Услуги для села: как они помогают зарабатывать больше
Развитие сельской экономики сталкивается с серьезными вызовами в условиях быстрой урбанизации и трансформации сельского хозяйства, особенно в развивающихся странах, таких как Китай. Услуги по социализации сельского хозяйства (УССХ) играют решающую роль в содействии экономической устойчивости сельских территорий за счет повышения доходов домохозяйств и стимулирования регионального развития. В данном исследовании изучается влияние УССХ на экономическую устойчивость сельских районов Китая как во временной, так и в пространственной перспективе с использованием метода взвешенной энтропии, модели с двойными фиксированными эффектами и пространственной модели Дарбина.
Аннотация
Анализ панельных данных по 30 провинциям Китая за период с 2011 по 2021 год выявляет значительное положительное влияние УССХ на доходы сельских жителей, а также пространственные эффекты перетока на соседние регионы. Результаты подчеркивают региональную неоднородность воздействия УССХ: восточный регион выигрывает за счет локальных перетоков, тогда как центральный и западный регионы получают преимущества от интенсификации и эффекта масштаба. Эти данные позволяют предположить, что разработчикам политики следует применять регионально-специфичные стратегии УССХ, например, способствовать передаче технологий в восточных регионах, одновременно используя преимущества интенсификации и масштаба в центральных и западных регионах, чтобы оптимизировать эффективность мер поддержки сельского хозяйства. Более того, взаимосвязь между УССХ и доходами сельских жителей демонстрирует нелинейный тренд на различных этапах урбанизации, что означает необходимость адаптации политики в области УССХ к конкретным проблемам и возможностям, связанным с разными уровнями урбанизации, для максимизации ее влияния на экономическую устойчивость сельских районов. Эти выводы подчеркивают важность оптимизации УССХ, адаптации политики к местным условиям и использования роли УССХ в процессе урбанизации для содействия инклюзивному развитию сельских территорий и обеспечения устойчивого экономического роста сельских районов.
1. Введение
1.1. Общие положения
Модернизация сельского хозяйства и развитие сельских районов создают серьезные проблемы для развивающихся экономик, поскольку они стремятся сбалансировать эффективность сельского хозяйства с интересами мелких фермеров [1,2]. В развивающихся странах трансформация традиционного сельского хозяйства в современные фермерские системы стала универсальной задачей в различных географических контекстах — от сельскохозяйственных кооперативов Бразилии до системы услуг по социализации сельского хозяйства Китая и фермерских производительских организаций Индии [3,4,5]. Услуги по социализации сельского хозяйства (УССХ) вовлекают специализированные организации, предоставляющие комплексную поддержку фермерам на протяжении всего процесса сельскохозяйственного производства, от предпроизводственных до послепроизводственных стадий. В этом контексте услуги по социализации сельского хозяйства включают специализированные организации, предоставляющие различные услуги фермерам на протяжении всего процесса сельскохозяйственного производства. Эти услуги охватывают предпроизводственные, производственные и послепроизводственные стадии. Например, они включают техническую поддержку, машинные операции, снабжение сельскохозяйственными ресурсами, борьбу с вредителями и болезнями, а также переработку и сбыт сельскохозяйственной продукции. Основная цель этих услуг — повышение продуктивности сельского хозяйства, снижение производственных затрат и содействие интеграции мелких фермеров в современные сельскохозяйственные системы.
Услуги по социализации сельского хозяйства (УССХ) стали важнейшим путем преодоления разрыва между традиционным и современным сельским хозяйством [6,7]. Эти комплексные услуги, включающие техническую помощь, поддержку механизации, интеграцию информационных технологий и финансовые механизмы, продемонстрировали значительную эффективность в различных контекстах. В частности, система услуг по социализации сельского хозяйства Китая продемонстрировала существенный прогресс: 900 000 поставщиков социализированных сельскохозяйственных услуг в Китае предоставляют услуги на более чем 107 миллионах гектаров пахотных земель [8]. По сути, УССХ направлены на создание комплексной системы поддержки фермеров, тем самым способствуя развитию современного сельского хозяйства. УССХ предоставляют фермерам специализированные услуги для поддержки и улучшения их сельскохозяйственной деятельности, в конечном итоге направлены на модернизацию сельского хозяйства и улучшение средств к существованию мелких фермеров. УССХ охватывают различные формы поддержки, предоставляемой фермерам через государственные учреждения, кооперативы и частные организации, направленные на повышение продуктивности, облегчение доступа к ресурсам и продвижение устойчивых методов ведения сельского хозяйства.
Мотивация для данного исследования возникает из насущной необходимости улучшить экономическую устойчивость сельских районов в условиях быстрой урбанизации и развития методов ведения сельского хозяйства. Изучение роли услуг по социализации сельского хозяйства (УССХ) в повышении доходов сельских жителей необходимо для разработки эффективных стратегий снижения бедности и политики устойчивого развития, особенно в Китае и других развивающихся странах.
1.2. Цели
В существующей литературе сохраняются значительные пробелы в исследованиях, имеющие серьезные последствия для различий во внедрении и общей эффективности УССХ. Во-первых, хотя существующие исследования обширно изучали прямое воздействие УССХ на продуктивность и разрыв в доходах [9,10], пространственные эффекты перетока между различными регионами остаются недостаточно изученными, что потенциально приводит к неэффективному распределению услуг и неоптимальному распределению ресурсов [11,12]. Однако текущий политический ландшафт часто упускает из виду важность пространственной динамики, потенциально приводя к чрезмерной концентрации услуг в определенных районах при одновременном упущении возможностей для межрегионального взаимодействия [13].
Взаимосвязь между уровнями урбанизации и эффективностью УССХ остается плохо изученной, при этом отсутствуют исследования потенциальных нелинейных эффектов урбанизации на эффективность УССХ, что препятствовало разработке целевых стратегий поддержки сельского хозяйства. Во-вторых, в литературе недостаточно глубокого изучения этой потенциальной нелинейной взаимосвязи [14]. Этот пробел становится особенно значимым, когда развивающиеся страны испытывают усиление урбанизации [15]; тем не менее, модулирующее влияние этого явления на сельскохозяйственные услуги все еще недостаточно изучено. В-третьих, существует недостаточное понимание того, как региональная неоднородность влияет на воздействие этих услуг на доходы сельских домохозяйств, что потенциально приводит к стандартизированной политике, которая не учитывает специфические потребности и условия отдельных местностей. Отсутствие комплексных исследований этих ключевых аспектов препятствует формулированию целевых и эффективных мер сельскохозяйственной поддержки, которые реагируют на местные контексты и требования. Исследования показали, что эффективность услуг по социализации сельского хозяйства (УССХ) варьируется в зависимости от региона. Lazarova и др. [16] обнаружили региональные диспропорции между инфраструктурным потенциалом и продуктивностью сельскохозяйственного сектора в сельских районах Болгарии, что предполагает, что предоставление УССХ необходимо адаптировать к местным условиям, принимая во внимание ресурсный потенциал и уровни развития разных регионов.
В этом исследовании используется широкая аналитическая основа для изучения того, как УССХ влияют на доходы сельских домохозяйств в Китае. Оно фокусируется на пороговых эффектах и пространственной динамике перетока, чтобы заполнить эти важные пробелы в исследованиях. Данное исследование объединяет институциональную экономику и пространственный анализ для изучения операционных механизмов УССХ в различных контекстах. В этом исследовании, в частности, анализируются панельные данные по 30 провинциям Китая с 2011 по 2021 год, и используется метод взвешенной энтропии для создания структурированной системы оценки показателей услуг по социализации сельского хозяйства. Наше исследование охватывает три ключевых аспекта: (1) количественная оценка прямого эффекта УССХ на доходы сельских жителей с помощью комплексной системы оценки; (2) изучение пространственных эффектов перетока этих услуг между разными регионами с использованием пространственных эконометрических методологий; и (3) анализ порогового эффекта уровней урбанизации на взаимосвязь между УССХ и сельскими доходами. Этот комплексный аналитический подход позволяет нам уловить как прямые, так и косвенные пути, через которые УССХ влияют на развитие сельских районов.
Остальная часть этой статьи сначала предоставляет обзор соответствующей литературы и представляет нашу методологию, за которой следуют эмпирические результаты, выводы и рекомендации по политике, с заключительным обсуждением ограничений и будущих направлений исследований.
2. Обзор литературы
2.1. Обзор УССХ
УССХ стали ключевым драйвером устойчивого развития сельских районов и снижения бедности. Исследования показывают, что УССХ, включая техническую поддержку, рыночную информацию и обучение, могут повысить эффективность производства и доходы фермеров [17]. Бирнер и Андерсон [18] определяют УССХ как широкий набор организаций, которые помогают фермерам преодолевать трудности и улучшать свои средства к существованию через знания, навыки и технологии.
УССХ эволюционировали от традиционных нисходящих моделей распространения знаний под руководством правительства [19] к более партисипаторным подходам, которые активно вовлекают фермеров [20]. Широкое внедрение информационно-коммуникационных технологий (ИКТ) произвело революцию в предоставлении услуг поддержки сельского хозяйства. Интеграция мобильных приложений и цифровых платформ позволила фермерам получать доступ к жизненно важной информации, включая рыночные тенденции, прогнозы погоды и персонализированные руководства [21,22]. Этот технологический прогресс заметно увеличил охват и эффективность услуг поддержки сельского хозяйства, особенно в отдаленных районах, позволив большей доле сельского населения извлечь выгоду из этих предложений.
Важно признать, что, хотя исследования и разработки (НИОКР) являются компонентом услуг по социализации сельского хозяйства (УССХ), существует парадокс между акцентом НИОКР на получение патентов и их практическим применением в экономических секторах. Zhang и др. [23] обнаружили, что инновации не всегда гарантируют выживание фирм в высокотехнологичной промышленности Китая, что указывает на то, что одного стремления к патентам может быть недостаточно для экономического успеха. Griliches [24] также подчеркнул сложную взаимосвязь между НИОКР, продуктивностью и экономическим ростом. Чтобы гарантировать, что УССХ эффективно способствуют экономической устойчивости сельских районов, необходимо, чтобы результаты НИОКР не только патентовались, но и эффективно применялись на практике.
Продолжающиеся дебаты об эффективности различных моделей УССХ продолжают вызывать разные мнения среди исследователей. Некоторые утверждают, что стандартизированные подходы необходимы для обеспечения согласованности и масштабируемости, в то время как другие выступают за ориентацию на локализованные услуги, определяемые спросом, которые учитывают конкретные потребности разных регионов [25]. Разработчики политики сталкиваются со сложной задачей, поскольку они должны учитывать местные контексты, потребности фермеров и возможности поставщиков услуг. Это тщательное изучение имеет решающее значение для разработки и внедрения программ УССХ, направленных на достижение оптимального воздействия и эффективности [26].
2.2. Влияние УССХ на доходы сельских домохозяйств и пространственные эффекты перетока
Исследования изучали влияние УССХ на доходы сельских домохозяйств. Основываясь на теории специализации и разделения труда, УССХ могут повысить продуктивность и рентабельность сельского хозяйства, предлагая специализированные услуги и используя эффект масштаба [27]. Эмпирические исследования подтверждают эту теорию. Например, Chen и др. [28] изучали влияние научно-технических услуг на сельскохозяйственный доход сельских домохозяйств в северо-восточном Китае, обнаружив значительное увеличение доходов, связанное с этими услугами. Аналогично, Cunguara и Darnhofer [29] исследовали взаимосвязь между передовыми сельскохозяйственными технологиями и доходом домохозяйств в сельском Мозамбике, подтвердив, что эти технологии положительно влияют на уровень доходов. Кроме того, Guo и др. [30] тщательно изучили корреляцию между инновациями в науке и технике и системами возрождения сельских районов. Они выделили ключевую роль УССХ в содействии развитию сельских районов и увеличению доходов домохозяйств. Кроме того, Qing и др. [9] проанализировали связь между инновациями в науке и технике и системами возрождения сельских районов, подчеркнув ключевую роль УССХ в продвижении развития сельских районов и повышении доходов домохозяйств.
Важно признать потенциальные недостатки, связанные с УССХ. Повышенная зависимость от рыночных механизмов и растущие затраты на эти услуги могут неблагоприятно сказаться на мелких фермерах. Yang и Liu [31] подчеркивают, что чрезмерная зависимость от УССХ может подорвать автономию фермеров и их переговорную силу, потенциально ставя под угрозу долгосрочные экономические выгоды. Ivanov и др. [32] обнаружили, что сельскохозяйственные предприятия, которые быстро обеспечивают возврат инвестированного капитала, более привлекательны для инвесторов. Это предполагает, что развитие УССХ для повышения эффективности и рентабельности сельского хозяйства может привлечь больше инвестиций и способствовать развитию сельской экономики. Для решения этих проблем политические меры должны найти баланс между расширением УССХ и инициативами, направленными на повышение навыков фермеров и их устойчивости на рынке.
Хотя значительное количество исследований было сосредоточено на прямых эффектах УССХ на доходы сельских домохозяйств, их пространственные эффекты перетока остаются недостаточно изученными. Положительные эффекты УССХ часто выходят за административные границы, принося пользу соседним регионам через такие механизмы, как передача технологий и общая экономика. Поэтому проведение пространственного анализа УССХ необходимо [33].
