Оптимизация возделывания бобов: оценка продуктивности сортов в весенний и осенний периоды
Необходимость выявления специализированных культур в Вирджинии вызвала интерес к бобам (Vicia faba L.), которые обладают потенциальными преимуществами для систем севооборота. Как культура холодного сезона, бобы можно высаживать как осенью, так и весной, что обеспечивает гибкость в графике сельскохозяйственных работ. Полевое исследование было проведено на ферме Рэндольф, экспериментальной ферме Университета штата Вирджиния, с использованием полностью рандомизированного факторного блокового дизайна.
Аннотация
В этом исследовании изучается продуктивность семи сортов бобов — Ethiopia, NEB247, Aprovecho, EN3, EN47, Windsor и EN45 — при трех сроках весенней посадки (конец февраля, конец марта и середина апреля) и трех сроках осенней посадки (конец сентября, начало октября и конец октября). Наши результаты демонстрируют, что как сорт, так и срок посадки существенно влияют на урожайность и компоненты урожайности бобов. Среди протестированных сортов Windsor и EN47 показали превосходные характеристики по ряду категорий, что делает их предпочтительными для получения высоких урожаев. И наоборот, такие сорта, как EN45, Aprovecho и NEB247, показали низкую продуктивность. Осенние сроки посадки в целом обеспечивали лучший рост, урожайность и характеристики созревания, что подчеркивает их важность для максимизации производства бобов. Мы наблюдали, что у бобов, посаженных осенью, было на 58% больше ветвей, на 100% больше сухой массы побегов, на 34% выше масса 100 семян, вдвое выше урожайность зерна и на 8% выше индекс сбора урожая по сравнению с посаженными весной. Для дальнейшего повышения производства бобов предлагаются дополнительные исследования для выяснения физиологических взаимосвязей между скоростью фотосинтеза и динамикой источников и стоков питательных веществ. Кроме того, изучение того, как сроки посадки влияют на питательные компоненты бобов, позволит глубже понять оптимизацию их возделывания.
1 Введение
Бобы (Vicia faba), также известные как конские бобы или русские бобы, выращиваются по всему миру в системах севооборота как зерновая (бобовая) и сидеральная культура. Это четвертая по значимости зернобобовая культура в мире и популярный овощ на Ближнем Востоке и в Европе, хотя в США они не распространены. В 2020 году мировое производство бобов достигло 5,67 миллиона метрических тонн, что представляет собой значительное увеличение по сравнению с 4,35 миллиона метрических тонн в 1990 году. Основными производителями бобов являются Китай, Эфиопия, Франция, Египет и Австралия (Akibode and Maredia, 2012). Бобы культивируются тысячи лет и ценятся за высокое содержание белка, способность к фиксации азота и адаптируемость к различным климатическим условиям (Stoddard _et al._ , 2010). Как бобовая культура, бобы играют ключевую роль в устойчивом сельском хозяйстве, улучшая плодородие почвы и снижая потребность в синтетических удобрениях (Crews and Peoples, 2005). В последние годы наблюдается возрождение интереса к бобам благодаря их потенциалу вносить вклад в продовольственную безопасность и экологическую устойчивость (Duc _et al._ , 2015). Бобы содержат почти вдвое больше белка, чем зерновые культуры, с содержанием глобулинов (60%), альбуминов (20%), глютенинов (15%) и проламинов (8%) (Rahate _et al._ , 2021). Бобы обладают высоким содержанием белка от 20% до 41%; широкие вариации обусловлены сортовыми различиями, типом источника (мука, фракция или изолят), а также методом удобрения, вегетационным сезоном и местом посадки. По сравнению с другими бобами, такими как лимские, пинто и красная фасоль, мука из бобов имела самое высокое содержание белка — 29,76% (Gu _et al._ , 2020).
Вирджиния с ее разнообразными климатическими условиями и типами почв представляет собой уникальную возможность для изучения продуктивности различных сортов бобов при разных сроках посадки. Климат штата варьируется от влажного субтропического на юго-востоке до влажного континентального на северо-западе, что обеспечивает широкий спектр условий выращивания (Cathey, 1990). Текущее состояние практики севооборота в сельскохозяйственном секторе Вирджинии создает значительные проблемы для фермеров. Преобладающая зависимость от таких культур, как рожь, кукуруза, сено или травы, оказалась экономически нежизнеспособной для многих производителей. Эта ограниченная диверсификация не только снижает прибыльность фермеров, но и способствует неоптимальному здоровью почвы, делая сельскохозяйственные системы более восприимчивыми к болезням, вредителям и сорнякам. Интеграция альтернативных культур, таких как бобы, в системы севооборота могла бы решить эти проблемы. Однако успешное возделывание и маркетинг бобов зависят от определения оптимальных сроков посадки и подходящих сортов. Срок сева является ключевым фактором урожайности, что важно для повышения продуктивности различных сельскохозяйственных культур (Joshi _et al._ , 2017; Refay, 2001; Wani _et al._ , 2018). Рекомендация по оптимальному сроку посадки зависит от сочетания факторов, включая сорт растения, температурную приспособленность и доступность воды (Balalić _et al._ , 2012). Факторы окружающей среды существенно влияют на рост растений и компоненты урожайности, что делает срок сева ключевым для устойчивой урожайности зерна и его качества (Abbas _et al._ , 2019). Адаптация оптимального срока посадки особенно важна для новых культур, вводимых в регион, обеспечивая благоприятные условия выращивания.
