Анализ динамики взаимодействия почвы и соломы в солонцеватых почвах при двухосевой ротационной обработке на основе EDEM
Для решения проблем, связанных с низкой степенью измельчения почвы, недостаточным мульчированием соломой и плохим выравниванием поверхности после вспашки, характерных для традиционной ротационной обработки в прибрежных солонцеватых землях дельты Хуанхэ, была разработана машина для послойного измельчения почвы с ротационными рабочими органами, комбинирующая Г-образные мелиоративные ножи и ротационно-мелиоративные ножи. Предложен режим двухактивного послойного измельчения почвы, а также определены ключевые конструктивные параметры, расположение осей ножей и пространственная компоновка Г-образных мелиоративных и ротационно-мелиоративных ножей на основе анализа принципа скользящего резания.
С использованием программы EDEM построена дискретная модель агрегатов почвенно-соломенных компонентов, адаптированная для условий прибрежных солонцеватых земель. С микроскопической точки зрения выполнен всесторонний анализ влияния Г-образных мелиоративных и ротационно-мелиоративных ножей на перемещение пахотного слоя и заглубление соломы в солонцеватой почве.
В качестве экспериментальных факторов приняты частота вращения Г-образных мелиоративных ножей, частота вращения ротационно-мелиоративных ножей и скорость поступательного движения машины. Оценочными показателями служили степень измельчения почвы и степень заглубления соломы. На основе оптимизационного анализа получены следующие оптимальные параметры: частота вращения Г-образных мелиоративных ножей — 295,04 об/мин, частота вращения ротационно-мелиоративных ножей — 359,06 об/мин, скорость поступательного движения — 3,12 км/ч. При этом теоретическая степень измельчения солонцеватой почвы составила 94,67 %, степень заглубления соломы — 93,56 %.
Полевые испытания показали, что после обработки почвы ротационным культиватором послойного измельчения с комбинированными Г-образными мелиоративными и ротационно-мелиоративными ножами средняя степень измельчения почвы достигает 94,37 %, степень заглубления соломы — 95,68 %, выравненность поверхности — 25,82 мм, а стабильность глубины обработки — 95,64 %. По своим эксплуатационным показателям разработанная машина превосходит традиционные одноосевые ротационные культиваторы и позволяет обеспечить требования к подготовке гряд в условиях солонцеватых земель.
1. Введение
В настоящее время площадь солонцеватых земель в Китае составляет около 1500 тыс. км², из которых около 110 тыс. км² могут быть непосредственно использованы, что делает их важным резервом пахотных земель [1,2]. С непрерывным развитием механизации сельского хозяйства различное сельскохозяйственное оборудование применяется в различных производственных процессах возделывания культур на солонцеватых землях, включая обработку почвы, посев, уход за посевами и уборку урожая, что дополнительно повышает эффективность и качество сельскохозяйственного производства на солонцеватых землях [3,4]. Обработка почвы и предпосевная подготовка являются первичными и важнейшими звеньями в сельскохозяйственном производстве на солонцеватых землях, играя важную роль в повышении всхожести культур и снижении заболеваемости, напрямую влияя на состояние роста и качество культур на солонцеватых землях. Из-за склонности пахотного слоя солонцеватых земель к уплотнению и повышению твердости существующее оборудование для обработки почвы и предпосевной подготовки сталкивается с такими проблемами, как низкая степень измельчения почвы, плохое мульчирование соломой и низкая эффективность работы [5,6,7]. Таким образом, повышение качества и эффективности процесса обработки почвы и предпосевной подготовки на солонцеватых землях является актуальным направлением в области сельскохозяйственного машиностроения.
В процессе обработки почвы и предпосевной подготовки рабочие органы обычно вступают в прямой контакт с почвой, и существующие экспериментальные методы затрудняют выявление динамической взаимосвязи между рабочими органами и почвой. В последние годы метод дискретных элементов широко используется для анализа траекторий движения и динамических характеристик рабочих органов и почвы с микроскопической точки зрения [8,9,10,11].
Качество подготовки гряд для посадки на солонцеватых землях главным образом зависит от конструктивных и эксплуатационных параметров почвообрабатывающего оборудования, таких как конструкция ротационных ножей, частота вращения вала ножей, скорость поступательного движения и глубина обработки [12,13]. В последние годы ученые в стране и за рубежом провели систематические исследования эксплуатационных характеристик оборудования для обработки почвы и предпосевной подготовки в различных условиях и типах. Лю и др. [14] разработали вибрационную сепарирующую систему ротационного культиватора для решения проблемы прилипания и наматывания между ротационным культиватором, почвой и соломой в процессе обработки и провели полевые сравнительные эксперименты. Результаты экспериментов показали, что система может эффективно повысить эффективность работы и сепарирующую способность. Ду и др. [15] проанализировали влияние различных моделей контакта почвенных частиц на результаты экспериментов для исследования эффективности ротационных ножей и спиральных горизонтальных ножей. В сочетании с имитационными экспериментами в EDEM было показано, что эффективность спиральных горизонтальных ножей выше, чем у обычных ротационных ножей. Ли и др. [16] исследовали влияние таких параметров, как тип ротационных ножей, частота вращения вала ножей и количество ножей в одном сечении, на эффективность обработки. Результаты экспериментов показали, что конструктивные и рабочие параметры ротационного культиватора влияют на степень измельчения почвы и крутящий момент на валу ножей. Чжао и др. [17] разработали новое ротационное почвообрабатывающее устройство для традиционных сеялок пшеницы для решения проблем недостаточного измельчения почвы и низкой эффективности удаления соломы. Сочетая имитационные эксперименты с использованием метода дискретных элементов и ортогональные комбинации, они исследовали факторы, влияющие на степень измельчения почвы и степень удаления соломы. Эксперименты показали, что увеличение частоты вращения ротационных ножей может эффективно повысить степень измельчения почвы и заглубления соломы. Мд. А. Матин и др. [18] проанализировали эффективность обработки трех типов С-образных ротационных ножей во влажных глинистых почвах, и результаты показали, что нож с прямым углом показал наилучшую эффективность при глубине обработки 75 мм и 100 мм. У и др. [19] создали дискретную модель почвы с остатками кукурузы с использованием EDEM для исследования поведения остатков кукурузы при движении в процессе обработки. Были систематически проанализированы динамические изменения остатков при различных углах наклона диска. Результаты экспериментов показали, что с увеличением длины остатков усилие резания и степень смешивания остатков проявляли тенденцию к росту. Пракхар Патидар и др. [20] создали дискретную модель почвы и ротационного культиватора в сочетании с EDEM для исследования динамических характеристик процесса обработки вертикальным ротационным культиватором. Они систематически проанализировали изменения тягового усилия и крутящего момента ротационного культиватора при различных глубинах обработки, что указывает на то, что EDEM может проводить дискретный анализ при различных почвенных условиях. Чжэн и др. [21] создали дискретную модель гибкой соломы с связанной моделью для решения проблемы прилипания соломы в процессе возделывания. В сочетании с системой EDEM они проанализировали влияние частоты вращения вала ножей, радиуса направляющей пластины и угла стерневой пластины на экспериментальные показатели.
В данной статье основное внимание уделяется проблемам низкой степени измельчения почвы, низкой степени заглубления соломы и низкой стабильности глубины обработки в традиционном режиме обработки прибрежных солонцеватых земель. Разработана комбинированная почвообрабатывающая машина на основе двухосевого послойного измельчения почвы. Сочетая характеристики уплотнения и твердости почвы солонцеватых земель, систематически исследуются динамические характеристики компонентов системы почва–солома–рабочие органы в солонцеватых землях. С помощью имитационного анализа методом дискретных элементов с микроскопической точки зрения всесторонне анализируется влияние двухосевой ротационной обработки на перемещение почвенных слоев и заглубление соломы в солонцеватых землях. Эффективность обработки двухосевого ротационного культиватора для послойного измельчения почвы проверяется полевыми экспериментами с целью обеспечения теоретической основы для оптимизации и совершенствования конструкции оборудования для обработки солонцеватых земель в прибрежной зоне дельты Хуанхэ.
2. Материалы и методы
2.1. Общая структура и принцип работы
Для решения проблем низкой степени измельчения почвы, низкого уровня мульчирования соломой и плохого выравнивания поверхности после вспашки в традиционном режиме работы ротационного культиватора на прибрежных солонцеватых землях дельты Хуанхэ, исходя из характеристик солонцеватой почвы, конструкция машины должна обеспечивать функции измельчения солонцеватой почвы и соломы, их заглубления, прикатывания и т.д., в результате чего была определена общая конструкция машины.
Двухосевая машина для послойного уплотнения почвы на солонцеватых землях использует двухступенчатый метод измельчения почвы и прикатывания для предпосевной подготовки,主要包括 раму, трехточечное навесное устройство, трансмиссию, устройство для измельчения почвы первой ступени с прямым вращением, устройство для измельчения почвы второй ступени с прямым вращением, гидравлическую систему и прикатывающий каток, как показано на рисунке 1. Устройство для измельчения почвы первой ступени с прямым вращением в основном включает Г-образные мелиоративные ножи (LRRB), ножевые диски, валы ножей и т.д. для обеспечения первого этапа измельчения и транспортировки солонцеватой почвы; устройство для ротационного измельчения почвы второй ступени в основном включает ротационно-мелиоративные ножи (RRRB), ножевые диски, валы ножей и т.д., которые главным образом обеспечивают вторичное измельчение солонцеватой почвы. Основные технические параметры показаны в таблице 1.
Рисунок 1. Двухосевая машина для послойного измельчения почвы и удаления стерни на солонцеватых землях.
Таблица 1. Основные технические параметры машины.
При работе двухосевой машины для послойного уплотнения почвы на солонцеватых землях она приводится в действие от ВОМ трактора. Редуктор одновременно приводит в действие устройство для уплотнения почвы первой ступени и устройство для ротационного уплотнения почвы второй ступени для выполнения операций по уплотнению почвы. Устройство для уплотнения почвы первой ступени вращается по часовой стрелке для достижения предварительного измельчения поверхностных почвенно-соломенных агрегатов на солонцеватых землях, в то время как устройство для ротационного уплотнения почвы второй ступени вращается по часовой стрелке для выполнения вторичного измельчения поверхностных почвенно-соломенных агрегатов и полного измельчения глубоких слоев солонцеватой почвы. Под действием прикрывающей пластины для измельченной почвы эффективность измельчения почвенно-соломенных агрегатов на солонцеватых землях была дополнительно повышена. Наконец, прикатывающий каток завершил прикатывание семенного ложа. Принцип работы показан на рисунке 2.
Рисунок 2. Принцип работы машины.
2.2. Проектирование и анализ ключевых компонентов
2.2.1. Конструктивный анализ Г-образных мелиоративных ножей
Для повышения качества и эффективности возделывания на солонцеватых землях в данной статье разработаны Г-образные мелиоративные ножи на основе характеристик пахотного слоя прибрежных солонцеватых земель и требований к возврату соломы. Одновременно систематически исследуются динамические характеристики мелиоративного ножа при работе по измельчению почвы и удалению стерни на солонцеватых землях, как показано на рисунке 3. v — скорость поступательного движения машины, м/с; ω — частота вращения Г-образных мелиоративных ножей, об/мин; R — радиус вращения Г-образных мелиоративных ножей, мм; f — сила трения в процессе ротационной обработки и удаления стерни Г-образными мелиоративными ножами, Н; φ — угол трения между соломой пшеницы и солонцеватой почвой, °; F — сила воздействия соломы пшеницы и солонцеватой почвы на Г-образные мелиоративные ножи в процессе возделывания, Н; Fₙ — нормальная составляющая общей силы Г-образных мелиоративных ножей, Н; F_τ — тангенциальная составляющая общей силы Г-образных мелиоративных ножей, Н; α — динамический угол скольжения Г-образных мелиоративных ножей, °; H — рабочая глубина, мм.
Рисунок 3. Анализ динамических характеристик Г-образных мелиоративных ножей.
Для анализа механических соотношений при измельчении почвы и удалении стерни в процессе возделывания Г-образными мелиоративными ножами были разложены нормальная и тангенциальная составляющие по направлению n режущей кромки мелиоративного ножа, получены нормальная и тангенциальная силы Г-образных мелиоративных ножей, как показано в уравнении (1).
где μ — коэффициент трения между Г-образными мелиоративными ножами и солонцеватой почвой, соломой пшеницы.
