Определение смеси чеснока и зерна с наибольшим содержанием аллитиамина
Чеснок (Allium sativum L.) широко изучается благодаря своим терапевтическим и кулинарным свойствам, обусловленным содержанием серосодержащих биоактивных соединений, включая аллицин и его производные. В данном исследовании были идентифицированы сорта чеснока с высоким содержанием аллицина из разных регионов Кореи.
Аннотация
Также изучался синтез аллитиамина — жирорастворимого производного тиамина с повышенной биодоступностью — при сочетании чеснока с различными зерновыми культурами. Анализ с помощью высокоэффективной жидкостной хроматографии (ВЭЖХ) выявил значительные региональные различия в содержании аллицина: наивысшие показатели были зафиксированы у чеснока с острова Чеджудо (1,04 мг/г). Среди протестированных зерновых культур Avena sativa (овес) показал наиболее эффективное взаимодействие с чесноком, обеспечив наибольший уровень аллитиамина (14,93 мг/г). Эти результаты подчеркивают важность свойств зерновой матрицы для оптимизации синтеза аллитиамина. Исследование дает ценные сведения для разработки функциональных продуктов питания, использующих биоактивные соединения чеснока для улучшения метаболического здоровья и повышения биодоступности тиамина.
1. Введение
Чеснок (Allium sativum L.) на протяжении десятилетий ценится за свои кулинарные и лекарственные свойства. Эффекты экстрактов A. sativum и их биоактивных соединений изучаются с точки зрения фитотерапевтических свойств видов Allium, и несколько биоактивных соединений показали разнообразные преимущества для здоровья [1,2]. A. sativum является одним из наиболее широко культивируемых лекарственных растений [3]. Он содержит такие биоактивные соединения, как аллиин (S-аллил-цистеин сульфоксид), аллицин (диаллилдисульфид оксид), диаллилсульфиды, S-аллил-цистеин и аджоен [4]. Уровни аллиина в A. sativum высоки [5]. Этот предшественник подвергается ферментативному превращению при измельчении или нарезании [6]. Помимо чеснока, большинство зерновых имеют огромное пищевое значение как источник энергии и микронутриентов, в частности тиамина (витамин B1). Тиамин играет ключевую роль в энергетическом обмене, функционируя как кофермент для ключевых ферментативных реакций [7,8]. Фермент аллииназа действует на аллиин, образуя аллицин, пируват и аммиак [9]. Аллицин является крайне нестабильным соединением, которое быстро превращается в различные серосодержащие соединения, такие как диаллилсульфид, диметилтрисульфид, диаллилдисульфид и диаллилтрисульфид, которые вносят вклад в его характерный острый аромат и вкус [6]. Эти серосодержащие соединения, наряду с аллицином, известны своей биологической активностью [10,11,12], связанной с многочисленными эффектами, способствующими укреплению здоровья, включая антиоксидантные [13], гипогликемические и кардиопротекторные эффекты [14,15], а также противораковые [16], антифиброзные [17] и противогрибковые свойства [18]. Чеснок продемонстрировал значительный вазодилатирующий эффект на коронарные артерии, что привело к увеличению коронарного кровотока в экспериментальной группе до и во время реперфузии. Этот эффект был связан со снижением концентрации высвобождаемого LDH [19].
Реакция между аллицином и тиамином (Рисунок 1) приводит к образованию аллитиамина (также известного как тиамин-аллилдисульфид). Аллитиамин, жирорастворимая форма витамина B1, впервые был обнаружен в A. sativum в 1950-х годах [20]. Это природное производное тиамина уникально благодаря своей жирорастворимости, что улучшает его всасывание в кишечнике и замедляет выведение из организма [21]. Это делает аллитиамин более биодоступным, чем водорастворимый тиамин, позволяя ему более эффективно всасываться в пищеварительном тракте [22]. Было показано, что аллитиамин продемонстрировал значительный потенциал как активный витамин для лечения таких состояний, как сепсис [23]. Сочетание чеснока и зерновых открывает новый подход к созданию функциональных продуктов питания с улучшенными полезными для здоровья свойствами за счет использования серосодержащих биоактивных соединений чеснока и содержания тиамина в зерновых. Однако свойства зерновой матрицы и их взаимодействие с аллицином играют ключевую роль в оптимизации синтеза аллитиамина, что требует дальнейших исследований.
Рисунок 1. Биосинтетический путь образования аллитиамина из аллиина через аллицин и тиамин.
Это предварительное исследование было направлено на дальнейшее повышение полезности чеснока путем выявления сортов чеснока с высоким содержанием аллицина, полученных из разных регионов Кореи. Кроме того, в этом исследовании изучалось производство аллитиамина путем сочетания чеснока с различными образцами зерновых для оптимизации его содержания, что предоставляет новый подход к максимизации функциональных возможностей применения чеснока.
