Как биоуголь и азотное удобрение снижают выбросы углерода и повышают урожай пшеницы на орошаемых полях
В данном исследовании изучалось влияние применения биоугля на продуктивность сельского хозяйства и выбросы парниковых газов в орошаемых районах Северного Синьцзяна. Целью исследования была оценка влияния уровней азотного удобрения и биоугля на скорость дыхания почвы, ферментативную активность и урожайность яровой пшеницы.
Аннотация
Материалы и методы: В эксперименте использовалась рендомизированная блочная схема, включающая два уровня азотного удобрения (N1: 300 кг·га⁻² и N2: 255 кг·га⁻²) и четыре уровня биоугля (B0: 0 кг·га⁻², B1: 10×10³ кг·га⁻², B2: 20×10³ кг·га⁻² и B3: 30×10³ кг·га⁻²). В результате было сформировано восемь групп (N1B0, N1B1, N1B2, N1B3, N2B0, N2B1, N2B2 и N2B3), каждая из которых была повторена три раза.
Результаты и обсуждение: Результаты показали, что в группе N2B2 наблюдалось снижение эмиссии CO₂ из почвы, при этом совокупное уменьшение выбросов CO₂ составило 4,42% по сравнению с контрольной группой N2B0. Было отмечено, что применение биоугля и/или азотного удобрения, особенно в комбинации, повышает активность уреазы, сахаразы и каталазы в почве. Группа N2B2 показала урожайность яровой пшеницы 8301,35 кг·га⁻², что на 22,1% выше по сравнению с группой N1B0. Это улучшение объясняется способностью биоугля регулировать изменчивость влажности почвы, стабилизировать структурный состав почвенных агрегатов, снижать минерализацию органического углерода и уменьшать углеродные выбросы с сельскохозяйственных земель. Кроме того, азотфиксирующая способность биоугля обеспечивает почвенные микроорганизмы необходимыми питательными веществами, тем самым усиливая ферментативные реакции и способствуя росту сельскохозяйственных культур.
Заключение: В заключение, режим N2B2 был признан оптимальным подходом для возделывания яровой пшеницы в орошаемых районах Северного Синьцзяна, позволяющим повысить продуктивность культуры и снизить выбросы углерода. Тем не менее, рекомендуется дальнейшее изучение его долгосрочного воздействия на сельскохозяйственные земли.
1 Введение
Биоуголь, как новый экологически чистый органический углеродный удобрение, привлек значительное внимание благодаря своим отличительным физико-химическим свойствам и способности повышать качество и функциональность почвы (Agarwal и др., 2022). Исследования показали, что высокая пористость и большая удельная поверхность биоугля способствуют адсорбции почвенного органического углерода, изолируют микроорганизмы и их внеклеточные ферменты от этого углерода и замедляют разложение (Palansooriya и др., 2019). Кроме того, было продемонстрировано, что биоуголь способствует формированию в почве органических и неорганических комплексов, тем самым повышая стабильность органического углерода (Zhang и др., 2022). Хотя биоуголь может первоначально стимулировать почвенный органический углерод, долгосрочные исследования показывают положительное влияние на содержание почвенного органического углерода (Shi и др., 2021). Длительное применение биоугля, как было продемонстрировано, увеличивает содержание почвенного органического углерода и поддерживает стабильную урожайность и качество сельскохозяйственных культур (Gu и др., 2022). Однако следует отметить, что в разной степени существуют некоторые различия в его действии. Несколько исследований с комплексным анализом показали, что применение биоугля может повысить уровень почвенного органического углерода на 15,8%–82,2%. Это демонстрирует потенциал биоугля действовать как агент «секвестрации углерода» и «поглотителя углерода» в биогеохимическом цикле почвы (Shi и др., 2021).
Орошаемый район Северного Синьцзяна можно считать репрезентативным примером орошаемого земледелия в Синьцзянском оазисе. Несмотря на высокую продуктивность зерновых в этом регионе, он сталкивается с проблемами, включая снижение содержания органического вещества почвы и недостаточное плодородие для поддержания роста урожайности. Азотное удобрение, являющееся основным питательным веществом для культивирования растений, широко использовалось для повышения урожайности. Однако чрезмерное применение этого вещества значительно снизило эффективность сельскохозяйственных полей. Неразборчивое использование удобрений фермерами также приводит к снижению скорости рециклинга азота, что, в свою очередь, порождает ряд экологических проблем, включая подкисление почвы, деградацию плодородия и увеличение выбросов парниковых газов. Следовательно, значительное внимание было уделено исследованию плодородия почвы и секвестрации органического углерода. Ряд исследований изучали влияние органических веществ, возвращаемых на орошаемые поля, на продуктивность, а также динамику и сохранение почвенного органического углерода при различных режимах управления удобрениями. Было показано, что применение биоугля на орошаемых оазисных сельскохозяйственных землях заметно повышает содержание почвенного органического углерода (Yang и др., 2024), способствует агрегации почвы, снижает объемный вес (Ma и др., 2016), увеличивает уровень питательных веществ, улучшает удержание влаги (Razzaghi и др., 2020; Hossain и др., 2020), обогащает почвенные микробные сообщества, улучшает превращение азота и фосфора, способствует поглощению азота и фосфора (Zhao и др., 2022; Li и др., 2019) и смягчает почвенные заболевания (Abid и др., 2023), что вызывает существенное повышение урожайности и биомассы сельскохозяйственных культур (Jeffery и др., 2011; Trupiano и др., 2017). Несмотря на широкое применение для повышения плодородия почвы и урожайности культур на орошаемых сельскохозяйственных угодьях в оазисах, современные исследования биоугля ограничены многочисленными недостатками. В частности, влияние применения биоугля на секвестрацию и выбросы углерода остается неопределенным. Таким образом, крайне важно провести исчерпывающую и беспристрастную оценку потенциальных возможностей применения биоугля в экосистемах орошаемых сельскохозяйственных угодий в оазисах. Мы провели полевой эксперимент по взаимодействию биоугля и азота в Северном Синьцзяне (Китай), в ходе которого оценивалось влияние различных уровней азотного удобрения и биоугля на скорость дыхания почвы, ферментативную активность и урожайность пшеницы. Основываясь на существующих знаниях, мы предположили, что биоуголь может повышать качество почвы и существенно снижать выбросы почвенного углерода, что тесным образом зависит от нормы внесения биоугля и азотного удобрения. Это может предоставить практические рекомендации для разработки рациональных стратегий применения биоугля и комплексной оценки его ценности на сельскохозяйственных угодьях в различных районах региона.
