Как S-абсцизиновая кислота и почвенный кондиционер спасают рис от соли и улучшают его качество
Солевой стресс значительно снижает урожайность риса и ухудшает его качество. Данное исследование было проведено для изучения регулирующего воздействия раздельного и совместного применения S-абсцизиновой кислоты (S-ABA) и почвенного кондиционера на рис в условиях высокого солевого стресса.
Аннотация
Схема эксперимента включала: 0,1% S-ABA отдельно (T1), внесение почвенного кондиционера (T2), совместное применение S-ABA и почвенного кондиционера с галоторантными микроорганизмами (T3), а также контроль без каких-либо регуляторных веществ (CK). Обработки были размещены в рандомизированной полной блочной схеме в трехкратной повторности. Для имитации высокого солевого стресса использовали 0,6% раствор соленой воды (смешивая природную морскую воду с пресной) для орошения. Результаты показали, что обработка T3 ослабила фитотоксические эффекты высокого солевого стресса и значительно повысила урожайность риса. Кроме того, количество продуктивных метелок, зерен в метелке и масса 1000 зерен при обработке T3 были на 13,3–14,5%, 8,9–14,1% и 4,9–5,5% выше, чем в контроле CK, благодаря улучшению накопления сухого вещества, значений SPAD, индекса листовой поверхности, активности антиоксидантных ферментов, а также снижению содержания малонового диальдегида и ионов натрия в рисе.Более того, обработка T3 увеличила отток вещества из стеблевых влагалищ после фазы выметывания, скорость его оттока и коэффициент конверсии; повысила выход шлифованного риса, вязкость крахмального клейстера, липкость крахмала и энтальпию клейстеризации; а также снизила мучнистость зерен риса. Кроме того, обработка T3 повысила содержание амилозы и снизила содержание общего белка, благодаря чему улучшились вкусовые качества риса. В целом, результаты показали, что применение экзогенной S-ABA и почвенного кондиционера является эффективной стратегией для ослабления солевого стресса у риса.
1. Введение
Улучшение и использование солонцеватых земель для производства сельскохозяйственных культур последовательно были основными направлениями исследований в мировом сельском хозяйстве [1,2]. Солонцеватые почвы обычно ограничивают рост сельскохозяйственных культур и продуктивность сельского хозяйства из-за их уникальных физико-химических свойств [3]. Однако, с ростом численности населения мира и возрастающим дефицитом пахотных земельных ресурсов, рациональное освоение и использование солонцеватых земель приобретает особое значение [4]. Будучи одной из самых густонаселенных стран, Китай долгое время рассматривает продовольственную безопасность как фундаментальную основу своей национальной безопасности [5]. Поэтому повышение продуктивности сельскохозяйственных культур за счет лучшего использования солонцеватых земель имеет большое стратегическое значение для производства сельскохозяйственных культур и обеспечения национальной продовольственной безопасности.
Рис (Oryza sativa L.) возделывается во всем мире; однако более 90% риса производится и потребляется только в Азии [6,7]. Чувствительность риса к засолению почвы ограничивает его выращивание на солонцеватых землях. Высокий солевой стресс не только влияет на рост и развитие риса, но и приводит к существенному снижению урожайности и качественных признаков [8,9]. Например, Yao и др. [2] обнаружили, что качество риса значительно снижается в условиях высокого солевого стресса, главным образом из-за значительного ухудшения физико-химических свойств, связанных с крахмалом, в рисе. Кроме того, Du и др. [8] улучшили рост риса с помощью нанооксида кремния, таким образом повысив урожайность риса в условиях высокого солевого стресса. Следовательно, поддержание высокой урожайности и качества риса в условиях засоления является насущной проблемой, которую необходимо решить в современных системах производства сельскохозяйственных культур.
