Битва за землю: что ждет поля, города и экологию в бассейне реки Хуайхэ к 2075 году
Экологически-экономический пояс реки Хуайхэ (ЭЭПРХ) является ключевым регионом в системе национального стратегического планирования Китая. Землепользование в этом регионе имеет решающее значение для повышения качества окружающей среды и обеспечения продовольственной безопасности. Используя модель PLUS и геодетектор, мы оценили вклад и взаимодействие 10 движущих факторов на земли производственного, жизненного и экологического назначения (ПЖЭ), а также выполнили многовариантное моделирование ПЖЭ.
Аннотация
Результаты показывают следующее: (1) На земли экологического назначения основное влияние оказывает высота над уровнем моря (значение вклада > 0,16 для лесов, лугов и водных объектов). На земли производственного назначения влияют расчлененность рельефа, высота над уровнем моря и ВРП на душу населения (значение вклада > 0,13). На земли жизненного назначения воздействуют расчлененность рельефа, ВРП на душу населения, высота над уровнем моря и плотность населения (значение вклада > 0,13). Анализ взаимодействия показывает нелинейное или двухфакторное усиление между факторами. (2) Земли экологического назначения в ЭЭПРХ имеют относительно стабильную пространственную структуру. Результаты моделирования показывают, что за следующие 50 лет изменение площади экологических земель не превысит 12%. (3) К 2075 году моделирование по различным сценариям прогнозирует значительные изменения в площади земель. По сравнению со сценарием естественного развития, площадь производственных земель увеличилась на 14,8% в сценарии защиты сельхозугодий, а площадь жизненных земель увеличилась на 14,3% в сценарии городского развития. Данное исследование имеет важное значение для управления и освоения ресурсов ПЖЭ в пределах ЭЭПРХ.
1. Введение
Земля является фундаментальной пространственной платформой для деятельности человека и функционирования экосистем. Она служит материальной основой для реализации территориального пространственного планирования государства. Классификация землепользования по принципу «производственные–жизненные–экологические», вытекающая из системы государственного территориального пространственного планирования, подразделяет земли на три основные категории: экологические земли, производственные земли и жизненные земли [1,2]. В контексте перехода экономики Китая от высокоскоростного к высококачественному росту достижение баланса между планированием использования производственно-жизненно-экологических земель (ПЖЭ), устойчивым управлением ресурсами и окружающей средой, процессами индустриализации и урбанизации, а также созданием «Прекрасного Китая» стало ключевым направлением в исследованиях землепользования [3,4]. Исследование влияния движущих факторов на трансформацию производственно-жизненно-экологических земель, а также моделирование и прогнозирование будущих структур землепользования при различных сценариях имеет теоретическую и практическую важность для рационального управления землеразвитием и сохранения экологической среды [5,6,7,8].
В ходе обширных исследований была установлена система классификации ПЖЭ [1,9,10,11], проанализированы пространственно-временные изменения [1,2,12,13,14,15], изучены движущие силы [16,17,18], смоделированы будущие объемы землепользования [5,6,7] и оценены воздействия на окружающую среду [19,20,21,22]. При анализе движущих сил обычно используются метод главных компонент [23], геодетектор [24,25,26] и модели логистической регрессии [23,27]. Среди них геодетектор устойчив к мультиколлинеарности и позволяет лучше выявлять взаимодействия между факторами.
При моделировании будущего землепользования использовались такие модели, как PLUS [28,29,30,31], клеточные автоматы (CA) [32,33,34,35], CLUE-S [36,37,38] и системная динамика (SD) [39,40,41,42]. Модель PLUS предлагает значительные преимущества, включая улучшенную визуализацию и возможности точного многовариантного моделирования [43]. Однако в настоящее время исследования движущих сил и пространственного моделирования разделены. Ради удобства большинство современных исследований изучает ПЖЭ как единое целое и редко проводит детализированные исследования. В то же время в настоящее время существует мало исследований о том, как выбранные факторы землепользования повлияют на будущее моделирование, и эти исследования не являются глубокими. Данная статья направлена на устранение этих пробелов путем интеграции модели PLUS с геодетектором для изучения движущих сил и прогнозирования будущих изменений ПЖЭ.
Река Хуайхэ, служащая климатической переходной зоной между северным и южным Китаем, является критически важным речным бассейном для научных исследований. Характеризующаяся высокой плотностью населения и значительным валовым региональным продуктом, эта территория также является жизненно важным экологическим защитником для страны. Следовательно, анализ существующих структур землепользования, пространственно-временных изменений и влияния движущих факторов в этом регионе имеет решающее значение. Кроме того, моделирование будущей трансформации землепользования при различных сценариях является необходимым. Цели настоящего исследования заключаются в следующем: (1) проанализировать данные о землепользовании двух периодов и объединить матрицу трансформации землепользования (LUTM) и методы «холодных» и «горячих» точек для завершения исследования характеристик пространственно-временных изменений в ЭЭПРХ. (2) Использовать модуль LEAS модели PLUS и геодетектор для анализа значения вклада движущих сил и их взаимодействия. (3) Использовать модуль CARS для моделирования ПЖЭ при нескольких сценариях, прогнозируя их эволюцию до 2075 года.
Результаты этого исследования могут служить основой для политики землепользования и стратегий городского роста, тем самым повышая эффективность использования ПЖЭ в ЭЭПРХ.
2. Материалы и методы
2.1. Район исследования
Экологически-экономический пояс реки Хуайхэ охватывает основное русло реки Хуайхэ, ее притоки и нижнее течение речной системы Ишу-Сы. Весь регион можно разделить на Восточную зону соединения моря, рек и озер, Северную экономическую зону Хуайхай и Внутренний район подъема Среднего Запада. Он включает 25 городов на уровне префектур и четыре уезда в провинциях Цзянсу, Хэнань, Шаньдун, Аньхой и Хубэй (Рисунок 1). Занимая площадь 243 000 км², пояс поддерживает население в 146 миллионов человек и имеет разветвленную сеть водных путей протяженностью 2300 км. В 2020 году валовой региональный продукт этой территории достиг 8,28 трлн юаней. Расположенный в переходной зоне между северным и южным Китаем, климат региона преимущественно континентальный муссонный, с обильными водными ресурсами на востоке и обширным лесным покровом на западе. Эти уникальные природные ресурсы в сочетании с устойчивой экологической системой делают этот район стратегическим центром зернового производства и перемещения промышленности в Китае [44,45,46,47].
