Выращивание пшеницы в засушливом климате: как найти баланс между урожаем, экономией воды и углеродным следом
В данном исследовании оцениваются воздействие на окружающую среду и продуктивность системы непрерывного возделывания твердой пшеницы при трех сроках посева и двух режимах орошения (богарный и орошение в фазе цветения) в средиземноморских условиях, а именно на равнине Капитаната в Апулии (Италия).
Аннотация
Для моделирования урожайности твердой пшеницы при разных сроках посева (15 октября, 1 ноября и 15 ноября) и разных методах управления водными ресурсами использовалась система AquaCrop-GIS. Кроме того, инструмент оценки углеродного и водного следа (CWFP) применялся для количественной оценки воздействия на окружающую среду с точки зрения выбросов парниковых газов и водопользования, включая «зеленую», «голубую» и общую составляющие воды. Результаты показали, что общие выбросы парниковых газов (в эквиваленте CO₂) при производстве пшеницы составили в среднем 1201,3 кг CO₂-экв на гектар, при этом основной вклад внесло внесение удобрений, особенно аммиачной селитры и мочевины. Практика обработки почвы обеспечила 362,9 кг CO₂-экв на гектар. Самый высокий уровень продуктивности (5573 кг/га при богарном режиме и 5722 кг/га при орошении) был достигнут при посеве в начале ноября, тогда как посев в середине ноября привел к снижению урожайности и увеличению выбросов CO₂-экв на килограмм зерна на 21% по сравнению с началом ноября. Анализ водного следа показал, что при посеве в начале ноября наблюдался самый высокий спрос на «зеленую» воду, при этом различия в использовании «голубой» воды между сроками посева были незначительными. В целом, интеграция полученных данных показала, что оптимизация сроков посева и режимов орошения может значительно повысить урожайность и снизить воздействие на окружающую среду.
1. Введение
Производство пшеницы имеет решающее значение для обеспечения продовольствием населения планеты и представляет собой одну из важнейших сельскохозяйственных систем [1]. На долю Средиземноморского бассейна приходится 60% мирового производства твердой пшеницы [2], которая традиционно выращивается в богарных условиях с использованием традиционной обработки почвы [3]. Занимая 16 миллионов гектаров с урожайностью 38 миллионов тонн в год, твердая пшеница является одной из наиболее возделываемых зерновых культур в Средиземноморье [3,4]. Ожидается, что к 2050 году спрос на пшеницу вырастет на 60% для удовлетворения потребностей растущего населения планеты, которое, по прогнозам, достигнет девяти миллиардов [5]. Однако изменение климата создает серьезные проблемы для производства твердой пшеницы, включая изменчивость урожайности и качества из-за последствий изменения климата [6]. Основными производителями твердой пшеницы в Европе являются Италия, Греция и Испания, на которые в совокупности приходится около 80% от общего объема производства в ЕС. В 2020 году производство пшеницы в Италии охватывало площадь 1,23 млн га с урожайностью 3 849 384 тонны зерна [7].
Однако производство твердой пшеницы находится под сильным влиянием экологических и климатических факторов, в частности доступности воды и высоких температур [8,9]. Это особенно критично в средиземноморском регионе, который сталкивается с суровыми климатическими условиями и дефицитом пресной воды. Это подчеркивает необходимость экологической осведомленности для достижения эффективности использования ресурсов и повышения благосостояния и качества экосистем [10]. Производство зерновых, жизненно важное для питания человека, часто сопряжено с экологическими последствиями, которые угрожают биоразнообразию и функциям экосистем [11]. Зерновые культуры обеспечивают около 35% калорийности рациона человека [12], однако их возделывание связано с практиками, наносящими вред окружающей среде путем изменения водных ресурсов и климатических условий [13,14]. Кроме того, зерновые часто выращиваются в индустриализированных монокультурах, которые, как известно, требуют большого количества пестицидов, удобрений и ископаемого топлива [15,16].
Чтобы смягчить эти воздействия, традиционные методы ведения сельского хозяйства должны развиваться, чтобы включать принципы эко-дизайна и циркулярной экономики, усиленные возобновляемыми источниками энергии [17,18]. Это тем более применимо к сельскохозяйственному производству, которое сейчас широко считается основной причиной деградации окружающей среды и здоровья человека [19], из-за использования: (a) больших объемов воды для орошения, что способствует истощению водных ресурсов; (b) химических удобрений и пестицидов, производство и использование которых связано с потреблением первичных энергоресурсов и генерирует загрязнители воздуха, воды и почвы, а также проблемы со здоровьем; и (c) ископаемого топлива, которое считается ответственным за добычу первичных энергоресурсов и выбросы парниковых газов (ПГ) в результате их производства и сжигания.
Средиземноморский климат характеризуется межгодовой и сезонной изменчивостью осадков, а также частыми периодами теплового стресса, что часто приводит к дефициту воды в наиболее чувствительные фазы цикла роста пшеницы, значительно снижая продуктивность [20]. Эта ситуация имеет тенденцию усугубляться изменением климата [21], способствуя непредсказуемости продуктивных реакций и нестабильности сектора, уже ослабленного разрывами в доходах и колебаниями. Для решения проблем производства пшеницы в Средиземноморье конкретные агрономические практики могут стабилизировать и даже увеличить урожайность, обеспечивая лучшую эффективность использования воды и более высокое качество зерна. Несколько исследований [22,23,24,25,26] подчеркивают потенциал этих практик, включая обеспечение дополнительного орошения, как обсуждается в [27,28]. Более того, многие исследования изучали применение показателей эффективности и продуктивности использования воды и питательных веществ при различных водных режимах [23,29,30,31,32,33].
Значения продуктивности воды, выраженные как отношение полученного продукта (урожайности зерна) к используемым ресурсам (эвапотранспирации культуры или объему оросительной воды), служат индикаторами для оценки влияния различных вариантов на продуктивность ресурсов и результаты деятельности фермерских хозяйств [34,35]. Кроме того, оценка воздействия потребления человеком ресурсов пресной воды, используемых в промышленных и/или сельскохозяйственных процессах, называемого «виртуальной водой», проводилась с использованием концепции водного следа (Water Footprint, WFP) [36]. Водный след — это инструмент, обычно используемый для анализа управления водными ресурсами, а водный след продукта определяется как объем пресной воды, использованной для производства этого продукта, и должен измеряться вдоль всей цепочки поставок. Чаще всего это выражается как объем воды на единицу продукта (м³ т⁻¹) [37].
Mekonnen и Hoekstra [37] описывают концепцию голубой, серой и зеленой воды. Голубой водный след измеряет количество доступной воды, которая потребляется за данный период и, следовательно, не возвращается немедленно в водосборный бассейн; серый водный след технологического этапа является показателем степени загрязнения пресной воды, связанного с ним, и определяется как объем пресной воды, необходимый для ассимиляции нагрузки загрязнителей; зеленый водный след является показателем использования воды человеком и относится к осадкам, которые не стекают и не пополняют грунтовые воды, а сохраняются в почве или временно остаются на поверхности почвы или растительности. Сумма этих трех компонентов дает общий водный след. В сельском хозяйстве многие исследования подчеркивают важность ответственного использования водных ресурсов [38]. Показатель водного следа [39] — это инструмент, который предоставляет интересную информацию для политиков [40] и экономистов и полезен для управления водными ресурсами. Rodriguez и др. [41] подчеркнули важность сельскохозяйственных практик, таких как орошение и удобрение, для водного следа культуры. Однако показатель водного следа следует рассматривать как частичный инструмент, который может использоваться вместе с другими индикаторами для более глубокого анализа комплексных политик [42]. Глобальные циклы воды и углеродной энергии неразрывно связаны [43]. Научные данные показали, что климат быстро меняется, главным образом из-за увеличения выбросов парниковых газов [44], являющихся результатом различных видов деятельности человека, включая сельское хозяйство [45]. Углеродный след (Carbon Footprint, CFP) продукта соответствует выбросам парниковых газов, связанным с жизненным циклом этого продукта (LCA), рассчитанным от начала, представленного добычей сырья (cradle), до потребления конечного продукта (grave). Однако LCA может быть прерван в промежуточных точках, таких как уборка зерна пшеницы (gate) [46,47]. Обычно он выражается как количество CO₂-экв. для заранее определенной единицы измерения. Таким образом, CFP является частью методологии оценки жизненного цикла (LCA), которая уже применяется во многих производственных секторах, включая анализ продуктов питания. Он используется в зерновом секторе с 2000-х годов [48] и внес значительный вклад в улучшение информации о воздействии зерновых производственных систем на окружающую среду. В отличие от LCA, который более сложен и связан с более широким спектром категорий воздействия на окружающую среду, эти индикаторы легче понимаются средствами массовой информации и организованной розничной торговлей.
Это исследование было направлено на всестороннюю оценку влияния наиболее распространенных сельскохозяйственных практик на традиционное производство пшеницы в провинции Фоджа, Южная Италия, в средиземноморских климатических условиях. Для моделирования реакции урожайности твердой пшеницы на разные сроки посева (15 октября, 1 ноября и 15 ноября) и методы управления водными ресурсами, включая богарные условия и дополнительное орошение в фазу цветения, использовалось программное обеспечение AquaCrop-GIS (ver. 2.1) [49]. Более того, количественная оценка воздействия этих сельскохозяйственных практик на окружающую среду была проведена путем оценки их углеродного и водного следа с использованием бесплатного инструмента, предназначенного для оценки воздействия производства твердой пшеницы на окружающую среду (приложение CWFP) [50]. С помощью этого инструмента были определены выбросы парниковых газов, связанные с жизненным циклом производства твердой пшеницы, от добычи сырья, необходимого для производства агротехнологических ресурсов, до их внесения в поле и уборки зерна. Также было оценено потребление воды с учетом как голубой, так и зеленой воды и связанных с ними следов. Следовательно, анализ компромиссов между продуктивными показателями возделывания твердой пшеницы и экологической устойчивостью был проведен с использованием AquaCrop-GIS и CWFP. Это включало изучение того, как различные варианты возделывания, такие как сроки посева и орошение, в сочетании с климатическими переменными и типами почв на конкретных участках возделывания, могли бы сбалансировать производительность и устойчивость в рамках традиционного производства твердой пшеницы.
2. Материалы и методы
Исследовательский подход следовал иерархическому масштабу, где каждый числовой уровень играл ключевую роль в направлении последующего анализа. Начиная с изучения производственного контекста, были разработаны индивидуализированные сценарии моделирования для оценки эффективности возделывания твердой пшеницы с точки зрения воздействия на окружающую среду. Затем результаты этих симуляций были проанализированы с помощью соответствующих численных методов для извлечения значимых выводов (Рисунок 1).
Рисунок 1. Схематическое представление иерархического процесса обработки данных с учетом входных данных, связанных с педо-климатическими характеристиками и управлением культурами (заключено в пунктирную линию), обработки инструментов моделирования (пунктирная линия) и обработки с помощью анализа чувствительности и кумулятивной функции вероятности (сплошные линии).
2.1. Контекст исследуемых сценариев
Сценарии моделирования основывались на реальных практиках, используемых фермерами в провинции Фоджа, также известной как Капитаната, в регионе Апулия (41°27′ с.ш., 15°33′ в.д., 76 м над уровнем моря: Рисунок 2). Этот район является ведущим производителем твердой пшеницы в Италии, на его долю приходится 38% от общей площади пахотных земель, выделенных под эту культуру [51]. Площадь пахотных земель представлена на Рисунке 2 в соответствии с базой данных регионального землепользования [52]. Твердая пшеница выращивается в системах непрерывного возделывания, с посевом, обычно происходящим в период с середины октября по середину ноября.
Рисунок 2. Локализация исследуемой территории (равнина Капитаната; регион Апулия, Южная Италия) и площадь пахотных земель [52].
В этом сельскохозяйственном районе управление культурами включает подготовку почвы к посеву, которая включает летнюю вспашку с последующим двукратным боронованием. Эти практики необходимы для восстановления плодородия почвы в верхних слоях во время вспашки (путем переворачивания почвенных комьев на глубину 0,45 м, что находится в зоне, не затронутой деградацией органического вещества, а также выноса семян сорняков на поверхность для соответствующей обработки гербицидами) и для облегчения разрушения крупных комьев, образовавшихся во время фазы вспашки, с помощью дисковой бороны. Непосредственно перед посевом почва тщательно обрабатывается ротационной бороной для подготовки семенного ложа, чему предшествует внесение азотного удобрения в качестве стартового для развития всходов твердой пшеницы. Второе внесение азота проводится в вегетационную фазу (первая половина марта) для стимулирования кущения и роста, а также для обеспечения адекватного содержания белка в зернах культуры. Уборка зерна проводится с помощью зерноуборочного комбайна, при этом солома либо остается на поле, либо собирается в тюки. В Капитанате твердая пшеница обычно выращивается в богарных условиях; хотя в особенно засушливые годы фермеры могут прибегать к орошению до стадии цветения, проводя 1–2 полива, направленных на стабилизацию урожайности, а не на повышение продуктивности. Вышеописанная система традиционной обработки почвы используется большинством ферм, возделывающих твердую пшеницу в системах непрерывного возделывания, охватывая примерно 96% площади, отведенной под эту культуру [7].
