Как сельское хозяйство превращает Чэнду в город-парк
Развитие парковых городов является важным направлением для более полного удовлетворения стремления людей к лучшей жизни, содействия устойчивому социальному развитию и продвижения трансформации зеленых экологических ценностей. Будучи базовой отраслью для устойчивого развития, интеграция сельского хозяйства и городского строительства представляет собой важный путь к формированию экологической цивилизации. Выяснение взаимосвязи между парковым городом и зеленым развитием сельского хозяйства имеет большое значение для создания зеленой основы и экологической системы города, устойчивого развития сельского хозяйства, а также интегрированного развития городских и сельских территорий.
Аннотация
Чэнду является мегаполисом в западном Китае, инициированная им программа строительства паркового города уникальна для китайского городского развития и служит пионерным примером строительства городской экологической цивилизации. Взяв за пример Чэнду и объединив данные по другим городам окружного значения провинции Сычуань, в данном исследовании была изучена корреляция и взаимодействие между зеленым развитием сельского хозяйства и строительством паркового города в Чэнду и других городах провинции Сычуань с 2011 по 2022 год на основе анализа степени согласованности, серой корреляции и пространственной автокорреляции. Результаты показали следующее: (1) На основе энтропийного метода уровень зеленого развития сельского хозяйства в Чэнду вырос с 0,353 в 2011 году до 0,537 в 2022 году, а уровень строительства паркового города – с 0,368 до 0,826. Оба показателя в целом демонстрируют восходящую тенденцию. (2) Степень согласованности между уровнями строительства паркового города и зеленого развития сельского хозяйства повысилась с 0,600 до 0,816, совершив скачок от базовой согласованности к хорошей согласованности, при этом степень сопряженности постоянно оставалась на высоком уровне. (3) На основе серой корреляции, в процессе влияния зеленого развития сельского хозяйства на строительство паркового города, степень корреляции факторов влияния по каждому индикатору в основном превышает 0,5, и каждый фактор вносит существенный вклад в уровень строительства паркового города. (4) Пространственный автоанализ показывает, что на степень согласованности зеленого развития сельского хозяйства и строительства паркового города в данном регионе влияют соседние регионы. Таким образом, мы полагаем, что зеленое развитие сельского хозяйства играет более заметную роль в стимулировании и распространении влияния на строительство паркового города и может эффективно способствовать экономической, социальной и экологической модернизации в процессе этого строительства.
1. Введение
В условиях усложняющейся международной обстановки и изменений в экономическом и социальном развитии урбанизация Китая вступила в плато, и модель развития, односторонне преследующая финансовую выгоду от городских земель, больше не является устойчивой. Городскому развитию необходимо перейти от экономической ориентации к человеко-ориентированной, от простого экстенсивного развития к интенсивному развитию и реализовать ценностный сдвиг от ориентации на городское строительство к ориентации на городское управление. В этом контексте возникла идея паркового города, характеризующаяся экологическим приоритетом и человеко-центрированными принципами. Концепция паркового города восходит к идеальному городу-государству, описанному итальянским философом Кампанеллой в «Городе Солнца», и «Городу-саду» Эбенизера Говарда, предложенному в книге «Города-сады будущего». Оба подхода выступали за преодоление изоляции между городскими и сельскохозяйственными зонами развития для достижения сбалансированного развития. Строительство паркового города направлено на решение «городских болезней», возникших в результате традиционного экстенсивного развития, достигая взаимовыгодной ситуации между экономическим и социальным развитием и охраной окружающей среды. Одновременно, по мере прогресса в интеграции города и деревни, роль сельского хозяйства вокруг города претерпела значительные изменения с течением времени, чтобы соответствовать потребностям развития городских отраслей и услуг [1,2]. Сельское хозяйство не только обеспечивает город свежей сельскохозяйственной продукцией и промышленным сырьем, но также предоставляет городским жителям места для отдыха и развлечений, обеспечивает продовольственную безопасность и способствует озеленению городских территорий в пригородах [3]. Таким образом, сельское хозяйство является не только неотъемлемой частью городской экономики и экологической системы, но и предпосылкой для оптимизации экологической среды парковых городов и повышения уровня их комфортности для проживания [4]. В 2022 году План реализации по содействию зеленому развитию городского и сельского строительства, изданный Канцелярией Всеобщего комитета партии провинции Сычуань и Канцелярией провинциального правительства, подчеркнул, что провинция Сычуань будет не только поддерживать Чэнду в создании демонстрационной зоны паркового города, воплощающей новую парадигму развития, но и продвигать защиту и восстановление городских экосистем по всей провинции. Впоследствии «14-я пятилетка» для строительства и развития паркового города Чэнду дополнительно сформулировала интеграцию зеленых ресурсов, таких как экологическое сельское хозяйство, в новые экономические сектора и бизнес-модели. Продвижение зеленого развития сельского хозяйства является важнейшим средством решения экологических проблем городской среды и проблем нехватки ресурсов в сельской местности. Кроме того, это также способ удовлетворения растущего спроса на лучшую жизнь как сельского, так и городского населения [5].
В истории Китайской Народной Республики сельское хозяйство и сельские районы не раз помогали городской экономике и обществу преодолевать кризисы [6]. Исходя из текущей ситуации, отношения между городом и деревней вступают в новый этап. Сельские районы больше не являются просто источниками снабжения для городов, но все больше становятся экологической основой для городского развития [7]. Сельское хозяйство и сельские районы предоставляют городам ценные пространства для поглощения загрязняющих веществ, способствуя смягчению городских экологических проблем [8]. Эта взаимовыгодная модель не только способствует всестороннему устойчивому развитию, но и предлагает более разнообразный и пригодный для жизни образ жизни как для городских, так и для сельских жителей [9]. Таким образом, строительство парковых городов должно отойти от традиционного пути изолированного городского и сельского развития, опираясь на сильные стороны сельского хозяйства и сельских районов. Сельское хозяйство следует рассматривать как «стратегического партнера», работая вместе над созданием нового видения городского и сельского развития, которое будет пригодным для жизни, благоприятным для бизнеса, зеленым и гармоничным.
2. Обзор литературы
В 2018 году Генеральный секретарь Си впервые предложил концепцию «паркового города» в Чэнду. С тех пор в академических кругах был проведен ряд исследований, касающихся истоков концепции паркового города [10,11], ее идеологических коннотаций [12,13,14] и практических путей реализации [15,16]. Следует отметить, что любая новая концепция не возникает на пустом месте и должна иметь глубокую основу для своего формирования. Изучая процесс развития китайских и зарубежных городов, некоторые ученые выдвинули предположение, что важными причинами возникновения парковых городов являются всплеск социальных проблем со здоровьем в городах и ухудшение городской среды обитания, вызванные быстрой урбанизацией. Фактически, концепция паркового города в высокой степени согласуется с концепцией равенства человека и природы в период аграрной цивилизации в Китае. Видно, что концепция паркового города является не только инновацией концепции развития города индустриальной цивилизации, но и наследованием и развитием натурфилософской мысли древних философов о «гармонии между небом и человеком» [17]. Концептуально строительство паркового города подчеркивает человеко-ориентированный подход, ставит во главу угла защиту окружающей среды и выступает за осторожный и дружественный подход к отношениям между человеком и природой [18]. План строительства паркового города интегрирует природные ландшафты в город, а также делает акцент на зеленом и низкоуглеродном образе жизни и городских режимах функционирования [19]. Некоторые другие исследования указали, что парковым городам необходимо строить фундамент на основе экологии и идти по пути зеленого развития [20,21]. Важно отметить, что городское экологическое строительство в значительной степени зависит от развития экологического сельского хозяйства [22]. Сельское хозяйство, расположенное в черте города и в пригородных зонах, является важной основой для повышения несущей способности городской экологии и содействия зеленому образу жизни в городе [23].
На современное сельское хозяйство влияет общий уровень экономического и социального развития. Современное сельское хозяйство, представленное зеленым сельским хозяйством, как никогда тесно связано с городской экономикой и экосистемами. Сельское хозяйство на окраинах городов (например, крупное фермерство в пригородных зонах) и сельское хозяйство внутри городов (например, мелкомасштабные сельскохозяйственные проекты, использующие крыши и фасады городских зданий) глубоко связаны с городскими экосистемами. Сельское хозяйство влияет на функционирование городов прямыми и косвенными способами. Помимо предоставления городу продуктов и рынков, часть экологической несущей способности сельского хозяйства способствует поглощению городских выбросов парниковых газов. Пригородное и внутригородское сельское хозяйство тесно зависит от города и обслуживает его. Когда мы говорим о взаимосвязи между парковыми городами и сельским хозяйством, легко естественным образом подумать о сельском хозяйстве в мегаполисе (внутригородских сельскохозяйственных программах). Важно отметить, что под сельским хозяйством в данном исследовании подразумевается включение внутригородского, пригородного и пери-урбанизированного сельского хозяйства как единого целого.