Чтобы учесть эти эффекты перетока, в эмпирическом анализе используется пространственная модель Дарбина (SDM). Эта модель включает пространственные лаги как зависимой переменной (сельский доход), так и ключевых объясняющих переменных, включая УССХ и контрольные переменные. Путем явного моделирования пространственных взаимодействий SDM количественно оценивает величину эффектов перетока по отношению к прямым эффектам, давая ценные идеи для разработки политики.
Пространственное измерение развития сельского хозяйства все больше признается, тем не менее эмпирические исследования, изучающие пространственные эффекты перетока УССХ на сельские доходы, ограничены. В своем исследовании Zhang и др. [34] проанализировали влияние сельскохозяйственного экспорта на разрыв в доходах между городом и селом в Китае, выявив положительные эффекты перетока на соседние районы.
Для разработки эффективной политики в области УССХ крайне важно всестороннее понимание их пространственной динамики. Это включает осознание сложных взаимосвязей между УССХ и развитием сельских районов, а также пространственных аспектов этих взаимодействий. Тщательный анализ эффектов перетока УССХ жизненно важен для разработки инклюзивных политических стратегий, способствующих развитию сельских районов и смягчению бедности. Включение пространственных взаимозависимостей в политические рамки необходимо для создания устойчивых и эффективных мер, направленных на повышение благосостояния сельских сообществ. Этот подход требует выхода за рамки упрощенных моделей, чтобы учесть сложную сеть пространственных взаимодействий и их значительное влияние на генерирование доходов в сельской местности.
2.3. Нелинейные эффекты УССХ на разных этапах урбанизации
Взаимосвязь между урбанизацией и эффективностью УССХ является сложной и многогранной, но она остается недостаточно изученной областью [12]. Поскольку урбанизация изменяет демографию сельских районов и производственные практики, она может влиять на значимость и результаты УССХ нелинейными и непредсказуемыми способами. Понимание этой нелинейной динамики имеет решающее значение для разработки целевых мер УССХ и оптимизации их эффективности в продвижении инклюзивного роста сельских районов на различных этапах урбанизации.
Хотя исследования рассматривали проблемы, вызванные урбанизацией в развивающихся странах, подчеркивая необходимость устойчивых методов ведения сельского хозяйства и адаптации на рынках сельского труда [15], они напрямую не изучали последствия для эффективности УССХ. Другие исследования изучали связи между модернизацией сельского хозяйства и влиянием УССХ на различные экономические показатели, включая общую факторную производительность «зеленого» роста [12], региональный экономический рост [13] и значение социализированных услуг для содействия «зеленому» развитию сельского хозяйства [14]. Тем не менее, ни одно из этих исследований не было сосредоточено на потенциальных нелинейных эффектах УССХ на различных этапах урбанизации.
Решение этого пробела в исследованиях имеет решающее значение для разработки научно обоснованной политики, которая максимизирует выгоды от УССХ в контексте быстрой урбанизации. Изучая нелинейную взаимосвязь между урбанизацией и эффективностью УССХ, разработчики политики могут разрабатывать целевые меры, учитывающие меняющиеся потребности и проблемы, с которыми сталкиваются сельские сообщества на различных этапах урбанизации. Этот подход необходим для продвижения устойчивых методов ведения сельского хозяйства, улучшения средств к существованию в сельской местности и содействия инклюзивному развитию сельских районов во все более урбанизированном мире.
Это исследование вносит вклад в литературу, решая пробелы в исследованиях в трех ключевых областях. Во-первых, оно разрабатывает комплексную аналитическую основу, которая интегрирует институциональную экономику и пространственный анализ для изучения операционных механизмов УССХ в различных контекстах. Этот подход отличает наше исследование от предыдущих работ, которые в основном были сосредоточены на прямых эффектах, позволяя нам уловить как прямые, так и косвенные пути, через которые УССХ влияют на развитие сельских районов. Во-вторых, оно использует пространственные эконометрические методы для выявления географической динамики и эффектов перетока УССХ, демонстрируя, что выгоды распространяются на соседние регионы и предоставляют идеи для оптимизации распределения ресурсов. В-третьих, оно строит пороговую модель для изучения нелинейной взаимосвязи между урбанизацией и эффективностью УССХ, выявляя критические уровни урбанизации, при которых влияние на сельские доходы значительно меняется. Эти результаты предоставляют ценные руководства для разработки политики УССХ в контексте быстрой урбанизации и развивающихся сельскохозяйственных систем, способствуя устойчивому и инклюзивному росту сельских районов.
Чтобы решить этот пробел в исследованиях, в исследовании изучаются нелинейные эффекты УССХ на доходы сельских домохозяйств на различных этапах урбанизации. Интегрируя перспективу урбанизации, это исследование предоставляет более полное понимание взаимодействия между УССХ и развитием сельских районов. Результаты будут способствовать разработке политики, которая продвигает устойчивые методы ведения сельского хозяйства и улучшает средства к существованию в сельской местности, принимая во внимание различные эффекты УССХ по мере прогрессирования урбанизации.
3. Дизайн исследования
В исследовании используется пространственная модель Дарбина (SDM) для учета пространственных эффектов перетока услуг поддержки сельского хозяйства (УССХ). Эта модель включает пространственно-запаздывающие члены зависимой переменной (сельский доход) и ключевых объясняющих переменных (УССХ и контрольные переменные), эффективно отражая влияние УССХ на доход соседних регионов. Этот дизайн не только учитывает прямые эффекты УССХ внутри региона, но и выявляет их косвенные эффекты на соседних территориях, тем самым предоставляя более глубокое понимание комплексного воздействия УССХ.
3.1. Источники данных
Набор данных, использованный в этом исследовании, охватывает 30 провинций Китая (исключая Гонконг, Макао, Тайвань и Тибет) с 2011 по 2021 год, представляя подавляющее большинство территории страны, населения и экономической активности. Выбранные провинции, хотя и функционируют в рамках общих национальных систем управления и экономики, отражают существенное региональное разнообразие в уровне экономического развития, характеристиках сельскохозяйственного производства, географии, климате и политической среде, которые могут влиять на динамику услуг по социализации сельского хозяйства (УССХ) и устойчивость сельских районов. Это позволяет анализировать влияние УССХ в различных контекстах. Эти 30 провинций имеют общие черты в потенциале внедрения УССХ, структуре сельской экономики и перспективах развития, что позволяет исследованию лучше отразить влияние УССХ на устойчивое развитие сельских районов. Данные собраны из различных официальных статистических ежегодников, включая Статистический ежегодник Китая, Сельский статистический ежегодник Китая, Статистический ежегодник городского и сельского строительства Китая, Статистический ежегодник науки и техники Китая, Финансовый статистический ежегодник Китая, Промышленный статистический ежегодник Китая, Статистический ежегодник водного хозяйства Китая и Статистический ежегодник сельской политики и реформ Китая, а также статистических ежегодников отдельных провинций. Некоторые пропущенные значения были заполнены с помощью линейной интерполяции. В этом исследовании линейная интерполяция была выбрана в качестве метода обработки пропущенных данных из-за ее уместности в контексте сельскохозяйственных данных, которые часто демонстрируют сезонные характеристики. Этот метод эффективно поддерживает непрерывность набора данных и отражает сезонные вариации. Однако важно признать, что, хотя линейная интерполяция может предоставлять разумные оценки, она может не полностью устранить сдвиги в данных. Поэтому мы обсудим потенциальные последствия использования этого метода и рассмотрим альтернативные подходы в будущих исследованиях.
Согласованность и надежность данных из различных источников и за разные годы были тщательно проверены для обеспечения качества данных. Важно отметить, что официальная статистика может содержать ошибки измерения или систематические ошибки отчетности, которые могут повлиять на результаты. Для оценки надежности результатов можно было бы провести анализ чувствительности с использованием различных источников данных или методов вменения. Таблица 1 предоставляет описательную статистику переменных, использованных в анализе.
Таблица 1. Описательная статистика.
3.2. Моделирование
3.2.1. Бенчмарк-регрессионная модель
Бенчмарк-регрессионная модель выглядит следующим образом:
где lnINC_it представляет логарифм сельского дохода в провинции i в год t; ASS_it обозначает уровень УССХ в провинции i в год t; и control_it представляет контрольные переменные, которые обычно использовались в предыдущей литературе для учета факторов, влияющих на сельские доходы [35,36]. Они включают средний уровень образования сельских жителей, уровень открытости внешнему миру, уровень развития сельской экономики, промышленную структуру и плотность машинного парка; μ_i и λ_t представляют фиксированные эффекты провинции и времени соответственно; и ε_it является членом ошибки.
Теоретически модель с фиксированными эффектами контролирует не меняющиеся во времени характеристики провинций, которые могут влиять на сельский доход, позволяя нам сосредоточиться на влиянии изменений в уровне услуг по социализации сельского хозяйства на сельский доход. Фиксированные эффекты провинций контролируют специфические для провинции факторы, не меняющиеся во времени, которые могут влиять на сельские доходы, включая географическое положение и наделенность природными ресурсами. Фиксированные эффекты времени учитывают общие шоки или тенденции, которые влияют на все провинции в конкретном году, такие как изменения в национальной политике или макроэкономических условиях. Фиксированные эффекты учитывают ненаблюдаемую неоднородность на уровне провинций, позволяя нам сосредоточиться на внутрипровинциальных изменениях в УССХ и сельских доходах [37,38].
3.2.2. Пространственные модели
В этом исследовании изучаются пространственные эффекты перетока УССХ на сельские доходы с применением трех различных пространственных эконометрических моделей: пространственной авторегрессионной модели (SAR), пространственной модели ошибок (SEM) и пространственной модели Дарбина (SDM). Эти модели широко применялись в различных областях для учета пространственных зависимостей [39,40].
Модель SAR улавливает прямые пространственные эффекты перетока сельских доходов, включая член пространственного лага в зависимую переменную. Модель выражается как:
Пространственная структура модели SAR определяется матрицей пространственных весов, и W построена с использованием обратного географического расстояния между провинциями, при этом диагональные элементы установлены в ноль для исключения самовлияния. Параметр ρ является пространственным авторегрессионным коэффициентом, который оценивает величину пространственных эффектов перетока, а WlnINC представляет пространственный лаг зависимой переменной lnINC.
Модель SEM включает пространственную зависимость в члене ошибки. Это признает возможность того, что ненаблюдаемые факторы, влияющие на сельские доходы в одной провинции, также могут оказывать влияние на соседние провинции. Модель принимает следующую форму:
где λ_t является пространственным коэффициентом ошибки, а ε_it является пространственно автокоррелированным членом ошибки.
Модель SDM предоставляет более комплексный подход, включая как пространственный лаг зависимой переменной, так и пространственные лаги объясняющих переменных, признавая, что на сельские доходы провинции могут влиять УССХ и другие факторы в соседних провинциях. Модель задается как:
где θ_1 и θ_2 являются коэффициентами, измеряющими пространственные эффекты перетока УССХ и контрольных переменных соответственно.
Матрица пространственных весов W является ключевым элементом во всех трех моделях, представляя пространственную структуру данных. Матрица пространственных весов W определяется с использованием обратного географического расстояния между провинциями, при этом диагональные элементы установлены в ноль для исключения самовлияния. Эта формулировка подразумевает, что пространственно близлежащие провинции демонстрируют более существенные пространственные взаимодействия. Альтернативные спецификации W, такие как веса на основе смежности или экономического расстояния, могут быть рассмотрены для проверки надежности результатов [41,42]. Выбор между SAR, SEM и SDM зависит от конкретных пространственных процессов, лежащих в основе данных, и решаемого исследовательского вопроса. SDM является наиболее гибкой, включая SAR и SEM как частные случаи. Тесты отношения правдоподобия или другие критерии выбора модели могут быть использованы для определения наиболее подходящей спецификации [43,44].
3.2.3. Моделирование порогового эффекта
Это исследование направлено на изучение потенциальной нелинейной взаимосвязи между УССХ и доходом сельских жителей с использованием модели пороговой регрессии. Модель пороговой регрессии позволяет эффекту УССХ на сельские доходы варьироваться в различных режимах, определяемых пороговой переменной [45,46]. В этом анализе уровень урбанизации (urb) служит пороговой переменной, учитывая ожидаемую вариацию влияния УССХ в зависимости от этапа урбанизации провинции.
Выбор уровня урбанизации в качестве пороговой переменной поддерживается как теоретическими основами, так и эмпирическими данными. Урбанизация выступает ключевым фактором, движущим сельско-городскую трансформацию, значительно влияя на динамику сельских доходов и эффективность услуг поддержки сельского хозяйства. Предыдущие исследования показывают, что взаимосвязь между УССХ и сельскими доходами может демонстрировать нелинейные паттерны в зависимости от этапа урбанизации.
Хотя другие факторы, такие как права на землю, доступ к кредитам и участие в сельскохозяйственных организациях, также могут служить пороговыми переменными, мы подчеркиваем урбанизацию из-за ее значительной роли в развитии сельских районов и ее тесной связи с модернизацией сельского хозяйства. Тем не менее, мы признаем, что исследование альтернативных пороговых переменных является ценной областью для будущих исследований, чтобы углубить наше понимание сложных взаимодействий между УССХ и сельскими доходами.