2 Материалы и методы
2.1 Экспериментальные участки
Это исследование было выполнено на Цитайской испытательной станции пшеницы в Синьцзяне (долгота 89°13′–91°22′ в.д., широта 42°25′–45°29′ с.ш.). Территория исследования имеет умеренно‑континентальный климат со средней годовой температурой 5,5°C, средней температурой июля 22,6°C, максимальной температурой 39°C, средней температурой января –18,9°C. Среднегодовая относительная влажность составляет 60%, а средний безморозный период длится 153 дня с конца апреля до начала октября. В этом районе выпадает в среднем 269,4 мм осадков в год. Почва на испытательном участке была супесчаной, свойства почвы следующие: pH 8,3, содержание солей 1,4 г/кг, содержание органического вещества 13,8 г/кг, содержание общего азота 2,2 мг/кг, содержание быстродоступного фосфора 11,4 мг/кг, содержание быстродоступного калия 147,0 мг/кг и содержание щелочногидролизуемого азота 128,7 мг/кг.
2.2 Материалы
Биоуголь был предоставлен сельскохозяйственной технологической корпорацией Jinhefu Shenyang, Китай. Биоуголь был изготовлен из кукурузной соломы путем нагрева при 450°C в течение 4 часов без доступа кислорода. Биоуголь имел pH 9,3, общее содержание азота 21,8 г/кг, доступный азот 5,4 мг/кг, доступный фосфор 200,9 мг/кг. Яровая пшеница, использованная в эксперименте, была местным основным сортом, обозначенным как «Xinchun 37».
2.3 Экспериментальный дизайн
Была использована рендомизированная блочная схема с двумя уровнями азотного удобрения (N1: 300 кг·га⁻² и N2: 255 кг·га⁻²) и четырьмя уровнями биоугля (B0: 0 кг·га⁻², B1: 10×10³ кг·га⁻², B2: 20×10³ кг·га⁻² и B3: 30×10³ кг·га⁻²). В результате было получено восемь групп (N1B0, N1B1, N1B2, N1B3, N2B0, N2B1, N2B2 и N2B3), каждая из которых была повторена трижды. Яровая пшеница высевалась с нормой 450×10⁴/га на равномерно расположенных полосах шириной 0,2 м 12 апреля 2021 года, при этом каждая делянка имела площадь 9 м² (3 м × 3 м). Как азотное удобрение, так и биоуголь вносились вручную до посева и заделывались на глубину 30 см путем обработки почвы. В дальнейшем дополнительных удобрений не вносилось. Всего за весь период вегетации было подано 400 м³ воды.
2.4 Измеряемые показатели и методы
2.4.1 Отбор почвенных образцов
Почвенные образцы отбирались из пахотного слоя (0–20 см) методом пятиточечной шкалы в период уборки яровой пшеницы. Образцы тщательно перемешивали для удаления корней и мусора, затем пропускали через сито 0,2 см и высушивали на воздухе перед использованием.
2.4.2 Измерения
2.4.2.1 Измерение скорости дыхания почвы
Три поливинилхлоридных (ПВХ) кольца (диаметром 10 см и высотой 5 см) вертикально вставляли на глубину 5 см в поверхность почвы между рядами культур на каждой делянке за три дня до первого измерения. Почву вокруг внешней стенки каждого ПВХ-кольца плотно уплотняли для предотвращения утечки газа. Выбросы CO₂ из почвы из каждого ПВХ-кольца измерялись еженедельно с 9:00 до 11:00 утра с использованием автоматической системы LI-8100 для измерения потока CO₂ из почвы (LI-COR Inc., Линкольн, Небраска, США) в течение периода роста пшеницы. Температура почвы на глубине 5 см измерялась с помощью стержневых термометров рядом с кольцом во время измерений потока CO₂.
Совокупные выбросы CO₂ представляли собой сумму суточных потоков в течение вегетационного сезона пшеницы. Суточные потоки в неизмеренные дни рассчитывались путем умножения среднего значения потоков CO₂ за два соседних дня измерения на соответствующий период. Выбросы CO₂, масштабированные на урожайность, рассчитывались как совокупные выбросы CO₂ / урожайность пшеницы.
2.4.2.2 Определение влажности почвы
Влажность почвы количественно определялась с помощью метода сушки и взвешивания с использованием алюминиевых боксов. При каждом измерении скорости дыхания почвы выбиралось пять точек в рядах пшеницы, окружающих кольцо для измерения дыхания. Почвенные образцы отбирались из пахотного слоя (0–20 см) с помощью почвенного бура, причем в каждой точке измерения отбиралось по пять проб. Затем образцы помещались в алюминиевые боксы и взвешивались для регистрации их массы. После 8-часовой сушки при 105°C образцы повторно взвешивались для получения сухой массы, которая использовалась для расчета влажности почвы.
2.4.2.3 Измерение активности ферментов почвы
Активность уреазы, сахаразы и каталазы оценивалась с использованием трех различных методов: фенол-гипохлоритного колориметрического метода, динитросалицилового колориметрического метода и титриметрического метода с KMnO₄ соответственно (Trupiano и др., 2017; Wang и др., 2020).
2.4.2.4 Измерение урожайности яровой пшеницы
После достижения пшеницей спелости на каждой делянке выбиралась пробная площадь 1 м² (1 м × 1 м) с равномерным ростом для определения количества продуктивных стеблей. Для целей тестирования семян с каждой делянки отбиралось десять репрезентативных растений яровой пшеницы. Затем растения убирались для определения урожайности, массы 1000 зерен и расчета общей урожайности.
2.4.3 Расчеты
2.4.3.1 Совокупное выделение CO₂
где M – совокупный поток выделения CO₂ почвой, F – поток выделения CO₂ почвой, i – количество образцов, t – дата отбора проб.
2.4.3.2 Коэффициент экстремальности влажности почвы
где Kₐ – коэффициент экстремальности, Xmax – максимальное значение, Xmin – минимальное значение.
Коэффициент вариации влажности почвы может быть рассчитан по формуле:
где Cv – коэффициент вариации, σ – среднеквадратическое отклонение, x̄ – среднее арифметическое.
2.4.3.3 Общая ферментативная активность
2.5 Статистический анализ
Для проведения двухфакторного анализа использовались статистические программы Excel 2019 и DPS 7.05. Полученные данные были подвергнуты проверке значимости, а графические изображения были созданы с помощью программного обеспечения Origin 2021.
3 Результаты и анализ
3.1 Влияние уровней азотного удобрения и биоугля на скорость дыхания почвы
Скорость дыхания почвы измерялась каждые семь дней после появления всходов яровой пшеницы. Как проиллюстрировано на Рисунке 1, скорость дыхания почвы колебалась в течение периода наблюдения в различных экспериментальных группах, при этом самые высокие показатели были зарегистрированы во время ранней репродуктивной стадии пшеницы. В частности, скорость дыхания почвы в группах N1B1, N1B2 и N1B3 была выше, чем в группе N1B0 (Рисунок 1A). Однако ни каких четких тенденций не наблюдалось среди этих групп (Рисунок 1B). Примечательно, что среди всех групп N1B2 и N1B0 продемонстрировали самые высокие (2,12 мкмоль·м⁻²·с⁻¹) и самые низкие (1,38 мкмоль·м⁻²·с⁻¹) средние скорости дыхания почвы соответственно.
