Как цифровая грамотность помогает фермерам внедрять «зеленые» технологии
Применение цифровых технологий открывает новые возможности для содействия экологической модернизации и трансформации сельского хозяйства. Цифровая грамотность фермеров, являясь ключевым связующим звеном между цифровыми технологиями и устойчивым развитием аграрного сектора, существенно влияет на их производственные решения. Требуется дальнейшее изучение того, служит ли цифровая грамотность фактором, способствующим внедрению фермерами экологически чистых технологий в сельском хозяйстве. В данной статье используется метод энтропии для оценки уровня цифровой грамотности фермеров, а также применяется Probit-модель для эмпирического анализа данных опроса 643 фермеров в провинциях Шаньдун и Шэньси с целью изучения того, как цифровая грамотность влияет на внедрение зеленых технологий.
Аннотация
Результаты базового регрессионного анализа показывают, что цифровая грамотность может значительно повысить степень внедрения фермерами зеленых технологий. Анализ механизмов показывает, что повышение цифровой грамотности способствует внедрению зеленых технологий по трем направлениям: усиление восприятия рисков фермерами, расширение их цифрового социального капитала и повышение эффективности распространения технологий. Гетерогенный анализ демонстрирует, что рост цифровой грамотности значительно увеличивает внедрение четырех типов технологий — водосберегающего орошения, борьбы с вредителями, использования безвредных пестицидов и возврата соломы в почву, — причем это влияние сильнее выражено среди крупных фермеров и представителей среднего поколения. В связи с этим в исследовании предлагается улучшить инфраструктуру цифровых деревень, комплексно повышать цифровую грамотность фермеров и разрабатывать дифференцированные программы распространения знаний и технологий.
1. Введение
В последние годы производство зерна в Китае неуклонно растет, достигнув исторических рубежей. Согласно статистическому ежегоднику Китая за 2024 год, к концу 2023 года общий объем производства зерна в Китае достиг 695,41 миллиона тонн. Однако ресурсоемкая модель сельскохозяйственного производства, которая чрезмерно акцентирует внимание на максимизации урожайности, привела к чрезмерному использованию и неэффективному применению химических удобрений и пестицидов. Такая практика не только привела к широкому распространению загрязнения почвы, но и обострила проблему диффузного загрязнения из сельскохозяйственных источников, под которым понимается рассеивание загрязняющих веществ от сельскохозяйственной деятельности в окружающую среду, включая загрязнение удобрениями и пестицидами. Эти проблемы создают значительные барьеры для устойчивого развития и оказывают длительное негативное воздействие на окружающую среду и экосистемы. В ответ на это правительство Китая представило «Технические рекомендации по экологическому развитию сельского хозяйства (2018–2030)», подчеркнув, что создание системы технологий экологического развития сельского хозяйства является ключом к реализации стратегий устойчивого развития и решению насущных ресурсных и экологических проблем в сельском хозяйстве и сельских районах. Однако традиционные каналы распространения сельскохозяйственной информации, а также ресурсные ограничения и когнитивные ограничения фермеров препятствовали внедрению ими экологически чистых технологий производства, оставляя фермеров с недостаточной внутренней мотивацией. В этом контексте стимулирование перехода фермеров от традиционного к экологическому производству, в частности создание устойчивого механизма для внедрения экологически чистых технологий производства, стало насущной проблемой.
Исследования отечественных и зарубежных ученых, посвященные поведению фермеров и их готовности внедрять экологически чистые технологии производства, в основном сосредоточены на трех ключевых аспектах. Во-первых, существующая литература, основанная на характеристиках ресурсного обеспечения фермеров, в первую очередь исследует, как экономический, человеческий и социальный капитал влияют на их поведенческие решения. Экономический капитал включает такие факторы, как годовой доход, площадь обрабатываемой земли и способность к финансированию [1,2]; человеческий капитал охватывает численность рабочей силы, уровень образования и состояние здоровья [3]; а социальный капитал включает нематериальные ресурсы, такие как социальные сети, передача информации и межличностное доверие [4]. Во-вторых, с точки зрения внутренних движущих сил фермеров, существующие исследования выделяют такие факторы, как когнитивные способности, восприятие риска и получение информации [5,6]. В-третьих, факторы внешней среды, включая сельскохозяйственные социальные услуги, участие в кооперативах, распространение технологий и институциональные ограничения, существенно влияют на поведенческие решения фермеров [7,8,9,10].
Широкое распространение цифровых технологий и быстрый рост цифровой экономики стимулируют значительную трансформацию сельских районов Китая. Достижения в области сельскохозяйственных информационных технологий, таких как большие данные, облачные вычисления, мобильный интернет, интернет вещей и искусственный интеллект, стимулировали рост цифровой экономики в сельском хозяйстве [11]. Данные Министерства промышленности и информационных технологий (MIIT) показывают, что количество пользователей широкополосного интернета в сельской местности достигло 195,31 миллиона в апреле 2024 года. Кроме того, по состоянию на декабрь 2023 года, как указано в 53-м Статистическом отчете о развитии интернета в Китае, общее число пользователей интернета в сельской местности составило 326 миллионов. Эти цифры подчеркивают значительные улучшения в сельской информационной инфраструктуре, обеспечивая прочную основу для широкого применения цифровых технологий в сельском хозяйстве. В эпоху цифровой экономики цифровая грамотность является критическим показателем способности фермеров адаптироваться к современному развитию сельского хозяйства. Цифровая грамотность в общем смысле относится к способности человека определять, получать доступ, управлять, интегрировать, распространять, оценивать и создавать информацию безопасно и эффективно с использованием цифровых технологий и устройств с доступом в интернет в экономическом и социальном контекстах. Для фермеров цифровая грамотность не только охватывает базовые навыки получения и обработки информации, но и подчеркивает их применение в сельскохозяйственном производстве и управлении. Измерение цифровой грамотности фермеров обычно включает пять измерений: информационная грамотность и грамотность в работе с данными, грамотность в области коммуникации и сотрудничества, грамотность в создании цифрового контента, грамотность в области цифровой безопасности и грамотность в решении проблем [12,13,14]. С помощью оценки этих измерений может быть всесторонне оценена способность фермеров получать и применять сельскохозяйственную информацию, принимать технологические решения и участвовать в онлайн-сельскохозяйственном обучении [15]. В последние годы Китай достиг значительного прогресса в повышении цифровой грамотности населения. Согласно Национальному отчету об исследовании развития цифровой грамотности и навыков за 2024 год, более 60% граждан Китая обладают цифровой грамотностью и навыками на базовом уровне или выше, причем уровень цифровой грамотности коррелирует с региональным экономическим развитием. В сельских районах 50,57% взрослых сельских жителей имеют цифровую грамотность на базовом уровне или выше, а 9,53% обладают продвинутой цифровой грамотностью. Среди несовершеннолетних в сельской местности 53,11% обладают базовой или более высокой цифровой грамотностью, причем 6,33% — на продвинутом уровне. Кроме того, 79,06% сельскохозяйственных производителей и вспомогательного персонала имеют базовую или более высокую цифровую грамотность, причем 33,77% — на продвинутом уровне. Повышение цифровой грамотности помогает фермерам более эффективно получать доступ к информации о мировых рынках и анализировать ее, оптимизировать производственные и сбытовые решения, а также способствовать внедрению новых технологий, тем самым повышая производительность и конкурентоспособность на рынке. Кроме того, цифровая грамотность повышает прозрачность рыночной информации, уменьшает информационную асимметрию и помогает фермерам снижать риски и улучшать свои доходы [16]. Только лица или группы с высокой цифровой грамотностью могут эффективно использовать цифровые технологии [17], что позволяет им использовать возможности в волне экологической трансформации сельского хозяйства и достичь устойчивого развития сельского хозяйства.
Хотя некоторые ученые признали влияние цифровой грамотности на внедрение фермерами экологически чистых технологий производства [18], немногие исследования глубоко изучили лежащие в основе механизмы. Теоретически цифровая грамотность может помочь фермерам преодолеть барьеры на пути использования цифровых технологий, улучшить их способность получать доступ к информации, приобретать навыки и перенимать практики, тем самым поддерживая такие решения, как внедрение агротехнологий [19]. Во-вторых, внедрение экологически чистых технологий производства требует от фермеров наличия адекватной информации [20]. Повышенная цифровая грамотность уменьшает информационную асимметрию, позволяя фермерам полностью понимать и внедрять эти технологии [21]. Кроме того, повышение цифровой грамотности способствует накоплению человеческого капитала. По мере увеличения человеческого капитала фермеров их производственное поведение и концепции заметно меняются, что облегчает внедрение экологически чистых технологий производства [22]. Наконец, цифровая грамотность улучшает понимание фермерами экологически чистых технологий производства и поддерживает их внедрение через цифровые сельскохозяйственные консультационные платформы, включая сельскохозяйственные приложения и публичные аккаунты [23]. Кроме того, существующие исследования часто измеряют цифровую грамотность узко, в основном ссылаясь на Глобальную рамку цифровой грамотности ЮНЕСКО [24], и им не хватает всесторонних оценок ключевых цифровых компетенций на уровне отдельного фермера.
