дополнительных этапов роста, в частности ранних этапов, таких как прорастание и раннее кущение, предоставило бы более полное понимание динамики роста пшеницы. Это могло бы помочь улучшить прогнозы на ранних стадиях и улучшить управленческие решения в отношении посевов. Во-вторых, интеграция передовых методов моделирования, таких как алгоритмы глубокого обучения или ансамблевые методы, могла бы дополнительно улучшить точность прогнозирования за счет улавливания сложных нелинейных взаимосвязей между вегетационными индексами и параметрами роста пшеницы. Кроме того, будущие исследования могли бы изучить потенциал интеграции многопараметрических данных, таких как погодные и почвенные данные, для построения более надежных моделей для оценки здоровья культур. Эти направления расширили бы масштаб мониторинга на основе БПЛА и открыли бы новые возможности для точного земледелия.
Основываясь на этих результатах, это исследование предоставляет научную основу для управления точным земледелием пшеницы. Анализируя взаимосвязи между вегетационными индексами и признаками роста пшеницы, в исследовании была предложена стратегия управления точным земледелием для оптимизации азотного удобрения и графика орошения [35,70]. Примечательно, что на этапах кущения, выхода в трубку и колошения изменения вегетационных индексов могут помочь фермерам своевременно корректировать агрономические практики, тем самым повышая эффективность использования ресурсов. Кроме того, методы, предложенные в этом исследовании, являются гибкими и широко применимыми, что делает их пригодными для мониторинга роста и управления другими основными культурами, такими как кукуруза и рис. Будущие исследования могли бы дополнительно включить гиперспектральные сенсоры, метеорологические данные и информацию о влажности почвы, а также интегрировать модели глубокого обучения для повышения точности и надежности прогнозирования. Эти достижения внесли бы вклад в интеллектуальное и устойчивое развитие сельскохозяйственного производства.
Сокращения
UAV Unmanned Aerial Vehicle Беспилотный летательный аппарат (БПЛА)
G Green Band Зеленый диапазон
NIR Near-Infrared Band Ближний инфракрасный диапазон
R Red Band Красный диапазон
RE Red-Edge Band Диапазон красного края
NDVI Normalized Difference Vegetation Index Нормализованный разностный вегетационный индекс
GNDVI Green NDVI Зеленый нормализованный разностный вегетационный индекс
RENDVI Red-Edge NDVI Нормализованный разностный вегетационный индекс красного края
SR Simple Ratio Пространственное отношение
GRVI Green Ratio Vegetation Index Зеленый пространственный вегетационный индекс
RERI Red-Edge Ratio Index Индекс пространственного отношения красного края
NDRE Normalized Difference Red-Edge Index Нормализованный разностный индекс красного края
NPCI Normalized Pigment Chlorophyll Index Нормализованный пигментный хлорофилльный индекс
GSR Green Simple Ratio Зеленый пространственный индекс
RESR Red-Edge Simple Ratio Пространственный индекс красного края
NGRDI Normalized Green–Red Difference Index Нормализованный разностный индекс зеленый-красный
GRER Green–Red-Edge Ratio Отношение зеленый-красный край
GNIRR Green-NIR Ratio Отношение зеленый-ближний инфракрасный
GRNI Green–Red-NIR Index Индекс зеленый-красный-ближний инфракрасный
GRRE Green–Red-Red-edge Index Индекс зеленый-красный-красный край
RNRE Red-NIR-Red-edge Index Индекс красный-ближний инфракрасный-красный край
