Спасательный круг для кукурузы: цинк и адъюванты заставляют гербициды в меньших дозах работать лучше
Целью исследования была оценка влияния адъюванта на основе метиловых эфиров, подкислителя и сульфата цинка на физико-химические свойства (краевой угол, поверхностное натяжение) рабочего раствора и эффективность смеси бромоксинил + тербутилазин + никосульфурон. В качестве тестового растения использовали просо куриное (плоскуху обыкновенную) (Echinochloa crus-galli L.).
Аннотация
Добавление любого адъюванта в рабочий раствор влияло на уменьшение краевого угла, причем сульфат цинка уменьшил его с 75,9 до 66,3°, адъювант на основе метиловых эфиров – с 61,8 до 47,1°, подкислитель – с 58,3 до 47,0°, сульфат цинка + адъювант на основе метиловых эфиров – с 64,9 до 58,4°, а сульфат цинка + подкислитель – с 57,1 до 44,6°. Уменьшение краевого угла наблюдалось при снижении доз гербицидов – с 65,6 до 59,0°. Наивысший pH рабочего раствора с гербицидами был зафиксирован при добавлении адъюванта на основе метиловых эфиров (6,82–7,17), далее – 6,43–6,80 при добавлении сульфата цинка и 6,05–6,30 для сульфата цинка с адъювантом на основе метиловых эфиров. Включение адъюванта-подкислителя очень сильно снизило реакцию раствора до 3,28–3,60, а в присутствии сульфата цинка она снизилась до 2,76–2,90. Смеси бромоксинила, тербутилазина и никосульфурона, примененные с адъювантом на основе метиловых эфиров, а также с сульфатом цинка и подкислителем, показали наивысшую эффективность (85–98% и 82–96% соответственно), тогда как эффективность при использовании адъюванта на основе метиловых эфиров с сульфатом цинка составляла 64–81%. Действие смеси гербицидов только с сульфатом цинка было заметно слабее (40–81%), а в присутствии только адъюванта-подкислителя – очень слабым (13–43%). На основе значений ED50, наиболее благоприятными были смеси, содержащие, помимо гербицидов, адъювант на основе метиловых эфиров, адъювант на основе метиловых эфиров + сульфат цинка и подкислитель + сульфат цинка. Исследования показали, что сульфат цинка может использоваться в качестве адъюванта и будет способствовать не только действию гербицидов, но и развитию растений кукурузы.
1. Введение
Использование химических средств защиты растений также связано с воздействием на нецелевые организмы и окружающую среду в целом, поэтому следует искать решения, позволяющие достичь максимальной эффективности при наименьшем возможном воздействии на окружающую среду [1]. Количество действующего вещества, достигающего места действия в растении, составляет лишь небольшую часть внесенного гербицида. Это связано с влиянием многих факторов, ограничивающих активность гербицидов, включая температуру, влажность воздуха, физико-химические свойства (краевой угол, поверхностное натяжение) воды, используемой для приготовления рабочего раствора, и биологию сорных растений [2]. Основным компонентом рабочего раствора является вода, качество которой также определяет действие гербицидов. Ее качество, например pH или жесткость, также может определять эффективность обработки [3]. Некоторые модификаторы pH используются для снижения (подкисления) pH воды, поскольку многие инсектициды разрушаются при воздействии высокого pH воды. Низкий pH не является необходимым для оптимизации поглощения гербицидов [4]. Базовые адъюванты для гербицидов содержат поверхностно-активные вещества (ПАВ) и азотные удобрения для усиления активности действующего вещества. Многокомпонентные адъюванты с щелочным pH могут улучшить борьбу с сорняками. Растворимость гербицидов, особенно из группы сульфонилмочевины, сильно зависит от pH рабочего раствора. Исследования показывают, что повышение pH до уровня 7–8 значительно повышает эффективность [5,6], а добавление подходящего адъюванта в рабочий раствор позволяет применять гербициды в значительно сниженных дозах, но с высокой эффективностью [7,8,9].
Поэтому крайне важно применять пестициды в благоприятных условиях. На практике обработка также может проводиться в менее благоприятных для гербицидов условиях, поэтому важно использовать любое решение, которое способствует эффективности гербицидов. Использование смесей, содержащих действующие вещества с разными механизмами действия, несомненно, повышает эффективность обработок. Никосульфурон является соединением из группы производных сульфонилмочевины, которое блокирует синтез таких аминокислот, как лейцин, изолейцин и валин, нарушая тем самым образование белков (HRAC 2). Растворимость никосульфурона в воде зависит от pH. Она очень низкая в воде при pH 3,5, но очень высокая при pH 8,8 [10]. Бромоксинил, являющийся соединением из группы гидроксибензонитрилов, ингибирует фотосинтез во второй фотосистеме (HRAC 6). Бромоксинил имеет высокую растворимость в воде независимо от ее pH [11]. Тербутилазин, являющийся соединением из группы триазинов, нарушает синтез хлорофилла и транспорт электролитов. Согласно классификации HRAC, тербутилазин классифицируется как ингибитор транспорта электронов фотосинтеза в сайт-рецепторе второй фотосистемы, группа HRAC 5. Растворимость тербутилазина в воде не зависит от ее реакции [12]. Комбинирование никосульфурона с бромоксинилом повышает эффективность и расширяет спектр контролируемых сорняков. Присутствие тербутилазина в смеси продлевает действие гербицидов в полевых условиях и уменьшает количество вторичных сорняков [13].
Следует иметь в виду, что часть гербицида теряется до достижения места действия. В этом случае следует ожидать значительного снижения эффективности пестицидов и меньшей экономической эффективности обработок. Для улучшения эффективности пестицидов их следует использовать с рекомендованными или правильно подобранными адъювантами [14]. Назначение адъювантов состоит в увеличении количества действующего вещества, удерживаемого на определенном участке растения, и улучшении характеристик опрыскивания. Адъюванты включают, но не ограничиваются, ПАВ, масла, неорганические соли и многофункциональные (многокомпонентные) адъюванты, которые содержат смесь двух или более соединений [15]. Их основная функция заключается в снижении поверхностного натяжения капель раствора, что уменьшает их смываемость, увеличивает время удерживания на поверхности листьев сорняков, а также положительно влияет на удержание и абсорбцию, т.е. проникновение действующего вещества вглубь растения и транспорт к месту действия [16]. Используемый в данном исследовании адъювант на основе метиловых эфиров является многофункциональным адъювантом активирующего и модифицирующего действия, содержащим метиловые эфиры жирных кислот рапсового масла в концентрации 80%, а также ПАВ и pH-буфер, рекомендованный для использования, прежде всего, с гербицидами из группы сульфонилмочевины, требующими добавления масляного адъюванта (адъюванты на основе метиловых эфиров). Функция ПАВ заключалась в обеспечении возможности образования водно-масляной эмульсии (эмульгаторы), снижении поверхностного натяжения, увеличении удерживания капель раствора и улучшении смачивания поверхности сорняков и, в конечном итоге, абсорбции действующих веществ гербицидов сорняками. Наличие pH-буфера в составе позволяет повышать и поддерживать pH рабочего раствора на уровне 7,0–7,5, что обеспечивает большую растворимость действующих веществ (прежде всего гербицидов из группы сульфонилмочевины) и их лучшее проникновение в сорняки, а также предотвращает образование отложений в баке опрыскивателя, облегчая его очистку. Продукт Lewar Fungi pH- представляет собой многофункциональный, мультисистемный адъювант, подкисляющий рабочий раствор – он снижает pH жидкости до около 3,5–4,5 (подкислитель). Адъювант уменьшает отрицательное влияние минеральных соединений, содержащихся в жесткой воде (главным образом катионов кальция и магния), на активность пестицида, снижает поверхностное натяжение рабочего раствора, увеличивает удерживание капель раствора на поверхности, уменьшает смывание препаратов дождем и обильной росой, снижает скорость высыхания капель на поверхности и увеличивает проникновение (абсорбцию) действующего вещества в клетки растений и его транспорт к месту действия. Он также уменьшает снос капель раствора, что позволяет лучше использовать внесенные гербициды на месте применения и снижает опасность повреждения чувствительных растений на соседних плантациях и риск загрязнения окружающей среды. Сульфат цинка, используемый в качестве адъюванта, представляет собой удобрение, применяемое при возделывании культур, особенно чувствительных к дефициту цинка, например, кукурузы. Это вещество без запаха с уровнем pH 5,0–5,5, легко растворимое в воде.