Основываясь на этом, целью данного исследования является анализ влияния цифровой грамотности на внедрение фермерами экологически чистых технологий производства с использованием микроданных обследований, собранных у фермеров в провинциях Шэньси и Шаньдун в 2022 году. В частности, это исследование направлено на достижение следующих трех исследовательских целей. Во-первых, в статье устанавливается система оценки цифровой грамотности на основе пяти измерений: информационная грамотность и грамотность в работе с данными, грамотность в области коммуникации и сотрудничества, грамотность в создании цифрового контента, грамотность в области цифровой безопасности и грамотность в решении проблем. Затем метод энтропии используется для измерения уровней цифровой грамотности обследованных фермеров, что предоставляет микроуровневый анализ состояния цифровой грамотности сельских жителей. Во-вторых, в статье используется Probit-модель для анализа общего влияния цифровой грамотности на внедрение фермерами экологически чистых технологий производства и используется модель медиационного эффекта для изучения механизмов, через которые цифровая грамотность влияет на внедрение этих технологий, в частности через восприятие риска, цифровой социальный капитал и распространение технологий. В-третьих, в этом исследовании используется групповая регрессия для дифференциации влияния цифровой грамотности на различные типы экологически чистых технологий производства, а также ее влияния на фермеров с разными размерами хозяйств и разными поколениями. Этот подход направлен на предоставление более всестороннего анализа тенденций в поведении лиц, принимающих решения, в отношении внедрения технологий. Кроме того, учитывая национальный контекст Китая как большой страны с мелкими фермерами, наше исследование фокусируется на мелких фермерах как на объектах исследования. Включая цифровую грамотность в аналитическую структуру, это исследование углубляет понимание механизмов внедрения фермерами экологически чистых технологий производства в цифровую эпоху. Оно расширяет охват и содержание цифровой грамотности, в частности фокусируясь на ее роли в экологическом развитии сельского хозяйства. Уточняя цифровую грамотность по нескольким измерениям и исследуя ее движущие эффекты на внедрение фермерами экологически чистых технологий, эта статья улучшает теоретическую основу цифрового расширения прав и возможностей для экологического развития сельского хозяйства, предлагая новые перспективы и обогащая теоретические исследования экологического развития сельского хозяйства.
2. Теоретический анализ и исследовательские гипотезы
Теория диффузии инноваций предполагает, что на процесс внедрения технологий влияет несколько факторов, включая каналы связи, относительное преимущество, совместимость, сложность, возможность апробации и наблюдаемость [25]. Во-первых, цифровая грамотность улучшает восприятие риска фермерами. Согласно концепции возможности апробации в теории диффузии инноваций, когда фермеры могут экспериментировать с новыми технологиями в небольших масштабах, их воспринимаемый риск снижается. Цифровая грамотность позволяет фермерам получать доступ к большему объему информации об экологически чистых технологиях производства через цифровые платформы и инструменты, тем самым уменьшая неопределенность и увеличивая их готовность внедрять технологию и их способность управлять рисками. Во-вторых, цифровая грамотность облегчает общение и взаимодействие между фермерами, способствуя развитию цифрового социального капитала, тем самым улучшая наблюдаемость и совместимость технологии. Теория подчеркивает, что чем больше наблюдаемость инновации, тем быстрее ее диффузия. Фермеры делятся своим опытом, отзывами и результатами в отношении экологически чистых технологий производства через социальные сети, онлайн-форумы и цифровые платформы, тем самым повышая признание и доверие других фермеров к технологии, что ускоряет ее распространение и внедрение. Наконец, цифровая грамотность повышает эффективность распространения технологий. Согласно теории диффузии инноваций, на диффузию инновации влияют эффективные каналы связи. Цифровая грамотность позволяет фермерам более эффективно получать доступ к информации от правительства, сельскохозяйственных экспертов и консультационных служб, а также участвовать в онлайн-обучении и дистанционном образовании через цифровые платформы, тем самым способствуя широкому применению и быстрой диффузии экологически чистых технологий производства. Основываясь на вышеприведенном анализе, статья предлагает первую гипотезу.
Гипотеза 1 (H1).
Повышение цифровой грамотности облегчает внедрение фермерами экологически чистых технологий производства.
Теория перспектив предполагает, что на индивидуальное принятие решений влияет сочетание восприятия риска и субъективного суждения. Склонность фермеров к риску может препятствовать внедрению новых сельскохозяйственных технологий [26]. Хотя экологически чистые технологии производства имеют ключевое значение для снижения использования химических пестицидов и содействия устойчивому развитию сельского хозяйства, их внедрение фермерами также сопряжено с рисками, включая неопределенный чистый доход и возможность неправильного использования. Фермеры с более высокой цифровой грамотностью лучше подготовлены к оценке выгод и рисков новых технологий и более охотно экспериментируют с экологически чистыми технологиями производства. С одной стороны, использование интернета разрушает барьеры доступа к информации, улучшая информацию, доступную фермерам [27]. Повышенная цифровая грамотность позволяет фермерам эффективно получать доступ к обильной информации об экологически чистых технологиях производства через интернет, сельскохозяйственные приложения, онлайн-форумы и другие источники. Доступность информации уменьшает страх и неопределенность фермеров в отношении новых технологий, тем самым повышая их толерантность к риску при внедрении неизвестных технологий. С другой стороны, отношение фермеров к риску напрямую влияет на их готовность внедрять новые технологии и на их поведение в отношении внедрения [28,29]. Когда аппетит фермеров к риску возрастает, они с большей вероятностью будут изучать и экспериментировать с новыми экологически чистыми технологиями производства, а не придерживаться традиционных методов. Эта готовность к изучению является ключевым драйвером внедрения технологий. Чем выше восприятие риска фермерами, тем больше они сосредотачиваются на долгосрочных экологических и экономических выгодах экологически чистых технологий на ранней стадии их внедрения, укрепляя свою приверженность устойчивому развитию и повышая свою заинтересованность в внедрении экологически чистых технологий производства. Основываясь на вышеприведенном анализе, статья предполагает, что влияние цифровой грамотности на внедрение фермерами экологически чистых технологий производства может опосредоваться промежуточной переменной восприятия риска. Поэтому статья предлагает вторую гипотезу.
Гипотеза 2 (H2).
Повышение цифровой грамотности увеличивает восприятие риска фермерами, тем самым способствуя внедрению экологически чистых технологий производства.
Теория социального капитала подчеркивает роль социальных отношений, сетей и норм в облегчении как индивидуальных, так и коллективных действий. Цифровые социальные платформы предоставляют фермерам обильные информационные ресурсы и социальные сети, повышая их способность получать доступ к внешней поддержке и уменьшая неопределенность при внедрении экологически чистых технологий производства. Повышение цифровой грамотности фермеров может увеличить их использование социальных сетей, таких как WeChat, преодолеть географические ограничения социальных сетей [30], улучшить частоту общения между фермерами и поставщиками технологий и укрепить существующие отношения в социальных сетях. С одной стороны, социальные атрибуты интернета могут изменять межличностные сети фермеров и способствовать накоплению социального капитала [31]. Интернет помогает фермерам преодолевать географические и идентификационные ограничения, значительно снижая стоимость установления социальных отношений. Цифровые грамотные фермеры могут использовать различные онлайн-платформы для установления новых типов слабых связей, тем самым расширяя масштаб своей социальной сети [32]. С другой стороны, социальные сети предоставляют фермерам различные каналы доступа к информации и могут эффективно передавать информацию о сельскохозяйственных технологиях [33]. Социальные сети помогают фермерам получать информацию об экологически чистых технологиях производства из различных каналов и с разных уровней, способствуют интерактивному общению и поощряют поддержку между членами сети. Это повышает скорость распространения информации, уменьшает информационную асимметрию, снижает транзакционные издержки при внедрении экологически чистых технологий производства и положительно влияет на поведение фермеров в отношении внедрения [34]. Основываясь на вышеприведенном анализе, статья предполагает, что влияние цифровой грамотности на внедрение фермерами экологически чистых технологий производства может опосредоваться промежуточной переменной цифрового социального капитала. Поэтому статья предлагает третью гипотезу.
Гипотеза 3 (H3).
Повышение цифровой грамотности расширяет цифровой социальный капитал фермеров, тем самым способствуя внедрению экологически чистых технологий производства.
В отличие от однородной информации от прямого соседского обмена, гетерогенная информация, предоставляемая распространением технологий через цифровые платформы, также облегчает внедрение фермерами экологически чистых технологий производства. Чем выше цифровая грамотность фермеров, тем лучше их доступ к информации и ее понимание, что позволяет им более эффективно получать информацию, распространяемую правительством. Кроме того, использование цифровых инструментов (например, мобильных приложений и онлайн-семинаров) повышает эффективность и охват усилий правительства по продвижению экологически чистых технологий производства. С одной стороны, фермерам необходимы адекватные способности к обучению и цифровая грамотность, чтобы получать ценную информацию через цифровые сельскохозяйственные консультационные приложения [35]. По мере того как 5G и другие цифровые инфраструктуры продолжают развиваться в сельских районах, интернет стал платформой для обмена информацией о сельскохозяйственных технологиях, преодолевая временные и пространственные ограничения и позволяя фермерам получать доступ к сельскохозяйственной информации и техническим рекомендациям, не выходя из дома [36]. С другой стороны, распространение технологий обычно считается ключевым определяющим фактором при изучении факторов, влияющих на внедрение технологий фермерами [37]. В исследованиях анализировалось влияние распространения технологий на внедрение технологий фермерами с точки зрения как широты, так и глубины. В частности, надежность государственного распространения технологий помогает снизить сопротивление фермеров и риски внедрения, в то время как консультанты повышают знания фермеров и предоставляют услуги по сельскохозяйственным технологиям [38]. Обучение сельскохозяйственным технологиям улучшает когнитивные способности фермеров, способность к обучению и практические навыки, снижает барьеры для использования технологий, уменьшает информационную асимметрию и позволяет фермерам использовать интернет-инструменты для легкого общения с сельскохозяйственными техниками и получения дополнительных рекомендаций по сельскохозяйственным технологиям [39]. С развитием цифровых технологий распространение технологий эволюционировало от традиционных методов к комбинации обычного и цифрового распространения сельскохозяйственных технологий. Цифровые услуги по распространению сельскохозяйственных технологий расширяют каналы доступа фермеров к информации, повышают эффективность и углубляют их понимание экологически чистых технологий [40]. Визуализируя и облегчая двусторонний поток информации, эти услуги помогают фермерам преодолевать барьеры в овладении технической информацией и охватывают все аспекты сельскохозяйственного производства. Они позволяют фермерам получать своевременные и эффективные технические рекомендации в повседневной деятельности, напрямую влияя на их поведение в отношении внедрения через точное согласование производственных звеньев [41]. Основываясь на вышеприведенном анализе, статья предполагает, что влияние цифровой грамотности на внедрение фермерами экологически чистых технологий производства может опосредоваться промежуточной переменной распространения технологий. Поэтому статья предлагает четвертую гипотезу.