Несколько факторов, коренящихся в экономической теории, указывают на потенциал пороговых эффектов во взаимосвязи между УССХ и доходами сельских домохозяйств. На начальных этапах урбанизации миграция сельских рабочих в городские центры может привести к дефициту сельскохозяйственной рабочей силы, потенциально ограничивая влияние УССХ на рост сельских доходов [47,48]. Тем не менее, по мере дальнейшего развития урбанизации расширение и совершенствование УССХ могут набирать обороты, играя более существенную роль в стимулировании роста сельских доходов. Более того, потребность в УССХ и их преимущества, вероятно, различаются в зависимости от степени урбанизации. Регионы с более высокими уровнями урбанизации часто имеют более технологически развитый и ориентированный на рынок сельскохозяйственный сектор, который может требовать более специализированных и оптимизированных услуг [49].
Модель пороговой регрессии принимает следующую форму:
где I(•) является индикаторной функцией, которая равна единице, если условие в скобках выполнено, и нулю в противном случае, а γ является оцениваемым пороговым значением урбанизации. Коэффициенты β_1 и β_2 отражают влияние УССХ на сельские доходы в режимах низкой и высокой урбанизации соответственно.
Пороговое значение γ_1 оценивается эндогенно путем минимизации суммы квадратов остатков регрессии. Для проверки статистической значимости порогового эффекта используется метод бутстрепа, предложенный Hansen [50], который генерирует асимптотически корректные p-значения. В этом анализе используется 1000 бутстреп-повторов для получения точных p-значений и критических значений для пороговых оценок.
3.3. Выбор показателей и источники данных
3.3.1. Объясняемая переменная
Доход сельских жителей (lnINC): сельский доход измеряется путем взятия натурального логарифма от среднедушевого располагаемого дохода сельских домохозяйств. Этот показатель широко используется в исследованиях, сосредоточенных на развитии сельских районов и неравенстве, так как он точно отражает экономическое благосостояние сельских жителей [51,52]. Среднедушевой располагаемый доход является ключевым показателем экономического благосостояния сельских жителей и уровня жизни, так как он представляет фактические экономические ресурсы, доступные домохозяйствам после вычета налогов и трансфертов. Более высокий среднедушевой располагаемый доход позволяет сельским жителям позволить себе лучшее жилье, здравоохранение, образование и другие удобства, тем самым улучшая их общее качество жизни. Располагаемый доход, после вычета налогов и трансфертов, предоставляет более точную оценку финансовых ресурсов, доступных сельским домохозяйствам. Чтобы минимизировать влияние выбросов на наш анализ, выполнено логарифмическое преобразование переменной дохода. Это преобразование не только смягчает влияние экстремальных значений, но и позволяет более тонко интерпретировать результаты. В частности, путем преобразования переменной дохода получающиеся коэффициенты могут интерпретироваться как эластичности.
3.3.2. Объясняющая переменная
Для оценки масштаба УССХ в этом исследовании используется комплексный индекс. Этот индекс разработан с помощью метода взвешенной энтропии, который позволяет провести тщательную оценку УССХ. Он охватывает семь ключевых аспектов: услуги, связанные с сельскохозяйственными предприятиями, механизацией, информатизацией, инфраструктурой, технологиями, финансами и общественными/публичными услугами. Детальное описание конкретных показателей и методов их оценки представлено в Таблице 2.
Таблица 2. Система показателей для услуг по социализации сельского хозяйства.
Услуги по социализации сельского хозяйства (УССХ): УССХ являются ключевыми объясняющими переменными в этом исследовании, представляя уровень и качество услуг поддержки сельского хозяйства, предоставляемых фермерам. Мы строим комплексный индекс для измерения УССХ с использованием метода взвешенной энтропии, который учитывает семь аспектов: услуги сельскохозяйственных предприятий, услуги механизации, услуги информатизации, инфраструктурные услуги, технологические услуги, финансовые услуги и общественные/публичные услуги. Каждый аспект состоит из нескольких конкретных показателей, таких как количество поставщиков услуг по механизации сельского хозяйства, площадь, обслуживаемая сельскохозяйственной авиацией, и уровень проникновения интернета в сельской местности. Конкретные показатели и единицы их измерения перечислены в Таблице 2. Данные были получены из национальных сельскохозяйственных баз данных и отчетов местных органов власти для обеспечения всестороннего охвата и актуальности.
Индекс УССХ отражает многомерный характер услуг поддержки сельского хозяйства и их потенциальное влияние на доходы сельских домохозяйств. Рассматривая широкий спектр аспектов услуг, мы стремимся предоставить комплексную оценку роли УССХ в продвижении экономической устойчивости сельских районов. Метод взвешенной энтропии позволяет нам объективно назначать веса каждому показателю на основе его информационного содержания, гарантируя, что индекс отражает относительную важность каждого аспекта в объяснении вариации УССХ по регионам и во времени.
Метод взвешенной энтропии, объективная техника взвешивания, часто используемая в исследованиях, назначает веса каждому показателю на основе его информационной энтропии [53,54]. Показатели, демонстрирующие более высокую вариабельность по провинциям и годам, получают большие веса, поскольку считается, что они содержат больше информации. Используя метод взвешенной энтропии, субъективность при назначении весов минимизируется, что делает его популярным выбором для построения составных индексов во многих исследованиях [55,56].
Каждый аспект УССХ, включенный в индекс, потенциально может влиять на сельские доходы через различные каналы. Например, услуги сельскохозяйственного бизнеса могут улучшить доступ к рынку, в то время как технологические услуги могут повысить продуктивность. Финансовые услуги предоставляют фермерам доступ к кредитам и страхованию, а инфраструктурные услуги создают благоприятную среду для роста сельского хозяйства.
Многомерный индекс УССХ, разработанный в этом исследовании, учитывает разнообразные пути, через которые УССХ могут влиять на сельские доходы, включая повышение продуктивности сельского хозяйства, улучшение доступа к рынку и предоставление технической и финансовой помощи фермерам. Однако важно признать ограничения процесса построения индекса, такие как потенциальная субъективность в выборе показателей и ограничения данных.
3.3.3. Контрольные переменные
Выбор контрольных переменных теоретически обоснован в рамках расширенной производственной функции Кобба-Дугласа, где сельский доход (INC) концептуализируется как функция от услуг по социализации сельского хозяйства (УССХ) и других ключевых факторов производства: INC = f(УССХ, K, L, H, T). Эта основа включает капитальные затраты (K), затраты труда (L), человеческий капитал (H) и технологический уровень (T). Основываясь на этой теоретической основе, мы включаем несколько контрольных переменных, которые отражают различные аспекты производственной функции.
В дополнение к ключевой объясняющей переменной — услугам по социализации сельского хозяйства (УССХ), это исследование включает набор контрольных переменных, обычно используемых в литературе для учета других факторов, влияющих на сельские доходы [57]. Выбор этих переменных направляется теоретическими соображениями и предыдущей эмпирической литературой. Эти контрольные переменные можно сгруппировать в три основные категории: человеческий капитал, экономическая открытость и структурная трансформация.
Эти контрольные переменные не только хорошо вписываются в теоретическую основу, но и выделяют сложные взаимодействия между различными факторами, влияющими на сельский доход. Например, уровень образования повышает способность к внедрению технологий в сочетании с УССХ, в то время как открытость способствует как диффузии технологий, так и доступу к рынку. Кроме того, переменные промышленной структуры демонстрируют, как изменения в структуре могут влиять на эффективность УССХ в стимулировании роста сельских доходов.
Включен человеческий капитал, измеряемый средним количеством лет обучения сельских жителей, взвешенным по уровню образования и региональному населению. Теоретические и эмпирические исследования последовательно выделяли человеческий капитал как ключевой драйвер роста доходов [58,59]. Образование является ключевым детерминантом индивидуальной продуктивности и потенциала заработка. Ожидается, что регионы с более высокими уровнями человеческого капитала будут иметь более высокие сельские доходы при прочих равных условиях. Этот подход позволяет нам учитывать региональные различия в качестве образования, поскольку схема взвешивания придает большее значение более высоким уровням образования и корректирует различия в численности населения по регионам;
Уровень открытости внешнему миру (open) рассчитывается как отношение общего объема импорта и экспорта к региональному ВВП. Торговая и инвестиционная открытость может влиять на сельские доходы через множественные пути, включая расширение рыночных возможностей для сельскохозяйственной продукции, облегчение технологических перетоков и привлечение прямых иностранных инвестиций [60,61]. Воздействие международной торговли может влиять на сельские доходы через различные каналы, такие как изменение относительных цен на сельскохозяйственную продукцию, облегчение передачи технологий и привлечение иностранных инвестиций;
Структурный сдвиг экономики от сельского хозяйства к промышленности и услугам может значительно влиять на сельские доходы [62]. Рассматриваются переменные, отражающие структурную трансформацию. Две контрольные переменные включены для учета этого эффекта: уровень развития сельской экономики (agdp), измеряемый среднедушевой валовой стоимостью продукции сельского хозяйства, лесного хозяйства, животноводства и рыболовства в сельских районах; и промышленная структура (ls), измеряемая долей вторичных и третичных отраслей в региональном ВВП. Оба фактора могут влиять на рост сельских доходов через множественные каналы. По мере перетока рабочей силы из сельского хозяйства в промышленность и услуги это часто приводит к более высокой экономической отдаче. Развитие несельскохозяйственных отраслей в сельских районах создает возможности для трудоустройства, позволяя сельским жителям получать более высокий доход от заработной платы. Структурная трансформация также сопровождается достижениями в сельскохозяйственных технологиях, повышающими продуктивность;
Уровень механизации сельского хозяйства, представляемый плотностью машинного парка (общая мощность сельскохозяйственной техники на площадь пахотных земель), включен, аппроксимируемый плотностью машинного парка (md), которая рассчитывается как общая мощность сельскохозяйственной техники на единицу площади пахотных земель. Механизация сельского хозяйства может повысить продуктивность и эффективность, способствуя более высоким сельским доходам [63]. Уровень механизации сельского хозяйства включен в качестве контрольной переменной, потому что он может значительно влиять на сельские доходы за счет повышения продуктивности сельского хозяйства и изменения требований к труду. Внедрение техники в сельскохозяйственное производство позволяет фермерам более эффективно обрабатывать большие площади земли, что приводит к увеличению выпуска и эффекту масштаба. Механизация также снижает трудоемкость сельскохозяйственных задач, высвобождая рабочую силу для возможностей занятости вне фермы, которые часто предоставляют более высокую отдачу. Более того, использование техники может улучшить своевременность и точность сельскохозяйственных операций, приводя к лучшему управлению посевами и более высоким урожаям. За счет повышения продуктивности и облегчения перераспределения рабочей силы механизация сельского хозяйства может способствовать росту доходов сельских домохозяйств.
Выбор контрольных переменных в этом исследовании направляется теоретическими основами и предыдущими эмпирическими данными. Хотя наш анализ учитывает ряд контрольных переменных, ограничения в доступности данных и ненаблюдаемые факторы не позволяют полностью контролировать все влияющие переменные. Чтобы дополнительно обогатить наши результаты, будущие исследования могли бы изучить влияние дополнительных детерминант на сельские доходы, таких как развитие инфраструктуры, эффективность управления и участие сообщества.
3.3.4. Пороговые переменные
Уровень урбанизации (urb), рассчитанный как доля городского населения, отражает степень урбанизации. Влияние этой переменной на взаимосвязь между УССХ и сельскими доходами является косвенным, влияя на сельскохозяйственное производство, спрос на УССХ и динамику сельского труда [15,64]. Урбанизация — это сложный процесс, который может фундаментально изменить социально-экономическую структуру сельских районов. Таким образом, влияние УССХ на сельские доходы может демонстрировать нелинейности на различных этапах урбанизации. Чтобы уловить эти потенциальные пороговые эффекты, в этом исследовании используется панельная модель пороговой регрессии, где уровень урбанизации служит пороговой переменной. Теоретическое обоснование рассмотрения урбанизации как пороговой переменной является двойным. Во-первых, на начальных этапах урбанизации отток сельскохозяйственной рабочей силы в городские сектора может привести к росту затрат на рабочую силу и ее дефициту в сельских районах. Это может ограничить способность УССХ стимулировать рост сельских доходов. Во-вторых, по мере прогрессирования урбанизации спрос на специализированные высококачественные УССХ может увеличиваться, поскольку сельскохозяйственное производство становится более технологически и капиталоемким.
Выбор уровня урбанизации в качестве пороговой переменной поддерживается установленными теоретическими основами и предыдущими эмпирическими исследованиями [65], которые указывают на нелинейную взаимосвязь между УССХ и сельскими доходами на различных этапах урбанизации. Поэтому уровень урбанизации включен в качестве пороговой переменной, чтобы уловить любые нелинейные взаимосвязи. Анализ этой динамики позволит лучше понять взаимосвязь УССХ и сельских доходов.
3.4. Пространственная модель и выбор матрицы весов
Для более эффективного анализа пространственных эффектов мы использовали пространственную модель Дарбина. Эта модель включает пространственные взаимодействия между провинциями, стремясь уловить как прямые, так и косвенные эффекты. Матрица весов, основанная на географическом расстоянии, была использована для количественной оценки пространственных взаимосвязей. Этот подход широко используется в пространственной эконометрике для отражения степени взаимодействия между различными регионами на основе их географической близости.