В последние годы экзогенное применение регуляторов роста показало большой потенциал в повышении солеустойчивости сельскохозяйственных растений [8]. Экзогенные регуляторы, т.е. регуляторы роста растений и почвенные кондиционеры, обладают потенциалом улучшать рост сельскохозяйственных культур в неблагоприятных условиях за счет модуляции ключевых физиологических механизмов [10,11]. S-абсцизиновая кислота (S-ABA) является важным эндогенным фитогормоном и, как было доказано, играет ключевую роль в устойчивости растений к стрессу [11,12]. S-ABA повышает толерантность растений к множеству абиотических стрессов, включая солевой стресс, регулируя метаболические процессы растений [13]. Например, Jiang и др. [12] обнаружили, что применение S-ABA снижало содержание эндогенной абсцизиновой кислоты, повышало содержание эндогенных гиббереллинов и индолил-3-уксусной кислоты и поддерживало гомеостаз гормонов у риса в условиях солевого стресса. Yao и др. [13] обнаружили повышение эндогенной ABA, осмотических веществ и активности антиоксидантных ферментов при значительном снижении содержания малонового диальдегида (MDA) при внекорневом внесении S-ABA в концентрации 4 ppm. Следовательно, S-ABA может значительно улучшить устойчивость к солевому стрессу и урожайность сельскохозяйственных культур.
Почвенные кондиционеры могут усиливать микробную активность и улучшать свойства почвы и ее способность удерживать воду и питательные вещества, создавая таким образом благоприятную среду для роста сельскохозяйственных культур [14,15]. Кроме того, Shan и др. [16] обнаружили, что применение биоудобрений может улучшить метаболизм и ферментативную активность бактерий ризосферной почвы. Более того, применение биоудобрений может улучшить доступность питательных веществ и устойчивость к стрессу, вызываемому солонцеватой почвой [4]. Jin и др. [10] обнаружили, что в условиях высокого солевого стресса применение микробного удобрения было полезно для улучшения плодородия почвы, увеличения надземной биомассы риса и, таким образом, улучшения урожайности и качества риса. Предыдущие исследования были в основном сосредоточены на индивидуальных эффектах регуляторов роста или почвенных кондиционеров на солеустойчивость сельскохозяйственных культур.
Наше исследование инновационно комбинирует S-ABA с галоторантными микробными почвенными кондиционерами. Хотя предыдущие исследования сообщали о положительных эффектах как регуляторов роста, так и почвенных кондиционеров (по отдельности) [10,12], мы предполагаем, что их совместное применение может быть более выгодным для достижения лучшей урожайности риса с повышенной солеустойчивостью в условиях солонцеватых земель. Кроме того, мы выдвигаем гипотезу, что применение S-ABA и почвенных кондиционеров может улучшить физиологические механизмы риса в условиях солевого стресса, включая повышение активности антиоксидантных ферментов, снижение содержания малонового диальдегида (MDA) и снижение содержания ионов натрия (Na+), тем самым повышая солеустойчивость риса. Таким образом, настоящее исследование было проведено для оценки эффектов совместного применения регулятора роста растений (S-ABA) и почвенного кондиционера на морфофизиологические показатели, урожайность и качество гибридного риса. Это комбинированное применение не только использует соответствующие регуляторные преимущества обоих — где S-ABA повышает устойчивость растений к стрессу за счет модуляции метаболических процессов, а почвенные кондиционеры улучшают свойства почвы для создания более благоприятной среды для роста, — но также, вероятно, генерирует синергические эффекты. Этот синергизм может дополнительно повысить урожайность и качество риса в условиях солевого стресса, обеспечивая оптимизированный регуляторный подход для возделывания риса на солонцеватых почвах. Результаты нашего исследования напрямую способствуют увеличению производства продовольствия в солонцеватых районах. Это особенно важно в странах и регионах с обширными солонцеватыми почвами, предлагая практическое решение для укрепления глобальной продовольственной безопасности.
2. Материалы и методы
2.1. Детали эксперимента
Полевой эксперимент проводился с января по июнь 2021 года и с декабря 2021 по май 2022 года на испытательной базе Национального центра инновационных технологий возделывания риса на солонцеватых почвах, деревня Яньцзао (109°11′ в.д., 18°37′ с.ш.) и город Ячэн (109°16′ в.д., 18°36′ с.ш.), район Ячжоу, провинция Хайнань, Китай. Сорт гибридного риса 'Jingyou 007' был предоставлен Хунаньским исследовательским центром гибридного риса, Китай. Семена были посеяны 16 декабря 2021 года, а рассада была высажена вручную 16 января 2022 года с расстоянием между растениями 15 × 30 см, и любые пропуски были немедленно заполнены в течение трех дней после посадки. Экспериментальная почва была супесчаной.