2.2. Настройка моделирования
Для моделирования производства твердой пшеницы в условиях непрерывного возделывания в Капитанате использовался AquaCrop (версия 2.1, расширение GIS). Это программное обеспечение позволяет моделировать множество сценариев, включая вариации типа культуры, управления орошением, характеристик почвы и климатических условий, с результатами, адаптированными к конкретным комбинациям входных данных. Разработанный Продовольственной и сельскохозяйственной организацией ООН (FAO) [53,54], AquaCrop прогнозирует продуктивность культур, потребность в воде и эффективность использования воды в условиях ограниченного водоснабжения [55]. Его основа базируется на принципах реакции урожайности культур на воду [56].
AquaCrop применялся к различным сценариям, таким как богарные условия, дефицитное орошение, полное водоснабжение и стратегии управления водой на ферме, все из которых направлены на повышение эффективности использования воды в сельском хозяйстве [57]. Модель балансирует точность, простоту и надежность, делая ее параметры интуитивно понятными и прозрачными для пользователей [54]. AquaCrop формализует такие процессы, как динамика почвенной влаги, развитие полога, фенологию, рост растений и формирование урожайности, учитывая как потенциальный рост, так и рост, модулируемый стрессом. Тепловой и водный стрессы моделируются как функции климатических факторов, включая температуру, количество осадков, эвапотранспирацию и концентрацию CO₂ в атмосфере [58]. Управление орошением в AquaCrop влияет на водный баланс почвы, управление культурами и урожайность [55]. Вода добавляется в почвенный резервуар через осадки и орошение. В случае высокой интенсивности осадков часть осадков может быть потеряна из-за поверхностного стока, и только фракция проникает в почву. Инфильтрованная вода не всегда удерживается в корневой зоне. Если корневая зона становится чрезмерно влажной, часть почвенной воды будет просачиваться за пределы корневой зоны, что приводит к потерям на глубинную перколяцию. Кроме того, вода может подниматься вверх в корневую зону за счет капиллярного поднятия. Такие процессы, как испарение почвенной воды и транспирация культуры, удаляют воду из резервуара. Что касается использования воды сельскохозяйственными системами, суточная транспирация культуры (Trᵢ, мм день⁻¹) отличается от суточной эталонной эвапотранспирации (ET0ᵢ; мм день⁻¹) и находится под влиянием скорректированного покрытия полога (CC), как выражено ниже:
где kₛ обозначает коэффициент стресса почвенной влаги, kcTrₓ представляет коэффициент для максимальной транспирации культуры, а CC относится к фактическому зеленому покрытию полога, скорректированному с учетом микроадвективных эффектов.
Суточная надземная биомасса (TDM, т га⁻¹) рассчитывается с использованием Trᵢ и продуктивности воды, нормализованной по ET0ᵢ (WP, г/м²; [59]) следующим образом:
Наконец, урожайность сухого зерна (Y, т га⁻¹) оценивается при созревании на основе TDM и индекса сбора урожая (HI, %) в соответствии со следующим уравнением:
Стресс почвенной влаги влияет на развитие полога, расширение корневой зоны, индуцирует закрытие устьиц, снижает скорость транспирации культуры, влияет на успешность опыления, изменяет индекс урожайности и может вызывать преждевременное старение полога. Эти процессы подвержены влиянию стресса почвенной влаги, когда вода, запасенная в корневой зоне, падает ниже определенных пороговых значений. Эти пороговые значения определяются как истощение корневой зоны, доля от общей доступной воды. Моделирование с помощью AquaCrop охватывало сценарии, созданные в нескольких комбинациях, с использованием трех сроков посева (15 октября, 1 ноября и 15 ноября) в сочетании с двумя сценариями орошения, а именно, богарными условиями и подачей воды в фазу цветения, с максимум двумя поливами и общим объемом орошения, не превышающим 60 мм. На поведение сельскохозяйственной системы сильно влияют педо-климатические условия контекста возделывания. Поэтому для получения наиболее надежных симуляций характеристики почвы были диверсифицированы в зависимости от свойств почвы и типичных климатических тенденций изучаемой территории. В частности, с использованием Гармонизированной мировой почвенной базы данных [60] были классифицированы 25 различных типов почв с различными характеристиками.
Доля (%) песка, ила и глины, гидравлическая проводимость (Ksat; мм день⁻¹), глубина почвы (см), объемная плотность (BD, г см⁻³) и общий органический углерод (TOC; %) были определены путем пересечения почвенной базы данных с климатическими ячейками из базы данных Agri4Cast. Гидравлические характеристики почвы, используемой на моделируемых полях, такие как полевая влагоемкость (FC, м³ м⁻³), точка завядания (WP, м³ м⁻³) и доступная для растений почвенная влага (PAW, мм), были непосредственно оценены с помощью AquaCrop-Windows (ver. 7.0) на основе введенных фракций песка, ила и глины для различных почв. Полученные значения затем были установлены в AquaCrop-GIS для выполнения различных сценариев моделирования. Гармонизированная мировая почвенная база данных версии 2.0 — это уникальный глобальный почвенный реестр, который предоставляет информацию о морфологических, химических и физических свойствах почв с разрешением около 1 км. Для климатической характеристики погодные данные, использованные в процедуре моделирования, были получены из базы данных Agri4Cast [61]. Это часть Системы мониторинга роста сельскохозяйственных культур, разработанной Объединенным исследовательским центром, и содержит метеорологические данные с метеостанций, интерполированные на сетке 25 × 25 км, доступные ежедневно с 1975 года. Максимальная, средняя и минимальная температура воздуха (T, °C), осадки (P, мм/день), потенциальное испарение со свободной водной поверхности (E, мм/день), потенциальное испарение с влажной голой поверхности почвы (ES, мм/день) и потенциальная эвапотранспирация с эталонного полога культуры (ET0, мм/день) были получены из погодных данных. Пятнадцать сеточных ячеек покрывали исследуемую территорию, и данные охватывали 10-летний период с 1 января 2013 г. по 31 декабря 2023 г. С использованием программного обеспечения ArcGIS v.10.2 две базы данных были пересечены, в результате чего получилось 74 различные комбинации типов почв и климатических условий. Полученная таким образом педо-климатическая характеристика была дополнена спецификациями твердой пшеницы, смоделированными в соответствии с входными данными, требуемыми моделью моделирования. Для твердой пшеницы коэффициенты и параметры, необходимые для воспроизведения ее фенотипа в AquaCrop, были получены из предыдущего моделирования, проведенного в том же районе возделывания, что и данное исследование, что было обосновано [62]. Моделирование в различных комбинациях (дата посева × управление орошением × погода × почва; всего 432) охватывало 10-летний период непрерывного возделывания (с 1 января 2013 г. по 31 декабря 2023 г.). Собранные выходные переменные из выходных данных AquaCrop касались производства зерна, сухой биомассы при уборке, сезонной ET0, накопленных градусо-дней роста (GDD; °C) и средней продолжительности вегетационного периода культуры за годы возделывания.
2.3. Оценка экологической эффективности
Экологическая эффективность сельскохозяйственной системы была формализована с использованием инструмента Carbon and Water Footprint [63]. Этот инструмент количественно определяет выбросы парниковых газов (выраженные как CO₂-экв.) и использование воды (голубая и зеленая составляющие) при возделывании твердой пшеницы в средиземноморской среде. Разработка CWFP следует основным этапам LCA, включая определение объема, целей, границ системы, потоков входных материалов, распределения воздействия, функциональной единицы и экологического следа. Дизайн инструмента ориентирован на доступность для пользователя, имеет интуитивно понятный интерфейс, который интегрирует ключевые практики управления почвой и культурами. Для каждой выбранной опции CWFP рассчитывает воздействие на окружающую среду, используя процессы, реализованные в SimaPro (версия 8). Инструмент использует анализ «от колыбели до ворот» (cradle-to-gate), который ограничивает систему границами фермы и требует данных от посева до уборки урожая, учитывая воздействие от добычи сырья, производства агроресурсов и их внесения в поле. Материальные и энергетические потоки включают различные машины, оборудование, удобрения и пестициды, актуальные для систем возделывания твердой пшеницы в средиземноморском контексте.
Для каждой сельскохозяйственной операции, предоставленной пользователем, включая обработку почвы (например, вспашку, боронование дисковой бороной), удобрение (органическое или химическое), использование средств защиты растений и другие операции сельскохозяйственной системы (например, обычный посев, посев без обработки почвы, уборка урожая), инструмент CWFP оценивает как прямые, так и косвенные выбросы ПГ. Прямые выбросы относятся к тем, которые происходят непосредственно от управления сельскохозяйственной системой, таких как выбросы ПГ от сгорания топлива в тракторах или выбросы N₂O от удобрений, внесенных в поле. Косвенные выбросы связаны с производством агроресурсов, таких как удобрения, топливо, пестициды и машины. Количественная оценка выбросов ПГ для каждой операции i выполняется следующим образом:
где AFₐgⱼ — количество агроресурса j, использованного в операции i, EFₐgⱼ — коэффициент выбросов газа j, выбрасываемого на единицу агроресурса, а ∑ (от j = 1 до n) учитывает выбросы от всех газов j.
Сумма выбросов GHGᵢ от каждой операции через всю сельскохозяйственную систему предоставляет общие выбросы ПГ от добычи сырья, их внесения в поле до их уборки.
Материальные и энергетические потоки, ответственные за прямые и косвенные выбросы ПГ, автоматически учитываются инструментом CWFP. Этот расчет основан на конкретных выбранных операциях и количествах, внесенных на гектар возделываемой площади. Например, инструмент учитывает количество проходов для операций обработки почвы или количество внесенного удобрения (в кг). Эти потоки количественно определяются со ссылкой на процессы и коэффициенты выбросов, указанные в базе данных ECOINVENT (v.3) [64].
Количественная оценка экологических последствий данного сценария возделывания с точки зрения выбросов эквивалента CO₂ (CO₂-экв.; кг) в инструменте CWFP выполняется в соответствии с методом ILCD 2011 Midpoint [65], следующим образом:
где GHGᵢⱼ представляет количество газа типа i во время операции j, GWPᵢ — потенциал глобального потепления газа i, ∑ᵢ учитывает выбросы ПГ во время конкретной операции, а ∑ⱼ суммирует выбросы ПГ через все операции управления, выполняемые через сельскохозяйственную систему.
Поскольку стандартные варианты управления почвой и культурами в CWFP могут не охватывать все возможные практики фермеров, были разработаны алгоритмы для оценки расхода топлива на основе скорости трактора и силы тяги [66] для альтернативных сценариев обработки почвы и культур, не включенных в стандартные опции программного обеспечения. После того как расход топлива для нестандартных операций в CWFP рассчитан с указанием количества проходов на гектар, инструмент оценивает прямые и косвенные выбросы CO₂-экв. в соответствии с уравнениями (4) и (5). Функциональная единица в один гектар возделываемой почвы упрощает оценку воздействия, возвращая экологические воздействия, связанные с выбросами ПГ на гектар почвы (кг CO₂-экв. га⁻¹) и использованием голубой воды (м³ га⁻¹). Так же, как и для CO₂-экв., CWFP рассчитывает количество голубой воды, косвенно используемой сельскохозяйственной системой. Голубая вода относится к ресурсам пресной воды, хранящимся в реках, озерах и подземных водах. Косвенная голубая вода учитывает воду, использованную в цепочке поставок, а именно, воду, потребляемую во время производства, переработки и транспортировки агроресурсов, таких как удобрения, пестициды и машины, до их внесения в поле [67]. Оценка количества голубой воды автоматизирована в CWFP вместе с CO₂-экв. после указания типа сельскохозяйственной операции/применяемого агроресурса и соответствующих количеств со ссылкой на базу данных ECOINVENT. Признавая важность растительных остатков, оставленных на почве в качестве побочного продукта, в соответствии со стандартами UNI EN ISO LCA, пользователю предлагается ввести данные об удалении соломы (кг га⁻¹). При отсутствии таких данных CWFP использует алгоритмы, основанные на IPCC [68], для оценки соломы и корней, оставленных на почве, на основе урожайности зерна следующим образом:
где Rfr (кг га⁻¹) — растительные остатки, возвращенные в почву, Rаг_t — отношение сухой массы надземных остатков (кг га⁻¹), Frac_remove(t) — доля растительных остатков, удаленных с почвы, а Rбг_t — отношение подземных остатков к убранному урожаю (кг га⁻¹). Rаг_t определяется следующим образом:
где AGB — надземная сухая биомасса (кг га⁻¹), а GY — урожайность (кг га⁻¹). AGB (кг га⁻¹) рассчитывается следующим образом:
где S_l — наклон кривой, связывающей AGB с урожайностью культуры (1,51), а Int_pt — значение AGB при урожайности культуры = 0 (0,52).
где RBG_tot — отношение подземных остатков к надземной биомассе (0,24).
Frac_remove(t) определяется следующим образом:
где St_rem — количество соломы, удаленной с почвы (кг га⁻¹).
CWFP определяет количество азота в растительных остатках следующим образом:
где N_AGB и N_аг_t — содержание азота в надземных остатках и содержание азота в подземных остатках (кг кг⁻¹) соответственно.
Наконец, выбросы N₂O (F_N₂O; кг га⁻¹), являющиеся результатом разложения растительных остатков, рассчитываются следующим образом:
где %Em представляет процент N, который превращается в N₂O (1%).
Затем полученное значение умножается на 298 для преобразования N₂O в CO₂-экв. (кг га⁻¹) и добавляется к выбросам ПГ, связанным с операциями по управлению культурами.