Выбор матрицы весов на основе географического расстояния был сделан для эффективного учета пространственных взаимосвязей между провинциями. Однако мы признаем, что такие факторы, как экономические связи и политические отношения, также могут влиять на пространственные взаимодействия. Будущие исследования могли бы изучить эти альтернативные спецификации весов, чтобы улучшить наше понимание пространственной динамики в развитии сельских районов.
4. Эмпирический анализ
4.1. Бенчмарк-регрессии и проверки надежности
Результаты бенчмарк-регрессии и проверок надежности, обобщенные в Таблице 3, выявляют сильную положительную взаимосвязь между УССХ и сельским доходом. Модель с двойными фиксированными эффектами (столбец 2) дает коэффициент 0,183 для УССХ, статистически значимый на уровне 1%, что предполагает, что улучшения в качестве и эффективности услуг могут существенно повысить доходы сельских домохозяйств. В частности, увеличение уровня УССХ на одну единицу связано с увеличением дохода сельских жителей на 18,3% при прочих равных условиях. В этом контексте увеличение сельскохозяйственных общественных услуг (УССХ) на одну единицу относится к улучшению на одно стандартное отклонение в комплексном индексе УССХ, построенном с использованием метода взвешенной энтропии, как описано в разделе 3.3.2. Это улучшение может быть достигнуто с помощью различных стратегий, таких как повышение качества и доступности услуг по распространению сельскохозяйственных знаний, увеличение доступности сельскохозяйственной техники и технологий или расширение сельских финансовых услуг. Следовательно, результаты показывают, что целевые инвестиции и политика, сосредоточенные на усилении конкретных аспектов УССХ, могут значительно принести пользу сельским доходам. Этот результат подтверждает установленное положительное влияние услуг поддержки сельского хозяйства на благосостояние сельских домохозяйств и согласуется с предыдущими исследованиями [66]. Этот результат имеет глубокие экономические последствия для сокращения укоренившегося разрыва в доходах между городом и селом в Китае [67]. Инвестирование в рост и улучшение УССХ может оказаться мощным подходом для содействия развитию сельских районов и смягчению бедности. Тем не менее, эффективность этих услуг, вероятно, зависит от ряда факторов, включая качество внедрения, нацеленность на благополучателей и сопутствующие инвестиции в сельскую инфраструктуру и человеческий капитал [68]. Анализ региональной неоднородности показывает, что влияние сельскохозяйственных общественных услуг (УССХ) на сельские доходы различается в восточном, центральном и западном регионах Китая. Разработчики политики должны отдавать приоритет инвестициям в УССХ в районах с более низким уровнем этих услуг, особенно в центральных и западных провинциях, где эффекты перетока, вероятно, будут более значимыми. Направляя инвестиции в регионы с большим неравенством в доходах и недостаточно развитыми УССХ, эти вложения могут эффективно способствовать инклюзивному росту сельских районов и смягчению бедности.
Таблица 3. Результаты бенчмарк-регрессии и проверок надежности.
Анализ контрольных переменных в панельной регрессии выявляет несколько важных тенденций. Во-первых, существует значительная положительная взаимосвязь между уровнем образования сельских жителей и их доходом. Коэффициент 0,020, который является статистически значимым на уровне 1%, указывает на то, что повышение уровня образования в сельских районах может привести к повышению уровня доходов. Программы профессионального обучения, сосредоточенные на сельскохозяйственных навыках и технологиях, жизненно важны для сельских жителей, чтобы эффективно использовать сельскохозяйственные общественные услуги (УССХ). Инвестиции в формальное образование, особенно в улучшение доступа и качества начального и среднего школьного образования, также укрепят человеческий капитал и будут поддерживать долгосрочные выгоды от УССХ. Сочетание целевого профессионального обучения с улучшениями в формальном образовании, вероятно, максимизирует потенциал УССХ по повышению доходов. Этот вывод согласуется с существующими исследованиями о преимуществах образования в развивающихся странах [69]. Инвестирование в сельское образование, особенно в инициативы по профессиональному обучению и развитию навыков, может повысить эффективность УССХ за счет улучшения человеческого капитала среди сельских жителей. Это расширение прав и возможностей может помочь им использовать возникающие экономические возможности. Кроме того, анализ показывает, что степень открытости внешним рынкам имеет коэффициент 0,065, который является статистически значимым на уровне 1%. Это указывает на то, что большая открытость через торговлю и иностранные инвестиции может расширить доступ к рынку для сельскохозяйственной продукции, тем самым способствуя росту сельских доходов. Однако важно отметить, что преимущества повышенной открытости могут не распределяться равномерно по всему населению, и мелкие фермеры могут столкнуться с маргинализацией, если им не будет оказана адекватная поддержка для конкуренции на глобальных рынках [70]. Чтобы смягчить этот риск, разработчики политики должны внедрять целевые субсидии для мелких фермеров, такие как субсидии на ресурсы или поддержка цен, для поддержания конкурентоспособности. Поощрение развития сельскохозяйственных кооперативов может помочь этим фермерам достичь эффекта масштаба, укрепить их переговорную силу и улучшить доступ к рынку. Кроме того, улучшение доступа к кредитным учреждениям и финансовым услугам позволит мелким фермерам инвестировать в технологии, повышающие продуктивность, и управлять рисками, связанными с волатильностью рынка. В-третьих, положительный и значимый коэффициент плотности сельскохозяйственной техники подчеркивает важность технологического обновления и модернизации в сельскохозяйственном секторе. Механизация может улучшить продуктивность и эффективность сельского хозяйства, высвобождая рабочую силу для более доходной несельскохозяйственной деятельности. Однако высокая стоимость сельскохозяйственной техники и необходимость в специализированных навыках могут ограничить доступность механизации для мелких фермеров, что требует политики по обеспечению доступности и предоставлению обучения и консультационных услуг. Программы совместного использования, позволяющие фермерам получать доступ к технике через кооперативы или услуги аренды, могут облегчить финансовое бремя индивидуального владения. Государственно-частные партнерства, где правительство поддерживает услуги механизации в частном секторе, могут повысить доступность для мелких фермеров. Кроме того, целевые субсидии на покупку или аренду техники, а также обучение эксплуатации и техническому обслуживанию могут помочь маргинализированным фермерам преодолеть барьеры внедрения.
Было выполнено три проверки надежности для валидации результатов регрессии. Результаты сохраняют свою значимость во всех проверках надежности, демонстрируя их устойчивость к различным спецификациям модели и методам оценки. В столбце (3) используется смешанная модель OLS для повторного регрессионного анализа, а в столбце (4) ключевая объясняющая переменная УССХ задерживается на один порядок и используется метод инструментальных переменных (2SLS), который использует лагированное на один год значение УССХ в качестве инструментальной переменной. Метод инструментальных переменных был использован для решения потенциальных проблем эндогенности, таких как обратная причинно-следственная связь, между сельскохозяйственными общественными услугами (УССХ) и сельскими доходами. Используя лагированные значения УССХ в качестве инструментов, цель состоит в том, чтобы изолировать причинный эффект этих услуг на сельские экономические результаты, поскольку на эти лагированные значения с меньшей вероятностью повлияют текущие уровни дохода. Этот метод также уменьшает потенциальные смещения от пропущенных переменных или ошибок измерения, которые могли бы одновременно влиять как на УССХ, так и на сельские доходы. В столбце (5) модель сокращается; она упрощает модель за счет уменьшения количества переменных-предикторов, что помогает смягчить потенциальное переобучение и повышает интерпретируемость. Эта спецификация модели также сохраняет значимость результатов во всех проверках надежности, дополнительно подтверждая их надежность. Результаты остаются значимыми во всех проверках надежности, что указывает на надежность выводов.
Таким образом, проверки надежности подтверждают положительное влияние УССХ на доходы сельских домохозяйств в Китае, как было выявлено в анализе бенчмарк-регрессии. Однако эффективность этих услуг в продвижении развития сельских районов и сокращении бедности, вероятно, зависит от различных факторов, включая качество внедрения, нацеленность на благополучателей и дополнительные инвестиции в образование, инфраструктуру и доступ к рынку.
4.2. Пространственное измерение
4.2.1. Тест пространственной корреляции
Пространственный эконометрический анализ полагается на матрицу пространственных весов для моделирования взаимосвязей между пространственными единицами. В этом исследовании используется обратное географическое расстояние между провинциями для построения матрицы весов географического расстояния W, которая может быть выражена как:
Этот подход широко используется в пространственных эконометрических исследованиях из-за его способности учитывать эффект затухания расстояния, когда влияние одной пространственной единицы на другую уменьшается с увеличением расстояния [71]. Однако следует отметить потенциальные недостатки, связанные с этой схемой взвешивания, такие как предположение об изотропных пространственных отношениях и чувствительность к выбору меры расстояния [47]. Эти ограничения могут потенциально привести к переоценке или недооценке истинной пространственной зависимости, влияя на точность наших результатов. Будущие исследования могли бы изучить альтернативные спецификации пространственных весов, такие как экономическое расстояние или веса на основе транспортных сетей, для проверки надежности результатов.
Индекс Морана I, рассчитанный с использованием матрицы пространственных весов географического расстояния, оценивает пространственную автокорреляцию доходов сельских жителей в каждой провинции. Индекс Гири C дополняет индекс Морана I, предоставляя более локализованную меру пространственной автокорреляции. В то время как индекс Морана I отражает общую пространственную структуру, индекс Гири C более чувствителен к различиям между соседними наблюдениями. Результаты, представленные в Таблице 4, показывают, что за период 2011–2021 годов последовательно наблюдалась статистически значимая пространственная автокорреляция, измеряемая как индексом Морана I (p < 0,01), так и индексом Гири C (p < 0,01). Значения индекса Морана I больше 0, а коэффициенты индекса Гири C меньше 1, что указывает на существенную положительную пространственную автокорреляцию доходов сельских жителей. Согласованность между результатами индекса Морана I и индекса Гири C подкрепляет данные о значительной пространственной кластеризации уровней сельских доходов в провинциях Китая. Этот вывод выделяет важность учета пространственной зависимости при анализе влияния услуг по социализации сельского хозяйства на экономическую устойчивость сельских районов.
Таблица 4. Индекс Морана для сельских доходов 2011–2021 гг.
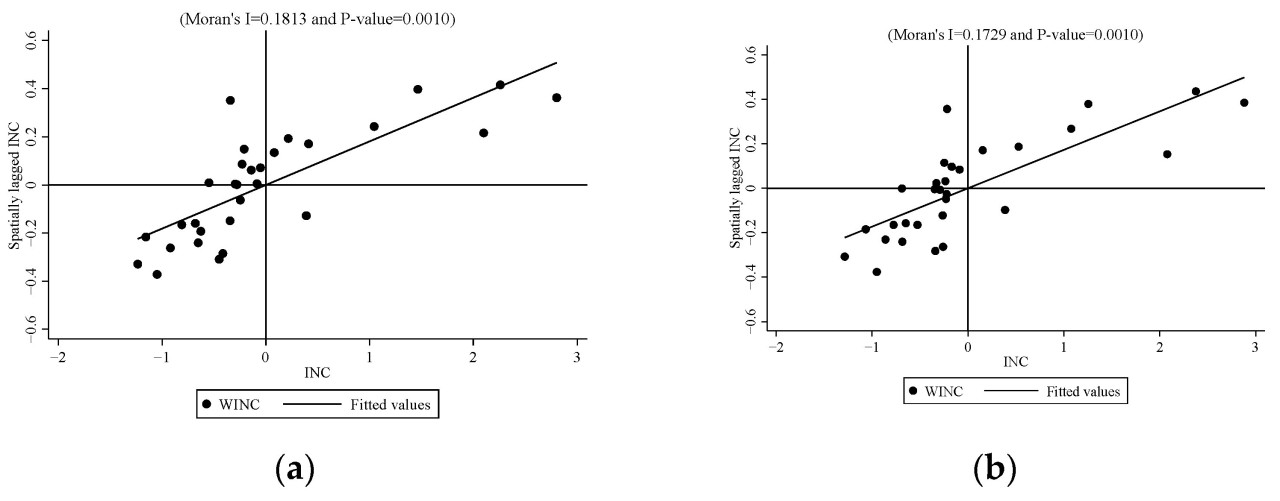
Положительная пространственная автокорреляция сельских доходов указывает на то, что провинции с похожими уровнями доходов, будь то высокими или низкими, имеют тенденцию пространственно группироваться, что приводит к концентрированному паттерну. Рисунок 1 иллюстрирует это явление с помощью локализованных диаграмм рассеяния Морана сельских доходов за 2011 и 2021 годы, построенных на основе глобального индекса Морана I. Квадранты I и III иллюстрируют агломерацию «высокий-высокий» и «низкий-низкий», в то время как второй и четвертый квадранты демонстрируют уровни агломерации «низкий-высокий» и «высокий-низкий». Эта пространственная кластеризация, известная как «эффект Матфея» или механизм «богатый становится богаче», относится к явлению, когда привилегированные люди или группы имеют тенденцию накапливать дальнейшие преимущества с течением времени, в то время как обездоленные отстают еще больше, что значительно влияет на региональное неравенство и стратегии смягчения бедности. Разработчики политики должны учитывать пространственную кластеризацию сельских доходов при разработке и реализации стратегий развития, поскольку на эффективность мер может влиять пространственный контекст.
Рисунок 1. Диаграмма рассеяния Морана дохода сельских жителей в 2011 г. (a) и 2021 г. (b).