CVI Combined Vegetation Index Комбинированный вегетационный индекс
PSRI Plant Senescence Reflectance Index Индекс отражения старения растений
CIg Chlorophyll Index—Green Хлорофилльный индекс — зеленый
CIre Chlorophyll Index—Red-edge Хлорофилльный индекс — красный край
TVI Triangular Vegetation Index Треугольный вегетационный индекс
MSE Mean Squared Error Среднеквадратичная ошибка
Ссылки
1. Zhou, J.; Xu, Y.; Gu, X.; Chen, T.; Sun, Q.; Zhang, S.; Pan, Y. High-Precision Mapping of Soil Organic Matter Based on UAV Imagery Using Machine Learning Algorithms. Drones 2023, 7, 290. [Google Scholar] [CrossRef]
2. Zhou, D.; Liu, S.; Yu, J.; Li, H. A High-Resolution Spatial and Time-Series Labeled Unmanned Aerial Vehicle Image Dataset for Middle-Season Rice. ISPRS Int. J. Geo-Inf. 2020, 9, 728. [Google Scholar] [CrossRef]
3. Svensgaard, J.; Jensen, S.M.; Christensen, S.; Rasmussen, J. The Importance of Spectral Correction of UAV-Based Phenotyping with RGB Cameras. Field Crops Res. 2021, 269, 108177. [Google Scholar] [CrossRef]
4. Zhou, D.; Li, M.; Li, Y.; Qi, J.; Liu, K.; Cong, X.; Tian, X. Detection of Ground Straw Coverage under Conservation Tillage Based on Deep Learning. Comput. Electron. Agric. 2020, 172, 105369. [Google Scholar] [CrossRef]
5. Sulaiman, N.; Che’Ya, N.N.; Mohd Roslim, M.H.; Juraimi, A.S.; Mohd Noor, N.; Fazlil Ilahi, W.F. The Application of Hyperspectral Remote Sensing Imagery (HRSI) for Weed Detection Analysis in Rice Fields: A Review. Appl. Sci. 2022, 12, 2570. [Google Scholar] [CrossRef]
6. Zhou, C.; Gong, Y.; Fang, S.; Yang, K.; Peng, Y.; Wu, X.; Zhu, R. Combining Spectral and Wavelet Texture Features for Unmanned Aerial Vehicles Remote Estimation of Rice Leaf Area Index. Front. Plant Sci. 2022, 13, 957870. [Google Scholar] [CrossRef]
7. Zhou, C.; Ye, H.; Xu, Z.; Hu, J.; Shi, X.; Hua, S.; Yue, J.; Yang, G. Estimating Maize-Leaf Coverage in Field Conditions by Applying a Machine Learning Algorithm to UAV Remote Sensing Images. Appl. Sci. 2019, 9, 2389. [Google Scholar] [CrossRef]
8. Zhong, H.; Zhang, Z.; Liu, H.; Wu, J.; Lin, W. Individual Tree Species Identification for Complex Coniferous and Broad-Leaved Mixed Forests Based on Deep Learning Combined with UAV LiDAR Data and RGB Images. Forests 2024, 15, 293. [Google Scholar] [CrossRef]
9. Alsadik, B.; Javan, F.D.; Nex, F. UAV Remote Sensing for Smart Agriculture. GIM Int. Worldw. Mag. Geomat. 2022, 36, 14–17. [Google Scholar]
10. Breiman, L. Random Forests. Mach. Learn. 2001, 45, 5–32. [Google Scholar] [CrossRef]
11. Gislason, P.O.; Benediktsson, J.A.; Sveinsson, J.R. Random Forests for Land Cover Classification. Pattern Recognit. Lett. 2006, 27, 294–300. [Google Scholar] [CrossRef]
12. Lu, H.; Zhang, L.; Zhang, Y.; Zhang, X. Random Forests for Global and Regional Crop Yield Predictions. PLoS ONE 2016, 11, e0156571. [Google Scholar] [CrossRef]
13. Sun, X.; Zhang, L.; Zhang, Y.; Zhang, X. Developing Maize Yield Predictive Models from Sentinel-2 MSI Data Using Random Forests. Remote Sens. 2019, 11, 314. [Google Scholar] [CrossRef]
14. Sun, Z.; Wang, D.; Zhong, G. Extraction of Farmland Geographic Information Using OpenStreetMap Data. In Proceedings of the 2018 7th International Conference on Agro-Geoinformatics (Agro-Geoinformatics), Hangzhou, China, 6–9 August 2018; p. 4. [Google Scholar]