Будучи специфической формой высококачественного сельскохозяйственного развития, зеленое развитие сельского хозяйства означает использование более экологичных и более эффективных методов ведения сельского хозяйства и управления полями, которые могут эффективно и безопасно обеспечивать местное продовольственное снабжение [24,25]. По мере развития социальной экономики функции сельского хозяйства значительно изменились [26,27]; наряду с повышением уровня урбанизации производственные и бытовые функции сельского хозяйства постепенно ослабевают, в то время как его рекреационные, досуговые, экологические, образовательные и другие функции постепенно выходят на первый план [28,29]. Сельские и аграрные сектора, воспринявшие концепцию зеленого развития, поставляют в город свежее мясо, яйца, молоко, овощи и основные продукты питания, обеспечивая базовую защиту здоровья городских жителей [30,31]. В то же время такой подход снижает потери, затраты и выбросы углерода, связанные с межрегиональной продовольственной логистикой, повышая как экономическую эффективность, так и экологическую устойчивость сельскохозяйственной продукции [32,33]. Международный опыт развития некоторых городов также показывает, что сельское хозяйство в процессе зеленого развития, обеспечивая зеленой и высококачественной сельскохозяйственной продукцией, удовлетворяя индивидуальные потребности жителей, одновременно играет роль в улучшении городской среды [34], способствуя достижению высококачественной городской-сельской интеграции в городах-метрополиях [35]. Очевидно, что зеленое развитие сельского хозяйства служит фундаментальной основой для зеленого развития города и обеспечивает практическую поддержку для реализации концепции паркового города [36]. Кроме того, выступая в качестве обширного рынка для городской продукции, значительное количество передовых технологий и инноваций, зарождающихся в городах, передаются в сельские районы [37,38], предоставляя как техническую, так и продуктовую поддержку для зеленого, цифрового и высококачественного развития сельских секторов [39,40]. Этот процесс повышает потенциал зеленого производства сельских и аграрных отраслей, дополнительно способствуя развитию паркового города и создавая самоподдерживающийся цикл для его дальнейшего роста.
Таким образом, изучение взаимосвязи между парковыми городами и сельским хозяйством стало горячей темой в современных исследованиях городского развития и модернизации сельского хозяйства. Однако количественных исследований по развитию парковых городов с точки зрения влияния сельского хозяйства все еще недостаточно. Данное исследование будет проведено на примере Чэнду, первого города Китая с планом строительства паркового города, а также объединит данные других городов окружного значения провинции Сычуань (за исключением Нгава-Тибетско-Цянского автономного округа, Гардзе-Тибетского автономного округа и Ляншань-Ийского автономного округа) для построения оценочной индексной системы для зеленого развития сельского хозяйства и строительства паркового города. Измеряя уровни зеленого развития сельского хозяйства и развития паркового города в Чэнду и его окрестностях с 2011 по 2022 год, мы анализируем согласованную и скоординированную связь между ними, исследуем взаимодействие и пространственную автокорреляцию между зеленым развитием сельского хозяйства и развитием паркового города, а также выявляем эффект пространственной агрегации и закон взаимного влияния между различными районами. Предлагается системный путь содействия скоординированному развитию сельского хозяйства и паркового города в надежде предоставить опыт для других регионов с аналогичными планами развития, стремящихся стать парковым городом.
3. Методы и данные
3.1. Обзор района исследования
Провинция Сычуань, расположенная на юго-западе Китая, является важной сельскохозяйственной провинцией Китая. Благодаря своим богатым сельскохозяйственным ресурсам и практике зеленого развития, Сычуань играет важную роль в зеленом развитии сельского хозяйства. Известный как «Земля изобилия», Чэнду (в данном исследовании Чэнду относится к Чэндуской равнине и прилегающим районам, включая 5 центральных городских округов и 15 окрестных уездов и городов) расположен в центральной части провинции Сычуань, Западный Китай. Он известен как «Небесная земля» благодаря своим богатым региональным ресурсам. Географическое положение Чэнду можно увидеть на Рисунке 1. Это не только экономический центр Юго-Западного Китая, но и пионер и демонстрационная зона строительства паркового города. На конец 2022 года общая численность населения Чэнду составляла 21,268 миллиона человек, уровень урбанизации — 79,9%, а ВВП — 20,8175 триллиона юаней (Данные: Бюро статистики Чэнду, https://cdstats.chengdu.gov.cn/cdstjj/c154795/2023-03/25/content_c2016a5d71b24884835ddb8ea0bfbe1a.shtml (доступ осуществлен 25 марта 2023 года)). В 2007 году Чэнду создал Пилотную зону всесторонней реформы городского и сельского развития, установив ориентацию развития на всемирно-современный идиллический город, что заложило хорошую основу для строительства паркового города на более позднем этапе.
Рисунок 1. Расположение города Чэнду.
Будучи первым городом, предложившим концепцию «паркового города», Чэнду имеет обширную сельскую периферию. В рамках стратегических целей обеспечения продовольственной безопасности и строительства экологической цивилизации строительство паркового города в Чэнду получило большое внимание всего общества. Строительство паркового города в Чэнду является пилотным внедрением и типичным примером пути строительства экологической цивилизации с точки зрения развития города. Изучение роли сельского хозяйства в продвижении экономики, общества и экологии в процессе развития паркового города и выяснение взаимосвязи между зеленым развитием сельского хозяйства и развитием паркового города имеет большое значение для обеспечения импульса строительству паркового города с сельскохозяйственной точки зрения.
3.2. Система оценки зеленого развития сельского хозяйства и паркового города в Чэнду
Выбор индикаторов исследования следует принципам доступности данных, научности и простоты. Выбор индикаторов опирается на некоторые существующие результаты исследований и сочетается с местными политическими документами «14-й пятилетки для строительства и развития паркового города Чэнду». Основываясь на коннотации паркового города, данное исследование выбирает три первичных индикатора: среда обитания, городская экологическая среда и состояние зеленого производства. Мы также выбрали 13 вторичных индикаторов для отражения уровня развития паркового города, таких как площадь зеленых насаждений парков на душу населения в застроенных районах и доля зеленых насаждений в застроенных районах [41,42], как показано в Таблице 1. Одновременно, основываясь на понимании коннотации зеленого развития сельского хозяйства, данное исследование строит 4 первичных индикатора и 13 вторичных индикаторов по измерениям ресурсосбережения, экологического сохранения, эффективного развития и зеленой жизни в качестве системы индикаторов для измерения уровня зеленого развития сельского хозяйства [43,44], как показано в Таблице 2.
Таблица 1. Индикаторы развития паркового города.
Таблица 2. Индикаторы зеленого развития сельского хозяйства.
3.3. Установление весов с помощью энтропийного метода
Энтропийный метод является объективным методом присвоения весов. Он определяет веса индикаторов на основе информации, предоставленной наблюдаемыми значениями каждого индикатора [45]. В контексте этого исследования он помогает нам присвоить соответствующие веса различным индикаторам, связанным с зеленым развитием сельского хозяйства и развитием паркового города. Поскольку конкретные индикаторы для оценки уровня зеленого развития сельского хозяйства и уровня развития паркового города существенно различаются с точки зрения величины и единицы измерения, нам необходимо стандартизировать индикаторы двух оценочных систем. Конкретные шаги стандартизации следующие:
Стандартизация данных:
В уравнениях (1) и (2) i представляет год (i = 1, 2, ..., n), j представляет индикатор j (j = 1, 2, ..., m). X представляет значение индикатора, Z_ij представляет стандартизированное значение индикатора j, а max(X_ij) и min(X_ij) представляют максимальное и минимальное значения данных индикатора соответственно.
Энтропия для индикатора j рассчитывается по формуле (3):
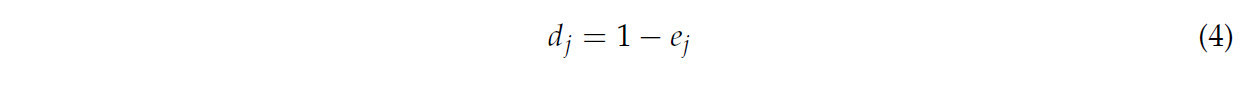
В уравнении (3) P_ij = X_ij / Σ_{i=1}^{n} X_ij обозначает долю индикатора j в i-м году для этого индикатора, где n — количество образцов. Поскольку полезность данных исследовательского индикатора зависит от разницы между информационной энтропией индикатора e_j и 1, коэффициент вариации рассчитывается, как показано в уравнении (4):
Формула для определения весов индикаторов показана в уравнении (5):
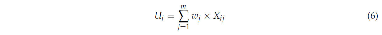
Формула для расчета комплексной оценки показана в уравнении (6):
3.4. Анализ серой корреляции
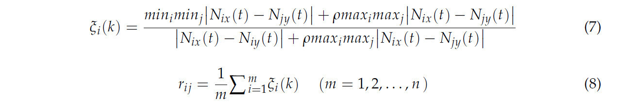
Анализ серой корреляции — это метод измерения степени корреляции различных факторов, основанный на степени сходства или различия тенденций между факторами. Мы можем охарактеризовать степень связи и эволюционную тенденцию между двумя системами зеленого развития сельского хозяйства и развития паркового города путем расчета коэффициентов серой корреляции между каждым индикатором в рамках систем оценки уровня зеленого развития сельского хозяйства и развития паркового города [46]. Это может помочь в исследовании временной взаимосвязи между зеленым развитием сельского хозяйства и развитием паркового города, особенно когда данные неполны или неопределенны. Этот метод количественно определяет степень корреляции между двумя переменными путем сравнения их моделей изменения во времени. Формула расчета коэффициента корреляции показана в уравнении (7), а формула расчета степени ассоциации показана в уравнении (8):
В уравнениях (7) и (8) N_ix(t) и N_jy(t) — это значение зеленого развития сельского хозяйства и стандартизированные значения индикаторов развития паркового города в году t, m — количество образцов, а ρ — коэффициент суждения со значением в диапазоне (0, 1). Как правило, коэффициент суждения принимает значение 0,5. Через размер серой корреляции зеленого развития сельского хозяйства и каждого индекса развития паркового города мы можем получить предварительное определение степени взаимного влияния между зеленым развитием сельского хозяйства и развитием паркового города. Если r_ij = 1, это указывает на то, что два фактора демонстрируют идеальное совпадение в своей динамике развития; чем больше значение r_ij, тем сильнее степень корреляции; чем меньше значение r_ij, тем слабее степень корреляции между двумя системами.