Рисунок 1. Карта расположения Экологически-экономического пояса реки Хуайхэ.
2.2. Сбор данных и предварительная обработка
В исследовании использовался ежегодный набор данных о земельном покрове Китая с разрешением 30 м за период с 1985 по 2022 год, предоставленный Уханьским университетом. Вспомогательные данные, такие как высота над уровнем моря, плотность населения (2000–2020), ВРП на душу населения (2000–2020), среднегодовая температура (2000–2020) и основные государственные реки, были получены с Платформы данных ресурсных и экологических наук. Информация об основных государственных дорогах и реках была получена с платформы OpenStreetMap (OSM). Данные о составе почвы, в частности о содержании глины и алеврита, были извлечены из глобальной почвенной базы данных, выпущенной Продовольственной и сельскохозяйственной организацией ООН (HWSD). Данные о расчлененности рельефа и уклонах были рассчитаны на основе данных о высоте. Подробности см. в таблице ниже (Таблица 1).
Таблица 1. Источники данных и описания.
Затем данные о землепользовании были переклассифицированы в шесть типов: пахотные земли, леса, луга, водные объекты, непродуктивные земли и запечатанные поверхности (урбанизированные территории). Для соответствия административным границам движущие факторы были замаскированы и спроецированы в систему координат WGS_1984_Albers. При многовариантном моделировании разрешение данных о землепользовании было изменено на 500 м с использованием метода ближайшего соседа.
2.3. Методы
Методы и цели данного исследования показаны на рисунке ниже (Рисунок 2).
Рисунок 2. Диаграмма последовательности исследования.
2.3.1. Матрица трансформации землепользования
Матрица трансформации землепользования (LUTM) [48] проистекает из количественного описания систем, состояний и изменений в рамках системного анализа. Эта матрица дает всестороннее представление о количественной, структурной, типологической и пространственной динамике, связанной с землепользованием на определенной территории с течением времени. В настоящее время она в основном используется для оценки изменений в масштабах и категориях землепользования. Математическая формулировка, связанная с LUTM, изложена следующим образом:
В уравнении S представляет площадь, отведенную под различные категории землепользования; n обозначает общее количество категорий земель; i указывает тип земель на начало исследования; j представляет тип земель на конец исследования.
2.3.2. Индекс динамики комплексного землепользования на сеточной шкале
Индекс динамики комплексного землепользования (CLUDI) [49] указывает на изменения в типах землепользования на исследуемой территории в течение заданного периода времени и иллюстрирует общее влияние социально-экономического развития на изменения в региональном землепользовании. Формула представлена ниже:
В уравнении LU_i представляет площадь класса земель i на начальном этапе, Δ〖LU〗_(i-j) представляет абсолютное изменение площади от класса i к классу j за определенный период, а T — временной масштаб. Для удобства расчетов в этом исследовании ЭЭПРХ разделен на регулярную сетку размером 10 км × 10 км. На основе результатов анализа LUTM рассчитывается CLUDI на сеточной шкале. Полученные данные используются в качестве зависимой переменной для геодетектора для проведения анализа взаимодействия факторов.
2.3.3. Анализ «холодных» и «горячих» точек
Анализ «холодных» и «горячих» точек представляет собой высокоэффективную методологию для изучения локальных пространственных паттернов кластеризации, как подробно описано в [50]. Этот подход позволяет эффективно различать степени пространственной агрегации в распределении переменных посредством точной идентификации «холодных» и «горячих» точек. Математически это выражается следующим образом:
В уравнении X_j обозначает наблюдаемое значение для региона j; W_ij обозначает весовую матрицу, где соседним местоположениям присваивается значение 1, а несоседним — значение 0; n указывает размер выборки; S относится к стандартному отклонению; X ̅ представляет среднее значение всех региональных значений.
2.3.4. Анализ движущих сил
Модель PLUS [43] — это инструмент пространственного моделирования на основе растровых данных для анализа динамики землепользования с помощью генерации патчей. Она в основном включает два модуля: LEAS и CARS. LEAS использует алгоритм случайного леса для оценки влияния движущих факторов на расширение землепользования и оценки вероятностей пространственного развития. CARS моделирует конкуренцию землепользования с использованием генерации случайных семян и техники снижения порога, прогнозируя будущие состояния землепользования с помощью итеративного выбора по методу рулетки. В этом исследовании модуль LEAS был применен для оценки движущих сил с использованием алгоритма случайного леса, анализируя 10 социально-экономических, природных и транспортных факторов на основе предыдущих исследований.
2.3.5. Интерактивный анализ факторов
Геодетектор [51] служит средством для выявления движущих сил эволюции пространственного распределения факторов. Он состоит из четырех компонентов: обнаружение факторов, обнаружение взаимодействия, обнаружение риска и экологическое обнаружение. В данном исследовании в основном используется компонент обнаружения взаимодействия. Формула для геодетектора выглядит следующим образом:
где n_i — количество стратифицированных выборок переменной Y или движущего фактора X, n — общее количество выборок в исследуемой области, σ_i^2 — дисперсия слоя i, а σ^2 — общая дисперсия в пределах региона. Чем больше значение q, тем сильнее движущий эффект этого фактора на пространственно-временную эволюцию трансформации землепользования, и наоборот.
2.3.6. Многовариантное моделирование
В этой статье цепь Маркова и модуль CARS используются для моделирования количества и пространственной структуры будущих изменений землепользования. Цепь Маркова выполняет вероятностные расчеты на основе прошлых изменений. Выражение матрицы P выглядит следующим образом:
где n — количество типов землепользования, а P_ij — вероятность преобразования типа землепользования i в тип j.
В этом исследовании моделируются будущие изменения землепользования в ближайшие пять десятилетий с использованием трех различных сценариев. Мы обратились к исследованиям соответствующих ученых [9,16,28]. Конкретные настройки параметров показаны в следующей таблице (Таблица 2 и Таблица 3). Особенности каждого сценария изложены ниже.
Таблица 2. Веса площадей расширения ПЖЭ.
