Мясо или рис? Исследование: как габонские семьи выбирают продукты при росте цен
Габон в значительной степени зависит от импорта продовольствия для обеспечения своей продовольственной безопасности, однако структура потребления продуктов питания в домашних хозяйствах остается малоизученной. В данном исследовании анализируется структура спроса на продовольствие в регионе Эстуарий с учетом демографических факторов, таких как возраст главы домохозяйства, размер домохозяйства, доля молодежи и удаленность места проживания от торговых центров.
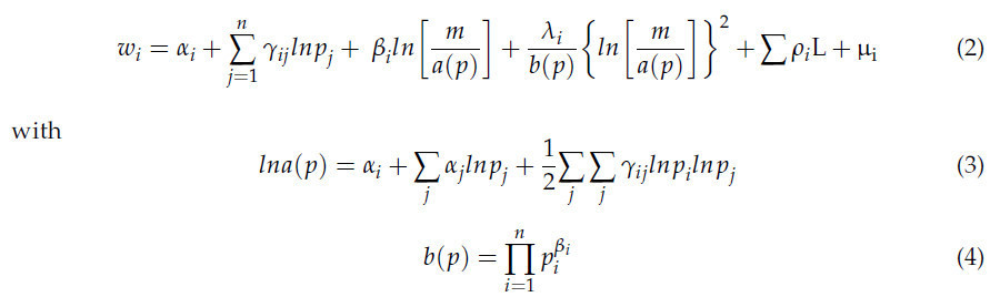
Аннотация
Используя первичные данные, собранные в ходе рандомизированного опроса 410 домохозяйств, анализ применяет модель квадратичной почти идеальной системы спроса (QUAIDS) для оценки эластичности по расходам и ценам. Результаты показывают, что эластичность по расходам является положительной для всех категорий, при этом товары класса «люкс», включая мясо, яйца и рыбу, демонстрируют более высокую чувствительность по сравнению с основными продуктами, такими как мясо птицы, масло, рис, маниок и бананы, спрос на которые неэластичен. Ценовая эластичность для мяса, птицы, рыбы, яиц и риса является отрицательной, что соответствует закону спроса. Демографические факторы, включая образование, возраст и место проживания, существенно влияют на потребление мяса, маниока, бананов и масла. Размер домохозяйства, тип занятости и возрастной состав молодежи также оказываются ключевыми факторами, определяющими повышенный спрос на мясо птицы, рыбу и рис. Эти выводы дают значимые для политики рекомендации по укреплению продовольственной безопасности и устранению социально-экономических различий.
1. Введение
В глобальном масштабе демографические сдвиги, урбанизация, рост доходов и изменения образа жизни оказали глубокое влияние на структуру потребления продуктов питания и состав потребительской корзины домохозяйств, что имеет значительные последствия для национальной продовольственной безопасности [1,2,3,4]. Рост доходов и урбанизация особенно ассоциируются с диетическим переходом, характеризующимся сдвигом от основных зерновых к продуктам с более высокой добавленной стоимостью, таким как рыба, мясо, молочные продукты и фрукты [4,5,6,7]. Хотя эти тенденции являются глобальными, Габон не является исключением. Продовольствие, как одна из самых фундаментальных потребностей человека, охватывает два ключевых аспекта: сторона предложения и сторона спроса [8]. Габон выделяется среди африканских стран атлантического побережья благодаря своим уникальным характеристикам, включая малочисленное население, значительные нефтяные богатства, разнообразные рыбные ресурсы и давние лесозаготовительные традиции.
Однако зависимость Габона от нефтяных доходов привела к повторяющимся бюджетным кризисам, вызванным колебаниями цен на нефть и обменных курсов, что способствовало высокому уровню государственного долга (Прибрежные африканские государства). Несмотря на богатство природными ресурсами, сельскохозяйственный сектор остается маргинальным с экономической точки зрения [9]. Страна в значительной степени зависит от импорта продовольствия: примерно 80% национальных потребностей в продовольствии удовлетворяется за счет импорта из Европы и других регионов [10,11]. Эта зависимость усугубила продовольственную и питательную небезопасность, сделав ее насущной национальной проблемой.
Несколько исследований изучили потребление продуктов питания в Габоне. Например, в [12] был проведен кросскультурный анализ, подчеркивающий распространенность употребления насекомых. В [13] была подчеркнута необходимость решения проблем продовольственной и питательной безопасности на охраняемых территориях, при этом с помощью методов взвешивания была выявлена частая недостаточность питания, в частности среди детей и пожилых людей. В [14] было обнаружено, что мясо диких животных служит основным источником белка в сельских деревнях, причем на потребление оказывают влияние доход, расстояние и уровень образования глав домохозяйств. Другие исследования изучили структуру потребления и использование ресурсов. В [15,16] были проанализированы привычки питания вне дома и потребительский спрос на мясо диких животных соответственно. Исследования [17,18,19,20] изучили роль продуктов питания, основанных на природных ресурсах, в продовольственной безопасности и питании населения, применяя такие методы, как эвристическое моделирование, анализ разнообразия домохозяйств и критерий хи-квадрат.