Многокомпонентные адъюванты содержат по крайней мере два соединения с различными механизмами действия в одном составе [17,18]. Чаще всего они состоят из двух или более ПАВ или адъювантов, принадлежащих к разным группам, например, комбинация ПАВ с сульфатом аммония, масла со смесью липофильных и гидрофильных ПАВ, или даже минеральные адъюванты. Преимущество использования многокомпонентного адъюванта заключается в том, что его можно использовать с большим количеством гербицидов в различных условиях среды [19].
Основная цель агротехнических приемов в пропашных культурах – обеспечить наиболее благоприятные условия для роста и развития. Благоприятные условия для развития растений кукурузы позволяют им позднее в вегетационный период более эффективно конкурировать с сорняками. Важнейшим условием для правильного развития культурных растений является доступность питательных веществ в почве, в первую очередь азота [20], метаболизм которого у культурных растений, включая кукурузу, в значительной степени определяется обеспеченностью растений цинком [21] – элементом, отвечающим, кроме того, за повышение устойчивости растений к болезням [22]. Благодаря своей доступности, низкой цене и хорошей растворимости в воде сульфат цинка является наиболее часто используемым цинковым удобрением [23].
Гипотеза исследования предполагала, что адъюванты, добавленные в рабочий раствор, влияют на его физико-химические свойства (краевой угол, поверхностное натяжение), так что возможно резко снизить дозы гербицидов, сохраняя при этом высокую эффективность, при условии их использования с соответствующим образом подобранными адъювантами и сульфатом цинка в качестве минерального адъюванта. Для проверки гипотезы исследования были проведены лабораторные анализы для оценки влияния адъювантов на физико-химические свойства рабочего раствора, содержащего бромоксинил, тербутилазин и никосульфурон. Целью тепличного эксперимента была оценка возможности снижения доз гербицидов и сохранения высокой эффективности гербицидов путем добавления в рабочий раствор адъювантов, включающих метиловые эфиры жирных кислот рапсового масла, ПАВ, pH-буфер, увлажнитель, антивспениватель и УФ-фильтр, а также сульфата цинка.
2. Материалы и методы
2.1. Действующие вещества, адъюванты и сульфат цинка, использованные в исследованиях
В исследовании использовали никосульфурон (Nisshin 040 SC, 40 г л–1, ISK Bio-sciences Europe, Бельгия). Бромоксинил и тербутилазин входят в состав гербицида Zeagran 340 SE (90 и 250 г л–1, Nufarm GmbH & Co KG, Австрия, Линц). В эксперименте использовали гербициды с двумя адъювантами (Atpolan Bio 80 EC, адъювант на основе метиловых эфиров, Agromix Ltd., Польша, Неполомице; Lewar Fungi pH-, адъювант-подкислитель, Agromix Ltd., Польша, Неполомице) и сульфат цинка в форме семиводной соли (ZnSO4·7H2O).
Продукт Atpolan Bio 80 EC представляет собой многофункциональный адъювант активирующего и модифицирующего действия, содержащий метиловые эфиры жирных кислот рапсового масла в концентрации 80%, а также ПАВ и pH-буфер, рекомендованный для использования, прежде всего, с гербицидами из группы сульфонилмочевины, требующими добавления масляного адъюванта (адъюванты на основе метиловых эфиров). Функция ПАВ заключалась в обеспечении возможности образования водно-масляной эмульсии (эмульгаторы), снижении поверхностного натяжения, увеличении удерживания капель раствора и улучшении смачивания поверхности сорняков и, в конечном итоге, абсорбции действующих веществ гербицидов сорняками. Наличие pH-буфера в составе позволяет повышать и поддерживать pH рабочего раствора на уровне 7,0–7,5, что обеспечивает большую растворимость действующих веществ, прежде всего гербицидов из группы сульфонилмочевины, и их лучшее проникновение в сорняки, а также предотвращает образование отложений в баке опрыскивателя, облегчая его очистку. Продукт Lewar Fungi pH- представляет собой многофункциональный, мультисистемный адъювант, подкисляющий рабочий раствор – он снижает pH жидкости до около 3,5–4,5 (подкислитель). Адъювант уменьшает отрицательное влияние минеральных соединений, содержащихся в жесткой воде (главным образом катионов кальция и магния), на активность пестицида, снижает поверхностное натяжение рабочего раствора, увеличивает удерживание капель раствора на поверхности, уменьшает смывание препаратов дождем и обильной росой, снижает скорость высыхания капель на поверхности и увеличивает проникновение (абсорбцию) действующего вещества в клетки растений и его транспорт к месту действия. Он также уменьшает снос капель раствора, что позволяет лучше использовать внесенные гербициды на месте применения и снижает опасность повреждения чувствительных растений на соседних плантациях и риск загрязнения окружающей среды [24]. Сульфат цинка представляет собой удобрение, используемое при возделывании культур, особенно чувствительных к дефициту цинка, например, кукурузы. Это вещество без запаха с уровнем pH 5,0–5,5, легко растворимое в воде [25].
2.2. Лабораторное исследование
Лабораторные испытания включали измерение поверхностного натяжения (мН м−1) и краевого угла (°) капель рабочего раствора на поверхности, а также реакции (pH). В лабораторных условиях были подготовлены предметные стекла с использованием 200 мл воды, к которой добавляли выбранные количества гербицидов, адъювантов и сульфата цинка. На поверхность предметного стекла наносили парафильм, представляющий собой тонкую пленку специально подготовленного парафина на рулоне тонкой вощеной бумаги (Laboratory Film, American Can Company, США, Гринвич, Коннектикут). Для измерений использовали оптический тензиометр Theta Lite производства KSV с камерой 16 мс. Капли предварительно приготовленных смесей для опрыскивания наносили на парафильм с помощью микропипетки. Для каждой комбинации было протестировано по четыре капли жидкости. После помещения капли на парафильм выполнялась серия снимков с заданной частотой. Затем проводили анализ изображений с использованием программного обеспечения, которым был оснащен тензиометр [26]. pH рабочего раствора измеряли с помощью pH-метра Elmetron CP-411, оснащенного электродом EPP-3t. Тест на реакцию раствора проводили в шести повторениях, отбрасывая самый высокий и самый низкий результаты. Температура в помещении во время измерений составляла 21 ± 1 °C, а влажность воздуха – 55–60%.
2.3. Тепличное исследование
Тепличный эксперимент был заложен по методу полностью рандомизированных блоков, в 3 повторениях и 2 сериях. В исследовании определяли влияние адъювантов и сульфата цинка на гербицидную эффективность смеси бромоксинила с тербутилазином и никосульфуроном, применяемой в рекомендованных (144 + 400 + 40 мл га–1) и сниженных нормах (Таблица 1). В качестве тестового растения использовали плоскуху обыкновенную (Echinochloa crus-galli L.). Семена плоскухи высевали в пластиковые горшки объемом около 0,25 л, которые содержали субстрат, полученный после смешивания почвы (суглинистый песок, pH 5,8, содержание органического вещества 1,3%) и торфяной почвы (раскисленный торф, pH 6,0) в соотношении 1:1. После появления всходов плоскухи в каждом горшке оставляли по пять растений одинакового размера. Влажность субстрата поддерживали на уровне приблизительно 60–70% от полной влагоемкости. Температура воздуха в ходе экспериментов составляла 25 °C ± 2 днем и 18–20° ± 1 ночью, при естественном солнечном освещении, дополненном искусственным освещением интенсивностью 600 мкЕ м−2 с−1. Влажность воздуха поддерживали на уровне от 50 до 80%. Влажность воздуха поддерживали на уровне от 50 до 80%. Обработку проводили, когда растения плоскухи достигали стадии 2–3 листьев. Использовали тепличный опрыскиватель, оснащенный одной плоскоструйной форсункой TeeJet (США, Глендейл-Хайтс, Иллинойс) AIXR 11004, с нормой расхода раствора 200 л га−1, рабочим давлением 0,35 МПа и скоростью движения 4,5 км ч−1.