Бобы, однолетняя бобовая культура холодного сезона (Jensen _et al._ , 2010), служат примером этой необходимости. В Калифорнии их обычно высаживают в феврале и марте для использования в качестве овоща и с сентября по ноябрь в качестве сидератов. Температурный диапазон для роста составляет 5–35°C с оптимальной температурой для фотосинтеза 25°C. Цветение уничтожается заморозками, и немногие сорта могут выдерживать температуры ниже –10°C (Boote _et al._ , 2002; Mínguez and Rubiales, 2021). Современные сорта бобов классифицируются двумя основными способами. Во-первых, они классифицируются как яровые, средиземноморские и озимые типы в зависимости от их потребности в яровизации для цветения — отсутствующей, слабой или сильной соответственно. Эта классификация позволяет адаптироваться к различным климатическим условиям: яровые типы — для холодных и теплых регионов, средиземноморские — для районов без суровых зим, а озимые — для регионов с холодными зимами, которые не наносят серьезного ущерба культуре. Во-вторых, сорта классифицируются по типу роста как индетерминантные, полудетерминантные и детерминантные, что соответствует длительному, короткому и отсутствию вегетативного роста после последнего цветения соответственно (Mínguez and Rubiales, 2021). Поэтому выбор между озимыми и яровыми бобами сильно зависит от сорта, климата, типа почвы и системы севооборота. Озимые бобы используют осеннюю и зимнюю влагу и созревают рано. И наоборот, яровые бобы, уязвимые к летней засухе, зависят от ранних летних осадков для получения высоких урожаев, что делает ранний сев критически важным (Zhao _et al._ , 2024). Срок посадки влияет на фенологическое развитие бобов и их подверженность различным биотическим и абиотическим стрессам, таким как колебания температуры, давление болезней и нашествие вредителей. Весенняя посадка обычно подвергает культуры воздействию более высоких температур и большей продолжительности дня, что улучшает вегетативный рост и потенциал урожайности (Link _et al._ , 1996). И наоборот, осенняя посадка может использовать преимущества более низких температур и сниженного давления болезней, но оставляет культуры более уязвимыми к заморозкам и более коротким вегетационным периодам (Stoddard _et al._ , 2010). Предыдущие исследования подчеркивают, что генетическое разнообразие бобов существенно влияет на их продуктивность в различных условиях окружающей среды (Temesgen _et al._ , 2015).
Цель данного исследования — изучить продуктивность различных сортов бобов при разных сроках весенней и осенней посадки в Вирджинии, и оно является первым, оценивающим совокупное влияние этих факторов на агрономическую продуктивность в местных условиях. Путем систематической оценки характеристик роста, потенциала урожайности и устойчивости этих сортов исследование направлено на выявление оптимальных стратегий посадки, которые могут улучшить продуктивность и устойчивость культуры.
2 Материалы и методы
Эксперимент был проведен на ферме Рэндольф, исследовательской и опытно-внедренческой ферме Университета штата Вирджиния в округе Честерфилд, Вирджиния (37°13′43″ с.ш.; 77°26′2″ з.д.) в 2023-2024 годах. В исследовании использовался полностью рандомизированный факторный блоковый дизайн с тремя повторностями для оценки продуктивности семи сортов бобов ('Ethiopia', 'NEB247', 'Aprovecho', 'EN3', 'EN47', 'Windsor' и 'EN45'). Исследование включало три срока весенней посадки: 24 февраля 2023 г. и 29 февраля 2024 г. (конец февраля), 24 марта 2023 г. и 21 марта 2024 г. (конец марта), а также 12 апреля 2023 г. и 12 апреля 2024 г. (середина апреля). Дополнительно использовались три срока осенней посадки: 22 сентября 2023 г. (конец сентября), 6 октября 2023 г. (начало октября) и 22 октября 2023 г. (конец октября). В таблице 1 представлены номера интродукции различных сортов бобов, посаженных на исследовательской и опытно-внедренческой ферме Рэндольф.
Таблица 1 Интродукция сортов бобов, посаженных на исследовательской и опытно-внедренческой ферме Рэндольф, Университет штата Вирджиния.
Данные о среднемесячной температуре воздуха (°C) и месячном количестве осадков (мм) были предоставлены Weather Underground (https://www.wunderground.com/history/monthly/us/va/petersburg), расположенным на станции международного аэропорта Ричмонд (Рисунок 1).
Рисунок 1 Средняя температура воздуха и количество осадков в течение вегетационных сезонов (февраль 2023 г. – май 2024 г.), ферма Рэндольф Университета штата Вирджиния, Петерсбург, Вирджиния.
Почва была обработана дисковым лущильником, чтобы обеспечить ее мягкость и ровность для посадки. Исходные почвенные условия были установлены путем отбора почвенных образцов с поля до посадки, результаты представлены в таблице 2. Для борьбы с сорняками были применены довсходовые гербициды, такие как Treflan (трифлуралин) и S-метолахлор (Dual II Magnum), в норме 1100 мл/га для борьбы с однолетними злаками и мелкосемянными широколистными сорняками. Фунгицид Ridomil Gold® EC (Syngenta Crop Protection) в норме 1100 мл/га был применен для борьбы с почвенными оомицетными заболеваниями.
Таблица 2 Химические свойства почвы на ферме Рэндольф (допосадочный анализ).