Таким образом, солома служит источником секвестрации углерода, если ее частично или полностью оставляют на почве, но ее разложение может привести к выбросам N₂O. Следовательно, CWFP балансирует запас углерода от соломы, внесенной в почву (в виде кг C га⁻¹), и углерода, высвобождаемого при минерализации органического вещества (в виде кг C га⁻¹), используя упрощенный алгоритм [69] следующим образом:
где (ΔC_s) / Δt — годовое изменение запаса углерода в момент времени t, а h и k — коэффициенты деградации для углерода, предоставленного соломой (43% от общей сухой массы), и для почвенного органического углерода соответственно. Запас почвенного углерода в момент t0 рассчитывается путем умножения исходного содержания органического вещества почвы (%; при отсутствии точного числового значения пользователь может указать уровень органического вещества почвы, например, бедный, среднеобеспеченный или хороший) на процент углерода в органическом веществе (58%) и на объемную плотность (кг м⁻³) — значение, предоставляемое пользователем или путем указания, является ли почва песчаной, глинистой или суглинистой.
Результат получается с помощью итерационных расчетов за 50-летний период, учитывая как быструю динамику органического углерода в первые годы моделирования, так и установившееся состояние впоследствии. Более конкретно, чтобы получить репрезентативное значение прироста/потери органического углерода и, следовательно, секвестрации/высвобождения CO₂ в окружающую среду, разница между конечным значением почвенного органического углерода и начальным значением (после 50 итерационных лет) делится на 50 и умножается на 3,67 для преобразования C в CO₂. Полученный баланс (Δ кг CO₂ га⁻¹) затем алгебраически суммируется с выбросами ПГ на гектар возделываемой твердой пшеницы. Предоставляя урожайность зерна (кг га⁻¹) и влажность (%), получается информация об углеродном следе (CFP) (кг CO₂-экв. на кг зерна). Кроме того, на основе материальных и энергетических потоков внутри системы CWFP предоставляет не только потребление голубой воды в границах «от колыбели до ворот», но и потребление зеленой воды (м³ га⁻¹); последнее основано на воде, поставляемой с осадками и используемой культурой для производства 1 кг урожая зерна в богарных условиях [70], таким образом предоставляя водный след (WFP) (м³ воды на кг зерна). Потребление зеленой воды рассчитывается со ссылкой на значения, сообщенные и добавленные к голубой воде для определения общего потребления воды. Как сообщалось в разделе 2.1, в CWFWP были введены типичные операции обработки почвы для данного района возделывания, а именно: одна вспашка, два боронования и одна ротационная обработка для подготовки семенного ложа. Затем были выбраны посев и уборка с помощью зерноуборочного комбайна и удаление соломы путем тюкования. Кроме того, были установлены два внесения удобрений: мочевина (50 кг га⁻¹) при посеве и аммиачная селитра (100 кг га⁻¹) в качестве подкормки в первой половине марта. Урожайность зерна была установлена на среднее значение, полученное за 10 лет моделирования с помощью AquaCrop (зерно при 0% влажности), а удаление соломы было рассчитано как разница между общей произведенной биомассой, уменьшенной на 15% для имитации среза на высоте примерно 15 см над землей режущей штангой, и урожайностью.
Оценка воздействий на окружающую среду с точки зрения выбросов ПГ (кг CO₂-экв. га⁻¹), голубой воды (BlueW; м³ га⁻¹), зеленой воды (GreenW; м³ га⁻¹), общего водопользования (TW; м³ га⁻¹), CFP (кг CO₂-экв. кг зерна⁻¹) и WFP (м³ воды кг зерна⁻¹) была проведена для каждой комбинации даты посева, управления орошением, почвы и климата.
2.4. Анализ данных
Обширный набор данных о продуктивных и экологических показателях систем возделывания твердой пшеницы был проанализирован с использованием иерархического статистического подхода. Этот метод идентифицирует ключевые данные на каждом уровне, постепенно уточняя анализ для достижения желаемой сложности и целей. Во-первых, был проведен анализ, чтобы определить, обусловлены ли результаты, полученные из AquaCrop и CWFP как таковые (т.е. производство зерна, водопользование и выбросы ПГ от сельскохозяйственной системы), а также интегрированные друг с другом (т.е. углеродный след и водный след), агрономическими практиками и педо-климатическими условиями. Это было выполнено с использованием однофакторного дисперсионного анализа (ANOVA) с климатическими ячейками, почвами, тремя сроками посева и управлением орошением в качестве источников вариации. Затем был проведен анализ чувствительности, чтобы определить, какие источники вариации оказывают наибольшее влияние на продуктивный и экологический отклик возделывания твердой пшеницы. Для этого был рассчитан индекс воздействия (Iw) для каждого источника (i) следующим образом:
где MS представляет средний квадрат, связанный с конкретным источником вариации (i), а ∑(MSᵢ) от i=1 до n обозначает сумму всех средних квадратов, полученных в результате ANOVA для оцениваемых различных параметров. Источники вариации включали климатические зоны, типы почв, сроки посева и режимы орошения, в то время как анализируемыми параметрами были урожайность зерна, CO₂-экв., CFP, TW и WFP.
Определив основные источники вариации, ответственные за изменения в продуктивных и экологических показателях сельскохозяйственной системы, были определены кривые кумулятивной вероятности для каждого элемента в этом источнике, используя 25-й перцентиль, 50-й перцентиль и 75-й перцентиль в качестве эталонных порогов для сравнения различных динамик продуктивных и экологических показателей. Самые низкие и самые высокие пороги могут иметь различные последствия в зависимости от рассматриваемой переменной. Например, 25-й перцентиль для производства зерна является порогом риска низкой урожайности. В частности, сравнивая значения урожайности на 25-м перцентиле двух режимов орошения, можно количественно оценить преимущество полива в фазу цветения по сравнению с богарным управлением в неблагоприятные (т.е. засушливые) вегетационные сезоны для производства твердой пшеницы. И наоборот, порог 25-го перцентиля для выбросов CO₂-экв. идентифицирует преимущество конкретного элемента (например, 15 октября, 1 ноября или 15 ноября) в источнике вариации (дата посева) в снижении этих выбросов.
75-й перцентиль может использоваться для выявления сценариев, где доходы выше типичных результатов. Этот перцентиль указывает на то, что существует 25% вероятность достижения доходов выше этого порога, что подчеркивает потенциал для результатов выше среднего при определенных условиях. Аналогично, для таких воздействий на окружающую среду, как выбросы CO₂-экв., 75-й перцентиль помогает понять вероятность более высоких, чем в среднем, выбросов. Этот порог указывает на (неблагоприятную) вероятность того, что выбросы могут быть на 25% выше типичных, предоставляя понимание наихудшего воздействия на окружающую среду. В конце этого иерархического анализа была получена информация как о производительности, так и об экологической устойчивости, не только в педо-климатическом контексте возделывания твердой пшеницы, но и в рамках традиционной обработки почвы, определяя, какие варианты управления могут быть реализованы для оптимизации компромисса между производством и экологической устойчивостью.
3. Результаты
3.1. Педо-климатическая характеристика территории
Что касается годовых термических данных (среднегодовые температуры за период 2010–2023 гг.), то центральная (равнинная) область и часть северной области испытали самые высокие максимальные температуры (около 22 °C) по сравнению с внутренними холмистыми районами с различиями от +2 °C до +4 °C (Рисунок 3). Северная часть региона показала самые высокие минимальные температуры по сравнению с остальной частью анализируемой климатической зоны со среднегодовыми значениями до 15 °C, т.е. до 4 °C выше, чем в более холодных районах в крайней западной части (Рисунок 3).
Рисунок 3. Среднегодовые значения (с 2010 по 2023 год) максимальной температуры (°C, (вверху)), минимальной температуры (°C, (в середине)) и суммарных осадков (мм, (внизу)) относительно территории равнины Капитаната [61].
Годовая сумма осадков показала явные различия между различными районами Капитанаты. Западная область, где возделывается твердая пшеница, характеризуется годовым количеством осадков от 530 до 630 мм, которое постепенно уменьшается к восточной равнине (уменьшение суммарных осадков до 180 мм в год). Тренд суммарных осадков следует топографии равнины Капитаната, постепенно увеличиваясь от равнинной области на востоке (около 460 мм в год) до холмистой области на западе (около 600 мм в год; Рисунок 3).
Зарегистрированные различия для этой климатической переменной достигли пиков около 180 мм, что соответствует увеличению на 17% между самыми дождливыми районами в холмистой зоне по сравнению с центральной зоной и до 33% при сравнении самой западной области с самой восточной. Доступная для растений вода (Plant Available Water, PAW; Рисунок 4) варьируется от минимума 15 мм до максимума 210 мм. Большая часть территории имеет почвы с доступностью воды для растений от 115 до 163 мм, сосредоточенные в центральной области территории с более высокими значениями PAW, граничащими с западной областью (до 196 мм) и севером территории (до 210 мм). Следует отметить, что AquaCrop-GIS использует этот параметр, наряду с глубиной, для характеристики почв, что необходимо для формализации динамики почвенной влаги. Процент почвенного органического углерода (OC, %; Рисунок 5) был выше в центральной полосе района возделывания (с севера на юг) со значениями от 1,45% до 2,13%. Районы, окружающие эту центральную полосу, характеризовались более низкими уровнями органического углерода с процентами от 0,70 до 1,45% в холмистой области на западе и минимумом 0,58–0,70% в самой восточной зоне территории.
Рисунок 4. Доступная для растений вода (PAW, мм) для почв равнины Капитаната. Эти характеристики получены из текстуры и глубины почв в этом районе возделывания твердой пшеницы [60].
Рисунок 5. Содержание почвенного органического углерода (%) в различных районах, возделываемых твердой пшеницей, на территории Капитанаты [60].
Начальные значения OC были введены в приложение CWFP для расчета эволюции почвенного органического углерода и, следовательно, выбросов, являющихся результатом эволюции этого параметра.
3.2. Воздействие на окружающую среду от управления почвой и культурами
Общие выбросы CO₂-экв., связанные с возделыванием пшеницы, составили примерно 1201,3 кг га⁻¹ (Таблица 1). Важно отметить, что количество упакованной в тюки и удаленной соломы, а также количество соломы, оставленной на почве, варьировалось в зависимости от управления (дата посева и орошение) и педо-климатического контекста (т.е. доступной для растений воды, объемной плотности и органического углерода). Поэтому, в отличие от воздействий, связанных с другими операциями по возделыванию культуры, которые были фиксированными (и, следовательно, имели одно значение), значения для тюкования и разложения остатков были переменными, и поэтому были предоставлены средние значения и стандартные отклонения. Среди этих видов деятельности внесение удобрений стало основным вкладчиком, причем только внесение аммиачной селитры составляло значительную долю в 376,4 кг га⁻¹, а внесение мочевины привело к выбросам 126,1 кг га⁻¹. Эти азотные удобрения не только способствовали прямым выбросам во время внесения, но и облегчали выброс N₂O, мощного парникового газа, через такие процессы, как нитрификация и денитрификация в почве. Практика управления почвой оказала значительное влияние на выбросы CO₂-экв.: дисковые бороны, вспашка и ротационная обработка вместе составили значительную долю общих выбросов (362,9 кг га⁻¹). Другие операции, такие как посев, тюкование и уборка, способствовали выбросам CO₂-экв. в размере 260,4 кг га⁻¹. Последующее разложение соломенных остатков, оставленных на поле, также способствовало выбросам.
Таблица 1. Управление почвой и культурами для твердой пшеницы по видам деятельности и связанные с ними воздействия на окружающую среду (CO₂-экв.). Для тюкования и разложения остатков указано среднее значение (и стандартное отклонение) из-за переменной реакции культуры при различных условиях управления и педо-климатических условиях.
Однако значение выбросов, связанное с удалением соломенных остатков, возможно, не внесло значительного вклада в выбросы CO₂-экв. по сравнению с другими видами деятельности. Глядя на разбивку выбросов в процентах от общих выбросов CO₂-экв., внесение аммиачной селитры составило примерно 31,4% от общих выбросов, в то время как уборка урожая и дискование с боронованием каждое способствовали примерно на 13,5%. Самое низкое значение с точки зрения выбросов CO₂-экв. пришлось на разложение соломенных остатков (6,3%). Наконец, другие виды деятельности, включая вспашку, посев и тюкование соломы, вместе составили около 35,4% от общих выбросов.
3.3. Производительность системы
Четкие закономерности проявляются в отношении продуктивности и воздействия на окружающую среду, связанных с различными сроками посева и практиками орошения при производстве твердой пшеницы (Таблица 2). Во-первых, с точки зрения продуктивности, дата посева в начале ноября стабильно давала самую высокую среднюю урожайность при всех условиях: примерно 5573 кг га⁻¹ без орошения и 5722 кг га⁻¹ с орошением. Напротив, более поздние даты посева имели более низкую урожайность в диапазоне от около 4983 кг га⁻¹ (богарные условия) до 5240 кг га⁻¹ (с подачей воды 41 мм). Эта разница в урожайности между сроками посева в начале ноября и середине ноября представляет собой среднее увеличение на 11,8% без орошения и на 9,2% с орошением, что указывает на явное преимущество срока посева в начале ноября с точки зрения продуктивности зерна. Более ранний срок посева (15 октября) показал среднюю урожайность зерна со средним значением 5452 кг га⁻¹ как для богарного, так и для орошаемого режимов.
Таблица 2. Урожайность и воздействие на окружающую среду, связанные с различными сроками посева и практиками орошения при производстве твердой пшеницы. Разные буквы (a, b, c, d, e) указывают на значения, которые значительно отличаются друг от друга на основе теста Тьюки HSD (p < 0,05).
