Как устроен климат в теплице: цифровая модель света и тепла
Солнечные теплицы являются ключевыми сооружениями для сельскохозяйственного производства в северных регионах Китая, где неоднородность внутренней среды создает серьезные проблемы. В данном исследовании была разработана численная модель фототермических условий в солнечных теплицах. С использованием платформы COMSOL Multiphysics™ была создана модель микроклимата, охватывающая как внутренний объем теплицы, так и непосредственно подстилающий грунт, без учета растительных культур.
Аннотация
Данная модель объединяет мультифизические поля с процессами переноса жидкости и тепла. Граничные условия и начальные значения для внешней среды и почвы были определены на основе метеорологических данных и эффективного метода интерполяционных функций, с обновлением временного шага каждый 1 час. Результаты показывают, что модельные значения хорошо согласуются с экспериментальными данными. Наши выводы раскрывают временную динамику изменений радиации и температуры, а также пространственную неоднородность внутри солнечных теплиц в различных зимних погодных условиях. Кроме того, обсуждался потенциал интеграции данной модели с другими системами мониторинга и управления в реальном времени. Данное исследование закладывает теоретическую основу для разработки моделей микроклимата и прогнозирования фототермической среды в теплицах.
1. Введение
Солнечная теплица — это сельскохозяйственное сооружение, использующее солнечную энергию для пассивного обогрева [1,2]. Она улавливает солнечную радиацию как источник тепла, повышая температуру внутри за счет накопления энергии в стенах и почве в течение дня. Эта накопленная энергия затем медленно высвобождается ночью [3,4,5]. В результате солнечные теплицы позволяют осуществлять сельскохозяйственное производство зимой без дополнительного обогрева. Они стали жизненно важными сооружениями в умеренных регионах, в частности, на севере Китая [6,7,8].
Несмотря на свои преимущества, солнечные теплицы сталкиваются с рядом проблем в реальном производстве. Во-первых, на севере Китая для солнечных теплиц без каких-либо искусственных мер обогрева и охлаждения внутренние условия освещенности и температуры весной и осенью могут удовлетворять потребности в росте широко культивируемых в солнечных теплицах культур, таких как томаты, огурцы, перцы, арбузы и т.д. Летом из-за высокой внутренней температуры теплицу обычно закрывают, и культуры не высаживают. Зимой различия между солнечными и пасмурными днями приводят к значительным колебаниям интенсивности света и температуры внутри теплицы. В пасмурные дни культуры часто страдают от недостатка света и низких температур, что угрожает их росту. Многие северные теплицы не используют искусственный обогрев для экономии энергии и минимизации эксплуатационных расходов, что подвергает культуры воздействию низких температур в зимние месяцы. Хотя солнечные дни обеспечивают адекватный свет и тепло для роста культур, пасмурные дни вызывают резкое снижение как интенсивности света, так и температуры [9,10]. Продолжительные периоды пасмурной погоды, дождя или снега могут серьезно затруднить развитие культур. Возникающие в результате низкие температуры могут замедлить рост, вызвать заморозки и привести к значительному обморожению овощей, создавая серьезные риски для их выживания и потенциально приводя к существенным экономическим потерям [11,12,13]. Во-вторых, односторонняя прозрачная конструкция солнечной теплицы может приводить к неравномерному распределению факторов окружающей среды, влияя на урожайность и качество культур [14]. Конструкция теплицы характеризуется арочной передней крышей, покрытой полиэтиленовой пленкой с южной стороны для оптимального захвата света, в то время как в ночное время в холодные месяцы эта область покрывается теплоизоляционным полотном [15]. Восточная, западная и северная стороны состоят из сплошных или композитных толстых стен [16]. Такая конструкция повышает эффективность освещения и теплоизоляции, обеспечивая необходимые условия для роста культур даже в экстремально холодные зимы [17,18]. Однако три стены теплицы блокируют часть падающего света, создавая тени внутри пространства [19]. Это приводит к неравномерному распределению света, и, согласно исследованию Li et al. [20], распределение падающей фотосинтетически активной радиации (ФАР) в солнечной теплице показало значительный дисбаланс в течение дня, причем центральная и южная секции получали значительно более высокие уровни ФАР, чем северная секция. Это неравномерное распределение света приводит к соответствующей микроклиматической неоднородности внутри теплицы. Такая неоднородность негативно влияет на физиологию культур, препятствуя транспирации и фотосинтезу. Эта изменчивость является ключевым фактором различий в урожайности и качестве [21,22].
Для решения проблемы роста культур, вызванной неоднородностью теплицы, необходим точный контроль факторов окружающей среды. Однако технология контроля окружающей среды в теплицах в Китае все еще относительно слаборазвита, что приводит к ограниченным возможностям регулирования внутренней среды [23]. Основной задачей в контроле окружающей среды является полное понимание характеристик пространственного распределения микроклимата в теплицах. Распределение микроклимата в теплице зависит от внешних климатических условий, конструкции теплицы, а также оптических и тепловых свойств используемых материалов. Эта сложная система включает в себя множество механизмов переноса тепла и массы, включая конвекцию, излучение и теплопроводность [24,25]. Формирование микроклимата теплицы включает процессы теплопередачи в стенах и почве. Кроме того, оно включает конвективный теплообмен между внутренним и наружным воздухом через покрытие теплицы, а также радиационный теплообмен между внутренними твердыми поверхностями [26,27]. Проводя углубленные исследования механизмов газового потока и процессов теплопередачи внутри теплицы, мы можем разработать точную модель прогнозирования микроклимата. Эта модель позволит осуществлять точный контроль над средой выращивания культур, обеспечивая их хороший рост в однородной среде [28]. Улучшенные условия повысят урожайность и качество культур, а также заложат основу для механизации и стандартизации сельскохозяйственного производства.