Гипотеза 4 (H4).
Цифровая грамотность повышает эффективность распространения технологий, что, в свою очередь, облегчает внедрение экологически чистых технологий производства фермерами.
Основываясь на вышеизложенных предположениях, в этой статье построена диаграмма теоретической аналитической структуры, как показано на Рисунке 1. То есть цифровая грамотность может влиять на поведение фермеров в отношении внедрения экологически чистых технологий производства через восприятие риска, цифровой социальный капитал и распространение технологий.
Рисунок 1. Теоретическая модель влияния цифровой грамотности на поведение фермеров при внедрении экологически чистых технологий производства.
3. Материалы и методы
3.1. Данные и характеристики выборки
Данные, использованные в этом исследовании, были собраны в ходе обследования домохозяйств, проведенного исследовательской группой с июля по август 2022 года в провинциях Шэньси и Шаньдун, при этом район исследования показан на Рисунке 2. Основные причины выбора этих двух провинций следующие: Во-первых, внедрение экологически чистых технологий производства является репрезентативным. К концу 2022 года посевная площадь зерновых в провинциях Шаньдун и Шэньси составляла 8,37 миллиона гектаров и 3,01 миллиона гектаров соответственно, а производство зерна составило 55,43 миллиона тонн и 12,97 миллиона тонн соответственно, причем обе провинции имели более высокий спрос на экологически чистые технологии производства. В провинциях Шэньси и Шаньдун есть национальные пилотные зоны для развития экологически чистых технологий производства в сельском хозяйстве, что делает их хорошо подходящими для изучения внедрения этих технологий фермерами. Во-вторых, уровень цифрового развития сельского хозяйства и сельских районов является типичным. Две провинции, представляющие восточные и западные регионы Китая, достигли замечательного прогресса в продвижении цифровой трансформации сельского хозяйства и сельских районов. Обе провинции взяли на себя обязательство расширять широкополосные сети, улучшать мобильные коммуникационные сооружения и строить центры обработки данных в сельских районах, закладывая прочную аппаратную основу для применения цифровых технологий в сельском хозяйстве. Согласно данным Национального бюро статистики и статистических ежегодников Шаньдуна и Шэньси, к концу 2023 года количество портов широкополосного доступа в интернет в провинциях Шаньдун и Шэньси составляло 74,38 миллиона и 30,08 миллиона соответственно, а количество абонентов широкополосного доступа в сельской местности составляло 11,48 миллиона и 5,34 миллиона соответственно. К концу 2022 года среднее количество мобильных телефонов на 100 сельских домохозяйств в провинциях Шаньдун и Шэньси составляло 235,2 и 265,6 соответственно, с более высоким уровнем проникновения интернета и лучшей цифровой инфраструктурой, что делает их типичными для изучения цифровой грамотности сельских домохозяйств.
Рисунок 2. Карта регионов обследования.
Конкретный процесс включал случайный выбор 1–2 городов из каждой провинции, 1–2 районов и уездов из каждого города, 2–4 поселков из каждого района и уезда, 4–5 деревень из каждого поселка и, наконец, 25–30 фермеров из каждой деревни в качестве объектов исследования. В полевом обследовании исследовательская группа гибко корректировала количество участников в зависимости от конкретных условий каждого обследования. Чтобы обеспечить подлинность данных и единообразие операций, исследовательская группа доработала анкету на основе предварительного обследования и провела несколько раундов обучения для интервьюеров. Во время фактического обследования проводились индивидуальные посещения на дому. Исследование распространило 684 анкеты. После сопоставления ответов и исключения тех, в которых отсутствовали данные, были несоответствия или выбросы, было получено 643 действительных анкеты, что дало показатель достоверности 94%. Выборка была хорошо репрезентативной. Анкетирование проводилось в форме индивидуальных интервью, фокусируясь в основном на индивидуальных характеристиках и характеристиках домохозяйств фермеров, статусе сельскохозяйственного производства и управления, уровнях цифровой грамотности и поведении в отношении внедрения экологически чистых технологий производства.
Основные характеристики отдельных фермеров, домохозяйств и политики в выборке обследования представлены в Таблице 1. В районах выборки 63,92% фермерских домохозяйств имели годовой доход менее 100 000 юаней. Кроме того, 76,67% фермеров обрабатывали менее 10 му земли. В большинстве фермерских домохозяйств было 1–2 члена рабочей силы, и 40,12% фермеров имели 5–9 лет образования. Кроме того, 37,84% фермеров прошли техническое обучение, продвигаемое правительством, 11,65% фермеров были членами партии, а 49,14% фермеров были в возрасте 60 лет или старше. Конкретные результаты описательной статистики можно найти в Таблице 1.
Таблица 1. Результаты описательного статистического анализа выборки.
3.2. Методология исследования
Во-первых, это исследование рассчитывает уровни цифровой грамотности фермеров в районе выборки на основе данных обследования. Благодаря предварительному анализу цифровая грамотность фермеров подразделяется на пять измерений. Учитывая необходимость объективного и научного метода взвешивания, это исследование использует метод энтропийного веса для присвоения весов этим пяти измерениям, тем самым вычисляя общий уровень цифровой грамотности фермеров. Во-вторых, поскольку зависимая переменная, поведение при внедрении экологически чистых технологий производства, является бинарной переменной, это исследование использует Probit-модель для изучения прямого влияния цифровой грамотности на поведение фермеров при внедрении экологически чистых технологий производства. Наконец, чтобы изучить механизм, с помощью которого цифровая грамотность влияет на поведение фермеров при внедрении экологически чистых технологий производства, это исследование использует модель медиации для анализа косвенных путей, через которые цифровая грамотность влияет на поведение фермеров в отношении внедрения технологий.
3.2.1. Метод энтропии
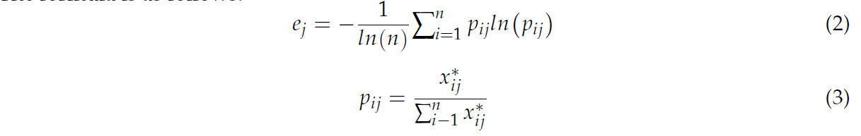
В этой статье метод энтропии используется для присвоения весов различным показателям цифровой грамотности, а затем с помощью метода средневзвешенного значения выводится комплексный уровень цифровой грамотности фермеров [42]. Метод энтропии — это объективный подход, используемый для определения веса каждого оценочного показателя. Конкретные шаги следующие:
(1) Стандартизация данных: Исходные данные были стандартизированы для устранения влияния различий в масштабах между показателями. X_ij представляет исходное значение i-го фермера по j-му показателю, а max(x_j) и min(x_j) обозначают максимальное и минимальное значения j-го показателя соответственно. Формула выглядит следующим образом:
(2) Расчет энтропии показателя: Значение энтропии было рассчитано для стандартизированных данных. Здесь e_j представляет значение энтропии j-го показателя, n обозначает количество фермеров в выборке, а p_ij представляет вес i-го фермера по j-му показателю. Формула выглядит следующим образом:
(3) Расчет коэффициента вариации g_j для каждого показателя. Формула выглядит следующим образом:
(4) Определение весов показателей. На основе коэффициента вариации рассчитывается вес каждого показателя, обозначаемый как w_j, где более высокий вес указывает на то, что показатель предоставляет больше информации, а m представляет общее количество показателей. Формула выглядит следующим образом:
(5) Комплексное измерение уровня цифровой грамотности. Показатели цифровой грамотности суммируются с взвешиванием с использованием определенных весов, где S_i представляет уровень цифровой грамотности i-го фермера. Формула выглядит следующим образом:
3.2.2. Probit-модель
В этой статье строится Probit-модель для проверки влияния цифровой грамотности на внедрение фермерами экологически чистых технологий производства [43]. Формула выглядит следующим образом:
В этой модели adopt_i представляет поведение при внедрении экологически чистых технологий производства, DL_i представляет уровень цифровой грамотности фермеров, X_i обозначает контрольные переменные, а ε_i — это член ошибки. Учитывая потенциальную проблему гетероскедастичности в поперечных данных, которая может привести к смещенным оценкам параметров, во всех регрессионных анализах используются устойчивые стандартные ошибки. Параметр β_1 в этой модели указывает на влияние уровня цифровой грамотности фермеров на внедрение экологически чистых технологий производства.