3.5. Модель связанной согласованности
Концепция связанности происходит из физики. Степень связанности является важным индексом, отражающим степень взаимозависимости и взаимного влияния между системами или элементами. Степень связанности в основном используется для измерения синергетического эффекта между последовательными коэффициентами внутри двух или более систем или элементов, с целью выяснения их связанной взаимосвязи, а также общей согласованности [47]. Степень согласованности связи помогает измерить уровень согласованности между зеленым развитием сельского хозяйства и развитием паркового города, показывая их взаимное влияние на разных этапах развития. В частности, степень согласованности связи отражает степень выравнивания и общий уровень развития между двумя системами в течение заданного периода, предлагая более глубокое понимание взаимодействия между зеленым развитием сельского хозяйства и строительством паркового города. Чтобы дополнительно судить об уровне зеленого развития сельского хозяйства и развития паркового города в разные годы, мы можем построить модель степени согласованности связи, как показано в уравнениях (9) и (10):
В уравнениях (9) и (10) U_1 и U_2 — это комплексные уровни оценки зеленого развития сельского хозяйства и развития паркового города соответственно. C — степень связанности зеленого развития сельского хозяйства и развития паркового города; диапазон значений C составляет 0 ≤ C ≤ 1, и чем больше C, тем больше степень связанности систем зеленого развития сельского хозяйства и развития паркового города. D — степень согласованности связи зеленого развития сельского хозяйства и развития паркового города. F — комплексный индекс оценки зеленого развития сельского хозяйства и развития паркового города, и он отражает вклад общего уровня зеленого развития сельского хозяйства и развития паркового города в степень согласованности. α и β — коэффициенты, подлежащие определению, и в расчете α и β присваивается значение 0,5. Чтобы точно измерить стадию и тип согласованного развития зеленого развития сельского хозяйства и развития паркового города, ссылаясь на существующие исследования [48], степень согласованности связи можно разделить на 10 уровней, как показано в Таблице 3.
Таблица 3. Индексная система степени согласованности связи.
3.6. Тест пространственной автокорреляции
Анализ пространственной автокорреляции используется для изучения пространственной зависимости между наблюдениями в пространственных данных, в частности, проверяя, коррелирует ли значение данного региона со значением его соседних регионов. В этом исследовании индекс Морана I используется для оценки пространственной автокорреляции между уровнями связанности развития паркового города и зеленого развития сельского хозяйства в различных регионах. Этот подход позволяет нам выявить модели пространственной агломерации и региональные диспропорции в степени связанности, предоставляя эмпирические доказательства для дальнейшего изучения совместного продвижения строительства паркового города и зеленого развития сельского хозяйства. Формула расчета следующая:
В уравнении (11) n представляет количество городов окружного значения; W_ij обозначает матрицу пространственных весов, отражающую пространственную или экономическую географию; D_i и D_j представляют степень согласованности связи регионов i и j соответственно; а i относится к городу окружного значения, соседнему с городом j. Как правило, индекс Морана I попадает в диапазон (-1, 1). Когда Moran's I > 0, это указывает на положительную пространственную автокорреляцию между индексом согласованности связи развития паркового города и зеленого развития сельского хозяйства. И наоборот, когда Moran's I < 0, это предполагает отрицательную пространственную автокорреляцию между индексом согласованности связи развития паркового города и зеленого развития сельского хозяйства.
3.7. Источники данных
Период исследования этой статьи охватывает 2011-2022 годы. Учитывая, что уровни зеленого развития сельского хозяйства в Нгава-Тибетско-Цянском автономном округе, Гардзе-Тибетском автономном округе и Ляншань-Ийском автономном округе относительно низки и подвержены сильному влиянию уникальных географических и экономических факторов, существуют значительные различия в связанности между зеленым развитием сельского хозяйства и развитием паркового города в этих регионах по сравнению с другими городами провинции Сычуань. Чтобы обеспечить репрезентативность и сопоставимость этого исследования, оно исключает эти три региона и фокусируется на анализе данных из других городов окружного значения в пределах провинции. Данные по таким оценочным индексам, как посевная площадь сельскохозяйственных культур, площадь пахотных земель, производительность труда и расходы на НИОКР, в основном взяты из Статистического ежегодника Сычуани. Данные по сельскохозяйственному ВВП и располагаемому доходу на душу населения городских жителей в основном взяты из Статистического ежегодника Чэнду. Такие индикаторы, как количество дней с хорошим качеством атмосферного воздуха, доля зеленых насаждений в застроенных районах, общественные рекреационные зеленые зоны на душу населения и уровень очистки сточных вод, в основном взяты из Статистического бюллетеня национального экономического и социального развития Чэнду за 2011-2022 годы.
4. Результаты
4.1. Временные характеристики уровня зеленого развития сельского хозяйства в городах окружного значения провинции Сычуань
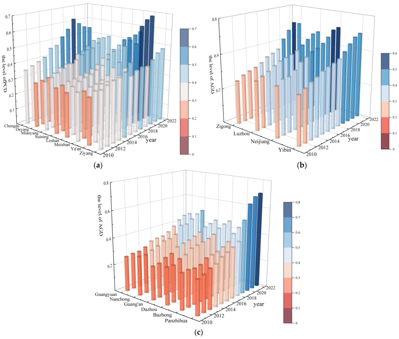
Основываясь на построенной в предыдущем разделе системе оценки индикаторов зеленого развития сельского хозяйства, результаты энтропийного метода могут быть использованы для оценки уровня зеленого развития сельского хозяйства в городах окружного значения провинции Сычуань, а также его тенденции изменения и региональных различий с 2011 по 2022 год. В этой статье Сычуань разделена на три основные экономические зоны, а именно Экономическую зону Чэндуской равнины (Рисунок 2а), Экономическую зону Южного Сычуаня (Рисунок 2б) и Экономическую зону Северо-Восточного Сычуаня и Паньчжихуа (Рисунок 2в), чтобы более всесторонне проанализировать уровни зеленого развития сельского хозяйства в этих регионах. В целом, с 2011 по 2022 год уровень зеленого развития сельского хозяйства в большинстве городов Сычуани демонстрировал стабильный рост. Однако существуют значительные различия как в скорости, так и в общих уровнях развития между городами. На ранних этапах уровень зеленого развития сельского хозяйства в большинстве городов повышался, но темпы роста были относительно медленными, среднегодовой темп роста обычно составлял ниже 5%. После 2016 года темпы зеленого развития сельского хозяйства ускорились в большинстве городов Сычуани. Это ускорение может быть связано с Мнениями по реализации ускорения трансформации модели развития сельского хозяйства, изданными Народным правительством провинции Сычуань в 2015 году, которые подчеркивали пять принципов ускорения развития сельского хозяйства, особенно фокусируясь на экологически чистых и ресурсосберегающих методах производства. С реализацией этой политики эффективность использования сельскохозяйственных ресурсов и предложение зеленой продукции в городах окружного значения постепенно улучшились. В течение исследуемого периода Экономическая зона Чэндуской равнины (Рисунок 2а), которая начала развиваться раньше, демонстрировала относительно стабильные темпы роста, хотя в последние годы они замедлились, а средний уровень зеленого развития сельского хозяйства увеличился с 0,309 до 0,519. С 2011 по 2022 год средний уровень зеленого развития сельского хозяйства в Экономической зоне Южного Сычуаня вырос с 0,276 до 0,491 (Рисунок 2б), что отражает средний уровень для Сычуани в целом, но демонстрирует ускоренную тенденцию роста с 2016 года. Хотя зеленое развитие сельского хозяйства в Экономической зоне Северо-Восточного Сычуаня и Паньчжихуа началось относительно поздно, в последние годы проявился значительный потенциал. В частности, Паньчжихуа пережил заметный рост с 0,253 в 2011 году до 0,706 в 2022 году, что составляет рост на 179%.
Рисунок 2. Комплексный уровень зеленого развития сельского хозяйства и изменения его подсистем в городах окружного значения провинции Сычуань с 2011 по 2022 год. (a) Уровень зеленого развития сельского хозяйства городов окружного значения в Экономической зоне Чэндуской равнины с 2011 по 2022 год; (b) Уровень зеленого развития сельского хозяйства городов окружного значения в Экономической зоне Южного Сычуаня с 2011 по 2022 год; (c) Уровень зеленого развития сельского хозяйства городов окружного значения в Экономической зоне Северо-Восточного Сычуаня и Паньчжихуа с 2011 по 2022 год.