Методы анализа и прогнозирования микроклимата в теплицах включают аналитические, экспериментальные и численные методы моделирования [29]. Среди них численные методы моделирования становятся все более предпочтительными в современной инженерии и научных исследованиях благодаря их низкой вычислительной стоимости. Они не требуют дополнительных испытательных материалов или оборудования, и компьютерное программное обеспечение может моделировать различные рабочие условия, делая их гибкими и управляемыми. В численных исследованиях моделирования солнечных теплиц методы CFD (Вычислительная гидродинамика) часто используются для моделирования внутреннего поля потока воздуха и распределения температуры. Используя комбинацию CFD и экспериментальных методов, Wu et al. исследовали влияние северной и южной крыш на термическую среду солнечной теплицы. Модель учитывала распределение солнечной энергии, передачу энергии, трехмерное распределение теплового потока и термические характеристики ограждающей конструкции (включая стены и почву). Для расчета теплопередачи внутри теплицы использовалась радиационная модель P-1 [30]. Xu et al. использовали Autodesk Simulation CFD для моделирования температурного поля внутри стены в течение 24 часов в разные даты, чтобы определить толщину теплоаккумулирующего слоя стены. Моделирование использовало двумерное поперечное сечение теплицы в пролетном направлении в качестве расчетной области, учитывая солнечную радиацию, влажный внутренний воздух и термические характеристики ограждающей конструкции в типичных солнечных условиях [31]. Yu et al. смоделировали термическую среду двух последовательных солнечных теплиц без учета наличия культур и условий вентиляции. Моделирование использовало модель дискретного координатного излучения (DO) для моделирования мгновенных изменений солнечной радиации и комбинировало измеренные параметры для моделирования трехмерной переходной термической среды в течение 24 часов зимой [32]. В приведенных выше случаях CFD-моделирования модельные значения хорошо согласовывались с измеренными значениями.
Однако, несмотря на значительный прогресс в выявлении характеристик распределения температуры и воздушного потока в солнечных теплицах, все еще отсутствуют углубленные исследования изменений радиации внутри теплицы. Радиация, как краеугольный камень регулирования изменений внутренней среды теплиц, оказывает глубокое влияние на формирование температурных градиентов и эффективность фотосинтеза культур, среди других ключевых процессов. Учитывая это, особенно актуально проведение более точного и детального моделирования и оптимизации фототермической среды в солнечных теплицах. В данном исследовании были проведены детальные численные моделирования распределения радиации и температуры внутри солнечных теплиц с течением времени для различных зимних погодных сценариев, и численные моделирования были проверены экспериментальными данными. Это исследование направлено на предоставление прочной теоретической основы и технической поддержки для точного регулирования окружающей среды и эффективного роста культур в солнечных теплицах.
2. Материалы и методы
2.1. Параметры теплицы
Экспериментальная солнечная теплица расположена в городе Циндао, провинция Шаньдун (36,38° с.ш., 120,45° в.д.), как показано на Рисунке 1. Ее размеры: длина 100,00 м, ширина 10,15 м, высота конька 3,85 м и высота задней стены 3,28 м. Северная стена и восточная/западная торцевые стены имеют толщину 0,50 м каждая. Внутренние опорные столбы отсутствуют. Передняя крыша покрыта полиэтиленовой пленкой PO-типа, а верх утеплен. Теплоизоляционное полотно скатывается в 7:30 утра и полностью опускается в 4:30 вечера зимой. Внутри теплицы культивировались растения огурца сорта 'Тяньцзяо №1', с датой посадки 19 января 2023 года.
Рисунок 1. Фотография солнечной теплицы в городе Циндао, провинция Шаньдун.
2.2. Измерения окружающей среды
Для исследования равномерности распределения различных факторов окружающей среды внутри солнечной теплицы мы расположили равномерные точки измерения как в направлении восток–запад, так и север–юг теплицы. Учитывая, что огурцы в течение большей части стадий роста поддерживают высоту полога около 1,5 м, данное исследование было сосредоточено на этой высоте для изучения распределения внутренней среды. В частности, мы равномерно расположили пять точек измерения в направлении север–юг и три точки измерения в направлении восток–запад, всего пятнадцать точек измерения (P1–P15), как показано на Рисунке 2. Площадь выращивания относится к эффективному посадочному пространству на полу теплицы, исключая северный проход, невозделываемые участки на восточной и западной сторонах, а также южный угол. Температура воздуха измерялась с помощью термопар типа K (Anxindun, Changshu, Китай) в точках P1–P15. Данные по температуре воздуха собирались автоматически регистратором данных CR1000 (Campbell Scientific Inc, Logan, UT, USA). Кроме того, суммарная радиация измерялась и автоматически записывалась в точках P1–P15 с использованием HOBO MX2202 (Onset, Bourne, MA, USA). Все измерения проводились каждые 10 минут.
Рисунок 2. План расположения точек измерения окружающей среды.
В течение тестового периода метеорологические данные вне теплицы были получены от Национального центра атмосферных исследований США (NCAR). Это включало непрерывную 24-часовую запись наблюдений с 5 февраля 2023 по 10 февраля 2023. Конкретный набор данных охватывал температуру воздуха, температуру почвы от поверхности до глубины 2 м, а также значения суммарной радиации в месте расположения экспериментальной теплицы в Циндао, провинция Шаньдун. Для данного исследования были выбраны 8 и 9 февраля 2023 как типичный солнечный и типичный пасмурный день зимы соответственно.
2.3. Численный метод
COMSOL Multiphysics™ послужил инструментом моделирования для данного исследования. Разработанный COMSOL AB в Швеции, COMSOL — это программное обеспечение для численного моделирования, предоставляющее высокоинтегрированную среду. Оно предлагает богатый набор предопределенных интерфейсов для различных физических полей и связанного моделирования мультифизических проблем [33], включая электротехнику, механику, гидравлику и химическую инженерию. Оно основано на методе конечных элементов и моделирует реальные физические явления путем решения уравнений в частных производных (одно поле) или систем уравнений в частных производных (много полей). По сравнению с широко используемым CFD-программным обеспечением в моделировании теплиц, данный программный продукт позволяет пользователям определять физические модели с использованием математических уравнений, делая его более гибким и мощным в обработке сложного моделирования множества связанных физических полей, а также более интуитивно понятным и удобным в настройке уравнений и граничных условий.
2.3.1. Геометрическая модель и сетки
Теплица и ее окружение были смоделированы с использованием внутренней геометрической функции COMSOL. Чтобы обеспечить точность результатов моделирования при сохранении вычислительных ресурсов, мы увеличили площадь моделирования почвы и наружного воздуха под теплицей. Глубина области почвы была установлена на 2 м, а высота области воздуха — на 6 м. Поскольку эксперимент был сосредоточен на рассаде огурцов, которая относительно мала и оказывает минимальное влияние на термическую среду теплицы, культуры не были включены в модель. Геометрическая модель была создана в декартовой системе координат, с пересечением восточной торцевой стены, северной стены и уровня земли внутри солнечной теплицы в качестве начала координат (0,0,0). Ориентация солнечной теплицы была следующей: +x≡Юг, +y≡Запад, +z≡Зенит (Рисунок 3a).
Рисунок 3. Схема 3D-модели (a) и сетки (b) солнечной теплицы.