3.2.3. Модель медиации
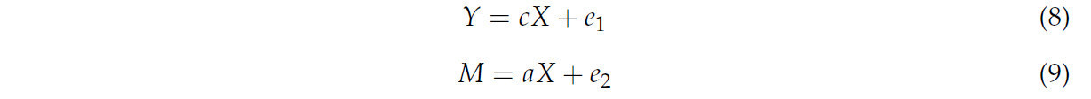
В этой статье используется ступенчатая регрессия [44] для изучения опосредующей роли восприятия риска, интернет-социального капитала и распространения технологий во взаимосвязи между цифровой грамотностью и внедрением экологически чистых технологий производства фермерами, как описано в следующих шагах:
В уравнениях (8)~(10) M представляет восприятие риска, цифровой социальный капитал и распространение технологий; c представляет общий эффект цифровой грамотности на внедрение фермерами экологически чистых технологий производства; a представляет влияние цифровой грамотности на восприятие риска, цифровой социальный капитал и распространение технологий; b представляет влияние восприятия риска, цифрового социального капитала и распространения технологий на поведение фермеров при внедрении экологически чистых технологий производства после контроля цифровой грамотности; c' представляет прямой эффект цифровой грамотности на поведение при внедрении экологически чистых технологий производства после контроля эффектов восприятия риска, цифрового социального капитала и распространения технологий; и e_1, e_2 и e_3 являются случайными членами ошибки.
3.3. Выбор переменных
3.3.1. Зависимая переменная
В этой статье в качестве зависимой переменной используется поведение при внедрении экологически чистых технологий производства. На основе «Технических рекомендаций по экологическому развитию сельского хозяйства (2018–2030)» и соответствующих исследований [45,46,47] отобраны пять технологий сельскохозяйственного производства, необходимых фермерам в производственном процессе: «технология водосберегающего орошения», «технология удобрения на основе анализа почвы», «технология борьбы с вредителями», «технология использования безвредных пестицидов» и «технология возврата соломы в почву». Эти пять технологий служат примерами экологически чистых технологий сельскохозяйственного производства. В обследовании внедрение фермерами этих экологически чистых технологий производства характеризуется тем, внедрили ли они какие-либо из следующих технологий во время посадки: технология водосберегающего орошения, технология использования безвредных пестицидов, технология удобрения на основе анализа почвы и приготовления смесей, технология возврата соломы в почву и технология комплексной борьбы с вредителями. Если фермеры внедряют любую из этих технологий, им присваивается значение 1; если ни одна из этих технологий не внедрена, значение равно 0.
3.3.2. Основные независимые переменные
В этой статье цифровая грамотность рассматривается как основная независимая переменная. В контексте экологически чистого сельскохозяйственного производства цифровая грамотность отражается не только в операционных навыках, связанных с цифровыми технологиями, но и в критическом понимании информации, усвоении и творческом воспроизведении знаний об экологически чистых технологиях производства, а также в способности способствовать внедрению технологий. В сельскохозяйственном секторе цифровая грамотность является одним из ключевых факторов, влияющих на внедрение фермерами экологически чистых технологий производства. Высокий уровень цифровой грамотности позволяет фермерам эффективно получать доступ к информации об экологически чистых технологиях производства, а также общаться и сотрудничать с распространителями технологий и другими фермерами. Основываясь на теоретической основе EU DigComp 2.1 [12,13,14] и принимая во внимание практические условия производства и ведения хозяйства фермерами в обследованном регионе, это исследование создает систему оценки цифровой грамотности с пятью измерениями: информационная грамотность и грамотность в работе с данными, грамотность в области коммуникации и сотрудничества, грамотность в создании цифрового контента, грамотность в области цифровой безопасности и грамотность в решении проблем. Метод энтропии будет использоваться для расчета весов этих пяти вторичных показателей после стандартизации соответствующих показателей, объективно определяя веса показателей цифровой грамотности фермеров. Конкретные элементы измерения показаны в Таблице 2, и используется пятибалльная шкала Лайкерта с вариантами «Полностью не согласен = 1, Не согласен = 2, Нейтрально = 3, Согласен = 4, Полностью согласен = 5».
Таблица 2. Структура измерения цифровой грамотности.
3.3.3. Промежуточные переменные
Основываясь на предыдущем анализе теоретических механизмов влияния цифровой грамотности на внедрение фермерами экологически чистых технологий производства, в этой статье отобраны три ключевые промежуточные переменные: восприятие риска, цифровой социальный капитал и распространение технологий. В частности, «готовность фермеров брать кредиты, когда они не могут себе их позволить» используется для характеристики восприятия риска фермерами; «вступали ли фермеры в публичные группы для решения деревенских дел» используется для характеристики цифрового социального капитала фермеров; и «проводило ли правительство разъяснительную работу по экологически чистым технологиям производства» используется для характеристики распространения технологий.
3.3.4. Контрольные переменные
Чтобы контролировать влияние других факторов на эмпирические результаты, эта статья опирается на существующую литературу [48,49,50] и выбирает индивидуальные характеристики фермеров, характеристики их домохозяйств и политические характеристики в качестве контрольных переменных. В частности, для индивидуальных характеристик фермеров были выбраны пол, возраст, уровень образования, состояние здоровья и политическая идентичность главы домохозяйства. Для характеристик домохозяйства фермеров были выбраны размер домохозяйства, численность рабочей силы, площадь обрабатываемой земли и годовой доход. Для политических характеристик было выбрано государственное регулирование. Конкретные элементы измерения показаны в Таблице 3.
Таблица 3. Определение и сводная статистика выбранных переменных.
4. Результаты
4.1. Базовый регрессионный анализ
Чтобы решить проблему гетероскедастичности, вызванной случайным членом возмущения, все эмпирические результаты в этой статье основаны на устойчивых стандартных ошибках. Модели 1 и 2 в Таблице 4 показывают влияние цифровой грамотности на внедрение фермерами экологически чистых технологий производства. Модель 1 показывает, что коэффициент регрессии цифровой грамотности на внедрение экологически чистых технологий производства положителен и значим на 1% уровне статистической значимости. Модель 2 дополнительно включает контрольные переменные и региональные фиктивные переменные, которые остаются значимыми на 5% уровне статистической значимости, что указывает на то, что цифровая грамотность мотивирует фермеров внедрять экологически чистые технологии производства, тем самым подтверждая Гипотезу 1. Результаты регрессии для контрольных переменных указывают на то, что влияние возраста фермеров, лет образования, размера домохозяйства и площади земли на внедрение экологически чистых технологий производства значительно. Некоторые возможные причины следующие: Фермеры старшего возраста, имеющие более обширный опыт ведения сельского хозяйства, с большей вероятностью признают положительное влияние экологически чистых технологий производства на сельское хозяйство, в то время как молодые фермеры, которые с большей вероятностью занимаются несельскохозяйственной деятельностью, могут быть менее мотивированы к внедрению экологически чистых технологий. Более высокий уровень образования обычно связан с лучшим техническим пониманием и инновационным сознанием, поэтому фермеры с большим количеством лет образования с большей вероятностью внедряют экологически чистые технологии производства. Размер домохозяйства может отражать доступность трудовых ресурсов: более крупные домохозяйства потенциально могут иметь больше рабочей силы для внедрения экологически чистых технологий производства и управления ими. Фермеры с большей площадью земли обычно имеют больше ресурсных возможностей для инвестирования и внедрения новых экологически чистых технологий, тем самым повышая свою готовность внедрять такие технологии.
Таблица 4. Результаты регрессии моделей влияния цифровой грамотности на внедрение фермерами экологически чистых технологий производства.
4.2. Эндогенный анализ
Результаты предыдущего эмпирического анализа предполагают, что цифровая грамотность облегчает внедрение экологически чистых технологий производства фермерами. Однако вывод должен учитывать потенциальные проблемы эндогенности, возникающие из-за обратной причинно-следственной связи и пропущенных переменных. В частности, проблемы эндогенности могут возникать из двух источников. Один источник — это обратная причинно-следственная связь, когда взаимосвязь между цифровой грамотностью и внедрением экологически чистых технологий производства фермерами является двунаправленной. В то время как цифровая грамотность позволяет фермерам получать доступ к экологически чистым технологиям производства через доступ к информации, онлайн-обучение и социальные сети, фермеры могут также все чаще использовать цифровые технологии для поиска информации и доступа к этим технологиям из-за потребностей сельскохозяйственного производства, тем самым дальнейший повышая свою цифровую грамотность. Во-вторых, пропущенные переменные — хотя в этой статье включены контрольные переменные и региональные фиктивные переменные для учета влияния других факторов, они все еще могут существовать и влиять на цифровую грамотность фермеров и внедрение ими экологически чистых технологий производства.
Чтобы решить потенциальную проблему эндогенности, в этой статье используется подход, аналогичный существующим исследованиям, с использованием модели инструментальных переменных (IV-Probit). Ссылаясь на существующие исследования [51,52], выбранная инструментальная переменная представляет собой фиктивную переменную, указывающую, является ли интернет наиболее важным информационным каналом, со значением 1 для «да» и 0 для «нет». Эта статья использует ее в качестве инструментальной переменной для цифровой грамотности по нескольким причинам: цифровая грамотность фермеров в основном опосредована интернетом, который служит предпосылкой для повышения их цифровой грамотности через мобильные телефоны и компьютеры, что показывает сильную корреляцию между ними. Во-вторых, тот факт, что интернет является наиболее важным информационным каналом, не коррелирует с выбором экологически чистой технологии производства, что соответствует принципу экзогенности, требуемому для инструментальных переменных.