Рисунок 1 Вариации скорости дыхания почвы в разных группах. (A) N1: 300 кг·га⁻²; (B) N2: 255 кг·га⁻². Дыхание почвы измерялось от стадии кущения (7 мая) до стадии начала налива зерна (20 июля), при этом ранняя стадия роста была с 7 мая по 14 мая, средняя стадия – с 23 мая по 16 июня, а поздняя – с 24 июня по 20 июля. Строчные буквы указывают на значительные межгрупповые различия (P<0,05), где B0, B1, B2 и B3 указаны в порядке убывания.
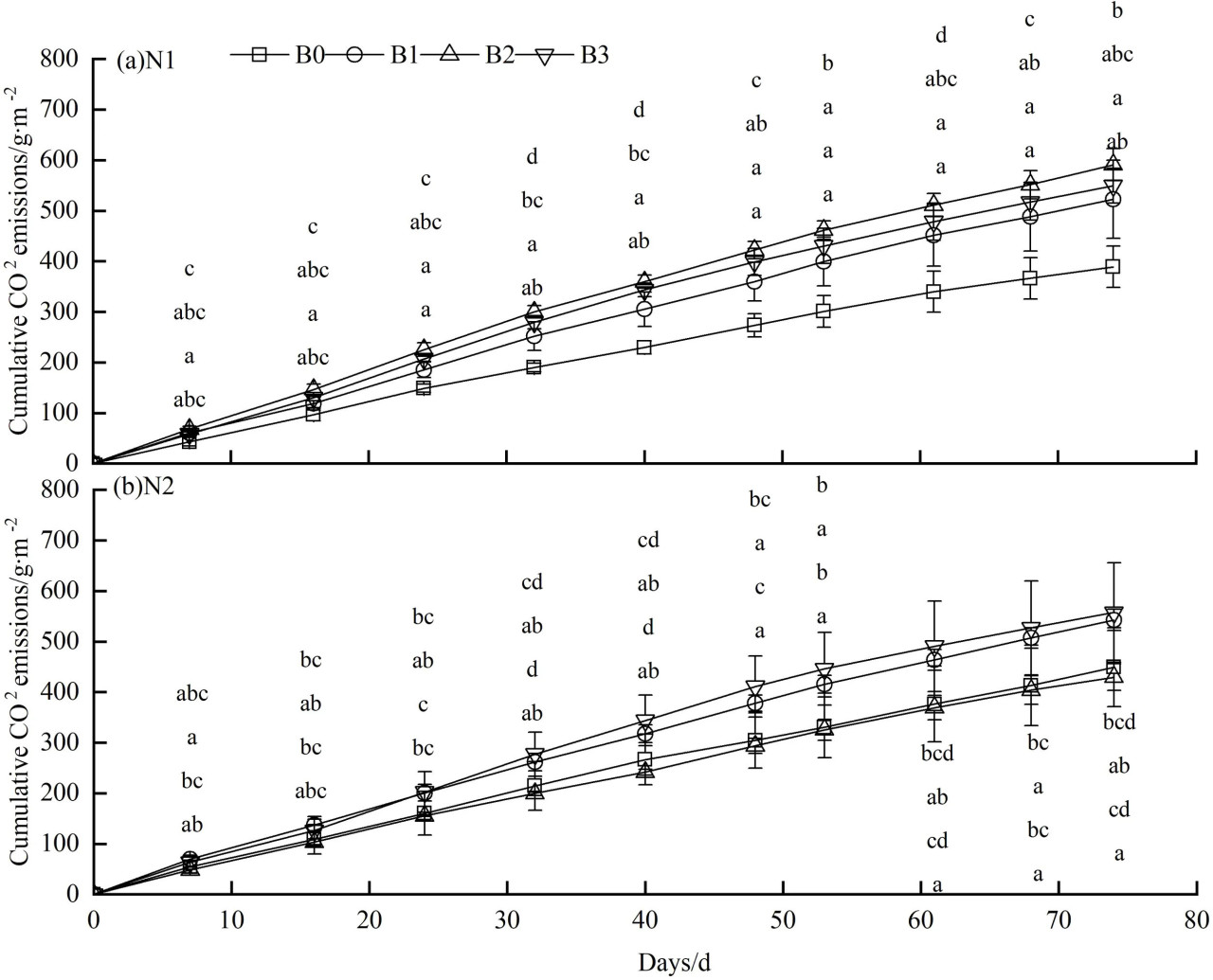
3.2 Влияние уровней азотного удобрения и биоугля на совокупные выбросы CO₂ почвой
Применение азотного удобрения и биоугля привело к изменению совокупных выбросов CO₂ из почвы в двух различных стадиях (Рисунок 2). Выбросы CO₂ из почвы быстро увеличивались в начальный период плодородия пшеницы (0–48 дней) и в дальнейшем – более медленно – в последующий период плодородия (48–84 дня). По сравнению с группой N1, группа N2 продемонстрировала заметное увеличение совокупных выбросов CO₂ из почвы. Аналогично, сравнение группы N1B0 с другими группами показало, что, за исключением N1B0 и N2B0, совокупные выбросы CO₂ увеличились (Рисунок 2). Данные показывают, что в группах N1B1, N1B2 и N1B3 совокупные выбросы CO₂ увеличивались с повышением уровня биоугля (Рисунок 2A). Наблюдаемые увеличения составили 34,3% (P>0,05), 51,9% (P<0,05) и 41,2% (P<0,05) соответственно по сравнению с группой N1B0. Группы N2B1, N2B2 и N2B3 показали сходные тенденции с теми, что наблюдались в группах N1B1, N1B2 и N1B3 (Рисунок 2B). Примечательно, что группа N2B2 продемонстрировала самые низкие совокупные выбросы CO₂ из почвы (429,45 г/м²), что представляет собой снижение на 4,4% по сравнению с группой N2B0.
Рисунок 2 Совокупные выбросы CO₂ в разных группах. (A) N1: 300 кг·га⁻²; (B) N2: 255 кг·га⁻². Строчные буквы указывают на значительные межгрупповые различия (P<0,05), где B0, B1, B2 и B3 указаны в порядке убывания.