Таблица 1. Схема эксперимента
Смесь гербицидов готовили с использованием водопроводной воды. Через двадцать один день после обработки растения сорняков извлекали из каждого контейнера и взвешивали. На основе снижения сырой массы растений сорняков рассчитывали гербицидную эффективность применяемых смесей по следующей формуле [27]: WCE = ((WC − WT/WC) − 100). Здесь WCE – эффективность борьбы с сорняками %, WC – сырая масса ECHCG из необработанного контроля, а WT – сырая масса ECHCG из обработанного варианта.
2.4. Статистический анализ
Результаты, полученные в ходе исследования, были подвергнуты статистической оценке путем проведения дисперсионного анализа (ANOVA) для двухфакторных экспериментов в полностью рандомизированном дизайне, в 3 повторениях. Расчеты выполняли с использованием программного обеспечения Statistica 13 (StatSoft Polska Sp. z o.o., Польша, Краков). Если влияние фактора на характеристику было доказано, однородные группы определяли с использованием критерия Тьюки (HSD) при уровне значимости p = 0,05. Линейные зависимости между переменной эффективностью применяемых смесей и поверхностным натяжением и краевым углом капель раствора на поверхности, а также реакцией жидкости оценивали с использованием коэффициента корреляции Пирсона r. Перед проверкой значимости коэффициентов корреляции нормальность распределения переменных проверяли с помощью критерия Шапиро–Уилка W.
Эффективность протестированных экспериментальных обработок (три повторения), соответствующих каждой дозе гербицида (7 уровней), была использована для расчета эффективной дозы (ED50). Были использованы модели «доза–эффект» в виде регрессионных моделей. Независимыми переменными были дозы гербицидов, а зависимой переменной, обычно называемой откликом или эффектом, была эффективность гербицида. Эффективную дозу, т.е. медианную эффективную дозу, вызывающую специфический эффект у 50% экспериментальных организмов в заданных условиях испытания, определяли с использованием пакета 'drc' в R x64 4.1.1.Ink (The R Foundation for Statistical Computing, Австрия, Вена) [28].
3. Результаты
3.1. Лабораторные оценки
Результаты статистического анализа показывают влияние как адъювантов, так и дозы гербицида на краевой угол (Таблица 2). Добавление любого адъюванта в рабочий раствор влияло на уменьшение краевого угла, причем сульфат цинка уменьшил его с 75,9 до 66,3°, адъювант на основе метиловых эфиров – с 61,8 до 47,1°, подкислитель – с 58,3 до 47,0°, сульфат цинка + адъювант на основе метиловых эфиров – с 64,9 до 58,4°, а сульфат цинка + подкислитель – с 57,1 до 44,6°. Были обнаружены значительные различия между объектами испытания, т.е. дозами действующих веществ и составом смеси, но результаты не указывают однозначно направление изменений. Действительно, в пределах каждой смеси наблюдалось как уменьшение значения краевого угла, так и его увеличение независимо от доз смеси и используемой добавки.
Таблица 2. Влияние сульфата цинка и адъювантов на краевой угол капель рабочего раствора, содержащего бромоксинил с тербутилазином и никосульфуроном
Однако средние значения указывают на некоторые корреляции. Средний краевой угол капель раствора, содержащего только действующие вещества гербицидов, был самым высоким. Значения краевого угла в зависимости от адъюванта, добавленного в жидкость, указывают на то, что жидкость, содержащая сульфат цинка, имела самый высокий краевой угол, за ней следовали сульфат цинка + адъювант на основе метиловых эфиров, адъювант на основе метиловых эфиров, подкислитель и сульфат цинка + подкислитель. Краевой угол также зависел от дозы гербицида, поскольку было обнаружено снижение значения этого параметра с уменьшением доз препарата с 65,6 до 59,0°.
Изменение поверхностного натяжения капель рабочего раствора наблюдалось исключительно под влиянием адъювантов (Таблица 3), причем самые высокие значения были зафиксированы при добавлении ZnSO4, за которым следовали AtB, LF, ZnSO4 + AtB и ZnSO4 + LF. Доза гербицида не влияла на описанные параметры, которые находились в диапазоне 30,3–33,4 мН м–1.
Таблица 3. Влияние сульфата цинка и адъювантов на поверхностное натяжение капель рабочего раствора, содержащего бромоксинил с тербутилазином и никосульфуроном
pH рабочего раствора, независимо от его состава, всегда был ниже pH воды, использованной для его приготовления (Таблица 4). Адъюванты значительно различались по своему влиянию на pH рабочего раствора. Самый высокий pH жидкости, содержащей смесь бромоксинила с тербутилазином и никосульфуроном, был обнаружен при добавлении в жидкость адъюванта на основе метиловых эфиров – 6,82–7,17, затем – 6,43–6,80 при добавлении сульфата цинка и 6,05–6,30 для смеси, содержащей, помимо гербицидов, сульфат цинка с адъювантом на основе метиловых эфиров. Адъювант-подкислитель очень сильно снизил реакцию жидкости до 3,28–3,60, а в присутствии сульфата цинка она снизилась до 2,76–2,90. Результаты статистического анализа указывают на то, что рабочий раствор демонстрировал самый высокий pH не только при наличии смеси гербицидов и адъюванта на основе метиловых эфиров, но и когда он состоял только из гербицидов. Сопоставимая реакция наблюдалась в жидкости, содержащей сульфат цинка и гербициды, и было обнаружено, что она значительно ниже в присутствии сульфата цинка и адъюванта на основе метиловых эфиров. Наиболее сильное снижение pH было достигнуто при добавлении в жидкость подкислителя, и еще более сильное снижение pH было достигнуто при одновременном добавлении в жидкость сульфата цинка.
Таблица 4. Влияние сульфата цинка и адъювантов на реакцию капель рабочего раствора, содержащего бромоксинил с тербутилазином и никосульфуроном
Снижение доз гербицидов повлияло на среднее значение pH рабочего раствора. Наиболее высокое значение pH было обнаружено для самой низкой дозы смеси гербицидов, хотя следует отметить, что это значение значительно не отличалось от других комбинаций, за исключением смеси, доза бромоксинила + тербутилазина + никосульфурона в которой была снижена до 90 + 250 + 28 мл га−1. В пределах смесей, содержащих протестированные добавки, изменения значений pH также были неоднозначными. Действительно, самые высокие значения pH были обнаружены как в жидкости, содержащей самые высокие дозы гербицидов, например, в присутствии подкислителя, так и в значительно сниженных дозах, например, в смеси сульфата цинка и адъюванта на основе метиловых эфиров.
3.2. Тепличный эксперимент
На основе статистического анализа полученных результатов было обнаружено влияние адъювантов и сульфата цинка на эффективность смеси бромоксинил + тербутилазин + никосульфурон (Рисунок 1). Борьба с сорняками всегда снижалась с уменьшением дозы гербицида, независимо от адъюванта, с 81 до 57%. Эффективность гербицидов с сульфатом цинка составляла 81–40%, с адъювантом на основе метиловых эфиров – 98–85%, а с подкислителем – 48–13%. Добавление адъюванта на основе метиловых эфиров в рабочий раствор, уже содержащий сульфат цинка, привело к улучшению эффективности гербицидов (81–64%). Эффективность смеси, содержащей бромоксинил + тербутилазин + никосульфурон с подкислителем, была очень низкой, но добавление сульфата цинка привело к повышению эффективности до 96–82%.
Рисунок 1. Влияние сульфата цинка и адъювантов на эффективность борьбы с Echinochloa crus-galli смесью бромоксинила, тербутилазина и никосульфурона в зависимости от норм гербицидов. ZeN – бромоксинил + тербутилазин + никосульфурон; NA – без добавок; ZnSO4 – сульфат цинка; AtB – адъювант на основе метиловых эфиров; LF – подкислитель.