Таблица 3. Матрица затрат на преобразование землепользования для каждого сценария (a: пахотные земли, b: леса, c: луга, d: водные объекты, e: непродуктивные земли и f: запечатанные поверхности).
Сценарий естественного развития (ND): ND следует правилам трансформации землепользования с 2010 по 2020 год. Он продолжает текущую тенденцию развития без введения каких-либо новых ограничений на преобразование землепользования и без учета политических вмешательств. Прогнозы выводятся из исторических тенденций. Цель этого сценария — изучить смоделированное изменение землепользования под влиянием минимальной земельной политики в соответствии с прошлыми законами эволюции земель.
Сценарий защиты пахотных земель (FP): Защита целостности и количества постоянных основных пахотных земель имеет решающее значение для обеспечения национальной продовольственной безопасности. Сценарий FP модифицирует базовую модель, включая стратегии защиты пахотных земель, налагая разумные ограничения на преобразование основных пахотных земель в другие виды использования. Это делается с целью предотвращения потери пахотных земель и сохранения их запаса. Матрица корректируется для снижения вероятности преобразования пахотных земель в запечатанные поверхности на 50% и для уменьшения вероятности преобразования в другие типы земель на 30% с целью минимизации потерь пахотных земель. Этот сценарий предназначен для реагирования на политику «красной линии» постоянных основных пахотных земель и сокращения площади пахотных земель, чрезмерно занимаемых городским развитием, но он может привести к снижению будущего экономического роста.
Сценарий городского развития (UD): Учитывая стратегическую фазу развития ЭЭПРХ и уровень урбанизации крупных городов региона, который отстает от среднего по стране, существует значительный потенциал для роста. Поддерживаемый соответствующей политикой и планированием, регион настроен на ускоренное развитие. В сценарии UD вероятность преобразования пахотных земель, лугов, водных объектов и непродуктивных земель в запечатанные поверхности увеличивается на 30%, в то время как вероятности преобразования для других типов земель остаются неизменными. Установка этого сценария приведет к некоторой потере высококачественных пахотных земель, вызывая тем самым экологическую деградацию, но увеличит будущий экономический рост региона.
3. Результаты
3.1. Анализ трансформации землепользования
В Таблице 4 представлен подробный отчет о трансформациях типов земель в пределах ЭЭПРХ с 1985 по 2022 год. Ниже приведены ключевые наблюдения.
Таблица 4. Изменения количественной структуры с 1985 по 2022 год (единица: км²).
Наиболее заметные изменения площади земель наблюдались у запечатанных поверхностей и пахотных земель. Площадь, занятая запечатанными поверхностями, увеличилась на 22 304 км², что составило прирост на 129,47%. Для сравнения, площадь пахотных земель уменьшилась на 22 407 км², или на 10,59%. Это значительное расширение запечатанных поверхностей отражает быструю урбанизацию, которая происходила в регионе за последние четыре десятилетия. Непродуктивные земли, которые имеют меньшую экономическую и экологическую ценность, подверглись обширной трансформации, в основном в другие типы земель, по мере развития урбанизации. Изменения в площади лесов были минимальными — 3,53%, вероятно, из-за эффективности государственной политики по защите лесов. С 1985 по 2022 год в общей сложности 42 503 км² земель в категории ПЖЭ подверглись трансформации, в то время как 218 278 км² оставались стабильными. Трансформированные земли составили 16,3% от общей площади региона. Пахотные земли и запечатанные поверхности были основными участниками трансформации. Преобразование пахотных земель в запечатанные поверхности было наиболее значительным, составив 25 059 км², или 58,6% от общей преобразованной площади. Обратное преобразование из запечатанных поверхностей в пахотные земли составило 3595 км², что составляет 8,5% от общего объема. На Рисунке 3 визуально представлены эти преобразования, подчеркивающие преобладающий сдвиг от пахотных земель к запечатанным поверхностям на протяжении всего периода исследования.
Рисунок 3. Пространственное распределение и хордовая диаграмма изменений землепользования.
3.2. Результаты индекса динамики комплексного землепользования на сеточной шкале
CLUDI на сеточной шкале был разделен на пять уровней с помощью метода естественных разрывов в ГИС. CLUDI каждой ячейки сетки использовался в качестве значения Y для геодетектора для дальнейших расчетов. Чтобы исследовать пространственную неоднородность изменения землепользования, был проведен анализ «холодных» и «горячих» точек на сеточной шкале с использованием ГИС, который показал, что индекс Морана I составил 0,33, с p-значением 0 и менее 0,01, а z-показатель 24 был намного больше 2,58, что указывает на значительную положительную корреляцию.
Результаты показывают, что области с более высоким рангом составляют 41,6% от общей площади, они сконцентрированы вокруг застроенных территорий городов, а области с очень высоким рангом, как правило, находятся в центральных частях городов. Области со средним рангом составляют 11,9% от общей площади. Области с более низким рангом составляют 46,5% от общей площади региона, в основном концентрируясь на озерах и горах вдали от городов (Рисунок 4).
Рисунок 4. Классификация CLUDI.
Анализ «холодных» и «горячих» точек показывает, что кластеризация высоких значений в основном сосредоточена в пределах Северной экономической зоны Хуайхай, в основном включая Хэцзэ, Шанцю, Цзинин, Цзаочжуан, Линьи, Суцянь, Сюйчжоу и Хуайбэй. Небольшое количество сосредоточено в Фуяне в центре и в Янчжоу и Тайчжоу на востоке. Общая площадь «горячих» точек составляет около 19,8%. Кластеризация низких значений в основном сосредоточена в регионе горного хребта Дабешань на юго-западе, включая Луань, Синьян, Гуаншуй, Дау, Суйчжоу и Тунбай, что в сумме составляет около 15,3% площади. Это показывает, что области «горячих» точек в основном сосредоточены в Северной экономической зоне Хуайхай, а области «холодных» точек — в юго-западном регионе горного хребта Дабешань. Поскольку северный регион быстро развивается и частично совпадает с Сюйчжоуской столичной зоной, большое количество производственных земель и часть экологических земель были преобразованы в жизненные земли. На юго-западе много холмов и высокая растительность, а большое количество лесных угодий строго охраняется и ограничивается государственной политикой (Рисунок 5).
