Эффективный мониторинг влажности почвы с помощью умных датчиков и модели Бисваса
Эффективный мониторинг влажности почвы имеет решающее значение для оптимизации водопотребления и обеспечения здоровья сельскохозяйственных культур, особенно в богарных условиях. В данном исследовании предлагается высокопроизводительный метод мониторинга влажности сельскохозяйственных почв, который объединяет беспроводные сенсорные сети на основе технологии LoRa с региональными статистическими моделями.
Аннотация
Беспроводные датчики были установлены в верхнем слое почвы 0–0,2 м для сбора данных о влажности в реальном времени, которые затем объединялись с моделью Бисваса для оценки распределения влажности в почве на глубину до 2,0 м. Модель была откалибрована с использованием коэффициентов полевой влагоемкости и влажности завядания растений. Результаты продемонстрировали сильную корреляцию между прогнозами модели и фактическими измеренными запасами почвенной влаги, при этом коэффициент детерминации (R²) превысил 0,94. Кроме того, у 83% точек отбора проб относительные ошибки были ниже 18,5%, а для глубин 0–1,2 м у 90% точек отбора проб относительные ошибки составили менее 15%. Система эффективно отслеживала суточную динамику влажности почвы в период вегетации кукурузы, при этом относительные ошибки прогнозируемой эвапотранспирации не превышали 10,25%. Данный метод представляет собой экономически эффективный и масштабируемый инструмент для мониторинга влажности сельскохозяйственных почв, способствующий оптимизации орошения и повышению эффективности использования воды в богарном земледелии.
1. Введение
В условиях глобального изменения климата и растущего дефицита воды высокочастотный, высокоточный и недорогой мониторинг запасов почвенной влаги на сельскохозяйственных угодьях имеет важнейшее значение для эффективного использования водных ресурсов, управления здоровьем сельскохозяйственных культур в период вегетации и обеспечения продовольственной безопасности [1,2]. Точный мониторинг влажности почвы не только обеспечивает поддержку устойчивого сельского хозяйства, но и играет важнейшую роль в оптимизации методов орошения, сокращении потерь воды и повышении урожайности, что является ключевым фактором для решения задач современного сельского хозяйства и глобальной продовольственной безопасности [3,4].
Для мониторинга влажности почвы существует несколько устоявшихся методов, включая традиционный отбор проб почвенным буром и сушку, методы нейтронных влагомеров, TDR-влагомеры (рефлектометрия во временной области), а также крупномасштабный мониторинг с помощью технологий дистанционного зондирования, таких как спутники и беспилотники [5,6,7,8,9,10]. Хотя традиционный метод отбора проб с сушкой обеспечивает точные измерения влажности почвы, он требует много времени и труда, а также вызывает значительные нарушения структуры почвы [11,12,13,14]. Метод нейтронного зонда позволяет проводить непрерывный мониторинг распределения влажности в почве с минимальным нарушением почвы, однако заметными недостатками являются высокая стоимость обслуживания оборудования и потенциальный радиационный риск [15,16]. Технологии дистанционного зондирования обеспечивают быстрое покрытие больших площадей, но часто ограничены пространственным разрешением и, как правило, пригодны только для мониторинга поверхностной влажности; кроме того, данные дистанционного зондирования могут быть сложны в обработке [17,18,19,20]. Несмотря на эти достижения, данные методы часто не соответствуют требованиям современного сельского хозяйства к одновременному высокому пространственному и временному разрешению, доступности и адаптируемости к различным почвенным условиям [21,22]. Это подчеркивает настоятельную необходимость в улучшенных методах мониторинга влажности почвы, которые преодолевают эти ограничения.
Недавние достижения в области недорогих, простых в установке технологий Интернета вещей (IoT) и сенсорных систем открывают новые возможности для мониторинга влажности почвы. Беспроводные датчики влажности почвы обеспечивают быстрый и эффективный мониторинг влажности почвы, значительно повышая точность и эффективность сбора данных [23,24,25,26,27]. Однако развертывание большого количества беспроводных датчиков, хотя и обеспечивает высокую точность, создает проблемы, такие как высокие затраты на установку и обслуживание [28,29]. Кроме того, исследования показали значительные корреляции между распределением влаги в поверхностных и более глубоких слоях почвы, что свидетельствует о том, что данные о поверхностной влажности можно использовать для прогнозирования влажности более глубоких слоев с помощью таких моделей, как нелинейная модель Бисваса [30,31]. Кроме того, многолетний сельскохозяйственный опыт и пространственно-временные характеристики распределения почвенных профилей демонстрируют высокую степень сходства в динамике влажности почвы в пределах одного поля или региона, что обеспечивает прочное обоснование целесообразности и обоснованности данного исследования [32,33]. Интеграция датчиков на основе Интернета вещей со статистическими моделями открывает инновационный путь к созданию недорогих, высокопроизводительных и масштабируемых решений для мониторинга влажности почвы, в частности в регионах с разнообразными и сложными почвенными условиями.
Для решения этих задач данное исследование направлено на разработку подхода к мониторингу влажности почвы с учетом региональной специфики, используя комбинацию беспроводных датчиков Интернета вещей и модели Бисваса. Основная цель — повысить точность и эффективность мониторинга запасов почвенной влаги в различных почвенных горизонтах. В частности, данное исследование направлено на поиск ответов на следующие вопросы:
(1) Могут ли данные о влажности поверхностного слоя почвы, собранные с помощью недорогих беспроводных датчиков, точно прогнозировать динамику влажности более глубоких слоев в различные фазы роста?
(2) Как разработанная региональная модель работает в различных почвенных и экологических условиях по сравнению с традиционными методами?
В этом исследовании мы провели послойный мониторинг влажности почвы в диапазоне глубин 0–2,0 м, используя традиционные методы отбора проб почвенным буром и сушки перед посадкой кукурузы, в различные фазы роста и после сбора урожая. Для мониторинга объемной влажности почвы на глубинах 0–0,1 м и 0,1–0,2 м были развернуты дистанционные беспроводные датчики влажности почвы. Мы разработали региональную модель Бисваса для оценки запасов почвенной влаги от поверхности до более глубоких слоев на основе данных о поверхностной влажности. Затем модель использовалась для оценки суточной динамики влажности почвы и водопотребления сельскохозяйственных культур на протяжении всего цикла роста.
2. Материалы и методы
2.1. Общая информация об экспериментальном участке
Район исследования расположен в восточной части Лессового плато в Китае, в частности на экспериментальной базе органического богарного земледелия LiFang в Юцы, провинция Шаньси (N37°51′, E112°45′). Высота над уровнем моря колеблется от 767 м до 1777 м (Рисунок 1). Этот регион характеризуется умеренно-континентальным климатом со среднегодовой температурой 9,8 °C, среднегодовым количеством осадков 418–483 мм и среднегодовым испарением 1500–2300 мм. Преобладающей сельскохозяйственной практикой в этом районе является богарное земледелие.
Рисунок 1. Географическое положение и топографические характеристики исследуемого участка, включая высоту над уровнем моря, особенности рельефа и окружающий ландшафтный контекст.
Строительство экспериментальной базы началось в марте 2022 года, и в настоящее время на ней отсутствует базовая инфраструктура для мониторинга почвы и сельскохозяйственных культур. Эта ситуация соответствует целям данного исследования, которые заключаются во внедрении и оценке недорогого, высокопроизводительного решения для непрерывного мониторинга запасов почвенной влаги на сельскохозяйственных угодьях, не имеющих устоявшихся средств наблюдения.
2.2. Методы отбора проб почвы и измерений
Кукуруза была посеяна 15 мая 2023 года, всходы появились в период с 20 по 22 мая, а уборка урожая была проведена 4 октября. На протяжении всего периода вегетации для измерения объемной влажности почвы в профиле 0–2,0 м использовалась комбинация ручного отбора проб и мониторинга на основе датчиков (Таблица 1). Объемная влажность верхнего слоя почвы (0–20 см) отслеживалась в реальном времени с помощью портативного датчика температуры и влажности RS485, измерения проводились в девяти случайным образом распределенных точках по полю. Для подпочвенного слоя (20–200 см) гравиметрическая влажность определялась с помощью методов бурения и отбора проб почвы. Образцы почвы отбирались с интервалом 20 см от поверхности до глубины 200 см с использованием алюминиевых контейнеров, и их вес записывался. Затем гравиметрическая влажность измерялась стандартным методом сушки в печи, а соответствующая плотность сложения каждого слоя почвы использовалась для расчета объемной влажности. Во время каждого сеанса мониторинга выбирались три случайные точки на поле для измерения влажности почвы по всему профилю 0–2,0 м.