После настройки физического поля модель была разбита на сетку. Форма и точность сетки значительно влияют на время решения и результаты модели моделирования. Была использована управляемая физическим полем сетка, предоставляемая COMSOL, с выбранным размером «более уточненный» для улучшения областей с большими градиентами переменных. Результаты изображены на Рисунке 3b. Построенная сетка состояла из 153 436 ячеек, с объемом сетки 7,216 × 10^12 мм³. Минимальное качество ячейки составляло 0,001275, среднее качество ячейки — 0,6801, и общее качество ячеек было оценено как хорошее [34].
2.3.2. Параметры материалов
Расчетная модель состоит из пяти материалов: воздух, пленка, теплоизоляционное полотно, стены и почва, с соответствующими свойствами материалов, подробно описанными в Таблице 1. Для теплоизоляционного полотна коэффициент теплового расширения был установлен на 2,8 × 10⁻⁴ (1/К), коэффициент излучения поверхности — 0,8, а относительная диэлектрическая проницаемость — 4. Примечательно, что в то время как плотность почвы была фиксирована на уровне 1400 кг·м⁻³, многочисленные свойства материалов, связанные с теплопередачей и динамикой жидкости как для воздуха, так и для почвы, проявляли значительную зависимость от температуры. В данном исследовании параметры для почвы (теплопроводность, теплоемкость и температуропроводность) и воздуха (кинематическая вязкость, плотность и теплопроводность) были определены как зависящие от температуры.
Таблица 1. Параметры материалов.
2.3.3. Численный расчет
Интерфейсы физических полей для решения модели включают теплопередачу в твердых телах и жидкостях, излучение поверхность-поверхность и турбулентность.
Расчетная область для теплопередачи в твердых телах и жидкостях включает воздух внутри и снаружи теплицы, конструкцию теплицы и почву. Уравнение сохранения энергии выражается следующим образом:
где ρC_P (∂T/∂t) представляет накопление энергии для изменений температуры во времени; ρC_P u ∇T представляет тепловую конвекцию; ∇q — теплопроводность; Q представляет объемный источник тепла; Q_ted представляет другие члены источников тепла, здесь в основном для радиационного теплового вклада в Вт·м⁻². ρ — плотность в кг·м⁻³; C_P — теплоемкость при постоянном давлении в Дж·К⁻¹·кг⁻¹; T — температура; t — время; u — скорость жидкости; поскольку испытание проводится зимой, вентиляционные отверстия теплицы закрыты, поэтому для воздуха рассматривается только естественная конвекция, и принудительная конвекция отсутствует; q — тепловой поток, рассчитывается следующим образом:
где k — теплопроводность в Вт·м⁻¹·К⁻¹.
Вертикальный интерфейс почва-наружный воздух по умолчанию рассматривается как теплоизолирующая граница. Из-за минимальной толщины пленки ее геометрия потребляла бы чрезмерных вычислительных ресурсов. Поэтому она упрощена до тонкого слоя в интерфейсе теплопередачи COMSOL, представленного в виде двумерной плоскости. Параметр толщины включен в фактические расчеты решения. В модели теплопередачи тепловое сопротивление пленки больше, чем у воздуха с обеих сторон, что указывает на то, что пленка не способствует переносу тангенциального теплового потока. Следовательно, градиент температуры в направлении слоя пленки пренебрегается. Термическое приближение тонкого слоя — это обобщенная формула, которая предполагает, что теплопередача происходит в основном в нормальном направлении тонкой структуры — используется для упрощения расчетов путем фокусировки исключительно на теплопередаче в направлении слоя [35] при игнорировании переноса в других направлениях.
Интерфейс излучения поверхность-поверхность включает в себя все твердые компоненты, такие как конструкция теплицы и почва. Управляющие уравнения следующие:
где J_i — плотность лучистой энергии j-й поверхности; ε_j — коэффициент излучения j-й поверхности; e_b(T) — плотность лучистой энергии черного тела; FEP_j(T) — фактор формы и функция спектральной излучательной способности; ρ_d,j — диффузная отражательная способность j-й поверхности; G_j — полная плотность падающей лучистой энергии на поверхность; G_m,j, G_amb,j и G_ext,j — вклад во взаимное, окружающее и внешнее излучение на поверхность j соответственно; F_amb — фактор обзора окружающей среды; n — показатель преломления; σ — постоянная Стефана–Больцмана со значением 5,6 × 10⁻⁸ Вт·м⁻²·К⁻¹; λ — длина волны в вакууме в м. Направление излучения диффузно отражающей поверхности контролируется непрозрачностью во всем частотном диапазоне, а коэффициент излучения поверхности задается пользователем в каждой полосе, где солнечный спектральный диапазон [0, 2,5 мкм] равен 0,8, а окружающий спектральный диапазон [2,5 мкм, +∞] равен 0,2.
В интерфейсе турбулентности была выбрана реализуемая модель k-ε [36]. Уравнения Навье–Стокса для динамики жидкости решались с использованием осредненных по Рейнольдсу уравнений Навье–Стокса (RANS) [37]. Данное исследование объединяет теплопередачу в твердых телах и жидкостях, излучение поверхность-поверхность и поля физической турбулентности. Связь турбулентности и теплопередачи применяется к неизотермическому потоку, в то время как связь теплопередачи и излучения поверхность-поверхность относится к радиационной теплопередаче. Неизотермический поток учитывает изменения плотности жидкости, которые возникают из-за температурных вариаций в поле потока. Расчеты теплопередачи турбулентности используют модель Кейса–Кроуфорда, которая повышает точность прогнозирования обычной модели RANS путем корректировки числа Прандтля. Стандартные тепловые функции стенки решают температурные поля вблизи твердых стенок, где профили скорости и температуры жидкости описываются с использованием логарифмических законов в соответствии с теорией пограничного слоя. Использование тепловых функций стенки упрощает расчеты температуры пограничного слоя, фокусируясь на температурном градиенте и тепловом потоке вблизи стенки. Поскольку поток в данном исследовании состоит исключительно из воздуха, нагревание вызывает изменения плотности и давления, что приводит к течению внутри теплицы. Вынужденная конвекция не рассматривается, и управляющие уравнения упрощаются с использованием предположения Буссинеска [38].
2.3.4. Граничные условия и начальные значения
Для точного моделирования среды теплицы мы должны установить граничные условия и начальные значения для внешней почвы и окружающей среды. Граничные условия и начальные значения почвы были получены из данных о температуре, предоставленных NCAR на различных глубинах под поверхностью (0,1 м, 0,4 м, 1,0 м и 2,0 м). Этот подход учитывает дисперсию температур почвы с глубиной и временем. Интерполяционная функция была разработана в программном обеспечении COMSOL для генерации кривой температуры почвы на основе данных о температуре, собранных на этих глубинах (Рисунок 4). Эта кривая была затем точно включена в модель моделирования в качестве начального температурного условия.