Схема эксперимента включала: 0,1% S-ABA отдельно (T1), применение почвенного кондиционера с галоторантными микроорганизмами (T2), совместное применение S-абсцизиновой кислоты (S-ABA) и почвенного кондиционера с галоторантными микроорганизмами (T3), а также контроль без каких-либо регуляторных веществ (CK). Абсцизиновая кислота (ABA) коммерчески известна как S-абсцизиновая кислота (S-ABA). Растворимый концентрат S-ABA был предоставлен Jiangxi Xinrui Feng Biochemical Co., Ltd. (Цзиань, Китай). Патентная информация следующая: Способ отделения природной абсцизиновой кислоты-сырца от ферментационной жидкости абсцизиновой кислоты со следующим номером патента: ZL201510972958.1.
Почвенный кондиционер представлял собой растворимое твердое вещество с содержанием 20% органического вещества, 0,2 КОЕ г−1 эффективных живых бактерий, 2% азота, 6,5% P2O5 и 3,5% K2O, произведенный Foshan Jin Kui Zi Plant Nutrition Co., Ltd. (Фошань, Китай). Номер заявки — CN202011177498.0, номер публикации — CN112341290A. Более подробная информация о почвенном кондиционере представлена в работе Jin и др. [10].
Чистая площадь делянки каждой экспериментальной единицы составляла 50 м², разделенных 40-сантиметровыми гребнями и обернутых полиэтиленовой пленкой для предотвращения стока воды и удобрений. Обработки были размещены в рандомизированной полной блочной схеме в трехкратной повторности. S-ABA вносили в виде внекорневой подкормки по 1200 мл на гектар на трех критических стадиях роста: через 17 дней после посадки, в стадию кущения и в стадию инициации метелки. В эксперименте (T1 и T3) отбирали 6 мл S-ABA в соответствии с площадью горшка, затем смешивали с 2,4 л чистой воды и равномерно распыляли на листья (разбавление в 400 раз). Делянки, требовавшие внесения комплексного микробного удобрения (T2 и T3), получали 2250 кг га⁻² комплексного микробного удобрения, вносимого в почву во время подготовки поля. В частности, 2250 кг га⁻² почвенного кондиционера вносили в почву с последующей ротационной обработкой для тщательного перемешивания почвенного кондиционера с почвой. Во всех обработках вносили 210 кг га⁻² N, 168,75 кг га⁻² P2O5 и 210 кг га⁻² K2O. Конкретная схема удобрения показана в Таблице 1. Оросительная вода была приготовлена путем смешивания природной морской воды с пресной водой в смесительном резервуаре для получения 0,6% раствора соленой воды. После приготовления раствора соленость измеряли с помощью портативного кондуктометра (2266FS, Spectrum, Стивенс-Пойнт, Висконсин, США). Прибор калибровали в соответствии с инструкциями производителя для обеспечения точных показаний. Измерения солености проводились регулярно, оросительную воду сливали каждые три дня и подавали заново, с дополнительным дренированием после дождливых дней. Водный слой около 5 см поддерживался в течение всего периода вегетации, и вода отключалась за 7 дней до сбора урожая. Борьба с вредителями, болезнями и сорняками осуществлялась в соответствии с унифицированными мерами возделывания риса.
Таблица 1. Основные физические и химические свойства почвы и конкретные параметры удобрения для всех обработок.
2.2. Наблюдения и измерения
2.2.1. Определение сухой биомассы, индекса листовой поверхности и значений SPAD листьев
На стадии выметывания (HS) и стадии созревания (MS) из каждой повторности отбирали по шесть однородных растений, разделяли на листья, влагалища и метелки (после выметывания), высушивали в сушильном шкафу при 105 °C в течение 30 минут, а затем досушивали при 80 °C до постоянного веса.
На стадии HS из каждой повторности отбирали по три однородных растения, удаляли все листья, случайным образом отбирали 15 листьев, быстро измеряли максимальную длину и наибольшую ширину каждого листа, а площадь листа рассчитывали с помощью метода "длина × ширина × 0,75"; затем их высушивали в сушильном шкафу до постоянного веса при 80 °C и рассчитывали индекс листовой площади [8].