Таблица 1. Содержание влаги в почве (объемные проценты), измеренное в различных слоях почвы (0–2,0 м) на разных этапах вегетации сельскохозяйственных культур.
По окончании эксперимента в трех случайно выбранных точках были выкопаны почвенные разрезы. Образцы почвы, соответствующие глубинам измерения влажности, отбирались с помощью режущих колец объемом 200 см³ для определения плотности сложения.
2.3. Развертывание беспроводных датчиков и непрерывный мониторинг поверхностной влажности
Для непрерывного мониторинга влажности почвы в верхнем слое (0–20 см) сельскохозяйственных угодий была разработана недорогая система дистанционного мониторинга на основе технологии беспроводной связи LoRa (Рисунок 2). Система состоит из беспроводных датчиков влажности почвы (датчики температуры и влажности типа RS485) и системы связи LoRa, включающей шлюз, серверный уровень и уровень передачи данных. Эти компоненты обеспечивают управление несколькими датчиками влажности почвы в верхнем слое почвы и связь с ближайшей наземной базовой станцией 4G. Облачная платформа лаборатории принимает данные в реальном времени, предоставляя динамическую информацию о влажности почвы с каждой точки мониторинга.
Рисунок 2. Схема недорогой беспроводной системы мониторинга влажности почвы на базе LoRa. Красные сплошные сферы представляют беспроводные датчики влажности, контролирующие содержание влаги в верхнем слое почвы (0–20 см). Красные звезды указывают на шлюз LoRa, серверный уровень и уровень передачи данных, которые управляют сбором данных и передают их на ближайшую наземную базовую станцию 4G.
2.3.1. Модель датчика и развертывание
В нашем исследовании использовались датчики влажности почвы типа RS485 (модель RS485, производитель: Shandong Jianda Renke Electronic Technology Co., Ltd., Цзинань, Китай) со следующими характеристиками:
(1) Диапазон измерений: 0–100% (объемная влажность);
(2) Точность: ±2% в диапазоне 0–50%, ±3% в диапазоне 50–100%;
(3) Диапазон рабочих температур: от -20 °C до 60 °C;
(4) Цифровой выход RS485.
Датчики устанавливались вертикально, при этом чувствительный элемент датчика находился примерно на 1 см ниже поверхности почвы для регистрации динамики влажности в слое 0–20 см. Каждый модуль LoRa размещался в защитном корпусе примерно в 30 см от щупа датчика для предотвращения повреждения окружающей средой. Было выбрано в общей сложности девять точек мониторинга, по одному датчику в каждой. Их местоположение было отмечено на карте фермы вместе с координатами GPS для последующего использования.
2.3.2. Конфигурация системы связи LoRa
Система связи LoRa состоит из трех компонентов.
Первый компонент — модуль узла LoRa (модель: E32-868T30D, производитель: Chengdu Ebyte Electronic Technology Co., Ltd., Чэнду, Китай).
(1) Частота: 868 МГц;
(2) Максимальная дальность: 10 км (прямая видимость);
(3) Скорость передачи данных: 0,3–19,2 кбит/с;
(4) Напряжение: 3,3–5,5 В;
(5) Выходная мощность: 30 дБм.
Второй компонент — шлюз LoRa (модель: RAK7249, производитель: Shenzhen RAKwireless Technology Co., Ltd., Шэньчжэнь, Китай).
(1) Частота: 868 МГц;
(2) Поддерживает до 500 узлов LoRa;
(3) Интерфейсы передачи данных: Ethernet/Wi-Fi/4G LTE;
(4) Рабочая температура: от -40 °C до 85 °C.
Третий компонент — модуль связи 4G (производитель: Guangzhou Stars Wings Electronic Technology Co., Ltd., Гуанчжоу, Китай).
Он интегрирован в шлюз для загрузки данных в облачную платформу лаборатории.
Данные, собранные модулем узла LoRa от датчиков RS485, агрегируются в шлюзе LoRa, а затем передаются через модуль 4G в облако.
2.3.3. Рабочий процесс сбора и передачи данных
Каждые 30 минут (или с корректировкой по мере необходимости в зависимости от конкретных требований) датчики RS485 измеряют температуру почвы и объемную влажность в слое 0–20 см. Эти данные отправляются на шлюз LoRa через модуль узла LoRa, а затем загружаются в облачную платформу через сеть 4G. Платформа классифицирует и хранит данные, обеспечивая визуализацию в реальном времени. Исследователи могут получать доступ к этой информации и анализировать ее на лабораторных терминалах или мобильных устройствах, а также при необходимости настраивать автоматические оповещения.
2.3.4. Калибровка и контроль качества
Все датчики были откалиброваны в лабораторных условиях с использованием образцов почвы с известной влажностью для установления калибровочных кривых. Во время полевого развертывания датчики повторно калибруются каждые две недели, применяются коррекция температурного дрейфа и фильтрация выбросов для повышения надежности данных. Эти меры обеспечивают точные результаты долгосрочного мониторинга.
2.4. Параметризация и оценка модели влажности поверхностных и глубинных слоев почвы
Мы использовали нелинейную модель, предложенную Бисвасом и Дасгуптой, для подгонки зависимости между влажностью поверхностного слоя почвы и запасами почвенной влаги на различных глубинах [30,31]. Используя значения влажности поверхностного слоя (0–0,2 м) в качестве входных данных, модель прогнозирует запасы почвенной влаги на глубинах от 0–0,4 м до 0–2,0 м (Уравнение (1)).
В этом уравнении S представляет запасы почвенной влаги от 0 до глубины d (м), в то время как S₀ представляет запасы влаги в поверхностном слое почвы (0–d₀ м). Константы A, B и S_c определяют нелинейную зависимость между запасами влаги в поверхностном и более глубоких слоях.
Точная оценка параметров A, B и S_c имеет важнейшее значение для надежного применения модели. Для облегчения параметризации и практического использования мы преобразовали Уравнение (1) в модель множественной линейной регрессии с помощью замены переменных (Уравнение (2)). Установив y = S - S₀, x₁ = d - d₀, x₂ = S₀ × (d - d₀)², Уравнение (2) становится моделью двумерной линейной регрессии (Уравнение (3)).
Для повышения точности модели мы использовали содержание влаги в слоях 0–0,1 м и 0,1–0,2 м в качестве критериев классификации и применили кластерный анализ по методу Евклида для классификации исходных данных профилей влажности. Производительность модели оценивалась с использованием коэффициента детерминации (R²) и относительной ошибки (RE), что позволило выбрать оптимальные параметры и сделать точные прогнозы.
2.5. Оценка эвапотранспирации сельскохозяйственных культур и суточной потребности в воде
Мы рассчитали эвапотранспирацию эталонной культуры (ET₀), используя уравнение Пенмана-Монтейта FAO56 (уравнение PM), рекомендованное Продовольственной и сельскохозяйственной организацией Объединенных Наций (FAO), которое является стандартным методом для оценки ET₀ (Уравнение (4)) [34,35]. Метеорологические данные были получены с метеостанции на экспериментальном участке.
В Уравнении (4) ET₀ представляет эвапотранспирацию эталонной культуры; R_n — чистую радиацию; ∆ — наклон кривой давления насыщенного пара при температуре T; T — среднюю температуру воздуха; U₂ — среднюю скорость ветра на высоте 2 м; G — поток тепла в почве; γ — психрометрическую постоянную; eₛ и eₐ — давление насыщенного и фактического пара (в кПа), соответственно.
Суточная потребность кукурузы в воде рассчитывалась с использованием значений коэффициента культуры (K_c), рекомендованных FAO [36]. В соответствии со стандартами FAO, вегетационный период кукурузы был разделен на четыре этапа: начальный рост (25 дней, K_c = 0,3), быстрое развитие (40 дней, K_c = 1,2), середина сезона (45 дней, K_c = 1,2) и созревание (30 дней, K_c = 0,6–0,36) [37].