Несмотря на существующие исследования потребления продуктов питания, безопасности и питания в Габоне, сохраняется пробел в понимании конкретного влияния демографических и социально-экономических факторов — таких как возраст главы домохозяйства, размер домохозяйства, доля молодежи и расстояние от домохозяйства до торговых центров — на структуру потребления продуктов питания в провинции Эстуарий. Кроме того, исследования, основанные на модели QUAIDS для оценки влияния этих факторов на пищевые предпочтения домохозяйств, все еще ограничены. Этот пробел порождает важные вопросы о глубинных механизмах потребления продуктов питания и питательной безопасности в Габоне, в частности в столице, подчеркивая необходимость более целенаправленных исследований для обоснования адресной продовольственной политики.
Данное исследование ставит целью углубленное изучение поведения в отношении потребления продуктов питания в устье Габона путем анализа реакции домохозяйств на связанные с доходом изменения цен на продукты питания, что обеспечивает всестороннее понимание пищевых предпочтений. Более того, сбалансированное потребление продуктов питания в домохозяйстве вытекает из снижения цен, тесно связанного с конкуренцией в пользу местного экономического роста, обусловленного значительным потреблением дешевой местной продукции. Таким образом, сбалансированное потребление продуктов питания увеличивает покупательную способность домохозяйств. Эстуарий является одной из провинций с самым высоким уровнем потребления продуктов питания, на его долю приходится половина населения страны, что представляет 49,5% от общей численности населения [21,22].
Кроме того, несколько исследований были уже реализованы, направленные на укрепление понимания спроса на продовольствие и структуры потребления в Габоне, такие как Проект Организации Объединенных Наций по производству продовольствия и повышению устойчивости [23], семенная программа, инициированная в 2014 году для поддержки мелких производителей в сельских районах [24], и создание высокопродуктивных сельскохозяйственных зон (ZAP), инициированное правительством для достижения экономии за счет масштаба в логистике и технической помощи при одновременной оптимизации землепользования. Габон также установил партнерские отношения с местными организациями развития, такими как Африканский банк развития (ADB) и Банк государств Центральной Африки (BEAC), для развития таких секторов, как производство риса, мяса цыплят и свинины. Несмотря на эти правительственные инициативы, направленные не только на улучшение знаний о спросе на продовольствие и структуре потребления, но и на укрепление продовольственной безопасности и устойчивости сообществ, Габон остается крупным импортером этих продуктов, а его сельскохозяйственный сектор продолжает приходить в упадок. Кроме того, новаторство этого исследования заключается в применении передовой эконометрической модели в малоизученном контексте с использованием конкретных первичных данных для изучения уникальной динамики потребления продуктов питания. Это дополнительно предоставит важную информацию лицам, принимающим решения, и исследователям в целях постоянного улучшения литературы по пищевым предпочтениям домохозяйств и роли социально-демографических переменных в формировании структур потребления. Исследование также будет направлено на решение вопроса о том, как домохозяйства ранжируют основные продукты и товары класса «люкс», принимая во внимание привычки, расходы и демографические факторы, которые оказывают влияние на выбор продуктов питания домохозяйствами.
Организация этой статьи следующая. В Разделе 1 предоставлено введение. В Разделе 2 описаны материалы и методы. В Разделе 3 представлены результаты и их обсуждение. В Разделе 4 мы излагаем выводы и политические последствия.
2. Материалы и методы
2.1. Район исследования
Эстуарий, провинция, в которой находится столица Габона, занимает площадь 20 740 км² и является самым густонаселенным регионом страны с населением 933 162 человека в 2018 году, что представляет почти половину от общей численности населения Габона [25]. Провинция характеризуется своим космополитичным характером с жителями из различных регионов страны. Исследование было проведено по всему региону Эстуарий (Рисунок 1) из-за его значительной роли в национальных структурах потребления продуктов питания. Согласно демографическим прогнозам, ожидается, что к 2025 году население Габона достигнет 2 469 296 человек, с городским большинством (87,6%). Ожидается, что на регион Эстуарий по-прежнему будет приходиться примерно половина от общей численности населения страны [21], и он будет представлять 98% городского населения.
Рисунок 1. Расположение провинции Эстуарий — места проведения исследования.
Выбор Эстуария для данного исследования мотивирован его крупной численностью населения и разнообразием моделей питания домохозяйств. Более того, Габон стал все более зависимым от импорта продовольствия для удовлетворения внутренних потребительских нужд, и эта зависимость от импорта продовольствия отражается в резком росте цен на продукты питания, в частности в провинции Эстуарий. Кроме того, сельскохозяйственное производство в Габоне упало с 15% в 1960-х годах до примерно 4,4% в недавнем прошлом [26]. В настоящее время расходы на импорт продовольствия превышают 469 851 213 франков КФА в год [27], что ставит страну в критическую точку, которая может привести к серьезным проблемам с продовольственной безопасностью в случае глобального продовольственного кризиса.
2.2. Данные о спросе на продовольствие
Данные для этого исследования получены из обследования домохозяйств, проведенного с 25 января по 15 марта 2024 года в провинции Эстуарий в рамках данного исследовательского проекта. Набор данных включает информацию о количестве основных товаров, ценах на продукты питания и различных социально-экономических и демографических характеристиках домохозяйств. Анализ фокусируется на моделях потребления домохозяйств, ценах на продукты питания и общих расходах на различные продукты, а также на социальных и экономических демографических индексах. Собранные данные были подвергнуты описательному статистическому анализу и применению модели QUAIDS с использованием программного обеспечения Stata 16.