Для снижения рабочего сопротивления Г-образных мелиоративных ножей в процессе обработки и повышения эффективности измельчения почвы и удаления стерни необходимо уменьшить нормальную силу режущей кромки, увеличить тангенциальную силу режущей кромки и усилить скользяще-режущую способность [22,23]. Необходимо выполнить следующие условия, как показано в уравнении (2).
Объединяя уравнение (2), для достижения высокоэффективного возделывания Г-образными мелиоративными ножами необходимо, чтобы угол скользящего резания Г-образных мелиоративных ножей был больше угла трения солонцеватой почвы и соломы пшеницы при контакте с рабочим органом [24]. В данной работе систематически измерен угол трения агрегатов солонцеватой почвы и соломы пшеницы на глубине 0–200 мм. Каждый эксперимент повторялся пять раз, и в качестве результата принималось среднее значение, как показано в таблице 2.
Таблица 2. Результаты измерений угла трения скольжения между солонцеватой почвой и соломой пшеницы.
На основе результатов измерений угла трения между Г-образными мелиоративными ножами и почвой и соломой пшеницы на солонцеватых землях, для повышения эффективности измельчения и заглубления почвенно-соломенных агрегатов в данной работе динамический угол скользящего резания Г-образных мелиоративных ножей был установлен равным 32°.
Г-образные мелиоративные ножи в процессе возделывания совершают сложное движение в направлении движения машины с траекторией трохоидального движения [25]. Срезанные частицы солонцеватой почвы и соломы отбрасываются назад в зону работы ротационно-мелиоративных ножей. Для исследования динамических характеристик процесса отбрасывания почвы и соломы в данной работе в качестве объекта эксперимента принимается срезание агрегатов почвы и соломы на солонцеватых землях Г-образными мелиоративными ножами, и устанавливается трехмерная система координат для процесса отбрасывания Г-образными мелиоративными ножами и агрегатов почвы и соломы с центром вращения вала ножей в качестве начала координат, как показано на рисунке 4. Метод расчета показан в уравнении (3). В котором vₘ — скорость поступательного движения машины, м/с; L₁ — начальная точка резания агрегатов соломы в солонцеватой почве; L₂ — конечная точка резания агрегатов соломы в солонцеватой почве; vₐ — результирующая скорость Г-образных мелиоративных ножей, м/с; v_b — составляющая скорости боковой режущей кромки Г-образных мелиоративных ножей, м/с; v_c — составляющая скорости в тангенциальном направлении кругового движения Г-образных мелиоративных ножей, м/с.
где vₓ — составляющая скорости агрегатов почвы и соломы по оси X, м/с; vᵧ — составляющая скорости агрегатов почвы и соломы по оси Y, м/с; v₂ — составляющая скорости агрегатов почвы и соломы по оси Z, м/с; vₘ — скорость поступательного движения машины, м/с; β — угол между передней и боковой секциями Г-образных мелиоративных ножей, °; t — время работы, с.
Рисунок 4. Анализ процесса измельчения агрегатов почва–солома в солонцеватых землях.
Как показано на рисунке 4, Г-образные мелиоративные ножи выполняют ротационную обработку от точки L₁ до L₂ против часовой стрелки. В точке L₂ абсолютная скорость отделения агрегата почва–солома от рабочего органа может быть разложена на тангенциальное направление кругового движения рабочего органа и составляющую скорости боковой секции рабочего органа. После отделения агрегат почва–солома, отделяющийся от боковой секции рабочего органа, отбрасывается назад по тангенциальному направлению кончика ножа. Метод расчета показан в уравнении (4).
где α — угол между vₐ и v_c, °.
Из уравнений (3) и (4) можно заключить, что эффективность транспортировки и отделения агрегатов почва–солома на солонцеватых землях положительно коррелирует с составляющей их скорости по оси Z при отрыве от Г-образных мелиоративных ножей, и необходимо выполнить следующее условие:
В процессе возделывания агрегаты почва–солома отбрасываются назад по тангенциальному направлению сложного движения рабочего органа под углом α, и составляющая скорости по оси Z пропорциональна радиусу вращения рабочего органа, углу между нормальной и боковой секциями рабочего органа и частоте вращения вала рабочего органа. Для повышения эффективности измельчения и транспортировки агрегатов солонцеватой почвы и соломы угол между нормальной и боковой секциями рабочего органа был определен равным 95°.
Как показано на рисунке 5, Г-образные мелиоративные ножи режут солому пшеницы по часовой стрелке. Для повышения эффективности измельчения соломы пшеницы солома должна удовлетворять следующим механическим соотношениям в вертикальном и горизонтальном направлениях. F₁ — сила трения солонцеватой почвы о солому, Н; F₂ — тангенциальная сила Г-образных мелиоративных ножей, действующая на солому пшеницы, Н; F₃ — нормальная сила Г-образных мелиоративных ножей, действующая на солому пшеницы, Н; F₄ — сила реакции опоры солонцеватой почвы на солому, Н; φ₁ — угол трения между солонцеватой почвой и соломой пшеницы, °; φ₂ — угол трения между Г-образными мелиоративными ножами и соломой пшеницы, °; γ — угол между F₃ и вертикальной линией к поверхности земли, °.
Рисунок 5. Анализ динамики соломы пшеницы.
Объединяя уравнение (6), получается модель взаимосвязи между конструктивными параметрами Г-образных мелиоративных ножей и механическими свойствами соломы пшеницы, как показано в уравнениях (7) и (8).
Объединяя уравнения (7) и (8), получается следующая параметризованная зависимость:
Согласно уравнению (8), при постоянном радиусе вращения Г-образных мелиоративных ножей γ положительно коррелирует с глубиной резания мелиоративных ножей. Согласно уравнению (9), чем меньше значение γ, тем выше эффективность резания соломы пшеницы в процессе возделывания. Следовательно, чем меньше глубина резания h мелиоративных ножей, тем лучше можно удовлетворить режущую способность соломы пшеницы. В данной работе, с учетом физических характеристик соломы пшеницы в прибрежных солонцеватых землях, h определена равной 100 мм. Поэтому увеличение радиуса вращения R Г-образных мелиоративных ножей способствует повышению режущей способности соломы. Одновременно угол трения между солонцеватой почвой и соломой пшеницы, измеренный с помощью прибора для измерения трения скольжения, составил 28,4°, а угол трения между Г-образным мелиоративным ножом и соломой пшеницы составил 25,2°. Рассчитанный R оказался больше 243,90 мм, и радиус вращения R был определен равным 244 мм, а рабочая ширина b₁ — 154 мм.
2.2.2. Проектирование кривой боковой режущей кромки Г-образных мелиоративных ножей
Кривая боковой режущей кромки Г-образных мелиоративных ножей выполнена по архимедовой спирали. Угол скользящего резания этой спирали может увеличиваться с увеличением рабочего радиуса, что позволяет увеличить глубину обработки, улучшить режущую способность соломы и снизить рабочее сопротивление [26]. Уравнение кривой боковой режущей кромки показано в уравнении (10).
где ρ — кривая боковой режущей кромки Г-образных мелиоративных ножей; ρ₀ — шаг резания Г-образного мелиоративного ножа, мм; i — приращение полярного радиуса, соответствующее увеличению полярного угла спирали боковой режущей кромки на 1 радиан, мм; θ_α — любой полярный угол спирали боковой режущей кромки в любой точке, °.
Чтобы избежать резания агрегатов почвы и соломы в безлезвийной части Г-образных мелиоративных ножей и снижения эффективности работы, начальный диаметр спирали боковой режущей кромки ρ₀ должен удовлетворять следующему условию, как показано в уравнении (11).
где S — начальный диаметр спирали боковой режущей кромки Г-образных мелиоративных ножей, мм.
Полярный угол в конечной точке спирали боковой режущей кромки Г-образных мелиоративных ножей удовлетворяет следующему соотношению, как показано в уравнении (12).
где τₙ — угол скользящего резания в конце спирали боковой режущей кромки Г-образных мелиоративных ножей, °.
2.2.3. Проектирование кривой касательной режущей кромки Г-образных мелиоративных ножей
Кривая касательной режущей кромки Г-образных мелиоративных ножей спроектирована и проанализирована с использованием эксцентричной круговой кривой, как показано в уравнении (13). Эта кривая может увеличить ударную силу рабочих органов на солонцеватую почву и повысить степень измельчения почвы.
где r_ρ — радиус эксцентричной круговой кривой, мм; e₀ — коэффициент эксцентриситета эксцентричной круговой кривой; τₛ — статический угол скольжения эксцентричной круговой кривой, °; η — эксцентрический угол эксцентричной круговой кривой, °.
2.2.4. Компоновка Г-образных мелиоративных ножей
Для повышения эффективности измельчения почвы и удаления стерни Г-образными мелиоративными ножами на ножевой головке установлено шесть Г-образных мелиоративных ножей, при этом соседние ножи установлены под углом 60°. Метод расчета общего количества мелиоративных ножей, установленных на валу ножей, показан в уравнении (14).
где Z₁ — общее количество установленных Г-образных мелиоративных ножей принимается кратным 6; Zₐ — количество ножей, установленных в одном поперечном сечении вала ножей, в данной работе равно 6; b₁ — рабочая ширина Г-образных мелиоративных ножей, мм, в данной работе принимается 154; Δb₁ — разница между монтажным шагом ножедержателя и рабочей шириной Г-образных мелиоративных ножей, мм, обычно находится в пределах 15–20 мм, в данной работе принято 20 мм.
Согласно приведенному выше методу расчета, Z₁ определено равным 36, что означает, что на левом и правом валах ножей необходимо установить 72 Г-образных мелиоративных ножа.
2.2.5. Проектирование кривой боковой режущей кромки ротационно-мелиоративных ножей
Кривая боковой режущей кромки ротационно-мелиоративных ножей спроектирована и проанализирована с использованием синусоидальной индексной кривой, которая обеспечивает пропорциональность статического угла скользящего резания кривой кромки ротационно-мелиоративного ножа полярному углу и может повысить эффективность вторичного измельчения и заглубления частиц почвы и соломы в солонцеватой почве в процессе возделывания ротационно-мелиоративными ножами, предотвращая наматывание травы на рукоятку [27]. Кривая описывается уравнением (15).
где ρ₁ — начальный полярный диаметр кривой боковой режущей кромки ротационно-мелиоративных ножей, мм; τ₀ — статический угол скольжения кривой боковой режущей кромки ротационно-мелиоративных ножей, °; K — коэффициент уменьшения статического угла скольжения кривой боковой режущей кромки ротационно-мелиоративных ножей; θ₁ — полярный угол в любой точке кривой боковой режущей кромки ротационно-мелиоративных ножей, рад.
Выбор различных начальных точек для кривой боковой режущей кромки ротационно-мелиоративных ножей определяет эффективность ротационно-мелиоративных ножей, а также соотношение статического угла скользящего резания и его уменьшения. Для удовлетворения требований к измельчению и заглублению почвы и соломы на солонцеватых землях ротационно-мелиоративный нож спроектирован с глубиной обработки h₁ 175 мм, радиусом вращения R₁ 275 мм, углом 115° между передней и боковой секциями ротационного ножа, рабочей шириной b₂ 54 мм и начальным радиусом кривой боковой режущей кромки 180 мм. Чтобы боковая режущая кромка ротационно-мелиоративных ножей не наматывала траву во время работы, угол скользящего резания кромки у рукоятки ротационно-мелиоративного ножа должен быть больше угла скользящего резания в конечной точке кривой боковой режущей кромки. Если угол скользящего резания ротационного мелиоративного ножа слишком велик, это увеличит рабочее сопротивление. В то же время угол скользящего резания обычно находится в пределах 35°–55°, а коэффициент уменьшения статического угла скользящего резания кривой обычно находится в пределах 0,06–0,11. В данной работе статический угол скользящего резания ротационно-мелиоративных ножей спроектирован равным 55°, а коэффициент уменьшения статического угла скользящего резания — 0,11.
2.2.6. Компоновка ротационно-мелиоративных ножей
Для уменьшения степени заклинивания почвы между ножами и явления наматывания на ось ножей в одной зоне резания почвы на одном поперечном сечении вала ротационно-мелиоративных ножей установлены два ножа с углом установки 180° и углом между соседними установками 48°; ротационно-мелиоративные ножи используют скользящий ножедержатель, что может усилить скользяще-режущую способность при работе с сорняками в процессе возделывания. Метод расчета количества установки показан в уравнении (16).