В идеальных условиях суточная потребность культуры в воде или фактическая эвапотранспирация равна произведению коэффициента культуры и ET₀. Однако фактическое водопотребление сельскохозяйственных культур может не всегда соответствовать этой потребности из-за уровня влажности почвы [38]. Когда влажность почвы выше определенного порога, фактическое водопотребление равно потребности культуры в воде; когда она ниже, фактическая эвапотранспирация равна произведению потребности культуры в воде и поправочного коэффициента на влажность почвы [39,40].
Поправочный коэффициент на влажность почвы отражает фактическое содержание влаги в корнеобитаемой зоне и представляет собой отношение эвапотранспирации культуры в условиях засухи к эвапотранспирации при полном орошении [41]. Его можно аппроксимировать с помощью Уравнения (5) [42].
где θ — фактическое содержание влаги в корнеобитаемой зоне, θ_fc — полевая влагоемкость, а θ_wp — влажность завядания почвы корнеобитаемой зоны.
3. Результаты и анализ
3.1. Корреляционный анализ запасов влаги в поверхностных и глубинных слоях почвы
В Таблице 2 представлены коэффициенты корреляции и результаты проверки значимости для содержания влаги в почве между поверхностными слоями (0–0,2 м и 0–0,4 м) и более глубокими слоями в диапазоне от 0,6 м до 2,0 м (измерялись с интервалом 0,2 м). Результаты показывают, что запасы влаги в слое 0–0,2 м значительно коррелируют с запасами во всех более глубоких слоях почвы. Наиболее сильная корреляция наблюдается со слоем 0–0,4 м (коэффициент корреляции = 0,89), что указывает на сильную положительную связь. Этот результат согласуется с исследованиями Qu et al. и Si et al. [30,31], которые подчеркивают ключевую роль влажности поверхностного слоя почвы в прогнозировании динамики поверхностных почвенных процессов. Однако с увеличением глубины корреляция постепенно ослабевает, достигая коэффициента 0,56 на глубине 2,0 м. Тем не менее, общая корреляция между слоем 0–0,2 м и всем почвенным профилем 0–2,0 м остается высокозначимой.
Таблица 2. Коэффициенты корреляции между запасами влаги в поверхностном слое почвы (0–0,2 м и 0–0,4 м) и запасами влаги на различных более глубоких слоях почвы (0,2–2,0 м).
Аналогично, запасы влаги в слое 0–0,4 м показывают значительные корреляции со всеми более глубокими слоями почвы, причем наибольшая корреляция наблюдается на глубине 0–0,6 м (коэффициент корреляции = 0,90). Эта тенденция свидетельствует о том, что немного более толстый поверхностный слой почвы лучше отражает динамику влажности почвы. Как и в случае со слоем 0–0,2 м, корреляция слоя 0–0,4 м также ослабевает с глубиной, достигая 0,68 на глубине 2,0 м, хотя общая корреляция остается значимой.
Кроме того, Таблица 2 демонстрирует, что корреляции между слоем 0–0,4 м и более глубокими слоями почвы сильнее, чем между слоем 0–0,2 м и теми же более глубокими слоями. Это явление особенно заметно в корреляции с корнеобитаемой зоной 0–1,2 м, где запасы влаги в слое 0–0,4 м демонстрируют значительно более высокую корреляцию с запасами влаги в корнеобитаемой зоне по сравнению со слоем 0–0,2 м. Эти результаты указывают на то, что влажность поверхностного слоя почвы служит важнейшим ориентиром для прогнозирования запасов влаги на различных глубинах почвы.
3.2. Выбор оптимальной прогностической модели
3.2.1. Классификация точек отбора проб почвы
В полевых почвенных профилях передвижение почвенной влаги обычно зависит от различных факторов, таких как осадки, орошение, испарение из почвы и транспирация сельскохозяйственных культур, что приводит к сложным закономерностям и взаимосвязям между запасами влаги в поверхностных и глубинных слоях почвы. Предварительная обработка и анализ экспериментальных данных выявили, что количество и характеристики распределения поверхностной влажности почвы на различных уровнях значительно влияют на точность прогностических моделей.
Для учета этих вариаций мы выбрали три поверхностных слоя почвы (0–0,1 м, 0,1–0,2 м и 0,2–0,4 м) в качестве индикаторов, представляющих характеристики влажности почвы для каждого профиля отбора проб. В общей сложности 75 почвенных профилей были классифицированы с использованием метода локтя — эвристической техники кластеризации — на основе значений запасов влаги трех поверхностных слоев (Рисунок 3). Профили были разделены на три отдельных класса: Класс 1 (22 образца), Класс 2 (39 образцов) и Класс 3 (14 образцов). Все образцы также были объединены в Класс 4 для всестороннего анализа.
Рисунок 3. Определение оптимального количества кластеров с помощью метода локтя (слева) и пространственное распределение кластеров влажности почвы (справа), полученное с помощью кластеризации K-средних. Единицы измерения на правом графике представляют содержание влаги в почве (%) по всей исследуемой области.
На Рисунке 4 проиллюстрирован процесс выявления и удаления выбросов из данных о влажности почвы для обеспечения точной подгонки модели и оценки. Этот процесс играет ключевую роль в повышении надежности классификации и прогнозирования влажности почвы. Выбросы часто возникают из-за неконтролируемых факторов, таких как сбои датчиков, воздействие окружающей среды или ошибки передачи данных, и их удаление необходимо для точной кластеризации и моделирования.
Рисунок 4. Процесс выявления и удаления выбросов из данных о влажности почвы для обеспечения точной подгонки модели и оценки.
Класс 1: Среднее содержание влаги в трех верхних слоях составляло 0,075 м³/м³, что позволяет предположить, что эти профили, возможно, испытывали длительную засуху с ограниченным количеством осадков или орошением. Из-за недостатка водоснабжения и минимальной эвапотранспирации содержание влаги было низким, и вода с большей вероятностью перемещалась из более глубоких слоев к поверхности за счет капиллярного поднятия.
Класс 2: Среднее содержание влаги составляло 0,141 м³/м³, что указывает на промежуточное состояние между сухими и влажными условиями. В этих профилях распределение влаги отражало динамическое равновесие между испарением, транспирацией и пополнением более глубоких слоев почвы, что характерно для богарных систем земледелия.
Класс 3: Среднее содержание влаги составляло 0,212 м³/м³, что свидетельствует о том, что на эти профили повлияли недавние дожди или события орошения, при этом влага двигалась вниз для пополнения более глубокого слоя почвы.
Эти классификации подчеркивают изменчивость условий влажности почвы и влияние методов управления водными ресурсами на запасы почвенной влаги. Сегментируя данные, мы стремимся повысить предсказательную силу модели Бисваса, учитывая вариации в передвижении воды в различных поверхностных слоях.
3.2.2. Подгонка и сравнительный анализ параметров модели Бисваса по категориям наборов данных
В этом исследовании алгоритм RANSAC (Random Sample Consensus) был применен с использованием модуля RANSAC Regressor из библиотеки Scikit-learn для обнаружения и оценки выбросов в наборах данных. Наблюдения, отклоняющиеся более чем на 15 мм от измеренных значений, классифицировались как выбросы. Этот порог был определен на основе характеристик распределения исходных данных и практической точности измерений датчиков влажности почвы.
Модуль RANSAC был выполнен в течение 10 000 итераций, все остальные параметры были установлены на оптимальные значения по умолчанию для обеспечения стабильности и точности идентификации выбросов. После обработки примерно 5,6% исходного набора данных были идентифицированы как выбросы и впоследствии удалены из анализа. Эта доля является разумной, учитывая неизбежный шум окружающей среды и периодические ошибки датчиков, возникающие при сборе полевых данных.
Обоснование удаления выбросов заключается в следующем:
(1) Минимизация ошибок измерения: Сохранение значительно отклоняющихся данных может сильно исказить процесс подгонки модели, что приведет к неточной оценке параметров.
(2) Повышение устойчивости модели: Удаление экстремальных отклонений позволяет модели Бисваса лучше отражать истинную зависимость между запасами влаги в поверхностных и глубинных слоях почвы.
(3) Соответствие полевым условиям: Отклонения, превышающие 15 мм, обычно возникают из-за сбоев датчиков или аномалий данных, а не из-за фактических изменений окружающей среды.
Результаты подгонки модели Бисваса после удаления выбросов представлены в Таблице 3, где обобщены параметры (A, B, S_c) и их статистическая значимость.