В Таблице 5 представлены эмпирические результаты модели инструментальных переменных (IV-Probit). Тест Вальда на экзогенность в результатах регрессии дал значение χ^2, равное 11,06, значимое на 1% уровне, что указывает на проблему эндогенности с переменной цифровой грамотности, которую необходимо решать с помощью модели IV-Probit. Результаты регрессии первого этапа показывают, что инструментальная переменная оказывает значительное и положительное влияние на цифровую грамотность на 1% уровне, со значением F больше 10, что подтверждает, что «является ли интернет наиболее важным информационным каналом» коррелирует и не является слабым инструментом. Результаты регрессии второго этапа показывают, что влияние цифровой грамотности на внедрение экологически чистой технологии производства остается положительным и значимым, что согласуется с предыдущим выводом. Результаты регрессии второго этапа дальнейший подтверждают, что влияние цифровой грамотности на внедрение экологически чистой технологии производства остается положительным и значимым, что подтверждает надежность выводов статьи после решения проблемы эндогенности с помощью модели IV-Probit.
Таблица 5. Результаты оценок с использованием инструментальных переменных в модели влияния цифровой грамотности на внедрение фермерами экологически чистых технологий производства.
4.3. Проверка надежности
Чтобы дальнейший проверить надежность полученных результатов, в этом исследовании были использованы три метода проверки надежности: замена объясняющих переменных, корректировка весов и применение 1% сжатия к переменным.
Во-первых, объясняющие переменные были заменены. В частности, дихотомическая фиктивная переменная, указывающая, внедряют ли фермеры экологически чистые технологии производства, была заменена порядковой переменной, представляющей степень внедрения. Этот подход не только указывает, внедрили ли фермеры технологии, но и отражает степень внедрения. Результаты оценок представлены в Таблице 6, и результаты регрессии указывают на то, что когда фермеры не внедряют ни одной экологически чистой технологии производства, влияние цифровой грамотности является отрицательно значимым на 1% уровне. Когда фермеры внедряют 1–2 экологически чистые технологии производства, влияние цифровой грамотности не является значимым. Однако когда фермеры внедряют 3–5 экологически чистых технологий производства, влияние цифровой грамотности становится положительно значимым.
Таблица 6. Проверка надежности.
Во-вторых, был заменен метод измерения цифровой грамотности. В эталонной регрессии в статье используется метод энтропии для расчета уровня цифровой грамотности фермеров. Чтобы обеспечить надежность показателей цифровой грамотности и опираясь на практику существующих исследований, статья дальнейший применяет метод равных весов для пересчета весов показателей цифровой грамотности и повторно проводит эмпирические тесты. Результаты регрессии, представленные в Таблице 6, показывают, что цифровая грамотность остается значимой и имеет положительный коэффициент.
В-третьих, было применено 1% сжатие переменных. Чтобы исключить влияние экстремальных значений, переменные исследования были переоценены после 1% сжатия. Как показано в Таблице 6, цифровая грамотность имеет значительный и положительный коэффициент влияния на внедрение экологически чистых технологий производства. Результаты проверки надежности стабильно показывают, что цифровая грамотность оказывает значительное положительное влияние на внедрение фермерами экологически чистых технологий производства, подтверждая, что результаты эталонной регрессии являются надежными.
4.4. Анализ механизмов
Предыдущий эмпирический анализ показал, что цифровая грамотность значительно способствует внедрению экологически чистых технологий производства фермерами. Однако пути, через которые цифровая грамотность влияет на это внедрение, остаются неясными. В этой статье исследуются механизмы влияния цифровой грамотности на внедрение фермерами экологически чистых технологий производства по трем направлениям: повышение восприятия риска фермерами, расширение цифрового социального капитала фермеров и повышение эффективности распространения технологий. Конкретные механизмы представлены в Таблице 7.
Таблица 7. Результаты оценок моделей медиационного эффекта цифровой грамотности на поведение фермеров при внедрении экологически чистых технологий производства.
Регрессии (2) и (3) в Таблице 7 показывают результаты медиационного анализа для пути «цифровая грамотность → восприятие риска → внедрение экологически чистых технологий производства». В регрессии (2) цифровая грамотность значительно и положительно влияет на восприятие риска фермерами на 1% уровне, причем повышенная цифровая грамотность улучшает доступ к информации, что, в свою очередь, улучшает восприятие риска фермерами. В регрессии (3) и цифровая грамотность, и восприятие риска положительно и значительно влияют на вероятность внедрения экологически чистых технологий производства на 10% уровне. Это предполагает, что цифровая грамотность улучшает внедрение экологически чистых технологий производства за счет повышения восприятия риска фермерами, тем самым подтверждая Гипотезу 2.
Регрессии (4) и (5) в Таблице 7 представляют медиационный анализ для пути «цифровая грамотность → цифровой социальный капитал → внедрение экологически чистой технологии производства». В регрессии (4) цифровая грамотность значительно и положительно влияет на цифровой социальный капитал фермеров на 1% уровне, причем улучшения цифровой грамотности расширяют цифровой социальный капитал фермеров через цифровые сетевые платформы. В регрессии (5) и цифровая грамотность, и цифровой социальный капитал положительно и значительно влияют на вероятность внедрения экологически чистых технологий производства на 5% уровне. Это указывает на то, что цифровая грамотность может способствовать внедрению экологически чистых технологий производства за счет расширения цифрового социального капитала фермеров, тем самым подтверждая Гипотезу 3.
Регрессии (6) и (7) в Таблице 7 представляют медиационный анализ для пути «цифровая грамотность → распространение технологий → внедрение экологически чистой технологии производства». В регрессии (6) цифровая грамотность значительно и положительно влияет на распространение технологий на 5% уровне, причем более высокая цифровая грамотность среди фермеров повышает эффективность и своевременность распространения технологий. В регрессии (7) и цифровая грамотность, и распространение технологий положительно и значительно влияют на вероятность внедрения экологически чистых технологий производства на 10% уровне. Это предполагает, что цифровая грамотность может улучшить внедрение экологически чистых технологий производства за счет усиления влияния распространения технологий, тем самым подтверждая Гипотезу 4.
Основываясь на результатах вышеуказанных проверок механизмов, в этой статье делается вывод, что положительное влияние цифровой грамотности на внедрение фермерами экологически чистых технологий производства в основном достигается за счет повышения восприятия риска фермерами, расширения цифрового социального капитала и усиления влияния государственного распространения технологий. Гипотезы 2–4 этой статьи получили сильную поддержку.
4.5. Анализ гетерогенности
4.5.1. Гетерогенность экологически чистых технологий производства
Хотя вышеприведенное обсуждение подчеркивает положительное влияние цифровой грамотности на внедрение экологически чистых технологий производства, оно не дифференцирует различные типы экологически чистых технологий производства, потенциально скрывая вариацию в внедрении различных технологий фермерами выборки. Проводя регрессии для различных типов экологически чистых технологий производства, эта статья решает вышеупомянутые проблемы и предоставляет более детальное понимание того, как различные аспекты цифровой грамотности влияют на внедрение фермерами экологически чистых технологий производства. В этой статье экологически чистые технологии производства классифицируются на пять категорий: «технология водосберегающего орошения», «технология удобрения на основе анализа почвы», «технология борьбы с вредителями», «технология использования безвредных пестицидов» и «технология возврата соломы в почву». Как показано в Таблице 8, цифровая грамотность оказывает значительное положительное влияние на внедрение технологии водосберегающего орошения, технологии борьбы с вредителями, технологии использования безвредных пестицидов и технологии возврата соломы в почву. Наибольшее влияние было отмечено на технологии борьбы с вредителями и болезнями, за которыми следовали технологии использования безвредных пестицидов, технологии водосберегающего орошения и технологии возврата соломы. Однако влияние цифровой грамотности на внедрение технологии удобрения на основе анализа почвы не является значимым, возможно, из-за различных проблем в продвижении и применении этой технологии, таких как институциональные ограничения и ресурсные ограничения [53].
Таблица 8. Результаты регрессии модели гетерогенности экологически чистых технологий производства.
4.5.2. Гетерогенность площади обрабатываемой земли
В этой статье, следуя существующим исследованиям [54], выборка была разделена на две группы на основе медианного размера хозяйства: крупные и мелкие фермеры. Фермеры с площадью земли выше медианы классифицируются как крупные фермеры на основе критерия относительного масштаба. По сравнению с фермерами, у которых площадь земли ниже медианы, те, у кого она выше медианы, владеют большей площадью обрабатываемой земли, что отражает различия в масштабе земли. Эта классификация является краткой и эффективной, помогая анализировать различия в внедрении экологически чистых технологий производства между крупными и мелкими фермерами. Результаты сравнения в Таблице 9 показывают, что по сравнению с мелкими фермерами влияние цифровой грамотности на внедрение экологически чистых технологий производства является положительным и значимым для крупных фермеров, но не для мелких. Это предполагает, что повышение цифровой грамотности более эффективно способствует внедрению экологически чистых технологий производства среди крупных фермеров. Возможное объяснение заключается в том, что крупные фермеры обладают большим человеческим и экономическим капиталом по сравнению с мелкими фермерами. Крупные фермеры имеют более высокий человеческий капитал, большую способность использовать цифровые технологии и более низкие предельные издержки на использование этих технологий. Крупные фермеры имеют более высокий экономический капитал и лучше подготовлены к тому, чтобы нести первоначальные инвестиционные затраты на внедрение экологически чистых технологий производства [48], в то время как мелкие фермеры могут не решаться внедрять такие технологии из-за ограниченных финансовых ресурсов и трудностей с восприятием краткосрочных экономических выгод.
Таблица 9. Результаты регрессии модели гетерогенности площади обрабатываемой земли.