Рисунок 5. Анализ «холодных» и «горячих» точек изменения землепользования.
3.3. Вклад и взаимодействие между движущими факторами
Мы обратились к предыдущим исследованиям и выбрали 10 движущих факторов из социально-экономических вопросов, природных условий и транспортного расположения [16,17,18] (Рисунок 6). Соответствующие данные были замаскированы в ГИС для соответствия административной зоне ЭЭПРХ, запущены и обработаны модулем CARS в модели PLUS для получения значения вклада. Результаты выполнения всех требований к точности обучения удовлетворили их. Десять движущих факторов были дискретизированы и классифицированы, CLUDI был принят в качестве значения Y, а взаимодействие между движущими факторами было изучено с использованием модуля обнаружения взаимодействия геодетектора. В то же время, в сочетании со стандартом классификации земель территориального пространственного планирования, пахотные земли были классифицированы как производственные земли, леса, луга и водосборы — как экологические земли, а запечатанные поверхности — как жизненные земли для анализа.
Рисунок 6. Пространственное распределение 10 движущих факторов.
Результаты показывают следующее (Рисунок 7 и Рисунок 8): Среди типов экологических земель фактор высоты над уровнем моря оказал наибольшее движущее воздействие на изменение землепользования, причем вклад в изменение площади лесов, лугов и водных объектов был больше 0,16. Среди типов производственных земель три фактора — расчлененность рельефа, высота над уровнем моря и ВРП на душу населения — имели более высокие значения вклада, и все они были больше 0,13. Среди типов жизненных земель основными движущими факторами были расчлененность рельефа, ВРП на душу населения, высота над уровнем моря и плотность населения, и значения вклада были больше 0,12. На непродуктивных землях основными движущими факторами были уклон и расчлененность рельефа, а значения вклада были больше 0,2. Это указывает на то, что природные факторы и социально-экономические факторы оказывают сильное движущее воздействие на изменение ПЖЭ, особенно высота над уровнем моря, расчлененность рельефа и ВРП на душу населения; эти три показателя играют большую роль в изменении и расширении ПЖЭ. Среди природных факторов более высокие высота и расчлененность рельефа, как правило, указывают на территорию, которую труднее освоить и на которой строительство обходится дороже, и отрицательно коррелируют с изменениями ПЖЭ. ВРП на душу населения среди социально-экономических факторов обычно представляет более высокое накопление капитала и более сильную человеческую деятельность в регионе, что увеличивает спрос на землю. Этот спрос отражается не только в расширении использования производственных земель, но и в увеличении жизненных земель. Экономический рост часто сопровождается урбанизацией, что приводит к перераспределению и повторному использованию земельных ресурсов.
Рисунок 7. Анализ вклада движущих факторов.
Рисунок 8. Тепловые карты анализа взаимодействия.
С точки зрения взаимодействия факторов, 36 из 45 групп двухфакторных отношений были нелинейно усилены, 9 групп были усилены двумя факторами, и влияние любых двух факторов на ПЖЭ было больше, чем влияние одного фактора, что указывает на то, что трансформация ПЖЭ в ЭЭПРХ была результатом耦合 (связывания/взаимодействия) множества факторов. Среди девяти групп отношений двухфакторного усиления в восьми группах отношений двухфакторного усиления ВРП на душу населения входил в число движущих факторов, что указывает на то, что ВРП на душу населения лучше взаимодействует с другими факторами и может эффективно влиять на трансформацию между ПЖЭ.
3.4. Эволюция ПЖЭ при нескольких сценариях
Сценарий ПЖЭ 2020 года был смоделирован с использованием данных о землепользовании 2000 и 2010 годов. Валидация показывает, что общая точность и коэффициент каппа составляют 0,826 и 0,817 соответственно, что указывает на то, что модель может использоваться для моделирования. Прогноз до 2075 года показывает следующее:
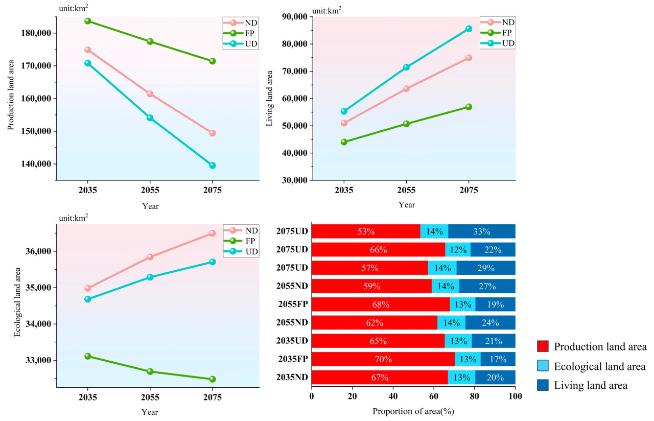
(1) При всех трех сценариях производственные земли сокращаются, жизненные земли расширяются, а экологические земли практически не изменяются (Рисунок 9 и Рисунок 10). Это связано с тем, что при всех трех сценариях вероятность преобразования пахотных земель в запечатанные поверхности является самой высокой, что приводит к постоянному сокращению производственных земель и непрерывному расширению жизненных земель с точки зрения пространственного распределения. Вероятность преобразования экологических земель низкая, что приводит к тому, что общее количество экологических земель при всех трех сценариях находится в динамическом равновесии, а основная структура остается неизменной.
Рисунок 9. Количественное соотношение при многовариантном моделировании.
Рисунок 10. Результаты моделирования при многовариантном моделировании.