2. Материалы и методы
2.1. Растительные материалы
Чеснок (Рисунок 2) был собран из разных регионов Кореи (чеснок Чеджудо из Jeju Agricultural, чеснок Ыйсон (тип Ханджи) из Yeongtae F&B, чеснок Йончхон (тип Десо) из Yeongcheon Yellow Garlic, чеснок Намхэ (тип Намдо) из Namhae Agricultural Marine Products Direct Sales Center и чеснок Муан (тип Десо) из Hwangtosarang Distribution). Все образцы чеснока были депонированы в Nanum Pharmaceutical Co., Ltd. (Йончхон, Республика Корея). Различные образцы зерновых Avena sativa, Arachis hypogaea, Phaseolus vulgaris и Rhynchosia nulubilis (Рисунок 3) были приобретены в Taebok Japgok, Kyoungpook Yeongcheon Market, Республика Корея. Было проведено тщательное исследование для выявления местных зерновых с высоким содержанием тиамина, и эти четыре вида, известные своей пищевой ценностью, были выбраны из-за их значимости для данного исследования.
Рисунок 2. Места сбора образцов чеснока.
Рисунок 3. Сырьевые материалы чеснока и зерновых: чеснок Чеджудо (a), чеснок Муан (b), чеснок Намхэ (c), чеснок Ыйсон (d), чеснок Йончхон (e), A. hypogaea (f), A. sativa (g), P. vulgaris (h) и R. nulubilis (i).
2.2. Оборудование и реактивы
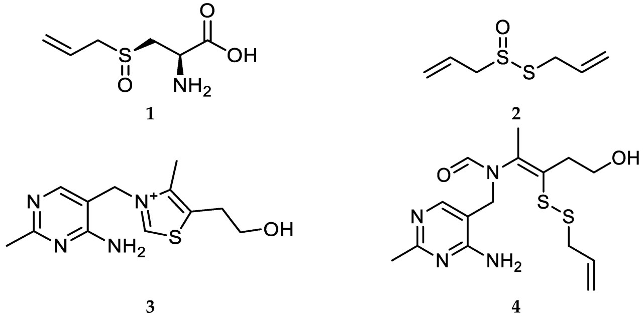
Смеси зерновых были приготовлены с использованием измельчителя (RT-02A, Rong Tsong Precision Technology Co., Ltd., Тайчжун, Тайвань) и пресса для чеснока (KHC-1000G; Kitchen Art Co., Ltd., Шэньчжэнь, Китай) для обеспечения однородного размера частиц и консистенции. Система ВЭЖХ (Agilent 1260 Infinity II Quat Pump, Санта-Клара, Калифорния, США), состоящая из автосамплера, насоса и детектора с переменной длиной волны (VW) (Санта-Клара, Калифорния, США), была использована для точного количественного анализа. Разделение проводилось с использованием двух колонок: колонки YMC Pack Pro C18 (4,6 × 250 мм, 5 мкм) (YMC Co., Ltd., Киото, Япония) и колонки Aegispak C18-L (3,0 × 150 мм, 5 мкм) (Young Jin Biochrom Co., Ltd., Соннам, Республика Корея). Растворители для ВЭЖХ, включая воду и метанол (MeOH), были получены от Honeywell (Burdick and Jackson, Маскегон, Мичиган, США), в то время как ацетонитрил (ACN) был получен от Scharlau (Барселона, Испания). Муравьиная и фосфорная кислоты (Thermo Fisher Scientific, Уолтем, Массачусетс, США) были использованы в качестве добавок к подвижной фазе. Стандартные соединения, аллицин (смесь диаллилсульфида, DAS; диметилтрисульфида, DAT; диаллилдисульфида, DADS; и диаллилтрисульфида, DATS), тиамин и аллитиамин, были получены от Natural Product Institute of Science and Technology (www.nist.re.kr, дата обращения 10 июля 2024 г.), Ансон, Республика Корея (Рисунок 4).
Рисунок 4. Химические структуры аллиина (1), аллицина (2), тиамина (3) и аллитиамина (4).
2.3. Смесь зерновых
Зерновые были измельчены с помощью измельчителя (RT-02A; Rong Tsong Precision Technology Co., Ltd., Тайчжун, Тайвань) и смешаны с порошком тиамина (витамин B1 нитрат 100%, Bigsol, Бергайн, Германия) в соотношении 1:1. После этого 1 г смеси был суспендирован в воде для достижения 10% концентрации экстракта; чеснок был измельчен с помощью пресса для чеснока (KHC-1000G, Kitchen Art Co., Ltd., Шэньчжэнь, Китай) и перемешан при 150 об/мин в течение 24 ч. Затем он был лиофилизирован и использован в качестве образца. Различные образцы смесей зерновых: A. sativa тиамин чеснок (ASTG), A. hypogaea тиамин чеснок (AHTG), P. vulgaris тиамин чеснок (PVTG) и R. nulubilis тиамин чеснок (RNTG).
2.4. Приготовление образцов чеснока и стандартных растворов для ВЭЖХ-анализа аллицина
Для экстракции смеси использовалась ультразвуковая баня при 40 °C в течение 10 мин. После экстракции раствор был центрифугирован (10 000 об/мин, 10 мин, 4 °C) и профильтрован через 0,20 мкм мембранный фильтр из поливинилиденфторида (PVDF) для получения раствора образца. Стандартный аллицин (1 мг) был точно взвешен и растворен в EtOH (1 мл) для приготовления исходного раствора. Раствор был обработан ультразвуком до полного растворения и профильтрован через 0,20 мкм мембранный фильтр из PVDF. Затем исходный раствор был соответствующим образом разбавлен для приготовления стандартных растворов с концентрациями в диапазоне от 0,015625 мг/мл до 0,25 мг/мл.