Таблица 3. Результаты подгонки параметров и оценки модели Бисваса после удаления выбросов на основе четырех различных наборов данных о влажности почвы.
Интегрируя алгоритм RANSAC с параметрами модели Бисваса, мы эффективно исключили выбросы и достигли надежной подгонки модели по четырем наборам данных. Все наборы данных показали значения R², превышающие 0,97, что демонстрирует ключевую роль RANSAC в повышении точности и надежности модели за счет эффективного обнаружения выбросов.
Параметры модели Бисваса — A, B и S_c — были статистически значимыми на уровне 0,01, что подтверждает их надежность. Эти параметры раскрывают зависимость между запасами влаги в поверхностных и глубинных слоях почвы при различных условиях влажности. A представляет линейную зависимость между запасами влаги в поверхностных и глубинных слоях; B отражает нелинейную зависимость; а S_c служит базовой зависимостью между содержанием влаги на поверхности и на глубине.
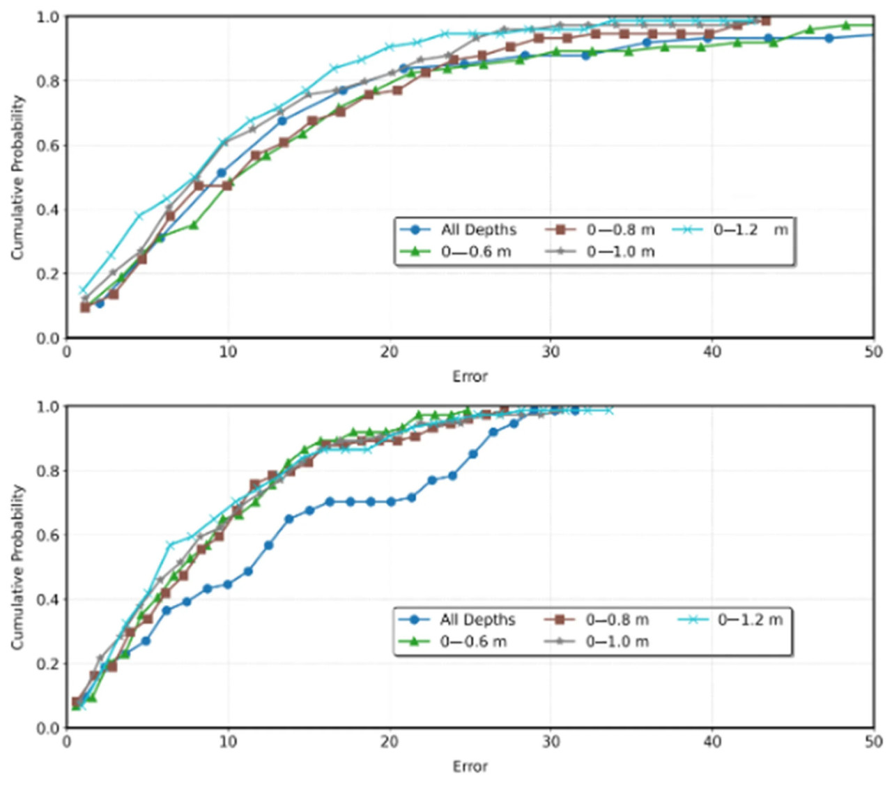
Для дальнейшей оценки производительности модели мы сравнили относительные ошибки между расчетными и наблюдаемыми значениями, используя кумулятивные функции распределения вероятностей, как показано на Рисунке 5.
Рисунок 5. Кумулятивное распределение вероятностей относительных ошибок между прогнозируемыми и измеренными значениями влажности почвы на разных глубинах (0–0,2 м, 0,2–0,4 м и более глубокие слои). Рисунок иллюстрирует точность модели Бисваса в прогнозировании динамики влажности почвы, где в качестве метрики оценки используется относительная ошибка (%).
Сравнение между классифицированными и неклассифицированными наборами данных дополнительно подчеркивает влияние классификации данных на производительность модели. Для классифицированных наборов данных средние абсолютные относительные ошибки находились в диапазоне от 8,91% до 9,56%, в то время как неклассифицированные наборы данных показали более широкий диапазон ошибок от 10,19% до 15,78% (Рисунок 5). Стандартные отклонения классифицированных наборов данных находились в диапазоне от 7,31% до 7,59%, что указывает на более согласованное распределение ошибок. Напротив, неклассифицированные наборы данных показали большую изменчивость со стандартными отклонениями в диапазоне от 8,79% до 15,98%. Максимальная ошибка в неклассифицированных данных достигла 94,34%, что значительно превышает 36,39%, наблюдаемые в классифицированных данных, демонстрируя устойчивость модели классификации к обработке экстремальных значений.
Эти результаты согласуются с предыдущими исследованиями, в которых сообщалось о снижении ошибки на 20–30% благодаря классификации набора данных. Наши результаты подтверждают эти выводы, в частности для приложений, включающих многослойные глубины почвы.
Мы дополнительно сравнили точность прогнозирования на различных глубинах почвы (0–0,6 м, 0–0,8 м, 0–1,0 м и 0–1,2 м). Классифицированные наборы данных превзошли неклассифицированные на всех глубинах: более чем у 93% прогнозов ошибки были ниже 20%, а более чем у 90% — ниже 15%. Напротив, для неклассифицированных данных только глубина 0–1,2 м достигла точности более 92% для ошибок ниже 20%, в то время как на других глубинах точность для ошибок ниже 20% составила менее 80%. Эти результаты дополнительно подчеркивают эффективность классификации в повышении точности прогнозирования в различных почвенных горизонтах.
3.3. Прогнозирование суточных запасов почвенной влаги, переменных и изменений эвапотранспирации сельскохозяйственных культур
Используя ежедневные метеорологические данные по району исследования, уравнение Пенмана-Монтейта (Уравнение (4)), коэффициенты культуры и поправочные коэффициенты на влажность почвы (Уравнение (5)) в сочетании с моделью Бисваса, предложенной в данном исследовании, и датчиками влажности почвы, контролирующими запасы влаги в слое 0–0,2 м, мы проанализировали суточные колебания запасов почвенной влаги в почвенном профиле 0–2 м на протяжении всего вегетационного периода кукурузы. Наш всесторонний анализ и прогнозы не только изучили ежедневное истощение и пополнение почвенной влаги, но и количественно определили эталонную эвапотранспирацию (ET₀) и фактическую эвапотранспирацию (ETₐ) для кукурузы (Рисунок 6).
Рисунок 6. Суточные колебания запасов почвенной влаги, эталонной эвапотранспирации сельскохозяйственных культур, фактической эвапотранспирации и динамика почвенной влаги на протяжении всего цикла роста кукурузы. Рисунок иллюстрирует взаимосвязи между мониторингом влажности поверхностного слоя почвы и водопотреблением сельскохозяйственных культур, давая представление об изменениях запасов воды и процессах эвапотранспирации. Единицы измерения: запасы почвенной влаги (мм), эвапотранспирация (мм/день).
3.3.1. Динамическая взаимосвязь между осадками и запасами почвенной влаги
В период с 13 мая 2023 г. по 4 октября 2023 г. наше исследование выявило, что осадки являются основным фактором, влияющим как на уровень влажности почвы, так и на эвапотранспирацию сельскохозяйственных культур в полевых условиях. Осадки значительно варьировались: суточное количество осадков колебалось от 0 мм до 33,2 мм, что сильно влияло на поглощение воды и рост сельскохозяйственных культур в богарных условиях. В дни с высоким количеством осадков содержание влаги в почве заметно увеличивалось, в то время как засушливые периоды приводили к существенным потерям на испарение. Эти результаты согласуются с данными Jaramillo (2020), который сообщил, что интенсивность и частота выпадения осадков играют ключевую роль в определении динамики влажности почвы и здоровья сельскохозяйственных культур в богарных системах земледелия [43].
Кроме того, физические и химические свойства почвы, такие как текстура, пористость и уровень содержания питательных веществ, влияли как на время удержания почвенной влаги, так и на эффективность водопотребления сельскохозяйственными культурами [44,45]. Анализ запасов влаги на различных глубинах почвы выявил, что в слое почвы 0–2 м в течение вегетационного периода наблюдались колебания от 249,58 мм до 424,53 мм (Рисунок 6). Расчеты водного баланса показали, что запасы почвенной влаги на глубине 0–2 м уменьшились на 174,95 мм, с 424,53 мм 13 мая до 249,58 мм 4 октября, что отражает существенную изменчивость динамики почвенной влаги.