(2) По сравнению со сценарием ND, в сценарии FP обеспечивается более сильная защита производственных земель и снижается интенсивность преобразования пахотных земель в другие земли. К 2035 году площадь производственных земель увеличится на 8800 км², что составляет прирост на 5%; к 2055 году площадь производственных земель увеличится на 16 036 км², что составляет прирост на 9,9%; к 2075 году площадь производственных земель увеличится на 21 995 км², что составляет прирост на 14,8% (Таблица 5). По сравнению со сценарием ND, темпы расширения жизненных земель в сценарии UD выше, что повышает интенсивность преобразования других земель в жизненные. К 2035 году площадь жизненных земель увеличится на 4353 км², что составляет прирост на 8,5%; к 2055 году площадь жизненных земель увеличится на 7874 км², что составляет прирост на 12,8%; к 2075 году площадь жизненных земель увеличится на 10 695 км², что составляет прирост на 14,3%. По сравнению с текущей ситуацией ПЖЭ в 2022 году прогнозируется, что в 2035 году, когда завершится территориальное пространственное планирование каждой провинции, производственные земли при сценарии ND сократятся на 13 468 км², что составляет увеличение на 7,1%. Экологические земли увеличатся на 2827 км², что составляет прирост на 9,1%. Жизненные земли увеличатся на 10 639 км², что составляет прирост на 26,4%. При сценарии FP производственные земли сократятся на 4668 км², что составляет уменьшение на 2,5%; экологические земли увеличатся на 956 км², что составляет прирост на 1,4%; жизненные земли увеличатся на 3710 км², что составляет прирост на 9,2%. При сценарии UD производственные земли сократятся на 17 525 км², что составляет уменьшение на 9,3%; экологические земли увеличатся на 2516 км², что составляет прирост на 7,9%; жизненные земли увеличатся на 14 997 км², что составляет прирост на 37,2%.
Таблица 5. Моделирование площади ПЖЭ при различных сценариях (единица: км²).
(3) При всех трех сценариях наиболее значительным пространственным изменением земельного оборота является изменение от производственных земель к жизненным землям, и это изменение сосредоточено в двух аспектах: один — это расширение от края центральных районов городов на производственные земли, а другой — это расширение обширных городов и деревень с дискретным распределением на производственные земли (Рисунок 10, Рисунок 11 и Рисунок 12). Экологические земли в ЭЭПРХ имеют относительно стабильную пространственную структуру, причем темп изменений при трех сценариях в ближайшие 50 лет не превышает 12%. Например, общая структура Дабешаньского экологического заповедника на юго-западе и Шаньдунских холмов на северо-западе не изменится, а изменения в бассейновой зоне основного русла реки Хуайхэ, озера Хунцзэху, озера Ломаху, озера Гаоюху и других рек и озер относительно невелики. Это показывает, что общая структура экологической защиты является хорошей.
Рисунок 11. Частичное увеличение результатов моделирования на 2075 год.
Рисунок 12. Вновь расширенные производственные–жизненные–экологические земли.
4. Обсуждение
В этом исследовании углубленно изучаются движущие факторы изменений ПЖЭ с использованием геодетектора для тщательного анализа, хотя ему не хватает изучения тонкостей внутри подкатегорий. В то время как модель PLUS превосходно справляется с детальным анализом, ей не хватает способности оценивать взаимодействия факторов. Новизна нашей модели заключается в ее интеграции модуля интерактивного обнаружения геодетектора с модулем LEAS модели PLUS, что позволяет нам определять значения вклада движущих факторов в каждой подкатегории ПЖЭ и их взаимосвязь.
При проведении многовариантного моделирования выбор факторов значительно влияет на результаты прогнозирования, что часто упускается из виду предыдущими моделями, такими как Марков и CLUE-S, которые зависят от исторических пространственно-временных структур. Преимущество модели PLUS заключается в ее возможностях моделирования, которые интегрированы с выбранными движущими факторами. Десять факторов, выбранных на трех уровнях в этом исследовании, способствуют более полному и точному моделированию потенциальных будущих сценариев. На экологических землях топографические факторы обладают сильными движущими силами. На производственных и жизненных землях социально-экономические и топографические факторы являются значительными движущими силами. Эти исследования подтверждают выводы Ся [17]. На территориях с равнинным рельефом повышенная человеческая деятельность соответствует расширению и изменению ПЖЭ. Интерактивное обнаружение подчеркивает, что ВРП на душу населения имеет выраженное интерактивное влияние с другими факторами, играя значительную роль в изменении ПЖЭ, как наблюдали Чжан и коллеги [18]. Преобразование ПЖЭ представляет собой сложное взаимодействие множества факторов, а не результат действия одного фактора, и формируется под воздействием государственной политики. Однако в этом исследовании не полностью учтено влияние государственной политики в будущем моделировании, что является заметным ограничением.
Кроме того, на это исследование также влияют данные дистанционного зондирования и параметры, связанные с моделью. Например, повышение точности данных дистанционного зондирования повысит эффективность модели, а корректировка параметров модели повлияет на степень дисперсности патчей [43]. Это то, на чем можно сосредоточиться в последующих исследованиях.
Для разработчиков политики землепользования в регионе, особенно для органов, отвечающих за пахотные земли, результаты прогнозирования этой модели могут использоваться для контроля земель. Эта модель также может использоваться для корректировки «красной линии» пахотных земель на основе текущей земельной политики и оценки будущей площади пахотных земель. С точки зрения экосистемных услуг, эта модель также может быть связана с другими моделями для применения в исследовании будущих экосистем и построении экологических сетей [52,53]. Кроме того, это исследование поможет сельскохозяйственным работникам глубже понять движущие факторы ПЖЭ и, таким образом, целенаправленно разрабатывать соответствующие сельскохозяйственные политики.
5. Выводы
В этом исследовании мы рассчитываем LUTM и CLUDI на сеточной шкале с помощью двухфазных изображений дистанционного зондирования, а затем изучаем вклад и эффекты взаимодействия 10 движущих факторов землепользования на трех уровнях с помощью модели PLUS и геодетектора, проводя моделирование расширения ПЖЭ при различных сценариях. Результаты следующие:
(1) С 1985 по 2022 год области CLUDI более высокого уровня и выше составляли 41,6% от общей площади региона, и эта часть была сосредоточена в городских застроенных территориях и вокруг них. Области среднего уровня и ниже составляли 58,4% от общей площади региона, из которых области более низкого и низкого уровня были в основном пахотными землями, охраняемыми лесами и водными объектами. Анализ «холодных» и «горячих» точек показал, что области высокой ценностной агломерации были в основном сосредоточены в Северной экономической зоне Хуайхай, составляя 19,8% от общей площади. Область низкой ценностной агломерации была сосредоточена в горной местности на юго-западе, составляя 15,3% от общей площади.