Рисунок 4. Изменение температуры почвы с глубиной.
Граничное условие окружающей среды относится к температуре воздуха вокруг теплицы. Мы определили интерполяционную функцию в глобальных параметрах для построения графика температуры окружающей среды на основе 24-часовых ежедневных значений температуры воздуха. Начальная температура теплицы была установлена в соответствии с метеорологическими данными, зарегистрированными в то время.
Солнечные тепловые источники были включены с использованием функции «внешние радиационные источники» в COMSOL. Эта функция позволяла включать направленный радиационный источник с расчетом фактора обзора, гарантируя, что только внешний фактор обзора пересчитывался при изменении положения источника. Исторические погодные данные, а также статистические данные для местоположения солнечной теплицы были введены в Environmental Conditions общих свойств на основе данных климатических зон Справочника ASHRAE 2023 и типичных годовых погодных файлов Американского общества инженеров по отоплению, охлаждению и кондиционированию воздуха (ASHRAE). Координаты широты и долготы, часовые пояса и даты были указаны в узле External Radiation Sources, который решатель автоматически обновлял с течением времени. Солнечная облученность определялась с использованием значений солнечной радиации в день испытания. Весь диапазон направления излучения от интерфейса поверхность-поверхность был диффузным и контролировался на основе непрозрачности.
2.3.5. Настройки решателя
Программное обеспечение для моделирования, использованное в данном исследовании, — COMSOL Multiphysics™ 6.2. Все вычисления проводились на системе с 4 процессорами Intel(R) Xeon(R) CPU E5-2697A v4 (Intel Corporation, Santa Clara, CA, USA) с тактовой частотой 2,60 ГГц и 32 ядрами в общей сложности (WIN-I7TFE9MKHUQ), с доступной памятью 65,41 ГБ. Физические переменные для решения были разделены на излучательную способность и комбинированные переменные (поле скорости, давление, температура, внешняя температура) для учета различных временных масштабов и свойств. Для решений по излучательной способности решатель PARDISO (метод прямой разреженной матрицы) обрабатывал разреженную линейную систему, полученную из уравнений радиационного теплопереноса, которые включали сложную матрицу радиационного обмена. Этот подход позволяет делать более точные и эффективные прогнозы эффектов теплового излучения. Неизотермический поток решался с использованием метода обобщенных минимальных невязок (GMRES). Переходное исследование начиналось в 0 ч и заканчивалось в 48 ч, с размером шага 10 минут и допуском, контролируемым физическим полем.
2.3.6. Метод валидации
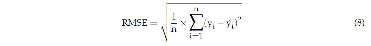
Для проверки достоверности моделирования была выбрана среднеквадратическая ошибка (RMSE) для оценки.
где y_i, ŷ_i обозначают измеренные данные и модельные данные соответственно, а n — количество образцов.
3. Результаты и обсуждение
3.1. Валидация модели
Для валидации были выбраны типичный солнечный день (8 февраля 2023) и типичный пасмурный день (9 февраля 2023) в период выращивания огурцов для сравнения измеренных и смоделированных значений радиации и температуры в различные периоды времени (P1–P15) в солнечной теплице. Согласно Таблице 2, результаты проверки радиации показали, что среднее значение RMSE для солнечных условий составило 37,5 Вт·м⁻², в то время как для пасмурных условий в течение дня оно составило 28,9 Вт·м⁻². Примечательно, что наибольшая ошибка произошла около полудня, когда интенсивность радиации достигала пика. Что касается температуры, значения RMSE составили 2,2 °C для солнечного дня и 0,7 °C для пасмурного дня. В солнечный день самая высокая ошибка в 4,4 °C появилась утром, когда температура внутри теплицы быстро повышалась. Напротив, ошибки оставались относительно низкими в течение дня в пасмурный день.
Таблица 2. Значение RMSE для моделирования радиации и температуры в солнечной теплице.
3.2. Анализ радиации
3.2.1. Зависящая от времени радиация
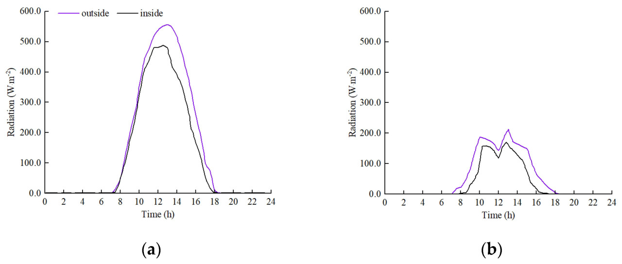
На Рисунке 5 показаны результаты моделирования радиации в солнечный день (Рисунок 5a) и пасмурный день (Рисунок 5b) внутри солнечной теплицы на высоте 1,5 м. В солнечный день радиация была впервые обнаружена около 7:30 утра, когда теплоизоляционное полотно было убрано. Затем она неуклонно увеличивалась, достигая пика в 12:30 дня с максимальным значением 487,3 Вт·м⁻², прежде чем снизиться до нуля в 5:30 вечера. Напротив, в пасмурный день уровни радиации внутри были ниже и демонстрировали значительные колебания. С 10 утра до 1 часа дня солнечная радиация значительно варьировалась из-за погодных условий, достигая пика в 10 утра со значением 157,9 Вт·м⁻². К 12 часам дня это значение упало до 116,8 Вт·м⁻², достигнув минимума 93,7 Вт·м⁻² после полудня. Впоследствии радиация снова возросла, достигнув пика в 170,2 Вт·м⁻² в 1 час дня, а затем снижалась до тех пор, пока изоляция не была полностью опущена.
Рисунок 5. Изменение радиации в плоскости солнечной теплицы при различной погоде: (a) солнечный день; (b) пасмурный день.
Мы сравнили значения радиации внутри теплицы с теми, что снаружи. Значение радиации внутри теплицы было заметно ниже, чем снаружи, и тенденции изменений внутри и снаружи оставались согласованными независимо от погодных условий. В солнечный день максимальная разница между внутренней и внешней средой составила 65,2 Вт·м⁻² около полудня. В пасмурный день разница была значительной утром и днем, около 80,9 Вт·м⁻², тогда как в полдень разница была относительно незначительной, в пределах 45,6 Вт·м⁻².