Что касается развития Чэнду, это исследование показало, что комплексный уровень зеленого развития сельского хозяйства в Чэнду с 2011 по 2022 год демонстрирует четкую восходящую тенденцию, увеличившись с 0,353 в 2011 году до 0,537 в 2022 году, что в целом составляет рост на 52%. Из результатов измерения уровня зеленого развития сельского хозяйства Чэнду (Рисунок 3) мы можем примерно разделить зеленое развитие сельского хозяйства на два этапа. Первый этап приходится на период с 2011 по 2019 год. В этот период уровень зеленого развития сельского хозяйства демонстрирует устойчивую тенденцию к росту и достигает 0,619 в 2019 году, что на 75,5% больше по сравнению с 2011 годом. На втором этапе, начиная с 2020 года, уровень зеленого развития сельского хозяйства снизился и далее упал до 0,536 в 2022 году. В частности, по измерению уровня ресурсосбережения и экологического сохранения в исследуемый период наблюдалась колеблющаяся тенденция развития, уровень зеленой жизни устойчиво рос, а общая тенденция развития подсистемы качества и эффективного развития была схожа с уровнем зеленого развития сельского хозяйства: значительный рост на раннем этапе развития и небольшое снижение в более поздний период.
Рисунок 3. Комплексный уровень зеленого развития сельского хозяйства и изменения его подсистем в Чэнду с 2011 по 2022 год.
Механизация является важным путем ускорения модернизации сельского хозяйства. В 2011 году Сычуань издала важный правительственный документ под названием «Мнения Народного правительства провинции Сычуань по реализации содействия хорошему и быстрому развитию механизации сельского хозяйства и промышленности сельскохозяйственной техники», который предлагает повысить уровень и масштабы механизации сельского хозяйства в районе Чэндуской равнины и создать высококачественные сельскохозяйственные угодья для развития модернизированного сельского хозяйства. Однако, хотя повышение уровня механизации сельского хозяйства и расширение масштабов применения сельскохозяйственной техники способствуют повышению эффективности производства, возрастающая механизация сельскохозяйственных производственных процессов неизбежно приводит к более высокому потреблению энергии и истощению ресурсов. Это особенно заметно в производстве основных культур, где увеличивается спрос на общую мощность сельскохозяйственной техники, что приводит к потерям энергии и нерациональному использованию ресурсов, что, в свою очередь, влияет на повышение ресурсосбережения. Система экологического сохранения в основном измеряется такими показателями, как интенсивность применения удобрений и пестицидов и лесистость, с фокусом на оценке ее производных экологических эффектов в процессе развития сельского хозяйства в Чэнду. С тех пор как правительство провинции Сычуань предложило стратегию сокращения применения химических удобрений и пестицидов и повышения эффективности их использования, развитие сельского хозяйства Чэнду строго выполняло это требование. За исключением 2017 года, применение пестицидов и удобрений в Чэнду сокращалось каждый год по сравнению с предыдущим годом. На протяжении всего периода наблюдений наблюдалось значительное повышение уровня экологического сохранения после 2015 года.
С момента запуска Китаем второго этапа Программы защиты природных лесов (полное название — Программа защиты природных лесных ресурсов Китая, этап II. Второй этап программы придерживается принципов приоритета защиты и приоритета естественного восстановления и активно применяет жесткие политические меры, такие как «прекращение вырубки, повышение стандартов и расширение территорий», для эффективного усиления защиты природных лесов) площадь и объем лесов увеличиваются с каждым годом. В 2012 году правительство Чэнду издало «Правила реализации управления фондом компенсации экологических выгод леса для второго этапа Программы защиты природных лесных ресурсов Чэнду». Благодаря строгому соблюдению этих правил реализации лесистость в Чэнду значительно увеличилась. Кроме того, Чэнду также приложил усилия для продвижения зеленого развития во всем регионе. Посредством строительства Небесной зеленой дороги Тяньфу, парков водно-болотных угодий и экологических зон вокруг города были удовлетворены потребности городских и сельских жителей в высоком качестве жизни в зеленом и пригодном для жизни городе, одновременно создавая зеленые экологические барьеры и украшая общественную среду города. С 2018 года подсистема эффективного развития внесла значительный вклад в рост уровня зеленого развития сельского хозяйства в Чэнду, указывая на то, что сельское хозяйство Чэнду пережило сдвиг от функции предоставления сельскохозяйственной продукции к экологической функции. Уровень зеленой жизни также значительно вырос в последние годы, что в основном связано с интеграцией сельского хозяйства с коммерцией, культурой и туристической индустрией. Чэнду активно развивает региональное специализированное сельское хозяйство, такое как съедобные грибы, китайские травы, фрукты, питомниковые цветы и т.д., и уделяет внимание улучшению внешнего вида деревень вокруг города. Знаменитые деревни сельского туризма, такие как деревня Чжаньци, деревня Минъюэ, деревня Усин, деревня Теню и т.д., привели к значительному росту стоимости продукции досугового сельского хозяйства и сельского туризма. Это развитие сельского туризма также обогатило местных фермеров и способствовало устойчивому искоренению сельской бедности. В 2022 году располагаемый доход на душу населения сельских жителей достиг примерно 30 900 юаней, и уровень жизни сельских жителей значительно повышается.
4.2. Временные характеристики уровня развития паркового города в городах окружного значения провинции Сычуань
Согласно построенной в предыдущем разделе индексной системе оценки развития паркового города, общий уровень развития и тенденцию изменения каждого индекса можно наблюдать, измеряя оценку каждого индекса развития паркового города в каждом городе провинции Сычуань (Рисунок 4). С 2011 по 2022 год общий уровень развития паркового города в провинции Сычуань демонстрировал устойчивую восходящую тенденцию. Чэнду, в частности, пережил значительный рост, увеличившись с 0,368 в 2011 году до 0,826 в 2022 году, с впечатляющими темпами роста, стабильно занимая первое место в провинции. Между тем, уровни развития паркового города в других городах провинции Сычуань также улучшились, хотя их темпы роста остаются относительно более медленными по сравнению с Чэнду.
Рисунок 4. Комплексный уровень развития PCD в городах окружного значения провинции Сычуань с 2011 по 2022 год.
Уровень развития паркового города в провинции Сычуань остается неравномерным, со значительными региональными диспропорциями. Будучи столицей провинции, Чэнду пользуется явными географическими преимуществами. Расположенный на равнинной Чэндуской равнине, он отличается удобным транспортом, развитой инфраструктурой, прочной экономической базой и обильными ресурсными преимуществами. Правительство вложило значительные средства в продвижение строительства паркового города, с сильной политической поддержкой и финансовыми гарантиями. Напротив, другие города окружного значения в основном расположены в горных и холмистых районах Сычуани, характеризующихся большими топографическими колебаниями. Из-за ограничений, связанных с экономической структурой, промышленным планированием и другими факторами, их развитие идет медленнее, и они сталкиваются с большими трудностями. В целом, хотя уровень развития паркового города в Сычуани неуклонно повышался в течение исследуемого периода, сильный рост Чэнду возглавил зеленое развитие городов в провинции. Хотя строительство инфраструктуры в других городах началось позже, они все же сохранили устойчивую траекторию роста. Местные правительства постепенно увеличивали инвестиции в охрану окружающей среды и развитие зеленых насаждений, способствуя зеленой трансформации городов посредством реструктуризации промышленности и улучшения зеленой инфраструктуры. Хотя прогресс был относительно медленным, эти города заложили основу для устойчивого развития на пути к парковому городу, тем самым улучшая качество окружающей среды и повышая качество жизни граждан.
С точки зрения развития паркового города Чэнду, уровень вырос с 0,368 до 0,862, что представляет собой увеличение примерно на 124,5%. Как показано на Рисунке 5, общий уровень развития паркового города в Чэнду демонстрировал устойчивую восходящую тенденцию, при этом комплексная оценка превысила 0,6 после 2018 года. Примечательно, что вклад уровня состояния зеленого производства в общую оценку является относительно значительным, в то время как оценка подсистемы городской экологической среды оставалась относительно стабильной.
Рисунок 5. Комплексный уровень паркового города и изменения его подсистем в Чэнду с 2011 по 2022 год.
С точки зрения характеристик периода, все подсистемы демонстрировали медленный рост и низкие уровни в период с 2011 по 2015 год, как показано на Рисунке 5. После 2015 года уровень развития паркового города и его подсистемы увеличились более значительно. Это увеличение может быть связано с тем фактом, что 2015 год был последним годом выполнения задач «Двенадцатой пятилетки», который включал всестороннее развертывание и активное устранение загрязнения воздуха. Чэнду принимал множество мер по борьбе с атмосферной дымкой, таких как борьба с выбросами промышленных предприятий, сдерживание загрязнения выхлопными газами автомобилей и контроль городского запыления, что заложило хорошую основу для устойчивого развития городской среды.