(2) На уровне использования ПЖЭ факторы расчлененности рельефа, высоты над уровнем моря и ВРП на душу населения имели более высокие значения вклада, которые были больше 0,13. Между тем, с точки зрения взаимодействия факторов, 36 из 45 наборов двухфакторных связей были нелинейно усилены, а девять наборов были усилены двумя факторами. Это указывает на то, что耦合 (связанный) движущий эффект между факторами усиливает движущий эффект отдельного фактора. Среди девяти групп отношений двухфакторного усиления в восьми группах отношений двухфакторного усиления движущие факторы включали ВРП на душу населения, что указывает на то, что ВРП на душу населения лучше взаимодействует с другими факторами и может эффективно влиять на трансформацию ПЖЭ.
(3) В рамках трех сценариев прогнозного моделирования на 2075 год наиболее значительным общим пространственным изменением в передаче земель было изменение от производственных земель к жизненным землям. Это приведет к постоянному снижению доли производственных земель во всех трех сценариях моделирования с течением времени. Экологические земли в ЭЭПРХ имеют относительно стабильную пространственную структуру, причем темп изменений при трех сценариях в ближайшие 50 лет не превышает 12%. Общая структура Дабешаньского экологического заповедника в юго-западном регионе и Шаньдунских холмов в северо-западном направлении в основном не изменилась, а величина изменения в бассейновой зоне основного русла реки Хуайхэ относительно невелика. При всех трех сценариях по сравнению с базовым периодом жизненные земли расширились в разной степени, в то время как производственные земли уменьшились в разной степени. При сценарии UD темп сокращения производственных земель был наибольшим, а темп расширения жизненных земель — наибольшим.
Ссылки
1. Fu, J.; Gao, Q.; Jiang, D.; Li, X.; Lin, G. Spatial–Temporal Distribution of Global Production–Living–Ecological Space during the Period 2000–2020. Sci. Data 2023, 10, 589. [Google Scholar] [CrossRef]
2. Hong, T.; Liang, N.; Li, H. Study on the Spatial and Temporal Evolution Characteristics and Driving Factors of the “Production–Living–Ecological Space” in Changfeng County. Sustainability 2023, 15, 10445. [Google Scholar] [CrossRef]
3. Cui, J.; Kong, X.; Chen, J.; Sun, J.; Zhu, Y. Spatially Explicit Evaluation and Driving Factor Identification of Land Use Conflict in Yangtze River Economic Belt. Land 2021, 10, 43. [Google Scholar] [CrossRef]
4. Zong, S.; Xu, S.; Jiang, X.; Song, C. Identification and Dynamic Evolution of Land Use Conflict Potentials in China, 2000–2020. Ecol. Indic. 2024, 166, 112340. [Google Scholar] [CrossRef]
5. Jiang, X.; Zhai, S.; Liu, H.; Chen, J.; Zhu, Y.; Wang, Z. Multi-Scenario Simulation of Production-Living-Ecological Space and Ecological Effects Based on Shared Socioeconomic Pathways in Zhengzhou, China. Ecol. Indic. 2022, 137, 108750. [Google Scholar] [CrossRef]
6. Li, H.; Fang, C.; Xia, Y.; Liu, Z.; Wang, W. Multi-Scenario Simulation of Production-Living-Ecological Space in the Poyang Lake Area Based on Remote Sensing and RF-Markov-FLUS Model. Remote Sens. 2022, 14, 2830. [Google Scholar] [CrossRef]
7. Zhang, Z.; Li, J. Spatial Suitability and Multi-Scenarios for Land Use: Simulation and Policy Insights from the Production-Living-Ecological Perspective. Land Use Policy 2022, 119, 106219. [Google Scholar] [CrossRef]
8. Kumar, V.; Sen, S. Hydrometeorological Field Instrumentation in Lesser Himalaya to Advance Research for Future Water and Food Security. Environ. Monit. Assess. 2023, 195, 1162. [Google Scholar] [CrossRef]
9. Ji, Z.; Liu, C.; Xu, Y.; Sun, M.; Wei, H.; Sun, D.; Li, Y.; Zhang, P.; Sun, Q. Quantitative Identification and the Evolution Characteristics of Production—Living—Ecological Space in the Mountainous Area: From the Perspective of Multifunctional Land. J. Geogr. Sci. 2023, 33, 779–800. [Google Scholar] [CrossRef]
10. Liao, G.; He, P.; Gao, X.; Deng, L.; Zhang, H.; Feng, N.; Zhou, W.; Deng, O. The Production–Living–Ecological Land Classification System and Its Characteristics in the Hilly Area of Sichuan Province, Southwest China Based on Identification of the Main Functions. Sustainability 2019, 11, 1600. [Google Scholar] [CrossRef]
11. Yu, Z.; Zhang, H.; Xu, E. Classification and Extraction of Forest Land in China Based on the Perspective of “Production-Living-Ecology”. J. Nat. Resour. 2021, 36, 1136–1148. [Google Scholar] [CrossRef]
12. Kong, D.; Hui-guang, C.; Kong-sen, W.U. The Evolution of “Production-Living-Ecological” Space, Eco-Environmental Effects and Its Influencing Factors in China. J. Nat. Resour. 2021, 36, 1116–1135. [Google Scholar] [CrossRef]
13. Wang, J.; Sun, Q.; Zou, L. Spatial-Temporal Evolution and Driving Mechanism of Rural Production-Living-Ecological Space in Pingtan Islands, China. Habitat Int. 2023, 137, 102833. [Google Scholar] [CrossRef]
14. Yang, F.; Yang, X.; Wang, Z.; Sun, Y.; Zhang, Y.; Xing, H.; Wang, Q. Spatiotemporal Evolution of Production–Living–Ecological Land and Its Eco-Environmental Response in China’s Coastal Zone. Remote Sens. 2023, 15, 3039. [Google Scholar] [CrossRef]