где Z₂ — общее количество установленных ротационно-мелиоративных ножей принимается кратным 2; Z_b — количество ножей, установленных в одном поперечном сечении вала ножей, в данной работе равно 2; b₂ — рабочая ширина ротационно-мелиоративных ножей, мм, в данной работе принимается 54; Δb₂ — разница между монтажным шагом ножедержателя и рабочей шириной ротационно-мелиоративных ножей, мм, обычно находится в пределах 15–20 мм, в данной работе принято 20 мм.
Согласно приведенному выше методу расчета, Z₂ определено равным 30, что означает, что на левом и правом валах ножей необходимо установить 60 ротационно-мелиоративных ножей.
2.2.7. Определение относительного пространственного положения между осями ножей
При возделывании солонцеватой почвы, если горизонтальное расстояние L между осью Г-образных мелиоративных ножей и осью ротационно-мелиоративных ножей слишком мало, это вызовет забивание почвой и увеличит потребляемую мощность; когда горизонтальное расстояние L слишком велико, это снизит эффективность вторичного измельчения и заглубления частиц почвы и соломы в солонцеватой почве [28]. Для определения оптимальных параметров компоновки горизонтального расстояния между осями ножей в данной работе установлена схема относительного пространственного расположения осей ножей, как показано на рисунке 6.
Рисунок 6. Схема относительного пространственного расположения валов ножей, где L — горизонтальное расстояние между двумя осями ножей, мм.
В горизонтальном направлении ротационно-мелиоративные ножи должны удовлетворять следующей параметризованной зависимости между крайним левым и крайним правым положениями, как показано в уравнении (17).
где Rₐ — безопасное расстояние между Г-образными мелиоративными ножами и ротационно-мелиоративными ножами, мм, в данной работе принимается 30; Lₛ — горизонтальное расстояние в наивысшей точке отбрасывания агрегата почва–солома в процессе возделывания, мм, согласно ссылке [29], в данной работе принимается 190 мм.
Согласно приведенному выше методу расчета, диапазон горизонтального расстояния между двумя осями определен как 549–709 мм. Учитывая практические проблемы обработки, горизонтальное расстояние принято равным 600 мм.
2.2.8. Определение частоты вращения валов ножей
Согласно характеристикам солонцеватой почвы, скорость поступательного движения ротационного культиватора обычно находится в пределах 2–6 км/ч. В то же время частота вращения вала Г-образных мелиоративных ножей должна удовлетворять следующему условию:
где nₖ — частота вращения вала Г-образных мелиоративных ножей, об/мин; sₖ — шаг резания почвы Г-образными мелиоративными ножами, мм, в данной работе 0,05 м.
На основе уравнения частота вращения Г-образных мелиоративных ножей определена как 111,11–333,33 об/мин. На основе фактических стендовых испытаний частота вращения дополнительно определена в диапазоне 270–330 об/мин.
Объединяя уравнение (19), была определена частота вращения:
где nₓ — частота вращения вала ротационно-мелиоративных ножей, об/мин; sₓ — шаг резания почвы ротационно-мелиоративными ножами, мм, в данной работе 0,14 м.
На основе уравнения частота вращения вала ротационно-мелиоративных ножей определена как 119,04–357,14 об/мин. На основе фактических стендовых испытаний частота вращения дополнительно определена в диапазоне 300–360 об/мин.
3. Имитационный эксперимент методом дискретных элементов агрегатов почва–солома на солонцеватых землях
На основе данных литературы и полевых экспериментов [30,31,32,33] начальный диапазон значений частоты вращения вала Г-образных мелиоративных ножей установлен в пределах 270–330 об/мин, диапазон частоты вращения вала ротационно-мелиоративных ножей — 300–360 об/мин, а скорость поступательного движения — 2–6 км/ч. Впоследствии обоснованность диапазонов параметров проверяется с помощью однофакторных экспериментов. Для построения имитационной модели почвы и рабочих органов прибрежных солонцеватых земель и анализа механизма взаимодействия рабочих органов с агрегатами почва–солома при различных параметрах в данной работе на основе характеристик пахотного слоя почвы и EDEM создана дискретная модель агрегатов почва–солома на солонцеватых землях. Путем анализа механизма микро-возмущений и макро-состояния воздействия Г-образных мелиоративных ножей и ротационно-мелиоративных ножей на агрегаты почва–солома на солонцеватых землях определены оптимальные конструктивные и рабочие параметры машины в целом для достижения высокоэффективной обработки солонцеватых земель.
3.1. Дискретное моделирование солонцеватых почв
Для обеспечения научности и точности имитационного эксперимента методом дискретных элементов местом отбора почвенных образцов в данной работе выбрана Экспериментальная демонстрационная база сельскохозяйственных исследований солонцеватых земель Сельскохозяйственного высокотехнологичного промышленного демонстрационного района дельты Хуанхэ. Глубина отбора почвы составляет 0–200 мм, из которых 0–100 мм — пахотный слой, 100–150 мм — плужный слой, а 150–200 мм — подпочвенный слой. Экспериментальные параметры включают плотность почвы, влажность почвы и твердость почвы, как показано в таблице 3. Для повышения точности имитационных экспериментов в данной работе в сочетании с параметрами почвенных испытаний созданы дискретные модели одночастичной почвы, двухчастичной почвы и почвенных блоков на основе дискретных элементов радиусом 5 мм, как показано на рисунке 7. В сочетании с предыдущими исследованиями группы определены основные контактные параметры и физические свойства почвенных частиц, как показано в таблице 4.
Рисунок 7. Дискретная модель солонцеватой почвы.
Таблица 3. Основные физические параметры солонцеватых почв в различных пахотных слоях.
Таблица 4. Параметры дискретной модели почвы.
3.2. Дискретное моделирование соломы пшеницы
Основная цель имитационных экспериментов методом дискретных элементов — изучить закономерности измельчения и транспортировки соломы пшеницы в процессе возделывания. Агрегаты почва–солома в основном состоят из поверхностной соломы пшеницы и почвы. Для моделирования фактического состояния соломы пшеницы в данной работе используется метод равноудаленной выборки: образцы отбираются каждые 15 м, и каждая площадь выборки составляет 1 м × 1 м. Компоненты соломы включают в основном длинную солому, короткую солому и поверхностные остатки, распределенные в основном в диапазоне 0–160 мм. Для повышения точности эксперимента в этом исследовании случайным образом выбраны пять областей для определения распределения по размерам и массовой доли соломы пшеницы. Результаты экспериментов усреднены и показаны в таблице 5. Дискретное моделирование различных форм соломы пшеницы проведено на основе экспериментальных данных, как показано на рисунке 8. В сочетании с предыдущими исследованиями группы определены основные контактные параметры и физические свойства соломы пшеницы, как показано в таблице 6.
Рисунок 8. Дискретная модель соломы пшеницы.
Таблица 5. Распределение по размерам и массовая доля соломы пшеницы в пределах 1 м².
Таблица 6. Параметры дискретной модели соломы пшеницы.
3.3. Создание дискретной модели агрегата почва–солома пшеницы
Для моделирования фактической обработки солонцеватых земель и повышения точности имитационных экспериментов, как показано на рисунке 9, в данной работе создан экспериментальный почвенный резервуар длиной × шириной × высотой (3000 мм × 3000 мм × 300 мм), с количеством почвенных частиц 450 000, массой соломы пшеницы 4,42 кг, массой соломы A 311,45 г, массой соломы B 656,43 г, массой соломы C 1239,15 г и массой соломы D 2212,97 г. Для изучения закономерностей измельчения солонцеватой почвы и заглубления соломы в разных областях в данной работе установлены три экспериментальные области: Grid Bin 1, Grid Bin 2 и Grid Bin 3, каждая из которых имеет размеры 1000 мм в длину, 3000 мм в ширину и 300 мм в высоту. Общая продолжительность имитационного эксперимента составила 6 с, шаг испытаний — 3 × 10⁻⁵, а размер ячейки сетки в три раза превышал радиус частиц соломы [34,35]. Частота вращения вала Г-образных мелиоративных ножей установлена на 300 об/мин, частота вращения вала ротационно-мелиоративных ножей — на 330 об/мин, а скорость поступательного движения машины — на 1 м/с. В сочетании с предыдущими исследованиями группы определены основные контактные параметры и физические свойства, как показано в таблице 7.
Рисунок 9. Дискретная модель агрегата почва–солома пшеницы.
Таблица 7. Контактные параметры ротационный нож–почва.
3.4. Динамический анализ компонентов рабочий орган–почва–солома пшеницы
3.4.1. Исследование закономерностей измельчения и транспортировки почвы в солонцеватых почвах
Как показано на рисунке 10, в данной работе систематически исследуется с микроскопической точки зрения процесс измельчения и транспортировки почвы на глубине 0–18 см в области Grid Bin 2 в различные моменты времени моделирования. Как показано на рисунке 10A, в момент времени 2,8 с Г-образные мелиоративные ножи начинают измельчать и транспортировать агрегаты почвы и соломы в солонцеватых землях снизу вверх и от ближних к дальним под действием сложного движения. Сначала касательная кромка Г-образных мелиоративных ножей режет агрегаты почва–солома горизонтально для достижения ударного измельчения почвенных агрегатов. Затем боковая режущая кромка Г-образных мелиоративных ножей постепенно вырезает агрегаты почва–солома. Под действием инерции измельченная почва и солома отбрасываются назад по касательной к траектории движения Г-образных мелиоративных ножей, завершая первый этап измельчения агрегатов почва–солома на солонцеватых землях; по мере продолжения имитационного эксперимента, как показано на рисунке 10B, в момент времени 3,0 с ротационно-мелиоративные ножи выполняют вторичное измельчение на измельченных агрегатах почва–солома. Под действием сложного движения боковая режущая кромка ротационно-мелиоративных ножей продольно режет агрегаты почва–солома, а затем касательная кромка поперечно ударно измельчает агрегаты почва–солома от ближних к дальним, завершая вторичное измельчение агрегатов почва–солома в солонцеватой почве. Согласно результатам имитационных испытаний, скорость движения почвенных частиц в основном сосредоточена в зоне работы Г-образных мелиоративных ножей Q1, зоне работы ротационно-мелиоративных ножей Q2 и зоне между двумя осями ножей Q3, что соответствует результатам теоретического анализа.
Рисунок 10. Имитационный эксперимент методом дискретных элементов по изучению закономерностей измельчения и транспортировки солонцеватой почвы. (A) — состояние имитационного испытания в момент времени 2,8 с; (B) — состояние имитационного испытания в момент времени 3,0 с.
Для исследования распределения и транспортировки частиц глубоких слоев солонцеватой почвы до и после обработки в данном исследовании в качестве объекта исследования взята почва в области Q4 и систематически изучен закон движения почвы на глубине 10–18 см в процессе обработки, как показано на рисунке 11A, B. Под действием Г-образных мелиоративных ножей агрегаты солонцеватой почвы достигают первого этапа измельчения, и измельченные агрегаты отбрасываются по касательной от Г-образных мелиоративных ножей в зону работы ротационно-мелиоративных ножей, что соответствует предыдущим теоретическим результатам. Как показано на рисунке 11C, D, под непрерывным отбрасыванием Г-образными мелиоративными ножами агрегаты почвы в солонцеватых землях подвергаются вторичному измельчению и отбрасыванию под действием ротационно-мелиоративных ножей.
Рисунок 11. Имитационный эксперимент методом дискретных элементов по изучению закономерностей транспортировки и распределения по оси Y глубоких слоев почвы в солонцеватых землях. (A) — состояние имитационного испытания в момент времени 2,7 с; (B) — состояние имитационного испытания в момент времени 2,8 с; (C) — состояние имитационного испытания в момент времени 3,0 с; (D) — состояние имитационного испытания в момент времени 3,9 с.
Имитационный эксперимент методом дискретных элементов показывает, что под совместным действием Г-образных мелиоративных ножей и ротационно-мелиоративных ножей агрегаты почвы в солонцеватых землях измельчаются упорядоченно, достигается измельчение и замещение слоев солонцеватой почвы. В момент времени 3,9 с при сравнении областей почвы до и после обработки в Q4 и Q5 пространственное распределение солонцеватой почвы в области Q5 было эффективно улучшено после двухосевой ротационной обработки, а эффективность измельчения агрегатов почвы также повысилась. Имитационные эксперименты показали, что двухосевая ротационная обработка может удовлетворить требованиям к подготовке высококачественного семенного ложа в солонцеватой почве.