Был принят простой случайный отбор из-за его гибкости и для получения репрезентативной выборки. Всего мы опросили 410 домохозяйств, что дало нам 5-процентный доверительный интервал в пользу нашего исследования. Размер выборки для этого исследования был определен в соответствии с [28] на основе следующей формулы:
где n представляет размер выборки;
N представляет размер генеральной совокупности;
δ представляет желаемую предельную погрешность, выраженную в десятичных знаках. Респондентами были в основном главы домохозяйств. Полевое обследование проводилось с использованием двух подходов: бесед с главами домохозяйств и личных наблюдений. Группы продуктов были классифицированы авторами на основе их опыта, а также питательных и экономических критериев. Следуя подходу, изложенному в [29], сходство продуктов определялось с двух точек зрения: диетологи обычно классифицируют продукты на основе содержания питательных веществ, в то время как экономисты учитывают такие факторы, как взаимодополняемость между продуктами и их маркетинговые характеристики.
Для этого анализа были выбраны восемь агрегированных групп продуктов: мясо, мясо птицы, рыба, яйца, масло, рис, маниок и бананы. Девятая категория, «другие продукты», также была включена. Эта система классификации уменьшает количество параметров в модели, тем самым облегчая оценку системы спроса. Стоимость каждого продукта питания определялась путем расчета средневзвешенной цены на конкретные товары, о которых сообщили домохозяйства. Цены на группы продуктов питания варьируются из-за различий в типах продуктов, потребляемых в каждой группе, и колебаний цен, влияющих на каждую категорию продуктов. На эти вариации оказывают влияние такие факторы, как различия в качестве продукции, сезонные изменения и условия международного рынка. В процессе оценки были включены демографические факторы, связанные с домохозяйством, включая уровень образования главы домохозяйства, возраст главы домохозяйства, размер домохозяйства, расстояние от места жительства до торговых центров, род занятий главы домохозяйства и процентную долю молодых людей в домохозяйстве.
2.3. Описание связанных демографических переменных
Описания демографических переменных, используемых в анализе, представлены в Таблице 1. В соответствии с соответствующими исследованиями факторов, оказывающих влияние на потребление продуктов питания домохозяйствами в зависимости от размера выборки обследования, существует несколько переменных. Фактически, в нашем конкретном случае их насчитывается в общей сложности шесть. В таких странах, как наша, это сокращенное количество целевых переменных облегчает точное определение предмета, поскольку оно оптимизирует наше исследование, предоставляя четкие результаты, интерпретация которых тривиальна и лучше адаптирована к нашим реалиям. Кроме того, эти социально-демографические и экономические переменные лучше характеризуют поведение наших домохозяйств. В среднем домохозяйства состояли из четырех человек, при этом ежемесячные расходы на продукты питания составляли примерно 92 доллара США. Возраст играл значительную роль в пищевых предпочтениях. Домохозяйства с людьми старше 44 лет в основном потребляли продукты растительного происхождения, в то время как молодые люди, в частности в домохозяйствах с низким доходом, предпочитали животные белки. Было обнаружено, что низкий и средний уровень образования положительно влияет на потребление мяса птицы, масел, овощей и риса. Домохозяйства, занимающиеся сельским хозяйством, показали более высокое предпочтение мяса птицы, овощей, маниока и бананов, в то время как те, кто занимается другими видами деятельности, приносящими доход, предпочитали свинину, говядину, рыбу, фрукты и рис. Расстояние от домохозяйства до продовольственного торгового центра также оказывало влияние на структуру потребления. Для домохозяйств, расположенных на расстоянии более 5 км от торговых центров, потребление маниока и молока увеличивалось, в то время как потребление других источников белка снижалось. Эта тенденция может быть объяснена наличием сельскохозяйственной деятельности в более отдаленных районах и ценообразованием на различные виды молока. Домохозяйства с более высокой долей молодых людей продемонстрировали большее продовольственное бремя с увеличением потребления мяса птицы, рыбы, овощей и риса. На эти предпочтения, вероятно, оказывают влияние больший размер домохозяйства и цены на продукты питания, о которых сообщают домохозяйства.
Таблица 1. Описание демографических переменных, связанных с различными продуктами питания.
2.4. Модель поддержки спроса
Линейная аппроксимированная почти идеальная система спроса (LA/AIDS) является широко используемой основой для анализа влияния изменений цен и доходов при наличии данных о расходах или бюджете домохозяйств [30]. Модель AIDS хорошо согласуется с принципами потребительского выбора, не предполагает аддитивных предпочтений и в некоторых случаях позволяет интегрировать индивидуальные потребности с рыночным спросом. Чтобы проиллюстрировать это, мы начнем с представления функциональной структуры кривой Энгеля, как показано на Рисунке 2.
Рисунок 2. Непараметрические кривые Энгеля для групп продуктов питания.
Для выявления функциональных структур необходимо проанализировать уравнения распределения расходов домохозяйств [31]. Удобно использовать непараметрическую регрессию для оценки первой формы этой функции. В этой модели расходы на каждую долю были рассчитаны с использованием логарифма общих расходов. Важно поддерживать композиционную однородность с использованием непараметрической регрессии, что дает веские основания полагать, что форма кривых Энгеля может варьироваться в зависимости от статуса на рынке труда и региона [32,33,34]. В принципе, непараметрическая регрессия направлена на вычисление функции регрессии, ~(uy) = E(y/x), путем оценки местоположения y в заданной полосе x. В этом анализе y — это доля группы продуктов питания, а x — логарифм прожиточных расходов на одно домохозяйство. Этот метод оценки используется для анализа структуры кривых Энгеля перед переходом к анализу систем спроса с использованием других ковариативных переменных. Цель состоит в том, чтобы использовать весовую функцию Епанчникова K(u) = 3/4(1 − u²), применяя формулу u = ln(x) для разработки сетки из 50 равноудаленных точек на заданном интервале [u0, u1] [35]. За каждой точкой x следует взвешенная линейная регрессия доли группы продуктов питания на логарифм прожиточных расходов домохозяйства [29].