На стадии HS, через 10 дней после выметывания и через 20 дней после выметывания значение SPAD листьев регистрировали с помощью хлорофилломера (SPAD-502 PLUS, Konica Minolta, Токио, Япония) в положении 1/2–1/3 от кончика листа (верхняя средняя часть листа). Хлорофилломер зажимали для измерения пяти точек с обеих сторон положения измерения вдоль листовой жилки (избегая положения жилки), и регистрировали среднее значение. В каждой делянке измеряли шесть флаговых листьев, и среднее значение принимали за значение SPAD листа [8].
2.2.2. Определение активности антиоксидантных ферментов и содержания малонового диальдегида
На стадии HS отбирали флаговые листья, немедленно помещали в жидкий азот и хранили при −80 °C для биохимического анализа. Активность супероксиддисмутазы (SOD), пероксидазы (POD), каталазы (CAT) и содержание малонового диальдегида (MDA) определяли с использованием наборов в соответствии с Jin и др. [10].
2.2.3. Определение содержания ионов натрия
Высушенные образцы стеблей, листьев и метелок на стадиях HS и MS измельчали в порошок и просеивали. Сухие образцы (0,5 г) подвергали кислотному озолению в системе H2SO4-H2O2, а затем содержание Na+ в каждом органе определяли методом пламенной фотометрии [10].
2.2.4. Урожайность и компоненты урожайности
На стадии MS последовательно обследовали 20 продуктивных метелок. И в соответствии со средним количеством продуктивных метелок на этой делянке отбирали три однородных растения для измерения общего количества зерен на растение, количества выполненных зерен, массы 1000 зерен и выполненности зерен. На каждой делянке убирали площадь 10 м². Каждую делянку убирали и обмолачивали отдельно, удаляли примеси, определяли влажность, и урожайность пересчитывали на стандартную влажность 13,5% [17].
2.2.5. Определение технологических и внешних качеств
После стадии MS собранный рис сушили на солнце и хранили в течение 3 месяцев перед определением качества риса. Определение процентного содержания нешлифованного риса, шлифованного риса, целого шлифованного риса, содержания мучнистых зерен, степени мучнистости, длины зерен, ширины зерен и соотношения длины к ширине проводили в соответствии с Li и др. [18]. Доля мучнистых зерен = Количество мучнистых зерен / Общее количество зерен. Процент мучнистости (%) = (Проекционная площадь мучнистой части зерна риса / Проекционная площадь зерна риса) × 100%. Как правило, брали среднее значение для 30 зерен риса.
2.2.6. Определение качества зерна
Общее содержание крахмала измеряли с использованием набора для обнаружения общего содержания крахмала (Megazyme, K-TSTA, Уиклоу, Ирландия). Определение содержания амилозы и вязкости проводили в соответствии с Jin и др. [10]. PV (сP) = Максимальная вязкость, достигнутая во время фазы нагревания; TV (сP) = Минимальная вязкость во время фазы выдерживания; BD (сP) = PV − TV; FV (сP) = Вязкость в конце фазы охлаждения; SB (сP) = FV − TV.
2.2.7. Определение термодинамических свойств крахмала и характеристик вязкости
Дифференциальный сканирующий калориметр (DSC, Q2000, TA Instruments, Нью-Касл, Делавэр, США) был использован для тестирования термодинамических свойств образцов, тогда как быстрый вискозиметр-анализатор 'RVA4800', произведенный PerkinElmer Instruments, был использован для определения характеристик вязкости.
2.3. Методы расчета и статистические методы
Количество метелок на единицу площади (×10⁸ га⁻²) = Количество продуктивных метелок на единицу площади (×10⁴ га⁻²) × Общее количество зерен в метелке
Емкость стока (×10³ кг га⁻²) = Количество метелок на единицу площади × Вес зерна
Выход вещества стеблевых влагалищ после выметывания (×10³ кг га⁻²) = Сухой вес стеблевого влагалища на стадии HS (×10³ кг га⁻²) − Сухой вес стеблевого влагалища на стадии MS (×10³ кг га⁻²)
Кажущаяся скорость выхода вещества стеблевых влагалищ после выметывания (%) = Выход вещества стеблевых влагалищ после выметывания / Сухой вес стеблевого влагалища на стадии HS × 100
Коэффициент конверсии вещества стеблевых влагалищ после выметывания (%) = Выход вещества стеблевых влагалищ после выметывания / Сухой вес зерна × 100
Накопление сухого вещества за стадию (×10³ кг га⁻²) = Сухой вес надземной части на стадии MS − Сухой вес надземной части на стадии HS
Скорость роста сообщества (×10³ кг га⁻² дн⁻¹) = (W2 − W1)/(t2 − t1), где W1 и W2 — веса сухого вещества (×10³ кг га⁻²), измеренные на стадиях выметывания и созревания, а t1 и t2 — временные интервалы (дни) между первым и вторым измерениями.