В 2018 году была представлена новая парадигма городского развития, известная как парковый город, и концепция развития города Чэнду вернулась от логики, движимой индустриализацией, к человеко-ориентированной логике. Чэнду уделил приоритетное внимание развитию своей парковой системы, включая Небесную зеленую дорогу Тяньфу, парковые кластеры и сообщества паркового города, что привело к значительным улучшениям городской и экологической среды. Важно отметить, что уровень состояния зеленого производства увеличился на 190,3% в течение исследуемого периода. Индекс добавленной стоимости третичной отрасли вносит наибольший вклад. Индустрии культуры и туризма в Чэнду оказали значительное положительное влияние на улучшение жизни людей, стимулирование инвестиций и развитие современной сферы услуг [49].
4.3. Анализ степени серой корреляции между зеленым развитием сельского хозяйства и парковым городом в провинции Сычуань
Основываясь на оценочных индексах зеленого развития сельского хозяйства и развития паркового города в предыдущем разделе, мы определяем значение уровня развития паркового города для каждого города в Сычуани как эталонную последовательность, а каждый индекс зеленого развития сельского хозяйства (y1, y2, y3, y4, y5, y6, y7, y8, y9, y10, y11, y12, y13) как сравнительные последовательности для серой корреляции между ними, и затем мы можем получить значение серой корреляции между каждым индексом двух систем, как показано в Таблице 4.
Таблица 4. Матрица корреляции между парковым городом и зеленым развитием сельского хозяйства в Чэнду с 2011 по 2022 год.
Из Таблицы 4 видно, что степень серой корреляции между парковым городом и зеленым развитием сельского хозяйства почти везде выше 0,45. Таким образом, можно сделать вывод, что существует сильная корреляция между системами развития паркового города и зеленого развития сельского хозяйства, что указывает на тесное взаимное влияние в их интерактивных отношениях.
Чтобы глубже понять связанную взаимосвязь между индикаторами зеленого развития сельского хозяйства и развития паркового города, основные факторы, способствующие связанности между системой зеленого развития сельского хозяйства и системой развития паркового города в Сычуани и Чэнду в течение исследуемого периода, были определены с использованием числового среднего на основе матрицы серой корреляции. Результаты представлены в Таблице 5 и Таблице 6.
Таблица 5. Ранжирование серой корреляции факторов зеленого развития сельского хозяйства, влияющих на парковый город в провинции Сычуань.
Таблица 6. Ранжирование серой корреляции факторов, влияющих на зеленое развитие сельского хозяйства Чэнду в парковом городе.
С 2011 по 2022 год влияние зеленого развития сельского хозяйства на развитие паркового города в провинции Сычуань демонстрировало сильную корреляцию, подчеркивая значительное влияние различных индикаторов развития паркового города на городские экологические среды и устойчивое развитие. С точки зрения степени влияния четырех подсистем, подсистема зеленой жизни и эффективного развития играет особенно заметную роль в продвижении развития паркового города. В частности, в подсистеме ресурсосбережения «Доля эффективно орошаемых площадей» показала высокую корреляцию (0,728), указывая на важнейшую роль управления водными ресурсами в экологическом строительстве паркового города. Однако корреляция «Коэффициента повторного использования пахотных земель» относительно низкая (0,577), что свидетельствует о его ограниченном влиянии на развитие паркового города. В подсистеме эффективного развития «Общая сельскохозяйственная продукция на посевную площадь» показала самую сильную корреляцию (0,833), за ней следует «Производительность труда в сельском хозяйстве» (0,789), что указывает на то, что улучшения в эффективности сельскохозяйственного производства и производительности труда сыграли ключевую роль в продвижении экономического развития и модернизации сельского хозяйства в рамках развития паркового города. Напротив, хотя «Интенсивность использования пестицидов» и «Интенсивность использования сельскохозяйственной пластиковой пленки» в подсистеме экологического сохранения оказывают некоторое влияние на строительство паркового города, их влияние относительно слабое, что указывает на то, что, продвигая зеленое сельскоехозяйство, меры по экологическому сохранению все еще нуждаются в усилении. Подсистема зеленой жизни, в частности, играет важную роль в продвижении развития паркового города. В частности, степень корреляции «Располагаемого дохода на душу населения сельских жителей» составляет 0,660, что отражает, что зеленое развитие сельского хозяйства в сочетании с ростом сельской экономики значительно улучшило разрыв в доходах между городом и деревней и способствовало внедрению зеленого образа жизни. В целом, подсистема зеленой жизни и эффективного развития играет незаменимую роль в продвижении устойчивого развития паркового города, повышении качества жизни жителей и улучшении экологической среды.
В процессе изучения влияния зеленого развития сельского хозяйства на развитие паркового города в Чэнду с 2011 по 2022 год, за исключением «Вклада аграрной экономики» и «Общей сельскохозяйственной продукции на посевную площадь», все остальные степени корреляции выше 0,6, что указывает на сильную общую корреляцию. Каждый индикатор зеленого развития сельского хозяйства сыграл значительную роль в строительстве паркового города. Примечательно, что большинство индикаторов ресурсосбережения, экологического сохранения и зеленой жизни превышают 0,7. Это предполагает, что повышение экологических выгод, а также увеличение стоимости сельскохозяйственной продукции оказывают более заметное влияние на развитие паркового города.
Учитывая, что порядок влияния четырех подсистем зеленого развития сельского хозяйства на развитие паркового города таков: зеленая жизнь > экологическое сохранение > ресурсосбережение > эффективное развитие, очевидно, что зеленая жизнь играет заметную роль в развитии паркового города. С одной стороны, развитие сельского хозяйства в Чэнду значительно повышает стоимость продукции сферы услуг и туризма, обеспечивая надежную экономическую поддержку для дальнейшего роста города и эффективно сокращая разрыв в доходах между городом и деревней. С другой стороны, озеленяющий, очищающий и украшающий эффект внутригородского и пригородного сельского хозяйства Чэнду способствует улучшению городской экологической среды и оптимизации потенциала устойчивого развития города.
В целом, корреляция между каждой подсистемой зеленого развития сельского хозяйства и развития паркового города представляется относительно сбалансированной. Во-первых, сельское хозяйство Чэнду и строительство паркового города прогрессируют стабильно, и тенденции развития по каждому измерению относительно сбалансированы, не проявляя явного смещения. Во-вторых, поскольку развитие сельского хозяйства в Чэнду зависит от развития города, оно всегда сохраняет высокую чувствительность к потребностям городского развития. Изменения в элементах городского развития, таких как пространственное планирование, население, экономика и т.д., оказывают стимулирующее или сдерживающее воздействие на сельское хозяйство [50]. Как видно из Таблицы 6, в процессе развития паркового города повышение сельскохозяйственной продукции и экономической эффективности эффективно стимулирует повышение уровня паркового города. Это согласуется с результатами Чжун и др. (2020), которые показали, что развитие сельского хозяйства играет важную роль в процессе урбанизации [51]. По сравнению с другими подсистемами, зеленая жизнь, качество и эффективность наиболее тесно связаны с парковым городом и наиболее значительно влияют на него.
4.4. Временные характеристики степени связанности и степени согласованности связи между зеленым развитием сельского хозяйства и развитием паркового города
Модель согласованности связи была использована для анализа статуса согласованного развития и динамической тенденции изменения между зеленым развитием сельского хозяйства и развитием паркового города в городах окружного значения провинции Сычуань с 2011 по 2022 год. Как показано на Рисунке 6, степень согласованности связи между развитием паркового города и зеленым развитием сельского хозяйства в большинстве районов провинции Сычуань с 2011 по 2022 год демонстрирует постепенную восходящую тенденцию. С точки зрения развития связанности в Чэнду, степень согласованности связи зеленого развития сельского хозяйства и развития паркового города в Чэнду в течение исследуемого периода находилась в диапазоне от 0,600 до 0,816, что знаменует переход обоих от согласованности к хорошей согласованности. Синергия между зеленым развитием сельского хозяйства и развитием паркового города в Чэнду постепенно проявилась. До 2016 года зеленое развитие сельского хозяйства и развитие паркового города находились на стадии начальной согласованности. В этот период зеленое развитие сельского хозяйства Чэнду находилось на начальной стадии. Эффективность использования сельскохозяйственных ресурсов, таких как рабочая сила, капитал и технологии, была невысокой; урбанизация и индустриализация занимали площади сельскохозяйственных земель, в то время как количество городских потребителей увеличивалось с каждым годом, и спрос на сельскохозяйственную продукцию был высок, что ограничивало его развитие в направлении ресурсосбережения и экологичности. В период 2015-2022 годов они совершили трехступенчатый скачок от начальной согласованности к хорошей согласованности, что достаточно для понимания качественного скачка в высококачественных скоординированных отношениях между двумя системами, и различные элементы двух систем взаимно способствуют друг другу и здорово развиваются.
Рисунок 6. Временные изменения уровня зеленого развития сельского хозяйства и паркового города в Чэнду и их степени согласованности связи.
Зеленое развитие сельского хозяйства обеспечивает экологическую основу для городского развития. Научно-технические достижения и передовые производственные силы в процессе городского развития предоставляют техническую поддержку для зеленого развития сельского хозяйства. Сельское хозяйство постепенно интегрируется в городскую строительную систему. Городское развитие и развитие сельского хозяйства взаимовыгодны и развиваются вместе. Уровень паркового города значительно превышает уровень зеленого развития в сельском хозяйстве, что может быть связано с продвижением строительства Демонстрационной зоны паркового города Чэнду, быстрым притоком рабочей силы и капитала в городское строительство и разницей в ресурсах между городом и деревней, приводящей к более заметному преимуществу в процессе развития паркового города.