Непараметрические оценки для восьми групп продуктов питания представлены на Рисунке 2. Кривые Энгеля имеют форму, соответствующую теоретическим ожиданиям. Примечательно, что бюджетные доли не следуют четкой линейной закономерности, что предполагает, что расходы не связаны линейно с бюджетными долями. Это наблюдение подразумевает, что обычно используемая линейная аппроксимированная почти идеальная система спроса (LA/AIDS) может неадекватно отражать текущее поведение потребительских расходов домохозяйств. Поэтому мы принимаем модель квадратичной почти идеальной системы спроса (QUAIDS), как предложено в [36], для определения системы спроса, которая включает демографические переменные. Для анализа поведения бюджетных долей домохозяйств в габонском Эстуарии была применена модель QUAIDS, квадратичное расширение почти идеальной системы спроса (AIDS) [30]. Преимущество этой модели заключается в ее квазилинейности, что позволяет гибко представлять поведение потребителей, в частности квадратичную форму кривых Энгеля. Функция спроса для QUAIDS в этом исследовании определяется следующим образом:
где w_i — бюджетная доля товара i, а цена товара i представлена как p_i, в то время как a(p) и b(p) являются функциями вектора цен p, и m представляет общий доход домохозяйства. Косвенная функция полезности, из которой выведено Уравнение (1), требует, чтобы a(p) было однородным степени 1 по p, а b(p) — однородным степени 0 по p. Член ρ_i L представляет набор социальных и демографических переменных, а μ_i — член ошибки регрессии. Уравнение (4) показывает соответствие ограничениям модели.
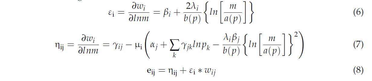
Согласно [36], формулы для эластичностей в QUAIDS предоставлены. Эти результаты получаются путем сначала дифференцирования Уравнения (3) по ln m и ln p_j соответственно, чтобы получить следующее:
Уравнение (6) представляет собой эластичность расходов на группы продуктов питания. Два уравнения ((7) и (8)) представляют собой некомпенсированные (маршаллианские) эластичности цен (собственные и перекрестные ценовые эластичности) и компенсированные (хиксианские) ценовые эластичности соответственно.
3. Результаты и обсуждение
3.1. Параметры модели QUAIDS
В Таблице 2 представлена описательная статистика для бюджетных долей групп продуктов питания и соответствующих им цен. Также приведены средние значения и стандартные отклонения (SD) переменных по различным продуктам питания. Результаты показывают, что средние доли расходов на продукты питания для различных продуктов варьируются от 0,048 до 0,210, что отражает умеренный уровень расходов. Напротив, средние цены на группы продуктов питания варьируются от 931,67 до 3514,31 франка КФА, что показывает значительную изменчивость цен. Стандартные отклонения долей расходов на продукты питания варьируются от 0,039 до 0,136, что предполагает умеренный уровень однородности в моделях потребления. Однако ценовые переменные демонстрируют более высокие стандартные отклонения — от 180,23 до 535,28, что указывает на большую дисперсию уровней цен по группам продуктов питания.
Таблица 2. Сводная статистика по спросу на продукты питания.
3.2. Эластичность расходов, собственная ценовая эластичность и перекрестная ценовая эластичность
Как видно из Таблицы 3, эластичности расходов для всех групп продуктов питания являются положительными и показывают значения больше единицы, называемые эластичным спросом; значения меньше единицы называются неэластичным спросом. Результаты показывают не только то, что все группы продуктов питания являются нормальными товарами (товарами, потребление которых растет с доходом), но и что потребители склонны тратить в разной степени на каждый тип продуктов питания по мере увеличения дохода. Две группы продуктов являются высокоэластичными: потребление мяса и яиц, что означает, что увеличение цены на 1% приведет к снижению объема спроса на 2,4% и 1,8% соответственно. Затем две другие группы продуктов имеют немного эластичный спрос; это рыба и другие продукты. Увеличение цены на 1% на эти продукты приведет к снижению объема спроса на 1,09% и 1,46% соответственно. Наконец, основные продукты, такие как мясо птицы, масло, рис, маниок и бананы, имеют неэластичный спрос. Они показали, что увеличение цены на 1% приведет к небольшому снижению объема спроса всего на 0,38, 0,56, 0,84 и 0,31% соответственно. Сравнительный анализ наших результатов с результатами других исследований показывает, что [37] сообщают об оцененной эластичности спроса на мясо в размере 1,27 для сельских домохозяйств Китая, в то время как эластичность риса (0,70) считается основным продуктом питания, наряду с маниоком и бананами [38], что согласуется с нашими наблюдениями. В [39] было показано, что эластичность расходов на яйца является высокоэластичной и составляет 1,7, что соответствует наблюдениям текущего исследования. Анализ [40] подтверждает тот же результат, что расходы на мясо и рыбу эластичны (1,16) и они воспринимаются как дорогие товары. В [29] также были выделены сходные результаты, где мясо, рыба, яйца и другие продукты имеют эластичности расходов больше единицы.