3.3.2. Оценка эвапотранспирации и точности модели
За вегетационный период кукурузы общее количество осадков составило 274,35 мм. С учетом 5% задержки пологом, фактическая эвапотранспирация, рассчитанная с использованием модели водного баланса, составила 435,58 мм [46,47]. Между тем, фактическая эвапотранспирация, оцененная на основе измеренных запасов влаги в поверхностном слое почвы (0–0,2 м), составила 390,91 мм, с относительной ошибкой всего 10,25% по сравнению с расчетом водного баланса, что демонстрирует высокую надежность нашей модели. Кроме того, совокупная фактическая эвапотранспирация, полученная как произведение эталонной эвапотранспирации (615,84 мм) и коэффициентов культуры, составила 566,41 мм, что тесно отражает наблюдаемые полевые тенденции. Эти результаты согласуются с Kumar et al. (2023), которые подчеркнули, что комбинирование многопараметрических моделей с мониторингом на основе датчиков значительно повышает точность прогнозов эвапотранспирации [48].
3.3.3. Динамика влажности почвы на разных глубинах
Как показано на Рисунке 6, динамика запасов почвенной влаги демонстрировала сходные закономерности на различных глубинах. Сравнение слоев 0–0,6 м и 0–1,2 м показало, что поверхностные слои почвы быстрее реагируют на выпадение осадков, с быстрым пополнением запасов влаги после дождя. Однако эти слои также испытывали более выраженную потерю влаги в засушливые периоды. Напротив, изменения влажности почвы ниже 1 м были менее изменчивы и в основном определялись водопотреблением корней сельскохозяйственных культур и испарением из почвы. Это наблюдение согласуется с выводами Gebre et al. (2021), которые отметили, что изменчивость влажности почвы зависит не только от осадков, но и от глубины корней и эффективности извлечения воды [49].
Наше исследование демонстрирует, что предложенная модель сохраняет высокую точность прогнозирования даже в экстремальных погодных условиях, таких как последовательные дожди или продолжительные засухи, что является заметным улучшением по сравнению с традиционными эмпирическими методами. Аналогичные исследования также показали, что интеграция мониторинга влажности почвы с передовыми прогностическими моделями повышает способность эффективно управлять водными ресурсами [50,51,52].
Путем динамического мониторинга и анализа запасов почвенной влаги на глубине 0–2 м, это исследование подчеркивает сложные взаимодействия между осадками, физическими свойствами почвы и эвапотранспирацией. Результаты подтверждают, что динамика влажности почвы в богарных условиях не только влияет на рост сельскохозяйственных культур, но и значительно воздействует на сезонные закономерности эвапотранспирации. В соответствии с результатами Bwambale et al. (2023) и Mardani et al. (2023), наше исследование подчеркивает важность сочетания мониторинга на основе датчиков с анализом на основе моделей для оптимизации стратегий управления водными ресурсами [53,54].
4. Обсуждение
В этом исследовании был предложен и подтвержден высокопроизводительный метод мониторинга влажности сельскохозяйственных почв путем интеграции дистанционных датчиков влажности почвы с региональной статистической моделью. Используя возможности высокоэффективного сбора данных беспроводных сенсорных сетей и прогностическую силу модели Бисваса, этот подход позволил достичь мониторинга запасов почвенной влаги в реальном времени как в поверхностных, так и в более глубоких слоях почвы с отличной точностью, экономической эффективностью и масштабируемостью. Это обеспечивает надежный инструмент для точного земледелия, поддерживая теоретические разработки и практические приложения в области управления водными ресурсами.
4.1. Обсуждение запасов влаги в поверхностных и глубинных слоях почвы
Исследование выявило значительную корреляцию между запасами влаги в поверхностных и глубинных слоях почвы, причем наиболее сильная зависимость наблюдалась на глубине поверхности 0–0,6 м (коэффициент корреляции = 0,90). Это указывает на то, что влажность поверхностного слоя почвы может служить надежным предиктором динамики влаги в более глубоких слоях. Аналогичные результаты были получены Qu et al. (2018), которые продемонстрировали, что влажность поверхностного слоя почвы эффективно отражает активность корней и водопотребление из глубоких слоев почвы [30]. Также Si et al. (2020) подчеркнули ключевую роль влажности поверхностного слоя почвы в прогнозировании содержания влаги в подпочве, дополнительно подтверждая ее полезность для оценки влажности [31].
Наблюдаемое снижение корреляции с увеличением глубины согласуется с выводами Liu et al. (2019), которые отметили, что подвижность почвенной влаги уменьшается с глубиной из-за снижения гидравлической проводимости и большей зависимости от структуры и текстуры почвы [55]. Кроме того, Ma et al. (2020) обнаружили, что распределение корней значительно влияет на взаимодействие почвенной влаги, причем культуры с поверхностной корневой системой, такие как кукуруза, демонстрируют более тесную связь между влажностью поверхностных и глубинных слоев в ключевые фазы роста [56].
Результаты подтверждают научную обоснованность использования влажности поверхностного слоя почвы в качестве индикатора для мониторинга. С практической точки зрения, фокусировка на поверхностных слоях (0–0,6 м) может снизить затраты на развертывание датчиков, сохраняя при этом точность прогнозирования. Интеграция моделей роста корней с данными о поверхностной влажности может дополнительно оптимизировать прогнозы для различных фаз роста сельскохозяйственных культур, повышая эффективность управления водными ресурсами.
4.2. Сравнительный анализ классификации наборов данных
В этом исследовании использовался метод локтя для классификации точек отбора проб почвы на основе характеристик поверхностной влажности, что значительно повысило прогностическую способность модели Бисваса. После классификации ошибки прогнозирования были снижены на 15–25%, а стандартное отклонение заметно уменьшилось. Этот результат согласуется с выводами Nguyen et al. (2022), которые продемонстрировали, что классификация данных эффективно улучшает производительность моделей влажности почвы, снижая ошибки примерно на 20% [57].
Lopez-Jimenez et al. (2022) также сообщили, что методы классификации данных могут отражать пространственную неоднородность распределения влажности почвы, повышая как стабильность, так и адаптируемость прогностических моделей [58]. Данное исследование поддерживает эти выводы, демонстрируя, что классификация набора данных не только сужает диапазоны ошибок, но и стабилизирует прогнозы в различных многослойных почвенных горизонтах. Кроме того, аналогичные методы были изучены Salehi et al. (2021), которые применили кластеризацию K-средних для группировки характеристик влажности почвы, успешно смягчая влияние аномалий и повышая точность модели [59]. В сравнении, метод локтя, использованный в этом исследовании, является более простым, практичным и подходящим для крупномасштабных развертываний на сельскохозяйственных угодьях, предлагая баланс между эффективностью и производительностью.
Будущие исследования могут интегрировать передовые методы машинного обучения для классификации, такие как случайный лес или метод опорных векторов (SVM), для дальнейшего повышения точности классификации и решения задач, связанных со сложным рельефом и динамическими условиями влажности почвы.
4.3. Применение алгоритма RANSAC и повышение точности модели
Для решения проблемы влияния выбросов на точность прогнозирования в это исследование был включен алгоритм RANSAC в модель Бисваса. Результаты показали, что все наборы данных достигли значений R², превышающих 0,97, демонстрируя эффективность алгоритма в выявлении и исключении аномалий при обеспечении точной подгонки параметров. Аналогичные результаты наблюдались в работе Yang et al. (2021), которые применили устойчивые методы регрессии для удаления шума и улучшения прогнозов влажности почвы [60].
Более того, Salehi et al. (2022) продемонстрировали, что интеграция методов обнаружения выбросов со статистическими моделями значительно снижает ошибки прогнозирования, особенно в разреженных или зашумленных наборах данных [59]. Данное исследование расширяет их выводы, объединяя алгоритм RANSAC с региональной статистической моделью, достигая превосходной точности и стабильности в сложных условиях окружающей среды.
Устойчивость RANSAC в экстремальных погодных условиях, таких как непрерывные дожди или продолжительная засуха, была дополнительно подтверждена. Например, Jaramillo et al. (2021) подчеркнули уязвимость традиционных моделей к аномалиям во время экстремальных погодных явлений, акцентируя важность устойчивых алгоритмов для поддержания точности прогнозирования [43]. Результаты этого исследования подтверждают, что модели, усиленные RANSAC, могут эффективно решать эти задачи, предлагая надежные решения для мониторинга влажности почвы в динамичных сельскохозяйственных условиях.