2.5. Приготовление образцов чеснока и стандартных растворов для ВЭЖХ-анализа аллиина, тиамина и аллитиамина
Экстракционный растворитель был приготовлен смешиванием MeOH и воды в соотношении 80:20 (об/об) и доведением pH до 3,0 с помощью муравьиной кислоты. Растворы были приготовлены добавлением 1 мл экстракционного растворителя к 5 мг каждого образца, экстракцией при 40 °C в течение 10 мин в ультразвуковой бане и фильтрацией через 0,20 мкм мембранный фильтр из PVDF. Стандартные растворы были приготовлены взвешиванием 1 мг двух соединений, растворением их в экстракционном растворителе, обработкой ультразвуком, фильтрацией через 0,20 мкм мембранный фильтр из PVDF и последующим разбавлением для достижения концентраций в диапазоне от 1,0 до 0,0625 мг/г.
2.6. Условия ВЭЖХ-УФ для анализа аллицина
ВЭЖХ-анализ проводился с использованием системы Agilent 1260 Infinity II Quaternary Pump, оснащенной УФ-детектором, в соответствии с методами, описанными в предыдущих исследованиях [24]. Разделение было достигнуто с использованием колонки YMC Pack Pro C18 (4,6 × 250 мм, 5 мкм), поддерживаемой при 30 °C. Объем инъекции был установлен на 10 мкл. Подвижная фаза состояла из изократической смеси воды, содержащей 0,1% фосфорной кислоты (растворитель A) и ACN (растворитель B) в соотношении 25:75. Скорость потока составляла 1,0 мл/мин. Аналиты детектировались при длине волны 208 нм (Рисунок 5). Состав подвижной фазы оставался постоянным на протяжении всего анализа, при этом растворители A и B поддерживались на уровне 25% и 75% соответственно в течение 30 мин.
Рисунок 5. ВЭЖХ/УФ хроматограммы аллиина (a), аллицина (DAS, 6,5 мин; DAT, 8,6 мин; DADS, 11,7 мин; DATS, 16,6 мин) (b), тиамина (c) и аллитиамина (d).
2.7. Условия ВЭЖХ-УФ для анализа аллиина, тиамина и аллитиамина
Обращенно-фазовый ВЭЖХ-анализ проводился на системе Agilent 1260 Infinity II, оснащенной Quat Pump и УФ-детектором, с использованием колонки Aegispak C18-L (3,0 × 150 мм, 5 мкм) при 30 °C. Объем инъекции образца составлял 10 мкл. Подвижная фаза состояла из 20 мМ одноосновного дигидрофосфата натрия и 10 мМ натриевой соли 1-гептансульфоновой кислоты в воде, с доведением pH до 2,2 с помощью фосфорной кислоты в качестве растворителя A и смеси ACN и растворителя A (50:50) в качестве растворителя B для аллиина и MeOH в качестве растворителя B для тиамина и аллитиамина. Скорость потока была установлена на 0,3 мл/мин. Длина волны детектирования составляла 208 нм для аллиина и 254 нм для тиамина и аллитиамина (Рисунок 5). Градиент подвижной фазы был запрограммирован следующим образом: 0% B при 0 мин, 30% B при 5 мин, 54% B при 25 мин и 100% B с 30 по 32 мин, с последующей повторной уравновешиванием при 100% A с 37 по 45 мин. Следуя предыдущим сообщениям, анализ проводился в этих условиях для обеспечения полного разделения и детектирования целевых соединений [25,26].
2.8. Калибровочные кривые
Калибровочные кривые были построены для установления взаимосвязи между концентрациями растворов стандартных соединений и соответствующими площадями пиков каждого образца (Таблица 1). Линейность кривых была оценена с использованием коэффициента корреляции (r²). Концентрации образцов были определены по калибровочным кривым. Калибровочные функции были определены в терминах площади пика (Y) и концентрации (X, мг/мл), и результаты представлены как среднее ± стандартное отклонение (SD).
Таблица 1. Уравнения калибровочных кривых для аллиина (1), аллицина (2), тиамина (3) и аллитиамина (4).
2.9. Статистический анализ
Результаты ВЭЖХ-анализа выражены как среднее ± SD, полученное из трех независимых экспериментов. Статистический анализ был выполнен с использованием однофакторного дисперсионного анализа (ANOVA) с последующим post hoc тестом Тьюки. Все статистические анализы и графики были созданы с использованием статистического программного обеспечения GraphPad Prism 8.0.2 (GraphPad Software, Бостон, Массачусетс, США). NS означает незначимо, а , , и являются значимыми при p < 0,05, 0,01, 0,001 и 0,0001 соответственно.