На рисунке 12 показаны закономерности движения и распределения солонцеватой почвы в направлениях X и Y в области Q4 до и после обработки. Как показано на рисунке 12A, до начала работы агрегаты почвы в области Q4 по оси X были в основном распределены в диапазоне 2000–3000 мм, а по оси Y — в диапазоне от –670 до –570 мм, что соответствует состоянию почвы солонцеватых земель на рисунке 11A. Как показано на рисунке 12B, с ходом имитационного эксперимента методом дискретных элементов агрегаты глубоких слоев солонцеватой почвы были эффективно перемещены в поперечном направлении (по оси X) при совместной работе Г-образных мелиоративных ножей и ротационно-мелиоративных ножей. Диапазон распределения обработанной глубокой солонцеватой почвы был эффективно расширен по оси X, достигнуто общее перемещение почвенного слоя, в основном сосредоточенное в диапазоне 1250–2500 мм, что соответствует состоянию почвы на рисунке 11D. Что касается вертикального движения (по оси Y), то под совместным движением Г-образных мелиоративных ножей и ротационно-мелиоративных ножей глубокие слои солонцеватой почвы достигли замещения почвенного слоя по оси Y. Замещенная глубокая солонцеватая почва в основном сосредоточена в диапазоне по оси Y от –650 до –450 мм.
Рисунок 12. Сравнительный эксперимент по закономерностям миграции и распределения почвы в направлениях X и Y в области Q4. (A) — состояние распределения почвенных частиц в области Q4 до обработки; (B) — состояние распределения почвенных частиц в области Q4 после обработки.
Для характеристики эффективности измельчения почвы солонцеватых земель после обработки двухосевым ротационным культиватором в данном исследовании в качестве оценочного показателя использовалось количество разрывов связей между почвенными частицами для изучения глубинного измельчения почвы солонцеватых земель в области Q4, как показано на рисунке 13. Как показано на рисунке 13A, система отображает процесс разрыва связей в солонцеватой почве в области Q4. AB представляет этап формирования агрегатов почвы в области Q4, и явление разрыва связей происходит в процессе оседания почвы в фабрике частиц. BC представляет этап индивидуальной работы Г-образных мелиоративных ножей, CD представляет этап совместной работы Г-образных мелиоративных ножей и ротационно-мелиоративных ножей, DE представляет этап совместной работы Г-образных мелиоративных ножей и ротационно-мелиоративных ножей, а EF представляет этап после обработки в области Q4. Из-за вторичного измельчения почвы ротационно-мелиоративными ножами количество разрывов связей почвенных частиц на этапе CD показало периодическое увеличение. Как показано на рисунке 13B, система отображает процесс изменения количества ненарушенных связей в солонцеватой почве в области Q4. Этапы работы аналогичны рисунку 13B. На этапе EF количество ненарушенных связей в солонцеватой почве после обработки двухосевым ротационным культиватором равно 0, что указывает на то, что двухосевая ротационная обработка может повысить степень измельчения почвы солонцеватых земель и удовлетворить требования к подготовке высококачественного семенного ложа.
Рисунок 13. Динамический процесс измельчения глубоких слоев почвы в солонцеватых землях в области Q4 во время обработки. (A) — закономерность изменения количества разорванных связей почвенных частиц; (B) — закономерность изменения количества ненарушенных связей почвенных частиц. A–B — этап формирования агрегатов почвы в области Q4; B–C — этап индивидуальной работы Г-образных мелиоративных ножей; C–D — этап совместной работы Г-образных мелиоративных ножей и ротационно-мелиоративных ножей; D–E — этап совместной работы Г-образных мелиоративных ножей и ротационно-мелиоративных ножей; E–F — этап после обработки в области Q4.
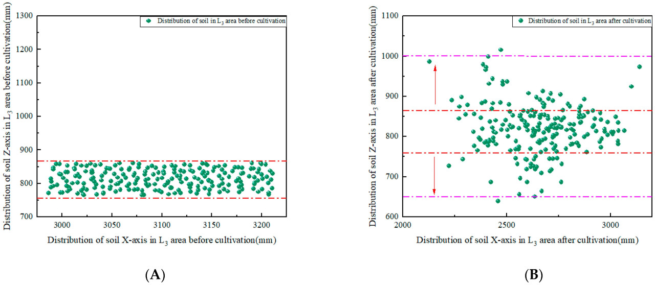
Из-за сложности традиционных экспериментальных методов в эффективном измерении пространственных изменений распределения солонцеватой почвы до и после обработки в данной работе были проведены имитационные эксперименты методом дискретных элементов и выбраны агрегаты почвы (100 мм × 200 мм) в трех областях L1, L2 и L3 солонцеватой почвы. Глубокая почва в области Grid Bin 2 была систематически проанализирована путем сравнения пространственных данных распределения почвы до и после обработки по осям X и Z, как показано на рисунке 14.
Рисунок 14. Имитационный эксперимент методом дискретных элементов по закономерностям транспортировки и распределения по осям X и Z глубоких слоев почвы в солонцеватых землях.
На рисунке 15 показаны закономерности движения и распределения солонцеватой почвы в направлениях X и Z в области L1 до и после обработки. Как показано на рисунке 15A, до начала работы агрегаты солонцеватой почвы в области L1 по оси X были в основном распределены в диапазоне 3000–3200 мм, а по оси Z — в диапазоне 980–1080 мм. Как показано на рисунке 15B, агрегаты почвы в солонцеватых землях транспортируются назад в поперечном направлении при совместной работе Г-образных мелиоративных ножей и ротационно-мелиоративных ножей в процессе обработки. В то же время солонцеватая почва испытывает двунаправленное смещение по оси Z в направлении центра до обработки. После обработки область поперечного движения (по оси X) рассеянных частиц в солонцеватых землях в основном распределена в диапазоне 1500–3000 мм, а область продольного движения (по оси Z) — в диапазоне 940–1300 мм. В то же время, сравнивая разрыв связей почвы до и после обработки, степень измельчения почвы солонцеватых земель после обработки составила 95,53%. Имитационные эксперименты показывают, что разработанные Г-образные мелиоративные ножи и ротационно-мелиоративные ножи могут эффективно улучшить поперечное и продольное смещение солонцеватой почвы во время обработки при обеспечении степени измельчения почвы.
Рисунок 15. Сравнительный эксперимент по закономерностям миграции и распределения почвы в направлениях X и Z в области L1. (A) — состояние распределения почвенных частиц в области L1 до обработки; (B) — состояние распределения почвенных частиц в области L1 после обработки.
На рисунке 16 показаны закономерности транспортировки и распределения почвы в направлениях X и Z в области L2 до и после обработки солонцеватых земель. Как показано на рисунке 16A, до начала работы агрегаты солонцеватой почвы в области L2 по оси X аналогичны таковым в области L1, а по оси Z они в основном распределены в диапазоне 880–980 мм. Как показано на рисунке 16B, закономерности горизонтального и вертикального движения почвенных частиц в обработанной области L2 аналогичны таковым в области L1. Область горизонтального движения (по оси X) почвенных частиц в обработанной солонцеватой почве в основном распределена в диапазоне 2200–3000 мм, а область вертикального движения (по оси Z) — в диапазоне 750–1100 мм. В то же время, сравнивая разрыв связей почвы до и после обработки, степень измельчения почвы солонцеватых земель после обработки составила 94,42%. Имитационные эксперименты показывают, что двухосевая ротационная обработка может эффективно обеспечить измельчение и перемещение агрегатов почвы в солонцеватых землях.
Рисунок 16. Сравнительный эксперимент по закономерностям миграции и распределения почвы в направлениях X и Z в области L2. (A) — состояние распределения почвенных частиц в области L2 до обработки; (B) — состояние распределения почвенных частиц в области L2 после обработки.
На рисунке 17 показаны закономерности транспортировки и распределения почвы в направлениях X и Z в области L3 до и после обработки солонцеватых земель. Как показано на рисунке 17A, до начала работы агрегаты солонцеватой почвы в области L3 по оси X аналогичны таковым в областях L1 и L2, а по оси Z они в основном распределены в диапазоне 780–880 мм. Как показано на рисунке 17B, после обработки закономерности горизонтального и вертикального движения почвенных частиц в области L3 аналогичны таковым в областях L1 и L2 по сравнению с состоянием до обработки. Область горизонтального движения (по оси X) почвенных частиц в обработанной солонцеватой почве в основном распределена в диапазоне 2250–3000 мм, а область вертикального движения (по оси Z) — в диапазоне 650–950 мм. В то же время, сравнивая разрыв связей почвы до и после обработки, степень измельчения почвы солонцеватых земель после обработки составила 95,15%.
Рисунок 17. Сравнительный эксперимент по закономерностям миграции и распределения почвы в направлениях X и Z в области L3. (A) — состояние распределения почвенных частиц в области L3 до обработки; (B) — состояние распределения почвенных частиц в области L3 после обработки.
3.4.2. Исследование закономерностей измельчения и транспортировки соломы пшеницы в солонцеватых почвах
В данной работе систематически исследуется процесс измельчения и заглубления соломы пшеницы в различные моменты времени моделирования с точек зрения макроскопического заглубления и микроскопической транспортировки соломы. Как показано на рисунке 18, система отображает покрытие поверхности соломой пшеницы до и после обработки в солонцеватой почве. С макроскопической точки зрения, по ходу имитационного эксперимента солома пшеницы измельчалась и заглублялась в областях Grid Bin 1, Grid Bin 2 и Grid Bin 3 под совместным действием Г-образных мелиоративных ножей и ротационно-мелиоративных ножей. Для дальнейшего изучения закономерностей транспортировки соломы пшеницы в процессе обработки в данной работе основное внимание уделяется анализу распределения соломы пшеницы в сложном пространстве солонцеватой почвы в течение нескольких временных интервалов. Как показано на рисунке 19, в момент времени 1,5 с солома пшеницы была упорядоченно разложена на поверхности. По ходу имитационного эксперимента после совместной работы Г-образных мелиоративных ножей и ротационно-мелиоративных ножей солома пшеницы непрерывно двигалась назад по касательной к круговому движению Г-образных мелиоративных ножей и ротационно-мелиоративных ножей в процессе обработки. В то же время упорядоченное заглубление соломы достигалось под воздействием солонцеватой почвы и прикрывающей пластины для измельченной почвы. На рисунке 20 показано пространственное распределение соломы пшеницы в рассеянном состоянии солонцеватой почвы после обработки.
Рисунок 18. Сравнительный эксперимент по заглублению соломы пшеницы в макроскопических условиях.
Рисунок 19. Пространственное распределение соломы пшеницы до имитационного эксперимента методом дискретных элементов.
Рисунок 20. Пространственное распределение соломы пшеницы после имитационного эксперимента методом дискретных элементов.
Для дальнейшего исследования пространственного распределения соломы пшеницы в почве после обработки в данном исследовании в качестве оценочного показателя использовалась степень заглубления соломы пшеницы и систематически исследовалось пространственное распределение соломы пшеницы по оси Y в областях Grid Bin 1, Grid Bin 2 и Grid Bin 3. Поскольку операции по заглублению соломы в областях Grid Bin 1 и Grid Bin 2 были завершены ротационным культиватором к моменту времени 4,8 с, солома оставалась в стабильном состоянии в почве. В момент времени 5,6 с операция по заглублению соломы в области Grid Bin 3 была завершена. Поэтому в данной работе основное внимание уделяется исследованию закономерностей пространственного распределения соломы пшеницы в почве в этом интервале, как показано на рисунке 21.
Рисунок 21. Состояние распределения соломы пшеницы в пространстве солонцеватой почвы после обработки. (A) — состояние распределения соломы пшеницы в области Grid Bin 1 после обработки; (B) — состояние распределения соломы пшеницы в области Grid Bin 2 после обработки.
Из-за границы фабрики частиц солома пшеницы в области Grid Bin 3 не может быть полностью заполнена. Поэтому в данной работе основное внимание уделяется анализу пространственного распределения соломы пшеницы в солонцеватой почве в областях Grid Bin 1 и Grid Bin 2. На рисунке 21A показано пространственное распределение соломы пшеницы по оси Y в области Grid Bin 1. Общее распределение находится между –450 и –650 мм, но в основном сосредоточено в диапазоне от –450 до –550 мм. Из них солома пшеницы составляет 52,59% в почвенном пространстве от –450 до –500 мм и 24,72% в почвенном пространстве от –500 до –550 мм; на рисунке 21B показано пространственное распределение соломы пшеницы по оси Y в области Grid Bin 2. Закономерность пространственного распределения в почве аналогична таковой в области Grid Bin 1, с общим распределением между –450 и –650 мм, в основном сосредоточенным между –450 и –550 мм. Из них солома пшеницы составляет 45,97% в почвенном пространстве от –450 до –500 мм и 30,97% в почвенном пространстве от –500 до –550 мм. Имитационные эксперименты показали, что разработанные Г-образные мелиоративные ножи и ротационно-мелиоративные ножи могут эффективно повысить эффективность заглубления соломы пшеницы в процессе обработки при обеспечении степени измельчения почвы.