15. Zheng, J.-Y.; Hao, Y.-Y.; Wang, Y.-C.; Zhou, S.-Q.; Wu, W.-B.; Yuan, Q.; Gao, Y.; Guo, H.-Q.; Cai, X.-X.; Zhao, B. Coastal Wetland Vegetation Classification Using Pixel-Based, Object-Based and Deep Learning Methods Based on RGB-UAV. Land 2022, 11, 2039. [Google Scholar] [CrossRef]
16. Jurisic, M.; Radocaj, D.; Plascak, I.; Subasic, D.G.; Petrovic, D. The evaluation of the rgb and multispectral camera on the unmanned aerial vehicle (UAV) for the machine learning classification of maize. Poljoprivreda 2022, 28, 74–80. [Google Scholar] [CrossRef]
17. Zheng, H.; Ma, J.; Zhou, M.; Li, D.; Yao, X.; Cao, W.; Zhu, Y.; Cheng, T. Enhancing the Nitrogen Signals of Rice Canopies across Critical Growth Stages through the Integration of Textural and Spectral Information from Unmanned Aerial Vehicle (UAV) Multispectral Imagery. Remote Sens. 2020, 12, 957. [Google Scholar] [CrossRef]
18. Zheng, E.; Tian, Y.; Fan, Q. Agricultural Insurance Survey Unmanned Aerial Vehicle Device for Automatically Measuring Crop Disaster Area, Has Unmanned Aerial Vehicle Provided with Flight Control Computer, Visual Calculation Module, Airborne Differential GPS Module and Camera. Patent CN211787203-U, 2020. [Google Scholar]
19. Aboutalebi, M.; Torres-Rua, A.F.; McKee, M.; Kustas, W.; Nieto, H.; Coopmans, C. Validation of Digital Surface Models (DSMs) Retrieved from Unmanned Aerial Vehicle (UAV) Point Clouds Using Geometrical Information from Shadows; Thomasson, J., McKee, M., Moorhead, R., Eds.; SPIE: Paris, France, 2019; Volume 11008. [Google Scholar]
20. Zhao, Y.; Li, S.; Zhang, X.; Yao, Y.; Xue, Y.; Hou, X.; Liu, Y.; Hu, J.; Liu, Z. Unmanned Aerial Vehicle Remote Sensing and WOFOST Based Method for Realizing Double-Parameter Assimilation Estimation of Rice-Scale Corn Yield in Agricultural Monitoring Field, Involves Realizing Precision Test of WOFOST Model, and Evaluating Simulation Effect of WOFOST Model. Patent CN118736418-A, 2024. [Google Scholar]
21. Zhao, Y.; Li, S.; Zhang, X.; Gao, X.; Chen, Y.; Yao, Y.; Fan, X.; Liu, Z. Method for Fine Inversion of Wheat Leaf Area Index (LAI) Fused with Unmanned Aerial Vehicle and Satellite Optical Remote Sensing Vegetation Index Set, Involves Constructing Wheat LAI Inversion Model Based on Unmanned Aerial Vehicle and Satellite Remote Sensing Data Fusion. Patent CN118736448-A, 2024. [Google Scholar]
22. Zhao, W.; Zhou, C.; Zhou, C.; Ma, H.; Wang, Z. Soil Salinity Inversion Model of Oasis in Arid Area Based on UAV Multispectral Remote Sensing. Remote Sens. 2022, 14, 1804. [Google Scholar] [CrossRef]
23. Radocaj, D.; Siljeg, A.; Plascak, I.; Maric, I.; Jurisic, M. A Micro-Scale Approach for Cropland Suitability Assessment of Permanent Crops Using Machine Learning and a Low-Cost UAV. Agronomy 2023, 13, 362. [Google Scholar] [CrossRef]
24. Zhao, W. Track Intelligent Locating Method for Racing Unmanned Aerial Vehicle e.g., e.g., Aircraft, Involves Calculating Electric Energy Loss Value of Each Landing Route Based on Virtual Scene Model, and Selecting Optimal Landing Route from Multiple Landing Routes. Patent CN113870421-A, 2022. [Google Scholar]
25. Thomasson, J.A.; Han, X. The Future of Cooperative Air and Ground Phenotyping; Thomasson, J., TorresRua, A., Eds.; SPIE: Paris, France, 2020; Volume 11414. [Google Scholar]
26. Poettker, M.; Kiehl, K.; Jarmer, T.; Trautz, D. Convolutional Neural Network Maps Plant Communities in Semi-Natural Grasslands Using Multispectral Unmanned Aerial Vehicle Imagery. Remote Sens. 2023, 15, 1945. [Google Scholar] [CrossRef]