Дата посева в середине ноября стабильно показывала более высокие выбросы CO₂-экв. на килограмм зерна по сравнению с другими датами со значениями от примерно 0,220 кг CO₂-экв. на кг урожайности при орошаемом управлении до 0,244 кг CO₂-экв. на кг урожайности при богарном варианте. В частности, выбросы CFP, связанные с поздним сроком посева, были в среднем на 21% выше по сравнению с началом ноября и на 17% выше по сравнению с серединой октября. Опять же, посев в середине октября привел к промежуточным значениям CFP между двумя другими вариантами посева с выбросами чуть более чем на 3% выше, чем при посеве в начале ноября, но на 17% ниже, чем при позднем посеве. Потребление GreenW было связано с продуктивностью сельскохозяйственной системы, и, следовательно, более высокие значения были получены для посева в начале ноября как при богарном управлении (+3% по сравнению с 15 октября и +11,9% по сравнению с 15 ноября), так и при орошении (+4,5% по сравнению с 15 октября и +9,2% по сравнению с 15 ноября). Не было значительных различий в BlueW между различными датами посева, за исключением орошения, которое составило 6,4%, 14% и 21% в расчете этого параметра при сравнении богарных и орошаемых сельскохозяйственных систем для первой, промежуточной и последней дат посева соответственно. В результате, общее водопотребление (TW) в цепочке производства твердой пшеницы было выше на орошаемых участках, чем на богарных, хотя и скромно (+6,5%), что указывает на то, что большая часть этого потребления была в основном связана с зеленой составляющей (65%), а в рамках голубой составляющей орошение составило чуть менее 16%. Несмотря на скромное увеличение голубой воды из-за водоснабжения, водный след (WFP) оставался сопоставимым между богарным (1,09 м³ кг⁻¹) и орошаемым (1,13 м³ кг⁻¹) режимами с увеличением на 3,6% для последнего.
3.4. Взвешивание ключевых факторов, влияющих на продуктивность и экологическую эффективность
Однофакторный дисперсионный анализ (ANOVA) использовался для определения того, зависит ли и в какой степени изменчивость продуктивности и экологической эффективности сельскохозяйственной системы от педо-климатического контекста, управления орошением и даты посева. Для этого анализа источниками вариации были климатические зоны, типы почв, три даты посева и использование или неиспользование оросительной воды. ANOVA показал, что каждый источник вариации, рассматриваемый индивидуально, был высоко значимым в модулировании продуктивности твердой пшеницы, выбросов ПГ, водопользования и, наконец, CFP и WFP (p < 0,001; Таблица 3).
Таблица 3. Однофакторный дисперсионный анализ (ANOVA) для оценки взаимосвязи между источниками вариации (педо-климатические переменные и переменные управления культурами) и производительностью системы возделывания и экологической устойчивостью.
Однако полученные результаты не позволили провести всестороннюю оценку влияния каждого источника вариации относительно других на анализируемые переменные. Чтобы ранжировать влияние климата, почвы, даты посева и использования оросительной воды в глобальном масштабе, был проведен анализ чувствительности (Уравнение (14)) для отображения эффектов (Iw) по шкале от 0 (нет эффекта) до 1 (максимальный эффект). Для продуктивности культуры (Рисунок 6a) дата посева стала фактором, наиболее ответственным за изменчивость этого параметра (Iw = 0,69), за которым следовало управление орошением (Iw = 0,16), а затем почва и климат. Та же тенденция наблюдалась для выбросов ПГ (Рисунок 6b), где CO₂-экв., генерируемый сельскохозяйственной системой, в значительной степени зависел от трех дат посева, за которыми следовало использование или неиспользование оросительной воды, а затем педо-климатический контекст. Поскольку CFP тесно связан с урожайностью и CO₂-экв., было обнаружено, что и для этого параметра дата посева оказала наибольшее влияние на экологическую устойчивость, выраженную этим индексом (Рисунок 6c). Напротив предыдущим наблюдениям, для общего водопотребления (TW) управление орошением имело наибольший вес в модулировании водопотребления сельскохозяйственной системы (Iw = 0,74, Рисунок 7a), за ним следовала дата посева (Iw = 0,19) и, в меньшей степени, климат и почва. Связывая TW с произведенным зерном (Рисунок 7b), было подтверждено, что этот параметр был наиболее чувствителен к управлению орошением (Iw = 0,56), при этом дата посева (Iw = 0,41) находилась недалеко позади, в то время как климат и почва оставались ниже в рейтинге.
Рисунок 6. Индекс воздействия (Iw; см. Уравнение (14)) относительно источников вариации по отношению к урожайности зерна (a), выбросам ПГ (CO₂-экв.; (b)) и CFP (c).
Рисунок 7. Индекс воздействия (Iw; см. Уравнение (14)) относительно источников вариации по отношению к общему потреблению воды (TW; (a)) и WFP (b).
3.5. Сравнительный анализ изменчивости реакции системы возделывания на основные движущие факторы
Функция кумулятивной вероятности анализируемых переменных, основанная на источниках вариации с наибольшим воздействием (наивысшие значения Iw; в частности, управление орошением и дата посева), использовалась для измерения величины этих источников через различные варианты возделывания. Для урожайности (Рисунок 8) медиана (50-й перцентиль) составила 5389 кг га⁻¹ для богарного варианта (NO_IRR) и 5537 кг га⁻¹ для орошаемого варианта (IRR). Используя 25-й перцентиль в качестве критического порога для значительно низкой урожайности, значение составило 5071 кг га⁻¹ для NO_IRR, в то время как для IRR оно увеличилось до 5277 кг га⁻¹. Аналогичная тенденция наблюдалась для 75-го перцентиля, используемого в качестве порога для урожайности выше среднего. Он составил 5775 кг га⁻¹ для IRR и немного снизился до 5718 кг га⁻¹ для богарного варианта. В целом, основной эффект орошения в фазу цветения заключался в снижении межгодовой изменчивости по сравнению с богарным управлением. В частности, сравнивая различия в урожайности на 25-м и 75-м перцентилях относительно среднего значения, разница на нижнем пороге составила -258 кг га⁻¹ для NO_IRR (-4,8%) и -211 кг га⁻¹ для IRR (-3,8%). Для верхнего порога различия составили +388 кг га⁻¹ для NO_IRR (+7,3%) и +297 кг га⁻¹ для IRR (+5,4%).
Рисунок 8. Функция кумулятивного распределения относительно урожайности зерна, выбросов ПГ (CO₂-экв.) и углеродного следа (CFP) для системы возделывания твердой пшеницы при богарном и орошаемом (в фазу цветения) управлении.
С точки зрения CO₂-экв., не наблюдалось значительных различий между двумя практиками управления орошением. Данные кумулятивного распределения сгруппировались вокруг медианного значения 1208 кг га⁻¹. Процентные изменения относительно среднего значения выбросов ПГ составили около +1% для 75-го перцентиля и -0,6% для 25-го перцентиля (Рисунок 8). Напротив, анализ CFP показал, что этот индекс устойчивости оставался стабильным при рассмотрении как NO_IRR, так и IRR (Рисунок 8). Медианное значение для NO_IRR было немного (менее чем на 4%) выше, чем для IRR. Отклонения значений функции кумулятивной вероятности на 25-м и 75-м перцентилях также были согласованы между двумя методами управления орошением. Однако отклонение значений, рассчитанных на двух порогах функции кумулятивной вероятности (относительно среднего значения CFP), хотя и было схожим для обеих практик орошения, составляло от примерно +12% для 75-го перцентиля до -13% для 25-го перцентиля. Эти результаты показали, что, с одной стороны, CFP в целом можно считать достаточно стабильным индикатором экологической устойчивости, независимым от управления орошением, но его изменчивость вокруг среднего значения тесно связана с изменчивостью урожайности зерна (учитывая, что числитель, CO₂-экв., остается в узком диапазоне значений, как сообщалось ранее). Для общего водопотребления (TW) (Рисунок 9) медианное значение IRR было выше по сравнению с NO_IRR (6291 м³ га⁻¹ против 5863 м³ га⁻¹). Изменчивость значений, выраженная отклонением 25-го и 75-го перцентилей от среднего значения, оставалась ограниченной несколькими процентными пунктами, но смещалась в сторону более высоких значений для IRR по сравнению с NO_IRR. Наблюдаемые различия между значениями двух режимов орошения были в основном связаны с водой, эвапотранспирируемой культурой (при этом голубая вода зависела от того же управления культурами и сниженных объемов орошения), что, в свою очередь, было связано с накоплением биомассы культурой твердой пшеницы. Это отразилось на WFP, медианное значение которого было немного выше для IRR, чем для NO_IRR (Рисунок 9). В конечном счете, WFP оказался достаточно стабильным как между двумя режимами орошения, так и в рамках каждого режима орошения.
Рисунок 9. Функция кумулятивного распределения относительно общего потребления воды (TW) и водного следа (WFP) для системы возделывания твердой пшеницы при богарном и орошаемом (в фазу цветения) управлении.
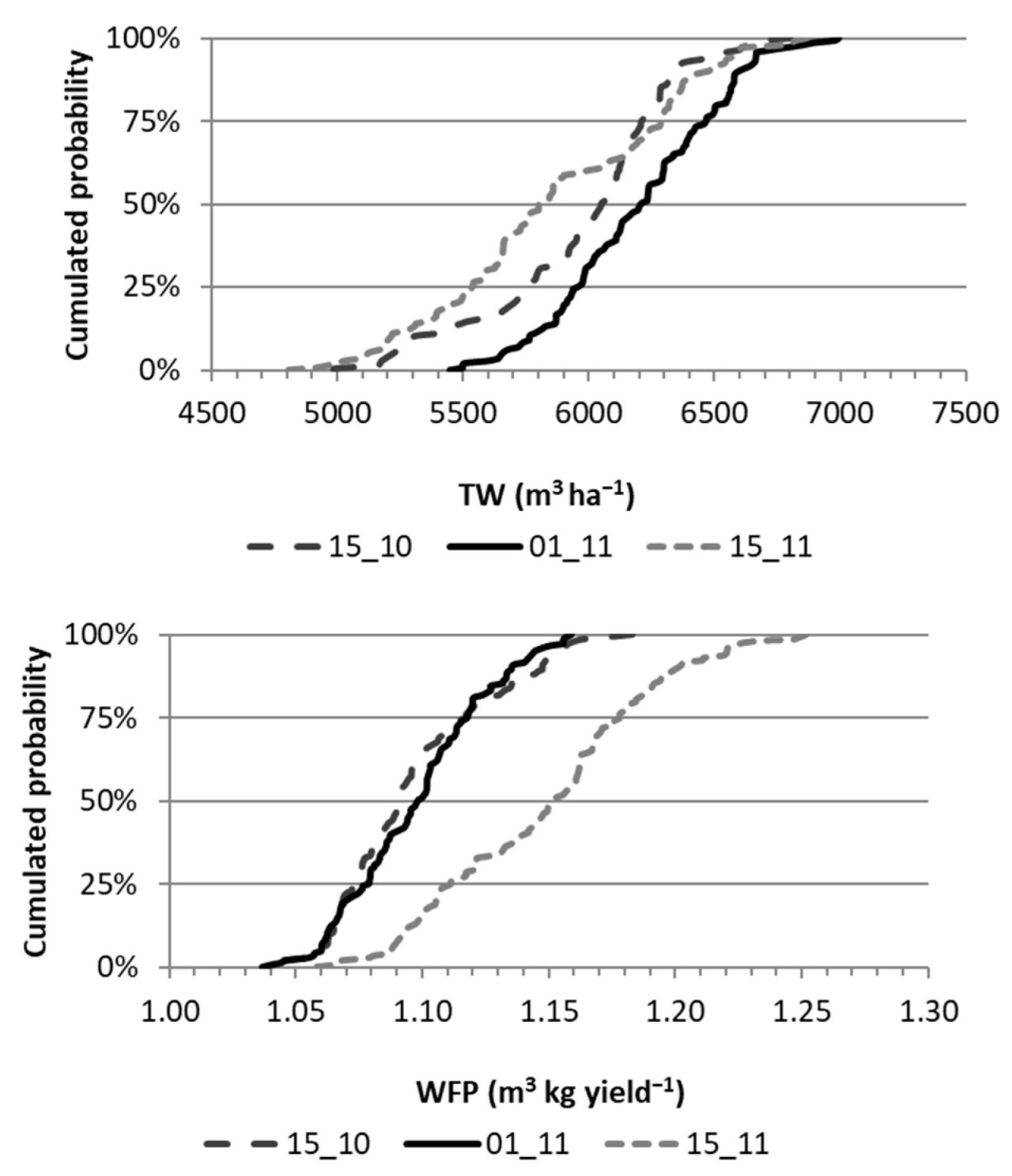
При анализе функций кумулятивной вероятности производственных показателей системы возделывания твердой пшеницы в зависимости от даты посева (усредняя данные об управлении орошением; Рисунок 10) было обнаружено, что посев в середине ноября дал среднюю урожайность (5195 кг га⁻¹) ниже, чем посев 15 октября (5585 кг га⁻¹) и особенно в начале ноября (5718 кг га⁻¹). Кроме того, не только данные об урожайности на 25-м и 75-м перцентилях были ниже при самой поздней дате посева, чем при двух других датах, но и отклонения на этих двух критических порогах (-6,25% на 25-м перцентиле и +6,05% на 75-м перцентиле) относительно среднего значения были больше, чем на двух других датах посева (значения от -3,82% до +5,74%). Напротив урожайности зерна, CO₂-экв. был схож для трех дат посева с медианными значениями от 1197 кг га⁻¹ для посева в середине ноября до 1213 кг га⁻¹ для посева в начале ноября (Рисунок 10). Поскольку на выбросы ПГ в значительной степени влияют практики управления культурами (такие как традиционная обработка почвы), результирующие значения на 25-м и 75-м перцентилях были незначительными с увеличениями (75-й перцентиль) и уменьшениями (25-й перцентиль) менее одного процентного пункта. В любом случае, оценка CFP, особенно по отношению к урожайности культуры, варьировалась в зависимости от периода посева, определяя различные индексы устойчивости для этого параметра (Рисунок 10).