3.2.2. Распределение радиации внутри теплицы
Для изучения изменчивости радиации внутри солнечной теплицы три боковых датчика были установлены на уровне земли 1,5 м внутри модели теплицы, ориентированные восток-запад. Эта установка позволила проанализировать распределение радиации по плоскости. На Рисунке 6 показано распределение радиации в различное время в солнечный день, причем горизонтальные координаты представляют расстояние от западной стены. В солнечный день распределение радиации последовательно уменьшалось с юга на север в течение всего дня. Южные и центральные области демонстрировали сходные значения радиации, в то время как северная область, подверженная влиянию скатанного изоляционного полотна, получала значительно меньше радиации. Чтобы количественно оценить это несоответствие, была определена «разница север-юг» как максимальная разница радиации между южной и северной областями. Максимальная зарегистрированная разница в 56,8 Вт·м⁻² произошла в 10 утра. В 8 утра солнечный свет проникал в основном с востока, причем восточная стена отбрасывала тень, что приводило к более низким значениям радиации возле стены. К 4 часам дня солнечный свет приближался к теплице по диагонали с запада, причем западная стена служила щитом и дополнительно снижала значения радиации в прилегающих областях.
Рисунок 6. Распределение радиации в различные периоды в солнечный день.
В пасмурные дни уровни солнечной радиации, как правило, ниже и демонстрируют более высокую долю рассеянной радиации по сравнению с ясными днями [39]. Хотя планарная радиация показывает некоторую изменчивость в эти пасмурные периоды, эта изменчивость не так значительна, как наблюдаемая в ясный день. Распределение радиации в пасмурные дни напоминает таковое в ясные дни, уменьшаясь с юга на север (как показано на Рисунке 7). Примечательно, что максимальная разница в радиации в направлении север-юг произошла в 2 часа дня, с разницей 6,2 Вт·м⁻². К 4 часам дня определенные области в южной части страны были затенены оборудованием внутри теплицы, что привело к относительно низким значениям радиации. Напротив, незатененные местоположения на юге показали более высокую радиацию, что привело к увеличенной разнице в 6,4 Вт·м⁻² по сравнению с северным регионом.
Рисунок 7. Распределение радиации в различные периоды в пасмурный день.
Для оценки равномерности планарных факторов окружающей среды мы рассчитали их коэффициент вариации в различные периоды времени, который определяется как отношение стандартного отклонения к среднему значению. Большой коэффициент вариации означает худшую равномерность. Как упоминалось выше, разница в радиации в различных областях была более значительной в солнечные дни по сравнению с пасмурными днями. Однако из Таблицы 3 мы видим, что значение коэффициента вариации выше в пасмурный день. Это явление связано с более низкими значениями радиации в течение пасмурного дня.
Таблица 3. Коэффициент вариации радиации в различные периоды времени (%).
Солнечная радиация и температура имеют решающее значение для роста и развития огурцов. В тепличном производстве оптимальные условия варьируются для светолюбивых культур, таких как томаты и огурцы. Для оптимальной интенсивности радиации не существует верхнего предела; более сильная солнечная радиация приводит к усилению фотосинтеза и увеличению урожайности [40,41]. На практике, в солнечные дни, целесообразно дополнять свет в затененных областях в утренние и вечерние часы, а также в центральных и северных частях теплицы в течение дня, используя искусственные источники, такие как натриевые лампы высокого давления и светодиоды. В пасмурные дни необходимо обеспечивать свет в зависимости от меняющихся условий в течение дня.
3.3. Анализ температуры
3.3.1. Зависящая от времени температура
На Рисунке 8 показано изменение средней температуры внутри солнечной теплицы в течение дня в различных погодных условиях. В солнечные дни температура постепенно снижалась с 14,1 °C в полночь до 12,0 °C к восходу солнца. После 7 утра температуры начали повышаться из-за роста наружной температуры и проникновения солнечной радиации в теплицу, достигнув пика 30,4 °C в 2 часа дня. После этого пика температура начала снижаться, с более медленной тенденцией охлаждения после захода солнца около 5 вечера. Напротив, в пасмурные дни температура падала более быстро после полуночи и начинала повышаться после восхода солнца. Она неуклонно повышалась с 10 утра до 1 часа дня, достигнув максимума 18,0 °C, прежде чем упасть до минимума 13,8 °C. Затем температура постепенно восстанавливалась после покрытия теплицы теплоизоляционным полотном.
Рисунок 8. Изменение температуры в плоскости солнечной теплицы при различной погоде: (a) солнечный день; (b) пасмурный день.
При любых погодных условиях внутренняя температура постоянно превышала внешнюю температуру. В ночное время, независимо от того, была ли погода солнечной или пасмурной, температурный дифференциал между внутренней и внешней средой составлял от примерно 10,4 °C до 17,7 °C. Однако в дневное время температурный разрыв был более выражен в солнечные дни, достигая максимума почти 27 °C в полдень. Напротив, в пасмурные дни наибольшая разница температур, наблюдаемая в течение дня, составляла около 13,5 °C, происходящая ближе к полудню.
3.3.2. Распределение температуры внутри теплицы
Распределение температуры в теплице в основном зависит от режимов солнечной радиации, теплового излучения от земли и стен, а также конвективного теплообмена между внутренней и наружной средами. Для исследования изменчивости температуры внутри солнечной теплицы область была разделена на три региона: юг, центр и север. Распределение температуры измерялось с помощью точечных датчиков области внутри модели теплицы. На Рисунке 9 показано распределение температуры в солнечный день, характеризующееся заметными различиями как в ориентации восток-запад, так и север-юг. В течение дня температурные различия между восточной и западной сторонами были более выраженными, чем между севером и югом. Утром, в 8 утра, низкая солнечная радиация приводила к значительным потерям тепла через переднюю кровельную мембрану на южной стороне. Между тем, северная стена, будучи относительно хорошо изолированной, позволяла накопленному теплу передаваться внутрь в виде теплового излучения и конвекции. Следовательно, распределение температуры с севера на юг демонстрировало снижение, с максимальной разницей температур 0,6 °C. С 10 утра до 2 часов дня интенсивность солнечной радиации увеличивалась, дополнительно влияя на температуры. Области, получающие высокую радиацию, испытывали более высокие температуры, что приводило к постепенному повышению температур с севера на юг. В ориентации восток-запад восточная сторона регистрировала значительно более высокие температуры, чем западная, из-за того, что утренний солнечный свет в основном освещал восточную часть теплицы. В 10 утра, 12 часов дня и 2 часа дня разницы температур север-юг составляли 0,7 °C, 0,9 °C и 0,8 °C соответственно. Напротив, разницы температур восток-запад были заметно больше, составляя 1,0 °C, 3,1 °C и 8,2 °C соответственно. К 4 часам дня, с движением солнца на запад, температуры на западной стороне теплицы начали превышать таковые на восточной стороне. Распределение температуры север-юг в восточном и западном регионах также показало различные модели: западная сторона достигала пика в центре, с более низкими температурами на севере и самыми низкими на юге. Напротив, восточная сторона демонстрировала постепенное снижение с юга на север.