4.4. Анализ динамики осадков и влажности почвы
Осадки играют доминирующую роль во влиянии на динамику влажности почвы, в частности в богарных системах земледелия. Это исследование показало, что интенсивность и частота выпадения осадков напрямую определяют пространственное распределение и временную динамику влажности почвы. Эти результаты согласуются с Nigatu et al. (2021), которые продемонстрировали, что колебания осадков значительно влияют на влажность почвы, особенно в поверхностных слоях [61].
Nguyen et al. (2022) дополнительно подчеркнули быструю реакцию влажности поверхностного слоя почвы на выпадение осадков, отметив, что скорость инфильтрации в более глубокие слои ограничена текстурой почвы и интенсивностью осадков [57]. В этом исследовании наблюдались аналогичные тенденции, когда влажность поверхностного слоя почвы демонстрировала немедленные изменения после выпадения осадков, в то время как более глубокие слои реагировали медленнее, что подчеркивает важность мониторинга поверхностной влажности для точного прогнозирования динамики воды.
Кроме того, Yi et al. (2022) сообщили, что во время продолжительных засух скорость истощения почвенной влаги значительно возрастает, при этом поверхностные слои играют ключевую роль в балансировании дефицита почвенной влаги [62]. Данное исследование подтверждает эти наблюдения, особенно в течение вегетационного периода кукурузы, подчеркивая ключевое влияние осадков на динамику влажности почвы и их значение для управления засухами и дренажем.
4.5. Преимущества и практическое применение предложенного метода
Предложенный метод демонстрирует значительные преимущества в точности, экономической эффективности и масштабируемости по сравнению с существующими подходами. В то время как Nguyen et al. (2022) объединили дистанционное зондирование со статистическими моделями для прогнозирования влажности почвы [57], данное исследование достигло более высокой точности (R² > 0,97) с использованием более простой реализации на основе датчиков, что делает его более практичным для крупномасштабных развертываний.
Интегрируя классификацию набора данных и алгоритм RANSAC, метод эффективно решает проблемы пространственной неоднородности и аномалий, снижая ошибки прогнозирования на 15–25%. Аналогичное снижение ошибок было достигнуто в работе Lopez-Jimenez et al. (2022), где методы классификации и устойчивой регрессии улучшили производительность модели на 20–30% [58].
Этот метод особенно подходит для богарного земледелия и регионов с дефицитом воды, обеспечивая мониторинг влажности почвы в реальном времени и в крупных масштабах для поддержки точного орошения и управления водными ресурсами. Будущие исследования могут интегрировать Интернет вещей (IoT) и облачные платформы для обеспечения сбора, обработки и принятия решений в реальном времени, дальнейшего продвижения интеллектуального управления водными ресурсами в сельском хозяйстве.
5. Выводы и ограничения
5.1. Выводы
В этом исследовании был разработан эффективный и экономически эффективный метод мониторинга влажности почвы, который интегрирует беспроводные сенсорные сети с региональной статистической моделью. Предложенный подход успешно достиг мониторинга и прогнозирования запасов почвенной влаги в реальном времени от поверхности до более глубоких слоев. Основные результаты заключаются в следующем.
(1) Корреляция между влажностью поверхностных и глубинных слоев почвы
Наиболее сильная корреляция наблюдалась между влажностью поверхностного слоя почвы 0–0,6 м и запасами влаги в более глубоких слоях, что подчеркивает надежность поверхностной влажности как индикатора для прогнозирования многослойной динамики воды.
(2) Эффективность классификации набора данных
Классификация наборов данных на основе характеристик поверхностной влажности значительно снизила ошибки прогнозирования (на 15–25%), улучшив устойчивость и применимость модели, в частности для прогнозов на многослойных глубинах.
(3) Применение алгоритма RANSAC
Алгоритм RANSAC эффективно выявлял и исключал выбросы, улучшая подгонку параметров и значительно повышая точность прогнозирования: все наборы данных достигли значений R², превышающих 0,97.
(4) Доминирующая роль осадков
Интенсивность и частота выпадения осадков были определены как основные факторы, влияющие на динамику влажности почвы. Модель продемонстрировала высокую стабильность и точность прогнозирования в различных погодных условиях, эффективно отражая изменения влажности почвы.
Таким образом, этот метод обеспечивает высокоточную и недорогую техническую поддержку для мониторинга влажности на сельскохозяйственных угодьях, позволяя осуществлять эффективное точное орошение и управление водными ресурсами. Он особенно подходит для богарных систем земледелия и регионов с ограниченными ресурсами, предлагая научную основу для оптимизации сельскохозяйственного производства и содействия устойчивому развитию.
5.2. Ограничения и будущие перспективы
Несмотря на многообещающие результаты, это исследование имеет несколько ограничений, которые необходимо устранить в будущих исследованиях.
(1) Частота мониторинга
В течение ранней стадии роста кукурузы (до выхода в трубку) было собрано ограниченное количество данных, что оставило пробелы в ключевые периоды. Будущие исследования должны оптимизировать частоту мониторинга, уделяя особое внимание сбору данных до и после выпадения осадков, а также на засушливых этапах.
(2) Применимость к сельскохозяйственным культурам
Это исследование было в основном сосредоточено на кукурузе, и метод еще предстоит подтвердить для других культур с различной структурой корней и характеристиками водопотребления. Расширение подхода на разные культуры поможет проверить его универсальность и адаптируемость.
(3) Ограничения пространственного масштаба
Исследование было сосредоточено на динамике влажности почвы в пределах локальных сельскохозяйственных угодий. Будущие исследования должны интегрировать технологии дистанционного зондирования и географических информационных систем (ГИС) для расширения пространственного масштаба, обеспечивая мониторинг влажности почвы на региональном или глобальном уровнях.
(4) Технологическая интеграция
Интеграция сенсорных сетей с платформами Интернета вещей (IoT), облачными вычислениями и технологиями больших данных могла бы расширить возможности мониторинга в реальном времени и поддержать интеллектуальные системы принятия решений. Такие достижения повысили бы автоматизацию и точность в управлении водными ресурсами.
Устраняя эти ограничения, будущие исследования могут дополнительно повысить точность, адаптируемость и масштабируемость предложенного метода. Это будет способствовать всесторонней поддержке точного орошения и управления водными ресурсами для различных культур и регионов, что в конечном итоге будет способствовать устойчивому развитию сельского хозяйства и эффективному использованию ресурсов.