3.5. Однофакторный экспериментальный анализ
Для анализа влияния таких экспериментальных факторов, как частота вращения Г-образных мелиоративных ножей, частота вращения ротационно-мелиоративных ножей и скорость поступательного движения, на эффективность измельчения почвы и заглубления соломы в солонцеватых землях в процессе имитационного эксперимента методом дискретных элементов в данной работе был проведен однофакторный эксперимент. Диапазон значений частоты вращения Г-образных мелиоративных ножей составил 270–330 об/мин, диапазон значений частоты вращения ротационно-мелиоративных ножей — 300–360 об/мин, а диапазон значений скорости поступательного движения — 2–6 км/ч. В то же время для проверки эффективности двухосевого ротационного культиватора в данной работе был проведен сравнительный имитационный тест между двухосевым ротационным культиватором и одноосевым ротационным культиватором с использованием степени измельчения почвы и степени заглубления соломы в качестве оценочных показателей. Диапазон частоты вращения ножей для одноосевого ротационного культиватора составил 270–360 об/мин, оснащенного ножами IT245.
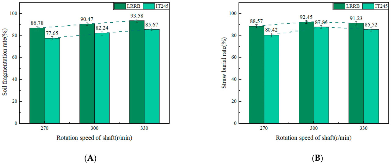
Скорость поступательного движения Г-образных мелиоративных ножей и ножей ротационного культиватора IT245 установлена на 2 км/ч, а глубина обработки — на 15 см. Как показано на рисунке 22, система исследовала влияние частоты вращения Г-образных мелиоративных ножей и ножей ротационного культиватора IT245 на степень измельчения почвы и степень покрытия соломой в солонцеватых землях. Как показано на рисунке 22A, с увеличением частоты вращения вала ножей степень измельчения почвы при обработке Г-образными мелиоративными ножами и ножами IT245 постепенно увеличивается, но общая эффективность измельчения почвы Г-образными мелиоративными ножами лучше, чем у ножей IT245. При частоте вращения вала ножей 330 об/мин коэффициент вариации степени измельчения почвы для Г-образных мелиоративных ножей и ножей IT245 наименьший. В это время соответствующие степени измельчения почвы составляют 93,58% и 86,67% соответственно. Наибольший годовой прирост степени измельчения почвы составляет 11,76%. Сравнительные эксперименты с дискретными элементами показывают, что разработанные Г-образные мелиоративные ножи эффективно повышают эффективность измельчения солонцеватой почвы. Как показано на рисунке 22B, с увеличением частоты вращения вала ножей степень заглубления соломы после обработки Г-образными мелиоративными ножами и ножами IT245 показала тенденцию сначала увеличиваться, а затем уменьшаться. При частоте вращения ножей 300 об/мин коэффициент вариации степени заглубления соломы был наименьшим, и соответствующие степени заглубления соломы составили 92,45% и 87,85% соответственно. Наибольший годовой прирост степени заглубления соломы составил 7,55%. Сравнительные эксперименты с дискретными элементами показали, что Г-образные мелиоративные ножи могут эффективно повысить эффективность измельчения и заглубления соломы при обработке солонцеватых земель.
Рисунок 22. Влияние частоты вращения вала ножей LRRB и IT245 на степень измельчения почвы и степень заглубления соломы. (A) — влияние частоты вращения вала ножей LRRB и IT245 на степень измельчения почвы; (B) — влияние частоты вращения вала ножей LRRB и IT245 на степень заглубления соломы.
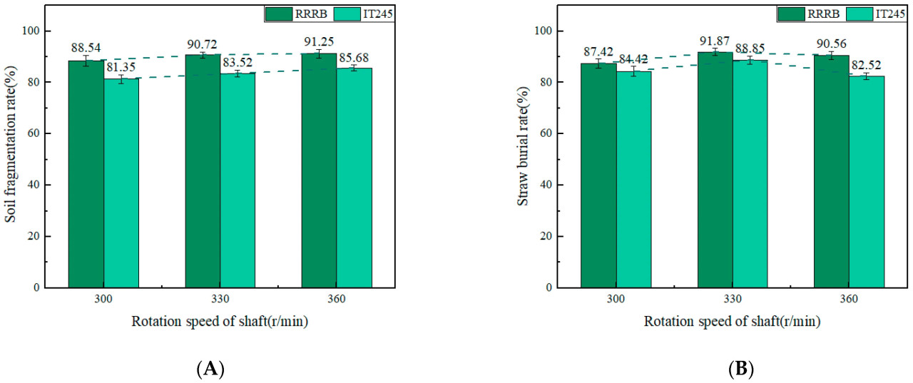
Скорость поступательного движения ротационно-мелиоративных ножей и ножей ротационного культиватора IT245 установлена на 2 км/ч, а глубина обработки — на 15 см. Как показано на рисунке 23, система исследовала влияние частоты вращения ротационно-мелиоративных ножей и ножей ротационного культиватора IT245 на степень измельчения почвы и степень покрытия соломой в солонцеватых землях. Как показано на рисунке 23A, с увеличением частоты вращения вала ножей степень измельчения почвы после обработки ротационно-мелиоративными ножами и ножами IT245 постепенно увеличивается. При частоте вращения вала ножей 330 об/мин коэффициент вариации степени измельчения почвы после обработки ротационно-мелиоративными ножами наименьший, что соответствует степени измельчения почвы 90,72%. При частоте вращения вала ножей 360 об/мин коэффициент вариации степени измельчения почвы после обработки ножами IT245 наименьший, что соответствует степени измельчения почвы 85,67%, а наибольший годовой прирост степени измельчения почвы составляет 8,62%. Как показано на рисунке 23B, с увеличением частоты вращения вала ножей степень заглубления соломы после обработки ротационно-мелиоративными ножами и ножами IT245 показала тенденцию сначала увеличиваться, а затем уменьшаться. При частоте вращения вала ножей 330 об/мин коэффициент вариации степени заглубления соломы после обработки ротационно-мелиоративными ножами был наименьшим, и степень заглубления соломы составила 91,87%. При частоте вращения вала ножей 360 об/мин коэффициент вариации степени заглубления соломы после обработки ножами IT245 был наименьшим, и степень заглубления соломы составила 82,82%. Наибольший годовой прирост степени заглубления соломы составил 9,74%. Сравнительные эксперименты с дискретными элементами показали, что эффективность измельчения и заглубления соломы ротационно-мелиоративными ножами в солонцеватых землях была выше, чем у ножей IT245.
Рисунок 23. Влияние частоты вращения вала ножей RRRB и IT245 на степень измельчения почвы и степень заглубления соломы. (A) — влияние частоты вращения вала ножей RRRB и IT245 на степень измельчения почвы; (B) — влияние частоты вращения вала ножей RRRB и IT245 на степень заглубления соломы.
Для двухосевого ротационного культиватора частота вращения Г-образных мелиоративных ножей установлена на 270 об/мин и глубина обработки 15 см, а частота вращения ротационно-мелиоративных ножей — на 300 об/мин и глубина обработки 18 см; для одноосевого ротационного культиватора частота вращения вала ножей установлена на 270 об/мин и глубина обработки 15 см. Как показано на рисунке 24, система исследовала влияние скорости поступательного движения ротационного культиватора на степень измельчения почвы и степень заглубления соломы в солонцеватой почве. Как показано на рисунке 24A, с увеличением скорости поступательного движения степень измельчения почвы при обработке двухосевым и одноосевым ротационными культиваторами постепенно снижается. Это в основном связано с уменьшением нарушения пахотного слоя солонцеватой почвы, вызванным увеличением скорости поступательного движения. При скорости поступательного движения 2 км/ч степень измельчения почвы двухосевым ротационным культиватором была наибольшей и составила 92,39%. При скорости поступательного движения 4 км/ч коэффициент вариации степени измельчения почвы двухосевым ротационным культиватором был наименьшим и составил 90,72%. Однако с увеличением скорости поступательного движения, при скорости 6 км/ч степень измельчения почвы составила 81,25%, с максимальным снижением 12,06%. Это в основном связано с сильным уплотнением почвы в солонцеватых землях, и несоответствие между скоростью поступательного движения и частотой вращения ножей не позволяет достичь высокоскоростного режима ротационной обработки, в результате чего полное измельчение солонцеватой почвы не достигается. При скорости поступательного движения 2 км/ч коэффициент вариации степени измельчения почвы одноосевым ротационным культиватором был наименьшим и составил 88,36%. По мере увеличения скорости поступательного движения, при скорости 6 км/ч степень измельчения почвы составила 78,68%. Имитационные эксперименты показывают, что с точки зрения степени измельчения почвы, с увеличением скорости поступательного движения, максимальное увеличение двухосевого ротационного культиватора по сравнению с одноосевым составляет 6,14%, что указывает на то, что двухосевой ротационный культиватор более подходит для подготовки гряд на солонцеватых почвах.
Рисунок 24. Влияние скорости поступательного движения двухосевого ротационного культиватора для послойного измельчения и одноосевого ротационного культиватора на степень измельчения почвы и степень заглубления соломы. (A) — влияние скорости поступательного движения двухосевого и одноосевого ротационных культиваторов на степень измельчения почвы; (B) — влияние скорости поступательного движения двухосевого и одноосевого ротационных культиваторов на степень заглубления соломы.
Как показано на рисунке 24B, с увеличением скорости поступательного движения степень заглубления соломы при обработке двухосевым ротационным культиватором показала тенденцию сначала увеличиваться, а затем уменьшаться. При скорости поступательного движения 4 км/ч коэффициент вариации степени заглубления соломы был наименьшим, и степень заглубления соломы составила 91,53%. С увеличением скорости поступательного движения, при скорости 6 км/ч степень заглубления соломы составила 80,15%. При скорости поступательного движения одноосевого ротационного культиватора 4 км/ч коэффициент вариации степени заглубления соломы был наименьшим, и степень заглубления соломы составила 83,57%. С увеличением скорости поступательного движения, при скорости 6 км/ч степень заглубления соломы составила 77,38%. Имитационные эксперименты показывают, что с точки зрения степени заглубления соломы, с увеличением скорости поступательного движения, двухосевой ротационный культиватор превосходит одноосевой на величину до 9,52%.
3.6. Оптимизация и анализ многофакторных экспериментов
На основе анализа однофакторных экспериментов было обнаружено, что частота вращения Г-образных мелиоративных ножей, частота вращения ротационно-мелиоративных ножей и скорость поступательного движения двухосевого ротационного культиватора серьезно влияют на степень измельчения почвы и степень заглубления соломы в солонцеватых землях. Поскольку созданные в предыдущем разделе рабочие органы и динамическая модель солонцеватой почвы и соломы не являются идеализированными моделями, проанализированные параметры движения солонцеватой почвы и соломы не могут полностью отражать все закономерности движения почвы и соломы в процессе обработки. На основе этого в данной работе в качестве экспериментальных показателей приняты степень измельчения почвы Y₁ и степень заглубления соломы Y₂, и проведены имитационные эксперименты методом дискретных элементов для оптимизации рабочих параметров: частоты вращения Г-образных мелиоративных ножей X₁, частоты вращения ротационно-мелиоративных ножей X₂ и скорости поступательного движения двухосевого ротационного культиватора X₃, с целью предоставления теоретической справки для корректировки параметров и оптимизации показателей в полевых экспериментах по обработке почвы. Из-за взаимодействия частоты вращения Г-образных мелиоративных ножей, частоты вращения ротационно-мелиоративных ножей и скорости поступательного движения в процессе обработки в данной работе для оптимизации и анализа экспериментальных показателей использован метод трехфакторного трех-уровневого ортогонального комбинированного эксперимента. Систематически исследовано взаимодействие между экспериментальными факторами, а таблица кодирования уровней факторов эксперимента показана в таблице 8. Для оптимизации и анализа результатов имитационных испытаний использовано программное обеспечение Design Expert, а результаты имитационных испытаний показаны в таблице 9.
Таблица 8. Кодирование и уровни факторов имитационного эксперимента.
Таблица 9. Результаты имитационного эксперимента.