Таблица 3. Эластичность расходов, маршаллианская и хиксианская перекрестная ценовая эластичность, собственная ценовая эластичность и эластичности социальных и демографических факторов структуры потребления жителей габонского Эстуария.
В этом исследовании как некомпенсированная, так и компенсированная ценовая эластичность спроса используются для учета изменения объема спроса на продукт в результате изменений его цены. Ценовые эластичности для продуктов питания, потребляемых жителями провинции Эстуарий, оценены как отрицательные для мяса, мяса птицы, рыбы, яиц и риса в диапазоне от −0,28 до −1,76. Эта отрицательная взаимосвязь подтверждает закон спроса, указывая на то, что спрос снижается по мере роста цен [29]. В частности, увеличение цены на эти продукты на 1% приводит к снижению спроса на 0,57%, 1,76%, 0,77%, 1,16% и 0,52% соответственно. В структуре потребления продуктов питания домохозяйствами ценовая эластичность для мяса птицы и яиц превышает единицу по абсолютному значению, что означает, что домохозяйства более чувствительны к колебаниям цен на эти два продукта. Это предполагает более высокую степень гибкости в потребительских решениях в отношении мяса птицы и яиц, указывая на предпочтение этих животных белков. Напротив, ценовая эластичность для мяса, рыбы и риса ниже, что предполагает, что домохозяйства менее чувствительны к изменениям цен на эти продукты и демонстрируют большую стабильность в своих моделях потребления. В [41] сообщается о ценовой эластичности спроса на рис в городском Пекине на уровне −0,44, что согласуется с результатами данного исследования. Их результаты показывают, что городские домохозяйства демонстрируют более низкую чувствительность к изменениям цен, что согласуется с наблюдением, что ценовая эластичность риса в Эстуарии также меньше единицы, что указывает на относительно неэластичный спрос.
Ценовая эластичность спроса на масло, маниок и бананы является положительной, что указывает на неэластичный спрос на эти продукты. Другими словами, спрос на эти продукты питания не подвергается значительному влиянию колебаний цен. Увеличение цены масла, маниока и бананов на 1% приводит к небольшому увеличению спроса на 0,196% и 0,155% соответственно. Такое поведение характерно для товаров с неэластичным спросом, когда рост цены не снижает спрос. Напротив, более высокие цены имеют тенденцию увеличивать продажи или оборот этих товаров. Экономическая теория предполагает, что в таких случаях спрос движется в том же направлении, что и цена, что приводит к более высоким продажам, а не к снижению объема спроса.
Большинство перекрестных ценовых эластичностей в рамках базовой структуры питания домохозяйств являются отрицательными, что предполагает, что основные продовольственные товары являются взаимодополняющими. Однако те, у которых положительные знаки, указывают на конкурентные отношения или отношения замещения, как отмечено в исследовании [37]. Например, рост цен на мясо птицы побуждает домохозяйства увеличивать потребление рыбы (0,2645), яиц (0,0203) и других продуктов. Аналогичным образом, рост цен на рис побуждает домохозяйства потреблять больше маниока и бананов (0,1174). Эти результаты могут быть объяснены переходом от взаимодополняющих продуктов к продуктам-заменителям в результате колебаний цен. Кроме того, разница между некомпенсированными и компенсированными эластичностями подчеркивает важность эффектов расходов в руководстве решениями домохозяйств на стороне спроса.
Наконец, в отношении демографических параметров результаты показывают, что спрос домохозяйств на мясо, маниок, бананы и масло эластичен по отношению к образованию, возрасту и расстоянию от места жительства до торговых центров. По мере увеличения уровня образования, возраста и расстояния от места жительства до торговых центров на 1% доля расходов на продукты питания на эти товары увеличивается. Напротив, доля расходов на мясо птицы, рис и другие продукты уменьшается. Однако было обнаружено, что размер домохозяйства, тип занятости и процентная доля молодых людей в домохозяйстве способствуют более высокому потреблению мяса птицы, рыбы, риса и других продуктов. В частности, по мере увеличения количества молодых людей в домохозяйстве и общего размера домохозяйства, уровень потребления мяса птицы, риса и других продуктов значительно увеличивается на 0,031%, 0,013% и 0,039% соответственно, в то время как доля расходов на другие группы продуктов питания снижается. Это контрастирует с результатами [42], которые обнаружили, что по мере увеличения размера домохозяйства, домохозяйства склонны корректировать свою структуру спроса, отдавая предпочтение более доступным товарам, таким как зерновые, корнеплоды и клубни, при этом сокращая потребление животных белков, которые воспринимаются как более дорогие. Сходные результаты были получены в [43] в Северо-Центральной Нигерии, где на спрос на корнеплоды положительно оказывали влияние возраст главы домохозяйства и его род занятий. Уровень образования главы домохозяйства также оказывал значительное положительное влияние на все группы продуктов питания [43]. Кроме того, результаты [44] подчеркивают важность уровня образования в формировании диетических решений. Аналогичным образом, в [40] было обнаружено, что в Кении размер домохозяйства оказывает статистически значительное влияние на расходы на потребление продуктов питания.