3. Результаты
3.1. Региональные вариации содержания аллиина и аллицина
Образцы чеснока были собраны из различных регионов Южной Кореи и проанализированы для выявления тех, которые имеют самое высокое содержание аллицина, чтобы максимизировать потенциал чеснока как функционального ингредиента путем отбора образцов, богатых серосодержащими биоактивными соединениями. Содержание аллиина и аллицина в этих образцах чеснока значительно различалось (Таблица 2 и Рисунок 6).
Рисунок 6. ВЭЖХ/УФ хроматограммы чеснока Чеджудо, показывающие пики, соответствующие аллиину (9,9 мин) (a) и аллицину (DAS, 6,5 мин; DAT, 8,6 мин; DADS, 11,7 мин; DATS, 16,6 мин) (b).
Таблица 2. Содержание аллиина (1) и аллицина (2) в образцах экстракта A. sativum из разных регионов Южной Кореи.
Чеснок Чеджудо имел самое высокое содержание аллицина (1,04 мг/г), что делает его наиболее перспективным кандидатом для применения в функциональных продуктах питания, несмотря на умеренные уровни аллиина (19,47 мг/г). Чеснок Ыйсон имел самое высокое содержание аллиина (24,90 мг/г) и относительно низкие уровни аллицина (0,12 мг/г).
3.2. Содержание тиамина в сырых зерновых
Содержание тиамина и аллитиамина в сырьевых зерновых материалах также было оценено (Таблица 3). R. nulubilis была единственной, показавшей обнаруживаемые уровни тиамина (0,16 мг/г). Тиамин не был обнаружен в A. hypogaea, A. sativa или P. vulgaris. Наличие следовых количеств только тиамина не коррелировало напрямую с производством аллитиамина в смесях чеснока и зерновых.
Таблица 3. Содержание тиамина (3) в порошкообразных образцах сырьевых зерновых материалов.
3.3. Содержание тиамина и аллитиамина в чесноке и смесях чеснока с зерновыми
Тиамин и аллитиамин были сначала проанализированы в чесноке и зерновых по отдельности. Результат показал, что тиамин присутствует только в следовых количествах в зерновых, тогда как его содержание в чесноке Чеджудо составляло всего 0,97 мг/г (Таблица 4). С другой стороны, аллитиамин не был обнаружен во всех зерновых и только в следовых количествах в образце чеснока Чеджудо. Из-за этих результатов экстракт чеснока был смешан с зерновыми для изучения эффектов зерновых при сочетании с чесноком в синтезе аллитиамина.
Таблица 4. Сравнение продукции тиамина (3) и аллитиамина (4) между контрольными образцами без тиамина и смесями чеснока Чеджудо с тиамином.
Анализ содержания тиамина и аллитиамина в смесях чеснока с зерновыми выявил заметные различия в зависимости от типа зерновых (Таблица 5 и Рисунок 7). ASTG содержала самые высокие уровни как тиамина (37,04 мг/г), так и аллитиамина (14,93 мг/г), что делает ее наиболее эффективной смесью для синтеза аллитиамина. AHTG и RNTG также показали высокий уровень аллитиамина (6,37 и 6,92 мг/г), несмотря на неопределяемые уровни тиамина в их сыром виде, что свидетельствует о том, что свойства зерновой матрицы значительно влияют на взаимодействие между аллицином и тиамином. И наоборот, PVTG продемонстрировала относительно низкие уровни аллитиамина (2,54 мг/г), что предполагает, что не все зерновые были одинаково эффективны в содействии синтезу аллитиамина [27].
Рисунок 7. ВЭЖХ/УФ хроматограммы тиамина (17,9 мин) и аллитиамина (23,5 мин) ASTG (a), AHTG (b), PVTG (c) и RNTG (d).
Таблица 5. Содержание тиамина (3) и аллитиамина (4) в сырьевых зерновых материалах, A. sativum и лиофилизированных порошкообразных образцах смеси с тиамином.
4. Обсуждение
В этом исследовании чеснок, полученный из разных регионов Южной Кореи, был проанализирован на содержание аллицина и аллиина. Результаты показали различное содержание в этих экстрактах чеснока. Эти различия предполагают, что факторы, отличные от концентрации аллиина, такие как активность аллииназы и условия окружающей среды, определяют уровни аллицина. Предыдущие исследования показали, что активность аллииназы варьируется в зависимости от среды выращивания чеснока, включая состав почвы, климат и агротехнические приемы [28], вероятно, из-за различий в активности ферментов и доступности субстрата. В частности, в неповрежденных клетках аллиин и аллииназа разделены, но при нарезании или измельчении они высвобождаются, что позволяет им взаимодействовать [29]. Высокая концентрация субстрата и эффективная диффузия повышают активность, в то время как ограниченная растворимость, ингибиторы или плотные ткани снижают ее. Оптимальные условия, такие как правильный pH, гидратация и температура, также улучшают связывание субстрата и эффективность фермента.