4.5.3. Межпоколенческая гетерогенность
Сельскохозяйственное производство обычно организовано на уровне домохозяйства, при этом глава домохозяйства обычно играет решающую роль в решениях о внедрении экологически чистых технологий производства. Опираясь на методы разделения поколений фермерских домохозяйств, используемые другими учеными [55], эта статья классифицирует фермеров на основе их года рождения: фермеры, родившиеся в 1980 году или позже, классифицируются как фермеры молодого поколения; фермеры, родившиеся между 1965 и 1979 годами, — как фермеры среднего поколения; а фермеры, родившиеся до 1965 года, — как фермеры старшего поколения. Результаты регрессии в Таблице 10 указывают на то, что цифровая грамотность значительно влияет на внедрение экологически чистых технологий производства среди фермеров среднего поколения, но не оказывает значимого влияния на фермеров молодого или старшего поколения. Основываясь на данных обследования этого исследования, средняя площадь сельскохозяйственных угодий для фермеров молодого поколения составляет 5,86 му, а средний годовой доход — 12 456 юаней, в то время как средняя площадь сельскохозяйственных угодий для фермеров старшего поколения составляет 8,46 му, а средний годовой доход — 95 949 юаней. Эти цифры предполагают, что фермеры молодого поколения не полагаются в первую очередь на сельскохозяйственное производство для получения дохода, а больше заняты в несельскохозяйственной деятельности. В результате их мотивация к внедрению экологически чистых технологий производства относительно низка. Между тем, из-за отсутствия инновационной направленности и, как правило, более низких когнитивных способностей, фермеры старшего поколения склонны проявлять более консервативное отношение к внедрению технологий. Их более низкая цифровая грамотность дальнейший ограничивает их способность адаптироваться к новым технологиям, что приводит к отсутствию мотивации и уверенности в внедрении экологически чистых технологий производства [56].
Таблица 10. Результаты регрессии модели гетерогенности разных поколений.
5. Обсуждение
Во-первых, после проведения полевых обследований в провинциях Шэньси и Шаньдун было обнаружено, что оба региона внедрили сельскую цифровую информационную инфраструктуру и распространяют последние обновления сельскохозяйственных технологий и информацию о сельскохозяйственной политике в реальном времени через «Три микро и один терминал» (WeChat, Weibo, микровидео и мобильные приложения). Существующие исследования в основном анализировали факторы, влияющие на экологически чистое производственное поведение фермеров, с таких точек зрения, как характеристики ресурсного обеспечения фермеров [57], обучение технологиям [58] и государственные субсидии [59]. Однако обсуждения с точки зрения цифровой грамотности фермеров остаются недостаточными.
Во-вторых, цифровая технология стала ключевой движущей силой для экологической трансформации и модернизации сельского хозяйства, в то время как цифровая грамотность фермеров играет ключевую роль в облегчении внедрения экологически чистых технологий производства [36]. Соответственно, в этом исследовании проводится эмпирический анализ для изучения влияния цифровой грамотности на внедрение фермерами экологически чистых технологий производства. Результаты показывают, что повышение цифровой грамотности фермеров значительно улучшает их внедрение экологически чистых технологий производства, что согласуется с выводами предыдущих исследований [60,61], дальнейший подтверждая важность цифровой грамотности в стимулировании продвижения и диффузии технологий и содействии экологическому развитию сельского хозяйства. Однако ограничены исследования, которые углубляются в механизмы, с помощью которых цифровая грамотность влияет на внедрение фермерами экологически чистых технологий производства. Это эмпирическое исследование показывает, что цифровая грамотность фермеров может способствовать внедрению экологически чистых технологий производства тремя путями: повышение восприятия риска фермерами, расширение цифрового социального капитала фермеров и повышение эффективности распространения технологий. Это предоставляет важный вклад в существующую литературу в этой области. Кроме того, существующие исследования часто измеряют цифровую грамотность относительно узко, что предоставляет недостаточно всесторонней оценки ключевых цифровых компетенций на индивидуальном уровне. Это исследование анализирует состояние цифровой грамотности фермеров с микро-перспективы и создает систему оценки цифровой грамотности на основе пяти измерений: информационная грамотность и грамотность в работе с данными, грамотность в области коммуникации и сотрудничества, грамотность в создании цифрового контента, грамотность в области цифровой безопасности и грамотность в решении проблем. Этот подход расширяет границы исследований цифровой грамотности фермеров. Дальнейший исследование показывает, что повышение цифровой грамотности значительно способствует внедрению четырех ключевых технологий: водосберегающее орошение, борьба с вредителями и болезнями, безвредные пестициды и возврат соломы. Влияние сильнее для более крупных фермеров и фермеров среднего поколения. Возможная причина заключается в том, что повышенная цифровая грамотность позволяет фермерам более эффективно получать доступ к информации, связанной с сельскохозяйственными технологиями, позволяя им выбирать наиболее подходящие для местной сельскохозяйственной производственной среды экологически чистые технологии производства. Крупные фермеры, обладая более высоким человеческим капиталом и более сильными возможностями использования цифровых технологий, несут более низкие предельные издержки при использовании цифровых технологий и лучше подготовлены к тому, чтобы нести первоначальные инвестиционные затраты, связанные с внедрением экологически чистых технологий производства. Являясь доминирующей группой в сельскохозяйственном производстве и управлении, фермеры среднего поколения с большей вероятностью будут экспериментировать с технологиями и корректировать их по мере повышения их цифровой грамотности, тем самым ускоряя внедрение новых сельскохозяйственных технологий.
В-третьих, важно отметить, что из-за ограничений микроуровневого обследования фермеров и глубины исследуемых вопросов в этом исследовании есть возможности для оптимизации. Исследование ограничено провинциями Шэньси и Шаньдун, что затрудняет охват других провинций (автономных районов) Китая. Поэтому обобщаемость его выводов все еще требует улучшения. Будущие исследования должны быть сосредоточены на расширении обследования, чтобы охватить более широкий круг регионов, и проводить всесторонние исследования различных типов фермеров для получения более универсальных выводов.
6. Выводы
Основываясь на данных микропроса 643 фермеров в провинциях Шэньси и Шаньдун, эта статья систематически исследует влияние и механизмы, с помощью которых цифровая грамотность влияет на внедрение фермерами экологически чистых технологий производства. Основные выводы следующие. Во-первых, результаты эталонной регрессии показывают, что цифровая грамотность оказывает значительное положительное влияние на внедрение фермерами экологически чистых технологий производства. Чтобы решить потенциальные проблемы эндогенности, возникающие из-за обратной причинно-следственной связи и пропущенных переменных, этот вывод был проверен с использованием подхода инструментальных переменных. Более того, эмпирические результаты остаются действительными после серии проверок надежности, включая замену зависимой переменной, изменение меры цифровой грамотности и применение 1% сжатия к переменным. Во-вторых, анализ путей показывает, что улучшения цифровой грамотности значительно повышают восприятие риска фермерами, расширяют их цифровой социальный капитал и повышают эффективность распространения технологий, тем самым влияя на их внедрение экологически чистых технологий производства. В-третьих, анализ гетерогенности показывает, что цифровая грамотность оказывает значительное положительное влияние на внедрение технологии борьбы с вредителями, технологии использования безвредных пестицидов, технологии водосберегающего орошения и технологии возврата соломы, но не оказывает значимого влияния на внедрение технологии внесения удобрения на основе анализа почвы. Более того, цифровая грамотность более эффективно способствует внедрению экологически чистых технологий производства среди крупных фермеров и фермеров среднего поколения, чем среди мелких фермеров, фермеров нового поколения и фермеров старшего поколения. Это исследование включает цифровую грамотность в аналитическую структуру внедрения фермерами экологически чистых технологий производства, углубляя понимание механизмов, влияющих на внедрение экологически чистых технологий фермерами в цифровую эпоху. Оно расширяет содержание и охват цифровой грамотности, в частности в контексте экологического развития сельского хозяйства. Уточняя множественные измерения цифровой грамотности и исследуя ее движущие эффекты на внедрение фермерами экологически чистых технологий, эта статья не только обогащает теоретическое понимание цифровой грамотности, но и дальнейший совершенствует теоретическую основу цифрового расширения прав и возможностей для экологического развития сельского хозяйства, предлагая инновационные перспективы и глубокие вклад в теоретические исследования в области экологического развития сельского хозяйства.
7. Рекомендации по политике
Основываясь на вышеуказанных выводах, в этой статье представлены следующие политические рекомендации.
Во-первых, следует улучшить цифровую инфраструктуру в сельских районах. Государственные органы должны продолжать укреплять цифровую инфраструктуру в сельских районах, активно продвигать развитие гигабитных волоконно-оптических сетей, расширять покрытие сети, оптимизировать доступ к цифровым ресурсам, увеличивать частоту использования фермерами цифровых технологий для получения сельскохозяйственной информации, улучшать возможности обслуживания цифровых объектов и снижать цифровой порог для внедрения технологий.
Во-вторых, следует всесторонне повышать уровень цифровой грамотности среди фермеров. Это может быть достигнуто с помощью активных инициатив в области цифрового образования и обучения в сельских районах, поощрения научно-исследовательских институтов, университетов, сельскохозяйственных предприятий и других организаций к предоставлению рекомендаций и обучения для повышения цифровой грамотности фермеров, тем самым улучшая их доступ к технической информации с помощью цифровых технологий и поддерживая внедрение экологически чистых производственных практик. Кроме того, следует создать цифровую платформу для обмена опытом в области экологически чистого сельскохозяйственного производства путем интеграции «цифровой сети» с «социальной сетью», облегчая низкозатратное распространение высококачественной технической информации и вливая цифровую жизненную силу в экологически чистое сельскохозяйственное производство.