Пространственная автокорреляция сельских доходов может быть объяснена различными факторами, такими как рыночный потенциал, экономия от агломерации и перетоки знаний. Эти факторы, основанные на экономической теории, предоставляют понимание пространственной кластеризации сельских доходов и потенциальных каналов, через которые УССХ могут генерировать пространственные эффекты перетока. Новая экономическая география предполагает, что пространственная экономическая кластеризация возникает из-за возрастающей отдачи от масштаба, транспортных затрат и размера рынка [72]. Кроме того, теория эндогенного роста выделяет важность человеческого капитала, инноваций и технологической диффузии в создании положительных пространственных экстерналий [73]. Эти теоретические перспективы предоставляют понимание пространственной кластеризации сельских доходов и возможных каналов, через которые УССХ могут генерировать пространственные эффекты перетока.
Хотя пространственная автокорреляция сельских доходов указывает на пространственные паттерны в экономическом развитии, она не подтверждает пространственные перетоки от УССХ. Дальнейший анализ с использованием моделей, таких как пространственная модель Дарбина (SDM), которые учитывают пространственные лаги как зависимых, так и независимых переменных, необходим для определения степени этих перетоков. В заключение, тест пространственной корреляции выявляет значительную пространственную автокорреляцию доходов сельских жителей в провинциях Китая, указывая на наличие пространственной кластеризации и зависимости. Этот вывод подчеркивает важность учета пространственного измерения в анализе развития сельских районов и оценке УССХ.
4.2.2. Выбор модели для пространственного измерения
Результаты в Таблице 5 показывают, что модель прошла как LM, так и LR тесты, что предполагает, что пространственная модель Дарбина является оптимальным выбором для этого исследования. Кроме того, тесты Хаусмана и Вальда указывают на то, что подход с двусторонними фиксированными эффектами является наиболее подходящим для анализа. В результате в этом исследовании используется пространственная модель Дарбина с двусторонними фиксированными эффектами в качестве основного средства анализа.
Таблица 5. Результаты тестов пространственного эконометрического моделирования.
Пространственная модель Дарбина была выбрана, потому что она является наиболее полной и гибкой среди рассмотренных пространственных моделей. В отличие от моделей пространственного лага и пространственной ошибки, которые учитывают пространственную зависимость только в зависимой переменной или члене ошибки соответственно, пространственная модель Дарбина улавливает как пространственную зависимость в зависимой переменной, так и потенциальные эффекты перетока объясняющих переменных. Более того, спецификация с двусторонними фиксированными эффектами была выбрана на основе тестов Хаусмана и Вальда, которые предположили, что это наиболее подходящий подход для контроля ненаблюдаемой неоднородности по провинциям и периодам времени.
4.2.3. Результаты регрессии пространственной модели Дарбина
Таблица 6 предоставляет сводку результатов регрессии из пространственного эконометрического анализа с использованием матрицы весов географического расстояния. Столбцы (1), (2) и (3) сообщают результаты для пространственной авторегрессионной модели (SAR), пространственной модели ошибок (SEM) и пространственной модели Дарбина (SDM) соответственно. Пространственные авторегрессионные коэффициенты ρ как для SAR, так и для SDM, а также коэффициент пространственной ошибки λ для SEM являются статистически значимыми на уровне 1%, что подтверждает надежность всех трех моделей оценки на основе матрицы географических весов. Результаты указывают на то, что УССХ оказывают пространственное влияние на рост доходов сельских жителей, при этом перетоки способствуют увеличению доходов в соседних районах. Пространственные авторегрессионные коэффициенты ρ как для SAR, так и для SDM, а также коэффициент пространственной ошибки λ для SEM являются статистически значимыми на уровне 1%, подтверждая надежность всех трех моделей оценки на основе матрицы географических весов. Этот вывод демонстрирует, что улучшения в уровнях социализации сельского хозяйства могут создавать пространственные эффекты перетока, стимулируя рост доходов для фермеров в соседних регионах. Этот вывод подтверждает, что УССХ могут значительно увеличить доходы сельских жителей. Более того, улучшения в уровнях социализации сельского хозяйства могут создавать пространственные эффекты перетока, стимулируя рост доходов для фермеров в соседних регионах.
Таблица 6. Результаты пространственной регрессии услуг по социализации сельского хозяйства и доходов сельских жителей.
«Эффект демонстрации» УССХ, действующий как модель для других регионов, способствует их пространственным эффектам перетока. Высококачественные УССХ в определенных регионах создают успешный прецедент, мотивируя и направляя соседние районы к внедрению аналогичных практик, что приводит к улучшению сельских доходов в более широком пространственном масштабе. Эффект демонстрации действует через множественные каналы, включая распространение передовых технологий, инициативы по обучению фермеров и влияние сельскохозяйственных кооперативов. Высококачественные УССХ в определенных регионах создают успешный прецедент, мотивируя и направляя соседние районы к внедрению аналогичных практик, что приводит к улучшению сельских доходов в более широком пространственном масштабе.
Включение контрольных переменных, выбранных на основе их теоретической значимости и использования в предыдущей литературе, предоставляет более полное понимание факторов, влияющих на рост сельских доходов, и предоставляет дополнительную информацию о факторах, влияющих на рост сельских доходов, предлагая более полное понимание. Положительный и значимый коэффициент человеческого капитала (hc) подчеркивает важность образования и развития навыков в повышении сельских доходов. Аналогично, положительный и значимый коэффициент плотности сельскохозяйственной техники (md) указывает на то, что внедрение передового сельскохозяйственного оборудования может повысить продуктивность и способствовать более высоким сельским доходам.
4.2.4. Декомпозиция полезности пространственной модели Дарбина
Таблица 7 иллюстрирует декомпозицию эффектов, возникающих из пространственной модели Дарбина, выделяя прямые, переточные и общие эффекты УССХ на доходы сельских жителей. Коэффициент для прямого эффекта, значимый на уровне 1%, указывает на то, что УССХ могут существенно увеличить доходы сельских жителей в регионе через такие механизмы, как технологические перетоки, экономия от масштаба и перераспределение ресурсов [74]. Этот результат согласуется с выводами Chen и др. [28], которые продемонстрировали, что научно-технические услуги значительно повышают сельскохозяйственный доход сельских домохозяйств за счет стимулирования инноваций, повышения эффективности и увеличения применения современных сельскохозяйственных технологий.
Таблица 7. Результаты регрессии для прямых и косвенных эффектов.
Кроме того, коэффициент косвенного эффекта 6,650, который является статистически значимым на уровне 1%, выделяет значительные пространственные эффекты перетока, которые УССХ оказывают на соседние регионы. Эта пространственная диффузия услуг происходит через «эффект демонстрации», когда регионы с более высоким качеством услуг служат моделями и стандартами для подражания другим. Этот эффект материализуется через различные пути, такие как распространение передовых технологий, проведение инициатив по обучению фермеров и облегчающая роль сельскохозяйственных кооперативов. В результате успешные примеры УССХ мотивируют и направляют соседние районы к внедрению сопоставимых практик, в конечном итоге приводя к более широкому повсеместному улучшению сельских доходов на более крупной географической территории. Debolini и др. [33] подтвердили существование пространственных эффектов перетока, иллюстрируя, как УССХ облегчают распространение знаний, технологий и передового опыта между регионами.
Результаты пространственной модели Дарбина указывают на значительную положительную взаимосвязь для эффектов перетока, при этом количественные результаты демонстрируют, что эффекты перетока УССХ являются существенно влиятельными по сравнению с прямыми эффектами. Этот вывод подчеркивает ключевую роль УССХ в продвижении роста доходов в окружающих сельских районах и дополнительно подтверждает важность межрегиональной взаимозависимости. Благодаря количественному анализу эффектов перетока мы получаем более четкое понимание степени влияния УССХ на различные регионы и их вклада в общее экономическое развитие сельских районов.
Коэффициент общего эффекта 6,965, который является статистически значимым на уровне 1%, иллюстрирует широкое влияние УССХ на увеличение доходов сельских жителей в регионе. Этот вывод предполагает, что политика, направленная на расширение и улучшение УССХ, такая как увеличение инвестиций в услуги по распространению сельскохозяйственных знаний, продвижение внедрения новых технологий и облегчение доступа к рынку, может иметь существенное влияние на сельские доходы и способствовать сокращению разрыва в доходах между городом и селом. Разработчики политики должны отдавать приоритет целевым мерам, включая субсидии или стимулы для доступа мелких фермеров к УССХ, улучшение инфраструктуры в недостаточно обслуживаемых районах и программы обучения для повышения способности обездоленных групп использовать эти услуги. Однако справедливое распределение этих выгод требует дальнейшего рассмотрения, учитывая потенциальные различия в доступе и использовании между социально-экономическими группами. Чтобы решить эту проблему, разработчики политики должны отдавать приоритет внедрению целевых мер для обеспечения более справедливого распределения выгод, получаемых от этих услуг, тем самым способствуя общей цели возрождения сельских районов. Кроме того, правительство должно последовательно укреплять УССХ, расширять их охват и стратегически распределять ресурсы, отдавая приоритет регионам с более низким уровнем этих услуг, способствуя инклюзивному росту в сельских районах.
4.2.5. Проверки надежности пространственной модели Дарбина
В этом исследовании используются три различных проверки надежности для обеспечения надежности и достоверности результатов исследования. Во-первых, используются альтернативные матрицы пространственных весов, а именно экономико-географическая вложенная матрица и сельскохозяйственная экономико-географическая матрица сельскохозяйственной репрезентативности. Экономико-географическая вложенная матрица выбрана для учета пространственных взаимодействий между провинциями на основе их экономической и географической близости, в то время как сельскохозяйственная экономико-географическая матрица делает акцент на сельскохозяйственном секторе. Эти матрицы позволяют проверить надежность результатов для различных спецификаций пространственной зависимости, которые учитывают как экономические, так и сельскохозяйственные факторы. Применение различных матриц пространственных весов позволяет изучить чувствительность результатов к различным спецификациям пространственной зависимости. Экономико-географическая вложенная матрица улавливает пространственные взаимодействия между провинциями на основе их экономической и географической близости, в то время как сельскохозяйственная экономико-географическая матрица делает акцент на сельскохозяйственном секторе. Во-вторых, зависимая переменная, доход сельских жителей (lnINC), задерживается на один и два порядка, чтобы учесть потенциальное отложенное влияние УССХ на сельский доход. Этот подход решает возможность временной динамики эффектов этих услуг, которые могут быть не сразу наблюдаемы, но проявляться с течением времени [5]. В-третьих, муниципалитеты, непосредственно подчиненные центральному правительству, исключаются из выборки из-за их отличительных характеристик с точки зрения экономического развития, агломерации населения и политических преимуществ по сравнению с другими провинциями. Это исключение позволяет оценить надежность выводов для потенциальных выбросов или влиятельных наблюдений.
Результаты проверок надежности, представленные в Таблице 8 и Таблице 9, указывают на то, что коэффициенты, связанные с УССХ, находятся в диапазоне от 0,131 до 0,155 и сохраняют статистическую значимость как на уровне 1%, так и на уровне 5% во всех трех тестах. Эта согласованность подтверждает стабильность наших выводов. Результаты подтверждают надежность наших заключений, иллюстрируя, что благотворные эффекты УССХ на доходы сельских жителей не зависят от изменений в матрицах пространственных весов, лагированных эффектах или удалении муниципалитетов [7].
Таблица 8. Проверка надежности пространственной модели Дарбина.
Таблица 9. Проверки надежности.
Более того, проверки надежности, выполненные в этом исследовании, предоставляют значительное понимание внутренних характеристик и согласованности пространственных эффектов перетока. Благодаря изучению этих эффектов в различных сценариях проверки раскрывают способ, которым УССХ распространяют свое влияние на соседние сельские регионы, выходя за рамки простого воздействия на целевые домохозяйства. Хотя оцененная величина эффектов перетока может различаться в зависимости от выбора матриц пространственных весов, их значимость и направление последовательно поддерживаются [8]. Это предполагает, что положительные пространственные экстерналии, генерируемые УССХ, являются фундаментальной характеристикой системы и не зависят от конкретной модели пространственного взаимодействия.
Эта стабильность предполагает, что положительные экстерналии, генерируемые УССХ, являются внутренним свойством системы, а не артефактом выбранной пространственной модели. Примечательно, что это положительное влияние сохранилось даже после исключения муниципалитетов, находящихся под непосредственным управлением центрального правительства [6], что указывает на широкую эффективность в продвижении развития сельских районов и сокращении региональных различий в доходах.
4.2.6. Тесты региональной неоднородности
Таблица 10 иллюстрирует результаты регрессии, касающейся региональной неоднородности, выделяя заметные различия в том, как УССХ влияют на доходы сельских жителей в восточном, центральном и западном регионах Китая. Анализ выявляет заметные различия в эффективности УССХ среди различных регионов. Как в восточном, так и в центральном регионах коэффициенты для УССХ являются положительными и статистически значимыми. Это указывает на то, что УССХ значительно способствуют увеличению доходов сельских жителей в этих регионах. Напротив, результаты для западного региона демонстрируют незначимые коэффициенты, что предполагает, что УССХ не оказывают значимого положительного влияния на рост доходов сельских домохозяйств в этой части страны.
Таблица 10. Результаты регрессии региональной неоднородности.