В предыдущем исследовании была проанализирована физиологическая активность экстрактов чеснока из восьми различных зон возделывания (три зоны в Тэджоне и четыре основные зоны возделывания в Таняне, Ыйсоне, Тхаане и Намхэ) в Корее и одной из Китая. Их результаты показали, что чеснок Муан продемонстрировал самое низкое содержание аллицина (0,06 мг/г), при этом образцы чеснока Йончхон и Намхэ показали промежуточные уровни в диапазоне от 0,26 до 0,28 мг/г. Эти результаты сходны с предыдущими исследованиями, которые показали, что содержание аллицина в чесноке значительно варьируется в зависимости от региона [30]. Чеснок Танян показал самое высокое содержание аллицина — 4,57 мг/г, за ним следовали Ыйсон (4,22 мг/г), Чеджудо (3,34 мг/г) и Намхэ (3,28 мг/г). Эти различия, вероятно, отражают региональные вариации условий культивирования, таких как свойства почвы, климат и агротехнические приемы [31]. Эти различия могут быть связаны с экологическими факторами, такими как УФ-излучение, тип почвы и даже количество осадков, выпадающих в регионе, откуда был получен чеснок [32]. Недавнее исследование проанализировало биоактивные соединения из разных сортов чеснока из разных регионов [33]. Они обнаружили связь между составом пищи и условиями окружающей среды, которая может быть использована для идентификации чеснока в зависимости от его происхождения.
Для изучения синтеза аллитиамина в чесноке и смесях чеснока с зерновыми чеснок Чеджудо был объединен с различными зерновыми. Известно, что эти зерновые содержат тиамин — соединение, необходимое для синтеза аллитиамина при реакции с аллицином. Однако, когда было измерено содержание тиамина в зерновых, в образцах зерновых было обнаружено мало или совсем не обнаружено. Следовательно, зерновые были снабжены тиамином для компенсации его недостатка. Добавление порошка тиамина в зерновые является обычной практикой во всем мире, называемой фортификацией, при которой восполняется деградировавший или потерянный во время обработки тиамин [34]. Путем добавления порошка тиамина потери компенсируются. Интересно, что, хотя R. nulubilis была единственным зерном с обнаруживаемым содержанием тиамина в сыром состоянии, смесь с чесноком (RNTG) не дала самого высокого содержания аллитиамина. Это наблюдение подчеркивает важность структурных и химических свойств зерновой матрицы, а не начального содержания тиамина, в облегчении реакций между аллицином и тиамином.
Выбор чеснока Чеджудо в качестве основы для смесей был основан на его высоком содержании аллицина, которое было самым высоким среди всех протестированных образцов. Поскольку аллицин играет ключевую роль в синтезе аллитиамина через его реакцию с тиамином, чеснок Чеджудо был признан наиболее подходящим кандидатом для оптимизации производства аллитиамина. Это соответствует цели данного исследования — использованию повышенной биодоступности аллитиамина по сравнению с водорастворимым тиамином. Биосинтетический путь аллитиамина включает реакцию тиамина с аллицином, при которой серосодержащие группы в аллицине взаимодействуют с реакционноспособными центрами тиамина с образованием дисульфидных связей, таких как тиамин-аллилдисульфид (Рисунок 1). Однако эффективность этой реакции варьируется в зависимости от физических и химических свойств зерновой матрицы. Предыдущие исследования показали, что состав зерновой матрицы может значительно влиять на диффузию специфических соединений различными способами [35,36,37]. Кроме того, ферментативная активность аллииназы, которая превращает аллиин в аллицин, подвержена влиянию экологических факторов, таких как pH, температура и доступность субстрата [38]. Хотя в этом исследовании не было обнаружено значительных различий в ферментативной активности между образцами чеснока [38], вариации условий реакции внутри зерновых матриц все же могли влиять на продукцию аллитиамина.
Аллицин, ключевое серосодержащее соединение в чесноке, легко взаимодействует с тиолсодержащими белками и ферментами с образованием дисульфидных связей [39,40]. Хотя эти взаимодействия не специфичны для зерновых, они подчеркивают общую химическую реакционную способность аллицина. Тиамин, тем временем, склонен к деградации тиаминазами — ферментами, обычно обнаруживаемыми в некоторых сырых или ферментированных продуктах, таких как рыба и моллюски, но обычно не связанными с зерновыми. Отсутствие тиаминаз в зерновых гарантировало, что стабильность тиамина и его производных сохранялась в этих смесях [41].
Результаты этого исследования подчеркивают важность выбора зерновых для оптимизации синтеза аллитиамина в смесях чеснока с тиамином. Высокие уровни аллитиамина, наблюдаемые в ASTG, демонстрируют ее потенциал как кандидата на роль функционального продукта питания с повышенной биодоступностью биоактивных соединений. Напротив, относительно низкие уровни аллитиамина в PVTG подчеркивают необходимость тщательного учета свойств зерновых при разработке таких композиций. Эти результаты предоставляют ценные сведения для разработки функциональных продуктов питания, направленных на улучшение метаболического здоровья за счет улучшенной доступности тиамина. Однако механизмы, лежащие в их основе, еще не ясны или не были описаны в предыдущих работах, в частности, как зерновые способствовали производству аллитиамина при смешивании с чесноком. В частности, выяснение этих механизмов и изучение различных соотношений смесей зерновых и чеснока может быть дополнительно исследовано, а также оптимизация синтеза аллитиамина. Кроме того, изменчивость аллитиамина в зависимости от температуры и pH, установленных во время смешивания, не была рассмотрена в этой работе, что открывает возможности для дальнейших исследований в этой области. Влияние вовлеченных ферментов также должно быть выяснено. Ученые могут улучшить эффективность синтеза аллитиамина, масштабировать промышленное производство и исследовать структурные модификации для повышения стабильности и эффективности аллитиамина. В конечном итоге, это исследование подчеркивает значительное влияние сорта чеснока и типа зерновых на синтез аллитиамина и предлагает практические рекомендации по разработке функциональных продуктов питания. Будущие исследования должны изучить дополнительные комбинации чеснока и зерновых и исследовать биохимические механизмы, управляющие этими взаимодействиями, чтобы дальше улучшить полезные для здоровья свойства этих смесей.