На основе средних значений эффективности был сделан вывод, что добавление в жидкость адъюванта на основе метиловых эфиров или сульфата цинка с подкислителем было наиболее благоприятным решением, поскольку в обоих случаях эффективность сохранялась на уровне 91%, в то время как с сульфатом цинка и адъювантом на основе метиловых эфиров это значение составляло всего 73%, с одним только сульфатом – 60%, а с одним только подкислителем – 29% (Рисунок 2).
Рисунок 2. Влияние сульфата цинка и адъювантов на эффективность борьбы с Echinochloa crus-galli смесью бромоксинила, тербутилазина и никосульфурона. NA – без добавок; ZnSO4 – сульфат цинка; AtB – адъювант на основе метиловых эфиров; LF – подкислитель; результаты, отмеченные одинаковыми буквами, не имеют значительных различий согласно критерию Тьюки (p ≤ 0,05).
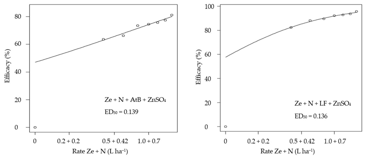
На основе значения ED50, которое определяет дозу гербицида, при которой наблюдается 50% снижение сырой массы сорняков (выраженное как эффективность гербицида) по сравнению с контролем, было обнаружено, что наиболее благоприятными были смеси, содержащие, помимо гербицида, адъювант на основе метиловых эфиров, адъювант на основе метиловых эфиров + сульфат цинка и подкислитель + сульфат цинка (Рисунок 3).
Рисунок 3. Значения индекса ED50 для протестированных смесей сульфата цинка и адъювантов со смесями бромоксинила, тербутилазина и никосульфурона. Ze + N – бромоксинил + тербутилазин + никосульфурон; ZnSO4 – сульфат цинка; AtB – адъювант на основе метиловых эфиров; LF – подкислитель.
Гербицидная эффективность смеси бромоксинил + тербутилазин + никосульфурон коррелировала с физико-химическими свойствами рабочего раствора, демонстрируя как положительные, так и отрицательные значения (Таблица 5). На основе анализа была подтверждена положительная корреляция между поверхностным натяжением и эффективностью смеси бромоксинил + тербутилазин + никосульфурон + сульфат цинка. Результаты указывают на более сильную корреляцию эффективности для всех смесей, за исключением смеси бромоксинил + тербутилазин + никосульфурон + сульфат цинка, причем отрицательное значение было обнаружено только для корреляции между краевым углом смеси бромоксинил + тербутилазин + никосульфурон + сульфат цинка + адъювант на основе метиловых эфиров и ее эффективностью. Значения коэффициентов корреляции указывают на положительное влияние на эффективность реакции жидкости, содержащей только гербициды, и той, что содержит гербициды и подкислитель. Напротив, эффективность смеси бромоксинил + тербутилазин + никосульфурон + сульфат цинка и адъювант на основе метиловых эфиров отрицательно коррелировала с pH жидкости. Анализ дополнительно подтвердил сильную положительную корреляцию между эффективностью гербицида и дозами гербицидов независимо от состава смеси (r от 0,8339 до 0,9629).
Таблица 5. Коэффициенты корреляции поверхностного натяжения, краевого угла капель рабочего раствора, реакции и доз гербицидов с эффективностью обработки смесями бромоксинила, тербутилазина и никосульфурона
4. Обсуждение
Кукуруза является одной из наиболее широко возделываемых культур в мире. Присутствие сорняков в посевах кукурузы чаще всего связано с ограниченной возможностью получения высоких и качественных урожаев. Их контроль необходим для правильного роста и развития культуры [29,30]. Echinochloa crus-galli L. (плоскуха обыкновенная, просо куриное) – это однолетний яровой злак из семейства Мятликовые (Poaceae). Это успешный во всем мире сорняк, распространенный в посевах, и на протяжении столетий он представлял серьезную сельскохозяйственную проблему для ферм по всему миру. Плоскуха является основным видом, встречающимся в посевах кукурузы, и ее присутствие может значительно затруднить рост и привести к снижению урожайности до 5 т га−1, в зависимости от ее обильности, что, в свою очередь, увеличивает необходимость в дополнительных химических обработках и повышает производственные расходы [30,31]. Плоскуха обыкновенная имеет характеристики, которые затрудняют эффективную борьбу с ней. Наиболее распространенные гербициды для борьбы с E. crus-galli относятся к группе ингибиторов ацетил-КоА-карбоксилазы (АССазы), а ингибиторы ацетолактатсинтазы (ALS) являются еще одной важной группой гербицидов, широко используемых для борьбы с сорняками в посевах кукурузы.
Качество и пригодность воды в качестве растворителя для гербицидов определяется, среди прочего, ее pH и жесткостью [32,33]. pH рабочего раствора очень важен для гербицидов, чья растворимость зависит от pH. В условиях низкого pH рабочего раствора происходит гидролиз или снижение растворимости гербицидов [34], особенно из группы сульфонилмочевины, таких как никосульфурон. Их растворимость увеличивается с повышением pH жидкости [35,36] (и тогда они более эффективны [37]), тогда как растворимость тербутилазина и бромоксинила не зависит от pH рабочего раствора [38]. Эффективность самого никосульфурона зависит не только от pH рабочего раствора, но и от pH среды, в которой он находится после обработки [12]. В исследовании было обнаружено, что добавление сульфата цинка, адъювантов или их смесей в воду, составляющую основу рабочего раствора, всегда приводило к снижению pH жидкости, причем адъювант на основе метиловых эфиров поддерживал pH на самом высоком уровне, сульфат цинка – на более низком, а их смесь удерживала его на промежуточном уровне, более близком к уровню адъюванта на основе метиловых эфиров. Заметное снижение pH вызывал подкислитель, и еще более сильное – в сочетании с сульфатом цинка в жидкости. Результаты гербицидной эффективности смеси бромоксинил + тербутилазин + никосульфурон, полученные в тепличных испытаниях, демонстрируют явно положительный эффект от добавления адъюванта на основе метиловых эфиров, и резкое снижение эффективности наблюдалось при добавлении в жидкость адъюванта-подкислителя. Использование одного только сульфата цинка в качестве адъюванта не оказало столь положительного влияния на показатели смеси, как адъювант на основе метиловых эфиров; однако его действие было определенно более благоприятным, чем добавление одного только подкислителя. Ситуация изменилась, когда в рабочем растворе уже присутствовал адъювант на основе метиловых эфиров и к нему добавлялись другие адъюванты. В этом случае, несмотря на то что смесь также содержала никосульфурон, действие которого сильно зависит от pH жидкости, наилучшие результаты были получены при включении сульфата цинка и подкислителя, и это несмотря на очень низкий pH жидкости. Таким образом, результаты указывают на практически одинаковую гербицидную эффективность смеси веществ с адъювантом на основе метиловых эфиров, сульфатом цинка и подкислителем. Такой эффект может быть результатом синергетического взаимодействия между адъювантом на основе метиловых эфиров и подкислителем, которое очень сильно снизило pH жидкости, что привело к большей растворимости сульфата цинка и более быстрому транспорту в растение [39,40], а также, возможно, способствовало увеличению количества действующих веществ, содержащихся в рабочем растворе. Результаты указывают на то, что условия, неблагоприятные для растворимости никосульфурона (низкий pH), были достаточно благоприятны для действия других компонентов, так что борьба с такой смесью была наиболее эффективной. Однако не все факторы, влияющие на эффективность внекорневой подкормки цинком, хорошо изучены, включая то, как химическая форма, в которой применяется питательное вещество, влияет на его поглощение, транспорт и общую эффективность [41].