Несколько факторов способствуют наблюдаемой региональной неоднородности во влиянии УССХ, включая различия в наделенности природными ресурсами, стадиях экономического развития и сельскохозяйственной инфраструктуре. Эти основополагающие различия формируют эффективность УССХ в каждом регионе. Эффективность УССХ, по-видимому, зависит от региональных контекстов. Восточный и центральный регионы с их благоприятными природными условиями, развитой экономикой и надежными сельскохозяйственными секторами лучше подготовлены к получению выгоды от этих услуг. Сравнительно плохие природные ресурсы, недостаточно развитая экономика и более слабые сельскохозяйственные основы западного региона ограничивают потенциальное влияние УССХ на рост сельских доходов. Разработчики политики могут использовать преимущества интенсификации и масштаба в центральных и западных провинциях с помощью целевых мер. Эти меры должны способствовать развитию сельскохозяйственных и машиностроительных кооперативов, оптимизировать программы субсидирования сельскохозяйственной техники и улучшать обучение для поставщиков услуг техники. Регионально-специфичная политика может усилить роль УССХ в стимулировании роста сельских доходов, решая уникальные потребности и условия каждого региона.
Анализ декомпозиции полезности выявляет, что УССХ генерируют положительные пространственные эффекты в каждом регионе. Интересно, что центральные и западные провинции демонстрируют более сильные положительные пространственные перетоки на соседние районы по сравнению с восточным регионом. Величина этих эффектов перетока постепенно усиливается с востока на запад. Это явление может быть объяснено крупномасштабными интенсивными производственными услугами в центральном и западном регионах, которым способствует движение населения с запада на восток. Отток рабочей силы в этих регионах приводит к росту затрат на рабочую силу, создавая возможности для сельскохозяйственного развития в соседних районах. Интенсивные методы ведения сельского хозяйства в центре и на западе способствуют эффективному предоставлению услуг и увеличению доходов фермеров в окружающих районах. Для улучшения технологического трансфера из восточного региона в центральный и западный рекомендуется создание совместных сельскохозяйственных технологических платформ.
Разработчики политики могут использовать преимущества интенсификации и масштаба в центральных и западных провинциях путем внедрения целевых мер. Эти меры должны быть сосредоточены на содействии росту сельскохозяйственных и машиностроительных кооперативов, оптимизации программ субсидирования сельскохозяйственной техники и усилении учебных инициатив для поставщиков услуг сельскохозяйственной техники. Регионально-специфичная политика может усилить роль УССХ в продвижении роста сельских доходов. Это требует учета уникальных потребностей и условий каждого региона. Для облегчения технологического трансфера с востока в центральный и западный регионы рекомендуется создание совместных сельскохозяйственных технологических платформ. Кроме того, стимулирование инвестиций со стороны восточных предприятий в центральный и западный регионы и укрепление развития сельскохозяйственных талантов являются ключевыми стратегиями.
Последствия этого исследования являются существенными для понимания неоднородных эффектов УССХ по регионам и для разработки регионально-специфичных стратегий поддержки сельского хозяйства. Сельскохозяйственные проблемы носят высоко региональный характер, требуя целевой политики, основанной на ресурсном потенциале и стадиях развития различных регионов. Выявляя неоднородное влияние УССХ по регионам, это исследование предоставляет важные руководства для продвижения модернизации сельского хозяйства и сокращения региональных различий адаптированным к местным условиям способом.
В заключение, тест пространственной корреляции указывает на значительную пространственную автокорреляцию доходов сельских жителей в провинциях Китая, выделяя пространственную кластеризацию и зависимость. Пространственная модель Дарбина дополнительно показывает, что сельскохозяйственные общественные услуги (УССХ) генерируют существенные положительные эффекты перетока на сельские доходы в соседних регионах. Эти выводы подчеркивают необходимость включения пространственных измерений в анализ развития сельских районов и оценку УССХ. Разработчики политики должны использовать эти пространственные перетоки, стратегически инвестируя в УССХ в ключевых местах, поскольку выгоды могут распространяться на более широкие территории, способствуя более сбалансированному и инклюзивному росту сельских районов.
4.3. Модели пороговой регрессии
В этом исследовании используется уровень урбанизации в качестве пороговой переменной для изучения потенциальных нелинейных эффектов УССХ на доходы сельских домохозяйств. Анализ пороговой регрессии, обобщенный в Таблице 11, раскрывает сложное взаимодействие между урбанизацией и эффективностью УССХ в стимулировании роста доходов, причем различные эффекты наблюдаются на различных этапах урбанизации.
Таблица 11. Результаты регрессии порогового эффекта.
Когда уровень урбанизации ниже первого порога 0,3878, УССХ, по-видимому, оказывают отрицательное влияние на рост сельских доходов. Этот вывод может быть объяснен массовым перетоком сельской рабочей силы, особенно лиц молодого и среднего возраста, в городские районы на ранних стадиях урбанизации, что приводит к серьезному старению сельских районов и препятствует росту сельских доходов. Теории мобильности населения и развития сельских районов предлагают линзу для понимания того, как миграция рабочей силы влияет на сельскохозяйственное производство и доходы сельских домохозяйств [75]. Taylor и др. (2003) [76] обнаружили, что перемещение сельских рабочих может снизить продуктивность сельского хозяйства. Нарушение сельской рабочей силы из-за урбанизации является значительным фактором, способствующим негативному влиянию УССХ на рост доходов в менее урбанизированных регионах. Это нарушение, вероятно, приводит к появлению населения, которому не хватает необходимых навыков и знаний для современной эффективной сельскохозяйственной практики. Как теоретические основы, так и эмпирические выводы поддерживают этот вывод.
Как только урбанизация превышает критический порог, это сигнализирует о сдвиге, при котором УССХ начинают положительно влиять на сельские доходы. Это изменение в первую очередь вызвано расширением и улучшением УССХ. Их вклад в рост доходов разнообразен, включая улучшенное распространение технологий, лучший доступ к рыночной информации и повышенную доступность финансовых услуг. Основываясь на исследовании Anderson и Feder (2004) [19], наше исследование подчеркивает важность этих услуг в повышении продуктивности сельского хозяйства и повышении уровня жизни в сельской местности. По мере дальнейшего развития урбанизации качество и масштаб этих услуг улучшаются, что приводит к более значительному положительному влиянию на сельские доходы.
За вторым порогом урбанизации 0,4348 благотворное влияние УССХ на сельские доходы заметно возрастает. Этот рост обусловлен модернизацией и коммерциализацией сельского хозяйства в высоко урбанизированных районах, что усиливает спрос на специализированные УССХ. Эта тенденция согласуется с теорией модернизации сельского хозяйства, которая постулирует, что более развитые сельскохозяйственные экономики испытывают рост продуктивности, ведущий к более высоким сельским доходам.
Анализ пороговой регрессии предоставляет разработчикам политики стратегическую основу, которая подчеркивает необходимость разработки локализованных стратегий вмешательства УССХ, адаптированных к региональным экономическим условиям и уникальным характеристикам развития. Эта стратегия должна быть сосредоточена на содействии устойчивому росту сельских доходов. Разработчики политики должны учитывать различные уровни урбанизации в регионах. В менее урбанизированных регионах УССХ должны отдавать приоритет преодолению таких проблем, как нехватка сельской рабочей силы и старение населения. Поощрение внедрения трудосберегающих технологий может решить эти проблемы, наряду с обеспечением участия пожилых фермеров в сельскохозяйственной деятельности. Согласовывая УССХ с конкретными потребностями каждого региона, они могут более эффективно повышать сельские доходы и устойчивость. В более урбанизированных районах цель УССХ должна состоять в том, чтобы помочь мелким фермерам интегрироваться в современные сельскохозяйственные цепочки создания стоимости. Эффективные стратегии могут включать предоставление целевых услуг, таких как сертификация качества, повышение узнаваемости бренда и установление рыночных связей. Адаптация мер УССХ к конкретным потребностям и проблемам, с которыми сталкиваются сельские сообщества на различных этапах урбанизации, может усилить роль УССХ в повышении сельских доходов.
Используя новую структурную экономику в качестве интерпретационной основы, это исследование изучает нюансированные взаимодействия между УССХ и динамикой сельских доходов. Эта основа выделяет важность использования региональных сравнительных преимуществ и содействия модернизации сельскохозяйственного сектора [77]. На слабоурбанизированных стадиях УССХ должны использовать сравнительные преимущества сельского хозяйства, продвигая крупномасштабные и стандартизированные сельскохозяйственные операции для повышения эффективности и продуктивности. По мере того как регионы становятся более урбанизированными, УССХ должны отдавать приоритет культивированию новых сельскохозяйственных бизнес-структур, развитию высокодобавочного городского сельского хозяйства и укреплению интеграции с вторичными и третичными отраслями. Развертывание УССХ может инициировать трансформацию сельской экономики, обеспечивая устойчивый рост доходов сельских жителей и региональное развитие.
5. Выводы и рекомендации
5.1. Выводы
В этом исследовании анализируется влияние УССХ на доходы сельских домохозяйств в Китае с акцентом на пороговые эффекты и пространственные перетоки. Эмпирические результаты дают несколько ключевых выводов, имеющих значительные практические последствия.
Во-первых, анализ бенчмарк-регрессии в сочетании с проверками надежности показывает сильную и положительную взаимосвязь между УССХ и доходом сельских домохозяйств. Результаты предполагают, что увеличение УССХ приводит к более высоким уровням доходов сельских жителей, что может значительно улучшить их уровень жизни и способствовать сокращению бедности в сельских районах. Увеличение уровня сельскохозяйственных общественных услуг (УССХ) на одну единицу связано с ростом доходов сельских жителей на 18,3% при прочих равных условиях. Этот вывод имеет значительные экономические последствия для сокращения сохраняющегося разрыва в доходах между городом и селом в Китае. Инвестирование в расширение и улучшение УССХ может служить эффективной стратегией для продвижения развития сельских районов и смягчения бедности.
Во-вторых, пространственный эконометрический анализ обнаруживает заметные эффекты перетока УССХ на соседние регионы. Пространственная модель Дарбина (SDM) указывает на коэффициент общего эффекта 6,965, что означает, что выгоды от УССХ распространяются на стимулирование роста сельских доходов в более широком пространственном регионе. Этот вывод подразумевает, что инвестирование в УССХ в одном регионе может положительно повлиять на экономическое благосостояние сельских домохозяйств в окружающих районах, что приводит к увеличению среднедушевого дохода в среднем на 6965 юаней. Эти эффекты перетока повышают общую эффективность мер УССХ и подчеркивают важность учета пространственных аспектов развития сельских районов.
В-третьих, анализ выявляет значительные региональные различия в эффективности УССХ. В восточном и центральном регионах эффекты являются положительными и статистически значимыми. Однако в западном регионе влияние не является статистически значимым. Это различие может быть объяснено различиями в природных ресурсах, стадиях экономического развития и сельскохозяйственной инфраструктуре. Восточные и центральные провинции Китая обычно извлекают выгоду из более благоприятных сельскохозяйственных условий, таких как плодородные почвы и обильные водные ресурсы. В западном регионе засушливые ландшафты и горная местность создают серьезные проблемы для продуктивности сельского хозяйства. Напротив, восточный и центральный регионы извлекают выгоду из более высокого уровня экономического развития и превосходной сельскохозяйственной инфраструктуры, включая эффективные ирригационные системы и транспортные сети, что облегчает внедрение УССХ. Эта инфраструктура поддерживает внедрение новых технологий, улучшает доступ к рынку и повышает качество предоставления услуг. И наоборот, более суровые экологические условия и менее развитая инфраструктура в западном регионе могут ограничивать способность УССХ улучшать сельские доходы. Это различие подчеркивает необходимость адаптации стратегий продвижения УССХ к местным контекстам, гарантируя, что инвестиции и меры специально разработаны для решения уникальных проблем, с которыми сталкивается каждый регион.
В-четвертых, анализ пороговой регрессии указывает на то, что взаимосвязь между урбанизацией и влиянием УССХ на сельский доход является нелинейной. В менее развитых регионах ранние стадии урбанизации нарушают сельскую рабочую силу, что приводит к отрицательной ассоциации с УССХ. Однако по мере прогрессирования урбанизации улучшение качества и фокуса УССХ положительно влияет на сельский доход. Разработчики политики должны признавать эти различные эффекты и соответствующим образом корректировать свои меры. В менее урбанизированных регионах УССХ должны быть сосредоточены на решении таких проблем, как нехватка сельской рабочей силы и старение населения. Поощрение внедрения трудосберегающих технологий и облегчение участия пожилых фермеров в сельскохозяйственной деятельности могут эффективно решить эти проблемы.
В этом исследовании изучается сложная взаимосвязь между УССХ и доходами сельских домохозяйств в Китае с учетом пороговых эффектов, пространственных перетоков и региональных вариаций. Результаты предоставляют важные идеи для разработчиков политики, стремящихся улучшить УССХ для смягчения бедности и сокращения неравенства. Чтобы максимизировать вклад УССХ в процветание сельских районов и справедливое развитие, жизненно важно использовать пространственные перетоки и корректировать стратегии в ответ на нелинейные эффекты урбанизации.