4. Выводы и значение
Результаты этого исследования предоставляют четкую картину спроса домохозяйств на продукты питания, которая согласуется с поведением расходов, наблюдаемым в ходе перекрестного обследования расходов. На основе непараметрического анализа моделей расходов домохозяйств результаты предполагают, что кривые Энгеля требуют расширения модели AIDS, включая квадратичные члены в функции логарифма расходов. Для этого анализа была выведена и применена комплексная система интегрируемых квадратичных уравнений долей логарифмических расходов к объединенному набору данных домохозяйств в габонском Эстуарии.
Результаты модели QUAIDS указывают на то, что все группы продуктов питания в районе исследования являются нормальными товарами, то есть их потребление растет с доходом. Однако домохозяйства склонны распределять свои расходы по различным типам продуктов питания в разной степени по мере роста дохода. В частности, две группы продуктов — мясо и яйца — демонстрируют высокоэластичный спрос, в то время как рыба и другие продукты демонстрируют немного эластичный спрос. Напротив, основные продукты, такие как мясо птицы, масло, рис, маниок и бананы, демонстрируют неэластичный спрос. Учитывая эти результаты, крайне важно, чтобы правительство сосредоточилось на качестве основных продуктов питания и продуктов с немного эластичным спросом, а не только на их количестве, поскольку именно здесь наблюдаются значительные различия между домохозяйствами. Кроме того, отрицательные ценовые эластичности для мяса, мяса птицы, рыбы, яиц и риса предполагают, что снижение цены за единицу этих белков, вероятно, приведет к росту спроса на них.
В свете этих результатов, крайне важно, чтобы правительственные органы на всех уровнях реализовали конкретные политики, которые поощряют производство ключевых белков, чтобы снизить их цены и улучшить их доступность для домохозяйств. На этой основе исследование рекомендует следующее:
- Эффективность инициированных правительством политик в области доходов, оказывающих влияние на структуру потребления из-за более высоких эластичностей расходов по сравнению с собственными ценовыми эластичностями;
- Создание правительством, например, индустрии разведения мяса птицы с целью производства мяса птицы в массовом масштабе по более низкой стоимости и при строгом соблюдении действующих нормативных актов, не только для удовлетворения значительного спроса на основные животные белки в нашем случае, но и для содействия доступности сырья по более низкой стоимости для мелких производителей;
- Содействие сельскому хозяйству со стороны правительства через большую поддержку объединения фермеров в субсидируемые кооперативы, чтобы лучше удовлетворить спрос на основные продукты питания в нашем случае (масло, рис, маниок и бананы), увеличивая их предложение и, таким образом, способствуя стабильности цен;
- Внедрение субсидируемых кооперативов для производителей мяса, яиц и рыбы правительством для удовлетворения спроса на эластичные продукты в нашем случае, а также для стабилизации потребительских цен и поощрения адекватного предложения по отношению к спросу.
Кроме того, продукты питания, потребляемые в регионе Эстуарий, в основном состоят из предметов первой необходимости и товаров класса «люкс». Неэластичный спрос на масло, маниок и бананы предполагает, что повышение цен на эти продукты, вероятно, приведет к более высоким продажам для торговцев. Анализ спроса на продукты питания также подчеркивает сильную взаимосвязь между образованием, возрастом и расстоянием от места жительства до торговых центров, с одной стороны, и спросом на мясо, маниок, бананы и масло, с другой. В частности, по мере увеличения уровня образования, возраста и расстояния от места жительства до торговых центров доля расходов на продукты питания на эти товары растет. С другой стороны, было обнаружено, что размер домохозяйства, тип занятости и процентная доля молодых людей в домохозяйствах оказывают влияние на потребление мяса птицы, рыбы, риса и других продуктов. Учитывая значительное влияние размера домохозяйства и типа занятости на спрос на продукты питания, поощрение программ контроля рождаемости и качественной занятости со стороны правительственных органов могло бы смягчить эту продовольственную зависимость. Эти инициативы могли бы помочь управлять размером домохозяйства и улучшить качество занятости, тем самым уменьшая спрос домохозяйств на продукты питания.
Мы признаем, что данное исследование имеет определенные ограничения в отношении использования перекрестных данных и не позволяет анализировать временную эволюцию. Кроме того, исследование фокусируется только на провинции Эстуарий, тогда как различия могут существовать между городскими и сельскими районами. Поэтому крайне важно, чтобы дальнейшие исследования были сосредоточены на длительном анализе и распространили исследование на всю страну для лучшего понимания различий в структуре потребления продуктов питания в Габоне.