Рисунок 10. Функция кумулятивного распределения относительно урожайности зерна, выбросов ПГ (CO₂-экв.) и углеродного следа (CFP) для системы возделывания твердой пшеницы, посеянной в середине октября (15_10), в начале ноября (01_11) и в середине ноября (15_11).
Действительно, медианное значение было самым низким для посева 1 ноября (0,193 кг CO₂-экв. кг⁻¹), за которым следовал посев в середине октября (0,205 кг кг⁻¹) и, наконец, посев в середине ноября (0,258 кг кг⁻¹). Однако во все три периода посева изменчивость внутригодовых значений CFP увеличилась по сравнению с урожайностью и CO₂-экв. На 25-м перцентиле CFP составил 0,168 кг кг⁻¹ как для посева 15 октября, так и для посева 1 ноября, хотя процентное отклонение составило -15,5% для первого и -11,84% для последнего. Более высоким было значение, зарегистрированное на 25-м перцентиле функции кумулятивной вероятности для посева в середине ноября, где CFP составил 0,201 кг кг⁻¹ (-13,37% относительно среднего значения). Этот период также показал худшие (более высокие) значения этого индекса устойчивости на 75-м перцентиле (0,258 кг кг⁻¹) по сравнению с посевом 1 ноября (0,217 кг кг⁻¹) и серединой октября (0,222 кг кг⁻¹) с процентными отклонениями от +11,50% до +13% относительно среднего значения.
Посев в середине ноября оказался наименее экологически безопасным с точки зрения WFP (Рисунок 11), поскольку эта дата посева стабильно поддерживала более высокие значения WFP через всю кривую функции кумулятивной вероятности от 25-го до 75-го перцентиля (хотя и с вариациями, ограниченными около 5%). Как и для CFP, этот индекс также оставался в пределах умеренных вариаций, учитывая два порога (25-й и 75-й перцентили) кривой кумулятивной вероятности (Рисунок 11), причем наибольшие отклонения от среднего значения происходили для посева в середине ноября (-3,21% до +2,58%), а наименьшие — для посева в начале ноября (-1,72% до +1,81%). Что касается TW, тенденции кривых функции кумулятивной вероятности следовали их соответствующим урожайностям, причем более высокая продуктивность коррелировала с увеличенным водопользованием. В частности, медианные значения составили 6208 м³ га⁻¹, 6052 м³ га⁻¹ и 5804 м³ га⁻¹ для 1 ноября, 15 октября и 15 ноября соответственно. Посев в две ноябрьские даты также обеспечил меньшую межгодовую изменчивость TW по сравнению со средним значением с процентными различиями от +4,21% на 75-м перцентиле до -3,69% на 25-м перцентиле (среднее для обеих дат) по сравнению с +7,42% (75-й перцентиль) и -5,55% (25-й перцентиль) для октябрьского посева.
Рисунок 11. Функция кумулятивного распределения относительно общего потребления воды (TW) и водного следа (WFP) для системы возделывания твердой пшеницы, посеянной в середине октября (15_10), в начале ноября (01_11) и в середине ноября (15_11).
4. Обсуждение
В этом исследовании продуктивные и экологические показатели твердой пшеницы были оценены в ответ на 216 комбинаций различных методов управления культурами (сроки посева и орошение), различных типов почв и различных климатических условий (от равнинных до холмистых районов и от внутренних до прибрежных зон, характерных для территории, исследованной в этом упражнении по моделированию). Это было выполнено с использованием версии AquaCrop, которая также интегрирует пространственное распределение данных, связанных с сельскохозяйственной системой. Алгоритмы моделирования AquaCrop-GIS такие же, как и алгоритмы, лежащие в основе функциональности AquaCrop в точечном масштабе [55]. Выходные данные моделирования основаны на фенотипе культуры, который определяется взаимодействием между генетическими признаками растения и педо-климатическими переменными. Это взаимодействие достигает своего пика при калибровке параметров и коэффициентов, используемых в специфических для культуры алгоритмах моделирования, в данном исследовании для озимой твердой пшеницы, возделываемой в районе Капитанаты [62].
Педо-климатические переменные играют фундаментальную роль в модулировании морфо-продуктивного ответа твердой пшеницы в AquaCrop, поскольку они определяют динамику расширения полога и фенологических фаз (температура), потенциальную эвапотранспирацию культуры (от ET0), тепловой стресс (от температур вне оптимального диапазона) и водный стресс (от специфических для почвы характеристик, таких как глубина, доступность воды для растений и осадки). То же самое относится к практикам управления культурами, таким как даты посева и орошения (как сообщается в этом исследовании), которые в сочетании с различными педо-климатическими сценариями приводят к различным реакциям сельскохозяйственной системы. Комбинация всех этих педо-климатических переменных и практик управления, если бы они были применены в точечной версии AquaCrop, потребовала бы подготовки многочисленных входных файлов (таких как климат, почва и управление) для генерации отдельных выходных сценариев, которые затем были бы интегрированы в электронную таблицу для последующей обработки. Напротив, версия AquaCrop-GIS позволила создать всего несколько входных файлов (электронные таблицы, которые собирают всю информацию, связанную с управлением, параметрами культуры и педо-климатическими условиями в их различных комбинациях), обработка которых дала единый выходной лист, позволив провести быстрый, точный и легко интерпретируемый анализ. Таким образом, применение AquaCrop-GIS позволило исследовать систему возделывания твердой пшеницы на площади примерно 7000 км², разнообразной с точки зрения климатических условий и характеристик почв. Это имеет фундаментальное значение, поскольку выводы, полученные в результате этого упражнения по моделированию, касались не только нескольких педо-климатических точек, а скорее представляли большую территорию, предоставляя значения, высоко репрезентативные для региона, как показано в Таблице 2. Обширные данные были обработаны не только для получения средних значений и стандартных отклонений анализируемых переменных, но и для предоставления конкретных рекомендаций по аспектам, связанным с управлением культурами (в частности, сроками посева и орошения), с точки зрения того, какие из этих практик управления подходят для оптимизации различных аспектов сельскохозяйственной системы.
Во-первых, сценарии моделирования предоставили важную информацию о влиянии сроков посева и практик орошения на продуктивность твердой пшеницы. Были исследованы три даты посева (15 октября, 1 ноября и 15 ноября) и два сценария орошения (только осадки и дополнительное орошение во время цветения (до 60 мм общего объема оросительной воды)). Результаты подчеркнули значительное влияние даты посева на урожайность. Посев в начале ноября, как правило, давал лучшие результаты, чем более поздние даты посева, из-за лучшей адаптации к благоприятным климатическим условиям в критические фазы роста культуры, на что указывает более длительный вегетационный цикл (177 дней) по сравнению с двумя другими датами посева (со средним значением 173 дня). Это подтверждает то, о чем сообщалось другими авторами [71], которые показали, как посев твердой пшеницы в средиземноморских условиях в 30-дневные временные окна приводил к вариациям урожайности от 5% (в регионе Апулия, Южная Италия) до 56% (в провинции Сеттат, Марокко). Однако исследование, основанное на эмпирических моделях, показало, что оптимальной датой посева для максимизации производства озимой пшеницы было с 1 по 15 октября [72]. С другой стороны, обзор литературы сообщил, что для озимой твердой пшеницы ранний посев, когда температуры выше оптимальных, дает плохие растения, и даже более высокая норма высева не может компенсировать низкую урожайность. Более того, в условиях позднего посева пшеница сталкивается с низкими температурами на ранних стадиях и высокими температурами на поздних стадиях вегетационного периода, что из-за отсутствия благоприятной влажности для лучшего роста и развития на этой стадии вызывает снижение урожайности [73].
Комбинируя информацию из AquaCrop-GIS, выяснилось, что GDD при физиологической спелости были почти идентичными через три даты посева (между 2424 °C и 2428 °C), но распределялись на более длительный вегетационный цикл при посеве в начале ноября, что указывает на то, что эта сельскохозяйственная система испытывала более низкие температуры по сравнению с двумя другими датами посева (в среднем 13,6 °C против 14 °C), что приводило к снижению теплового стресса, ответственного за сокращение вегетационного цикла культуры. Кроме того, эвапотранспирация культуры (ETc) составила 315 мм (усредняя значения NO_IRR и IRR), что является промежуточным значением между 288 мм для октябрьского посева и 323 мм для посева в середине ноября. Вода, испарившаяся из почвы, таким образом, непродуктивно использованная культурой, составила в среднем 113 мм для 15_10 и 15_11, что выше, чем 109 мм для посева в начале ноября. Однако эффективность использования воды для потребленной воды в 15_11 (15,8 кг урожайности на мм ETc⁻¹) была ниже по сравнению с 01_11 (17,98 кг урожайности на мм ETc⁻¹) и 15_10 (18,9 кг урожайности на мм ETc⁻¹). В случае 15_10, хотя эффективность использования воды была выше по сравнению с посевом в начале ноября, более короткий вегетационный цикл (из-за менее благоприятных термических условий) привел к более низкой продуктивности по сравнению с 01_11, но более высокой, чем при позднем ноябрьском посеве.
Было обнаружено, что использование дополнительного орошения во время цветения полезно для стабилизации урожайности, а не для улучшения показателей культуры, в соответствии со скромным ростом продуктивности, найденным другими авторами, когда твердая пшеница орошалась во время цветения [74]. Хотя другие авторы продемонстрировали, что орошение во время цветения значительно увеличивало продуктивные показатели пшеницы, оно не сопровождалось более высокой эффективностью использования воды [75].
В упражнении по моделированию, о котором сообщается в этой статье, обработка данных продемонстрировала, как эта практика смягчала неблагоприятные последствия водного стресса во время критической фазы развития (фаза цветения), тем самым увеличивая стабильность урожайности с течением времени, а не предоставляя значительного увеличения урожайности зерна. Это было подтверждено более высокой урожайностью при сравнении зерен, полученных на нижнем пороговом перцентиле функции плотности кумулятивной вероятности. Например, на 25-м перцентиле значение урожайности для NO_IRR составило 5034 кг га⁻¹, в то время как в орошаемом сценарии это значение было обнаружено на 15-м перцентиле, что указывает на более низкую вероятность (на 10 процентных пунктов) получения такой низкой урожайности.
Что касается экологического аспекта, удобрения (тип и количество), указанные для этой сельскохозяйственной системы (аммиачная селитра и мочевина при традиционной обработке почвы), были основным источником выбросов ПГ (как прямых, так и косвенных), составляя около 48% от общего воздействия на окружающую среду. Значительный вклад азотных удобрений в выбросы CO₂-экв. в атмосферу, найденный в нашем исследовании, согласуется с другими исследованиями, которые подчеркивали ключевую роль эффективного управления азотом в снижении выбросов парниковых газов (ПГ) в средиземноморских пшеничных системах [3]. Таким образом, этот агроресурс подтвержден как один из основных «горячих точек» с точки зрения экологической устойчивости возделывания твердой пшеницы при традиционной обработке почвы, как это было определено другими авторами в исследованиях твердой пшеницы, выращенной в регионе Апулия [76].
Управление почвой, в частности операции по подготовке семенного ложа, было вторым по интенсивности выбросов процессом, за которым следовали другие операции, связанные с посевом, уборкой и упаковкой. Сообщалось, что выбор практики обработки почвы является основным вариантом значительного сокращения выбросов парниковых газов с сокращениями до 42% при переходе от традиционной обработки почвы к нулевой обработке [77]. Кроме того, оставление соломы на почве может привести к экономии CO₂-экв. около 6% (из-за сокращения сбора и тюкования соломы). Однако переход от традиционной обработки почвы к альтернативным методам обработки (таким как минимальная обработка и нулевая обработка) может, по крайней мере, в кратко- и среднесрочной перспективе, включать компромиссы, которые нивелируют сокращение выбросов ПГ и/или эффективность с точки зрения CFP.
Действительно, сообщалось, что уменьшенная или даже нулевая обработка почвы снижает продуктивность зерновых [78,79,80] с потерями до -10% для минимальной обработки и -20% для нулевой обработки. Другой проблемой, связанной с альтернативными традиционной обработке почвы методами управления почвой, является повышенное использование пестицидов для борьбы с сорняками. Фактически, уменьшение обработки почвы и/или оставление соломы на почве создает оптимальную среду для развития сорняков (семена остаются на поверхности, но «защищены» растительными остатками). Остатки также снижают эффективность пестицидов [81]. Это может привести к внесению гербицидов там, где они ранее не использовались, или к увеличению норм там, где они использовались. Использование гербицидов в травянистых сельскохозяйственных системах вносит значительный вклад в выбросы ПГ как при производстве, так и при применении (302 кг CO₂-экв. га⁻¹) [82], а также в косвенные выбросы ПГ (до 383 кг CO₂-экв. га⁻¹) [83]. Недавние исследования подчеркнули значительное влияние практик обработки почвы на здоровье почвы и выбросы ПГ. Нарушение физической структуры почвы из-за обработки изменило почвенную среду и плодородие, повлияв на микробное разложение и корневое дыхание, что, в свою очередь, повлияло на выбросы ПГ [84]. В то время как влияние обработки почвы на урожайность сельскохозяйственных культур оставалось неопределенным, нулевая обработка почвы была связана с повышенными выбросами CO₂, CH₄ и N₂O. В частности, было обнаружено, что нулевая обработка почвы увеличивает выбросы CO₂ на 7,1%, выбросы CH₄ на 20,8% и выбросы N₂O на 12,0% [85].