3.6.1. Регрессионная модель и проверка значимости степени измельчения почвы
Дисперсионный анализ степени измельчения почвы Y₁ показан в таблице 10. Для степени измельчения почвы Y₁ порядок взаимодействия экспериментальных факторов следующий: X₃, X₃², X₂, X₁, X₁², X₁X₂, X₂², X₂X₃, X₁X₃. Среди них частота вращения Г-образных мелиоративных ножей X₁, частота вращения ротационно-мелиоративных ножей X₂, скорость поступательного движения X₃, квадратичный член частоты вращения Г-образных мелиоративных ножей X₁², квадратичный член частоты вращения ротационно-мелиоративных ножей X₂², квадратичный член скорости поступательного движения X₃² и член взаимодействия между частотой вращения Г-образных мелиоративных ножей и частотой вращения ротационно-мелиоративных ножей X₁X₂ оказывают значительное влияние на степень измельчения почвы Y₁ (p < 0,01). Член взаимодействия между частотой вращения и скоростью поступательного движения X₂X₃ не оказывает значительного влияния на степень измельчения почвы Y₁ (p > 0,1). В этом исследовании незначимый член взаимодействия был удален и проведен дисперсионный анализ. Получено регрессионное уравнение степени измельчения почвы Y₁, как показано в уравнении (20).
Таблица 10. Дисперсионный анализ степени измельчения почвы.
В данной работе экспериментальные данные были обработаны с помощью программного обеспечения Design Expert 10 и получен анализ поверхности отклика экспериментальных факторов — частоты вращения Г-образных мелиоративных ножей X₁, частоты вращения ротационно-мелиоративных ножей X₂ и скорости поступательного движения X₃ — на степень измельчения почвы Y₁, как показано на рисунке 25. При скорости поступательного движения двухосевого ротационного культиватора 4 км/ч поверхность отклика взаимодействия между частотой вращения Г-образных мелиоративных ножей и частотой вращения ротационно-мелиоративных ножей показана на рисунке 25A. При постоянной частоте вращения ротационно-мелиоративных ножей степень измельчения почвы солонцеватых земель постепенно увеличивается с ростом частоты вращения Г-образных мелиоративных ножей, что соответствует результатам однофакторных экспериментов. Оптимальная частота вращения Г-образных мелиоративных ножей находится в диапазоне 270–330 об/мин. Основная причина заключается в том, что при снижении частоты вращения Г-образного ножа он не может измельчить агрегаты почвы и соломы в солонцеватых землях, что напрямую приводит к тенденции снижения степени измельчения почвы. При постоянной частоте вращения Г-образного мелиоративного ножа степень измельчения почвы солонцеватых земель постепенно увеличивается с ростом частоты вращения ротационно-мелиоративных ножей, что соответствует результатам однофакторных экспериментов. Оптимальная частота вращения ротационно-мелиоративных ножей находится в диапазоне 300–360 об/мин. Основная причина заключается в том, что с увеличением частоты вращения ротационно-мелиоративных ножей интенсивность воздействия на почвенные частицы в солонцеватых землях возрастает, и увеличивается способность к вторичному измельчению почвы, тем самым повышая степень измельчения почвы. Основным фактором, влияющим на степень измельчения почвы при взаимодействии частоты вращения Г-образных мелиоративных ножей и частоты вращения ротационно-мелиоративных ножей, является частота вращения ротационно-мелиоративных ножей.
Рисунок 25. Анализ поверхности отклика степени измельчения почвы на различные экспериментальные факторы. (A) — анализ поверхности отклика степени измельчения почвы на частоту вращения RRRB и частоту вращения LRRB; (B) — анализ поверхности отклика степени измельчения почвы на частоту вращения LRRB и скорость поступательного движения; (C) — анализ поверхности отклика степени измельчения почвы на частоту вращения RRRB и скорость поступательного движения.
При частоте вращения ротационно-мелиоративных ножей 330 об/мин поверхность отклика взаимодействия между частотой вращения Г-образных мелиоративных ножей и скоростью поступательного движения показана на рисунке 25B. При постоянной скорости поступательного движения степень измельчения почвы солонцеватых земель постепенно увеличивается с ростом частоты вращения Г-образных мелиоративных ножей, что соответствует результатам однофакторных экспериментов. Оптимальная частота вращения Г-образных мелиоративных ножей находится в диапазоне 270–330 об/мин. При постоянной частоте вращения Г-образных мелиоративных ножей степень измельчения почвы солонцеватых земель постепенно снижается с увеличением скорости поступательного движения, что соответствует результатам однофакторных экспериментов. Оптимальная скорость поступательного движения находится в диапазоне 2–6 км/ч. Основная причина заключается в том, что с увеличением скорости поступательного движения время воздействия Г-образных мелиоративных ножей на агрегаты почвы солонцеватых земель сокращается, в результате чего агрегаты почвы не успевают достаточно измельчиться, что снижает степень измельчения. Основным фактором, влияющим на степень измельчения почвы при взаимодействии частоты вращения Г-образных мелиоративных ножей и скорости поступательного движения, является скорость поступательного движения.
При частоте вращения Г-образных мелиоративных ножей 300 об/мин поверхность отклика взаимодействия между частотой вращения ротационно-мелиоративных ножей и скоростью поступательного движения показана на рисунке 25C. При постоянной скорости поступательного движения степень измельчения почвы солонцеватых земель постепенно увеличивается с ростом частоты вращения ротационно-мелиоративных ножей, что соответствует результатам однофакторных экспериментов. Оптимальная частота вращения ротационно-мелиоративных ножей находится в диапазоне 300–360 об/мин. При постоянной частоте вращения ротационно-мелиоративных ножей степень измельчения почвы солонцеватых земель постепенно снижается с увеличением скорости поступательного движения, что соответствует результатам однофакторных экспериментов. Оптимальная скорость поступательного движения находится в диапазоне 2–6 км/ч. Основным фактором, влияющим на степень измельчения почвы при взаимодействии частоты вращения ротационно-мелиоративных ножей и скорости поступательного движения, является скорость поступательного движения.
3.6.2. Регрессионная модель и проверка значимости степени заглубления соломы
Дисперсионный анализ степени заглубления соломы Y₂ показан в таблице 11. Для степени заглубления соломы Y₂ порядок взаимодействия экспериментальных факторов следующий: X₃, X₃², X₁, X₂, X₁², X₂², X₁X₂, X₂X₃, X₁X₃. Среди них частота вращения Г-образных мелиоративных ножей X₁, частота вращения ротационно-мелиоративных ножей X₂, скорость поступательного движения X₃, квадратичный член частоты вращения Г-образных мелиоративных ножей X₁², квадратичный член частоты вращения ротационно-мелиоративных ножей X₂² и квадратичный член скорости поступательного движения X₃² оказывают значительное влияние на степень заглубления соломы Y₂ (p < 0,01). Член взаимодействия X₁X₂ между частотой вращения Г-образных мелиоративных ножей и частотой вращения ротационно-мелиоративных ножей оказывает значительное влияние на степень заглубления соломы Y₂ (0,01 < p < 0,05). Член взаимодействия X₂X₃ между частотой вращения ротационно-мелиоративных ножей и скоростью поступательного движения оказывает значительное влияние на степень заглубления соломы Y₂ (0,05 < p < 0,1), в то время как член взаимодействия X₁X₃ между частотой вращения Г-образных мелиоративных ножей и скоростью поступательного движения не оказывает значительного влияния на степень заглубления соломы Y₂ (p > 0,1). В данной работе незначимые члены взаимодействия были удалены и проведен дисперсионный анализ, получено регрессионное уравнение влияния экспериментальных факторов на степень заглубления соломы Y₂, как показано в уравнении (21).
Таблица 11. Дисперсионный анализ степени заглубления соломы.
В данной работе экспериментальные данные были обработаны с помощью программного обеспечения Design Expert 10 и получен анализ поверхности отклика экспериментальных факторов — частоты вращения Г-образных мелиоративных ножей X₁, частоты вращения ротационно-мелиоративных ножей X₂ и скорости поступательного движения X₃ — на степень заглубления соломы Y₂, как показано на рисунке 26. При скорости поступательного движения двухосевого ротационного культиватора 4 км/ч поверхность отклика взаимодействия между частотой вращения Г-образных мелиоративных ножей и частотой вращения ротационно-мелиоративных ножей показана на рисунке 26A. При постоянной частоте вращения ротационно-мелиоративных ножей степень заглубления соломы постепенно увеличивается с ростом частоты вращения Г-образных мелиоративных ножей, что соответствует результатам однофакторных экспериментов. Оптимальная частота вращения находится в диапазоне 270–330 об/мин. Основная причина заключается в том, что при увеличении частоты вращения повышается степень измельчения агрегатов почва–солома в солонцеватых землях, и заглубление соломы достигается под действием касательной и боковой режущих кромок Г-образных мелиоративных ножей. При постоянной частоте вращения Г-образных мелиоративных ножей степень заглубления соломы постепенно увеличивается с ростом частоты вращения ротационно-мелиоративных ножей, что соответствует результатам однофакторных экспериментов. Оптимальная частота вращения находится в диапазоне 300–360 об/мин. Основная причина заключается в том, что с увеличением частоты вращения ротационно-мелиоративных ножей остатки соломы пшеницы на поверхности измельчаются и заглубляются повторно, что дополнительно повышает степень заглубления соломы. Основным фактором, влияющим на степень заглубления соломы при взаимодействии частоты вращения Г-образных мелиоративных ножей и частоты вращения ротационно-мелиоративных ножей, является частота вращения ротационно-мелиоративных ножей.
Рисунок 26. Анализ поверхности отклика степени заглубления соломы на различные экспериментальные факторы. (A) — анализ поверхности отклика степени заглубления соломы на частоту вращения RRRB и частоту вращения LRRB; (B) — анализ поверхности отклика степени заглубления соломы на частоту вращения LRRB и скорость поступательного движения; (C) — анализ поверхности отклика степени заглубления соломы на частоту вращения RRRB и скорость поступательного движения.
При частоте вращения ротационно-мелиоративных ножей 330 об/мин поверхность отклика взаимодействия между частотой вращения Г-образных мелиоративных ножей и скоростью поступательного движения показана на рисунке 26B. При постоянной скорости поступательного движения степень заглубления соломы постепенно увеличивается с ростом частоты вращения Г-образных мелиоративных ножей, что соответствует результатам однофакторных экспериментов. Оптимальная частота вращения находится в диапазоне 270–330 об/мин. При постоянной частоте вращения Г-образных мелиоративных ножей степень заглубления соломы постепенно снижается с увеличением скорости поступательного движения, что соответствует результатам однофакторных экспериментов. Оптимальная скорость поступательного движения находится в диапазоне 2–6 км/ч. Основная причина заключается в том, что с увеличением скорости поступательного движения боковая режущая кромка и касательная кромка Г-образных мелиоративных ножей не могут полностью разрушить агрегаты солонцеватой почвы и соломы, в результате чего солома не может попасть в почву. Основным фактором, влияющим на степень заглубления соломы при взаимодействии частоты вращения Г-образных мелиоративных ножей и скорости поступательного движения, является скорость поступательного движения.
При частоте вращения Г-образных мелиоративных ножей 300 об/мин поверхность отклика взаимодействия между частотой вращения ротационно-мелиоративных ножей и скоростью поступательного движения показана на рисунке 26C. При постоянной скорости поступательного движения степень заглубления соломы постепенно увеличивается с ростом частоты вращения ротационно-мелиоративных ножей, что соответствует результатам однофакторных экспериментов. Оптимальная частота вращения находится в диапазоне 300–360 об/мин. При постоянной частоте вращения ротационно-мелиоративных ножей степень заглубления соломы постепенно снижается с увеличением скорости поступательного движения, что соответствует результатам однофакторного эксперимента. Оптимальная скорость поступательного движения находится в диапазоне 2–6 км/ч. Основным фактором, влияющим на степень заглубления соломы при взаимодействии частоты вращения ротационно-мелиоративных ножей и скорости поступательного движения, является скорость поступательного движения.
3.6.3. Оптимизация параметров и экспериментальная проверка
Для получения оптимальной комбинации параметров каждого экспериментального фактора в данной работе поставлена цель повысить степень измельчения почвы и степень заглубления соломы в процессе обработки солонцеватых земель. Были установлены граничные ограничивающие функции и параметризованные модели для каждого экспериментального фактора, и регрессионная модель экспериментальных показателей была решена, проанализирована и оптимизирована с использованием программного обеспечения Design Expert 10, как показано в уравнении (22).