5. Выводы
Это исследование иллюстрирует важность сорта чеснока и зерновой матрицы для продукции аллитиамина, жирорастворимого производного тиамина с повышенной биодоступностью. Чеснок Чеджудо, с самым высоким содержанием аллицина, был идентифицирован как наиболее перспективный источник серосодержащих биоактивных соединений для использования. Выбор зерновых оказал значительное влияние на продукцию аллитиамина, при этом ASTG генерировала наибольшие количества, несмотря на отсутствие обнаруживаемого тиамина в ее сырой форме. Эти результаты подчеркивают значение специфичных для матрицы переменных, таких как физические и химические особенности, а не начальных уровней тиамина. Однако специфические свойства образцов, а также условия смешивания должны быть оптимизированы, поскольку в настоящей работе они являются произвольными. Это исследование закладывает основу для разработки функциональных продуктов питания, направленных на улучшение биодоступности тиамина и метаболического здоровья. Результаты этого исследования предоставляют множество аспектов для дальнейших исследований из-за пробелов, которые они выявили. Следовательно, будущие исследования должны улучшить условия реакции и изучить новые комбинации чеснока и зерновых для увеличения продукции аллитиамина и его терапевтического потенциала.
Ссылки
1. Vimal, V.; Devaki, T. Hepatoprotective effect of allicin on tissue defense system in galactosamine/endotoxin challenged rats. J. Ethnopharmacol. 2004, 90, 151–154. [Google Scholar] [CrossRef] [PubMed]
2. Pan, Y.; Zheng, Y.M.; Ho, W.S. Effect of quercetin glucosides from Allium extracts on HepG2, PC-3 and HT-29 cancer cell lines. Oncol. Lett. 2018, 15, 4657–4661. [Google Scholar] [CrossRef] [PubMed]
3. Corzo-Martínez, M.; Corzo, N.; Villamiel, M. Biological properties of onions and garlic. Trends Food Sci. Technol. 2007, 18, 609–625. [Google Scholar] [CrossRef]
4. Duke, J.B. Handbook of Medicinal Herbs, 2nd ed.; CRC Press: Boca Raton, FL, USA, 2002. [Google Scholar]
5. Yang, X.; Su, Y.; Wu, J.; Wan, W.; Chen, H.; Cao, X.; Wang, J.; Zhang, Z.; Wang, Y.; Ma, D.; et al. Parallel analysis of global garlic gene expression and alliin content following leaf wounding. BMC Plant Biol. 2021, 21, 174. [Google Scholar] [CrossRef]
6. Batiha, G.E.S.; Beshbishy, A.M.; Wasef, L.G.; Elewa, Y.H.A.; Al-Sagan, A.A.; El-Hack, M.E.A.; Taha, A.E.; Abd-Elhakim, Y.M.; Devkota, H.P. Chemical constituents and pharmacological activities of garlic (Allium sativum L.): A review. Nutrients 2020, 12, 872. [Google Scholar] [CrossRef]
7. Depeint, F.; Bruce, W.R.; Shangari, N.; Mehta, R.; O’Brien, P.J. Mitochondrial function and toxicity: Role of the B vitamin family on mitochondrial energy metabolism. Chem. Biol. Interact. 2006, 163, 94–112. [Google Scholar] [CrossRef]
8. Fattal-Valevski, A. Thiamine (vitamin B1). Complement. Health Pract. Rev. 2011, 16, 12–20. [Google Scholar] [CrossRef]
9. Shimon, L.J.W.; Rabinkov, A.; Shin, I.; Miron, T.; Mirelman, D.; Wilchek, M.; Frolow, F. Two structures of alliinase from Alliium sativum L.: Apo form and ternary complex with aminoacrylate reaction intermediate covalently bound to the PLP cofactor. J. Mol. Biol. 2007, 366, 611–625. [Google Scholar] [CrossRef]
10. Iciek, M.; Kwiecień, I.; Włodek, L. Biological properties of garlic and garlic-derived organosulfur compounds. Environ. Mol. Mutagen. 2009, 50, 247–265. [Google Scholar] [CrossRef]
11. Ţigu, A.B.; Toma, V.A.; Mot, A.C.; Jurj, A.; Moldova, C.S.; Fischer-Fodor, E.; Berindan-Neagoe, I.; Pârvu, M. The synergistic antitumor effect of 5-fluorouracil combined with allicin against lung and colorectal carcinoma cells. Molecules 2020, 25, 1947. [Google Scholar] [CrossRef]