15. Zhu, J.; Shang, Z.; Long, C.; Lu, S. Functional Measurements, Pattern Evolution, and Coupling Characteristics of “Production-Living-Ecological Space” in the Yangtze Delta Region. Sustainability 2023, 15, 16712. [Google Scholar] [CrossRef]
16. Dong, Z.; Zhang, J.; Si, A.; Tong, Z.; Na, L. Multidimensional Analysis of the Spatiotemporal Variations in Ecological, Production and Living Spaces of Inner Mongolia and an Identification of Driving Forces. Sustainability 2020, 12, 7964. [Google Scholar] [CrossRef]
17. Xia, N.; Hai, W.; Tang, M.; Song, J.; Quan, W.; Zhang, B.; Ma, Y. Spatiotemporal Evolution Law and Driving Mechanism of Production–Living–Ecological Space from 2000 to 2020 in Xinjiang, China. Ecol. Indic. 2023, 154, 110807. [Google Scholar] [CrossRef]
18. Zhang, R.; Li, S.; Wei, B.; Zhou, X. Characterizing Production–Living–Ecological Space Evolution and Its Driving Factors: A Case Study of the Chaohu Lake Basin in China from 2000 to 2020. ISPRS Int. J. Geo-Inf. 2022, 11, 447. [Google Scholar] [CrossRef]
19. Jin, J.; Yin, S.; Yin, H.; Bai, X. Eco–Environmental Effects of “Production–Living–Ecological” Space Land Use Changes and Recommendations for Ecological Restoration: A Case Study of the Weibei Dryland in Shaanxi Province. Land 2023, 12, 1060. [Google Scholar] [CrossRef]
20. Wang, Y.; Wang, Y.; Xia, T.; Li, Y.; Li, Z. Land-Use Function Evolution and Eco-Environmental Effects in the Tarim River Basin from the Perspective of Production–Living–Ecological Space. Front. Environ. Sci. 2022, 10, 1004274. [Google Scholar] [CrossRef]
21. Wang, Y.; Wang, Y.; Xu, W.; Sheng, Z.; Zhu, Z.; Tang, H. Eco-Environmental Effect and Driving Factors of Changing “Production-Living-Ecological Space” in Northern Xinjiang, China. Front. Ecol. Evol. 2023, 11, 1248702. [Google Scholar] [CrossRef]
22. Gao, Z.Y.; Zhang, H.F.; Yang, X.N.; Song, Z.Y. Assessing the Impacts of Ecological-Living-Productive Land Changes on Eco-Environmental Quality in Xining City on Qinghai-Tibet Plateau, China. Sci. Cold Arid Reg. 2019, 11, 194–207. Available online: https://www.cabidigitallibrary.org/doi/full/10.5555/20209902004 (accessed on 7 July 2024).
23. Li, K.; Feng, M.; Biswas, A.; Su, H.; Niu, Y.; Cao, J. Driving Factors and Future Prediction of Land Use and Cover Change Based on Satellite Remote Sensing Data by the LCM Model: A Case Study from Gansu Province, China. Sensors 2020, 20, 2757. [Google Scholar] [CrossRef]
24. He, X.; Liu, W. Analysis of Spatial Patterns and Influencing Factors of Farmland Transfer in China Based on ESDA-GeoDetector. Sci. Rep. 2024, 14, 12485. [Google Scholar] [CrossRef]
25. Wang, H.; Qin, F.; Xu, C.; Li, B.; Guo, L.; Wang, Z. Evaluating the Suitability of Urban Development Land with a Geodetector. Ecol. Indic. 2021, 123, 107339. [Google Scholar] [CrossRef]
26. Xu, D.; Zhang, K.; Cao, L.; Guan, X.; Zhang, H. Driving Forces and Prediction of Urban Land Use Change Based on the Geodetector and CA-Markov Model: A Case Study of Zhengzhou, China. Int. J. Digit. Earth 2022, 15, 2246–2267. [Google Scholar] [CrossRef]
27. Asempah, M.; Sahwan, W.; Schütt, B. Assessment of Land Cover Dynamics and Drivers of Urban Expansion Using Geospatial and Logistic Regression Approach in Wa Municipality, Ghana. Land 2021, 10, 1251. [Google Scholar] [CrossRef]
28. Lin, X.; Fu, H. Multi-Scenario Simulation Analysis of Cultivated Land Based on PLUS Model—A Case Study of Haikou, China. Front. Ecol. Evol. 2023, 11, 1197419. [Google Scholar] [CrossRef]
29. Sun, X.; Jian-hui, X.U.E.; Li-na, D. Spatiotemporal Change and Prediction of Carbon Storage in Nanjing Ecosystem Based on PLUS Model and InVEST Model. J. Ecol. Rural Environ. 2023, 39, 41–51. [Google Scholar] [CrossRef]
30. Wang, J.; Wu, Y.; Gou, A. Habitat Quality Evolution Characteristics and Multi-Scenario Prediction in Shenzhen Based on PLUS and InVEST Models. Front. Environ. Sci. 2023, 11, 1146347. [Google Scholar] [CrossRef]
31. Xu, X.; Kong, W.; Wang, L.; Wang, T.; Luo, P.; Cui, J. A Novel and Dynamic Land Use/Cover Change Research Framework Based on an Improved PLUS Model and a Fuzzy Multiobjective Programming Model. Ecol. Inform. 2024, 80, 102460. [Google Scholar] [CrossRef]
32. Basse, R.M. Land Use Changes Modelling Using Advanced Methods: Cellular Automata and Artificial Neural Networks. The Spatial and Explicit Representation of Land Cover Dynamics at the Cross-Border Region Scale. Appl. Geogr. 2014, 53, 160–171. [Google Scholar] [CrossRef]
33. Liang, X.; Guan, Q.; Clarke, K.C.; Chen, G.; Guo, S.; Yao, Y. Mixed-Cell Cellular Automata: A New Approach for Simulating the Spatio-Temporal Dynamics of Mixed Land Use Structures. Landsc. Urban Plan. 2021, 205, 103960. [Google Scholar] [CrossRef]
34. Rahnama, M.R. Forecasting Land-Use Changes in Mashhad Metropolitan Area Using Cellular Automata and Markov Chain Model for 2016-2030. Sustain. Cities Soc. 2021, 64, 102548. [Google Scholar] [CrossRef]