И наоборот, методы уменьшенной обработки почвы предлагали преимущества за счет улучшения аэрации почвы и снижения влажности, потенциально приводя к более высокому содержанию органического вещества почвы и более низким выбросам N₂O. Эти практики считались полезными для хранения углерода и общих экономических результатов [86]. С другой стороны, было продемонстрировано, что, хотя глубокая обработка почвы усугубляла выбросы CO₂, она не влияла аналогичным образом на выбросы других мощных парниковых газов, таких как N₂O и CH₄ [87].
В любом случае, анализ, проведенный в этом упражнении по моделированию, показал, что даже при тех же методах управления (традиционная обработка почвы, которая представляет почти всю агрономическую практику возделывания твердой пшеницы в монокультуре), можно было снизить воздействие сельскохозяйственной системы на окружающую среду (т.е. CFP). Это сокращение было достигнуто за счет изменения двух практик: даты посева и орошения. Эти корректировки не требуют значительных изменений в методах ведения сельского хозяйства, машинах или оборудовании. Это стало возможным благодаря увеличению продуктивности сельскохозяйственных культур, которая является знаменателем в расчете CFP. Потенциал смягчения воздействия на окружающую среду системы возделывания твердой пшеницы за счет снижения показателя CFP был также продемонстрирован другими исследованиями, которые показали, что выбор соответствующих агрономических практик, включая оптимальную дату посева, может улучшить продуктивность сельскохозяйственных культур без увеличения производственных затрат [88,89]. Действительно, этот индекс был ниже в сельскохозяйственной системе с более высокими урожаями (т.е. при посеве в начале ноября, с орошением или без него), в то время как самые высокие значения (указывающие на менее экологически безопасные системы возделывания) наблюдались при более позднем посеве, с водоснабжением или без него. Высокая изменчивость значения этого индекса также сообщалась в нескольких других исследованиях, подтверждая, что продуктивность является ключевым фактором в модулировании CFP [90,91,92], причем самые высокие значения наблюдаются в системах с самой низкой продуктивностью [93].
Интересное наблюдение было сделано при анализе функции кумулятивного распределения. При позднем посеве риск получения высоких значений CFP (выраженных как 0,258 кг CO₂-экв. на кг урожайности на 75-м перцентиле) по сравнению со средним значением наблюдался только для посева в середине ноября, а не для посева в середине октября или начале ноября. Эти две даты посева никогда не давали значений CFP, равных или превышающих эту величину, что указывает на то, что они явно предпочтительны для снижения воздействия на окружающую среду, связанного с этим индексом. Управление орошением также оказалось важным для снижения значения CFP. Действительно, при анализе кривых плотности кумулятивной вероятности IRR сместил кривую влево по сравнению с NO_IRR, подчеркивая, как эта практика, хотя и основанная на небольших объемах водоснабжения во время фазы цветения, могла способствовать более стабильной урожайности, менее восприимчивой к климатическим капризам вегетационного сезона, и в конечном итоге снижать CFP. Хотя орошение играет ключевую роль в снижении CFP, в проанализированных системах возделывания его влияние на водопотребление системы было ограниченным. Фактически, влияние объемов орошения, формализованных в этом исследовании, было незначительным, составляя максимум 1,7% (в системе с наибольшим водоснабжением для орошения) с точки зрения BlueW. Однако оно способствовало более стабильной урожайности и облегчало лучшее использование водных ресурсов. Это объясняет, почему в наиболее продуктивных сценариях управления (с орошением и посевом в начале ноября) TW было выше из-за увеличения потребления GreenW, а не увеличения BlueW. Эта тенденция также подтверждается другими авторами, где скромное увеличение оросительной воды приводило к увеличению потребления GreenW [94]. Однако тенденция WFP показала обратную зависимость с CFP.
В то время как увеличение продуктивности оправдывало снижение последнего индекса (при аналогичных условиях управления культурами и почвой), WFP отметил отсутствие пропорциональности между увеличенным водопользованием и урожайностью зерна. Вместо этого на этот индекс устойчивости негативно повлияло повышение продуктивности. Другими словами, в богарных условиях культура использовала дождевую воду более эффективно, так что более низкая (хотя и не драматическая) урожайность соответствовала лучшей устойчивости с точки зрения WFP. Это согласуется с выводами предыдущих исследований, где лучшая эффективность использования воды зерновыми в условиях сниженного водоснабжения широко наблюдалась по сравнению с лучшими условиями водоснабжения [95,96,97]. Аналогично, было обнаружено, что орошение твердой пшеницы, хотя и приводило к почти удвоенной урожайности по сравнению с неорошаемыми культурами (5,4 т га⁻¹ против 2,8 т га⁻¹), не соответствовало такому же улучшению WFP. Фактически, богарные растения смогли снизить значение этого индекса на 14% по сравнению с получавшими дополнительную воду (1,05 м³ на кг урожайности против 1,22 кг урожайности) [98]. Полученные и обсужденные здесь результаты показывают нюансированный компромисс между снижением CFP и увеличением WFP в производстве твердой пшеницы. В то время как минимизация CFP имеет решающее значение для смягчения воздействия на окружающую среду, оптимизация WFP одинаково важна для обеспечения эффективного использования воды, особенно ввиду ее растущей нехватки. Сокращение выбросов ПГ тесно связано с сокращением агротехнических ресурсов. Переход от традиционной обработки почвы к альтернативным методам управления почвой (таким как минимальная обработка и нулевая обработка) мог бы оказать положительное влияние на экологическую устойчивость сельскохозяйственной системы (такой как твердая пшеница). Однако это потребовало бы замены оборудования, что является серьезной проблемой для большинства ферм по возделыванию твердой пшеницы в исследуемом районе и вряд ли будет достижимо в краткосрочной перспективе. Минеральное азотное удобрение является еще одним фактором, который следует учитывать, и здесь сокращение дозы и/или использование альтернативных форм удобрений (таких как компост) могли бы быть полезными.
Такие изменения необходимо тщательно оценивать с точки зрения потенциальной потери продуктивности; поскольку целью является оптимизация WFP, это исследование показало важность поддержания адекватной урожайности во избежание снижения значений CFP. Кроме того, оставление соломы на почве, а не ее удаление, может улучшить экологическую устойчивость сельскохозяйственной системы за счет увеличения запасов почвенного органического углерода. Однако важно учитывать компромиссы, связанные с повышенными выбросами N₂O и метана из-за разложения соломы [99]. Наконец, использование WFP для оценки экологической устойчивости производства твердой пшеницы, по крайней мере, в педо-климатических условиях и при уровнях орошения, использованных здесь, может быть сложным и требует тщательной оценки. Сокращение этого индекса неизбежно влечет за собой сокращение GreenW, который представляет собой большинство используемой воды, даже с учетом скромных объемов оросительной воды, использованных здесь (которые оказывают минимальное влияние на BlueW). Результаты показывают, что сокращение GreenW связано с более низкой урожайностью (меньше эвапотранспирированной воды), но давать инструкции в этом направлении (производить меньше для снижения потребления воды и увеличения WFP) не является устойчивым с других точек зрения (таких как экономическая отдача). В этом случае, вместо того чтобы пытаться минимизировать этот индекс отдельно от CFP, рекомендуется оптимизировать оба индекса, в том числе путем выбора конкретных дат посева (например, начало ноября) в сочетании со скромными объемами орошения в период цветения (около 300 м³ га⁻¹).
5. Выводы
В этом исследовании представлен инновационный подход путем интеграции модели AquaCrop-GIS с инструментом оценки углеродного и водного следа (CWFP) для оценки как продуктивности, так и экологической устойчивости при производстве твердой пшеницы. Новизна этого исследования заключается в использовании этих инструментов вместе для оценки компромиссов между оптимизацией урожайности и воздействием на окружающую среду, такими как выбросы ПГ и водопользование, через различные даты посева и режимы орошения. В отличие от традиционных исследований, которые оценивают либо агрономическую эффективность, либо воздействие на окружающую среду изолированно, это исследование предоставляет всеобъемлющую основу, связывающую методы управления культурами с результатами устойчивости.
Модельный анализ системы возделывания твердой пшеницы выявил значительное влияние сроков посева и практик орошения как на продуктивность, так и на экологическую устойчивость. Были исследованы три различных даты посева, а также богарный и орошаемый сценарии для оценки их влияния на урожайность зерна, выбросы ПГ и водопользование. С точки зрения продуктивности, посев в начале ноября превзошел другие даты, показав более высокую среднюю урожайность зерна при всех водных режимах и педо-климатических условиях. Было обнаружено, что дополнительное орошение во время цветения особенно полезно для стабилизации урожайности и смягчения водного стресса во время критических фаз роста.
С экологической точки зрения, азотные удобрения стали основным вкладчиком в выбросы ПГ, при этом практика управления почвой также значительно повлияла на выбросы. Анализ показал, что дата посева и управление орошением играли ключевую роль в модулировании CFP и WFP. Посев в начале ноября в сочетании с дополнительным орошением привел к более низким значениям CFP, что указывает на большую экологическую устойчивость по сравнению с более поздними датами посева. Однако повышенная продуктивность, являющаяся результатом оптимизированных методов управления, также привела к более высоким значениям WFP, что подчеркивает тонкий баланс между продуктивностью и сохранением водных ресурсов, особенно для компонента GreenW.
С точки зрения устойчивости, результаты показывают, что, хотя, возможно, невозможно максимизировать оба индекса экологической устойчивости одновременно, оптимизация обоих может быть достигнута за счет тщательного управления сроками посева и дефицитным орошением. Это особенно верно там, где значительные изменения в сельскохозяйственной системе, такие как уменьшенная обработка почвы, изменения в управлении удобрениями и вариации в управлении соломой, не только требуют инвестиций времени, технологий и оборудования, но также требуют рассмотрения того, как эти изменения могут повлиять на другие переменные, такие как продуктивность, повышенное использование химикатов и увеличенные выбросы ПГ.
Этот двойной фокус на продуктивности и экологической устойчивости в сочетании с инновационным применением инструментов моделирования предоставляет практические идеи для улучшения систем производства твердой пшеницы, особенно в средиземноморских условиях.
Ссылки
1. Falcone, G.; Stillitano, T.; Montemurro, F.; De Luca, A.I.; Gulisano, G.; Strano, A. Environmental and Economic Assessment of Sustainability in Mediterranean Wheat Production. Agron. Res. 2019, 17, 60–79. [Google Scholar] [CrossRef]
2. FAO. FAO Statistical Yearbook 2013—World Food and Agriculture; FAO Statistical Yearbook; FAO: Rome, Italy, 2012; ISBN 978-92-5-107396-4. [Google Scholar]
3. Tedone, L.; Ali, S.A.; Mastro, G.D. Optimization of Nitrogen in Durum Wheat in the Mediterranean Climate: The Agronomical Aspect and Greenhouse Gas (GHG) Emissions. In Nitrogen in Agriculture—Updates; Amanullah, K., Fahad, S., Eds.; InTech: London, UK, 2018; ISBN 978-953-51-3768-9. [Google Scholar]
4. Martínez-Moreno, F.; Solís, I.; Noguero, D.; Blanco, A.; Özberk, İ.; Nsarellah, N.; Elias, E.; Mylonas, I.; Soriano, J.M. Durum Wheat in the Mediterranean Rim: Historical Evolution and Genetic Resources. Genet. Resour. Crop Evol. 2020, 67, 1415–1436. [Google Scholar] [CrossRef]
5. Ahmad, W.; Ullah, N.; Xu, L.; El Sabagh, A. Editorial: Global Food and Nutrition Security Under Changing Climates. Front. Agron. 2022, 3, 799878. [Google Scholar] [CrossRef]
6. Toscano, P.; Genesio, L.; Crisci, A.; Vaccari, F.P.; Ferrari, E.; Cava, P.L.; Porter, J.R.; Gioli, B. Empirical Modelling of Regional and National Durum Wheat Quality. Agric. For. Meteorol. 2015, 204, 67–78. [Google Scholar] [CrossRef]
7. ISTAT. Available online: https://www.istat.it/it/files//2021/05/Tavole_dati_Indicatori_agro_ambientali_AEIs_2010_19_20_05_2021.xlsx. (accessed on 1 April 2024).