12. Rosas-González, V.C.; Téllez-Bañuelos, M.C.; Hernández-Flores, G.; Bravo-Cuellar, A.; Aguilar-Lemarroy, A.; Jave-Suárez, L.F.; Haramati, J.; Solorzano-Ibarra, F.; Ortiz-Lazareno, P.C. Differential effects of alliin and allicin on apoptosis and senescence in luminal A and triple-negative breast cancer: Caspase, ΔΨm, and pro-apoptotic gene involvement. Fundam. Clin. Pharmacol. 2020, 34, 671–686. [Google Scholar] [CrossRef] [PubMed]
13. Shang, A.; Cao, S.Y.; Xu, X.Y.; Gan, R.Y.; Tang, G.Y.; Corke, H.; Mavumengwana, V.; Li, H. Bin Bioactive compounds and biological functions of garlic (Allium sativum L.). Foods 2019, 8, 246. [Google Scholar] [CrossRef] [PubMed]
14. Banerjee, S.K.; Maulik, S.K. Effect of garlic on cardiovascular disorders: A review. Nutr. J. 2002, 1, 1–14. [Google Scholar] [CrossRef] [PubMed]
15. Ota, A.; Ulrih, N.P. An overview of herbal products and secondary metabolites used for management of type two diabetes. Front. Pharmacol. 2017, 8, 436. [Google Scholar] [CrossRef]
16. Isbilen, O.; Volkan, E. Allium Species in the Fight Against Cancer; MedDocs Publisher LLC: Reno, NV, USA, 2020. [Google Scholar]
17. D’Argenio, G.; Mazzone, G.; Ribecco, M.T.; Lembo, V.; Vitaglione, P.; Guarino, M.; Morisco, F.; Napolitano, M.; Fogliano, V.; Caporaso, N. Garlic extract attenuating rat liver fibrosis by inhibiting TGF-β1. Clin. Nutr. 2013, 32, 252–258. [Google Scholar] [CrossRef]
18. Pârvu, M.; Moţ, C.A.; Pârvu, A.E.; Mircea, C.; Stoeber, L.; Roşca-Casian, O.; Ţigu, A.B. Allium sativum extract chemical composition, antioxidant activity and antifungal effect against Meyerozyma guilliermondii and Rhodotorula mucilaginosa causing onychomycosis. Molecules 2019, 24, 3958. [Google Scholar] [CrossRef]
19. Cui, T.; Liu, W.; Yu, C.; Ren, J.; Li, Y.; Shi, X.; Li, Q.; Zhang, J. Protective effects of allicin on acute myocardial infarction in rats via hydrogen sulfide-mediated regulation of coronary arterial vasomotor function and myocardial calcium transport. Front. Pharmacol. 2022, 12, 752244. [Google Scholar] [CrossRef]
20. Fujiwara, M.; Watanabe, H.; Matsui, K. “Allithiamine”, a newly found derivative of vitamin B1: I. Discovery of allithiamine. J. Biochem. 1954, 41, 29–39. [Google Scholar] [CrossRef]
21. Fujiwara, M.; Yoshimura, M.; Tsuno, S. “Allithiamine”, a newly found derivative of vitamin B1: III. On the allicin homologues in the plants of the Allium species. J. Biochem. 1955, 42, 591–601. [Google Scholar] [CrossRef]
22. Lonsdale, D. Thiamine tetrahydrofurfuryl disulfide: A little known therapeutic agent. Med. Sci. Monit. 2004, 10, 199–203. [Google Scholar]
23. Choi, E.J.; Jeon, C.H.; Park, D.H.; Kwon, T.H. Allithiamine exerts therapeutic effects on sepsis by modulating metabolic flux during dendritic cell activation. Mol. Cells 2020, 43, 964–973. [Google Scholar] [CrossRef] [PubMed]
24. Zhou, C.; Hu, X.; Chao, C.; Li, H.; Zhang, S.; Yan, X.; Yang, F.; Li, Q. Quantitation of allicin in garlic-based products: Comparisons among spectrophotometry, GC and HPLC. Adv. J. Food Sci. Technol. 2015, 9, 269–277. [Google Scholar] [CrossRef]
25. Arnault, I.; Christidès, J.P.; Mandon, N.; Haffner, T.; Kahane, R.; Auger, J. High-performance ion-pair chromatography method for simultaneous analysis of alliin, deoxyalliin, allicin and dipeptide precursors in garlic products using multiple mass spectrometry and UV detection. J. Chromatogr. A 2003, 991, 69–75. [Google Scholar] [CrossRef] [PubMed]
26. Edwards, K.A.; Tu-Maung, N.; Cheng, K.; Wang, B.; Baeumner, A.J.; Kraft, C.E. Thiamine assays—Advances, challenges, and caveats. ChemistryOpen 2017, 6, 178–191. [Google Scholar] [CrossRef]
27. Hrubša, M.; Siatka, T.; Nejmanová, I.; Vopršalová, M.; Krčmová, L.K.; Matoušová, K.; Javorská, L.; Macáková, K.; Mercolini, L.; Remião, F.; et al. Biological properties of vitamins of the B-complex, part 1: Vitamins B1, B2, B3, and B5. Nutrients 2022, 14, 484. [Google Scholar] [CrossRef]