Каждая опытная делянка имела размер 1,6 м × 2,4 м с дополнительной буферной зоной 1 м. На каждой делянке вручную было высажено два ряда на глубину 5 см. Расстояние между рядами составляло 38 см, а расстояние между растениями в каждом ряду — 15 см, что обеспечивало густоту растений примерно 11 растений/м². В ходе эксперимента не проводилось ни инокуляции семян, ни орошения. Перед посадкой семена были обработаны протравителем Vibrance Maxx Seed Treatment (Syngenta US) в норме 0,1 мл на 100 г семян для защиты от повреждений, вызываемых различными почвенными, семенными и всходовыми болезнями. Ручная прополка проводилась в течение всего вегетационного сезона. После прорастания и когда растения достаточно укоренились, на каждой делянке вручную было внесено 40 кг азота/га из мочевины, 30 кг P2O5/га из двойного суперфосфата и 40 кг калия/га из K2O. Мочевина вносилась как стартовое удобрение для стимулирования раннего роста и образования клубеньков, учитывая естественную способность бобов к фиксации азота. В течение всего вегетационного периода регистрировались данные о всхожести, росте, продуктивности и сроках уборки. При уборке урожая измерялись и документировались урожайность и компоненты урожайности. На стадии созревания три растения были вручную собраны с каждой делянки в период с начала марта по начало июля 2024 года, и были рассчитаны средние данные для каждой делянки. Затем образцы были упакованы в мешки и высушены в принудительной вентилируемой печи Grieve при 65°C в течение 72 часов для получения сухой массы побегов и корней и для дальнейшего анализа. Побег и корень каждого растения взвешивались отдельно, и подсчитывалось количество ветвей. Регистрировались количество бобов на растение, масса бобов на растение, количество семян в бобе и количество семян на растение. Были получены урожайность на растение и урожайность на боб, а масса 100 семян измерялась с помощью весов. Индекс сбора урожая рассчитывался по формуле:
Согласно нашим наблюдениям, сорт Aprovecho, посаженный в середине апреля, и сорт NEB247, посаженный в середине октября, погибли, в результате чего данные для этих сортов на указанные конкретные даты посадки отсутствуют. Данные двух лет весенних посадок были объединены и проанализированы вместе с данными одного срока осенней посадки. Был использован факторный рандомизированный полноблочный дизайн, и комбинированный дисперсионный анализ был проведен с использованием программного обеспечения SAS (SAS Institute Inc, 2013). Наименьшая существенная разница (НСР) при P ≤ 0,05 использовалась для сравнения средних значений в этом исследовании.
3 Результаты
3.1 Высота растений
Дисперсионный анализ показал, что как сорт, так и срок посадки значительно (существенно) (P < 0,01) влияли на высоту растений бобов (Таблица 3). Сравнение средних значений показало, что Windsor (54,5 см) и NEB247 (54,3 см) имели наибольшую высоту растений, за ними следовал Aprovecho (53 см). И наоборот, EN45 имел наименьшую высоту растений (32,5 см) среди сортов. По всем сортам бобы, посаженные в конце сентября, показали наибольшую высоту растений. В среднем осенние сроки посадки привели к большему росту и большей высоте растений по сравнению с весенними сроками посадки. Взаимодействия эффектов сорта и сроков посадки не наблюдалось (Таблица 3).
Таблица 3 Дисперсионный анализ (P-значения) влияния сорта, срока посадки и их двусторонних взаимодействий на рост, урожайность и компоненты урожайности бобов.
3.2 Сухая масса побегов
Влияние сорта и срока посадки на сухую массу побегов образцов бобов показано в Таблице 3. Максимальная сухая масса побегов наблюдалась у сорта Windsor (40 г), тогда как у EN45 была самая низкая (7,96 г). Согласно результатам, представленным в Таблице 3, наибольшая сухая масса побегов была получена при посадке бобов в конце сентября. Не было значительных различий по сухой массе побегов между весенними сроками посадки (Таблица 3).
3.3 Сроки созревания (дни до созревания)
Как показано в Таблице 3, время созревания бобов значительно зависело от сорта, срока посадки и их взаимодействий (P < 0,01). Независимо от срока посадки, NEB247 и Aprovecho имели наибольшее время созревания — 189 и 187 дней соответственно. И наоборот, EN3 и Windsor имели наименьшее время созревания — 164 и 165 дней соответственно. Бобы, посаженные в конце сентября, показали наибольшее время созревания (239 дней) по сравнению с другими сроками посадки. Однако посадка в середине апреля показала наименьшее время созревания (89,3 дня). В среднем осенняя посадка обеспечивала более длительный период роста. На Рисунке 2 проиллюстрированы взаимодействия между сортами и сроками посадки по времени созревания. По всем сортам тенденция была стабильной (последовательной) : посадка в конце сентября привела к наибольшему времени созревания, в то время как посадка в середине апреля привела к наименьшему времени до уборки урожая.
Рисунок 2 Эффекты взаимодействия сортов и трех сроков весенней посадки (конец февраля, конец марта и середина апреля) и трех сроков осенней посадки (конец сентября, начало октября и конец октября) на время созревания (дни до созревания) бобов. Разные буквы указывают на значительные различия по критерию наименьшей существенной разницы (НСР) при P < 0,05. Столбики на колонках представляют собой среднее значение ± стандартная ошибка.