8. Rezzouk, F.Z.; Gracia-Romero, A.; Kefauver, S.C.; Nieto-Taladriz, M.T.; Serret, M.D.; Araus, J.L. Durum Wheat Ideotypes in Mediterranean Environments Differing in Water and Temperature Conditions. Agric. Water Manag. 2022, 259, 107257. [Google Scholar] [CrossRef]
9. Xynias, I.N.; Mylonas, I.; Korpetis, E.G.; Ninou, E.; Tsaballa, A.; Avdikos, I.D.; Mavromatis, A.G. Durum Wheat Breeding in the Mediterranean Region: Current Status and Future Prospects. Agronomy 2020, 10, 432. [Google Scholar] [CrossRef]
10. Todorović, M.; Mehmeti, A.; Cantore, V. Impact of Different Water and Nitrogen Inputs on the Eco-Efficiency of Durum Wheat Cultivation in Mediterranean Environments. J. Clean. Prod. 2018, 183, 1276–1288. [Google Scholar] [CrossRef]
11. Soto-Gómez, D.; Pérez-Rodríguez, P. Sustainable Agriculture through Perennial Grains: Wheat, Rice, Maize, and Other Species. A. Review. Agric. Ecosyst. Environ. 2022, 325, 107747. [Google Scholar] [CrossRef]
12. Ross-Ibarra, J.; Morrell, P.L.; Gaut, B.S. Plant Domestication, a Unique Opportunity to Identify the Genetic Basis of Adaptation. Proc. Natl. Acad. Sci. USA 2007, 104, 8641–8648. [Google Scholar] [CrossRef]
13. Howells, M.; Hermann, S.; Welsch, M.; Bazilian, M.; Segerström, R.; Alfstad, T.; Gielen, D.; Rogner, H.; Fischer, G.; Van Velthuizen, H.; et al. Integrated Analysis of Climate Change, Land-Use, Energy and Water Strategies. Nat. Clim. Change 2013, 3, 621–626. [Google Scholar] [CrossRef]
14. Turral, H.; Burke, J.J.; Faurès, J.-M. Climate Change, Water and Food Security; FAO Water Reports; Food and Agriculture Organization of the United Nations: Rome, Italy, 2011; ISBN 978-92-5-106795-6. [Google Scholar]
15. Cox, T.S.; Glover, J.D.; Van Tassel, D.L.; Cox, C.M.; DeHaan, L.R. Prospects for Developing Perennial Grain Crops. BioScience 2006, 56, 649. [Google Scholar] [CrossRef]
16. Pimentel, D.; Cerasale, D.; Stanley, R.C.; Perlman, R.; Newman, E.M.; Brent, L.C.; Mullan, A.; Chang, D.T.-I. Annual vs. Perennial Grain Production. Agric. Ecosyst. Environ. 2012, 161, 1–9. [Google Scholar] [CrossRef]
17. Gallucci, T.; Lagioia, G.; Piccinno, P.; Lacalamita, A.; Pontrandolfo, A.; Paiano, A. Environmental Performance Scenarios in the Production of Hollow Glass Containers for Food Packaging: An LCA Approach. Int. J. Life Cycle Assess 2021, 26, 785–798. [Google Scholar] [CrossRef]
18. Garcia-Garcia, G.; Azanedo, L.; Rahimifard, S. Embedding Sustainability Analysis in New Food Product Development. Trends Food Sci. Technol. 2021, 108, 236–244. [Google Scholar] [CrossRef]
19. Hatt, S.; Artru, S.; Brédart, D.; Lassois, L.; Francis, F.; Haubruge, É.; Garré, S.; Stassart, P.M.; Dufrêne, M.; Monty, A.; et al. Towards sustainable food systems: The concept of agroecology and how it questions current research practices. A review. Biotechnol. Agron. Soc. Environ. 2016, 20, 215–224. [Google Scholar] [CrossRef]
20. Mäkinen, H.; Kaseva, J.; Trnka, M.; Balek, J.; Kersebaum, K.C.; Nendel, C.; Gobin, A.; Olesen, J.E.; Bindi, M.; Ferrise, R.; et al. Sensitivity of European Wheat to Extreme Weather. Field Crops Res. 2018, 222, 209–217. [Google Scholar] [CrossRef]
21. Trnka, M.; Olesen, J.E.; Kersebaum, K.C.; Skjelvåg, A.O.; Eitzinger, J.; Seguin, B.; Peltonen-Sainio, P.; Rötter, R.; Iglesias, A.; Orlandini, S.; et al. Agroclimatic Conditions in Europe under Climate Change: Agroclimatic Conditions in Europe under CC. Glob. Change Biol. 2011, 17, 2298–2318. [Google Scholar] [CrossRef]
22. Chen, D.; Suter, H.; Islam, A.; Edis, R.; Freney, J.R.; Walker, C.N. Prospects of Improving Efficiency of Fertiliser Nitrogen in Australian Agriculture: A Review of Enhanced Efficiency Fertilisers. Soil Res. 2008, 46, 289. [Google Scholar] [CrossRef]
23. Tomaz, A. An Overview on the Use of Enhanced Efficiency Nitrogen Fertilizers in Irrigated Mediterranean Agriculture. Biomed. J. Sci. Tech. Res. 2017, 1, 1938–1940. [Google Scholar] [CrossRef]
24. Oliveira, P.; Patanita, M.; Dôres, J.; Boteta, L.; Palma, J.F.; Patanita, M.I.; Guerreiro, I.; Penacho, J.; Costa, M.N.; Rosa, E.; et al. Combined Effects of Irrigation Management and Nitrogen Fertilization on Soft Wheat Productive Responses under Mediterranean Conditions. E3S Web Conf. 2019, 86, 00019. [Google Scholar] [CrossRef]
25. Patanita, M.; Tomaz, A.; Ramos, T.; Oliveira, P.; Boteta, L.; Dôres, J. Water Regime and Nitrogen Management to Cope with Wheat Yield Variability under the Mediterranean Conditions of Southern Portugal. Plants 2019, 8, 429. [Google Scholar] [CrossRef] [PubMed]
26. Ali Fallahi, H.; Nasseri, A.; Siadat, A. Wheat Yield Components Are Positively Influenced by Nitrogen Application under Moisture Deficit Environments. Int. J. Agric. Biol. 2008, 10, 6. [Google Scholar]
27. Zeleke, K.T.; Nendel, C. Analysis of Options for Increasing Wheat (Triticum aestivum L.) Yield in South-Eastern Australia: The Role of Irrigation, Cultivar Choice and Time of Sowing. Agric. Water Manag. 2016, 166, 139–148. [Google Scholar] [CrossRef]
28. Liu, W.; Wang, J.; Wang, C.; Ma, G.; Wei, Q.; Lu, H.; Xie, Y.; Ma, D.; Kang, G. Root Growth, Water and Nitrogen Use Efficiencies in Winter Wheat Under Different Irrigation and Nitrogen Regimes in North China Plain. Front. Plant Sci. 2018, 9, 1798. [Google Scholar] [CrossRef]
29. Howell, T.A. Enhancing Water Use Efficiency in Irrigated Agriculture. Agron. J. 2001, 93, 281–289. [Google Scholar] [CrossRef]
30. Katerji, N.; Mastrorilli, M.; Rana, G. Water Use Efficiency of Crops Cultivated in the Mediterranean Region: Review and Analysis. Eur. J. Agron. 2008, 28, 493–507. [Google Scholar] [CrossRef]
31. Zwart, S.J.; Bastiaanssen, W.G.M.; De Fraiture, C.; Molden, D.J. A Global Benchmark Map of Water Productivity for Rainfed and Irrigated Wheat. Agric. Water Manag. 2010, 97, 1617–1627. [Google Scholar] [CrossRef]
32. Pereira, L.S.; Cordery, I.; Iacovides, I. Improved Indicators of Water Use Performance and Productivity for Sustainable Water Conservation and Saving. Agric. Water Manag. 2012, 108, 39–51. [Google Scholar] [CrossRef]
33. Zhang, W.; Liu, G.; Sun, J.; Fornara, D.; Zhang, L.; Zhang, F.; Li, L. Temporal Dynamics of Nutrient Uptake by Neighbouring Plant Species: Evidence from Intercropping. Funct. Ecol. 2017, 31, 469–479. [Google Scholar] [CrossRef]
34. Levidow, L.; Zaccaria, D.; Maia, R.; Vivas, E.; Todorovic, M.; Scardigno, A. Improving Water-Efficient Irrigation: Prospects and Difficulties of Innovative Practices. Agric. Water Manag. 2014, 146, 84–94. [Google Scholar] [CrossRef]
35. Fernández, J.E.; Alcon, F.; Diaz-Espejo, A.; Hernandez-Santana, V.; Cuevas, M.V. Water Use Indicators and Economic Analysis for On-Farm Irrigation Decision: A Case Study of a Super High Density Olive Tree Orchard. Agric. Water Manag. 2020, 237, 106074. [Google Scholar] [CrossRef]
36. Hoekstra, A.Y. Virtual Water Trade: Proceedings of the International Expert Meeting on Virtual Water Trade. 2003, p. 93. Available online: https://ihedelftrepository.contentdm.oclc.org/digital/collection/p21063coll3/id/10351 (accessed on 1 July 2024).
37. Mekonnen, M.M.; Hoekstra, A.Y. The Green, Blue and Grey Water Footprint of Crops and Derived Crop Products. Hydrol. Earth Syst. Sci. 2011, 15, 1577–1600. [Google Scholar] [CrossRef]
38. Ababaei, B.; Etedali, H.R. Estimation of Water Footprint Components of Iran’s Wheat Production: Comparison of Global and National Scale Estimates. Environ. Process. 2014, 1, 193–205. [Google Scholar] [CrossRef]
39. ISO 14046:2014; Environmental Management–Water Footprint–Principles, Requirements and Guidelines. International Organization for Standardization: Geneva, Switzerland, 2014.
40. Steen-Olsen, K.; Weinzettel, J.; Cranston, G.; Ercin, A.E.; Hertwich, E.G. Carbon, Land, and Water Footprint Accounts for the European Union: Consumption, Production, and Displacements through International Trade. Environ. Sci. Technol. 2012, 46, 10883–10891. [Google Scholar] [CrossRef] [PubMed]
41. Rodriguez, C.I.; Ruiz De Galarreta, V.A.; Kruse, E.E. Analysis of Water Footprint of Potato Production in the Pampean Region of Argentina. J. Clean. Prod. 2015, 90, 91–96. [Google Scholar] [CrossRef]
42. Perry, C. Water Footprints: Path to Enlightenment, or False Trail? Agric. Water Manag. 2014, 134, 119–125. [Google Scholar] [CrossRef]
43. Khan, S.; Hanjra, M.A. Footprints of Water and Energy Inputs in Food Production–Global Perspectives. Food Policy 2009, 34, 130–140. [Google Scholar] [CrossRef]
44. Ruddiman, W.F. The Anthropogenic Greenhouse Era Began Thousands of Years Ago. Clim. Change 2003, 61, 261–293. [Google Scholar] [CrossRef]
45. Janzen, H.H.; Beauchemin, K.A.; Bruinsma, Y.; Campbell, C.A.; Desjardins, R.L.; Ellert, B.H.; Smith, E.G. The Fate of Nitrogen in Agroecosystem: An Illustration Using Canadian Estimates. Nutr. Cycl. Agroecosyst. 2003, 67, 85–102. [Google Scholar] [CrossRef]
46. Pattara, C.; Raggi, A.; Cichelli, A. Life Cycle Assessment and Carbon Footprint in the Wine Supply-Chain. Environ. Manag. 2012, 49, 1247–1258. [Google Scholar] [CrossRef]
47. Zubelzu, S.; Álvarez, R.; Hernández, A. Methodology to Calculate the Carbon Footprint of Household Land Use in the Urban Planning Stage. Land Use Policy 2015, 48, 223–235. [Google Scholar] [CrossRef]
48. Brentrup, F.; Küsters, J.; Lammel, J.; Kuhlmann, H. Methods to Estimate On-Field Nitrogen Emissions from Crop Production as an Input to LCA Studies in the Agricultural Sector. Int. J. LCA 2000, 5, 349. [Google Scholar] [CrossRef]
49. AquaCrop-GIS. Available online: https://www.fao.org/aquacrop/software/aquacrop-gis/en/ (accessed on 1 April 2024).
50. Garofalo, P.; Parlavecchia, M.; Giglio, I.; Campobasso, I.; Ventrella, D. Developing a Software for Measuring Carbon and Water Footprint of Organic Durum Wheat Cultivation Systems: The Smart Future Organic Farming (SFOF) Project. In Proceedings of the XXV Convegno Nazionale di Agrometeorologia, Matera, Italy, 14–16 June 2023; pp. 100–103. [Google Scholar]
51. Censimento Agricoltura. 2020. Available online: https://www.istat.it/notizia/censimento-agricoltura-2020-online-i-principali-dati/ (accessed on 1 September 2024).
52. Regional Land Use Cover. 2011. Available online: https://pugliacon.regione.puglia.it/web/sit-puglia-sit/uso-del-suolo (accessed on 10 July 2024).