Рисунок 9. Распределение температуры в различные периоды в солнечные дни.
На Рисунке 10 показано распределение температуры внутри теплицы в различные моменты времени в пасмурных условиях. В пасмурные дни интенсивность радиации внутри теплицы ниже и более равномерно распределена по сравнению с солнечными днями, что приводит к меньшим разницам температур по плоскости. Распределение температуры в направлении север-юг демонстрировало четкую модель изменения с течением времени, в основном зависящую от нескольких факторов, включая солнечную радиацию, конвективный теплообмен с передней крыши и тепловое излучение от стен. В 8 утра самая высокая температура была зарегистрирована в северном регионе, за которым следовал центральный регион, в то время как южный регион имел относительно низкие температуры. К полудню (12 часов дня) эта модель изменилась на противоположную, причем южный регион зарегистрировал самую высокую температуру, за ним следовал центральный регион, а северный регион испытал самую низкую температуру. Разницы температур между направлениями восток-запад и север-юг достигли пика в 12 часов дня, составляя 1,1 °C и 1,1 °C соответственно. К вечеру (4 часа дня) центральный регион снова имел самую высокую температуру, за ним следовал северный регион, в то время как южный регион оставался самым прохладным. Кроме того, примечательно, что преобладающим направлением ветра в тот день было восточное. Это метеорологическое условие повлияло на распределение температуры внутри теплицы, о чем свидетельствуют относительно низкие температуры возле восточной торцевой стены. Холодный воздух, приносимый восточным ветром, способствовал более выраженному охлаждающему эффекту в этой области.
Рисунок 10. Распределение температуры в различные периоды в пасмурные дни.
Согласно Таблице 4, равномерность температуры была наихудшей в момент, близкий к полудню, в солнечные дни, что совпадает с большими различиями в значениях температуры в различных регионах в это время дня, как упоминалось выше. Кроме того, сравнивая коэффициент вариации температур в течение всего дня в солнечные и пасмурные дни, мы обнаруживаем, что он, как правило, выше в солнечные дни, что представляет большую неоднородность температуры в солнечные дни.
Таблица 4. Коэффициент вариации температуры в различные периоды времени (%).
Идеальная температура для огурца варьируется на разных стадиях роста. В данном исследовании огурцы находятся на стадии рассады. Три ключевые температурные точки для роста огурцов следующие: нижняя температура развития составляет 13 °C, оптимальная нижняя температура — 28 °C, оптимальная верхняя температура — 32 °C, а верхний температурный предел — 40 °C [42]. В солнечные дни температура внутри теплицы, как правило, подходит для роста огурцов, за исключением полуденных часов, когда она имеет тенденцию быть выше. В течение пасмурного дня температуры, как правило, опускаются ниже оптимального нижнего предела для рассады огурцов, но остаются выше самого низкого порога развития. Поэтому обогрев следует применять в дневные часы в соответствии с распределением температуры. Для локального обогрева рекомендуются такие методы, как обогрев горячим воздухом или локальный обогрев горячей водой.
3.4. Анализ осуществимости модели и будущее применение
3.4.1. Анализ осуществимости
Модель, разработанная в данном исследовании, демонстрирует высокую общую точность в моделировании радиации и температуры, хотя требуются дальнейшие уточнения. Смоделированные данные по радиации были, как правило, выше измеренных данных в течение большей части дня, причем наибольшие расхождения отмечены между полуднем и послеполуденным временем. Конкретные условия в этот период требуют дальнейшего исследования для повышения точности модели путем уточнения таких параметров, как облачный покров, атмосферные условия и оптические свойства внутри теплицы. В моделировании температуры тенденции в смоделированных и измеренных данных были, как правило, согласованными. Однако смоделированные значения были заметно выше измеренных значений в определенные моменты времени, особенно во время пика температуры. Это несоответствие может проистекать из чувствительности алгоритма моделирования к определенным факторам окружающей среды или систематических ошибок в настройках среды моделирования. Будущие моделирования должны учитывать такие факторы, как свойства теплопередачи материалов покрытия теплицы, вариации внешних климатических условий и транспирация растений внутри теплицы.
3.4.2. Будущее применение
Микроклиматическая модель, использованная в данном исследовании, значительно улучшила точность модели по сравнению с предыдущими исследованиями моделирования за счет использования переходного моделирования с временным шагом 1 час. В будущем мы можем изучить стратегию моделирования виртуального датчика, установленную Cheng et al.: эта стратегия построила модель температуры внешней окружающей среды с помощью регрессионного анализа, использовала файлы UDF внешних переменных окружающей среды, генерируемые в реальном времени, в качестве входной информации для контроллера и динамически корректировала эти входные данные с помощью системы замкнутого контура управления ANSYS Fluent 19.0 для достижения эффективного мониторинга в реальном времени распределения окружающей среды внутреннего пространства теплицы [43]. Кроме того, микроклиматическая модель имеет потенциал для интеграции с системой управления для автоматизации управления внутренней средой теплицы. Как продемонстрировали Chalill et al. в своем исследовании: данные о погоде использовались как источник данных о внешней среде, в то время как точки мониторинга были расположены для сбора данных об окружающей среде внутри теплицы. Эти данные отслеживались в реальном времени и передавались в полностью автоматизированную систему управления климатом, а затем эти данные вводились в ANSYS FLUENT для моделирования и анализа. На основе результатов моделирования результаты распределения окружающей среды передавались обратно в систему кондиционирования воздуха и другие средства контроля окружающей среды [44].
В заключение, в будущих исследованиях мы будем учитывать больше факторов, таких как виды культур и материалы теплицы, и комбинировать данные о погоде с регрессионным анализом для построения более точной модели внешних факторов окружающей среды, которая будет вводиться в микроклиматическую модель в реальном времени. Сравнивая результаты моделирования с условиями окружающей среды, требуемыми для разных сортов культур и стадий роста, мы будем обеспечивать автоматическую обратную связь и использовать системы контроля окружающей среды (такие как системы охлаждения, дополнительного освещения и обогрева) для осуществления точного контроля окружающей среды с целью оптимизации среды выращивания культур.