27. Zhang, S.; Xue, X.; Chen, C.; Sun, Z.; Sun, T. Development of a Low-Cost Quadrotor UAV Based on ADRC for Agricultural Remote Sensing. Int. J. Agric. Biol. Eng. 2019, 12, 82–87. [Google Scholar] [CrossRef]
28. Tian, D.; Zhao, X.; Gao, L.; Liang, Z.; Yang, Z.; Zhang, P.; Wu, Q.; Ren, K.; Li, R.; Yang, C.; et al. Estimation of Water Quality Variables Based on Machine Learning Model and Cluster Analysis-Based Empirical Model Using Multi-Source Remote Sensing Data in Inland Reservoirs, South China. Environ. Pollut. 2024, 342, 123104. [Google Scholar] [CrossRef] [PubMed]
29. Lu, R.; Zhang, P.; Fu, Z.; Jiang, J.; Wu, J.; Cao, Q.; Tian, Y.; Zhu, Y.; Cao, W.; Liu, X. Improving the Spatial and Temporal Estimation of Ecosystem Respiration Using Multi-Source Data and Machine Learning Methods in a Rainfed Winter Wheat Cropland. Sci. Total Environ. 2023, 871, 161967. [Google Scholar] [CrossRef] [PubMed]
30. Rajak, P.; Ganguly, A.; Adhikary, S.; Bhattacharya, S. Internet of Things and Smart Sensors in Agriculture: Scopes and Challenges. J. Agric. Food Res. 2023, 14, 100776. [Google Scholar] [CrossRef]
31. Lan, Y.; Deng, Y.; Deng, J.; Huang, H.; Wang, X.; Jiang, T.; Zhong, Z. Method for Measuring Height of Low-Altitude Remote Sensing Monitoring Unmanned Aerial Vehicle, Involves Extracting Resolution of Ground Pixel, and Determining Distance between Unmanned Aerial Vehicle and Rectangular Whiteboard Marker. Patent CN108416263-A, 2018. [Google Scholar]
32. Peng, X.; Chen, D.; Zhou, Z.; Zhang, Z.; Xu, C.; Zha, Q.; Wang, F.; Hu, X. Prediction of the Nitrogen, Phosphorus and Potassium Contents in Grape Leaves at Different Growth Stages Based on UAV Multispectral Remote Sensing. Remote Sens. 2022, 14, 2659. [Google Scholar] [CrossRef]
33. Schirrmann, M.; Hamdorf, A.; Giebel, A.; Gleiniger, F.; Pflanz, M.; Dammer, K.-H. Regression Kriging for Improving Crop Height Models Fusing Ultra-Sonic Sensing with UAV Imagery. Remote Sens. 2017, 9, 665. [Google Scholar] [CrossRef]
34. Park, C.-W.; Cheong, Y.-K.; Kang, C.-S.; Choi, I.-B.; Lee, K.-D. Selection of Optimal Vegetation Indices for Estimation of Barley & Wheat Growth Based on Remote Sensing—An Application of Unmanned Aerial Vehicle and Field Investigation Data. Korean J. Remote Sens. 2016, 32, 483–497. [Google Scholar] [CrossRef][Green Version]
35. Yu, R.; Yang, Y.; Yang, K. Small UAV Based Multi-Viewpoint Image Registration for Extracting the Information of Cultivated Land in the Hills and Mountains. In Proceedings of the 2018 26th International Conference on Geoinformatics, Kunming, China, 28–30 June 2018; p. 5. [Google Scholar] [CrossRef]
36. Zhang, Y.; Huang, M.; Li, J.; Lai, J.; Huang, Y.; Zhang, X. Solar Agricultural Unmanned Aerial Vehicle, Has Solar Power Supply Device, and Remote Sensing Camera Arranged on Machine Device, Where Solar Power Supply Device, Flight Control Device and Machine Device Are Connected with Each Other. Patent CN108773490-A, 2018. [Google Scholar]
37. Xu, L.; Zhang, Y. Performance Evaluation of Rural Inclusive Financial Poverty Alleviation in Hebei from the Perspective of Targeted Poverty Alleviation Based on Experimental and Mathematical Statistics Analysis. In Proceedings of the 2022 2nd International Conference on Public Management and Intelligent Society (PMIS 2022), Xishuangbanna, China, 18–20 March 2022; Luqman, A., Li, H., Ali, G., Eds.; Atlantis Highlights in Computer Sciences. Atlantis Press: Dordrecht, The Netherlands, 2023; p. 81. [Google Scholar]