3.4 Количество ветвей на растение
Количество ветвей у бобов значительно зависело (P < 0,01) как от сорта, так и от срока посадки (Таблица 3). Среди сортов наибольшее количество ветвей имели Aprovecho (3,83) и Windsor (3,54). По всем сортам бобы, посаженные в конце сентября, дали больше ветвей по сравнению с другими сроками посадки. В среднем осенняя посадка привела к большему количеству ветвей по сравнению с весенними сроками посадки (Таблица 3). Не наблюдалось эффектов взаимодействия между сортом и сроками посадки.
3.5 Количество бобов на растение
Согласно таблице дисперсионного анализа (3), количество бобов на растение значительно зависело от сорта и сроков посадки (P < 0,01) и их взаимодействий (P < 0,05). Среди сортов EN3 имел наибольшее количество бобов на растение (15,6); однако Aprovecho имел наименьшее количество (5,63). По всем сортам наибольшее количество бобов на растение было зарегистрировано для растений, посаженных в конце сентября, — 14,7. И наоборот, наименьшее количество бобов на растение относилось к посадке в середине апреля — 4,76 (Таблица 3). На столбчатой диаграмме проиллюстрировано количество бобов на растение для семи сортов бобов при шести сроках посадки, которые включают три осенних и три весенних посадки. Согласно Рисунку 3, EN3 показывает наибольшее количество бобов на растение для сроков посадки в конце сентября. Количество бобов на растение у всех сортов, кроме NEB247, было выше осенью по сравнению с весенними сроками посадки (Рисунок 3).
Рисунок 3 Эффекты взаимодействия сортов и трех сроков весенней посадки (конец февраля, конец марта и середина апреля) и трех сроков осенней посадки (конец сентября, начало октября и конец октября) на количество бобов на растение у бобов. Разные буквы указывают на значительные различия по критерию наименьшей существенной разницы (НСР) при P < 0,05. Столбики на колонках представляют собой среднее значение ± стандартная ошибка.
3.6 Масса бобов на растение
Результаты дисперсионного анализа (Таблица 3) показали значительные эффекты сорта и сроков посадки на массу бобов на растение (P < 0,01), при этом эффектов взаимодействия не наблюдалось. По всем срокам посадки Windsor показал наибольшую массу бобов — 25,4 г, в то время как EN45 показал наименьшую — 5,73 г (Таблица 3). Бобы, посаженные в конце сентября, показали наибольшую массу бобов — 20,4 г, что значительно не отличалось от посаженных в начале октября (19 г) и конце октября (18,2 г). Напротив, наименьшая масса бобов наблюдалась у бобов, посаженных в конце марта, — 7,45 г, что было статистически сходно с посаженными в середине апреля и конце марта (10,5 г) (Таблица 3).
3.7 Количество семян в бобе
На количество семян в бобе значительно влияли как сорт, так и сроки посадки (P < 0,01), при отсутствии значительных взаимодействий (P > 0,05) (Таблица 3). Windsor имел наибольшее количество семян в бобе (3,03), без значительных различий между другими сортами. По всем сортам наибольшее количество семян в бобе было зарегистрировано для бобов, посаженных в конце октября (2,64), что значительно не отличалось от посаженных в начале октября (2,45) (Таблица 3).
3.8 Количество семян на растение
На количество семян на растение значительно влияли как сорт, так и сроки посадки (P < 0,01), при отсутствии значительных взаимодействий (Таблица 3). Среди сортов EN3 зафиксировал наибольшее количество семян на растение (29,4), за ним следовал Windsor (20,3); тогда как Aprovecho показал наименьшее (10,2). Бобы, посаженные в конце сентября, имели наибольшее количество семян на растение (26,3), что значительно не отличалось от посаженных в начале октября (20,5). И наоборот, наименьшее количество семян на растение наблюдалось при весенних посадках, в частности в середине апреля (11,4) (Таблица 3).
3.9 Масса 100 семян
На массу 100 семян значительно влияли как сорт (P < 0,01), так и срок посадки (P < 0,05), при отсутствии значительных эффектов взаимодействия (Таблица 3). Среди сортов Windsor имел наибольшую массу 100 семян (93,5 г), за ним следовал EN47 (73,6 г), в то время как EN45 имел наименьшую (27,1 г). По всем сортам наибольшая масса 100 семян была зарегистрирована для бобов, посаженных в конце октября (76 г), что значительно не отличалось от посаженных в начале октября (73,7 г) (Таблица 3).
3.10 Урожайность на растение
Согласно дисперсионному анализу (Таблица 3), на урожайность бобов значительно влияли сорт (P < 0,01) и срок посадки (P < 0,05), но их взаимодействия не были значительными. Независимо от срока посадки, Windsor имел наибольшую урожайность зерна (18,7 г) по сравнению с другими сортами, в то время как EN45 имел самую низкую урожайность (4,37 г). По всем сортам три срока осенней посадки дали наибольшую урожайность бобов, которая в среднем была примерно на 100% выше, чем у посаженных весной. Между весенними сроками посадки не было статистической разницы с точки зрения урожайности бобов.
3.11 Урожайность на боб
Таблица 3 иллюстрирует, что сорт оказывает значительное влияние (P < 0,01) на урожайность бобов на боб; однако не было значительного влияния срока посадки или их взаимодействий. Результаты показали, что Windsor (2,89 г) имел наибольшую урожайность на боб среди протестированных сортов бобов, в то время как EN45 (0,54 г) имел наименьшую урожайность на боб. Данные показали, что бобы, посаженные осенью, имели несколько (немного) более высокую урожайность на боб по сравнению с посаженными весной, но эта разница не была статистически значимой (Таблица 3).