4. Выводы
В данном исследовании была разработана физическая модель для анализа потока и теплопередачи в солнечной теплице, расположенной в городе Циндао, провинция Шаньдун. COMSOL MultiphysicsTM был использован для моделирования изменений планарной температуры и радиации с течением времени, а также их распределения в типичных зимних погодных условиях. Смоделированные значения были сравнены с измеренными данными, выявив максимальную RMSE для радиации и температуры 64,4 Вт·м⁻² и 4,4 °C соответственно. В целом, смоделированные значения тесно соответствовали измеренным данным, что указывает на успешное моделирование. Результаты моделирования показывают, что в солнечные зимние дни интенсивность радиации и температура поддерживались в идеальном диапазоне, необходимом для роста огурцов, большую часть дня. Напротив, в течение пасмурного дня интенсивность радиации была ниже, в то время как температура также была ниже оптимального нижнего температурного предела для роста огурцов. Пространственная неоднородность фототермической среды внутри солнечной теплицы была сильной. Независимо от погодных условий, распределение радиации было выше на юге, затем в центре и самым низким на севере. Разница была более выражена в солнечные дни. Температурные различия внутри теплицы также значительно варьировались с течением времени, причем более значительные вариации наблюдались в солнечные дни по сравнению с пасмурными, особенно в направлении восток-запад. В будущих исследованиях совершенно осуществимо достижение мониторинга в реальном времени пространственных параметров окружающей среды и проведение обратной связи систем контроля окружающей среды на этой основе.
Ссылки
1. Xu, D.M.; Fei, S.P.; Wang, Z.; Zhu, J.Y.; Ma, Y.T. Optimum design of Chinese solar greenhouses for maximum energy availability. Energy 2024, 304, 131980. [Google Scholar] [CrossRef]
2. Li, T.L.; Qi, M.F.; Meng, S.D. Sixty Years of Facility Horticulture Development in China: Achievements and Prospects. Acta Hortic. Sin. 2022, 49, 2119–2130. [Google Scholar] [CrossRef]
3. Li, T.L. Theory and Practice of Vegetable Cultivation in Solar Greenhouse; China Agriculture Press: Beijing, China, 2013; pp. 25–27. [Google Scholar]
4. Sonneveld, P.J.; Swinkels, G.L.A.M.; Campen, J.; Tuijl, B.A.J.; Janssen, H.J.J.; Bot, G.P.A. Performance results of a solar greenhouse combining electrical and thermal energy production. Biosyst. Eng. 2010, 106, 48–57. [Google Scholar] [CrossRef]
5. Ghasemi, M.H.; Ajabshirchi, Y.; Ranjbar, S.F.; Matloobi, M. Solar energy conservation in greenhouse: Thermal analysis and experimental validation. Renew. Energy 2016, 96, 509–519. [Google Scholar] [CrossRef]
6. Panwar, N.L.; Kaushik, S.C.; Kothari, S. Solar greenhouse an option for renewable and sustainable farming. Renew. Sustain. Energy Rev. 2011, 15, 3934–3945. [Google Scholar] [CrossRef]
7. Sun, J.I.; Gao, H.; Tian, L.; Wang, J.; Du, C.; Guo, S. Development status and trends of protected horticulture in China. Nanjing Agric. Univ. 2019, 42, 594–604. [Google Scholar] [CrossRef]
8. Wang, J.; Li, S.; Guo, S.; Ma, C.; Wang, J.; Jin, S. Simulation and optimization of solar greenhouses in northern Jiangsu province of China. Energy Build. 2014, 78, 143–152. [Google Scholar] [CrossRef]
9. Wei, R.J.; Wang, C.Y.; Fan, Z.L. Microclimate Characteristics Under Plastic Sunlight Greenhouse and Relationship with Macroclimate in Shijiazhuang Region in Winter. Meteorol. Mon. 2010, 36, 97–103. [Google Scholar]
10. Bruggink, G.T. A comparative analysis of the influence of light on growth of young tomato and carnation plants. Sci. Hortic. 1992, 51, 71–81. [Google Scholar] [CrossRef]
11. Ahn, S.J.; Im, Y.J.; Chung, G.C.; Cho, B.H.; Suh, S.R. Physiological responses of grafted-cucumber leaves and rootstock roots affected by low root temperature. Sci. Hortic. 1999, 81, 397–408. [Google Scholar] [CrossRef]
12. Xu, G.B.; Meng, J.J. The impact of cold damage on winter vegetable production in solar greenhouses. Chin. Veg. 2004, 6, 35–37. [Google Scholar]
13. Zhou, H. Preventive Measures and Remedies for Greenhouse Vegetable Snow Damage, Cold Damage in South China. J. Agric. Catastrophol. 2012, 2, 39–41. [Google Scholar]
14. Fu, H.Q.; Chen, C.; Niu, X.C.; Han, F.T.; Mi, X.; Jiao, Y.X.; Li, G.C. Determining the optimum span of a solar greenhouse. Sol. Energy 2023, 263, 111815. [Google Scholar] [CrossRef]
15. Gao, L.H.; Qu, M.; Ren, H.Z.; Sui, X.L.; Chen, Q.Y.; Zhang, X.Z. Structure, function, application, and ecological benefit of a single-slope, energy efficient solar greenhouse in China. Technol. Prod. Rep. 2010, 20, 626–631. [Google Scholar] [CrossRef]
16. Tong, G.H.; Christopher, D.M. Temperature variations in energy storage layers in Chinese solar greenhouse walls. Trans. Chin. Soc. Agric. Eng. 2019, 35, 170–177. [Google Scholar]
17. Li, M.; Zhou, C.J.; Ding, X.M.; Wei, X. Heat insulation and storage performances of polystyrene-brick composite wall in Chinese solar greenhouse. Trans. Chin. Soc. Agric. Eng. 2016, 32, 200–205. [Google Scholar]
18. Tong, G.H.; Christopher, D.M.; Zhao, R.; Wang, J. Effect of location and distribution of insulation layers on the dynamic thermal performance of Chinese solar greenhouse walls. Appl. Eng. Agric. 2014, 30, 457–469. [Google Scholar]
19. Huang, L.; Deng, L.H.; Li, A.G.; Gao, R.; Zhang, L.H.; Lei, W.J. Analytical model for solar radiation transmitting the curved transparent surface of solar greenhouse. J. Build. Eng. 2020, 32, 101785. [Google Scholar] [CrossRef]