Степень согласованности связи между развитием паркового города и зеленым развитием сельского хозяйства в Чэнду развилась от согласованности до хорошей согласованности, и ее причины многогранны. С точки зрения городского строительства, Чэнду взял строительство демонстрационной зоны паркового города, реализующей новую концепцию развития, в качестве общего лидера, продолжает формировать красивый облик паркового города и усиливает цвет зеленого развития. Он продолжал реализовывать защиту природных лесов и возврат пахотных земель лесам, создал Небесную зеленую дорогу Тяньфу, на высоком уровне построил Городской лес Лунцюаньшань и ускорил строительство экологических коридоров в местах обитания гигантской панды. С точки зрения развития сельского хозяйства, Чэнду нацелен на достижение целей «построения круга» и «укрепления цепочки», то есть на создание современной городской сельскохозяйственной экосферы, расширение и укрепление цепочки современной селекционной промышленности и повышение конкурентоспособности городского сельского хозяйства. В то же время Чэнду нацелен на повышение качества пахотных земель и производственных мощностей продовольствия как на главную цель, на усиление научно-технических инноваций и на повышение способности современного управления. С точки зрения политической ориентации, Генеральный план города Чэнду (2011-2020) подчеркивает, что оптимизация общей функции города должна основываться на современном сельском хозяйстве, и общая ориентация города и политическая направленность дали сельскому хозяйству лучшие возможности для развития. В заключение, Чэнду создал образец современного сельского хозяйства, посредством развития большего количества местных особенностей сельского хозяйства, достижения увеличения доходов и общего регионального развития, особенно строительство паркового города больше отражает преимущества сельскохозяйственных ресурсов, строительство зеленых дорог, развитие красивых новых деревень, восстановление экологических лесов и т.д., чтобы полностью продемонстрировать современные функции сельского хозяйства и ценность разнообразия, коннотация сельского выражения коннотации паркового города является расширяемой и постоянно обогащается!
4.5. Анализ пространственной автокорреляции
Глобальный индекс Морана I был использован для проведения тестов пространственной автокорреляции степени согласованности и связанности развития паркового города и зеленого развития сельского хозяйства в Сычуани с 2011 по 2022 год. Учитывая, что как географические, так и экономические факторы могут влиять на взаимодействие между регионами, в этом исследовании была принята вложенная матрица экономической географии, и результаты показаны в Таблице 7.
Таблица 7. Глобальный индекс Морана I для городов окружного значения Сычуани с 2011 по 2022 год.
Результаты показывают, что, за исключением 2011 и 2018 годов, индекс Морана I степени согласованности связи городов окружного значения в Сычуани прошел тест на значимость на уровне 10%, что указывает на определенную степень пространственной кластеризации. Это предполагает, что степень согласованности связи зеленого развития сельского хозяйства и развития паркового города в регионе зависит от соседних регионов. Судя по величине индекса Морана I, коэффициенты Морана I степени связанности с 2012 по 2022 год все больше 0, что указывает на положительную пространственную корреляцию. С одной стороны, в аграрном секторе провинция Сычуань активно продвигала трансформацию к зеленому сельскому хозяйству, способствуя переходу к ресурсосберегающим и экологически чистым способам сельскохозяйственного производства, что постепенно снизило негативное воздействие традиционного сельского хозяйства на окружающую среду. Между тем, с точки зрения зеленого городского строительства, провинция Сычуань активно продвигает модель городского развития, ориентированную на экологическую цивилизацию, создавая пригодную для жизни и устойчивую форму «паркового города». Скоординированное развитие обоих секторов также способствовало позитивному взаимодействию и синергии между городскими и сельскохозяйственными системами. С другой стороны, провинция Сычуань ускорила строительство интегрированного городского и сельского планирования и региональной интеграции. Для содействия региональному сотрудничеству Сычуань внедрила ряд политик, и в некоторых регионах постепенно сформировалась благоприятная ситуация для скоординированного развития сельского хозяйства и городских районов, что повысило общую степень согласованности между регионами. Это сходно с результатами Гань и др. (2020), показывающими, что сокращение разрыва между городом и деревней способствует согласованному региональному развитию [52].
Были выбраны четыре временных точки: 2013, 2016, 2019 и 2022 годы, чтобы проиллюстрировать локальную пространственную кластеризацию горизонтальной степени согласованности связи между зеленым развитием сельского хозяйства и развитием паркового города в Сычуани и исследовать характеристики пространственной корреляции городов окружного значения в Сычуани, как показано на Рисунке 7.
Рисунок 7. Локальный индекс Морана I для связанной согласованности зеленого развития сельского хозяйства и паркового города в провинции Сычуань в 2013, 2016, 2019 и 2022 годах. (a) Карта локальной пространственной кластеризации горизонтальной связанной согласованности между AGD и PCD в Сычуани в 2013 году; (b) Карта локальной пространственной кластеризации горизонтальной связанной согласованности между AGD и PCD в Сычуани в 2016 году; (c) Карта локальной пространственной кластеризации горизонтальной связанной согласованности между AGD и PCD в Сычуани в 2019 году; (d) Карта локальной пространственной кластеризации горизонтальной связанной согласованности между AGD и PCD в Сычуани в 2022 году.
В первом квадранте локальные и прилегающие районы демонстрируют высокую степень согласованности AGD и PCD, представляя зону агломерации высокого-высокого уровня. Второй квадрант содержит города окружного значения с зоной низкой степени согласованности, но окруженные зонами с высоким уровнем, что называется агломерацией низкого-высокого уровня. Третий квадрант представляет зоны с низкой степенью согласованности связи между AGD и PCD как локально, так и в соседних регионах, что классифицируется как зона агломерации низкого-низкого уровня. Четвертый квадрант указывает на высокий локальный уровень с окружающими низкими уровнями, что называется агломерацией высокого-низкого уровня. Как показано на Рисунке 7, точки, соответствующие индексу Морана I степени согласованности связи уровней AGD и PCD между городами провинции Сычуань, преимущественно распределены в первом и третьем квадрантах, подчеркивая положительный пространственный стимулирующий эффект зеленого развития сельского хозяйства и цифровизации в этих регионах. С 2013 по 2022 год пространственная автокорреляция между AGD и PCD в Сычуани усилилась. Степень согласованности связи между зеленым развитием сельского хозяйства и строительством паркового города варьируется в зависимости от региона, при этом Чэнду и Паньчжихуа демонстрируют эффект агломерации высокого-высокого уровня. Такие города, как Мэйшань, Мяньян, Ибинь и Яань, постепенно перешли на уровни высокой-высокой согласованности. Это указывает на то, что Чэнду, как столица провинции, может оказывать положительное влияние на соседние города, способствуя региональной интеграции. С другой стороны, такие города, как Гуанъюань, Наньчун, Бачжун, Гуанъань и Суйнин, которые демонстрируют относительно низкую степень согласованности связи, возможно, требуют большей политической поддержки и вложения ресурсов для повышения их согласованности. Улучшение пространственной автокорреляции, вероятно, связано с политикой согласованного регионального развития, строительством инфраструктуры и экономическим сотрудничеством [53].
5. Выводы и рекомендации для политики
5.1. Выводы
Обработав временные данные по городам окружного значения Сычуани с 2011 по 2022 год, на основе измерения уровней AGD и PCD, это исследование использует модель согласованности связи и модель степени серой корреляции для изучения степени взаимосвязи и взаимозависимости между AGD и PCD. Основные выводы следующие: (1) Общий уровень AGD в большинстве городов Сычуани демонстрировал стабильный рост в течение исследуемого периода, но существуют большие различия в скорости развития и общем уровне между регионами. Среди них комплексный уровень AGD в Чэнду показывает четкую восходящую тенденцию. Стандарты экологического сохранения, эффективного развития и зеленой жизни в целом растут, что указывает на то, что сельскохозяйственные функции Чэнду претерпели трансформацию от традиционных производственных функций к экологическим и рекреационным функциям. (2) Уровень PCD в Чэнду показал общее увеличение за исследуемый период. Эта тенденция особенно усилилась благодаря значительному улучшению экологических аспектов города с тех пор, как в 2018 году был официально предложен парковый город. (3) Степень связанности и согласованности AGD и PCD в большинстве районов провинции Сычуань с 2011 по 2022 год демонстрирует постепенную восходящую тенденцию. С точки зрения развития связанности в Чэнду, степень согласованности связи AGD и PCD Чэнду в течение исследуемого периода колеблется от 0,600 до 0,816, что означает скачок от согласованности к хорошей согласованности между AGD и PCD. (4) В течение исследуемого периода влияние AGD на строительство PCD показало сильную корреляцию, что в целом отражало значительную роль индикаторов AGD в городской экологической среде и устойчивом развитии. (5) С пространственной точки зрения обнаружено, что на степень согласованности связи AGD и PCD в регионе влияют соседние регионы. В частности, Чэнду, будучи одновременно столицей провинции и демонстрационной зоной строительства паркового города, может оказывать положительное влияние на окружающие города и способствовать региональной интеграции.