Ссылки
1. Ray, E.B.; Holben, D.H.; Holcomb, J.P., Jr. Food security status and produce intake behaviors, health status, and diabetes risk among women with children living on a Navajo reservation. J. Hunger Environ. Nutr. 2012, 7, 91–100. [Google Scholar] [CrossRef]
2. FAO; Food and Agriculture Organization. The State of Food Insecurity in the World, Economic Crises—Impacts and Lessons Learned; United Nations: Rome, Italy, 2009. [Google Scholar]
3. Gerbens-Leenes, P.W.; Nonhebel, S.; Krol, M.S. Food consumption patterns and economic growth. Increasing affluence and the use of natural resources. Appetite 2010, 55, 597–608. [Google Scholar] [CrossRef] [PubMed]
4. Zheng, Z.; Gao, Y.; Zhang, Y.; Henneberry, S. Changing attitudes toward genetically modified foods in urban China. China Agric. Econ. Rev. 2017, 9, 397–414. [Google Scholar] [CrossRef]
5. Pingali, P. Changing food systems in the developing world. In Obesity Prevention; Academic Press: Cambridge, MA, USA, 2010; pp. 511–520. [Google Scholar]
6. Kaur, A.; Malik, G.; Sharma, N.; Mittal, R. The new Indian middle class consumption preference towards convenience foods—A Grounded theory approach. Pac. Bus. Rev. Int. 2016, 9, 2. [Google Scholar]
7. Anwer, M.E.; Sahoo, B.K.; Mohapatra, S. Spatio-temporal variations in agricultural diversification in India: Determinants and convergence. J. Agribus. Dev. Emerg. Econ. 2019, 9, 476–502. [Google Scholar] [CrossRef]
8. Adegbola, T.A. Ascorbic Acid Retention of Stored Nigerian Vegetable Soups. Niger. J. Nutr. Sci. 1997, 3, 2. [Google Scholar]
9. Ekouala, L. Le Développement Durable et le Secteur des Pêches et de L’aquaculture au Gabon: Une étude de la gestion Durable des Ressources Halieutiques et leur Ecosystème dans les Provinces de l’Estuaire et de l’Ogooué Maritime; Université du Littoral Côte d’Opale: Dunkerque, France, January 2013. [Google Scholar]
10. Available online: https://instatgabon.org/uploads/folder_1/autres_publications/BILAN-ALIMENTAIRE-2020-2021-DEFINITIF.pdf (accessed on 2 July 2024).
11. Africain Union. Gabon Compact Pour L’alimentation et L’agriculture. 2023. Available online: https://www.afdb.org/sites/default/files/documents/publications/gabon_compact_pour_lalimentation_et_lagriculture.pdf (accessed on 20 July 2024).
12. Detilleux, L.; Bayendi Loudit, S.; Le Gall, P.; Francis, F.; Caparros Megido, R.; Dogot, T. Consumers of insect-based foods: A cross-cultural study between Belgium and Gabon. J. Insect Sci. 2024, 24, 2. [Google Scholar] [CrossRef] [PubMed]
13. Blaney, S.; Beaudry, M.; Latham, M.; Thibault, M. Nutritional status and dietary adequacy in rural communities of a protected area in Gabon. Public Health Nutr. 2009, 12, 1946–1959. [Google Scholar] [CrossRef]
14. Foerster, S.; Wilkie, D.S.; Morelli, G.A.; Demmer, J.; Starkey, M.; Telfer, P.; Steil, M.; Lewbel, A. Correlates of bushmeat hunting among remote rural households in Gabon, Central Africa. Conserv. Biol. 2012, 26, 335–344. [Google Scholar] [CrossRef] [PubMed]
15. Allogo Abessolo, R.; Moupela, C.; Berti, F.; Burny, P.; Lebailly, P. Qualities and Origins of Out-of-Home Food Products: Midday Meals in the Cities of Southeastern Gabon. Biol. Life Sci. Forum 2023, 30, 7. [Google Scholar] [CrossRef]
16. Bachand, N.; Arsenault, J.; Ravel, A. Urban household meat consumption patterns in Gabon, Central Africa, with a focus on bushmeat. Hum. Dimens. Wildl. 2015, 20, 147–158. [Google Scholar] [CrossRef]
17. Fungo, R.; Tieguhong, J.C.; Iponga, D.M.; Tchatat, M.; Kahindo, J.M.; Muyonga, J.H.; Mikolo-Yobo, C.; Donn, P.; Tchingsabe, O.; Kaaya, A.N.; et al. Can wild forest foods contribute to food security and dietary diversity of rural populations adjoining forest concessions? Insights from Gabon, DR Congo and Cameroon. Int. For. Rev. 2023, 25, 45–60. [Google Scholar] [CrossRef]
18. Foerster, S.; Wilkie, D.S.; Morelli, G.A.; Demmer, J.; Starkey, M.; Telfer, P.; Steil, M. Human livelihoods and protected areas in Gabon: A cross-sectional comparison of welfare and consumption patterns. Oryx 2011, 45, 347–356. [Google Scholar] [CrossRef]
19. Wilkie, D.S.; Wieland, M.; Poulsen, J.R. Unsustainable vs. sustainable hunting for food in Gabon: Modeling short-and long-term gains and losses. Front. Ecol. Evol. 2019, 7, 357. [Google Scholar] [CrossRef]
20. Wilkie, D.S.; Starkey, M.; Abernethy, K.; Effa, E.N.; Telfer, P.; Godoy, R. Role of prices and wealth in consumer demand for bushmeat in Gabon, Central Africa. Conserv. Biol. 2005, 19, 268–274. [Google Scholar] [CrossRef]
21. RGA. Recensement Général de L’agriculture du Gabon. Système Permanent Intégré des Statistiques Agricoles. Ministère de L’agriculture, de L’élevage, de la Pêche et de L’alimentation. 2020. [En ligne]. Available online: https://statgabon.ga/ (accessed on 12 November 2024).