Ссылки
1. Srivastav, A.L.; Dhyani, R.; Ranjan, M.; Madhav, S.; Sillanpää, M. Climate-resilient strategies for sustainable management of water resources and agriculture. Environ. Sci. Pollut. Res. 2021, 28, 41576–41595. [Google Scholar] [CrossRef]
2. Nikolaou, G.; Neocleous, D.; Christou, A.; Kitta, E.; Katsoulas, N. Implementing sustainable irrigation in water-scarce regions under the impact of climate change. Agronomy 2020, 10, 1120. [Google Scholar] [CrossRef]
3. Chen, L.; Chang, J.; Wang, Y.; Guo, A.; Liu, Y.; Wang, Q.; Zhu, Y.; Zhang, Y.; Xie, Z. Disclosing the future food security risk of China based on crop production and water scarcity under diverse socioeconomic and climate scenarios. Sci. Total Environ. 2021, 790, 148110. [Google Scholar] [CrossRef]
4. Liu, X.; Liu, W.; Tang, Q.; Liu, B.; Wada, Y.; Yang, H. Global agricultural water scarcity assessment incorporating blue and green water availability under future climate change. Earth’s Future 2022, 10, e2021EF002567. [Google Scholar] [CrossRef]
5. de Jong, S.M.; Heijenk, R.A.; Nijland, W.; van Der Meijde, M. Monitoring soil moisture dynamics using electrical resistivity tomography under homogeneous field conditions. Sensors 2020, 20, 5313. [Google Scholar] [CrossRef]
6. Qin, A.; Ning, D.; Liu, Z.; Duan, A. Analysis of the accuracy of an FDR sensor in soil moisture measurement under laboratory and field conditions. J. Sens. 2021, 2021, 6665829. [Google Scholar] [CrossRef]
7. Fang, B.; Kansara, P.; Dandridge, C.; Lakshmi, V. Drought monitoring using high spatial resolution soil moisture data over Australia in 2015–2019. J. Hydrol. 2021, 594, 125960. [Google Scholar] [CrossRef]
8. Khellouk, R.; Barakat, A.; Boudhar, A.; Hadria, R.; Lionboui, H.; El Jazouli, A.; Rais, J.; El Baghdadi, M.; Benabdelouahab, T. Spatiotemporal monitoring of surface soil moisture using optical remote sensing data: A case study in a semi-arid area. J. Spat. Sci. 2020, 65, 481–499. [Google Scholar] [CrossRef]
9. Zhang, Z.; Zhu, L. A review on unmanned aerial vehicle remote sensing: Platforms, sensors, data processing methods, and applications. Drones 2023, 7, 398. [Google Scholar] [CrossRef]
10. Asadzadeh, S.; de Oliveira, W.J.; de Souza Filho, C.R. UAV-based remote sensing for the petroleum industry and environmental monitoring: State-of-the-art and perspectives. J. Pet. Sci. Eng. 2022, 208, 109633. [Google Scholar] [CrossRef]
11. Mukhlisin, M.; Astuti, H.W.; Wardihani, E.D.; Matlan, S.J. Techniques for ground-based soil moisture measurement: A detailed overview. Arab. J. Geosci. 2021, 14, 1–34. [Google Scholar]
12. Jabro, J.D.; Stevens, W.B.; Iversen, W.M. Comparing two methods for measuring soil bulk density and moisture content. Open J. Soil Sci. 2020, 10, 233–243. [Google Scholar] [CrossRef]
13. Singh, A.; Gaurav, K.; Sonkar, G.K.; Lee, C.C. Strategies to measure soil moisture using traditional methods, automated sensors, remote sensing, and machine learning techniques: Review, bibliometric analysis, applications, research findings, and future directions. IEEE Access 2023, 11, 13605–13635. [Google Scholar] [CrossRef]
14. Li, Z.L.; Leng, P.; Zhou, C.; Chen, K.S.; Zhou, F.C.; Shang, G.F. Soil moisture retrieval from remote sensing measurements: Current knowledge and directions for the future. Earth-Sci. Rev. 2021, 218, 103673. [Google Scholar]
15. Jeong, J.; Lee, S.; Cho, S.; Kim, K.; Choi, M. Multi-scale assessment of a cosmic-ray neutron probe observation of soil moisture for surface layer applications in a mountainous forest environment. Agric. For. Meteorol. 2024, 356, 110155. [Google Scholar] [CrossRef]
16. Rasheed, M.W.; Tang, J.; Sarwar, A.; Shah, S.; Saddique, N.; Khan, M.U.; Sultan, M. Soil moisture measuring techniques and factors affecting the moisture dynamics: A comprehensive review. Sustainability 2022, 14, 11538. [Google Scholar] [CrossRef]
17. Li, J.; Pei, Y.; Zhao, S.; ao, R.; Sang, X.; Zhang, C. A review of remote sensing for environmental monitoring in China. Remote Sens. 2020, 12, 1130. [Google Scholar] [CrossRef]
18. Brocca, L.; Gaona, J.; Bavera, D.; Fioravanti, G.; Puca, S.; Ciabatta, L.; Filippucci, P.; Mosaffa, H.; Esposito, G.; Roberto, N.; et al. Exploring the actual spatial resolution of 1 km satellite soil moisture products. Sci. Total Environ. 2024, 945, 174087. [Google Scholar] [CrossRef]
19. Dari, J.; Quintana-Seguí, P.; Escorihuela, M.J.; Stefan, V.; Brocca, L.; Morbidelli, R. Detecting and mapping irrigated areas in a Mediterranean environment by using remote sensing soil moisture and a land surface model. J. Hydrol. 2021, 596, 126129. [Google Scholar] [CrossRef]
20. Jiao, W.; Wang, L.; McCabe, M.F. Multi-sensor remote sensing for drought characterization: Current status, opportunities, and a roadmap for the future. Remote Sens. Environ. 2021, 256, 112313. [Google Scholar]
21. Chen, J.; Chen, S.; Fu, R.; Li, D.; Jiang, H.; Wang, C.; Peng, Y.; Jia, K.; Hicks, B.J. Remote sensing big data for water environment monitoring: Current status, challenges, and future prospects. Earth’s Future 2022, 10, e2021EF002289. [Google Scholar]
22. Acharya, B.S.; Bhandari, M.; Bandini, F.; Pizarro, A.; Perks, M.; Joshi, D.R.; Wang, S.; Dogwiler, T.; Ray, R.L.; Kharel, G.; et al. Unmanned aerial vehicles in hydrology and water management: Applications, challenges, and perspectives. Water Resour. Res. 2021, 57, e2021WR029925. [Google Scholar]
23. Sanjeevi, P.; Prasanna, S.; Siva Kumar, B.; Gunasekaran, G.; Alagiri, I.; Vijay Anand, R. Precision agriculture and farming using Internet of Things based on wireless sensor network. Trans. Emerg. Telecommun. Technol. 2020, 31, e3978. [Google Scholar] [CrossRef]
24. Lloret, J.; Sendra, S.; Garcia, L.; Jimenez, J.M. A wireless sensor network deployment for soil moisture monitoring in precision agriculture. Sensors 2021, 21, 7243. [Google Scholar] [CrossRef]
25. Gsangaya, K.R.; Hajjaj, S.S.H.; Sultan, M.T.H.; Hua, L.S. Portable, wireless, and effective Internet of Things-based sensors for precision agriculture. Int. J. Environ. Sci. Technol. 2020, 17, 3901–3916. [Google Scholar]
26. Yu, L.; Tao, S.; Ren, Y.; Gao, W.; Liu, X.; Hu, Y.; Shamshiri, R.R. Comprehensive evaluation of soil moisture sensing technology applications based on analytic hierarchy process and Delphi. Agriculture 2021, 11, 1116. [Google Scholar] [CrossRef]
27. Placidi, P.; Morbidelli, R.; Fortunati, D.; Papini, N.; Gobbi, F.; Scorzoni, A. Monitoring soil and ambient parameters in the IoT precision agriculture scenario: An original modeling approach dedicated to low-cost soil water content sensors. Sensors 2021, 21, 5110. [Google Scholar] [CrossRef]
28. Li, W.; Awais, M.; Ru, W.; Shi, W.; Ajmal, M.; Uddin, S.; Liu, C. Review of sensor network-based irrigation systems using IoT and remote sensing. Adv. Meteorol. 2020, 2020, 8396164. [Google Scholar]
29. Levintal, E.; Ganot, Y.; Taylor, G.; Freer-Smith, P.; Suvocarev, K.; Dahlke, H.E. An underground, wireless, open-source, low-cost system for monitoring oxygen, temperature, and soil moisture. SOIL Discuss. 2021, 2021, 1–22. [Google Scholar]
30. Qu, T.; Li, Y.; Zhao, Q.; Yin, Y.; Wang, Y.; Li, F.; Zhang, W. Drone-based multispectral remote sensing inversion for typical crop soil moisture under dry farming conditions. Agriculture 2024, 14, 484. [Google Scholar] [CrossRef]
31. Si, S.; Li, D. Study on the inversion model of deep soil moisture content in the Lower Yellow River Diversion Irrigation Area. People’s Yellow River 2023, 45, 124–127+142. [Google Scholar]
32. Wu, D.; Wang, T.; Di, C.; Wang, L.; Chen, X. Investigation of controls on the regional soil moisture spatiotemporal patterns across different climate zones. Sci. Total Environ. 2020, 726, 138214. [Google Scholar]