5.2. Рекомендации для политики
Будучи страной с большим населением, Китаю необходимо внутренне обеспечивать продовольственную безопасность и внешне выполнять свои обязательства по углеродно-нейтральному развитию. Перед лицом такого двойного давления Чэнду первым предложил развитие паркового города, которое направлено на отказ от традиционной модели городского развития путем содействия развитию сельских районов, повышению качества регионального сельского хозяйства, повышению комфортности сельской местности для проживания и повышению благосостояния фермеров. Основываясь на выводах предыдущего раздела, все еще существует много возможностей для улучшения некоторых элементов развития паркового города.
Чтобы повысить будущий уровень интегрированного развития города и деревни, улучшения в следующих областях могут стать фокусом усилий государственной политики в предстоящий период:
(1) Двойное стимулирование инфраструктуры и информационных платформ для повышения модернизации сельского хозяйства. Ускорить модернизацию городской инфраструктуры, особенно в пригородных районах, улучшая ключевые объекты, такие как дороги, водоснабжение, электричество и связь, для поддержки сельскохозяйственного производства и сбыта. В то же время создать межрайонные сельскохозяйственные информационные платформы для интеграции ресурсов и расширения доступа фермеров к информации, регулярно предоставляя рыночные тенденции, технические руководства и разъяснения политики. Продвигать модернизацию сельского хозяйства, повышая эффективность производства и рыночную конкурентоспособность.
(2) Усиление сельскохозяйственных НИОКР и внедрения для продвижения зеленого сельского хозяйства. Содействовать сотрудничеству между исследовательскими институтами и предприятиями, фокусируясь на НИОКР эффективных, маловредных удобрений, пестицидов и энергосберегающей сельскохозяйственной техники, и способствовать конверсии научных достижений. Продвигать передовые технологии возделывания и применения Интернета вещей в сельском хозяйстве, повышая эффективность механизации и используя интеллектуальные системы мониторинга для точного управления, тем самым сокращая нерациональное использование ресурсов. Организовывать обучение зеленым сельскохозяйственным технологиям, повышая экологическую осведомленность фермеров и их способность применять технологии для продвижения устойчивого развития сельского хозяйства.
(3) Интегрировать сельское хозяйство с городскими экосистемами и оптимизировать размещение экологических функций. Включать экологические функции сельского хозяйства в городское планирование, оптимизировать использование сельскохозяйственных земель и строить экологические коридоры для содействия сохранению биоразнообразия и повышения стабильности городской экосистемы. Сочетать усилия по обновлению городов с благоустройством сельской местности, увеличивать площадь общественных зеленых насаждений на душу населения и улучшать качество жизни городских и сельских жителей, способствуя интеграции сельскохозяйственных функций и системы развития паркового города.
(4) Углублять региональное сотрудничество для содействия экологической интеграции в городских кластерах. Опираясь на опыт PCD Чэнду, продвигать экологическую интеграцию в таких городских кластерах, как Чэнду, Дэян, Мэйшань и Цзыгун. Создавать межрегиональные механизмы сотрудничества для продвижения таких проектов, как экологические коридоры и демонстрационные зоны зеленого развития сельского хозяйства, изучая модели распределения выгод и разделения затрат. Продвигать интеграцию зеленого сельского хозяйства с сельским туризмом и культурными индустриями, стимулируя возрождение села и рост доходов фермеров, тем самым достигая взаимовыгодной ситуации для зеленого развития сельского хозяйства и строительства паркового города и способствуя устойчивому региональному экономическому развитию.
Таким образом, строительство PCD выступает за развитие городского сельского хозяйства и экологического сельского хозяйства, включая внедрение вертикального фермерства, садов на крышах, проектов городского садоводства и т.д. в городе или его окрестностях, и продвижение развития органического сельского хозяйства и экологического сельского хозяйства. Эта модель имеет большое значение для улучшения пищевой среды городских жителей, снижения зависимости города от внешних ресурсов, а также способствует улучшению городской экологической среды. Кроме того, эта модель развития PCD предоставляет возможный сценарий урбанизационного перехода для промышленно развитых и развивающихся стран, который способствует развитию сельских районов и сокращению разрыва между городом и деревней.
Ссылки
1. Chen, X. The core of China’s rural revitalization: Exerting the functions of rural area. China Agric. Econ. Rev. 2020, 12, 1–13. [Google Scholar] [CrossRef]
2. Sharifi, A.; Khavarian-Garmsir, A.R. The COVID-19 pandemic: Impacts on cities and major lessons for urban planning, design, and management. Sci. Total Environ. 2020, 749, 142391. [Google Scholar] [CrossRef] [PubMed]
3. Fanfani, D.; Duží, B.; Mancino, M.; Rovai, M. Multiple evaluation of urban and peri-urban agriculture and its relation to spatial planning: The case of Prato territory (Italy). Sustain. Cities Soc. 2022, 79, 103636. [Google Scholar] [CrossRef]
4. Hosseinpour, N.; Kazemi, F.; Mahdizadeh, H. A cost-benefit analysis of applying urban agriculture in sustainable park design. Land Use Policy 2022, 112, 105834. [Google Scholar] [CrossRef]
5. Li, Y.; Westlund, H.; Liu, Y. Why some rural areas decline while some others not: An overview of rural evolution in the world. J. Rural Stud. 2019, 68, 135–143. [Google Scholar] [CrossRef]
6. Wen, T. Eight crises: Lessons from China 1949–2009. In Development Trap and Experience in China; Oriental Press: Beijing, China, 2013. [Google Scholar]
7. Long, H.; Tu, S.; Ge, D.; Li, T.; Liu, Y. The allocation and management of critical resources in rural China under restructuring: Problems and prospects. J. Rural Stud. 2016, 47, 392–412. [Google Scholar] [CrossRef]
8. Fei, X.; Feng, J.W. Research on the High-Quality Development Model of China’s Grain Industry from the Perspective of Rural Revitalization. Wirel. Commun. Mob. Comput. 2022, 2022, 2661237. [Google Scholar] [CrossRef]
9. Zoomers, A.; van Noorloos, F.; Otsuki, K.; Steel, G.; van Westen, G. The Rush for Land in an Urbanizing World: From Land Grabbing Toward Developing Safe, Resilient, and Sustainable Cities and Landscapes. World Dev. 2017, 92, 242–252. [Google Scholar] [CrossRef]
10. Huang, M.H.; Xiao, J.; Zhou, Y.T. From Garden City to Public Garden City: The Actuality, Oughtness, and Inevitability of Theoretical Innovation of Urban Planning with Chinese Characteristics. Planners 2022, 38, 140–145. [Google Scholar]
11. Sharifi, A. From Garden City to Eco-urbanism: The quest for sustainable neighborhood development. Sustain. Cities Soc. 2016, 20, 1–16. [Google Scholar] [CrossRef]
12. Fu, F.; Li, H.; Zhao, C. From landscape City to Park City—The road of urban development in China. Landsc. Archit. 2020, 36, 12. [Google Scholar]
13. Yu, G.; Wu, S.; Huang, S.; Huang, X. From “City of a Thousand Parks” to “City as a Park”: Compilation Idea and Practice of the Outline of Shenzhen Park City Planning. Landsc. Archit. 2023, 30, 69–77. [Google Scholar]
14. Shi, Y.; Liu, Q. Park City: Connotation, Logic and Path of Green Governance. J. Renmin Univ. China 2019, 33, 48. [Google Scholar]
15. Wu, S.; Wang, D.; Yan, Z.; Wang, X.; Han, J. Coupling or contradiction? The spatiotemporal relationship between urbanization and urban park system development in China. Ecol. Indic. 2023, 154, 110703. [Google Scholar] [CrossRef]
16. Xie, X.; Gong, X.; Pan, S. Research on the construction path of the megacity from the perspective of Nudge Theory: Empirical evidence of the “Park City” construction in Chengdu Tianfu New Area. Chin. J. Popul. Res. Environ. 2023, 21, 163–171. [Google Scholar] [CrossRef]
17. Zhang, Z.; Ma, G.; Lin, X.; Dai, H. Accessibility in a multiple transport mode urban park based on the “D-D” model: A case study in Park City, Chengdu. Cities 2023, 134, 104191. [Google Scholar] [CrossRef]
18. Zhang, S.; Song, H.; Li, X.; Luo, S. Urban Parks Quality Assessment Using Multi-Dimension Indicators in Chengdu, China. Land 2024, 13, 86. [Google Scholar] [CrossRef]