3.12 Индекс сбора урожая
Согласно таблице дисперсионного анализа (3), на индекс сбора урожая значительно влияли как сорт, так и сроки посадки (P < 0,01), а также их взаимодействия (P < 0,05). EN47 имел самый высокий индекс сбора (52,2%), что значительно не отличалось от показателей EN3 (51,1%), EN45 (48,9%) и Windsor (46,5%). Самый низкий индекс сбора был зафиксирован для сорта Aprovecho со значением 30,5%. По всем сортам индекс сбора был самым высоким для бобов, посаженных в конце февраля (50,8%), начале октября (49,6%) и конце октября (50,6%) (Таблица 3). На столбчатой диаграмме проиллюстрированы взаимодействия между семью сортами бобов при шести сроках посадки в отношении индекса сбора урожая (Рисунок 4). EN47, посаженный в конце октября (61,1%), и EN45, посаженный в конце февраля (60,9%), достигли самого высокого индекса сбора. И наоборот, NEB247 и Aprovecho, посаженные в конце сентября, имели самый низкий индекс сбора, который составлял около 10% (Рисунок 4).
Рисунок 4 Эффекты взаимодействия сортов и трех сроков весенней посадки (конец февраля, конец марта и середина апреля) и трех сроков осенней посадки (конец сентября, начало октября и конец октября) на количество бобов на растение у бобов. (Примечание: в исходном тексте к Рисунку 4 указано "number of pods per plant", но по смыслу раздела 3.12 и данных на графике речь идет об индексе сбора. Сохранено как в оригинале, но с указанием на возможную опечатку. В исходном запросе также указано "harvest index" для рис.4). Разные буквы указывают на значительные различия по критерию наименьшей существенной разницы (НСР) при P < 0,05. Столбики на колонках представляют собой среднее значение ± стандартная ошибка.
4 Обсуждение
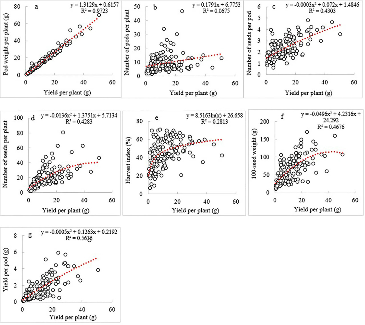
На этой диаграмме рассеяния проиллюстрирована взаимосвязь между урожайностью на растение (г) и различными компонентами урожайности бобов (Рисунок 5). Существует положительная корреляция между урожайностью и такими компонентами, как масса бобов на растение (r = 0,98, P < 0,01), количество бобов на растение (r = 0,40, P < 0,01), количество семян в бобе (r = 0,55, P < 0,01), количество семян на растение (r = 0,65, P < 0,01), индекс сбора (r = 0,49, P < 0,01), масса 100 семян (r = 0,56, P < 0,01) и урожайность на боб (r = 0,66, P < 0,01). Красная пунктирная линия тренда предполагает (свидетельствует о) линейной зависимости между урожайностью и такими компонентами, как масса бобов, количество бобов на растение, количество семян в бобе и урожайность на боб, что поддерживает результаты Alan и Geren (2007) и Aziz _et al._ (2013) о том, что эти компоненты часто проявляют линейные зависимости с урожайностью. Однако взаимосвязь между урожайностью и количеством семян на растение, индексом сбора и массой 100 семян была нелинейной. Среди компонентов урожайности масса бобов на растение показывает наиболее сильную корреляцию с урожайностью. Исследования показали, что масса бобов на растение является значительным фактором, определяющим общую урожайность бобов, что указывает на сильную положительную корреляцию (Ulukan _et al._ , 2003; Sindhu _et al._ , 1985; Berhe _et al._ , 1998).
Рисунок 5 Диаграммы рассеяния для урожайности бобов во взаимосвязи с массой бобов на растение (A), количеством бобов на растение (B), количеством семян в бобе (C), количеством семян на растение (D), индексом сбора урожая (E), массой 100 семян (F) и урожайностью на боб (G).