3.3 Влияние уровней азотного удобрения и биоугля на влажность почвы
В течение вегетационного сезона яровой пшеницы влажность почвы снижалась в различных экспериментальных группах, как проиллюстрировано на Рисунке 3. В частности, влажность почвы следовала порядку N1B1, N1B2 и N1B3 > N2B1, N2B2 и N2B3. Коэффициенты экстремальности и коэффициенты вариации влажности почвы были рассчитаны и представлены в Таблице 1. По сравнению с группой N1B0, коэффициент экстремальности влажности почвы продемонстрировал снижение в остальных группах, за исключением N1B2 и N1B3. Аналогично, коэффициент вариации продемонстрировал снижение в группах N2B0, N2B1 и N2B3, в то время как в остальных группах он продемонстрировал увеличение. Коэффициент экстремальности (Kₐ) и коэффициент вариации (Cv) влажности почвы показали закономерность, при которой группы N2B1, N2B2 и N2B3 были ранжированы в порядке убывания, тогда как группы N1B1, N1B2 и N1B3 занимали противоположное положение. Кроме того, коэффициент экстремальности и коэффициент вариации в группах N2B1, N2B2 и N2B3 сначала увеличивались, а затем снижались с повышением уровней биоугля.
Рисунок 3 Вариации влажности почвы в разных группах. (A) N1: 300 кг·га⁻²; (B) N2: 255 кг·га⁻². Влажность почвы измерялась от стадии кущения пшеницы (7 мая) до ранней стадии налива зерна (20 июля), при этом ранняя стадия роста пшеницы была с 7 мая по 14 мая, средняя стадия – с 23 мая по 16 июня, а поздняя стадия – с 24 июня по 20 июля. Строчные буквы указывают на значительные межгрупповые различия (P<0,05), где B0, B1, B2 и B3 указаны в порядке убывания.
Таблица 1 Вариации влажности почвы в разных группах.
Строчные буквы указывают на значительные межгрупповые различия между различными обработками (P<0,05).
Для установления корреляции между скоростью дыхания почвы и влажностью почвы была использована биномиальная модель. Как указано в Таблице 2, значительная биномиальная функциональная зависимость (P<0,05) наблюдалась между скоростью дыхания и влажностью почвы во всех группах, кроме N1B0 и N2B0, причем самый высокий коэффициент корреляции был отмечен в N2B1. В целом, было обнаружено, что влажность почвы объясняет значительную долю вариации скорости дыхания почвы: значения варьировали от 22,1% до 60,8%.
Таблица 2 Уравнение аппроксимации скорости дыхания и влажности почвы в разных группах.
3.4 Влияние уровней азотного удобрения и биоугля на активность ферментов почвы
Как проиллюстрировано на Рисунке 4, были выявлены заметные межгрупповые различия (P<0,05) в активности уреазы почвы. В группах N1B0 и N2B0 активность уреазы почвы продемонстрировала положительную корреляцию с повышением уровней азотного удобрения. Группа N2B0 продемонстрировала на 33,7% более высокую активность, чем группа N1B0. Применение азотного удобрения и биоугля привело к повышению активности уреазы почвы. В различных экспериментальных группах активность уреазы почвы сначала увеличивалась, а затем уменьшалась с повышением уровней биоугля. Группа N1B2 продемонстрировала самую высокую активность уреазы почвы (45,84 мг·100г⁻¹·3ч⁻¹), что представляет собой увеличение на 60,5% по сравнению с группой N1B0 (P<0,05). Напротив, активность уреазы почвы в группах N2B2 и N2B3 оказалась на 15,2% и 13,3% ниже соответственно, чем та, что наблюдалась в группе N2B0 (P<0,05).
Рисунок 4 Вариации активности ферментов почвы в разных группах. Строчные буквы указывают на значительные межгрупповые различия (P<0,05).
Значительные межгрупповые различия (P<0,05) наблюдались в активности сахаразы почвы. Активность сахаразы почвы в группе N2B0 была на 17,2% выше, чем в группе N1B0. Комбинация азотного удобрения и биоугля способствовала повышению активности сахаразы почвы. В группах N1B1, N1B2 и N1B3 активность сахаразы почвы сначала увеличивалась, а затем снижалась с повышением уровней биоугля. Наивысшая активность наблюдалась в группе N1B2, достигнув пика 1,14 м·г⁻¹. В группах N2B1, N2B2 и N2B3 наблюдалось снижение активности сахаразы почвы с последующим увеличением с повышением уровней биоугля. Активность сахаразы почвы в группах N2B1 и N2B3 была на 9,32% и 11,89% выше соответственно, чем в группе N2B0 (P<0,05).
Значительные межгрупповые различия наблюдались в активности каталазы почвы. По сравнению с группой N1B0, группа N2B0 продемонстрировала увеличение активности каталазы почвы на 7,8%. В группах N1B1, N1B2 и N1B3 активность каталазы почвы сначала увеличивалась, а затем снижалась с повышением уровней биоугля, достигая пика 4,97 мл·г⁻¹ в группе N1B2. В группах N2B1, N2B2 и N2B3 активность каталазы почвы сначала снижалась, а затем увеличивалась с повышением уровней биоугля. Активность каталазы почвы в группах N2B1, N2B2 и N2B3 была на 10,2%, 7,8% и 11,7% выше соответственно по сравнению с группой N2B0.
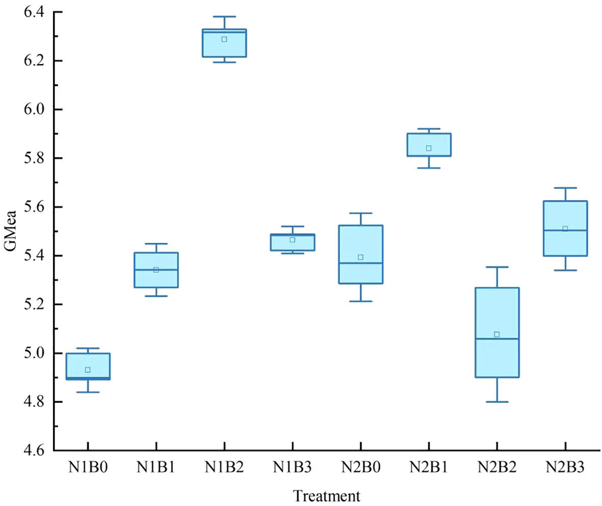
Среднее геометрическое активности трех ферментов в различных группах было использовано в качестве общего показателя ферментативной активности в почве пшеничного поля. Как проиллюстрировано на Рисунке 5, по сравнению с группой N1B0, общая активность ферментов почвы продемонстрировала увеличение в различных группах с заметными межгрупповыми различиями (P < 0,05). Группы N1B1, N1B2 и N1B3 продемонстрировали относительно высокую среднюю геометрическую активность, причем в группе N1B2 был отмечен заметный пик 5,97.
Рисунок 5 Среднее геометрическое (GMea) почвы в разных группах.
3.5 Влияние уровней азотного удобрения и биоугля на урожайность яровой пшеницы
Уровни азотного удобрения и биоугля оказали значительное влияние на урожайность яровой пшеницы. По сравнению с группой N1B0, все группы продемонстрировали заметное повышение урожайности яровой пшеницы (P < 0,05), при этом группа N2B2 достигла самой высокой урожайности – 8301,35 кг·га⁻², что представляет собой увеличение на 22,1% по сравнению с группой N1B0 (Рисунок 6).