35. Xu, Q.; Zhu, A.-X.; Liu, J. Land-Use Change Modeling with Cellular Automata Using Land Natural Evolution Unit. CATENA 2023, 224, 106998. [Google Scholar] [CrossRef]
36. Chasia, S.; Olang, L.O.; Sitoki, L. Modelling of Land-Use/Cover Change Trajectories in a Transboundary Catchment of the Sio-Malaba-Malakisi Region in East Africa Using the CLUE-s Model. Ecol. Model. 2023, 476, 110256. [Google Scholar] [CrossRef]
37. Kiziridis, D.A.; Mastrogianni, A.; Pleniou, M.; Tsiftsis, S.; Xystrakis, F.; Tsiripidis, I. Improving the Predictive Performance of CLUE-S by Extending Demand to Land Transitions: The Trans-CLUE-S Model. Ecol. Model. 2023, 478, 110307. [Google Scholar] [CrossRef]
38. Verburg, P.H.; Soepboer, W.; Veldkamp, A.; Limpiada, R.; Espaldon, V.; Mastura, S.S.A. Modeling the Spatial Dynamics of Regional Land Use: The CLUE-S Model. Environ. Manag. 2002, 30, 391–405. [Google Scholar] [CrossRef]
39. Gu, C.; Guan, W.; Liu, H. Chinese Urbanization 2050: SD Modeling and Process Simulation. Sci. China Earth Sci. 2017, 60, 1067–1082. [Google Scholar] [CrossRef]
40. Wang, Z.; Li, X.; Mao, Y.; Li, L.; Wang, X.; Lin, Q. Dynamic Simulation of Land Use Change and Assessment of Carbon Storage Based on Climate Change Scenarios at the City Level: A Case Study of Bortala, China. Ecol. Indic. 2022, 134, 108499. [Google Scholar] [CrossRef]
41. Zhang, P.; Liu, L.; Yang, L.; Zhao, J.; Li, Y.; Qi, Y.; Ma, X.; Cao, L. Exploring the Response of Ecosystem Service Value to Land Use Changes under Multiple Scenarios Coupling a Mixed-Cell Cellular Automata Model and System Dynamics Model in Xi’an, China. Ecol. Indic. 2023, 147, 110009. [Google Scholar] [CrossRef]
42. Zhang, Z.; Li, X.; Liu, X.; Zhao, K. Dynamic Simulation and Projection of Land Use Change Using System Dynamics Model in the Chinese Tianshan Mountainous Region, Central Asia. Ecol. Model. 2024, 487, 110564. [Google Scholar] [CrossRef]
43. Liang, X.; Guan, Q.; Clarke, K.C.; Liu, S.; Wang, B.; Yao, Y. Understanding the Drivers of Sustainable Land Expansion Using a Patch-Generating Land Use Simulation (PLUS) Model: A Case Study in Wuhan, China. Comput. Environ. Urban Syst. 2021, 85, 101569. [Google Scholar] [CrossRef]
44. Hsu, W.-L.; Shen, X.; Xu, H.; Zhang, C.; Liu, H.-L.; Shiau, Y.-C. Integrated Evaluations of Resource and Environment Carrying Capacity of the Huaihe River Ecological and Economic Belt in China. Land 2021, 10, 1168. [Google Scholar] [CrossRef]
45. Song, M.; Xie, Q. Evaluation of Urban Competitiveness of the Huaihe River Eco-Economic Belt Based on Dynamic Factor Analysis. Comput. Econ. 2021, 58, 615–639. [Google Scholar] [CrossRef]
46. Wang, H.; Feng, R.; Li, X.; Yang, Y.; Pan, Y. Land Use Change and Its Impact on Ecological Risk in the Huaihe River Eco-Economic Belt. Land 2023, 12, 1247. [Google Scholar] [CrossRef]
47. Wu, X.; Shen, C.; Shi, L.; Wan, Y.; Ding, J.; Wen, Q. Spatio-Temporal Evolution Characteristics and Simulation Prediction of Carbon Storage: A Case Study in Sanjiangyuan Area, China. Ecol. Inform. 2024, 80, 102485. [Google Scholar] [CrossRef]
48. Takada, T.; Miyamoto, A.; Hasegawa, S.F. Derivation of a Yearly Transition Probability Matrix for Land-Use Dynamics and Its Applications. Landsc. Ecol. 2010, 25, 561–572. [Google Scholar] [CrossRef]
49. Xiao, X.; Huang, X.; Jiang, L.; Jin, C. Empirical Study on Comparative Analysis of Dynamic Degree Differences of Land Use Based on the Optimization Model. Geocarto Int. 2022, 37, 9847–9864. [Google Scholar] [CrossRef]
50. Sánchez-Martín, J.-M.; Rengifo-Gallego, J.-I.; Blas-Morato, R. Hot Spot Analysis versus Cluster and Outlier Analysis: An Enquiry into the Grouping of Rural Accommodation in Extremadura (Spain). ISPRS Int. J. Geo-Inf. 2019, 8, 176. [Google Scholar] [CrossRef]
51. Wang, J.; Xu, C. Geodetector: Principle and prospective. Acta Geogr. Sin. 2017, 72, 116–134. [Google Scholar]
52. Xu, X.; Wang, S.; Rong, W. Construction of Ecological Network in Suzhou Based on the PLUS and MSPA Models. Ecol. Indic. 2023, 154, 110740. [Google Scholar] [CrossRef]
53. Li, M.; Liu, S.; Wang, F.; Liu, H.; Liu, Y.; Wang, Q. Cost-Benefit Analysis of Ecological Restoration Based on Land Use Scenario Simulation and Ecosystem Service on the Qinghai-Tibet Plateau. Glob. Ecol. Conserv. 2022, 34, e02006. [Google Scholar] [CrossRef]
Hu W, Cheng J, Zheng M, Jin X, Yao J, Guo F. A Multi-Scenario Simulation and Driving Factor Analysis of Production–Living–Ecological Land in China’s Main Grain Producing Areas: A Case Study of the Huaihe River Eco-Economic Belt. Agriculture. 2025; 15(3):349. https://doi.org/10.3390/agriculture15030349
Перевод статьи «A Multi-Scenario Simulation and Driving Factor Analysis of Production–Living–Ecological Land in China’s Main Grain Producing Areas: A Case Study of the Huaihe River Eco-Economic Belt» авторов Hu W, Cheng J, Zheng M, Jin X, Yao J, Guo F., оригинал доступен по ссылке. Лицензия: CC BY. Изменения: переведено на русский язык
Фото: freepik























Комментарии (0)