Путем решения регрессионной модели были получены оптимальные рабочие параметры двухосевого ротационного культиватора: частота вращения Г-образных мелиоративных ножей составила 295,04 об/мин, частота вращения ротационно-мелиоративных ножей — 359,06 об/мин, а скорость поступательного движения — 3,12 км/ч. При этом теоретическая степень измельчения почвы солонцеватых земель составила 94,67%, а степень заглубления соломы — 93,56%. Для проверки точности модели в данной работе оптимальные рабочие параметры двухосевого ротационного культиватора были импортированы в EDEM, и было проведено пять повторных экспериментов с одинаковыми настройками параметров. Усреднение результатов экспериментов показало, что степень измельчения почвы солонцеватых земель составила 92,58%, а степень заглубления соломы — 94,75%. Степень измельчения почвы снизилась на 2,21% по сравнению с теоретическим значением, а степень заглубления соломы увеличилась на 1,27% по сравнению с теоретическим значением.
4. Проверка и анализ полевых экспериментов
4.1. Условия и оборудование эксперимента
Полевые испытания эксплуатационных характеристик были проведены для проверки эффективности обработки двухосевого ротационного культиватора. Полевые испытания были проведены 15 июля 2024 года на Сельскохозяйственной экспериментальной демонстрационной базе солонцеватых земель Сельскохозяйственного высокотехнологичного промышленного демонстрационного района дельты Хуанхэ. Экспериментальный участок представлял собой слабо вязкую солонцеватую почву со средней твердостью почвы 1056,72 кПа, влажностью почвы 20,54%, содержанием соломы пшеницы 523,56 г/м² и средней высотой стерни 95,63 мм. Экспериментальные приборы в основном включают колесный трактор Xuzhou Kaier 1804, двухосевой ротационный культиватор для солонцеватых земель, измеритель твердости почвы (Zhejiang Topyun Agriculture Technology Co., Ltd., Ханчжоу, Китай; точность ± 0,005% FS), метровую линейку (спецификация: 10 м), глубиномер, почвенный керн и т.д.
4.2. Методы полевых экспериментов
Двухосевой ротационный культиватор соединяется с колесным трактором Xuzhou Kail1804 через трехточечное навесное устройство. Для обеспечения точности испытания рабочий проход разделен, длина каждого рабочего прохода составляет 50 м, а средние 30 м прохода определены как испытательная зона. Для проверки эффективности обработки двухосевого ротационного культиватора в данной работе были проведены полевые сравнительные эксперименты с использованием обычного ротационного культиватора (оснащенного ножами IT245). Согласно NY/T499-2013 «Качество ротационной обработки почвы» [36] и GB/T5668-2017 «Методы испытаний ротационных почвообрабатывающих машин» [37], основное внимание уделялось испытанию глубины обработки, стабильности глубины обработки, степени измельчения почвы, степени покрытия соломой и выравненности поверхности после работы двухосевого и одноосевого ротационных культиваторов, как показано на рисунке 27.
Рисунок 27. Проверочные полевые испытания, где (A) — двухосевая машина для послойного измельчения почвы и удаления стерни на солонцеватых землях, красная рамка показывает область полевых испытаний; (B) — одноосевой ротационный культиватор, красная рамка показывает область полевых испытаний.
Берите контрольную точку каждые 2 м с левой и правой стороны вдоль направления ротационного культиватора, общее количество контрольных точек для каждого прохода не менее 20. Рассчитайте среднюю глубину обработки для прохода ротационного культиватора по уравнению:
где aⱼ — средняя глубина обработки для j-го рабочего прохода, мм; aᵢⱼ — глубина обработки в i-й контрольной точке j-го рабочего прохода, мм; nⱼ — количество контрольных точек для j-го рабочего прохода.
На основе метода расчета глубины обработки в данной работе используется коэффициент стабильности глубины обработки для представления стабильности глубины обработки. Метод расчета показан в уравнении (24).
где Sⱼ — стандартное отклонение глубины обработки для j-го рабочего прохода, мм; Uⱼ — стабильность глубины обработки для j-го рабочего прохода, %.
После обработки случайным образом выберите 10 испытательных участков площадью 0,5 м × 0,5 м и разделите их на три уровня в зависимости от размера наибольшей стороны почвенного комка: наибольшая сторона менее 4 см, 4–8 см и более 8 см. На испытательном участке степень измельчения почвы рассчитывается как процентное отношение массы комков с наибольшей стороной менее 4 см к общей массе почвенных комков во всем обработанном слое. Берите среднее значение результатов испытаний, метод расчета степени измельчения почвы показан в уравнении (25).
где E — степень измельчения почвы, %; mₐ — общая масса комков с наибольшей стороной менее 4 см во всем обработанном слое на испытательном участке, г; m_b — общая масса почвенных комков во всем обработанном слое на испытательном участке, г.
До обработки выберите пять испытательных участков, используя метод пятиточечной выборки, каждый площадью 1 м × 1 м. Наземная растительность была срезана близко к земле и взвешена до и после обработки ротационным культиватором. Берите среднее значение результатов испытаний, метод расчета степени заглубления соломы показан в уравнении (26).
где F_b — степень заглубления соломы, %; W_q — среднее значение соломы в пределах площади 1 м² до обработки, г; W_h — среднее значение соломы в пределах площади 1 м² после обработки, г.
Вдоль направления, перпендикулярного ротационному культиватору, возьмите референсную линию, параллельную поверхности земли, в самой высокой точке обработанной зоны, измерьте ширину 5 м и разделите ее на 10 равных частей. Расстояние от каждой точки деления референсной линии до поверхности земли рассчитывается по уравнению (27).
где dⱼ — выравненность обработанной поверхности для j-го рабочего прохода, мм; hⱼ — средняя длина 10 равных перпендикулярных линий, соответствующих j-му рабочему проходу, мм; hᵢⱼ — длина i-й перпендикулярной линии среди 10 равных перпендикулярных линий, соответствующая j-му рабочему проходу ротационного культиватора, мм.
4.3. Результаты полевых экспериментов
Результаты сравнительных полевых испытаний показаны в таблице 12. С точки зрения глубины обработки, средняя глубина обработки двухосевого ротационного культиватора составила 185,56 мм, а средняя глубина обработки одноосевого ротационного культиватора — 162,47 мм. С точки зрения стабильности глубины обработки, двухосевой ротационный культиватор показал улучшение на 3,65% по сравнению с одноосевым. С точки зрения степени измельчения почвы, двухосевой ротационный культиватор показал увеличение на 10,68% по сравнению с одноосевым. С точки зрения степени заглубления соломы, двухосевой ротационный культиватор показал увеличение на 18,83% по сравнению с одноосевым. С точки зрения выравненности поверхности, двухосевой ротационный культиватор показал улучшение на 50,67% по сравнению с одноосевым. Полевые эксперименты показали, что разработанный двухосевой ротационный культиватор для послойного измельчения почвы на солонцеватых почвах имеет лучшие эксплуатационные характеристики, чем обычные ротационные культиваторы, и соответствует требованиям к подготовке гряд на солонцеватых почвах.
Таблица 12. Результаты полевых испытаний.
5. Обсуждение
В настоящее время меры по улучшению солонцеватых земель включают агротехнические меры, агромелиоративные меры, химические мелиоративные меры и биологические мелиоративные меры. Физические мелиоративные меры в основном улучшают структуру почвы, повышают водопроницаемость почвы, уменьшают испарение и повышают эффективность выщелачивания солей из почвы с помощью таких методов, как выравнивание земли, покрытие поверхности и обработка почвы. Мелиоративные меры в сельскохозяйственном водном хозяйстве основаны на основном принципе «соль приходит с водой, соль уходит с водой», используя промывку пресной водой для удаления почвенной соли, а затем дренажные меры для отвода соли из почвы и снижения уровня грунтовых вод, уменьшая накопление соли на поверхности почвы, чтобы достичь цели улучшения солонцеватых земель. Однако этот метод имеет высокую стоимость. Химические мелиоративные меры могут уменьшить или даже устранить эти неблагоприятные эффекты и улучшить физико-химические свойства почвы за счет использования химических мелиорантов и органических удобрений в почве, но биологические мелиоративные меры улучшают физико-химические свойства почвы и микроклимат почвы путем интродукции, отбора и посадки солеустойчивых растений, чтобы уменьшить испарение почвенной влаги и подавить возврат соли в почву. Однако этот метод имеет длительный цикл и не позволяет быстро достичь улучшения солонцеватых земель. В данной работе предлагается двухосевая машина для послойного измельчения почвы и удаления стерни, которая может улучшить структуру почвы, повысить водопроницаемость почвы, уменьшить испарение и повысить эффективность выщелачивания солей из почвы, что позволило усовершенствовать комплексный процесс мелиорации солонцеватых земель.
Полевые эксперименты показали, что разработанный двухосевой ротационный культиватор для послойного измельчения почвы на солонцеватых почвах имеет лучшие эксплуатационные характеристики, чем обычные ротационные культиваторы, и соответствует требованиям к подготовке гряд на солонцеватых почвах. С точки зрения глубины обработки, средняя глубина обработки двухосевого ротационного культиватора составила 185,56 мм, а средняя глубина обработки одноосевого ротационного культиватора — 162,47 мм. С точки зрения стабильности глубины обработки, двухосевой ротационный культиватор показал улучшение на 3,65% по сравнению с одноосевым. С точки зрения степени измельчения почвы, двухосевой ротационный культиватор показал увеличение на 10,68% по сравнению с одноосевым. С точки зрения степени заглубления соломы, двухосевой ротационный культиватор показал увеличение на 18,83% по сравнению с одноосевым. С точки зрения выравненности поверхности, двухосевой ротационный культиватор показал улучшение на 50,67% по сравнению с одноосевым. Полевые эксперименты показали, что разработанный двухосевой ротационный культиватор для послойного измельчения почвы на солонцеватых почвах имеет лучшие эксплуатационные характеристики, чем обычные ротационные культиваторы, и соответствует требованиям к подготовке гряд на солонцеватых почвах.
Результаты сравнительного анализа экономических и экологических выгод показаны в таблице 13. С точки зрения производственных затрат, двухосевая машина для послойного измельчения почвы и удаления стерни экономит 150 юаней производственных затрат по сравнению с одноосевым ротационным культиватором. С точки зрения расхода топлива, двухосевая машина экономит 30 литров расхода топлива по сравнению с одноосевым ротационным культиватором. С точки зрения затрат на техническое обслуживание, двухосевая машина экономит 30 юаней затрат на техническое обслуживание по сравнению с одноосевым ротационным культиватором.
Таблица 13. Сравнительный анализ экономических и экологических выгод.
6. Выводы
Была разработана машина для послойного измельчения почвы с комбинацией Г-образных мелиоративных ножей и ротационно-мелиоративных ножей для решения проблем низкой степени измельчения почвы, низкого уровня мульчирования соломой и плохого выравнивания поверхности после вспашки в традиционном режиме работы ротационного культиватора на прибрежных солонцеватых землях дельты Хуанхэ, и проведен динамический анализ рабочих органов и агрегатов почва–солома в солонцеватых землях. На основе принципа скользящего резания были определены ключевые конструктивные параметры и пространственная компоновка Г-образных мелиоративных ножей и ротационно-мелиоративных ножей. В сочетании с кинематическим анализом диапазон частоты вращения Г-образных мелиоративных ножей был определен как 270–330 об/мин, диапазон частоты вращения ротационно-мелиоративных ножей — как 300–360 об/мин, а диапазон скорости поступательного движения — как 2–6 км/ч. Была создана дискретная модель агрегатов почва–солома–рабочие органы в солонцеватых землях. Эффективность перемещения почвенных слоев и заглубления соломы двухосевой машины для послойного измельчения почвы была проверена с помощью имитационных экспериментов методом дискретных элементов. В сочетании с оптимизационным экспериментальным анализом были получены оптимальные рабочие параметры: частота вращения Г-образных мелиоративных ножей — 295,04 об/мин, частота вращения ротационно-мелиоративных ножей — 359,06 об/мин, скорость поступательного движения — 3,12 км/ч. При этом теоретическая степень измельчения почвы солонцеватых земель составила 94,67%, а степень заглубления соломы — 93,56%.
Для проверки полевых характеристик двухосевого ротационного культиватора в данной работе был систематически проведен полевой сравнительный эксперимент. Полевые сравнительные эксперименты показали, что по стабильности глубины обработки двухосевой ротационный культиватор превзошел одноосевой на 3,65%; по степени измельчения почвы двухосевой ротационный культиватор превзошел одноосевой на 10,68%; по степени заглубления соломы двухосевой ротационный культиватор превзошел одноосевой на 18,83%; а по выравненности поверхности двухосевой ротационный культиватор превзошел одноосевой на 50,67%.