Рисунок 6 Вариация урожайности яровой пшеницы в разных группах (кг·га⁻²). Разные маленькие буквы на рисунке указывают на значительные различия между различными обработками (P<0,05).
Результаты корреляционного анализа показали, что существовали значительные корреляции (P < 0,05) между совокупными выбросами CO₂ из почвы и следующими переменными: Cv, активностью уреазы почвы, активностью сахаразы почвы и активностью каталазы почвы. Результаты продемонстрировали положительную корреляцию между различными показателями и урожайностью пшеницы. Кроме того, значительная положительная корреляция наблюдалась между активностью каталазы почвы и активностью сахаразы почвы (P < 0,05) (Рисунок 7).
Рисунок 7 Корреляционный анализ различных показателей. указывает на уровень значимости 0,05.
4 Обсуждение
Скорость дыхания почвы определяется как продукция CO₂ подземными компонентами почвенных организмов и растений, включая корневое дыхание и микробное дыхание (Yu и др., 2015). Влияние биоугля на выбросы CO₂ из почвы было темой значительных дебатов в научном сообществе (Wang и др., 2023; Xu P. и др., 2016; Qian и др., 2016). Настоящее исследование продемонстрировало, что уровни азотного удобрения и биоугля влияют на дыхание почвы, причем обработки обычным азотным удобрением и биоуглем привели к повышению совокупных выбросов CO₂ (Han и др., 2022; Sui и др., 2016). Активированный почвенный органический углерод можно рассматривать как предпочтительный источник углерода для почвенных микроорганизмов, которые подвергаются процессам минерализации, транспорта и трансформации. Это может непосредственно влиять на выбросы CO₂ из почвы (Rogovska и др., 2016; Chen и др., 2016). Было продемонстрировано, что применение биоугля повышает пористость почвы (Guo, 2016; Kumputa и др., 2019; Mohamed и др., 2015) и влажность почвы (Haider и др., 2017; Kannan и др., 2021), тем самым увеличивая легко минерализуемое растворимое органическое вещество и способствуя минерализации (Liang и др., 2010). Более того, было показано, что применение биоугля повышает pH почвы, что может способствовать преобразованию нативного органического вещества в растворимый органический углерод и в некоторой степени ускорять минерализацию (Huang и др., 2023). В этом исследовании совокупные выбросы CO₂ из почвы сначала снижались, а затем увеличивались с добавлением биоугля в группах N2B1, N2B2 и N2B3, что указывает на пороговый эффект в отношении скорости дыхания почвы. Примечательно, что группа N2B2 продемонстрировала более низкие совокупные выбросы CO₂ из почвы, чем группа N2B0, что согласуется с предыдущими результатами (Chen и др., 2015). Предыдущие исследования показали, что оптимизированное применение биоугля может способствовать разложению органического вещества, причем увеличение отношения макроагрегатов к микроагрегатам почвы приводит к повышению выбросов CO₂ (Xu N. и др., 2016; Yang и др., 2024; Wang и др., 2014; Gunina и Kuzyakov, 2014). При более высоких уровнях биоугля большая площадь поверхности и адсорбционные свойства биоугля создают благоприятную среду для микробной активности (Yang и др., 2023), тем самым увеличивая микробное дыхание почвы. В то время как другие предположили, что, хотя биоуголь может не минерализовать почвенный углерод непосредственно, он может способствовать росту сельскохозяйственных культур, предоставлять физическую защиту активированному органическому углероду в почве и улучшать использование почвенного углерода (Spokas и др., 2009; Castaldi и др., 2011; Liu и др., 2020), таким образом способствуя секвестрации углерода.
Уровень влажности почвы имеет большое значение для процесса минерализации углерода. Было продемонстрировано, что включение биоугля в почву может уменьшить испарение почвенной воды, тем самым повышая уровень влажности почвы (Liu и др., 2016). Самые высокие показатели минерализации углерода наблюдались, когда влажность почвы достигала 70% на полях, обработанных биоуглем (Sun и др., 2016). В этом исследовании заметная корреляция наблюдалась между влажностью почвы и скоростью дыхания почвы в различных группах. Скорость диффузии CO₂ в почвенных порах и его растворимость в почвенной воде подвержены влиянию влажности почвы. Вызванные климатом вариации, такие как чередование влажных и сухих условий и засуха, ускоряют минерализацию углерода и выбросы CO₂ (Sun и др., 2016; Domínguez и др., 2017). По сравнению с постоянной влажностью, засуха и чередование влажных и сухих условий способствуют разложению нативного органического вещества в растворимые формы (Zhang и др., 2010). В условиях засухи даже минимальное количество воды может стимулировать скорость дыхания почвы (Wang и др., 2016). С другой стороны, увлажнение почвы может привести к разрушению почвенных агрегатов, снижению стабильности биоугля, ускорению минерализации и увеличению выделения CO₂ (Mitchell и др., 2015; Placella и др., 2012). Важно учитывать характеристики поступления углерода, факторы окружающей среды, использование удобрений и методы управления земельными ресурсами, чтобы обеспечить рациональность и эффективность таких мер, в частности на орошаемых сельскохозяйственных угодьях, если необходимо достичь эффективной секвестрации углерода и сокращения выбросов за счет экзогенного поступления углерода. Для выяснения потенциала применения биоугля на сельскохозяйственных угодьях для снижения выбросов в условиях чередования влажных и сухих условий требуется дальнейшее исследование.
Роль ферментов почвы в микробном дыхании имеет большое значение. Существует положительная корреляция между ферментативной активностью и скоростью дыхания почвенных микроорганизмов. Было продемонстрировано, что применение биоугля обогащает почву за счет увеличения содержания питательных веществ и органического вещества, тем самым способствуя росту, разнообразию и ферментативной активности почвенных микроорганизмов. Кроме того, биоуголь, характеризующийся высокой пористостью и большой удельной поверхностью, обеспечивает оптимальную среду для микробной колонизации (Du и др., 2014). Это приводит к увеличению микробной биомассы, что, в свою очередь, приводит к увеличению активности почвенных ферментов, участвующих в круговороте питательных веществ, что подтверждается повышенной активностью ферментов почвы (Palansooriya и др., 2019). Более того, увеличение активности почвенных протеиновых ферментов наблюдалось при обработках с высокими уровнями биоугля по сравнению с обработками с низкими уровнями биоугля (Xie и др., 2015). Наблюдаемое увеличение микробной активности при низких уровнях биоугля может быть объяснено предоставлением источника углерода и созданием благоприятной среды обитания пористой структурой биоугля. Тем не менее, по мере увеличения дозировки биоугля повышенный pH подавляет активность ферментов почвы и снижает микробное дыхание (Deng и др., 2020). Комбинация азотного удобрения и биоугля компенсировала дефицит углерода первого и дефицит азота последнего соответственно. Эта комбинация усилила ферментативные реакции в почве и увеличила активность почвенных микроорганизмов на пшеничных полях, что привело к повышению уровней уреазы, сахаразы и каталазы в почве (Zhang и др., 2023). Кроме того, в контексте применения обычного азотного удобрения активность почвенных ферментов сначала увеличивалась, а затем снижалась с повышением уровней биоугля. Эта закономерность показала наличие порогового эффекта биоугля, который, вероятно, свидетельствует о его высоком содержании солей, включая полициклические ароматические углеводороды (ПАУ). Применение чрезмерного количества биоугля может привести к ингибированию активности почвенных микроорганизмов, снижению ферментативных реакций в почве и снижению общей активности ферментов почвы.