Это исследование предоставляет детальное понимание того, как сорт и срок посадки влияют на различные агрономические признаки бобов, такие как высота растений, сухая масса побегов, дни до созревания, количество ветвей на растение, количество бобов на растение, масса бобов на растение, количество семян в бобе, количество семян на растение, масса 100 семян, урожайность на растение, урожайность на боб и индекс сбора урожая. Среди сортов Windsor продемонстрировал превосходную производительность в нескольких ключевых областях. Он достиг наибольшей высоты растений (54,5 см), сухой массы побегов (40 г), количества ветвей (3,54), массы бобов (25,4 г), количества семян в бобе (3,03), массы 100 семян (93,5 г), урожайности зерна (18,7 г) и урожайности на боб (2,89 г). Кроме того, Windsor имел наименьшее время созревания по сравнению с другими сортами. Эти характеристики делают Windsor отличным выбором для максимизации урожайности и эффективности. Вслед за Windsor, EN47 показал похвальную производительность с самым высоким индексом сбора (52,2%). Учитывая сильную корреляцию между массой бобов, массой 100 семян и урожайностью зерна, как Windsor, так и EN47 оказались перспективными сортами по сравнению с другими. Эта корреляция подчеркивает важность этих признаков для определения общей производительности по урожайности (Duc, 1997). Напротив, EN45 продемонстрировал самые низкие значения в нескольких критических областях, включая высоту растений, сухую массу побегов, массу бобов, массу 100 семян и урожайность зерна. Эти недостатки предполагают (свидетельствуют) , что EN45 плохо подходит для условий данного исследования. Аналогично, сорта Aprovecho и NEB247 показали специфическую чувствительность к срокам посадки. Aprovecho при посадке в середине апреля и NEB247 при посадке в начале октября не смогли процветать, что указывает на чувствительность к жаркой и холодной погоде соответственно. Эта чувствительность делает эти сорта менее подходящими для регионов с экстремальными температурными колебаниями. Aprovecho имел наименьшее количество бобов на растение и самый низкий индекс сбора (30,5%), а также имел наибольшее время созревания по сравнению с другими сортами. Эти факторы дополнительно подтверждают вывод о том, что Aprovecho не является идеальным сортом для региона в протестированных условиях. Результаты показали, что выбор сорта значительно влияет на агрономическую производительность бобов. Эти результаты согласуются с предыдущими исследованиями, подчеркивающими ключевую роль выбора сорта в оптимизации производительности культуры (Jensen _et al._ , 2010; Siddiqui _et al._ , 2015; Afzal _et al._ , 2022).
По всем сортам срок посадки значительно влиял на урожайность и компоненты урожайности бобов (Таблица 3). Бобы, посаженные в конце сентября, продемонстрировали самые высокие растения, наибольшее время созревания, больше ветвей, самую высокую сухую массу побегов, больше всего бобов на растение, самую высокую массу бобов и наибольшее количество семян на растение по сравнению с другими сроками посадки (Таблица 3). Предыдущие исследования подтверждают наши результаты, указывая, что оптимальные сроки посадки могут значительно влиять на вегетативный рост и высоту растений (Wakweya _et al._ , 2016; Refay, 2001; Turk and Tawaha, 2002). Длительный вегетационный период, обеспечиваемый осенними сроками посадки, вероятно, способствует наблюдаемому более длительному времени созревания (Ellis _et al._ , 1992). Наши результаты продемонстрировали, что сухая масса побегов бобов, посаженных осенью, была почти на 100% выше, чем у посаженных весной. Это результат согласуется с Thalji и Shalaldeh (2006), которые сообщили о значительном преимуществе по урожайности (157%) и усиленном росте побегов и корней при ранней посадке (конец ноября). Мы наблюдали, что у бобов, посаженных осенью, было на 58% больше ветвей по сравнению с посаженными весной. Как показано в Таблице 3, развитие бобов у бобов, посаженных осенью, было выше, чем у посаженных весной, что согласуется с предыдущими исследованиями, указывающими на то, что осенние сроки посадки приводят к лучшему развитию и массе бобов (Jensen _et al._ , 2010). Эта закономерность предполагает (свидетельствует) , что осенние сроки посадки предоставляют благоприятные условия для формирования бобов, что подтверждается исследованием Loss и Siddique (1997). El-Metwally _et al._ (2013) обнаружили, что посев 25 октября дал наивысшие характеристики роста и содержание пигментов (общий хлорофилл), в то время как наибольшая урожайность и ее компоненты были достигнуты при сроке посева 25 ноября. Масса 100 семян бобов, посаженных осенью, была примерно на 34% выше, чем у посаженных весной. Предыдущие исследования показали, что условия окружающей среды во время осенней посадки благоприятствуют развитию более крупных семян (Duc, 1997). Данные показали, что бобы, посаженные осенью, имели несколько (немного) более высокую урожайность на боб, чем посаженные весной, хотя эта разница не была статистически значимой (Таблица 3). Три срока осенней посадки дали самую высокую урожайность бобов и имели более высокий индекс сбора, в среднем примерно на 100% и 8% больше, чем у посаженных весной, соответственно. Эта тенденция предполагает (свидетельствует) , что осенние сроки посадки улучшают семенную продуктивность, что согласуется с результатами Khan _et al._ (2010). В текущем исследовании некоторые сорта (Ethiopia, NEB247 и Aprovecho), посаженные в конце сентября, вступили в репродуктивную фазу до зимы. Будучи индетерминантными, они продолжали цвести, даже потеряв цветы в декабре и январе. Для осенней посадки необходимо использовать индетерминантные сорта, потому что если погодные условия благоприятны и способствуют цветению, растения вряд ли сохранят свои цветы в течение зимы. Другие сорта, посаженные осенью в этом исследовании, оставались в вегетативной стадии и не вступали в репродуктивную фазу до весны. Самые большие проблемы для весенней посадки включают холодную погоду в начале сезона и дожди, которые препятствуют готовности почвы к посадке. Кроме того, жаркая погода во время фазы цветения бобов может препятствовать производству зерна. По мере потепления погоды проблемы с болезнями, такие как шоколадная пятнистость и ржавчина, будут распространяться быстрее, благоприятствуя более теплым температурам 15–25°C и выше 20°C соответственно (Stoddard _et al._ , 2010). Поэтому для весенней посадки бобы следует высаживать как можно раньше, чтобы избежать жаркой погоды во время фазы цветения.