Влияние адъювантов на физические свойства жидкостей также зависит от содержащихся в них действующих веществ. Чаще всего адъюванты состоят из нескольких различных веществ, включая масла или их производные и эмульгатор, функцию которого выполняет ПАВ. Состав может быть дополнен минеральными солями, например, в форме минеральных удобрений, которые в основном являются азотными [42,43]. Эффективное действие гербицидов в основном обусловлено их способностью к более сильному поглощению и абсорбции растением. Это связано с тем, что действующие вещества должны быть нанесены на растения и удерживаться на них, прежде чем они будут абсорбированы и перемещены к месту действия, где должны накопиться в достаточных количествах, чтобы вызвать гибель растения [44]. Эти процессы можно интенсифицировать за счет использования адъювантов, особенно тех, которые имеют очень широкий спектр действия благодаря своим нескольким компонентам и которые минимизируют неблагоприятное воздействие ряда факторов на эффективность обработки. Удержание рабочего раствора на поверхности листа и его последующая абсорбция модифицируются в первую очередь поверхностным натяжением и краевым углом капель на поверхности листа. Значения этих параметров можно контролировать путем добавления адъювантов, которые включают ПАВ, основная функция которых заключается в снижении поверхностного натяжения капель жидкости, а следовательно, и краевого угла, что важно для равномерности покрытия листьев сорняков рабочим раствором [9,45]. При высоких значениях краевого угла наблюдается отталкивание капель жидкости поверхностью, в то время как при низких значениях наблюдается тенденция к растеканию и прилипанию к поверхности [46]. Действительно, меньший краевой угол распыляемой воды или агрохимикатов увеличит площадь контакта между жидкостью и поверхностью листа и потенциально может способствовать процессу поглощения через лист [47].
Добавление адъюванта в рабочий раствор приводит к снижению как поверхностного натяжения, так и краевого угла капель рабочего раствора [48]. Однако следует отметить, что использование адъювантов не всегда обеспечивает лучшую производительность препаратов, особенно когда не учитываются размер капель и различный анатомический состав и состав эпикутикулярного воска сорняков. Другим фактором является тип используемого адъюванта, поскольку физические и химические свойства этих продуктов могут по-разному взаимодействовать не только друг с другом, но и с поверхностью листа [49]. Поверхностное натяжение баковых смесей, содержащих средства защиты растений, может варьироваться от около 30 до даже более 70 мН м–1 [50]. Оптимальным, по-видимому, является диапазон 30–40 мН м–1, но из-за множества факторов, влияющих на эффективность гербицидных обработок, такие значения не всегда приводят к удовлетворительному конечному результату [9]. В случае адъювантов на основе масел и их производных, действие которых направлено на повышение проникновения гербицидов через такие препятствия, как кутикулярный воск, клеточная стенка и устьица, среди прочего, присутствие ПАВ необходимо для их солюбилизации в воде [51].
Исследования указывают на то, что действующие вещества гербицидов могут отрицательно влиять на организмы, не являющиеся целью их применения, и предполагают, что адъюванты, добавляемые в бак опрыскивателя, также могут оказывать вредное воздействие на другие организмы [52]. Повышение экологической осведомленности делает обязательным, например, исследование более экологичных ПАВ [53]. Однако в Польше закон не требует от производителя предоставления точной информации о составе адъювантов, отсюда отсутствие подробных данных об адъювантах, использованных в экспериментах. Нет сообщений об их вредном воздействии на окружающую среду в широком смысле. Однако также предпринимаются исследования, в которых при разработке новых составов адъювантов учитывается воздействие на окружающую среду [54].
Результаты тепличного эксперимента указывают на то, что включение протестированных добавок (сульфата цинка, адъювантов или их смесей) в воду вызывало снижение как поверхностного натяжения, так и краевого угла смачивания капель раствора. В случае краевого угла наблюдалась четкая вариабельность значения этого параметра в зависимости от добавок. Наиболее сильное уменьшение угла было получено, когда добавкой была смесь сульфата цинка и подкислителя, а более слабое – при добавлении адъювантов AtB или подкислителя, которые действовали сходным образом. В еще меньшей степени краевой угол уменьшался при добавлении смеси сульфата цинка и адъюванта на основе метиловых эфиров, а самый слабый эффект был получен при добавлении в жидкость одного только сульфата цинка. Как показывают результаты, направление изменений было одинаковым, т.е. независимо от состава смесей значение краевого угла было очень значительно ниже, чем у капель одной воды. Однако значения этого параметра были тесно связаны с конкретными добавками. Добавление адъювантов, включая сульфат цинка, также оказало значительное влияние на значения поверхностного натяжения (сильное снижение по сравнению с каплей одной воды), хотя для этого параметра различия между добавками не были столь выраженными, как для краевого угла, и варьировались от 29,6 до 32,3 мН м−1 для смесей, содержащих адъюванты и сульфат цинка, и до 34,8 мН м−1, когда в жидкости присутствовал только адъювант на основе метиловых эфиров. Наши собственные исследования указывают на то, что сульфат цинка влиял на физические свойства рабочего раствора, что не всегда имеет место в случае минеральных удобрений, выступающих в роли адъювантов. Эффективность тепличных обработок подтверждает, что на конечный результат влияют не только физические свойства, но и ряд других факторов, поскольку, как показывают результаты наших собственных исследований, оптимальные значения поверхностного натяжения и краевого угла не всегда приводят к очень хорошей эффективности смеси, как, например, в случае с подкислителем.
Эффективность обработок, как правило, выше, когда для обработки используется смесь по крайней мере двух действующих веществ, предпочтительно с различными механизмами действия [55]. Это практически возможно только в том случае, если они химически совместимы. Кроме того, следует заботиться о том, чтобы составляющие действующие вещества имели одинаковую стойкость и спектр борьбы с сорняками, но различный механизм действия. Приготовление баковых смесей с использованием нескольких гербицидов может быть связано с риском взаимодействия между компонентами, что приводит к аддитивному, синергетическому или антагонистическому воздействию на контролируемые сорняки [56]. Об аддитивном эффекте говорят, когда эффекты смеси по крайней мере двух гербицидов не отличаются от эффектов гербицидов, используемых по отдельности [57]. В некоторых ситуациях взаимодействия между препаратами приводят к значительным изменениям их гербицидной активности, либо усиливая, либо снижая их эффективность. Об антагонистическом эффекте говорят в случае нежелательного взаимодействия, когда борьба с сорняками ниже по сравнению с ожидаемыми эффектами гербицидов, используемых по отдельности, и для достижения удовлетворительного результата требуются более высокие дозы гербицидов [58]. Синергизм, с другой стороны, описывает любой тип взаимодействия или кооперации, который дает результаты, превышающие простую сумму его частей [59]. В отношении синергии между химическими веществами, используемыми в сельском хозяйстве, среди прочего, принципы, влияющие на взаимодействия, сходны с описанными для некоторых лекарств [60]. Синергетическое взаимодействие действующих веществ широко используется при разработке смесей, предназначенных для борьбы с как можно большим количеством различных видов сорняков. Использование синергизма также позволяет снижать дозы гербицидов без ущерба для их эффективности [61].
Адъюванты, использованные в исследовании, сильно различались по своему влиянию на pH рабочего раствора, что важно для растворимости гербицидов и стабильности состава. Протестированная смесь содержала, среди прочего, тербутилазин и бромоксинил, на которые не влияет pH жидкости, и никосульфурон, действие которого тесно связано с pH рабочего раствора [33,34,62,63]. Полученные результаты указывают, однако, на то, что pH рабочего раствора не оказал решающего влияния на действие смесей гербицидов, потому что даже в условиях низкого или даже очень низкого pH рабочего раствора (вызванного добавлением подкислителя) действие смесей было очень эффективным. Наиболее вероятно, такая реакция возникает из-за присутствия в жидкости тербутилазина и бромоксинила, которые действовали правильно в таких условиях и очень хорошо справлялись со своей задачей. Возможно также, что имел место своего рода синергетический эффект, т.е. положительное влияние не полностью растворенного никосульфурона на действия других веществ.
Одним из наиболее важных питательных веществ для кукурузы, ограничивающих ее рост и снижающих урожайность, является цинк [64]. Ряд процессов в растениях (например, эффективность фотосинтеза, устойчивость растений или использование азота) напрямую зависят от наличия цинка [65]. Цинк может поступать к растениям в виде внекорневой обработки. Даже использование одного только сульфата цинка в форме ZnSO4 · 7H2O способствовало сохранению высокой эффективности смеси бромоксинила с тербутилазином и никосульфуроном. Авторы также указывают на положительное влияние цинковых удобрений на действие смесей гербицидов, но в то же время следует иметь в виду, что это действие зависит от формы, в которой поставляется цинк [66]. Действительно, авторы не обнаружили отрицательного влияния сульфата цинка на растения кукурузы, но цинк, примененный в форме хлорида (ZnCl2), способствовал повреждению растений.