Было продемонстрировано, что биоуголь улучшает физические свойства почвы (Alghamdi, 2018), повышает уровень питательных веществ в почве (Quilliam и др., 2012) и способствует росту сельскохозяйственных культур (Quilliam и др., 2012). В этом исследовании было обнаружено, что применение азотного удобрения и биоугля увеличивает урожайность яровой пшеницы, при этом группа N2B2 показала самую высокую урожайность (на 22,1% выше, чем в группе N1B0). Биоуголь может поддерживать сбалансированное соотношение углерода к азоту, которое подавляет размножение вредных почвенных микроорганизмов (Abid и др., 2023; Li и др., 2022), повышает содержание органического вещества в почве, создает благоприятную среду для роста микроорганизмов (Xu N. и др., 2016), замедляет высвобождение питательных веществ из почвы и улучшает поглощение азота сельскохозяйственными культурами, тем самым способствуя повышению урожайности сельскохозяйственных культур (Xu и др., 2021). Тем не менее, результаты зависят от сырья для биоугля, методологии применения, текстуры почвы, типа почвы и вида культуры (Ji и др., 2016).
5 Выводы
Применение биоугля может улучшить почвенную среду за счет модуляции активности ферментов почвы. Наблюдалось, что влияние биоугля на выбросы CO₂ из почвы варьируется в зависимости от уровня используемого биоугля. Кратковременное применение биоугля не привело к стабильному снижению выбросов CO₂ с сельскохозяйственных угодий в орошаемых районах Северного Синьцзяна при сохранении или даже увеличении урожайности. В группе N2B2 (азот: 255 кг·га⁻², биоуголь: 20×10³ кг·га⁻²) урожайность яровой пшеницы продемонстрировала увеличение наряду со снижением выбросов CO₂ из почвы. В свете этих результатов режим N2B2 можно рассматривать как оптимальный подход для возделывания пшеницы в орошаемых районах Северного Синьцзяна, обеспечивающий повышенную урожайность яровой пшеницы и снижение выбросов углерода. Тем не менее, требуется дальнейшее исследование для определения долгосрочных последствий для сельскохозяйственных угодий.
Ссылки
Abid F., Naz R., Asif T. (2023). Biochar for crop protection from soil borne diseases. In: Sustainable agriculture reviews 61: biochar to improve crop production and decrease plant stress under a changing climate. Cham: Springer International Publishing, 231–246. doi: 10.1007/978-3-031-26983-7_10. CrossRef Google Scholar
Agarwal H., Kashyap V. H., Mishra A., Bordoloi S., Singh P. K., Joshi N. C. (2022). Biochar-based fertilizers and their applications in plant growth promotion and protection. 3 Biotech. 12, 136. doi: 10.1007/s13205-022-03195-2. CrossRef Google Scholar
Alghamdi A. G. (2018). Biochar as a potential soil additive for improving soil physical properties – a review. Arabian J. Geosciences. 11, 766. doi: 10.1007/s12517-018-4056-7. CrossRef Google Scholar
Castaldi S., Riondino M., Baronti S., Esposito F. R., Marzaioli R., Rutigliano F. A. et al. (2011). Impact of biochar application to a Mediterranean wheat crop on soil microbial activity and greenhouse gas fluxes. Chemosphere. 85, 1464–1471. doi: 10.1016/j.chemosphere.2011.08.031. CrossRef Google Scholar
Chen J., Kim H., Yoo G. (2015). Effects of biochar addition on CO₂ and N₂O emissions following fertilizer application to a cultivated grassland soil. PloS One 10, e0126841. doi: 10.1371/journal.pone.0126841. CrossRef Google Scholar
Chen S., Xu C., Yan J., Zhang X., Zhang X., Wang D. (2016). The influence of the type of crop residue on soil organic carbon fractions: An 11-year field study of rice-based cropping systems in southeast China. Agriculture Ecosyst. Environment. 223, 261–269. doi: 10.1016/j.agee.2016.03.009. CrossRef Google Scholar
Deng B., Shi Y., Zhang L., Fang H., Gao Y., Luo L. et al. (2020). Effects of spent mushroom substrate-derived biochar on soil CO₂ and N₂O emissions depend on pyrolysis temperature. Chemosphere. 246, 125608. doi: 10.1016/j.chemosphere.2019.125608. CrossRef Google Scholar
Domínguez M. T., Holthof E., Smith A. R., Koller E., Emmett B. A. (2017). Contrasting response of summer soil respiration and enzyme activities to long-term warming and drought in a wet shrubland (NE Wales, UK). Appl. Soil Ecol. 110, 151–155. doi: 10.1016/j.apsoil.2016.11.003. CrossRef Google Scholar
Du Z., Wang Y., Huang J., Lu N., Liu X., Lou Y. et al. (2014). Consecutive biochar application alters soil enzyme activities in the winter wheat-growing season. Soil Science. 179, 75–83. doi: 10.1097/SS.0000000000000050. CrossRef Google Scholar
Gu W., Wang Y., Feng Z., Wu D., Zhang H., Yuan H. et al. (2022). Long-term effects of biochar application with reduced chemical fertilizer on paddy soil properties and japonica rice production system. Front. Environ. Science. 10. doi: 10.3389/fenvs.2022.902752. CrossRef Google Scholar
Gunina A., Kuzyakov Y. (2014). Pathways of litter C by formation of aggregates and SOM density fractions: implications from 13C natural abundance. Soil Biol. Biochem. 71, 95–104. doi: 10.1016/j.soilbio.2014.01.011. CrossRef Google Scholar
Guo M. (2016). Application of biochar for soil physical improvement. Agric. Environ. Appl. Biochar: Adv. Barriers. 63, 101–122. doi: 10.2136/sssaspecpub63.2014.0039.5. CrossRef Google Scholar
Haider G., Steffens D., Moser G., Müller C., Kammann C. I. (2017). Biochar reduced nitrate leaching and improved soil moisture content without yield improvements in a four-year field study. Agriculture Ecosyst. Environment. 237, 80–94. doi: 10.1016/j.agee.2016.12.019. CrossRef Google Scholar
Han J., Zhang A., Kang Y., Han J., Yang B., Hussain Q. et al. (2022). Biochar promotes soil organic carbon sequestration and reduces net global warming potential in apple orchard: A two-year study in the Loess Plateau of China. Sci. Total Environment. 803, 150035. doi: 10.1016/j.scitotenv.2021.150035. CrossRef Google Scholar