53. Hsiao, T.C.; Heng, L.; Steduto, P.; Rojas-Lara, B.; Raes, D.; Fereres, E. AquaCrop—The FAO Crop Model to Simulate Yield Response to Water: III. Parameterization and Testing for Maize. Agron. J. 2009, 101, 448–459. [Google Scholar] [CrossRef]
54. Steduto, P.; Hsiao, T.C.; Raes, D.; Fereres, E. AquaCrop—The FAO Crop Model to Simulate Yield Response to Water: I. Concepts and Underlying Principles. Agron. J. 2009, 101, 426–437. [Google Scholar] [CrossRef]
55. Raes, D.; Steduto, P.; Hsiao, T.C.; Fereres, E. AquaCrop—The FAO Crop Model to Simulate Yield Response to Water: II. Main Algorithms and Software Description. Agron. J. 2009, 101, 438–447. [Google Scholar] [CrossRef]
56. Doorenbos, J. Yield Response to Water; FAO Irrigation and Drainage Paper; Reprint; FAO: Rome, Italy, 1996; ISBN 978-92-5-100744-0. [Google Scholar]
57. Heng, L.K.; Hsiao, T.; Evett, S.; Howell, T.; Steduto, P. Validating the FAO AquaCrop Model for Irrigated and Water Deficient Field Maize. Agron. J. 2009, 101, 488–498. [Google Scholar] [CrossRef]
58. Muroyiwa, G.; Mhizha, T.; Mashonjowa, E.; Muchuweti, M. Evaluation of FAO AquaCrop Model for Ability to Simulate Attainable Yields and Water Use for Field Tomatoes Grown Under Deficit Irrigation in Harare, Zimbabwe. Afr. Crop Sci. J. 2022, 30, 245–269. [Google Scholar] [CrossRef]
59. Wellens, J.; Raes, D.; Fereres, E.; Diels, J.; Coppye, C.; Adiele, J.G.; Ezui, K.S.G.; Becerra, L.-A.; Selvaraj, M.G.; Dercon, G.; et al. Calibration and Validation of the FAO AquaCrop Water Productivity Model for Cassava (Manihot Esculenta Crantz). Agric. Water Manag. 2022, 263, 107491. [Google Scholar] [CrossRef]
60. Harmonized World Soil Database; Version 2.0; FAO; International Institute for Applied Systems Analysis (IIASA): Laxenburg, Austria, 2023; ISBN 978-92-5-137499-3.
61. AGRI4CAST. Available online: https://Agri4cast.Jrc.Ec.Europa.Eu/DataPortal/Index.Aspx?O=d (accessed on 1 May 2024).
62. Trombetta, A.; Iacobellis, V.; Tarantino, E.; Gentile, F. Calibration of the AquaCrop Model for Winter Wheat Using MODIS LAI Images. Agric. Water Manag. 2016, 164, 304–316. [Google Scholar] [CrossRef]
63. CWFP. Carbon and Water Footprint Tool. Available online: https://Sfof-85d3d.Web.App/#/Home (accessed on 15 March 2024).
64. Patouillard, L.; Bulle, C.; Querleu, C.; Maxime, D.; Osset, P.; Margni, M. Critical Review and Practical Recommendations to Integrate the Spatial Dimension into Life Cycle Assessment. J. Clean. Prod. 2018, 177, 398–412. [Google Scholar] [CrossRef]
65. European Commission, Joint Research Centre, Institute for Environment and Sustainability. Characterisation Factors of the ILCD Recommended Life Cycle Impact Assessment Methods. Database and Supporting Information. First Edition. February. Available online: https://eplca.jrc.ec.europa.eu/uploads/LCIA-characterization-factors-of-the-ILCD.pdf (accessed on 15 April 2024).
66. Smith, B.J. Fuel Consumption Models for Tractors with Partial Drawbar Loads. Master’s Thesis, University of Nebraska, Lincoln, NE, USA, 2015. [Google Scholar]
67. Mubako, S.T. Blue, green, and grey water quantification approaches: A bibliometric and literature review. J. Contemp. Wat. Res. Ed. 2018, 165, 4–19. [Google Scholar] [CrossRef]
68. IPCC. 2006. Available online: https://www.ipcc-nggip.iges.or.jp/public/2006gl/vol4.html (accessed on 10 May 2024).
69. Henin, S.; Dupuis, M. Essai de Bilan de La Matière Organique Du Sol; Dunod (impr. de Chaix): Paris, France, 1945. [Google Scholar]
70. Garofalo, P.; Ventrella, D.; Kersebaum, K.C.; Gobin, A.; Trnka, M.; Giglio, L.; Dubrovský, M.; Castellini, M. Water Footprint of Winter Wheat Under Climate Change: Trends and Uncertainties Associated to the Ensemble of Crop Models. Sci. Total Environ. 2019, 658, 1186–1208. [Google Scholar] [CrossRef] [PubMed]
71. Padovan, G.; Martre, P.; Semenov, M.A.; Masoni, A.; Bregaglio, S.; Ventrella, D.; Lorite, I.J.; Santos, C.; Bindi, M.; Ferrise, R.; et al. Understanding Effects of Genotype × Environment × Sowing Window Interactions for Durum Wheat in the Mediterranean Basin. Field Crops Res. 2020, 259, 107969. [Google Scholar] [CrossRef]
72. Liu, J.; He, Q.; Zhou, G.; Song, Y.; Guan, Y.; Xiao, X.; Sun, W.; Shi, Y.; Zhou, K.; Zhou, S.; et al. Effects of Sowing Date Variation on Winter Wheat Yield: Conclusions for Suitable Sowing Dates for High and Stable Yield. Agronomy 2023, 13, 991. [Google Scholar] [CrossRef]
73. Fazily, T. Effect of Sowing Dates and Seed Rates on Growth and Yield of Different Wheat Varieties: A Review. Int. J. Adv. Agric. Sci. Technol. 2021, 8, 10–26. [Google Scholar] [CrossRef]
74. Karam, F.; Kabalan, R.; Breidi, J.; Rouphael, Y.; Oweis, T. Yield and Water-Production Functions of Two Durum Wheat Cultivars Grown Under Different Irrigation and Nitrogen Regimes. Agric. Water Manag. 2009, 96, 603–615. [Google Scholar] [CrossRef]
75. Li, J.; Inanaga, S.; Li, Z.; Eneji, A.E. Optimizing Irrigation Scheduling for Winter Wheat in the North China Plain. Agric. Water Manag. 2005, 76, 8–23. [Google Scholar] [CrossRef]
76. Alhajj Ali, S.; Tedone, L.; Verdini, L.; De Mastro, G. Effect of Different Crop Management Systems on Rainfed Durum Wheat Greenhouse Gas Emissions and Carbon Footprint Under Mediterranean Conditions. J. Clean. Prod. 2017, 140, 608–621. [Google Scholar] [CrossRef]
77. Maraseni, T.N.; Cockfield, G. Does the Adoption of Zero Tillage Reduce Greenhouse Gas Emissions? An Assessment for the Grains Industry in Australia. Agric. Syst. 2011, 104, 451–458. [Google Scholar] [CrossRef]
78. Bahrani, M.J.; Kheradnam, M.; Emam, Y.; Ghadiri, H.; Assad, M.T. Effects of tillage methods on wheat yield and yield components in continuous wheat cropping. Exp. Agric. 2002, 38, 389–395. [Google Scholar] [CrossRef]
79. Busscher, W.J.; Bauer, P.J.; Frederick, J.R. Deep Tillage Management for High Strength Southeastern USA Coastal Plain Soils. Soil Tillage Res. 2006, 85, 178–185. [Google Scholar] [CrossRef]
80. Sainju, U.M.; Lenssen, A.; Caesar-Tonthat, T.; Waddell, J. Tillage and Crop Rotation Effects on Dryland Soil and Residue Carbon and Nitrogen. Soil Sci. Soc. Am. J. 2006, 70, 668–678. [Google Scholar] [CrossRef]
81. Chauhan, B.S.; Gill, G.S.; Preston, C. Tillage System Effects on Weed Ecology, Herbicide Activity and Persistence: A Review. Aust. J. Exp. Agric. 2006, 46, 1557. [Google Scholar] [CrossRef]
82. Cech, R.; Leisch, F.; Zaller, J.G. Pesticide Use and Associated Greenhouse Gas Emissions in Sugar Beet, Apples, and Viticulture in Austria from 2000 to 2019. Agriculture 2022, 12, 879. [Google Scholar] [CrossRef]
83. Shi, L.; Guo, Y.; Ning, J.; Lou, S.; Hou, F. Herbicide Applications Increase Greenhouse Gas Emissions of Alfalfa Pasture in the Inland Arid Region of Northwest China. Peer. J. 2020, 8, e9231. [Google Scholar] [CrossRef] [PubMed]
84. Gong, H.; Li, J.; Liu, Z.; Zhang, Y.; Hou, R.; Ouyang, Z. Mitigated Greenhouse Gas Emissions in Cropping Systems by Organic Fertilizer and Tillage Management. Land 2022, 11, 1026. [Google Scholar] [CrossRef]
85. Shakoor, A.; Shahbaz, M.; Farooq, T.H.; Sahar, N.E.; Shahzad, S.M.; Altaf, M.M.; Ashraf, M. A Global Meta-Analysis of Greenhouse Gases Emission and Crop Yield Under No-Tillage as Compared to Conventional Tillage. Sci. Total Environ. 2021, 750, 142299. [Google Scholar] [CrossRef]
86. Kogan, F.N. Global Drought Watch from Space. Bull. Am. Meteorol. Soc. 1997, 78, 621–636. [Google Scholar] [CrossRef]
87. Wang, X.; Liu, L. The Impacts of Climate Change on the Hydrological Cycle and Water Resource Management. Water 2023, 15, 2342. [Google Scholar] [CrossRef]
88. Kirkegaard, J.; Christen, O.; Krupinsky, J.; Layzell, D. Break Crop Benefits in Temperate Wheat Production. Field Crops Res. 2008, 107, 185–195. [Google Scholar] [CrossRef]
89. Gan, Y.; Liang, C.; Wang, X.; McConkey, B. Lowering Carbon Footprint of Durum Wheat by Diversifying Cropping Systems. Field Crops Res. 2011, 122, 199–206. [Google Scholar] [CrossRef]
90. Biswas, W.K.; Barton, L.; Carter, D. Global Warming Potential of Wheat Production in Western Australia: A Life Cycle Assessment. Water Environ. J. 2008, 22, 206–216. [Google Scholar] [CrossRef]
91. Gan, Y.; Liang, C.; Campbell, C.A.; Zentner, R.P.; Lemke, R.L.; Wang, H.; Yang, C. Carbon Footprint of Spring Wheat in Response to Fallow Frequency and Soil Carbon Changes over 25 Years on the Semiarid Canadian Prairie. Eur. J. Agron. 2012, 43, 175–184. [Google Scholar] [CrossRef]
92. Engelbrecht, D.; Biswas, W.K.; Ahmad, W. An Evaluation of Integrated Spatial Technology Framework for Greenhouse Gas Mitigation in Grain Production in Western Australia. J. Clean. Prod. 2013, 57, 69–78. [Google Scholar] [CrossRef]
93. Knudsen, M.T.; Meyer-Aurich, A.; Olesen, J.E.; Chirinda, N.; Hermansen, J.E. Carbon Footprints of Crops from Organic and Conventional Arable Crop Rotations–Using a Life Cycle Assessment Approach. J. Clean. Prod. 2014, 64, 609–618. [Google Scholar] [CrossRef]
94. Zhang, G.; Wang, X.; Zhang, L.; Xiong, K.; Zheng, C.; Lu, F.; Zhao, H.; Zheng, H.; Ouyang, Z. Carbon and Water Footprints of Major Cereal Crops Production in China. J. Clean. Prod. 2018, 194, 613–623. [Google Scholar] [CrossRef]
95. Garofalo, P.; Rinaldi, M. Water-Use Efficiency of Irrigated Biomass Sorghum in a Mediterranean Environment. Span. J. Agric. Res. 2013, 11, 1153–1169. [Google Scholar] [CrossRef]
96. Oweis, T.; Zhang, H.; Pala, M. Water Use Efficiency of Rainfed and Irrigated Bread Wheat in a Mediterranean Environment. Agron. J. 2000, 92, 231. [Google Scholar] [CrossRef]
97. Qiu, G.Y.; Wang, L.; He, X.; Zhang, X.; Chen, S.; Chen, J.; Yang, Y. Water Use Efficiency and Evapotranspiration of Winter Wheat and Its Response to Irrigation Regime in the North China Plain. Agric. For. Meteorol. 2008, 148, 1848–1859. [Google Scholar] [CrossRef]
98. Deihimfard, R.; Rahimi-Moghaddam, S.; Collins, B.; Azizi, K. Future Climate Change Could Reduce Irrigated and Rainfed Wheat Water Footprint in Arid Environments. Sci. Total Environ. 2022, 807, 150991. [Google Scholar] [CrossRef] [PubMed]
99. Wang, H.; Shen, M.; Hui, D.; Chen, J.; Sun, G.; Wang, X.; Lu, C.; Sheng, J.; Chen, L.; Luo, Y.; et al. Straw Incorporation Influences Soil Organic Carbon Sequestration, Greenhouse Gas Emission, and Crop Yields in a Chinese Rice (Oryza sativa L.)—Wheat (Triticum aestivum L.) Cropping System. Soil Tillage Res. 2019, 195, 104377. [Google Scholar] [CrossRef]
Garofalo P, Cammerino ARB. Modeling the Performance of a Continuous Durum Wheat Cropping System in a Mediterranean Environment: Carbon and Water Footprint at Different Sowing Dates, Under Rainfed and Irrigated Water Regimes. Agriculture. 2025; 15(3):259. https://doi.org/10.3390/agriculture15030259
Перевод статьи «Modeling the Performance of a Continuous Durum Wheat Cropping System in a Mediterranean Environment: Carbon and Water Footprint at Different Sowing Dates, Under Rainfed and Irrigated Water Regimes» авторов Garofalo P, Cammerino ARB., оригинал доступен по ссылке. Лицензия: CC BY. Изменения: переведено на русский язык
Фото: freepik






























Комментарии (0)