38. Li, H.; Shi, Y.; Ma, S. Research on the Current Situation and Innovation Mode of Land Transfer in Hebei Province Under the Background of “Internet plus”; Qi, E., Shen, J., Dou, R., Eds.; Springer: Berlin/Heidelberg, Germany, 2016; pp. 803–811. [Google Scholar]
39. Peng, Y.; Solovchenko, A.; Zhang, C.; Shurygin, B.; Liu, X.; Wu, X.; Gong, Y.; Fang, S.; Gitelson, A. Remote Sensing of Rice Phenology and Physiology via Absorption Coefficient Derived from Unmanned Aerial Vehicle Imaging. Precis. Agric. 2024, 25, 285–302. [Google Scholar] [CrossRef]
40. Dokic, M.; Manic, M.; Dordevic, M.; Gocic, M.; Cupic, A.; Jovic, M.; Dragovic, R.; Gajic, B.; Smiciklas, I.; Dragovic, S. Remote Sensing and Nuclear Techniques for High-Resolution Mapping and Quantification of Gully Erosion in the Highly Erodible Area of the Malcanska River Basin, Eastern Serbia. Environ. Res. 2023, 235, 116679. [Google Scholar] [CrossRef] [PubMed]
41. Olson, M.B.; Crawford, M.M.; Vyn, T.J. Predicting Nitrogen Efficiencies in Mature Maize with Parametric Models Employing In-Season Hyperspectral Imaging. Remote Sens. 2022, 14, 5884. [Google Scholar] [CrossRef]
42. Allred, B.; Martinez, L.; Fessehazion, M.K.; Rouse, G.; Williamson, T.N.; Wishart, D.; Koganti, T.; Freeland, R.; Eash, N.; Batschelet, A.; et al. Overall Results and Key Findings on the Use of UAV Visible-Color, Multispectral, and Thermal Infrared Imagery to Map Agricultural Drainage Pipes. Agric. Water Manag. 2020, 232, 106036. [Google Scholar] [CrossRef]
43. Okyere, I.; Chuku, E.O.; Ekumah, B.; Angnuureng, D.B.; Boakye-Appiah, J.K.; Mills, D.J.; Babanawo, R.; Asare, N.K.; Aheto, D.W.; Crawford, B. Physical Distancing and Risk of COVID-19 in Small-Scale Fisheries: A Remote Sensing Assessment in Coastal Ghana. Sci. Rep. 2020, 10, 22407. [Google Scholar] [CrossRef] [PubMed]
44. Niu, Z.; Cao, P.; Cai, Y.; Zhang, R.; Xie, Y.; Han, W.; Wu, D.; Xu, B.; Wei, L.; Ren, W. Multi-Mode Imaging Spectrum Polarization Agricultural Unmanned Aerial Vehicle Sensing System, Has Polarization Camera Module Mounted under Multi-Rotor Aerial Vehicle Platform for Collecting Color Polarization Image Data of Ground Crop Target. Patent CN117434014-A, 2024. [Google Scholar]
45. Ma, G.; Sun, C.; Guo, B.; Chen, F.; Wang, X.; Zhang, G.; Zhu, J.; Xiao, C.; Chen, C.; Zhang, D.; et al. Method for Performing Remote Sensing Image Interpretation Based on Image Segmentation Model Applied to Natural Resource Management, Involves Acquiring Target Remote Sensing Image Acquired by Unmanned Aerial Vehicle, and Obtaining Image Interpretation Result According to Target Remote Sensing Image. Patent CN118736328-A, 2024. [Google Scholar]
46. Yang, X.; Gao, F.; Yuan, H.; Cao, X. Integrated UAV and Satellite Multi-Spectral for Agricultural Drought Monitoring of Winter Wheat in the Seedling Stage. Sensors 2024, 24, 5715. [Google Scholar] [CrossRef] [PubMed]
47. Liu, T.; Zhang, B.; Tan, Q.; Zhou, J.; Yu, S.; Zhu, Q.; Bian, Y. Immersive Human-Machine Teleoperation Framework for Precision Agriculture: Integrating UAV-Based Digital Mapping and Virtual Reality Control. Comput. Electron. Agric. 2024, 226, 109444. [Google Scholar] [CrossRef]
48. McKee, M.; Nassar, A.; Torres-Rua, A.; Aboutalebi, M.; Kustas, W. Implications of Sensor Inconsistencies and Remote Sensing Error in the Use of Small Unmanned Aerial Systems for Generation of Information Products for Agricultural Management; Thomasson, J., McKee, M., Moorhead, R., Eds.; SPIE: Paris, France, 2018; Volume 10664. [Google Scholar]