5.2. Рекомендации
Во-первых, для улучшения УССХ необходима комплексная стратегия. Расширение масштаба УССХ для охвата широкого круга услуг увеличит их ценность для фермеров. Кроме того, развитие разнообразной сети поставщиков услуг, включая частных лиц, государственные учреждения и НПО, может улучшить предоставление услуг. Чтобы стимулировать их участие, разработчики политики должны рассмотреть целевые субсидии, налоговые льготы и инициативы по наращиванию потенциала. Исследования показывают, что этот интегрированный подход создает среду, способствующую внедрению специализированных технологически продвинутых методов ведения сельского хозяйства, в конечном итоге повышая доходы фермерских домохозяйств. Чтобы максимизировать влияние на развитие сельских районов, эта стратегия должна быть дополнена инвестициями в сельское образование, профессиональное обучение и надежные инициативы в области сельскохозяйственных исследований и разработок. Во-вторых, необходимо укрепить сельские системы знаний и профессиональное образование. Успешные модели, такие как подход «Полевые школы фермеров» и использование информационно-коммуникационных технологий (ИКТ) в услугах по распространению сельскохозяйственных знаний, демонстрируют потенциал этих инвестиций. Например, Продовольственная и сельскохозяйственная организация (ФАО) успешно внедрила «Полевые школы фермеров» во многих странах, продвигая экспериментальное обучение и обмен знаниями среди фермеров. Это должно проводиться наряду с продвижением большей открытости и инвестиций в сельскохозяйственные исследования и разработки, одновременно способствуя большей открытости и инвестициям в сельскохозяйственные исследования и разработки.
Во-вторых, чтобы оптимизировать роль УССХ в повышении сельских доходов, разработчики политики должны продвигать межведомственное сотрудничество и использовать стратегическую фискальную политику. Эмпирические выводы демонстрируют заметные региональные различия во влиянии УССХ. В частности, восточный и центральный регионы демонстрируют положительные и статистически значимые эффекты. Эти результаты указывают на то, что распределение ресурсов УССХ в эти регионы может принести самую высокую отдачу в росте сельских доходов. Целевые налоговые льготы для сельских общественных услуг в сочетании с хорошо скоординированными усилиями государственных учреждений укрепят эффективность УССХ и будут способствовать генерированию сельских доходов. Этот подход согласуется с более широкими целями высококачественного развития. Эмпирический анализ подчеркивает значительное положительное влияние этих услуг на сельские доходы, выделяя важность комплексного политического подхода.
В-третьих, учитывая значительные пространственные эффекты перетока услуг поддержки сельского хозяйства (УССХ), выявленные в этом исследовании, политика должна быть направлена на максимизацию положительных экстерналий, связанных с инвестициями в УССХ. Пространственный эконометрический анализ указывает на то, что выгоды от УССХ выходят за пределы непосредственного региона, способствуя росту сельских доходов в соседних районах. Разработчики политики могут использовать эти эффекты перетока, стратегически размещая центры УССХ в районах, которые приносят пользу нескольким сообществам. Этот подход должен включать содействие межрегиональному сотрудничеству и обмену знаниями, а также улучшение транспортной и коммуникационной инфраструктуры для облегчения распределения выгод от УССХ.
В-четвертых, чтобы эффективно решить региональные различия в том, как УССХ влияют на сельские доходы, разработчикам политики необходимо принять индивидуальные стратегии, адаптированные к местным контекстам. Эмпирические результаты выявляют значительные региональные различия в эффективности УССХ, обусловленные различиями в ресурсном потенциале, экономических структурах и институциональных контекстах. В центральных и западных провинциях содействие росту сельскохозяйственных кооперативов и соглашений о совместном использовании техники может помочь преодолеть проблемы мелкого земледелия и ограниченного доступа к современным технологиям. Создание совместных сельскохозяйственных технологических платформ может облегчить передачу знаний из восточного региона, где УССХ более развиты. Разработчики политики должны использовать эти эмпирические идеи для разработки политики УССХ, адаптированной к конкретным потребностям и условиям каждого региона. На востоке усилия должны быть сосредоточены на консолидации ресурсов УССХ, облегчении передачи технологий в центральный и западный регионы и установлении стратегических ориентиров. Между тем, центральный и западный регионы должны использовать свои преимущества в интенсификации и масштабе, используя синергию между технологическими и масштабными эффектами. Эмпирические данные выделяют потенциал этих регионов для получения выгод от перетоков посредством целевых усилий по интенсификации и масштабированию.
В-пятых, разработчики политики должны признавать нелинейную взаимосвязь между урбанизацией и влиянием УССХ на сельские доходы. Адаптация мер УССХ к различным этапам урбанизации необходима из-за нелинейной взаимосвязи между урбанизацией и эффективностью УССХ. Анализ пороговой регрессии указывает на то, что влияние УССХ на сельские доходы заметно различается на различных этапах урбанизации. В менее урбанизированных регионах УССХ могут отрицательно влиять на сельский доход из-за нехватки рабочей силы, в то время как в более урбанизированных районах УССХ, как правило, оказывают значительно положительное влияние. Эти результаты выделяют необходимость настройки политики УССХ для решения уникальных проблем и возможностей, представленных различными уровнями урбанизации. В регионах с более низкой урбанизацией политика должна быть сосредоточена на смягчении проблем, связанных с дефицитом рабочей силы и старением населения. И наоборот, в более урбанизированных районах акцент должен быть сделан на интеграции мелких фермеров в современные сельскохозяйственные цепочки создания стоимости и продвижении высокоценной сельскохозяйственной деятельности. Разработчики политики также должны отдавать приоритет предоставлению УССХ в пригородных районах, где потенциал для модернизации сельского хозяйства и рыночной интеграции наиболее высок.
6. Ограничения и будущие направления исследований
Хотя это исследование продвигает наше понимание влияния УССХ на доходы сельских домохозяйств в Китае, важно признать ограничения, связанные с сосредоточением только на урбанизации как пороговой переменной. Другие факторы, такие как уровни образования, доступ к рынку и внедрение сельскохозяйственных технологий, также могут модулировать эффективность УССХ в отношении сельских доходов. Будущие исследования должны изучить эти альтернативные пороговые переменные, чтобы предоставить более тонкое понимание действующей динамики. Дальнейшее исследование оправдано. Будущие исследования, использующие микроданные на уровне домохозяйств, предоставили бы более детальное понимание механизмов, лежащих в основе влияния УССХ. Однако доступ к таким данным в сельских регионах и их анализ могут быть сложными из-за проблем, связанных с доступностью, качеством и сопоставимостью данных. Сотрудничество с местными заинтересованными сторонами, такими как сельскохозяйственные кооперативы и службы распространения знаний, может помочь преодолеть эти проблемы. Инновационные методы сбора данных, такие как опросы по мобильному телефону и дистанционное зондирование, также могут быть использованы для сбора данных высокого разрешения в условиях ограниченных ресурсов. Более того, обобщаемость этих результатов на другие развивающиеся страны требует тщательного рассмотрения, учитывая различия в системах землевладения, рыночных структурах и институциональных контекстах. Хотя определенные аспекты УССХ, такие как важность технологического внедрения и наращивания потенциала, могут быть универсально применимы, вероятны региональные различия. Например, уникальная система землевладения Китая, характеризующаяся коллективной собственностью и ответственностью домохозяйств, может влиять на эффективность УССХ способами, отличными от других стран с частной собственностью на землю, таких как Индия и Бразилия. Аналогично, уровень государственной поддержки УССХ и сила сельскохозяйственных кооперативов могут различаться в разных странах, влияя на внедрение и влияние этих услуг. Для выявления общих проблем и факторов успеха УССХ в различных контекстах необходимы сравнительные межстрановые исследования. Другие факторы, помимо урбанизации, такие как права на землю, доступ к кредитам и участие в сельскохозяйственных организациях, могут модулировать эффективность УССХ. Изучение этих факторов могло бы предоставить более детальную картину того, когда УССХ могут существенно принести пользу средствам к существованию в сельской местности. Несмотря на свои идеи, исследование оставляет важные направления для будущей работы, чтобы решить свои ограничения и расширить наше понимание того, как УССХ могут способствовать устойчивому развитию сельских районов. Также важно признать внутренние ограничения линейной регрессии, такие как ее чувствительность к спецификации модели и предположениям. Будущие исследования могли бы изучить альтернативные подходы, включая инструментальные переменные и методы панельных данных, чтобы установить более надежные причинно-следственные выводы.
Ссылки
1. Ogutu, S.; Gödecke, T.; Qaim, M. Agricultural Commercialisation and Nutrition in Smallholder Farm Households. J. Agric. Econ. 2020, 71, 534–555. [Google Scholar] [CrossRef]
2. Kansanga, M.; Andersen, P.; Kpienbaareh, D.; Mason-Renton, S.; Atuoye, K.; Sano, Y.; Antabe, R. Traditional agriculture in transition: Examining the impacts of agricultural modernization on smallholder farming in Ghana under the new Green Revolution. Int. J. Sustain. Dev. World Ecol. 2018, 26, 11–24. [Google Scholar] [CrossRef]
3. John, D.; Hussin, N.; Shahibi, M.S.; Ahmad, M.; Hashim, H.; Ametefe, D.S. A Systematic Review on the Factors Governing Precision Agriculture Adoption among Small-Scale Farmers. Outlook Agric. 2023, 52, 469–485. [Google Scholar] [CrossRef]
4. Addison, M.; Anyomi, B.K.; Acheampong, P.P.; Yeboah, R.; Owusu, J. Key Drivers of Adoption Intensity of Selected Improved Rice Technologies in Rural Ghana. Sci. Afr. 2023, 19, e01544. [Google Scholar] [CrossRef]
5. Zhang, D.; Min, Q.; Liu, M.; Chen, S.; Zhao, L. Ecosystem Service Tradeoff between Traditional and Modern Agriculture: A Case Study in Congjiang County, Guizhou Province, China. Front. Environ. Sci. Eng. 2012, 6, 743–752. [Google Scholar] [CrossRef]
6. Chen, T.; Rizwan, M.; Abbas, A. Exploring the Role of Agricultural Services in Production Efficiency in Chinese Agriculture: A Case of the Socialized Agricultural Service System. Land 2022, 11, 347. [Google Scholar] [CrossRef]
7. Huan, M.; Li, Y.; Chi, L.; Zhan, S. The Effects of Agricultural Socialized Services on Sustainable Agricultural Practice Adoption among Smallholder Farmers in China. Agronomy 2022, 12, 2198. [Google Scholar] [CrossRef]
8. Zang, L.; Wang, Y.; Ke, J.; Su, Y. What Drives Smallholders to Utilize Socialized Agricultural Services for Farmland Scale Management? Insights from the Perspective of Collective Action. Land 2022, 11, 930. [Google Scholar] [CrossRef]
9. Qing, C.; Zhou, W.; Song, J.; Zhang, X. Impact of outsourced machinery services on farmers’ green production behavior: Evidence from Chinese rice farmers. J. Environ. Manag. 2023, 327, 116843. [Google Scholar] [CrossRef] [PubMed]
10. Sang, X.; Luo, X.; Razzaq, A.; Huang, Y.; Erfanian, S. Can agricultural mechanization services narrow the income gap in rural China? Heliyon 2023, 9, e13367. [Google Scholar] [CrossRef]
11. Qiu, H.; Feng, M.; Chi, Y.; Luo, M. Agricultural Machinery Socialization Service Adoption, Risks, and Relative Poverty of Farmers. Agriculture 2023, 13, 1787. [Google Scholar] [CrossRef]
12. Yao, W.; Zhu, Y.; Liu, S.; Zhang, Y. Can Agricultural Socialized Services Promote Agricultural Green Total Factor Productivity? From the Perspective of Production Factor Allocation. Sustainability 2024, 16, 8425. [Google Scholar] [CrossRef]
13. Chen, K.; Tian, G.; Tian, Z.; Ren, Y.; Liang, W. Evaluation of the Coupled and Coordinated Relationship between Agricultural Modernization and Regional Economic Development under the Rural Revitalization Strategy. Agronomy 2022, 12, 990. [Google Scholar] [CrossRef]