Ссылки
1. Wang, B.; Dou, W.J.; Chen, J.; Chen, J.W.; Lai, J.B. Characteristics of Spatial-temporal Dynamics of Soil Salinity in the Yellow River Delta and Zoning and High Quality Utilization of Saline Soil. Hsien Tai Ti Chih. 2024, 70, 1000–8527. [Google Scholar]
2. Zheng, S.; Lu, T.; Liu, J.; Tian, Y.; Han, M.; Tai, M.; Gao, S.; Liu, T.; Wang, D.; Zhao, Z. Discrete Element-Based Design of a High-Speed Rotary Tiller for Saline-Alkali Land and Verification of Optimal Tillage Parameters. Agriculture 2025, 15, 269. [Google Scholar] [CrossRef]
3. Liu, J.; Lu, T.; Zheng, S.; Tian, Y.; Han, M.; Tai, M.; He, X.; Li, H.; Wang, D.; Zhao, Z. Parameter Calibration Method for Discrete Element Simulation of Soil–Wheat Crop Residues in Saline–Alkali Coastal Land. Agriculture 2025, 15, 129. [Google Scholar] [CrossRef]
4. Zhu, W.; Gu, S.; Jiang, R.; Zhang, X.; Hatano, R. Saline–Alkali Soil Reclamation Contributes to Soil Health Improvement in China. Agriculture 2024, 14, 1210. [Google Scholar] [CrossRef]
5. Du, Y.Q.; Liu, X.F.; Zhang, L.; Zhou, W. Drip irrigation in agricultural saline-alkali land controls soil salinity and improves crop yield: Evidence from a global meta-analysis. Sci. Total Environ. 2023, 880, 163226. [Google Scholar] [CrossRef] [PubMed]
6. Zhang, Y.T.; Hou, K.; Qian, H.; Gao, Y.Y.; Xiao, S.; Tang, S.Q.; Zhang, Q.Y.; Qu, W.G.; Ren, W.H. Characterization of soil salinization and its driving factors in a typical irrigation area of Northwest China. Sci. Total Environ. 2022, 837, 155808. [Google Scholar] [CrossRef] [PubMed]
7. Wang, D.W.; Lu, T.; Zhao, Z.; Shang, S.Q.; Zheng, S.; Liu, J. Calibration of Discrete Element Simulation Parameters for Cultivated Soil Layer in Coastal Saline Alkali Soil. Trans. Chin. Soc. Agric. Mach. 2024, 55, 240–249. [Google Scholar]
8. Mustafa, U.; John, M.F.; Chris, S. 3D DEM tillage simulation: Validation of a hysteretic spring (plastic) contact model for a sweep tool operating in a cohesionless soil. Soil Tillage Res. 2014, 144, 220–227. [Google Scholar]
9. Zhang, X.Y.; Yu, S.Y.; Hu, X.; Zhang, L.X. Study on rotary tillage cutting simulations and energy consumption predictions of sandy ground soil in a Xinjiang cotton field. Comput. Electron. Agric. 2024, 217, 108646. [Google Scholar] [CrossRef]
10. Lin, J.X.; Liao, Q.X.; Wang, X.F.; Kang, Y.; Du, W.B.; Zhang, Q.S. Exploring straw movement through the simulation of shoveL-shaped seedbed preparation machine-straw-soil interaction using the DEM-MBD coupling method. Comput. Electron. Agric. 2024, 226, 109465. [Google Scholar] [CrossRef]
11. Zhao, Z.; Wang, D.; Shang, S.; Hou, J.; He, X.; Gao, Z.; Xu, N.; Chang, Z.; Guo, P.; Zheng, X. Analysis of Cyperus esculentus–Soil Dynamic Behavior during Rotary Tillage Based on Discrete Element Method. Agriculture 2023, 13, 358. [Google Scholar] [CrossRef]
12. Zhang, C.L.; Xia, J.F.; Zhang, J.M.; Zhou, H.; Zhu, Y.H.; Wang, J.W. Design and experiment of knife roller for six-head spiral straw returning cultivator. Trans. Chin. Soc. Agric. Mach. 2019, 50, 25–34. [Google Scholar]
13. Zheng, K.; He, J.; Li, H.W.; Zhao, H.B.; Hu, H.N.; Liu, W.Z. Design and testing of a counter-rotating deep pine combine tiller. Trans. Chin. Soc. Agric. Mach. 2017, 48, 61–71. [Google Scholar]
14. Liu, G.Y.; Zheng, K.; Xia, J.F.; Cheng, J.; Liu, Z.Y.; Wei, Y.S.; Zhang, B.H.; Zhang, P. Research on an intelligent vibration detachment system for rotary tiller based on soil surface roughness dynamic characteristics. Comput. Electron. Agric. 2024, 224, 109214. [Google Scholar] [CrossRef]
15. Du, J.; Heng, Y.; Zheng, K.; Luo, C.; Zhu, Y.; Zhang, J.; Xia, J. Investigation of the burial and mixing performance of a rotary tiller using discrete element method. Soil Tillage Res. 2022, 220, 105349. [Google Scholar] [CrossRef]
16. Lee, K.S.; Park, S.H.; Park, W.Y.; Lee, C.S. Strip tillage characteristics of rotary tiller blades for use in a dryland direct rice seeder. Soil Tillage Res. 2003, 71, 25–32. [Google Scholar] [CrossRef]
17. Zhao, P.F.; Gao, X.J.; Ju, X.T.; Yang, P.K.; Song, Q.B.; Huang, Y.X.; Zheng, Z.Q. Optimization of the front-mounted fertilizer pipe strip rotary tillage device by modeling the wide-seedbed characteristics and power consumption. Comput. Electron. Agric. 2024, 227 Pt 2, 109624. [Google Scholar] [CrossRef]
18. Matin, M.A.; Hossain, M.I.; Gathala, M.K.; Timsina, J.; Krupnik, T.J. Optimal design and setting of rotary strip-tiller blades to intensify dry season cropping in Asian wet clay soil conditions. Soil Tillage Res. 2021, 207, 104854. [Google Scholar] [CrossRef] [PubMed]
19. Wu, P.; Chen, Y. Discrete element modelling of the effect of disc angle and tilt angle on residue incorporation resulting from a concave disc. Comput. Electron. Agric. 2024, 224, 109222. [Google Scholar] [CrossRef]
20. Patidar, P.; Soni, P.; Jain, A.; Mahore, V. Modelling soil-rotor blade interaction of vertical axis rotary tiller using discrete element method (DEM). J. Terramech. 2024, 112, 59–68. [Google Scholar] [CrossRef]
21. Zheng, Y.B.; Zhang, F.B.; Luo, Z.T.; Zheng, E.L.; Han, L.; Qian, J.; Yao, H.P.; Shi, Y.Y.; Wang, X.C. Design and optimization of volute directing plate and stubble board for enhancing liquidity and anticlogging of tillering straw in spreading operation. Powder Technol. 2024, 448, 120288. [Google Scholar] [CrossRef]
22. Zhu, D.Q.; Shi, M.H.; Yu, C.Y.; Yu, Z.Y.; Kuang, F.M.; Xiong, W.; Xue, K. Tool-straw-paddy soil coupling model of mechanical rotary-tillage process based on DEM-FEM. Comput. Electron. Agric. 2023, 215, 108410. [Google Scholar] [CrossRef]
23. Zhou, H.; Zhang, C.L.; Zhang, W.L.; Yang, Q.J.; Li, D.; Liu, Z.Y.; Xia, J.F. Evaluation of straw spatial distribution after straw incorporation into soil for different tillage tools. Soil Tillage Res. 2020, 196, 104440. [Google Scholar] [CrossRef]
24. Xu, G.M.; Ding, Q.S.; Wang, X.C.; Liang, L.; He, R.Y.; Chen, X.X. Analysis of Straw Displacement and Burying Effect in Straw-Soil-Rotary Tiller Interaction. Trans. Chin. Soc. Agric. Mach. 2022, 53, 23–29. [Google Scholar]
25. He, R.Y.; Duan, Q.F.; Chen, X.X.; Xu, G.M.; Ding, Q.S. DEM analysis of spatial distribution quality of rotary tillage straw returning. Trans. Chin. Soc. Agric. Mach. 2022, 53, 44–53. [Google Scholar]
26. Liao, Q.X.; Xie, H.M.; Zhang, Q.S.; Zhang, J.Q.; Ao, Q.; Wang, L. Design and Experiment of Driven Disc Plow and Double Tillage Combined Tiller. Trans. Chin. Soc. Agric. Mach. 2023, 54, 99–110+195. [Google Scholar]
27. Wang, J.W.; Wang, Q.; Tang, H.; Zhou, W.Q.; Duo, T.Y.; Zhao, Y. Design and Experiment of Rice Straw Deep Buried and Whole Straw Returning Device. Trans. Chin. Soc. Agric. Mach. 2015, 46, 112–117. [Google Scholar]
28. Zhao, Z.; Wang, D.W.; Shang, S.Q.; Guo, P.; Gao, Z.H.; Xia, C.; Yan, H.P.; Hou, J.L. Design and test of a dual-axis layered rotary tillage stubble exterminator in saline-alkali land based on discrete elements. Int. J. Agric. Biol. Eng. 2024, 17, 163–175. [Google Scholar] [CrossRef]
29. Guan, C.S. Basic Research on the Layered Tillage Technology by Biaxial Rotary Tillage Component for Vegetable Bed Former. Ph.D. Thesis, Jiangsu University, Zhenjiang, China, 2021. [Google Scholar]
30. Guo, J.; Ji, C.Y.; Fang, H.M.; Zhang, Q.Y.; Hua, F.L.; Zhang, C. Experimental analysis of soil and straw displacement after forward and reverse rotational tillage. Trans. Chin. Soc. Agric. Mach. 2016, 47, 21–26. [Google Scholar]
31. Fang, H.M. Study on the Mechanism of Straw-Soil-Rototiller Interaction Based on the Discrete Element Method. Ph.D. Thesis, Nanjing Agricultural University, Nanjing, China, 2016. [Google Scholar]
32. Zhang, Y.; Liu, J.; Yuan, W.; Zhang, R.; Xi, X. Multiple Leveling for Paddy Field Preparation with Double Axis Rotary Tillage Accelerates Rice Growth and Economic Benefits. Agriculture 2021, 11, 1223. [Google Scholar] [CrossRef]
33. Cheng, J.; Xia, J.F.; Zheng, K.; Liu, G.Y.; Wei, Y.S.; Liu, Z.Y.; Li, P.L.; Liu, H.P. Construction and analysis of a discrete element model for calculating friction resistance of the typical rotary blades. Comput. Electron. Agric. 2023, 214, 108303. [Google Scholar] [CrossRef]
34. Jan, D.P.; Gemmina, D.E.; Daniel, V.F.R.; Adam, B.; Wim, M.C. Calibration of DEM material parameters to simulate stress-strain behavior of unsaturated soils during uniaxial compression. Soil Tillage Res. 2019, 194, 104303–104312. [Google Scholar]
35. Zhang, J. Research on Energy-Saving Technology of Down-Cut Deep-Rotary-Tillage Rotary Tiller. Ph.D. Thesis, Nanjing Institute of Agricultural Mechanization, Ministry of Agriculture and Rural Affairs, Nanjing, China, 2021. [Google Scholar]
36. NY/T499-2013; Quality of Rotary Tillage Operation. National Agricultural Machinery Standardization Technical Committee: Beijing, China, 2013.
37. GB/T5668-2017; Test Methods for Rotary Tillage Machinery. National Agricultural Machinery Standardization Technical Committee: Beijing, China, 2017.
Zhao Z, Hou J, Guo P, Xia C, Yan H, Wang D. Analysis of Soil–Straw Movement Behavior in Saline–Alkali Soil Under Dual-Axis Rotary Tillage Based on EDEM. Agriculture. 2025; 15(3):337. https://doi.org/10.3390/agriculture15030337
Перевод статьи «Analysis of Soil–Straw Movement Behavior in Saline–Alkali Soil Under Dual-Axis Rotary Tillage Based on EDEM» авторов Zhao Z, Hou J, Guo P, Xia C, Yan H, Wang D., оригинал доступен по ссылке. Лицензия: CC BY. Изменения: переведено на русский язык



































































Комментарии (0)