22. ADB; African Development Bank Group. Études de Diagnostic Urbain de Libreville-Gabon; ADB: Abidjan, Côte d’Ivoire, August 2021. [Google Scholar]
23. FAO; PNUD. Towards food self-sufficiency in Gabon. In Vers L’autosuffisance Alimentaire au Gabon; Les Nations Unies au Gabon: Libreville, Gabon, 2023. [Google Scholar]
24. Edzang, N.O. Process of Improving Land Governance in Gabon and Impact of Actions Undertaken. Available online: https://www.surandara-ub.org/processus-damelioration-de-gouvernance-fonciere-gabon-impact-actions-entreprises/ (accessed on 5 June 2024).
25. DGS. Résultats Globaux du Recensement Général de la Population et des Logements de 2013 du Gabon (RGPL-2013); DGS: Hongkong, China, 2015. [Google Scholar]
26. FAO. GABON, Support for the Implementation of NEPAD-CAADP Volume I: National Medium-Term Investment Program (PNIMT); FAO: Rome, Italy, 2005. [Google Scholar]
27. Obiang Ondo, E. Price Movement Analysis of Selected Agricultural Products in Gabon. Master’s Thesis, Fen Bilimleri Enstitüsü, Hongkong, China, 2019. [Google Scholar]
28. Yamane, T. Statistics, an Introductory Analysis, 2nd ed.; Harper and Row: New York, NY, USA, 1967. [Google Scholar]
29. Abdulai, A.; Aubert, D. A cross-section analysis of household demand for food and nutrients in Tanzania. Agric. Econ. 2004, 31, 67–79. [Google Scholar]
30. Deaton, A.; Muellbauer, J. An almost ideal demand system. Am. Econ. Rev. 1980, 70, 312–326. [Google Scholar]
31. Alston, J.M.; Foster, K.A.; Gree, R.D. Estimating elasticities with the linear approximate almost ideal demand system: Some Monte Carlo results. Rev. Econ. Stat. 1994, 76, 351–356. [Google Scholar] [CrossRef]
32. Browning, M.; Costas, M. The Effects of Male and Female Labor Supply on Commodity Demands. Econometrica 1991, 59, 925–951. [Google Scholar] [CrossRef]
33. Blundell, R.; Panos, P.; Guglielmo, W. What Do We Learn About Consumer Demand Patterns from Micro Data? Am. Econ. Rev. 1993, 83, 570–597. [Google Scholar]
34. Blundell, R.; Jean-Marc, R. An Iterated Moment Estimator for Conditionally Linear Equation Systems; Unite de Recherche Document de Travail ENSAE/INSEE: 9342; NSEE/Dpt de la recherche: London, UK, 1993. [Google Scholar]
35. Epanechnikov, V.A. Non-parametric estimation of a multivariate probability density. Theory Probab. Its Appl. 1969, 14, 153–158. [Google Scholar] [CrossRef]
36. Banks, J.; Blundell, R.; Lewbel, A. Quadratic Engel curves and consumer demand. Rev. Econ. Stat. 1997, 79, 527–539. [Google Scholar] [CrossRef]
37. Fan, S.; Wailes, E.J.; Cramer, G.L. Household demand in rural China: A two-stage LES-AIDS model. Am. J. Agric. Econ. 1995, 77, 54–62. [Google Scholar] [CrossRef]
38. Lebigre, J.-M. Production vivrière et approvisionnement urbain au Gabon. Les Cahiers d’Outre-Mer 1980, 33, 167–186. [Google Scholar] [CrossRef]
39. Ma, H.; Huang, J.; Rozelle, S.; Rae, A.N. Livestock Product Consumption Patterns in Urban and Rural China. 2003. Available online: https://ageconsearch.umn.edu/record/23689/?v=pdf (accessed on 15 May 2024).
40. Korir, L.; Rizov, M.; Ruto, E. Analysis of Household Food Demand and Its Implications on Food Security in Kenya: An Application of QUAIDS Model. 2018. Available online: https://ageconsearch.umn.edu/record/273474/?v=pdf (accessed on 15 May 2024).
41. Duan, L.; Yu, W.; Chen, W. Impact of Population Age Structure on Food Consumption Structure of Residents in Beijing. J. Econ. Impact 2021, 3, 178–185. [Google Scholar] [CrossRef]
42. Abdulai, A.; Jain, D.K.; Sharma, A.K. Household food demand analysis in India. J. Agric. Econ. 1999, 50, 316–327. [Google Scholar] [CrossRef]
43. Elijah Obayelu, A.; Okoruwa, V.O.; Ajani, O.I.Y. Cross-sectional analysis of food demand in the North Central, Nigeria: The quadratic almost ideal demand system (QUAIDS) approach. China Agric. Econ. Rev. 2009, 1, 173–193. [Google Scholar] [CrossRef]
44. Sabates, R.; Gould, B.W.; Villarreal, H.J. Household composition and food expenditures: A cross-country comparison. Food Policy 2001, 26, 571–586. [Google Scholar] [CrossRef]
Ignanga C, Chen Y, Zhao Y, Liu H, Yu W. Cross-Sectional Analysis of Household Food Demand in Estuaire Gabon: A Near-Ideal Quadratic Demand System Approach. Agriculture. 2025; 15(3):268. https://doi.org/10.3390/agriculture15030268
Перевод статьи «Cross-Sectional Analysis of Household Food Demand in Estuaire Gabon: A Near-Ideal Quadratic Demand System Approach» авторов Ignanga C, Chen Y, Zhao Y, Liu H, Yu W., оригинал доступен по ссылке. Лицензия: CC BY. Изменения: переведено на русский язык
Фото: tellerreport.com










Комментарии (0)