14. Yu, Y.; Chi, Z.; Yu, Y.; Wang, X. Boosting agricultural green development: Does socialized service matter? PLoS ONE 2024, 19, e0306055. [Google Scholar] [CrossRef] [PubMed]
15. Cohen, B. Urbanization in developing countries: Current trends, future projections, and key challenges for sustainability. Technol. Soc. 2006, 28, 63–80. [Google Scholar] [CrossRef]
16. Lazarova, E.; Pavlov, P.; Petrova, M.; Nikolova, D.; Peneva, M.; Kazakova-Mateva, Y. Analysis and Assessment of Infrastructural Potential in Rural Territories. Econ. Ecol. Socium 2023, 7, 1–14. [Google Scholar] [CrossRef]
17. Christoplos, I. Mobilizing the Potential of Rural and Agricultural Extension; FAO: Rome, Italy, 2010; ISBN 978-92-5-106586-6. [Google Scholar]
18. Birner, R.; Anderson, J.R. How to Make Agricultural Extension Demand-Driven? The Case of India’s Agricultural Extension Policy; IFPRI Discussion Paper 00729; International Food Policy Research Institute: Washington, DC, USA, 2007. [Google Scholar]
19. Anderson, J.R.; Feder, G. Agricultural Extension: Good Intentions and Hard Realities. World Bank Res. Obs. 2004, 19, 41–60. [Google Scholar] [CrossRef]
20. Rivera, W.M.; Sulaiman, V.R. Extension: Object of Reform, Engine for Innovation. Outlook Agric. 2009, 38, 267–273. [Google Scholar] [CrossRef]
21. Aker, J.C. Dial “A” for Agriculture: A Review of Information and Communication Technologies for Agricultural Extension in Developing Countries. Agric. Econ. 2011, 42, 631–647. [Google Scholar] [CrossRef]
22. Nakasone, E.; Torero, M.; Minten, B. The Power of Information: The ICT Revolution in Agricultural Development. Annu. Rev. Resour. Econ. 2014, 6, 533–550. [Google Scholar] [CrossRef]
23. Zhang, D.; Zheng, W.; Ning, L. Does innovation facilitate firm survival? Evidence from Chinese high-tech firms. Econ. Model. 2018, 75, 458–468. [Google Scholar] [CrossRef]
24. Griliches, Z. R&D and Productivity: The Econometric Evidence; University of Chicago Press: Chicago, IL, USA, 1998; ISBN 978-0-226-30886-9. [Google Scholar] [CrossRef]
25. Birner, R.; Davis, K.; Pender, J.; Nkonya, E.; Anandajayasekeram, P.; Ekboir, J.; Mbabu, A.; Spielman, D.J.; Horna, D.; Benin, S.; et al. From Best Practice to Best Fit: A Framework for Designing and Analyzing Pluralistic Agricultural Advisory Services Worldwide. J. Agric. Educ. Ext. 2009, 15, 341–355. [Google Scholar] [CrossRef]
26. Faure, G.; Desjeux, Y.; Gasselin, P. New Challenges in Agricultural Advisory Services from a Research Perspective: A Literature Review, Synthesis and Research Agenda. J. Agric. Educ. Ext. 2012, 18, 461–492. [Google Scholar] [CrossRef]
27. Yang, S.; Li, W. The Impact of Socialized Agricultural Machinery Services on the Labor Transfer of Maize Growers. Agriculture 2023, 13, 1249. [Google Scholar] [CrossRef]
28. Chen, H.; Li, P.; Li, Q. The impact of science and technology services on agricultural income of rural household: An investigation based on the three northeastern provinces of China. Technol. Forecast. Soc. Chang. 2023, 191, 122542. [Google Scholar] [CrossRef]
29. Cunguara, B.; Darnhofer, I. Assessing the impact of improved agricultural technologies on household income in rural Mozambique. Food Policy 2011, 36, 378–390. [Google Scholar] [CrossRef]
30. Guo, C.; Zhang, Y.; Liu, Z.; Li, N. A Coupling Mechanism and the Measurement of Science and Technology Innovation and Rural Revitalization Systems. Sustainability 2022, 14, 10343. [Google Scholar] [CrossRef]
31. Yang, D.; Liu, Z. Does farmer cooperative membership improve household welfare? Evidence from apple farmers in China. Food Policy 2022, 108, 102202. [Google Scholar] [CrossRef]
32. Ivanov, V.; Ivanov, Y.; Ivanova, O.; Melnychenko, N.; Vdovenko, L. Investment Trends in the Development of the Agricultural Economy Sector. Bus. Inform. 2023, 1, 128–134. [Google Scholar]
33. Debolini, M.; Marraccini, E.; Rizzo, D.; Galli, M.; Bonari, E. Mapping local spatial knowledge in the assessment of agricultural systems: A case study on the provision of agricultural services. Appl. Geogr. 2013, 42, 23–33. [Google Scholar] [CrossRef]
34. Zhang, S.; Sun, Y.; Yu, X.; Zhang, Y. Geographical Indication, Agricultural Products Export and Urban–Rural Income Gap. Agriculture 2023, 13, 378. [Google Scholar] [CrossRef]
35. Mohammed, K.; Batung, E.; Saaka, S.A.; Ansah, I.G.K.; Donkoh, S.A.; Azumah, S.B. Determinants of mechanized technology adoption in smallholder agriculture: Implications for agricultural policy. Land Use Policy 2023, 129, 106666. [Google Scholar] [CrossRef]
36. Zeng, D.; Alwang, J.; Norton, G.W.; Shiferaw, B.; Jaleta, M.; Yirga, C. Agricultural technology adoption and child nutrition enhancement: Improved maize varieties in rural Ethiopia. Agric. Econ. 2017, 48, 573–586. [Google Scholar] [CrossRef]
37. Baltagi, B.H. Econometric Analysis of Panel Data, 6th ed.; John Wiley & Sons: Chichester, UK, 2021; ISBN 978-1-119-54285-5. [Google Scholar]
38. Wooldridge, J.M. Econometric Analysis of Cross Section and Panel Data, 3rd ed.; MIT Press: Cambridge, MA, USA, 2021; ISBN 978-0-262-04516-5. [Google Scholar]
39. Anselin, L.; Florax, R.J.G.M. (Eds.) New Directions in Spatial Econometrics; Springer: Berlin, Germany, 1995; ISBN 978-3-540-60110-4. [Google Scholar]
40. LeSage, J.; Pace, R.K. Introduction to Spatial Econometrics; CRC Press: Boca Raton, FL, USA, 2009; ISBN 978-1-4200-6424-7. [Google Scholar]
41. Elhorst, J.P. Applied Spatial Econometrics: Raising the Bar. Spat. Econ. Anal. 2010, 5, 9–28. [Google Scholar] [CrossRef]
42. Corrado, L.; Fingleton, B. Where is the economics in spatial econometrics? J. Reg. Sci. 2012, 52, 210–239. [Google Scholar] [CrossRef]
43. Elhorst, J.P. Spatial Econometrics: From Cross-Sectional Data to Spatial Panels; Springer: Berlin, Germany, 2014; ISBN 978-3-642-40340-8. [Google Scholar]
44. LeSage, J.P.; Pace, R.K. The biggest myth in spatial econometrics. Econometrics 2014, 2, 217–249. [Google Scholar] [CrossRef]
45. Hansen, B.E. Threshold effects in non-dynamic panels: Estimation, testing, and inference. J. Econom. 1999, 93, 345–368. [Google Scholar] [CrossRef]
46. Wang, Q. Fixed-effect panel threshold model using Stata. Stata J. 2015, 15, 121–134. [Google Scholar] [CrossRef]
47. Zhang, K.H.; Song, S. Rural-urban migration and urbanization in China: Evidence from time-series and cross-section analyses. China Econ. Rev. 2003, 14, 386–400. [Google Scholar] [CrossRef]
48. Chen, A. Urbanization and disparities in China: Challenges of growth and development. China Econ. Rev. 2010, 21, 407–411. [Google Scholar] [CrossRef]
49. Lu, H.; Xie, H.; He, Y.; Wu, Z.; Zhang, X. Assessing the impacts of land fragmentation and plot size on yields and costs: A translog production model and cost function approach. Agric. Syst. 2018, 161, 81–88. [Google Scholar] [CrossRef]
50. Hansen, B.E. Sample splitting and threshold estimation. Econometrica 2000, 68, 575–603. [Google Scholar] [CrossRef]
51. Imai, K.S.; Gaiha, R.; Garbero, A. Poverty reduction during the rural-urban transformation: Rural development is still more important than urbanisation. J. Policy Model. 2017, 39, 963–982. [Google Scholar] [CrossRef]
52. Liu, Y.; Liu, J.; Zhou, Y. Spatio-temporal patterns of rural poverty in China and targeted poverty alleviation strategies. J. Rural Stud. 2017, 52, 66–75. [Google Scholar] [CrossRef]
53. Zou, Z.H.; Yi, Y.; Sun, J.N. Entropy method for determination of weight of evaluating indicators in fuzzy synthetic evaluation for water quality assessment. J. Environ. Sci. 2006, 18, 1020–1023. [Google Scholar] [CrossRef]
54. Shannon, C.E. A mathematical theory of communication. Bell Syst. Tech. J. 1948, 27, 379–423. [Google Scholar] [CrossRef]
55. Tang, J.; Zhu, H.L.; Liu, Z.; Jia, F.; Zheng, X.X. Urban sustainability evaluation under the Modified TOPSIS based on grey relational analysis. Int. J. Environ. Res. Public Health 2019, 16, 256. [Google Scholar] [CrossRef] [PubMed]
56. Wang, Q.; Yuan, X.; Zhang, J.; Mu, R.; Yang, H.; Ma, C. Key evaluation framework for the impacts of urbanization on air environment—A case study. Ecol. Indic. 2013, 24, 266–272. [Google Scholar] [CrossRef]
57. Asfaw, S.; Shiferaw, B.; Simtowe, F.; Lipper, L. Impact of modern agricultural technologies on smallholder welfare: Evidence from Tanzania and Ethiopia. Food Policy 2012, 37, 283–295. [Google Scholar] [CrossRef]
58. Schultz, T.W. Investment in Human Capital. Am. Econ. Rev. 1961, 51, 1–17. [Google Scholar]
59. Becker, G.S. Human Capital: A Theoretical and Empirical Analysis, with Special Reference to Education, 3rd ed.; University of Chicago Press: Chicago, IL, USA, 1993; ISBN 978-0-226-04120-9. [Google Scholar]
60. Feder, G.; Umali, D.L. The adoption of agricultural innovations: A review. Technol. Forecast. Soc. Chang. 1993, 43, 215–239. [Google Scholar] [CrossRef]
61. Romer, P.M. Endogenous Technological Change. J. Polit. Econ. 1990, 98, S71–S102. [Google Scholar] [CrossRef]
62. Fan, S.; Zhang, X. Infrastructure and regional economic development in rural China. China Econ. Rev. 2004, 15, 203–214. [Google Scholar] [CrossRef]
63. Li, J.; Rodriguez, D.; Tang, X. Effects of land lease policy on changes in land use, mechanization and agricultural pollution. Land Use Policy 2017, 64, 405–413. [Google Scholar] [CrossRef]
64. Jiang, L.; Deng, X.; Seto, K.C. The impact of urban expansion on agricultural land use intensity in China. Land Use Policy 2013, 35, 33–39. [Google Scholar] [CrossRef]
65. Christiansen, F. Food security, urbanization and social stability in China. J. Agrar. Chang. 2009, 9, 548–575. [Google Scholar] [CrossRef]
66. Abate, G.T.; Francesconi, G.N.; Getnet, K. Impact of agricultural cooperatives on smallholders’ technical efficiency: Empirical evidence from Ethiopia. Ann. Public Coop. Econ. 2014, 85, 257–286. [Google Scholar] [CrossRef]
67. Li, Y.; Su, B.; Liu, Y. Realizing targeted poverty alleviation in China: People’s voices, implementation challenges and policy implications. China Agric. Econ. Rev. 2016, 8, 443–454. [Google Scholar] [CrossRef]
68. Francesconi, G.N.; Heerink, N. Ethiopian agricultural cooperatives in an era of global commodity exchange: Does organisational form matter? J. Afr. Econ. 2010, 20, 153–177. [Google Scholar] [CrossRef]
69. Psacharopoulos, G.; Patrinos, H.A. Returns to investment in education: A decennial review of the global literature. Educ. Econ. 2018, 26, 445–458. [Google Scholar] [CrossRef]
70. Reardon, T.; Barrett, C.B.; Berdegué, J.A.; Swinnen, J.F.M. Agrifood industry transformation and small farmers in developing countries. World Dev. 2009, 37, 1717–1727. [Google Scholar] [CrossRef]
71. Anselin, L. Spatial econometrics. In A Companion to Theoretical Econometrics; Baltagi, B.H., Ed.; Blackwell Publishing Ltd.: Oxford, UK, 2001; pp. 310–330. [Google Scholar] [CrossRef]
72. Krugman, P. Increasing returns and economic geography. J. Polit. Econ. 1991, 99, 483–499. [Google Scholar] [CrossRef]
73. Ertur, C.; Koch, W. Growth, technological interdependence and spatial externalities: Theory and evidence. J. Appl. Econom. 2007, 22, 1033–1062. [Google Scholar] [CrossRef]
74. Zhang, S.; Sun, Z.; Ma, W.; Valentinov, V. The effect of cooperative membership on agricultural technology adoption in Sichuan, China. China Econ. Rev. 2020, 62, 101334. [Google Scholar] [CrossRef]
75. De Brauw, A.; Rozelle, S. Migration and household investment in rural China. China Econ. Rev. 2008, 19, 320–335. [Google Scholar] [CrossRef]
76. Taylor, J.E.; Rozelle, S.; De Brauw, A. Migration and incomes in source communities: A new economics of migration perspective from China. Econ. Dev. Cult. Chang. 2003, 52, 75–101. [Google Scholar] [CrossRef]
77. Lin, J.Y. New structural economics: A framework for rethinking development. World Bank Res. Obs. 2011, 26, 193–221. [Google Scholar] [CrossRef]
Liao R, Chen Z, Sirisrisakulchai J, Liu J. Enhancing Rural Economic Sustainability in China Through Agricultural Socialization Services: A Novel Perspective on Spatial-Temporal Dynamics. Agriculture. 2025; 15(3):267. https://doi.org/10.3390/agriculture15030267
Перевод статьи «Enhancing Rural Economic Sustainability in China Through Agricultural Socialization Services: A Novel Perspective on Spatial-Temporal Dynamics» авторов Liao R, Chen Z, Sirisrisakulchai J, Liu J., оригинал доступен по ссылке. Лицензия: CC BY. Изменения: переведено на русский язык
Фото: freepik





















Комментарии (0)