В-третьих, следует разработать дифференцированные стратегии продвижения. В процессе продвижения важно повысить точность выбора целевых групп политики в области цифровой грамотности, сосредоточиться на ключевых группах, стимулировать внутреннюю мотивацию фермеров нового поколения и использовать их роль в преодолении цифрового разрыва между поколениями. В то же время следует учитывать различия в капитальных возможностях и потребительских предпочтениях фермеров.
8. Ограничения статьи
Несмотря на ценные идеи, которые это исследование предоставляет для обследованных регионов, остается несколько ограничений. Во-первых, в исследовании используются поперечные данные, фокусирующиеся на внедрении технологий фермерами на момент опроса, что ограничивает изучение динамического процесса внедрения технологий. В будущем исследовательская группа планирует провести лонгитюдные обследования для сбора панельных данных, что позволит более точно измерить эволюцию внедрения технологий фермерами. Во-вторых, это исследование сконцентрировано в провинциях Шэньси и Шаньдун в Китае, что означает, что результаты могут быть не напрямую применимы к регионам с различными социально-экономическими условиями, социальной инфраструктурой и культурными контекстами. Поэтому при обобщении результатов на другие регионы необходима осторожность. Исследовательская группа планирует расширить охват обследования, включив в него несколько провинций, чтобы более всесторонне проанализировать внедрение экологически чистых технологий производства фермерами по всему Китаю. Наконец, в этом исследовании могли быть упущены потенциальные переменные, такие как культурные установки, финансовые ограничения, различия в региональной политике, различия в инфраструктуре и доступ к рынку. Чтобы улучшить исследование, исследовательская группа доработает анкету обследования и включит дополнительные контрольные переменные, которые могли бы повлиять на цифровую грамотность и внедрение экологически чистых технологий производства, стремясь к более точным результатам.
Ссылки
1. Mao, H.; Zhou, L.; Ying, R.; Pan, D. Time Preferences and green agricultural technology adoption: Field evidence from rice farmers in China. Land Use Policy 2021, 109, 105627. [Google Scholar] [CrossRef]
2. Li, Y.; Huan, M.; Jiao, X.; Chi, L.; Ma, J. The impact of labor migration on chemical fertilizer use of wheat smallholders in China- mediation analysis of socialized service. J. Clean. Prod. 2023, 394, 136366. [Google Scholar] [CrossRef]
3. Elahi, E.; Khalid, Z.; Zhang, Z. Understanding farmers’ intention and willingness to install renewable energy technology: A solution to reduce the environmental emissions of agriculture. Appl. Energy 2022, 309, 118459. [Google Scholar] [CrossRef]
4. Liu, B.; Li, N.; Liao, C. Effects of Social Capital on the Adoption of Green Production Technologies by Rice Farmers: Moderation Effects Based on Risk perceptions. Sustainability 2024, 16, 8879. [Google Scholar] [CrossRef]
5. Cui, S.; Li, Y.; Jiao, X.; Zhang, D. Hierarchical Linkage between the Basic Characteristics of Smallholders and Technology Awareness Determines Small-Holders’ Willingness to Adopt Green Production Technology. Agriculture 2022, 12, 1275. [Google Scholar] [CrossRef]
6. Li, Z.; Zhang, D.; Yan, X. How Does Information Acquisition Ability Affect Farmers’ Green Production Behaviors: Evidence from Chinese Apple Growers. Agriculture 2024, 14, 680. [Google Scholar] [CrossRef]
7. Li, C.; Deng, H.; Yu, G.; Kong, R.; Liu, J. Impact Effects of Cooperative Participation on the Adoption Behavior of Green Production Technologies by Cotton Farmers and the Driving Mechanisms. Agriculture 2024, 14, 213. [Google Scholar] [CrossRef]
8. Luo, L.; Qiao, D.; Tang, J.; Wan, A.; Qiu, L.; Liu, X.; Liu, Y.; Fu, X. Training of Farmers’ Cooperatives, Value Perception and Members’ Willingness of Green Production. Agriculture 2022, 12, 1145. [Google Scholar] [CrossRef]
9. Zhou, Z.; Liao, H.; Li, H. The Symbiotic Mechanism of the Influence of Productive and Transactional Agricultural Social Services on the Use of Soil Testing and Formula Fertilization Technology by Tea Farmers. Agriculture 2023, 13, 1696. [Google Scholar] [CrossRef]
10. Cui, G.; Liu, Z. The Impact of Environmental Regulations and Social Norms on Farmers’ Chemical Fertilizer Reduction Behaviors: An Investigation of Citrus Farmers in Southern China. Sustainability 2022, 14, 8157. [Google Scholar] [CrossRef]
11. Lai, M.; Li, W.; Gao, Z.; Xing, Z. Evaluation, mechanism and policy implications of the symbiotic relationship among rural digitization, agricultural development and farmer enrichment: Evidence from digital village pilots in China. Front. Environ. Sci. 2024, 12, 1361633. [Google Scholar] [CrossRef]
12. Tinmaz, H.; Lee, Y.-T.; Fanea-Ivanovici, M.; Baber, H. A systematic review on digital literacy. Smart Learn. Environ. 2022, 9, 21. [Google Scholar] [CrossRef]
13. Budai, B.B.; Csuhai, S.; Tózsa, I. Digital Competence Development in Public Administration Higher Education. Sustainability 2023, 15, 12462. [Google Scholar] [CrossRef]
14. Zoltan, B.; Gyorgy, M.; Katalin, N.; Orosz, B.; Zoltán, S. The Effects, Features, and Challenges of Digital Competence and Digital Culture on Society and Education. Civ. Szle. 2020, 17, 69. [Google Scholar]
15. Chetty, K.; Qigui, L.; Gcora, N.; Josie, J.; Wenwei, L.; Fang, C. Bridging the digital divide: Measuring digital literacy. Economics 2018, 12, 20180023. [Google Scholar] [CrossRef]
16. Nugroho, A.D. Comparing the Effects of Information Globalization on Agricultural Producer Prices in Developing and Developed Countries. Agris On-line Pap. Econ. Inform. 2024, 16, 93–107. [Google Scholar] [CrossRef]
17. Liu, X.; Wang, Z.; Han, X. The Impact of Digital Literacy on Farmers’ Green Production Behavior: Mediating Effects Based on Ecological Cognition. Sustainability 2024, 16, 7507. [Google Scholar] [CrossRef]
18. Li, Y.; Xu, J.; Liu, F.; Zhang, X. Impact and Mechanism of Digital Information Selection on Farmers’ Ecological Production Technology Adoption: A Study on Wheat Farmers in China. Agriculture 2024, 14, 713. [Google Scholar] [CrossRef]
19. Saito, K.; Diack, S.; Dieng, I.; N’diaye, M.K. On-farm testing of a nutrient management decision-support tool for rice in the Senegal River valley. Comput. Electron. Agric. 2015, 116, 36–44. [Google Scholar] [CrossRef]
20. Pan, D.; Zhang, N. The Role of Agricultural Training on Fertilizer Use Knowledge: A Randomized Controlled Experiment. Ecol. Econ. 2018, 148, 77–91. [Google Scholar] [CrossRef]
21. Deng, X.; Xu, D.; Zeng, M.; Qi, Y. Does Internet use help reduce rural cropland abandonment? Evidence from China. Land Use Policy 2019, 89, 104243. [Google Scholar] [CrossRef]
22. Li, M.; Wang, J.; Zhao, P.; Chen, K.; Wu, L. Factors affecting the willingness of agricultural green production from the perspective of farmers’ perceptions. Sci. Total Environ. 2020, 738, 140289. [Google Scholar] [CrossRef] [PubMed]
23. Van Campenhout, B.; Spielman, D.J.; Lecoutere, E. Information and Communication Technologies to Provide Agricultural Advice to Smallholder Farmers: Experimental Evidence from Uganda. Am. J. Agric. Econ. 2020, 103, 317–337. [Google Scholar] [CrossRef]
24. Martínez-Bravo, M.C.; Chalezquer, C.S.; Serrano-Puche, J. Dimensions of Digital Literacy in the 21st Century Competency Frameworks. Sustainability 2022, 14, 1867. [Google Scholar] [CrossRef]
25. Rogers, E.M.; Singhal, A.; Quinlan, M.M. Diffusion of Innovations. In An Integrated Approach to Communication Theory and Research, 1st ed.; Routledge: London, UK, 2014; pp. 432–448. [Google Scholar]
26. Wu, H.; Li, J. Risk preference, interlinked credit and insurance contract and agricultural innovative technology adoption. J. Innov. Knowl. 2022, 8, 100282. [Google Scholar] [CrossRef]
27. Chen, F.; Zhang, C.; Wang, W. Study on the Impact of Internet Use on Farmers’ Straw Returning to the Field: A Micro Survey Data from China. Sustainability 2022, 14, 8917. [Google Scholar] [CrossRef]
28. Yang, C.; Ji, X.; Cheng, C.; Liao, S.; Obuobi, B.; Zhang, Y. Digital economy empowers sustainable agriculture: Implications for farmers’ adoption of ecological agricultural technologies. Ecol. Indic. 2024, 159, 111723. [Google Scholar] [CrossRef]