5 Заключение
Результаты исследования демонстрируют, что как сорт, так и срок посадки играют ключевую роль в определении агрономической производительности бобов. Такие сорта, как Windsor и EN47, которые проявляют превосходные признаки по нескольким категориям, предпочтительны для достижения высоких урожаев. И наоборот, такие сорта, как EN45, Aprovecho и NEB247, которые показывают низкую производительность или чувствительность к неблагоприятным условиям, менее подходят. Осенние сроки посадки в целом приводят к лучшим характеристикам роста, урожайности и созревания, подчеркивая их важность для максимизации производства бобов. Для максимизации агрономической производительности и урожайности бобов необходимо уделять тщательное внимание как выбору сорта, так и срокам посадки. Однако, учитывая, что это исследование было проведено в одном регионе и на одном типе почвы, будущие исследования должны распространить эти изыскания на разнообразные условия окружающей среды, чтобы подтвердить и обобщить результаты. Кроме того, необходимы дополнительные исследования для выяснения физиологической взаимосвязи между скоростью фотосинтеза и динамикой источников и стоков питательных веществ, а также для изучения того, как сроки посадки влияют на питательные компоненты бобов, такие как аминокислоты, жиры и углеводы.
Ссылки
1. Abbas G., Younis H., Naz S., Fatima Z., Hussain S., Ahmed M. et al. (2019). Effect of planting dates on agronomic crop production, in Agronomic Crops, (Singapore: Springer), 131–147. doi: 10.1007/978-981-32-9151-5_8. CrossRef Google Scholar
2. Afzal M., Alghamdi S. S., Migdadi H. H., El-Harty E., Al-Faifi S. A. (2022). Agronomical and physiological responses of faba bean genotypes to salt stress. Agriculture 12, 235. doi: 10.3390/agriculture12020235. CrossRef Google Scholar
3. Akibode S., Maredia M. K. (2012). Global and regional trends in production, trade and consumption of food legume crops. Department of Agricultural, Food and Resource Economics, Michigan State University, Research in Agriculture & Applied Economics, 2–84. Google Scholar
4. Alan O., Geren H. (2007). Evaluation of heritability and correlation for seed yield and yield components in faba bean (Vicia faba L.). J. Agron. 6, 484. doi: 10.3923/ja.2007.484.487. CrossRef Google Scholar
5. Aziz A. A. M. O., Aziz H. A., Gailani M. B. (2013). Correlation between seed yield and yield components in faba bean (Vicia faba L.). Adv. Environ. Biol. 7, 82–85. Google Scholar
6. Balalić I., Zorić M., Branković G., Terzić S., Crnobarac J. (2012). Interpretation of hybrid × sowing date interaction for oil content and oil yield in sunflower. Field Crops Res. 137, 70–77. doi: 10.1016/j.fcr.2012.08.005. CrossRef Google Scholar
7. Berhe A., Bejiga G., Mekonnen D. (1998). Association of some characters with seed yield in local varieties of faba bean. Afr. Crop Sci. J. 6, 197–204. doi: 10.4314/acsj.v6i2.27816. CrossRef Google Scholar
8. Boote K. J., Mínguez M. I., Sau F. (2002). Adapting the CROPGRO legume model to simulate growth of faba bean. Agron. J. 94, 743–756. doi: 10.2134/agronj2002.7430. CrossRef Google Scholar
9. Cathey H. M. (1990). USDA plant hardiness zone map 1475 (Washington, DC: US Department of Agriculture). Google Scholar
10. Crews T. E., Peoples M. B. (2005). Can the synchrony of nitrogen supply and crop demand be improved in legume and fertilizer-based agroecosystems? A review. Nutr. Cycl Agroecosyst 72, 101–120. doi: 10.1007/s10705-004-6480-1. CrossRef Google Scholar
11. Duc G. (1997). Faba bean (Vicia faba L.). Field Crops Res. 53, 99–109. doi: 10.1016/S0378-4290(97)00025-7. CrossRef Google Scholar
12. Duc G., Aleksić J., Marget P., Mikic A., Paull J., Redden B. et al. (2015). Faba bean, in Grain Legumes (Springer: Handbook of Plant Breeding), De Ron A. M. (eds.) 10. doi: 10.1007/978-1-4939-2797-5_5. CrossRef Google Scholar
13. Ellis R. H., Qi A., Summerfield R. J. (1992). Photoperiod, temperature, and the interval from sowing to flowering in faba bean. J. Agric. Sci. 118, 343–350. doi: 10.1017/S0021859600071077. CrossRef Google Scholar
14. El-Metwally I. M., El-Shahawy T. A., Ahmed M. A. (2013). Effect of sowing dates and some broomrape control treatments on faba bean growth and yield. J. Applied Sci. Res. 9, 197–204. Google Scholar
15. Gu B. J., Masli M. D. P., Ganjyal G. M. (2020). Whole faba bean flour exhibits unique expansion characteristics relative to the whole flours of lima, pinto, and red kidney beans during extrusion. J. Food Sci. 85, 404–413. doi: 10.1111/1750-3841.14991. CrossRef Google Scholar
16. Jensen E. S., Peoples M. B., Hauggaard-Nielsen H. (2010). Faba bean in cropping systems. Field Crops Research 115 (3), 203–216. doi: 10.1016/j.fcr.2009.10.008. CrossRef Google Scholar