Hossain M. Z., Bahar M. M., Sarkar B., Donne S. W., Ok Y. S., Palansooriya K. N. et al. (2020). Biochar and its importance on nutrient dynamics in soil and plant. Biochar. 2, 379–420. doi: 10.1007/s42773-020-00065-z. CrossRef Google Scholar
Huang K., Zhang J., Tang G., Bao D., Wang T., Kong D. et al. (2023). Impacts and mechanisms of biochar on soil microorganisms. Plant Soil Environment. 69, 45–54. doi: 10.17221/348/2022-PSE. CrossRef Google Scholar
Jeffery S., Verheijen F. G., van der Velde M., Bastos A. C. (2011). A quantitative review of the effects of biochar application to soils on crop productivity using meta-analysis. Agriculture Ecosyst. Environment. 144, 175–187. doi: 10.1016/j.agee.2011.08.015. CrossRef Google Scholar
Ji Q., Zhao S. X., Li Z. H., Ma Y. Y., Wang X. D. (2016). Effects of biochar-straw on soil aggregation, organic carbon distribution, and wheat growth. Agron. J. 108, 2129–2136. doi: 10.2134/agronj2016.02.0121. CrossRef Google Scholar
Kannan P., Paramasivan M., Marimuthu S., Swaminathan C., Bose J. (2021). Applying both biochar and phosphobacteria enhances Vigna mungo L. growth and yield in acid soils by increasing soil pH, moisture content, microbial growth and P availability. Agriculture Ecosyst. Environment. 308, 107258. doi: 10.1016/j.agee.2020.107258. CrossRef Google Scholar
Kumputa S., Vityakon P., Saenjan P., Lawongsa P. (2019). Carbonaceous greenhouse gases and microbial abundance in paddy soil under biochar and rice straw amendment. Agronomy. 9, 228. doi: 10.3390/agronomy9050228. CrossRef Google Scholar
Li F., Liang X., Niyungeko C., Li F., Liang X., Niyungeko C. et al. (2019). Effects of biochar amendments on soil phosphorus transformation in agricultural soils. Adv. Agronomy. 158, 131–172. doi: 10.1016/bs.agron.2019.07.002. CrossRef Google Scholar
Li J., Ren T., Li Y., Chen N., Yin Q., Li M. et al. (2022). Organic materials with high C/N ratio: more beneficial to soil improvement and soil health. Biotechnol. Letters. 44, 1415–1429. doi: 10.1007/s10529-022-03309-z. CrossRef Google Scholar
Liang B., Lehmann J., Sohi S. P., Thies J. E., O’Neill B., Trujillo L. et al. (2010). Black carbon affects the cycling of non-black carbon in soil. Organic Geochemistry. 41, 206–213. doi: 10.1016/j.orggeochem.2009.09.007. CrossRef Google Scholar
Liu Z., Wu X., Liu W., Bian R., Ge T., Zhang W. et al. (2020). Greater microbial carbon use efficiency and carbon sequestration in soils: amendment of biochar versus crop straws. GCB Bioenergy. 12, 1092–1103. doi: 10.1111/gcbb.12763. CrossRef Google Scholar
Liu X., Zheng J., Zhang D., Cheng K., Zhou H., Zhang A. et al. (2016). Biochar has no effect on soil respiration across Chinese agricultural soils. Sci. Total Environment. 554, 259–265. doi: 10.1016/j.scitotenv.2016.02.179. CrossRef Google Scholar
Ma N., Zhang L., Zhang Y., Yang L., Yu C., Yin G. et al. (2016). Biochar improves soil aggregate stability and water availability in a mollisol after three years of field application. PloS One 11, e0154091. doi: 10.1371/journal.pone.0154091. CrossRef Google Scholar
Mitchell P. J., Simpson A. J., Soong R., Simpson M. J. (2015). Shifts in microbial community and water-extractable organic matter composition with biochar amendment in a temperate forest soil. Soil Biol. Biochem. 81, 244–254. doi: 10.1016/j.soilbio.2014.11.017. CrossRef Google Scholar
Mohamed E. M., El-Naggar A. H., Usman A. R., Al-Wabel M. (2015). Dynamics of CO₂ emission and biochemical properties of a sandy calcareous soil amended with Conocarpus waste and biochar. Pedosphere. 25, 46–56. doi: 10.1016/S1002-0160(14)60075-8. CrossRef Google Scholar
Palansooriya K. N., Wong J. T., Hashimoto Y., Huang L., Rinklebe J., Chang S. X. et al. (2019). Response of microbial communities to biochar-amended soils: a critical review. Biochar. 1, 3–22. doi: 10.1007/s42773-019-00009-2. CrossRef Google Scholar
Placella S. A., Brodie E. L., Firestone M. K. (2012). Rainfall-induced carbon dioxide pulses result from sequential resuscitation of phylogenetically clustered microbial groups. Proc. Natl. Acad. Sciences. 109, 10931–10936. doi: 10.1073/pnas.1204306109. CrossRef Google Scholar
Qian L., Zhang W., Yan J., Han L., Gao W., Liu R. et al. (2016). Effective removal of heavy metal by biochar colloids under different pyrolysis temperatures. Bioresource Technology. 206, 217–224. doi: 10.1016/j.biortech.2016.01.065. CrossRef Google Scholar
Quilliam R. S., Marsden K. A., Gertler C., Rousk J., DeLuca T. H., Jones D. L. (2012). Nutrient dynamics, microbial growth and weed emergence in biochar amended soil are influenced by time since application and reapplication rate. Agriculture Ecosyst. Environment. 158, 192–199. doi: 10.1016/j.agee.2012.06.011. CrossRef Google Scholar
Razzaghi F., Obour P. B., Arthur E. (2020). Does biochar improve soil water retention? A systematic review and meta-analysis. Geoderma. 361, 114055. doi: 10.1016/j.geoderma.2019.114055. CrossRef Google Scholar
Rogovska N., Laird D. A., Karlen D. L. (2016). Corn and soil response to biochar application and stover harvest. Field Crops Res. 187, 96–106. doi: 10.1016/j.fcr.2015.12.013. CrossRef Google Scholar
Shi S., Zhang Q., Lou Y., Du Z., Wang Q., Hu N. et al. (2021). Soil organic and inorganic carbon sequestration by consecutive biochar application: Results from a decade field experiment. Soil Use Management. 37, 95–103. doi: 10.1111/sum.12655. CrossRef Google Scholar
Spokas K. A., Koskinen W. C., Baker J. M., Reicosky D. C. (2009). Impacts of woodchip biochar additions on greenhouse gas production and sorption/degradation of two herbicides in a Minnesota soil. Chemosphere. 77, 574–581. doi: 10.1016/j.chemosphere.2009.06.053. CrossRef Google Scholar