Сельское хозяйство является одной из самых больших угроз для биоразнообразия, главным образом из-за использования пестицидов [67]. В случае кукурузы, однако, гербициды являются основным источником выбросов действующих веществ [68]. Добавление адъювантов позволяет снизить нормы внесения гербицидов, на что четко указывают расчеты ED50, полученные в ходе исследования. Это приводит к уменьшению количества веществ, вносимых в поле, а двукратное применение позволяет распределить количество используемых действующих веществ во времени [69]. Это важно, даже если общие дозы действующих веществ, попадающих в окружающую среду, такие же или даже немного выше, чем при однократной обработке. В таком случае следует иметь в виду, что количество действующих веществ значительно ниже в ходе одной обработки, и нагрузка на окружающую среду, возникающая в результате этого, также, вероятно, будет ниже.
Использование адъювантов, подходящих для данного гербицида, позволяет снизить дозы гербицидов и, следовательно, количество действующих веществ, попадающих в окружающую среду. Результаты наших собственных исследований и литературные данные [14] указывают на возможность эффективной борьбы с сорняками при сильно сниженных дозах гербицидов при условии добавления адъюванта в жидкость и проведения обработки сорняков на ранней стадии развития. В случае защиты кукурузы можно рекомендовать две обработки гербицидами против сорняков в стадии BBCH 10–12. В то же время доступность цинка является необходимым условием для правильного использования азота растениями кукурузы. Его можно вносить в сроки, совпадающие со сроками борьбы с сорняками, которые в этом случае приходятся на стадии 2–3 листьев у кукурузы, а вторую обработку можно проводить на стадии 4–6 листьев. Наши собственные исследования показывают, что сульфат цинка может использоваться как в качестве удобрения, так и в качестве адъюванта. Возможно, что разработка состава многофункционального адъюванта, который также включает цинк, будет способствовать не только действию гербицидов, но и развитию растений кукурузы.
5. Выводы
Добавление адъювантов, их смесей или сульфата цинка в рабочий раствор, содержащий бромоксинил + тербутилазин + никосульфурон, снижало поверхностное натяжение и краевой угол по сравнению с водой, использованной для приготовления раствора. Значения обоих параметров были ниже, когда в жидкости присутствовал отдельный адъювант или адъювант в сочетании с сульфатом цинка. Рассматривая влияние на снижение краевого угла капель жидкости, добавки можно расположить (начиная с наиболее сильного эффекта) в следующем порядке: сульфат цинка + подкислитель, подкислитель, адъювант на основе метиловых эфиров, сульфат цинка + адъювант на основе метиловых эфиров, сульфат цинка и жидкость только с гербицидами. Для снижения поверхностного натяжения капель порядок был следующим: сульфат цинка + подкислитель, подкислитель, сульфат цинка + адъювант на основе метиловых эфиров, адъювант на основе метиловых эфиров, сульфат цинка и вода только с гербицидами. Наблюдалось четкое влияние добавок на pH жидкости, особенно когда добавкой был подкислитель, особенно в присутствии сульфата цинка. Наиболее сильная реакция (наивысший pH) была получена при добавлении в жидкость адъюванта на основе метиловых эфиров; pH жидкости, содержащей только гербициды, был ниже, и еще ниже при добавлении в жидкость сульфата цинка и сульфата цинка с адъювантом на основе метиловых эфиров.
Результаты тепличных испытаний указывают на то, что смеси бромоксинила, тербутилазина и никосульфурона, примененные с адъювантом на основе метиловых эфиров, а также с сульфатом цинка и подкислителем, показали наивысшую эффективность (85–98% и 82–96% соответственно), тогда как это значение составляло 64–81% при использовании адъюванта на основе метиловых эфиров с сульфатом цинка. Действие смеси гербицидов только с сульфатом цинка было заметно слабее (40–81%), и очень слабым (13–43%) в присутствии только адъюванта-подкислителя. На основе значений ED50 был сделан вывод, что путем подбора адъюванта, подходящего для соответствующего гербицида (гербицидов), можно снизить дозу гербицида, но сохранить его высокую эффективность. Наиболее благоприятными были смеси, содержащие, помимо гербицидов, адъювант на основе метиловых эфиров, адъювант на основе метиловых эфиров + сульфат цинка и подкислитель + сульфат цинка.
Результаты исследования предполагают, что сульфат цинка можно было бы использовать в качестве компонента адъюванта для удовлетворения потребностей растений кукурузы в цинке. Разработка такого адъюванта требует дальнейших лабораторных и тепличных исследований, а также окончательного подтверждения благоприятного влияния адъювантов на показатели гербицидов и отсутствия фитотоксических эффектов в условиях полевых экспериментов.
Ссылки
1. Pruszyński, S.; Bartkowski, J.; Pruszyński, G. Integrowana Ochrona Roślin w Zarysie; CDR: Brwinowie, Poland, 2012; pp. 1–56. [Google Scholar]
2. Duke, S.O.; Kudsk, P.; Solomon, K.R. (Eds.) Pesticide Dose—A Parameters with Many Implications. In Pesticide Dose: Effects on the Environment and Target and Non-Target Organisms; American Chemical Society: Washington, DC, USA, 2017; pp. 101–119. [Google Scholar]
3. Roskamp, J.M.; Chahal, G.S.; Johnson, W.G. Influence of water hardness and co-applied herbicides on saflufenacil efficacy. Crop Manag. 2012, 11, 1–8. [Google Scholar] [CrossRef]
4. Zollinger, R.K.; Nalewaja, J.D.; Peterson, D.E.; Young, B.G. Effect of hard water and ammonium sulfate on weak acid herbicide activity. J. ASTM Int. 2010, 7, 1–10. [Google Scholar] [CrossRef]
5. Grzanka, M.; Sobiech, Ł.; Skrzypczak, G.; Piechota, T. Herbicides efficacy against volunteer oilseed rape as influence by spray solution pH. Agronomy 2021, 11, 887. [Google Scholar] [CrossRef]
6. Matocha, M.A.; Krutz, L.J.; Senseman, S.A.; Koger, C.H.; Reddy, K.N.; Palmer, E.W. Spray carrier pH effect on absorption and translocation of trifloxysulfuron in Palmer amaranth (Amaranthus palmeri) and Tesasweed (Caperonia palustris). Weed Sci. 2006, 54, 969–973. [Google Scholar] [CrossRef]
7. Grzanka, M.; Sobiech, Ł.; Idziak, R.; Filipczak, A.; Skrzypczak, G. Impact of chemical weed management in sugar beet (Beta vulgaris) on productivity, quality and economics. J. Plant Prot. Res. 2023, 63, 459–467. [Google Scholar] [CrossRef]
8. Da Costa Lima, A.; Ferreira Mendes, K. Variable Rate Application of Herbicides for Weed Management in Pre- and Postemergence. Pest, Weed and Diseases in Agricultural Crop and Animal Husbandry Production. IntechOpen. Available online: https://www.intechopen.com/chapters/73076 (accessed on 13 March 2024).
9. Sobiech, Ł.; Grzanka, M.; Skrzypczak, G.; Idziak, R.; Włodarczak, S.; Ochowiak, M. Effect of adjuvants and pH adjuster on the efficacy of sulcotrione herbicide. Agronomy 2020, 10, 530. [Google Scholar] [CrossRef]
10. O’Neil, M.J.; Heckelman, P.E.; Koch, C.B.; Merck, K.J.R. The Merck Index—An Encyclopedia of Chemicals, Drugs, and Biologicals; John Wiley&Sons, Inc.: Hoboken, NJ, USA, 2006; p. 1128. [Google Scholar]
11. PPDB: Pesticide Properties DataBase. Bromoxynil. Available online: https://sitem.herts.ac.uk/aeru/ppdb/en/Reports/96.htm (accessed on 9 December 2024).