19. Tan, R.; Wang, R.; Wang, Y.; Yi, D.; Chen, Y.; Cai, W.; Wang, X. The Park city perspective study: Revealing the park accessibility influenced by experiences of visitors under different travel modes. Front. Environ. Sci. 2022, 10, 924996. [Google Scholar] [CrossRef]
20. Li, Z.; Liu, Q.; Zhang, Y.; Yan, K.; Yan, Y.; Xu, P. Characteristics of Urban Parks in Chengdu and Their Relation to Public Behaviour and Preferences. Sustainability 2022, 14, 6761. [Google Scholar] [CrossRef]
21. Zhang, J.; Xu, E. Investigating the spatial distribution of urban parks from the perspective of equity-efficiency: Evidence from Chengdu, China. Urban For. Urban Green. 2023, 86, 128019. [Google Scholar] [CrossRef]
22. Azunre, G.A.; Amponsah, O.; Peprah, C.; Takyi, S.A.; Braimah, I. A review of the role of urban agriculture in the sustainable city discourse. Cities 2019, 93, 104–119. [Google Scholar] [CrossRef]
23. La Rosa, D.; Barbarossa, L.; Privitera, R.; Martinico, F. Agriculture and the city: A method for sustainable planning of new forms of agriculture in urban contexts. Land Use Policy 2014, 41, 290–303. [Google Scholar] [CrossRef]
24. Benis, K.; Ferrão, P. Potential mitigation of the environmental impacts of food systems through urban and peri-urban agriculture (UPA)—A life cycle assessment approach. J. Clean. Prod. 2017, 140, 784–795. [Google Scholar] [CrossRef]
25. Hara, Y.; McPhearson, T.; Sampei, Y.; McGrath, B. Assessing urban agriculture potential: A comparative study of Osaka, Japan and New York city, United States. Sustain. Sci. 2018, 13, 937–952. [Google Scholar] [CrossRef]
26. Rallings, A.M.; Smukler, S.M.; Gergel, S.E.; Mullinix, K. Towards multifunctional land use in an agricultural landscape: A trade-off and synergy analysis in the Lower Fraser Valley, Canada. Landsc. Urban Plan. 2019, 184, 88–100. [Google Scholar] [CrossRef]
27. Renting, H.; Rossing, W.A.H.; Groot, J.C.J.; Van der Ploeg, J.D.; Laurent, C.; Perraud, D.; Stobbelaar, D.J.; Van Ittersum, M.K. Exploring multifunctional agriculture. A review of conceptual approaches and prospects for an integrative transitional framework. J. Environ. Manag. 2009, 90, S112–S123. [Google Scholar] [CrossRef]
28. Peng, J.; Liu, Z.; Liu, Y.; Hu, X.; Wang, A. Multifunctionality assessment of urban agriculture in Beijing City, China. Sci. Total Environ. 2015, 537, 343–351. [Google Scholar] [CrossRef]
29. Yang, Z.; Cai, J.; Sliuzas, R. Agro-tourism enterprises as a form of multi-functional urban agriculture for peri-urban development in China. Habitat Int. 2010, 34, 374–385. [Google Scholar] [CrossRef]
30. Barthel, S.; Parker, J.; Ernstson, H. Food and green space in cities: A resilience lens on gardens and urban environmental movements. Urban Stud. 2015, 52, 1321–1338. [Google Scholar] [CrossRef]
31. McClintock, N.; Miewald, C.; McCann, E. Governing urban agriculture: Formalization, resistance and re-visioning in two ‘green’ cities. Int. J. Urban Reg. Res. 2021, 45, 498–518. [Google Scholar] [CrossRef]
32. Nogeire-McRae, T.; Ryan, E.P.; Jablonski, B.B.R.; Carolan, M.; Arathi, H.S.; Brown, C.S.; Saki, H.H.; McKeen, S.; Lapansky, E.; Schipanski, M.E. The role of urban agriculture in a secure, healthy, and sustainable food system. BioScience 2018, 68, 748–759. [Google Scholar] [CrossRef]
33. Rao, N.; Patil, S.; Singh, C.; Roy, P.; Pryor, C.; Poonacha, P.; Genes, M. Cultivating sustainable and healthy cities: A systematic literature review of the outcomes of urban and peri-urban agriculture. Sustain. Cities Soc. 2022, 85, 104063. [Google Scholar] [CrossRef]
34. Weidner, T.; Yang, A. The potential of urban agriculture in combination with organic waste valorization: Assessment of resource flows and emissions for two European cities. J. Clean. Prod. 2020, 244, 118490. [Google Scholar] [CrossRef]
35. Gómez-Villarino, M.T.; Ruiz-Garcia, L. Adaptive design model for the integration of urban agriculture in the sustainable development of cities. A case study in northern Spain. Sustain. Cities Soc. 2021, 65, 102595. [Google Scholar] [CrossRef]
36. Panagopoulos, T.; Duque, J.A.G.; Dan, M.B. Urban planning with respect to environmental quality and human well-being. Environ. Pollut. 2016, 208, 137–144. [Google Scholar] [CrossRef]
37. Kulak, M.; Graves, A.; Chatterton, J. Reducing greenhouse gas emissions with urban agriculture: A Life Cycle Assessment perspective. Landsc. Urban Plan. 2013, 111, 68–78. [Google Scholar] [CrossRef]
38. Langemeyer, J.; Madrid-Lopez, C.; Beltran, A.M.; Mendez, G.V. Urban agriculture—A necessary pathway towards urban resilience and global sustainability? Landsc. Urban Plan. 2021, 210, 104055. [Google Scholar] [CrossRef]
39. Cohen, N.; Wijsman, K. Urban agriculture as green infrastructure: The case of New York city. Urban Agric. Mag. 2014, 27, 16–19. [Google Scholar]
40. McCarthy, L.J.; Russo, A. Exploring the role of nature-based typologies and stewardship schemes in enhancing urban green spaces: Citizen perceptions of landscape design scenarios and ecosystem services. J. Environ. Manag. 2023, 346, 118944. [Google Scholar] [CrossRef]
41. Bai, X.; Sadia, S. Park city leads the way of urban development and innovation in China. J. Environ. Eng. Landsc. Manag. 2023, 31, 240–247. [Google Scholar] [CrossRef]
42. Wu, X.; Liu, H.; Liu, W. Exploring the spatiotemporal evolution dynamic and influencing factor of green ecology transition for megacities: A case study of Chengdu, China. Ecol. Indic. 2024, 158, 111285. [Google Scholar] [CrossRef]
43. Chen, Z.; Sarkar, A.; Rahman, A.; Li, X.; Xia, X. Exploring the drivers of green agricultural development (GAD) in China: A spatial association network structure approaches. Land Use Policy 2022, 112, 105827. [Google Scholar] [CrossRef]
44. Liu, Y.; Sun, D.; Wang, H.; Wang, X.; Yu, G.; Zhao, X. An evaluation of China’s agricultural green production: 1978–2017. J. Clean. Prod. 2020, 243, 118483. [Google Scholar] [CrossRef]
45. Cui, X.; Zhao, T.; Wang, J. Allocation of carbon emission quotas in China’s provincial power sector based on entropy method and ZSG-DEA. J. Clean. Prod. 2021, 284, 124683. [Google Scholar] [CrossRef]
46. Hu, Y.; Wu, L.; Shi, C.; Wang, Y.; Zhu, F. Research on optimal decision-making of cloud manufacturing service provider based on grey correlation analysis and TOPSIS. Int. J. Prod. Res. 2020, 58, 748–757. [Google Scholar] [CrossRef]
47. Zhang, J.; Dong, Z. Assessment of coupling coordination degree and water resources carrying capacity of Hebei Province (China) based on WRESP2D2P framework and GTWR approach. Sustain. Cities Soc. 2022, 82, 103862. [Google Scholar] [CrossRef]
48. Dong, Q.; Zhong, K.; Liao, Y.; Xiong, R.; Wang, F.; Pang, M. Coupling coordination degree of environment, energy, and economic growth in resource-based provinces of China. Resour. Policy 2023, 81, 103308. [Google Scholar] [CrossRef]
49. Wu, B.; Liu, L. Social capital for rural revitalization in China: A critical evaluation on the government’s new countryside programme in Chengdu. Land Use Policy 2020, 91, 104268. [Google Scholar] [CrossRef]
50. Du, Y. Holistic gentrification and the recreation of rurality: The new wave of rural gentrification in Chengdu, China. J. Rural Stud. 2022, 96, 237–245. [Google Scholar] [CrossRef]
51. Zhong, C.; Hu, R.; Wang, M.; Xue, W.; He, L. The impact of urbanization on urban agriculture: Evidence from China. J. Clean. Prod. 2020, 276, 122686. [Google Scholar] [CrossRef]
52. Gan, L.; Shi, H.; Hu, Y.; Lev, B.; Lan, H. Coupling coordination degree for urbanization city-industry integration level: Sichuan case. Sustain. Cities Soc. 2020, 58, 102136. [Google Scholar] [CrossRef]
53. Tang, D.; Mao, M.; Shi, J.; Hua, W. The spatio-temporal analysis of urban-rural coordinated development and its driving forces in Yangtze River Delta. Land 2021, 10, 495. [Google Scholar] [CrossRef]
Dai X, Li Y, Qi Y, Chen Y, Yan D, Xia K, He S, He Y. Coupling Agricultural Green Development and Park City Development: An Empirical Analysis from Chengdu, China. Agriculture. 2025; 15(3):248. https://doi.org/10.3390/agriculture15030248
Перевод статьи «Coupling Agricultural Green Development and Park City Development: An Empirical Analysis from Chengdu, China» авторов Dai X, Li Y, Qi Y, Chen Y, Yan D, Xia K, He S, He Y., оригинал доступен по ссылке. Лицензия: CC BY. Изменения: переведено на русский язык


























Комментарии (0)