Sui Y., Gao J., Liu C., Zhang W., Lan Y., Li S. et al. (2016). Interactive effects of straw-derived biochar and N fertilization on soil C storage and rice productivity in rice paddies of Northeast China. Sci. Total Environment. 544, 203–210. doi: 10.1016/j.scitotenv.2015.11.079. CrossRef Google Scholar
Sun J., He F., Zhang Z., Shao H., Xu G. (2016). Temperature and moisture responses to carbon mineralization in the biochar-amended saline soil. Sci. Total Environment. 569, 390–394. doi: 10.1016/j.scitotenv.2016.06.082. CrossRef Google Scholar
Trupiano D., Cocozza C., Baronti S., Amendola C., Vaccari F. P., Lustrato G. et al. (2017). The effects of biochar and its combination with compost on lettuce (Lactuca sativa L.) growth, soil properties, and soil microbial activity and abundance. Int. J. Agron. 2017, 3158207. doi: 10.1155/2017/3158207. CrossRef Google Scholar
Wang L., Chen D., Zhu L. (2023). Biochar carbon sequestration potential rectification in soils: Synthesis effects of biochar on soil CO₂, CH₄ and N₂O emissions. Sci. Total Environment. 904, 167047. doi: 10.1016/j.scitotenv.2023.167047. CrossRef Google Scholar
Wang D., Griffin D. E., Parikh S. J., Scow K. M. (2016). Impact of biochar amendment on soil water soluble carbon in the context of extreme hydrological events. Chemosphere. 160, 287–292. doi: 10.1016/j.chemosphere.2016.06.100. CrossRef Google Scholar
Wang Z., Li Y., Chang S. X., Zhang J., Jiang P., Zhou G. et al. (2014). Contrasting effects of bamboo leaf and its biochar on soil CO₂ efflux and labile organic carbon in an intensively managed Chinese chestnut plantation. Biol. Fertility Soils. 50, 1109–1119. doi: 10.1007/s00374-014-0933-8. CrossRef Google Scholar
Wang H., Wu J., Li G., Yan L. (2020). Changes in soil carbon fractions and enzyme activities under different vegetation types of the northern Loess Plateau. Ecol. Evolution. 10, 12211–12223. doi: 10.1002/ece3.6852. CrossRef Google Scholar
Xie J. Y., Xu M. G., Ciren Q., Yang Y. A. N. G., Zhang S. L., Sun B. H. et al. (2015). Soil aggregation and aggregate associated organic carbon and total nitrogen under long-term contrasting soil management regimes in loess soil. J. Integr. Agriculture. 14, 2405–2416. doi: 10.1016/S2095-3119(15)61205-9. CrossRef Google Scholar
Xu H., Cai A., Wu D., Liang G., Xiao J., Xu M. et al. (2021). Effects of biochar application on crop productivity, soil carbon sequestration, and global warming potential controlled by biochar C: N ratio and soil pH: A global meta-analysis. Soil Tillage Res. 213, 105125. doi: 10.1016/j.still.2021.105125. CrossRef Google Scholar
Xu P., Sun C. X., Ye X. Z., Xiao W. D., Zhang Q., Wang Q. (2016). The effect of biochar and crop straws on heavy metal bioavailability and plant accumulation in a Cd and Pb polluted soil. Ecotoxicology Environ. Safety. 132, 94–100. doi: 10.1016/j.ecoenv.2016.05.031. CrossRef Google Scholar
Xu N., Tan G., Wang H., Gai X. (2016). Effect of biochar additions to soil on nitrogen leaching, microbial biomass and bacterial community structure. Eur. J. Soil Biol. 74, 1–8. doi: 10.1016/j.ejsobi.2016.02.004. CrossRef Google Scholar
Yang W., Wang Z., Guo S., Yang M., Zhao L., Zhao H. et al. (2023). Evaluation of soil fertility quality under biochar combined with nitrogen in an irrigated wheat field in Northern Xinjiang, China. Agronomy. 13, 2518. doi: 10.3390/agronomy13102518. CrossRef Google Scholar
Yang W., Wang Z., Zhao H., Li D., Jia H., Xu W. (2024). Biochar application influences the stability of soil aggregates and wheat yields. Plant Soil Environment. 70, 125–141. doi: 10.17221/199/2023-PSE. CrossRef Google Scholar
Yu L., Wang Y., Wang Y., Sun S., Liu L. (2015). Quantifying components of soil respiration and their response to abiotic factors in two typical subtropical forest stands, southwest China. PloS One 10, e0117490. doi: 10.1371/journal.pone.0117490. CrossRef Google Scholar
Zhang X., Gong Z., Allinson G., Li X., Jia C. (2022). Joint effects of bacterium and biochar in remediation of antibiotic-heavy metal contaminated soil and responses of resistance gene and microbial community. Chemosphere. 299, 134333. doi: 10.1016/j.chemosphere.2022.134333. CrossRef Google Scholar
Zhang X., Guan Q., Kong L., Yang R., Liu X., Qu J. et al. (2023). Composite organic amendment boosts soil remediation and cd detoxification to rape under different nitrogen level. Eur. J. Soil Biol. 114, 103463. doi: 10.1016/j.ejsobi.2022.103463. CrossRef Google Scholar
Zhang H., Lin K., Wang H., Gan J. (2010). Effect of Pinus radiata derived biochars on soil sorption and desorption of phenanthrene. Environ. Pollution. 158, 2821–2825. doi: 10.1016/j.envpol.2010.06.025. CrossRef Google Scholar
Zhao P., Wang S., Liu D., Li H., Han S., Li M. (2022). Study on influence mechanism of biochar on soil nitrogen conversion. Environ. Pollutants Bioavailability. 34, 419–432. doi: 10.1080/26395940.2022.2125445. CrossRef Google Scholar
Yang W, Zhang L, Chen Y, Su L, Zhao L, Li P, Zhao H and Jia H (2024) Effects of nitrogen fertilizer and biochar levels on soil CO2 emission and wheat yield in irrigation region. Front. Agron. 6:1487500. doi: 10.3389/fagro.2024.1487500
Перевод статьи «Effects of nitrogen fertilizer and biochar levels on soil CO2emission and wheat yield in irrigation region» авторов Yang W, Zhang L, Chen Y, Su L, Zhao L, Li P, Zhao H and Jia H., оригинал доступен по https://www.frontiersin.org/journals/agronomy/articles/10.3389/fagro.2024.1487500/full. Лицензия: CC BY. Изменения: переведено на русский язык
Источник: freepik














Комментарии (0)