20. Li, T.; Zhang, Y.Q.; Zhang, Y.; Cheng, R.F.; Yang, Q.C. Light distribution in Chinese solar greenhouse and its effect on plant growth. Int. J. Hort. Sci. Technol. 2016, 3, 99–111. [Google Scholar] [CrossRef]
21. Boulard, T.; Wang, S.J. Radiactive and convective heterogeneity in a plastic tunnel: Consequences on crop transpiration. Plasticulture 2002, 121, 23–35. [Google Scholar]
22. Bot, G.P. Developments in indoor sustainable plant production with emphasis on energy saving. Comput. Electron. Agric. 2001, 30, 151–165. [Google Scholar] [CrossRef]
23. Jiang, W.J.; Deng, J.; Yu, H.J. Development situation, problems and suggestions on industrial development of protected horticulture. Sci. Agric. Sin. 2015, 48, 3515–3523. [Google Scholar]
24. Tong, G.H.; Christopher, D.M.; Li, B. Numerical modelling of temperature variations in a Chinese solar greenhouse. Comput. Electron. Agric. 2009, 68, 129–139. [Google Scholar] [CrossRef]
25. Bot, G.P.A. Greenhouse Climate: From Physical Processes to a Dynamic Model. Ph.D. Thesis, Wageningen University, Wageningen, The Netherlands, 1983. [Google Scholar]
26. Berroug, F.; Lakhal, E.K.; Omari, M.E.; Faraji, M.; Qarnia, H.E. Thermal performance of a greenhouse with a phase change material north wall. Energy Build. 2011, 43, 3027–3035. [Google Scholar] [CrossRef]
27. Majdoubi, H.; Boulard, T.; Fatnassi, H.; Bouirden, L. Airflow and microclimate patterns in a one-hectare canary type greenhouse: An experimental and cfd assisted study. Agric. For. Meteorol. 2009, 149, 1050–1062. [Google Scholar] [CrossRef]
28. Theodore, L.B.; Adrienne, S.L.; Frank, P.I.; David, P.D. Fundamentals of Heat and Mass Transfer, 7th ed.; Wiley: Hoboken, NJ, USA, 2006; pp. 517–552. [Google Scholar]
29. Tao, W.S. Numerical Heat Transfer, 2nd ed.; Xi’an Jiaotong University Press: Xi’an, China, 2001; pp. 483–507. [Google Scholar]
30. Wu, X.Y.; Liu, X.G.; Yue, X.; Xue, H.; Li, T.L.; Li, Y.M. Effect of the ridge position ratio on the thermal environment of the Chinese solar greenhouse. R. Soc. Open Sci. 2021, 8, 201707. [Google Scholar] [CrossRef]
31. Xu, H.J.; Cao, Y.F.; Li, Y.R.; Alapati, G.J.; Jiang, W.J.; Zou, Z. Determination of thickness of thermal storage layer of solar greenhouse wall based on CFD. Trans. Chin. Soc. Agric. Eng. 2019, 35, 175–184. [Google Scholar]
32. Yu, W.; Liu, W.H.; Bai, Y.K.; Ding, X.M. Simulating thermal environment in a two-span solar greenhouse using CFD. Trans. Chin. Soc. Agric. Eng. 2023, 39, 215–222. [Google Scholar]
33. Vladimír, G.; Katerina, S.; Martin, Z. COMSOL Multiphysics validation as simulation software for heat transfer calculation in buildings: Building simulation software validation. Meas. J. Int. Meas. Confed. 2013, 46, 2003–2012. [Google Scholar] [CrossRef]
34. Li, H.F.; Wu, J.C.; Liu, J.B.; Liang, Y.B. Finite element mesh generation and decision criteria of mesh quality. China Mech. Eng. 2012, 23, 368–377. [Google Scholar]
35. Ali, P.; Saud, G. Evaluation of a novel greenhouse design for reduced cooling loads during the hot season in subtropical regions. Sol. Energy 2019, 181, 234–242. [Google Scholar]
36. Román-Roldán, N.I.; Yudonago, J.F.; López-Ortiz, A.; Rodríguez-Ramírez, J.; Sandoval-Torres, S. A new air recirculation system for homogeneous solar drying: Computational fluid dynamics approach. Renew. Energy 2021, 179, 1727–1741. [Google Scholar] [CrossRef]
37. Edwin, V.; Juan, C.H.; German, F. Thermo-environmental performance of four different shapes of solar greenhouse dryer with free convection operating principle and no load on product. Fluids 2021, 6, 183. [Google Scholar] [CrossRef]
38. Mohammad, A.; Can, D.M.; Javadi, A.A.; Akbar, A.; Alaa, H.; Hassan, E.S.; Mahdieh, D.; Raziyeh, F.; Ramy, H.; Abdelazim, N. Analysis of inlet configurations on the microclimate conditions of a novel standalone agricultural greenhouse for egypt using computational fluid dynamics. Sustainability 2021, 13, 1446. [Google Scholar] [CrossRef]
39. Ma, J.Y.; Liang, H.; Luo, Y.; Li, S.K. Variation trend of direct and diffuse radiation in China over recent 50 years. Acta Phys. Sin. 2011, 60, 853–866. [Google Scholar]
40. Zou, Z.R.; Shao, X.H. Facility Agriculture Engineering; China Agriculture Press: Beijing, China, 2008. [Google Scholar]
41. Cecilia, S.; Bert, V.O.; Ep, H. Greenhouse Horticulture: Crop Production Optimization Techniques; The Oriental Press: Beijing, China, 2022; pp. 27–39. [Google Scholar]
42. Shang, Q.M.; Gao, L.H.; Wang, H.S. Production Techniques for Cucumber Without Social Effects of Pollution; China Agriculture Press: Beijing, China, 2003; pp. 21–24. [Google Scholar]
43. Cheng, X.; Li, D.M.; Shao, L.M.; Ren, Z.H. A virtual sensor simulation system of a flower greenhouse coupled with a new temperature microclimate model using three-dimensional CFD. Comput. Electron. Agric. 2021, 181, 105934. [Google Scholar] [CrossRef]
44. Chalill, S.M.; Chowdhury, S.; Karthikeyan, R. Prediction of key crop growth parameters in a commercial greenhouse using CFD simulation and experimental verification in a pilot study. Agriculture 2021, 11, 658. [Google Scholar] [CrossRef]
Liu H, Meng F, Yan Z, Shi Y, Tian S, Yang Y, Li X. Dynamic Simulation of Photothermal Environment in Solar Greenhouse Based on COMSOL Multiple Physical Fields. Agriculture. 2025; 15(2):187. https://doi.org/10.3390/agriculture15020187
Перевод статьи «Dynamic Simulation of Photothermal Environment in Solar Greenhouse Based on COMSOL Multiple Physical Fields» авторов Liu H, Meng F, Yan Z, Shi Y, Tian S, Yang Y, Li X., оригинал доступен по ссылке. Лицензия: CC BY. Изменения: переведено на русский язык
Фото: freepik



















Комментарии (0)