49. Xu, B.; Meng, R.; Chen, G.; Liang, L.; Lv, Z.; Zhou, L.; Sun, R.; Zhao, F.; Yang, W. Improved Weed Mapping in Corn Fields by Combining UAV-Based Spectral, Textural, Structural, and Thermal Measurements. Pest Manag. Sci. 2023, 79, 2591–2602. [Google Scholar] [CrossRef] [PubMed]
50. Narayanan, B.; Floyd, B.; Tu, K.; Ries, L.; Hausmann, N. Improving Soybean Breeding Using UAV Measurements of Physiological Maturity; Thomasson, J., McKee, M., Moorhead, R., Eds.; SPIE: Paris, France, 2019; Volume 11008. [Google Scholar]
51. Ballaran, V., Jr.; Ohara, M.; Rasmy, M.; Homma, K.; Aida, K.; Hosonuma, K. Improving the Estimation of Rice Crop Damage from Flooding Events Using Open-Source Satellite Data and UAV Image Data. Agriengineering 2024, 6, 574–596. [Google Scholar] [CrossRef]
52. Xu, T.; Yu, F.; Cao, Y.; Wang, D.; Du, W.; Guo, Z. Method for Precise Topdressing of Rice Agricultural Drones Based on Hyperspectral Remote Sensing Prescription Maps, Involves Dividing Multiple Experimental Fields, and Performing Gradient Processing on the Nitrogen Fertilizer Content. Patent CN111670668-A, 2020. [Google Scholar]
53. Mia, M.S.; Tanabe, R.; Habibi, L.N.; Hashimoto, N.; Homma, K.; Maki, M.; Matsui, T.; Tanaka, T.S.T. Multimodal Deep Learning for Rice Yield Prediction Using UAV-Based Multispectral Imagery and Weather Data. Remote Sens. 2023, 15, 2511. [Google Scholar] [CrossRef]
54. Honkavaara, E.; Saari, H.; Kaivosoja, J.; Polonen, I.; Hakala, T.; Litkey, P.; Makynen, J.; Pesonen, L. Processing and Assessment of Spectrometric, Stereoscopic Imagery Collected Using a Lightweight UAV Spectral Camera for Precision Agriculture. Remote Sens. 2013, 5, 5006–5039. [Google Scholar] [CrossRef]
55. Garkusha, S.; Skazhennik, M.; Kiselev, E.; Chizhikov, V.; Petrushin, A. Research of Rice Crops in Krasnodar Region by Remote Sensing Data. E3S Web Conf. 2020, 175, 01004. [Google Scholar] [CrossRef]
56. Kim, D.-W.; Min, T.-S.; Kim, Y.; Silva, R.R.; Hyun, H.-N.; Kim, J.-S.; Kim, K.-H.; Kim, H.-J.; Chung, Y.S. Sustainable Agriculture by Increasing Nitrogen Fertilizer Efficiency Using Low-Resolution Camera Mounted on Unmanned Aerial Vehicles. Int. J. Environ. Res. Public Health 2019, 16, 3893. [Google Scholar] [CrossRef] [PubMed]
57. Fan, F.; Jiang, M.; Yang, J. Three-Light Camera Carrying Agricultural Remote Sensing Data Collecting Device, Has Thermal Infrared Data Collecting Module, Differential GPS Module and Voltage Stabilizing Power Supply Module Fixed with Aerial Photographing Control Module. Patent CN208715485-U, 2019. [Google Scholar]
58. Park, B.G.; Lee, J.H.; Shin, E.J.; Kim, E.A.; Nam, S.Y. Light Quality Influence on Growth Performance and Physiological Activity of Coleus Cultivars. Int. J. Plant Biol. 2024, 15, 807–826. [Google Scholar] [CrossRef]
59. Dorbu, F.E.; Hashemi-Beni, L.; Karimoddini, A.; Shahbazi, A. UAV Remote Sensing Assessment of Crop Growth. Photogramm. Eng. Remote Sens. 2021, 87, 891–899. [Google Scholar] [CrossRef]
60. Al-Arab, M.; Torres-Rua, A.; Ticlavilca, A.; Jensen, A.; McKee, M. Use of High-Resolution Multispectral Imagery from an Unmanned Aerial Vehicle in Precision Agriculture. In Proceedings of the 2013 IEEE International Geoscience and Remote Sensing Symposium—IGARSS, Melbourne, VIC, Australia, 21–26 July 2013; pp. 2852–2855. [Google Scholar]