12. Yalkowsky, S.H.; He, Y.; Jain, P. Handbook of Aqueous Solubility Data, 2nd ed.; CRC Press: Boca Raton, FL, USA, 2010; p. 616. [Google Scholar]
13. Ehsas, J.; Desai, L.J.; Ahir, N.B.; Joshi, J.R. Effect of integrated weed management on growth, yield, yield attributes and weed parameters on summer maize (Zea mays L.) under South Gujarat Condition. Int. J. Sci. Environ. Technol. 2016, 5, 2050–2056. [Google Scholar]
14. Cox, C.; Zeiss, M. Health, pesticide adjuvants, and inert ingredients. California case study illustrates need for data access. Environ. Health Perspect. 2022, 130, 085001-1–7. [Google Scholar] [CrossRef]
15. Somervaille, A.; Betts, G.; Gordon, B.; Green, V.; Burgis, M.; Henderson, R. Adjuvants—Oils, Surfactants and Other Additives for Farm Chemicals. Revised 2012 Edition; Australian Government. Grains Research & Development Corporation: Australia, Kingston, 2012; p. 52.
16. Kucharski, M.; Sadowski, J. Znaczenie adiuwantów w chemicznej ochronie roślin. Studia i Raporty IUNG-PIB 2008, 8, 77–85. [Google Scholar]
17. Idziak, R.; Sakowicz, T.; Waligóra, H.; Szulc, P.; Majchrzak, L.; Stachowiak, B.; Neumann, M. Influence of application timings, rates, and adjuvants on tiencarbazone-methyl plus isoxaflutole and mesotrione with nicosulfuron and rimsulfuron on weed control and yield of maize. Agriculture 2024, 14, 73. [Google Scholar] [CrossRef]
18. Wernecke, A.; Eckert, J.H.; Forster, R.; Kurlemann, N.; Odemer, R. Inert agricultural spray adjuvants may increase the adverse effect of selected insecticides on honey bees (Apis mellifera L.) under laboratory conditions. J. Plant Dis. Prot. 2021, 129, 93–105. [Google Scholar] [CrossRef]
19. Woźnica, Z. Formulacje, nośniki i adiuwanty do herbicydów. In Herbologia. Podstawy Biologii, Ekologii i Zwalczania Chwastów; PWRiL: Poznań, Poland, 2012; pp. 227–257. [Google Scholar]
20. Anas, M.; Liao, F.; Verma, K.K.; Sarwar, M.A.; Mahmood, A.; Chen, Z.L.; Li, Q.; Zeng, X.P.; Liu, Y.; Li, Y.R. Fate of nitrogen in agriculture and environment: Agronomic, ecophysiological and molecular approaches to improve nitrogen use efficiency. Biol. Res. 2020, 53, 47. [Google Scholar] [CrossRef] [PubMed]
21. Szatanik-Kloc, A.; Bowanko, G. Effect of pH and zinc on surface area of rye (Secale cereal L.) roots as determined from nitrogen adsorption-desorption data. Acta Agroph. 2007, 10, 705–713. [Google Scholar]
22. Bastakoti, S. Role of zinc in management of plant diseases: A review. Cogent Food Agric. 2023, 9, 2194483. [Google Scholar] [CrossRef]
23. Recena, R.; Garcia-Lopez, A.M.; Delgado, A. Zinc uptake by plants as affected by fertilization with Zn sulfate, phosphorus availability, and soil properties. Agronomy 2021, 11, 390. [Google Scholar] [CrossRef]
24. Agromix. Available online: https://agromix.com.pl/produkty (accessed on 14 December 2024).
25. Chempur. Karta Charakterystyki Substancji Chemicznej—Cynku Siarczan 7 h. Available online: https://chempur.pl/pliki/karty_charakterystyk/cynku_siarczan_7h.pdf (accessed on 14 December 2024).
26. Anonymous. Theta Lite. User Manual—OneAttension Original Instructions. Optical Tensiometer; Biolin Scientific Oy: Espoo, Finland, 2017; pp. 1–57. [Google Scholar]
27. Kumar, A.; Dhaka, A.K.; Kumar, S.; Singh, S.; Punia, S.S. Weed management indices as affected by different weed control treatments in pigeon pea [Cajanus cajan (L.) Millsp.]. J. Pharmacogn. Phytochem. 2019, 8, 3490–3494. [Google Scholar]
28. Ritz, C.; Baty, F.; Streibig, J.C.; Gerhard, D. Dose-response analysis using R. PLoS ONE 2015, 10, e0146021. [Google Scholar] [CrossRef]
29. Horvath, D.P.; Clay, S.A.; Swanton, C.J.; Anderson, J.V.; Chao, W.S. Weed induced crop yield loss: A new paradigm and new challenges. Trends Plant Sci. 2023, 28, 567–582. [Google Scholar] [CrossRef]
30. Kundu, S.; Ahmad, S. Weed control in improving crop yield with technological advancements. Inter. J. Eng. App. Sci. Technol. 2022, 7, 93–105. [Google Scholar] [CrossRef]
31. Dąbkowska, T.; Stupnicka_Rodzynkiewicz, E.; Binstanga-Malounguidi, P. The effect of weather conditions and weed control measures on maize weeds development, particularly on Echinochloa crus-galli. Ann. UMCS S. E 2007, 42, 117–126. [Google Scholar]
32. Rusu, T.; Gus, P.; Bogdan, I.; Moraru, P.I.; Pop, A.I.; Sopterean, M.L.; Pop, L.I. Influence of infestation with Echinochloa crus-galli species on crop production in corn. J. Food Agric. Environ. 2010, 8, 760–763. [Google Scholar]
33. Cunha, J.P.A.R.; Palma, R.; Oliveira, A.; Marques, M.G. Water hardness and pH in the effectiveness of glyphosate formulation. Eng. Agricola 2020, 40, 555–560. [Google Scholar] [CrossRef]
34. Devkota, P.; Johnson, W.G. Glufosinate efficacy as influence by carrier water pH, hardness, foliar fertilizer, and ammonium sulfate. Weed Technol. 2016, 30, 848–859. [Google Scholar] [CrossRef]
35. Mueller, T.; Steckel, L.E. Spray mixture pH as affected by dicamba, glyphosate, and spray additives. Weed Technol. 2019, 33, 547–554. [Google Scholar] [CrossRef]
36. Green, J.M.; Cahill, R. Enhancing the biological activity of nicosulfuron with pH adjusters. Weed Sci. 2003, 17, 338–345. [Google Scholar]
37. Green, J.M.; Hale, T. Increasing and decreasing pH to enhance the biological activity of nicosulfuron. Weed Technol. 2005, 19, 468–475. [Google Scholar] [CrossRef]
38. Woźnica, Z.; Nalewaja, J.D.; Messersmith, C.G.; Miłkowski, P. Quinclorac efficacy as affected by adjuvants and spray carrier water. Weed Technol. 2003, 17, 582–588. [Google Scholar] [CrossRef]
39. Feng, W.; Wie, Z.; Song, J.; Qin, Q.; Yu, K.; Li, G.; Zhang, J.; Wu, W.; Yan, Y. Hydrolysis of nicosulfuron under acidic environment caused by oxalate secretion of a novel Penicillium oxalicum strain YC-WM1. Sci. Rep. 2018, 7, 647. [Google Scholar] [CrossRef]
40. Li, C.; Wang, P.; van der Ent, A.; Cheng, M.; Jiang, H.; Read, T.L.; Lombi, E.; Tang, C.; de Jonge, M.D.; Menzies, N.W.; et al. Absorption of foliar-applied Zn in sunflower (Helianthus annuus): Importance of the cuticle, stomata and trichomes. Ann. Bot. 2019, 123, 57–68. [Google Scholar] [CrossRef]
41. Sadeghzadeh, B. A review of zinc nutrition and plant breeding. J. Soil Sci. Plant Nutr. 2013, 13, 905–927. [Google Scholar] [CrossRef]
42. Fernández, V.; Eichert, T. Uptake of hydrophilic solutes through plant leaves: Current state of knowledge and perspectives of foliar fertilization. Critical Rev. Plant Sci. 2009, 28, 36–68. [Google Scholar] [CrossRef]