33. de Queiroz, M.G.; da Silva, T.G.F.; Zolnier, S.; Jardim, A.M.D.R.F.; de Souza, C.A.A.; Júnior, G.D.N.A.; de Souza, L.S.B. Spatial and temporal dynamics of soil moisture for surfaces with a change in land use in the semi-arid region of Brazil. Catena 2020, 188, 104457. [Google Scholar]
34. McColl, K.A. Practical and theoretical benefits of an alternative to the Penman-Monteith evapotranspiration equation. Water Resour. Res. 2020, 56, e2020WR027106. [Google Scholar]
35. Li, Y.; Qin, Y.; Rong, P. Evolution of potential evapotranspiration and its sensitivity to climate change based on the Thornthwaite, Hargreaves, and Penman–Monteith equation in environmentally sensitive areas of China. Atmos. Res. 2022, 273, 106178. [Google Scholar]
36. Dingre, S.K.; Gorantiwar, S.D. Determination of the water requirement and crop coefficient values of sugarcane by field water balance method in semiarid region. Agric. Water Manag. 2020, 232, 106042. [Google Scholar]
37. Guo, H.; Li, S.; Kang, S.; Du, T.; Tong, L.; Hao, X.; Ding, R. Crop coefficient for spring maize under plastic mulch based on 12-year eddy covariance observation in the arid region of Northwest China. J. Hydrol. 2020, 588, 125108. [Google Scholar]
38. Marwa, M.A.; El-Shafie, A.F.; Dewedar, O.M.; Molina-Martinez, J.M.; Ragab, R. Predicting the water requirement, soil moisture distribution, yield, and water productivity of peas and the impact of climate change using the SALTMED model. Plant Arch. 2020, 20, 3673–3689. [Google Scholar]
39. Pereira, L.S.; Paredes, P.; López-Urrea, R.; Hunsaker, D.J.; Mota, M.; Shad, Z.M. Standard single and basal crop coefficients for vegetable crops: An update of the FAO56 crop water requirements approach. Agric. Water Manag. 2021, 243, 106196. [Google Scholar]
40. Pereira, L.S.; Paredes, P.; Hunsaker, D.J.; López-Urrea, R.; Shad, Z.M. Standard single and basal crop coefficients for field crops: Updates and advances to the FAO56 crop water requirements method. Agric. Water Manag. 2021, 243, 106466. [Google Scholar]
41. Xu, L.; Chen, N.; Zhang, X.; Moradkhani, H.; Zhang, C.; Hu, C. In-situ and triple-collocation-based evaluations of eight global root zone soil moisture products. Remote Sens. Environ. 2021, 254, 112248. [Google Scholar]
42. Pereira, L.S.; Paredes, P.; Jovanovic, N. Soil water balance models for determining crop water and irrigation requirements and irrigation scheduling focusing on the FAO56 method and the dual Kc approach. Agric. Water Manag. 2020, 241, 106357. [Google Scholar]
43. Jaramillo, S.; Graterol, E.; Pulver, E. Sustainable transformation of rainfed to irrigated agriculture through water harvesting and smart crop management practices. Front. Sustain. Food Syst. 2020, 4, 437086. [Google Scholar]
44. Wang, L.; He, Z.; Zhao, W.; Wang, C.; Ma, D. Fine soil texture is conducive to crop productivity and nitrogen retention in irrigated cropland in a desert-oasis ecotone, Northwest China. Agronomy 2022, 12, 1509. [Google Scholar] [CrossRef]
45. Kang, M.W.; Yibeltal, M.; Kim, Y.H.; Oh, S.J.; Lee, J.C.; Kwon, E.E.; Lee, S.S. Enhancement of soil physical properties and soil water retention with biochar-based soil amendments. Sci. Total Environ. 2022, 836, 155746. [Google Scholar]
46. Zhang, Q.; Lv, X.; Yu, X.; Ni, Y.; Ma, L.; Liu, Z. Species and spatial differences in vegetation rainfall interception capacity: A synthesis and meta-analysis in China. Catena 2022, 213, 106223. [Google Scholar]
47. Grunicke, S.; Queck, R.; Bernhofer, C. Long-term investigation of forest canopy rainfall interception for a spruce stand. Agric. For. Meteorol. 2020, 292, 108125. [Google Scholar]
48. Kumar, P.; Udayakumar, A.; Anbarasa Kumar, A.; Senthamarai Kannan, K.; Krishnan, N. Multiparameter optimization system with DCNN in precision agriculture for advanced irrigation planning and scheduling based on soil moisture estimation. Environ. Monit. Assess. 2023, 195, 13. [Google Scholar]
49. Gebre, M.G.; Earl, H.J. Soil water deficit and fertilizer placement effects on root biomass distribution, soil water extraction, water use, yield, and yield components of soybean [Glycine max (L.) Merr.] grown in 1-m rooting columns. Front. Plant Sci. 2021, 12, 581127. [Google Scholar] [CrossRef] [PubMed]
50. Ahmed, S.S.; Bali, R.; Khan, H.; Mohamed, H.I.; Sharma, S.K. Improved water resource management framework for water sustainability and security. Environ. Res. 2021, 201, 111527. [Google Scholar]
51. Gupta, A.D.; Pandey, P.; Feijóo, A.; Yaseen, Z.M.; Bokde, N.D. Smart water technology for efficient water resource management: A review. Energies 2020, 13, 6268. [Google Scholar] [CrossRef]
52. Bwambale, E.; Abagale, F.K.; Anornu, G.K. Smart irrigation monitoring and control strategies for improving water use efficiency in precision agriculture: A review. Agric. Water Manag. 2022, 260, 107324. [Google Scholar]
53. Bwambale, E.; Abagale, F.K.; Anornu, G.K. Data-driven model predictive control for precision irrigation management. Smart Agric. Technol. 2023, 3, 100074. [Google Scholar] [CrossRef]
54. Mardani Korani, Z.; Moin, A.; Rodrigues da Silva, A.; Ferreira, J.C. Model-driven engineering techniques and tools for machine learning-enabled IoT applications: A scoping review. Sensors 2023, 23, 1458. [Google Scholar] [CrossRef] [PubMed]
55. Liu, L.; Lu, Y.; Fu, Y.; Horton, R.; Ren, T. Estimating soil water suction from texture, bulk density and electrical resistivity. Geoderma 2022, 409, 115630. [Google Scholar]
56. Ma, T.; Zeng, W.; Lei, G.; Wu, J.; Huang, J. Predicting the rooting depth, dynamic root distribution and the yield of sunflower under different soil salinity and nitrogen applications. Ind. Crops Prod. 2021, 170, 113749. [Google Scholar]
57. Nguyen, T.T.; Ngo, H.H.; Guo, W.; Chang, S.W.; Nguyen, D.D.; Nguyen, C.T.; Hoang, N.B. A low-cost approach for soil moisture prediction using multi-sensor data and machine learning algorithm. Sci. Total Environ. 2022, 833, 155066. [Google Scholar] [PubMed]
58. Lopez-Jimenez, J.; Vande Wouwer, A.; Quijano, N. Dynamic modeling of crop–soil systems to design monitoring and automatic irrigation processes: A review with worked examples. Water 2022, 14, 889. [Google Scholar] [CrossRef]
59. Salehi, B.; Jarahizadeh, S.; Sarafraz, A. An improved RANSAC outlier rejection method for UAV-derived point cloud. Remote Sens. 2022, 14, 4917. [Google Scholar] [CrossRef]
60. Yang, J.; Huang, Z.; Quan, S.; Zhang, Q.; Zhang, Y.; Cao, Z. Toward efficient and robust metrics for RANSAC hypotheses and 3D rigid registration. IEEE Trans. Circuits Syst. Video Technol. 2021, 32, 893–906. [Google Scholar]
61. Nigatu, Z.M.; Fan, D.; You, W.; Melesse, A.M.; Pu, L.; Yang, X.; Jiang, Z. Crop production response to soil moisture and groundwater depletion in the Nile Basin based on multi-source data. Sci. Total Environ. 2022, 825, 154007. [Google Scholar] [CrossRef] [PubMed]
62. Yi, J.; Li, H.; Zhao, Y.; Zhang, H.; Liu, M. Assessing soil water balance to optimize irrigation schedules of flood-irrigated maize fields with different cultivation histories in the arid region. Agric. Water Manag. 2022, 265, 107543. [Google Scholar] [CrossRef]
Zhang Y, Wang G, Li L, Huang M. A Monitoring Method for Agricultural Soil Moisture Using Wireless Sensors and the Biswas Model. Agriculture. 2025; 15(3):344. https://doi.org/10.3390/agriculture15030344
Перевод статьи «A Monitoring Method for Agricultural Soil Moisture Using Wireless Sensors and the Biswas Model» авторов Zhang Y, Wang G, Li L, Huang M., оригинал доступен по ссылке. Лицензия: CC BY. Изменения: переведено на русский язык














Комментарии (0)