61. David, L.C.G.; Ballado, A.H., Jr. Vegetation Indices and Textures in Object-Based Weed Detection from UAV Imagery. In Proceedings of the 2016 6th IEEE International Conference on Control System, Computing and Engineering (ICCSCE), Penang, Malaysia, 25–27 November 2016; pp. 273–278. [Google Scholar]
62. Mustafa, H.; Khan, H.A.; Bartholomeus, H.; Kooistra, L. Design of an Active Laser-Induced Fluorescence Observation System from Unmanned Aerial Vehicles for Artificial Seed-like Structures; Neale, C., Maltese, A., Eds.; SPIE: Paris, France, 2022; Volume 12262. [Google Scholar]
63. Aslan, I.; Polat, N. Deep Learning-Based Classification of Mature and Immature Lavender Plants Using UAV Orthophotos and a Hybrid CNN Approach. Earth Sci. Inform. 2024, 17, 1713–1727. [Google Scholar] [CrossRef]
64. Chen, A.; Jacob, M.; Shoshani, G.; Dafny-Yelin, M.; Degani, O.; Rabinovitz, O. Early Detection of Soil-Borne Diseases in Field Crops via Remote Sensing; Stafford, J., Ed.; BRILL: Leiden, The Netherlands, 2021; pp. 217–224. [Google Scholar]
65. Quebrajo, L.; Perez-Ruiz, M.; Perez-Urrestarazu, L.; Martinez, G.; Egea, G. Linking Thermal Imaging and Soil Remote Sensing to Enhance Irrigation Management of Sugar Beet. Biosyst. Eng. 2018, 165, 77–87. [Google Scholar] [CrossRef]
66. Li, D.; Wang, Y.; Wang, K.; Li, Z.; Chen, S.; Cao, L. Method for Estimating Corn Yield Based on Unmanned Aerial Vehicle Device and Remote Sensing Radiation Transmission Model, Involves Predicting Yield of Corn Planting Area to Be Predicted Based on Yield Prediction Vector Database. Patent CN118279769-A, 2014. [Google Scholar]
67. Csajbok, J.; Buday-Bodi, E.; Nagy, A.; Feher, Z.Z.; Tamas, A.; Virag, I.C.; Bojtor, C.; Forgacs, F.; Vad, A.M.; Kutasy, E. Multispectral Analysis of Small Plots Based on Field and Remote Sensing Surveys-A Comparative Evaluation. Sustainability 2022, 14, 3339. [Google Scholar] [CrossRef]
68. Deng, J.; Wang, R.; Yang, L.; Lv, X.; Yang, Z.; Zhang, K.; Zhou, C.; Li, P.; Wang, Z.; Abdullah, A.; et al. Quantitative Estimation of Wheat Stripe Rust Disease Index Using Unmanned Aerial Vehicle Hyperspectral Imagery and Innovative Vegetation Indices. IEEE Trans. Geosci. Remote Sens. 2023, 61, 4406111. [Google Scholar] [CrossRef]
69. Avola, G.; Di Gennaro, S.F.; Cantini, C.; Riggi, E.; Muratore, F.; Tornambe, C.; Matese, A. Remotely Sensed Vegetation Indices to Discriminate Field-Grown Olive Cultivars. Remote Sens. 2019, 11, 1242. [Google Scholar] [CrossRef]
70. Zambrano, P.; Calderon, F.; Villegas, H.; Paillacho, J.; Pazmino, D.; Realpe, M. UAV Remote Sensing Applications and Current Trends in Crop Monitoring and Diagnostics: A Systematic Literature Review. In Proceedings of the 2023 IEEE 13th International Conference on Pattern Recognition Systems (ICPRS), Guayaquil, Ecuador, 4–7 July 2023; p. 9. [Google Scholar]
Zhang D, Qi H, Guo X, Sun H, Min J, Li S, Hou L, Lv L. Integration of UAV Multispectral Remote Sensing and Random Forest for Full-Growth Stage Monitoring of Wheat Dynamics. Agriculture. 2025; 15(3):353. https://doi.org/10.3390/agriculture15030353
Перевод статьи «Integration of UAV Multispectral Remote Sensing and Random Forest for Full-Growth Stage Monitoring of Wheat Dynamics» авторов Zhang D, Qi H, Guo X, Sun H, Min J, Li S, Hou L, Lv L., оригинал доступен по ссылке. Лицензия: CC BY. Изменения: переведено на русский язык
Фото: freepik



















Комментарии (0)