29. Zhou, W.; Qing, C.; Deng, X.; Song, J.; Xu, D. How Does Internet Use Affect Farmers’ Low-Carbon Agricultural Technologies in Southern China? Environ. Sci. Pollut. Res. 2023, 30, 16476–16487. [Google Scholar] [CrossRef]
30. Suchiradipta, B.; Raj, S. The online culture of agriculture: Exploring social media readiness of agricultural professionals. CSI Trans. ICT 2018, 6, 289–299. [Google Scholar] [CrossRef]
31. Dai, Q.; Cheng, K. What Drives the Adoption of Agricultural Green Production Technologies? An Extension of TAM in Agriculture. Sustainability 2022, 14, 14457. [Google Scholar] [CrossRef]
32. Choi, N.G.; DiNitto, D.M. Internet Use Among Older Adults: Association With Health Needs, Psychological Capital, and Social Capital. J. Med. Internet Res. 2013, 15, e97. [Google Scholar] [CrossRef] [PubMed]
33. Ma, Q.; Zheng, S.; Deng, P. Impact of Internet Use on Farmers’ Organic Fertilizer Application Behavior under the Climate Change Context: The Role of Social Network. Land 2022, 11, 1601. [Google Scholar] [CrossRef]
34. Filippini, R.; Marescotti, M.E.; Demartini, E.; Gaviglio, A. Social Networks as Drivers for Technology Adoption: A Study from a Rural Mountain Area in Italy. Sustainability 2020, 12, 9392. [Google Scholar] [CrossRef]
35. Zhang, J.; Xie, S.; Li, X.; Xia, X. Adoption of green production technologies by farmers through traditional and digital agro-technology promotion–An example of physical versus biological control technologies. J. Environ. Manag. 2024, 370, 122813. [Google Scholar] [CrossRef]
36. Huang, Z.; Zhuang, J.; Xiao, S. Impact of Mobile Internet Application on Farmers’ Adoption and Development of Green Technology. Sustainability 2022, 14, 16745. [Google Scholar] [CrossRef]
37. Luo, L.; Qiao, D.; Zhang, R.; Luo, C.; Fu, X.; Liu, Y. Research on the Influence of Education of Farmers’ Cooperatives on the Adoption of Green Prevention and Control Technologies by Members: Evidence from Rural China. Int. J. Environ. Res. Public Health 2022, 19, 6255. [Google Scholar] [CrossRef]
38. Liu, Y.; Shi, R.; Peng, Y.; Wang, W.; Fu, X. Impacts of Technology Training Provided by Agricultural Cooperatives on Farmers’ Adoption of Biopesticides in China. Agriculture 2022, 12, 316. [Google Scholar] [CrossRef]
39. Sun, X.; Lyu, J.; Ge, C. Knowledge and Farmers’ Adoption of Green Production Technologies: An Empirical Study on IPM Adoption Intention in Major Indica-Rice-Producing Areas in the Anhui Province of China. Int. J. Environ. Res. Public Health 2022, 19, 14292. [Google Scholar] [CrossRef]
40. Liu, Y.; Ruiz-Menjivar, J.; Zhang, L.; Zhang, J.; Swisher, M.E. Technical training and rice farmers’ adoption of low-carbon management practices: The case of soil testing and formulated fertilization technologies in Hubei, China. J. Clean. Prod. 2019, 226, 454–462. [Google Scholar] [CrossRef]
41. Yuan, F.; Tang, K.; Shi, Q. Does Internet use reduce chemical fertilizer use? Evidence from rural households in China. Environ. Sci. Pollut. Res. 2020, 28, 6005–6017. [Google Scholar] [CrossRef]
42. Liu, Y.; He, Z. Synergistic industrial agglomeration, new quality productive forces and high-quality development of the manufacturing industry. Int. Rev. Econ. Financ. 2024, 94, 103373. [Google Scholar] [CrossRef]
43. Niu, Z.; Chen, C.; Gao, Y.; Wang, Y.; Chen, Y.; Zhao, K. Peer effects, attention allocation and farmers’ adoption of cleaner production technology: Taking green control techniques as an example. J. Clean. Prod. 2022, 339, 130700. [Google Scholar] [CrossRef]
44. Wen, Z.; Ye, B. Analyses of Mediating Effects: The Development of Methods and Models. Adv. Psychol. Sci. 2014, 22, 731. [Google Scholar] [CrossRef]
45. Xiuling, D.; Qian, L.; Lipeng, L.; Sarkar, A. The Impact of Technical Training on Farmers Adopting Water-Saving Irrigation Technology: An Empirical Evidence from China. Agriculture 2023, 13, 956. [Google Scholar] [CrossRef]
46. Xiang, P.; Guo, J. Understanding Farmers’ Intentions to Adopt Pest and Disease Green Control Techniques: Comparison and Integration Based on Multiple Models. Sustainability 2023, 15, 10822. [Google Scholar] [CrossRef]
47. Xu, Y.; Liu, H.; Lyu, J.; Xue, Y. What Influences Farmers’ Adoption of Soil Testing and Formulated Fertilization Technology in Black Soil Areas? An Empirical Analysis Based on Logistic-ISM Model. Int. J. Environ. Res. Public Health 2022, 19, 15682. [Google Scholar] [CrossRef] [PubMed]
48. Xu, D.; Liu, Y.; Li, Y.; Liu, S.; Liu, G. Effect of farmland scale on agricultural green production technology adoption: Evidence from rice farmers in Jiangsu Province, China. Land Use Policy 2024, 147, 107381. [Google Scholar] [CrossRef]
49. Lu, Y.; Tan, Y.; Wang, H. Impact of Environmental Regulation on Green Technology Adoption by Farmers Microscopic Investigation Evidence From Pig Breeding in China. Front. Environ. Sci. 2022, 10, 885933. [Google Scholar] [CrossRef]
50. Shen, Y.; Shi, R.; Yao, L.; Zhao, M. Perceived Value, Government Regulations, and Farmers’ Agricultural Green Production Technology Adoption: Evidence from China’s Yellow River Basin. Environ. Manag. 2024, 73, 509–531. [Google Scholar] [CrossRef]
51. Tang, L.; Luo, X.; Huang, Y.; Du, S.; Yan, A. Can smartphone use increase farmers’ willingness to participate in the centralized treatment of rural domestic sewage? Evidence from rural China. Environ. Dev. Sustain. 2022, 25, 3379–3403. [Google Scholar] [CrossRef]
52. Gao, Y.; Zhao, D.; Yu, L.; Yang, H. Influence of a new agricultural technology extension mode on farmers’ technology adoption behavior in China. J. Rural Stud. 2020, 76, 173–183. [Google Scholar] [CrossRef]
53. Han, H.; Zou, K.; Yuan, Z. Capital endowments and adoption of agricultural green production technologies in China: A meta-regression analysis review. Sci. Total Environ. 2023, 897, 165175. [Google Scholar] [CrossRef] [PubMed]
54. Xie, D.; Gao, W. Low-carbon transformation of China’s smallholder agriculture: Exploring the role of farmland size expansion and green technology adoption. Environ. Sci. Pollut. Res. 2023, 30, 105522–105537. [Google Scholar] [CrossRef] [PubMed]
55. Liu, R.; Yu, C.; Jiang, J.; Huang, Z.; Jiang, Y. Farmer Differentiation, Generational Differences and Farmers’ Behaviors to Withdraw from Rural Homesteads: Evidence from Chengdu, China. Habitat Int. 2020, 103, 102231. [Google Scholar] [CrossRef]
56. Mohan, R.; Saleem, F.; Voderhobli, K.; Sheikh-Akbari, A. Ensuring Sustainable Digital Inclusion among the Elderly: A Comprehensive Analysis. Sustainability 2024, 16, 7485. [Google Scholar] [CrossRef]
57. Sui, Y.; Gao, Q. Farmers’ Endowments, Technology Perception and Green Production Technology Adoption Behavior. Sustainability 2023, 15, 7385. [Google Scholar] [CrossRef]
58. Luo, L.; Qiao, D.; Tang, J.; Wang, L.; Liu, Y.; Fu, X. Research on the Influence of Education and Training of Farmers’ Professional Cooperatives on the Willingness of Members to Adopt Green Production—Perspectives Based on Time, Method and Content Elements. Environ. Dev. Sustain. 2024, 26, 987–1006. [Google Scholar]
59. Fan, P.; Mishra, A.K.; Feng, S.; Su, M. The effect of agricultural subsidies on chemical fertilizer use: Evidence from a new policy in China. J. Environ. Manag. 2023, 344, 118423. [Google Scholar] [CrossRef]
60. Qiu, H.; Tang, W.; Huang, Y.; Deng, H.; Liao, W.; Ye, F. E-commerce operations and technology perceptions in promoting farmers’ adoption of green production technologies: Evidence from rural China. J. Environ. Manag. 2024, 370, 122628. [Google Scholar] [CrossRef]
61. Guo, Z.; Chen, X.; Zhang, Y. Impact of environmental regulation perception on farmers’ agricultural green production technology adoption: A new perspective of social capital. Technol. Soc. 2022, 71, 102085. [Google Scholar] [CrossRef]
Liu H, Chen Z, Wen S, Zhang J, Xia X. Impact of Digital Literacy on Farmers’ Adoption Behaviors of Green Production Technologies. Agriculture. 2025; 15(3):303. https://doi.org/10.3390/agriculture15030303
Перевод статьи « Impact of Digital Literacy on Farmers’ Adoption Behaviors of Green Production Technologies» авторов Liu H, Chen Z, Wen S, Zhang J, Xia X., оригинал доступен по ссылке. Лицензия: CC BY. Изменения: переведено на русский язык
Фото: freepik





















Комментарии (0)