43. Pacanoski, Z. Herbicides and adjuvants. In Herbicides, Physiology of Action, and Safety; Price, A., Kelton, J., Sarunaite, L., Eds.; IntechOpen: London, UK, 2015; pp. 125–147. [Google Scholar]
44. Penner, D. Activator adjuvants. Weed Technol. 2000, 14, 85–791. [Google Scholar] [CrossRef]
45. Délye, C.; Jasieniuk, M.; Corre, V. Deciphering the evolution of herbicide resistance in weeds. Trends Genet. 2013, 29, 649–658. [Google Scholar] [CrossRef] [PubMed]
46. Hauner, I.M.; Deblais, A.; Beattie, J.K.; Kellay, H.; Bonn, D. The dynamic surface tension of water. J. Phys. Chem. Lett. 2017, 8, 1599–1603. [Google Scholar] [CrossRef]
47. Huhtamäki, T.; Tian, X.; Korhonen, J.T.; Ras, R.H.A. Surface-wetting characterization using contact-angle measurements. Nature Protocols 2018, 13, 1521–1538. [Google Scholar] [CrossRef]
48. Jura-Morawiec, J.; Marcinkiewicz, J. Wettability, water absorption and water storage in rosette leaves of the dragon tree (Dracaena draco L.). Planta 2020, 252, 1–8. [Google Scholar] [CrossRef]
49. Santos, R.T.S.; Ferreira, M.C.; Viana, R.G. Does the use of adjuvants alter surface tension and contact angle of herbicide spray droplets on leaves of Sida spp.? Planta Daninha 2019, v37, e019185603. [Google Scholar] [CrossRef]
50. Xu, L.; Zhu, H.; Ozkan, H.E.; Bagley, W.E.; Krause, C.R. Droplet evaporation and spread on waxy and hairy leaves associated with type and concentration of adjuvants. Pest Manag. Sci. 2011, 67, 842–851. [Google Scholar] [CrossRef]
51. Meng, Y.H.; Wang, M.M.; Wang, Z.G.; Hu, H.Y.; Ma, Y. Surface tension and spreading coefficient of single-and mix-pesticide solutions with aerial spraying organosilicone adjuvant. Int. J. Precis. Agric. Aviat. 2021, 4, 6–13. [Google Scholar] [CrossRef]
52. Staiger, S. Chemical and Physical Nature of the Barrier Against Active Ingredient Penetration into Leaves: Effects of Adjuvants on the Cuticular Diffusion Barrier. Ph.D. Thesis, Doctoral Thesis for a Doctoral Degree at the Graduate School of Life Sciences, Julius-Maximilians-Universität Würzburg, Section Integrative Biology, Würzburg, Germany, 2019. [Google Scholar]
53. Nobels, I.; Spanoghe, P.; Haesaert, G.; Robbens, J.; Blust, R. Toxicity ranking and toxic mode of action evaluation of commonly used agricultural adjuvants on the basis of bacterial gene expression profiles. PLoS ONE 2011, 6, e24139. [Google Scholar] [CrossRef]
54. Jiang, Y.; Geng, T.; Li, Q. Synthesis of quaternary ammonium salts with novel counterions. J. Surfactants Deterg. 2012, 15, 67–71. [Google Scholar] [CrossRef]
55. Idziak, R.; Waligóra, H.; Majchrzak, L.; Szulc, P. Multifunctional adjuvants affect sulfonylurea with synthetic auxin mixture in weed and maize grain yield. Plants 2024, 13, 1480. [Google Scholar] [CrossRef] [PubMed]
56. Kumari, S.; Das, S.; Kumar, R.; Kavita. Herbicide mixture for enhancing weed control efficiency and yield of onion (Onion cepa L.). Int. J. Curr. Microbiol. App. Sci. 2018, 7, 2710–2714. [Google Scholar]
57. Sørensen, H.; Cedergreen, N.; Skovgaard, I.M.; Streibig, J.C. An isobolebased statistical model and test for synergism/antagonism in binary mixture toxicity experiments. Environ Ecol. Stat. 2007, 14, 383–387. [Google Scholar] [CrossRef]
58. Rustom, S.Y.; Webster, E.P.; Blouin, D.C.; McKnight, B.M. Interactions of quizalofop-p-ethyl mixed with contact herbicides in ACCase-resistant rice production. Weed Technol. 2019, 33, 233–338. [Google Scholar] [CrossRef]
59. Meyer, C.J.; Norsworthy, J.K.; Kruger, G.R. Antagonism in mixtures of glufosinate + glyphosate and glufosinate + clethodim on grasses. Weed Technol. 2021, 35, 12–21. [Google Scholar] [CrossRef]
60. Sukhoverkov, K.V.; Mylne, J.S. A systematic approach for finding herbicide synergies. BioRxiv 2021, 2021-02, 1–22. [Google Scholar] [CrossRef]
61. Jia, J.; Zhu, F.; Ma, X.; Cao, Z.W.; Li, Y.X.; Chen, Y.Z. Mechanisms of drug combinations: Interaction and network perspectives. Nature Rev Drug Disc. 2009, 8, 111–128. [Google Scholar] [CrossRef]
62. Idziak, R.; Kierzek, R.; Sip, D.; Krawczyk, R. Possibility of using pinoksaden and florasulam in mixtures with other herbicides for weed control in winter wheat. Prog. Plant Prot. 2012, 52, 898–902. [Google Scholar]
63. Mitrić, S.; Sunulahpašić, A.; Šunjka, D.; Vuković, S.; Žabić, M.; Hamidović, S.; Kelečević, B. Dissipation dynamic of nicosulfuron in different types of agricultural soils. Plant Soil Environ. 2024, 70, 245–251. [Google Scholar] [CrossRef]
64. Silveira, R.R.; Santos, M.V.; dos Santos, J.B.; Ferreira, E.A.; da Silva, L.D. The effect of spray solution storage time on nicosulfuron efficacy applied in Urochloa brizantha cv. Marandu. Res. Soc. Develep. 2020, 9, e778974713. [Google Scholar] [CrossRef]
65. Zhang, Y.Q.; Pang, L.L.; Yan, P.; Liu, D.Y.; Zhang, W.; Yost, R.; Zhang, F.S.; Zou, C.Q. Zinc fertilizer placement affects zinc content in maize plant. Plant and Soil 2013, 372, 81–92. [Google Scholar] [CrossRef]
66. Dryjański, L.; Harasimowicz-Hermann, G.; Jadczyszyn, T.; Pieter, S.; Pikuła, D.; Shönberger, H.; Rębarz, K.; Barłóg, P.; Wilczewski, E.; Wojcieszak, D. Leksykon Nawożenia Polskie Wyd; Rolnicze: Poznań, Poland, 2017; p. 199. [Google Scholar]
67. Idziak, R.; Woźnica, Z.; Szulc, P. Efficacy of foramsulfuron + iodosulfuron applied with adjuvants and zinc fertilizer. Prog. Plant Prot. 2014, 54, 407–411. [Google Scholar]
68. Wepprich, T.; Adrion, J.R.; Ries, L.; Wiedmann, J.; Haddad, N.M. Butterfly abundance declines over 20 years of systematic monitoring in Ohio, USA. PLoS ONE 2019, 14, e0216270. [Google Scholar] [CrossRef] [PubMed]
69. Holka, M.; Kowalska, J. Assessing the potential toxicity for freshwater ecosystem from chemical protection of maize in different soil tillage systems. Prog. Plant Prot. 2023, 63, 21–28. [Google Scholar]
Idziak R, Szuba-Adamska V, Waligóra H, Szulc P. Effect of Zinc Sulfate and Adjuvants on the Physicochemical Properties and Efficacy of Bromoxynil with Terbythylazine and Nicosulfuron Mixtures Against Echinochloa crus-galli L. Agriculture. 2025; 15(3):293. https://doi.org/10.3390/agriculture15030293
Перевод статьи «Effect of Zinc Sulfate and Adjuvants on the Physicochemical Properties and Efficacy of Bromoxynil with Terbythylazine and Nicosulfuron Mixtures AgainstEchinochloa crus-galliL» авторов Idziak R, Szuba-Adamska V, Waligóra H, Szulc P., оригинал доступен по ссылке. Лицензия: CC BY. Изменения: переведено на русский язык
Фото: freepik










Комментарии (0)