17. Joshi V. R., Heitholt J. J., Garcia y Garcia A. (2017). Response of confection sunflower (Helianthus annuus L.) grown in a semi-arid environment to planting date and early termination of irrigation. J. Agron. Crop Sci. 203, 301–308. doi: 10.1111/jac.2017.203.issue-4. CrossRef Google Scholar
18. Khan H. R., Paull J. G., Siddique K. H. M., Stoddard F. L. (2010). Faba bean breeding for drought-affected environments: A physiological and agronomic perspective. Field Crops Res. 115, 279–286. doi: 10.1016/j.fcr.2009.10.001. CrossRef Google Scholar
19. Link W., Balko C., Stoddard F. L. (1996). Winter hardiness in faba bean: physiology and breeding. Field Crops Res. 46, 83–89. doi: 10.1016/j.fcr.2008.08.004. CrossRef Google Scholar
20. Loss S. P., Siddique K. H. M. (1997). Adaptation of faba bean (Vicia faba L.) to dryland Mediterranean-type environments. III. Water use and water use efficiency. Field Crops Res. 54, 153–162. doi: 10.1016/S0378-4290(97)00050-5. CrossRef Google Scholar
21. Mínguez M. I., Rubiales D. (2021). Faba bean, in Crop physiology case histories for major crops (Amsterdam, The Netherlands: Elsevier Inc.), 452–481. doi: 10.1016/B978-0-12-819194-1.00015-3. CrossRef Google Scholar
22. Rahate K. A., Madhumita M., Prabhakar P. K. (2021). Nutritional composition, anti-nutritional factors, pretreatments-cum-processing impact and food formulation potential of faba bean (Vicia faba L.): A comprehensive review. LWT 138, 110796. doi: 10.1016/j.lwt.2020.110796. CrossRef Google Scholar
23. Refay Y. A. (2001). Effect of planting dates and plant density on two faba bean lines grown under the Central region conditions of Saudi Arabia. Arab Universities Journal of Agricultural Sciences 9 (1), 79–93. Google Scholar
24. SAS Institute Inc (2013). *SAS/STAT® 13.1 User's Guide* (Cary, NC: SAS Institute Inc). Google Scholar
25. Siddiqui M. H., Al-Khaishany M. Y., Al-Qutami M. A., Al-Whaibi M. H., Grover A., Ali H. M. et al. (2015). Response of different genotypes of faba bean plant to drought stress. Int. J. Mol. Sci. 16, 10214–10227. doi: 10.3390/ijms160510214. CrossRef Google Scholar
26. Sindhu J. S., Singh O. P., Singh K. P. (1985). Component analysis of the factors determining grain yield in faba bean (Vicia faba L.). FABIS Newsletter, Faba Bean Information Service, ICARDA 13, 3–5. Google Scholar
27. Stoddard F. L., Nicholas A. H., Rubiales D., Thomas J., Villegas-Fernández A. M. (2010). Integrated pest management in faba bean. Field Crops Res. 115, 308–318. doi: 10.1016/j.fcr.2009.07.002. CrossRef Google Scholar
28. Temesgen T., Keneni G., Sefera T., Jarso M. (2015). Yield stability and relationships among stability parameters in faba bean (Vicia faba L.) genotypes. Crop J. 3, 258–268. doi: 10.1016/j.cj.2015.03.004. CrossRef Google Scholar
29. Thalji T., Shalaldeh G. (2006). Effect of planting date on faba bean (Vicia faba L.) nodulation and performance under semiarid conditions. World Journal of Agricultural Sciences 2 (4), 477–482. Google Scholar
30. Turk M. A., Tawaha A. R. M. (2002). Effect of dates of sowing and seed size on yield and yield components of local faba bean under semi-arid condition. Legume Research-An Int. J. 25, 301–302. Google Scholar
31. Ulukan H., Guler M., Keskin S. D. D. K. (2003). A path coefficient analysis some yield and yield components in faba bean (Vicia faba L.) genotypes. Pakistan J. Biol. Sci. (Pakistan) 6 (23), 1951–1955. doi: 10.3923/pjbs.2003.1951.1955. CrossRef Google Scholar
32. Wakweya K., Dargie R., Meleta T. (2016). Effect of sowing date and seed rate on faba bean (Vicia faba L.), growth, yield and components of yield at Sinana, Highland conditions of Bale, Southeastern Ethiopia. Int. J. Sci. Res. Agric. Sci. 3, 25–34. doi: 10.12983/ijsras-2016-p0025-0034. CrossRef Google Scholar
33. Wani S. A., Bhat M. A., Bhat M. A. (2018). An overview on the significance of sowing dates and nitrogen fertilization on growth and yield of rice. IJCS 6, 2640–2655. Google Scholar
34. Zhao D., Devoil P., Rognoni B. G., Wilkus E., Eyre J. X., Broad I. et al. (2024). Sowing summer grain crops early in late winter or spring: effects on root growth, water use, and yield. Plant and Soil, 1–18. doi: 10.1007/s11104-024-06648-0. CrossRef Google Scholar
Torabian S, Zakeri H and Farhangi-Abriz S (2024) Optimizing faba bean cultivation: assessing varietal performance in spring and fall. Front. Agron. 6:1474528. doi: 10.3389/fagro.2024.1474528
Перевод статьи «Optimizing faba bean cultivation: assessing varietal performance in spring and fall» авторов Torabian S, Zakeri H and Farhangi-Abriz S., оригинал доступен по ссылке. Лицензия: CC BY. Изменения: переведено на русский язык











Комментарии (0)