28. Oh, H.L.; Kim, N.Y.; Sohn, C.W.; Ryu, B.R.; Yoon, J.H.; Kim, M.R. Analyses of pungency-related factors of field and rice paddy garlic. J. Korean Soc. Food Sci. Nutr. 2012, 41, 655–660. [Google Scholar] [CrossRef]
29. Sunanta, P.; Kontogiorgos, V.; Pankasemsuk, T.; Jantanasakulwong, K.; Rachtanapun, P.; Seesuriyachan, P.; Sommano, S.R. The nutritional value, bioactive availability and functional properties of garlic and its related products during processing. Front. Nutr. 2023, 10, 1142784. [Google Scholar] [CrossRef]
30. Hyun, S.H.; Kim, M.B.; Lim, S. Bin Physiological activities of garlic extracts from Daejeong Jeju and major cultivating areas in Korea. J. Korean Soc. Food Sci. Nutr. 2008, 37, 1542–1547. [Google Scholar] [CrossRef][Green Version]
31. Kim, J.S.; Ra, J.H.; Hyun, H.N. Correlations between soil environment and bioactive constituents of Namdo garlic harvested in the non-volcanic ash soil distributed western Jeju. Korean J. Med. Crop Sci. 2015, 23, 125–131. [Google Scholar] [CrossRef]
32. Oliveira, M.M.; Cruz-Tirado, J.P.; Barbin, D.F. Nontargeted analytical methods as a powerful tool for the authentication of spices and herbs: A review. Compr. Rev. Food Sci. Food Saf. 2019, 18, 670–689. [Google Scholar] [CrossRef]
33. Pacholczyk-Sienicka, B.; Modranka, J.; Ciepielowski, G. Comparative analysis of bioactive compounds in garlic owing to the cultivar and origin. Food Chem. 2024, 439, 138141. [Google Scholar] [CrossRef] [PubMed]
34. Whitfield, K.C.; Smith, T.J.; Rohner, F.; Wieringa, F.T.; Green, T.J. Thiamine fortification strategies in low- and middle-income settings: A review. Ann. N. Y. Acad. Sci. 2021, 1498, 29–45. [Google Scholar] [CrossRef]
35. Dohmen, R.; Milke, R. Diffusion in polycrystalline materials: Grain boundaries, mathematical models, and experimental data. Rev. Mineral. Geochem. 2010, 72, 921–970. [Google Scholar] [CrossRef]
36. Polednia, J.; Dohmen, R.; Marquardt, K. Grain boundary diffusion and its relation to segregation of multiple elements in yttrium aluminum garnet. Eur. J. Mineral. 2020, 32, 675–696. [Google Scholar] [CrossRef]
37. Guo, S.; Yang, X.; Fan, X.; Ding, G.; Cao, S.; Zheng, B.; Chen, R.; Yan, A. The effect of grain size on the diffusion efficiency and microstructure of sintered Nd-Fe-B magnets by Tb grain boundary diffusion. Materials 2022, 15, 4987. [Google Scholar] [CrossRef]
38. El-Saadony, M.T.; Saad, A.M.; Korma, S.A.; Salem, H.M.; Abd El-Mageed, T.A.; Alkafaas, S.S.; Elsalahaty, M.I.; Elkafas, S.S.; Mosa, W.F.A.; Ahmed, A.E.; et al. Garlic bioactive substances and their therapeutic applications for improving human health: A comprehensive review. Front. Immunol. 2024, 15, 1277074. [Google Scholar] [CrossRef]
39. Borlinghaus, J.; Albrecht, F.; Gruhlke, M.C.H.; Nwachukwu, I.D.; Slusarenko, A.J. Allicin: Chemistry and biological properties. Molecules 2014, 19, 12591–12618. [Google Scholar] [CrossRef]
40. Müller, A.; Eller, J.; Albrecht, F.; Prochnow, P.; Kuhlmann, K.; Bandow, J.E.; Slusarenko, A.J.; Leichert, L.I.O. Allicin induces thiol stress in bacteria through S-allylmercapto modification of protein cysteines. J. Biol. Chem. 2016, 291, 11477–11490. [Google Scholar] [CrossRef]
41. Rowland, F.E.; Richter, C.A.; Tillitt, D.E.; Walters, D.M. Evolutionary and ecological correlates of thiaminase in fishes. Sci. Rep. 2023, 13, 18147. [Google Scholar] [CrossRef]
Lee C-D, Chae J, Kim M, Jang M, Ye E, Kim J, Lee S. Identifying the Garlic and Grain Mixture with the Highest Allithiamine Content. Agriculture. 2025; 15(3):284. https://doi.org/10.3390/agriculture15030284
Перевод статьи «Identifying the Garlic and Grain Mixture with the Highest Allithiamine Content» авторов Lee C-D, Chae J, Kim M, Jang M, Ye E, Kim J, Lee S., оригинал доступен по ссылке. Лицензия: CC BY. Изменения: переведено на русский язык
Фото: wikipedia














Комментарии (0)