Однофакторный дисперсионный анализ (ANOVA) был проведен на собранных данных с использованием программного обеспечения SPSS 19.0 (SPSS, Inc., Чикаго, Иллинойс, США). Различия между средними значениями обработок каждого эксперимента разделяли с использованием наименьшей значимой разности (LSD) при уровне значимости 0,05. В нашем исследовании были проанализированы основные эффекты различных обработок (T1, T2, T3 и CK) на урожайность и показатели качества риса. Все графики были созданы с использованием Origin 9.0 (OriginLab Corp., Нортгемптон, Массачусетс, США). Анализ PCA и построение изображений проводили с использованием Origin 9.0.
3. Результаты
3.1. Урожайность и компоненты урожайности
Применение регуляторных веществ значительно повысило урожайность по сравнению с CK (Таблица 2). В частности, урожайность была повышена на 18,86–20,07%, 26,30–26,69% и 35,59–37,02% в обработках T1, T2 и T3 по сравнению с CK в оба года соответственно. Кроме того, количество продуктивных метелок и масса 1000 зерен оставались сравнительно более высокими в обработках T1, T2 и T3, чем в CK в 2022 году. В дополнение, не было замечено значительных различий в количестве зерен в метелке и доле завязавшихся семян между обработками T1 и T2. Высокий солевой стресс привел к низкому количеству метелок и низкой емкости стока для всех обработок, что привело к недостаточности стоков. По сравнению с CK, применение экзогенных регуляторных веществ значительно увеличило емкость стока в следующем порядке: T3 > T2 > T1.
Таблица 2. Влияние S-ABA и почвенного кондиционера на урожайность и компоненты урожайности риса в условиях высокого солевого стресса.
3.2. Накопление сухой биомассы
По сравнению с CK, применение регуляторных веществ увеличило общее накопление сухого вещества на стадиях HS и MS (Таблица 3). По сравнению с CK, обработки T1, T2 и T3 увеличили накопление сухого вещества на стадии HS на 16,86–20,90%, 27,17–27,37% и 37,64–39,40% и на стадии MS на 14,89–29,60%, 23,49–35,32% и 32,61–53,96% соответственно. Транслокация сухого вещества от HS к MS была самой высокой в обработке T3 и также была выше, чем в T1 и T2, на 22,3% и 20,5% в 2022 году соответственно. Кроме того, не было замечено значительных различий в скорости роста сообщества между T1, T2 и T3, но все они были значительно выше, чем CK в оба года.
Таблица 3. Влияние S-ABA и почвенного кондиционера на накопление надземной сухой биомассы в условиях высокого солевого стресса.
По сравнению с CK, T1, T2 и T3 не только увеличили сухой вес влагалища на стадиях HS и MS и выход сухого вещества после HS (Таблица 4), но, в частности, обработка T3 значительно увеличила сухой вес влагалища на стадиях HS и MS и выход сухого вещества после HS, а также улучшила кажущуюся скорость выхода и коэффициент конверсии, все из которых были значительно выше, чем в обработке CK в оба года.
Таблица 4. Влияние S-ABA и почвенного кондиционера на конверсию сухого вещества стеблевых влагалищ в условиях высокого солевого стресса.
3.3. Значения SPAD
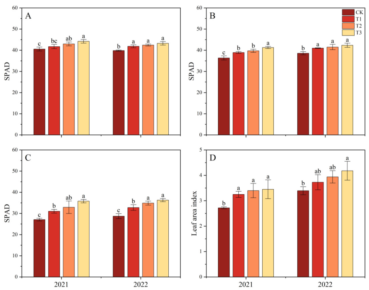
Экзогенные регуляторные обработки значительно увеличили значения SPAD листьев по сравнению с CK (Рисунок 1). Например, по сравнению с CK, обработки T1, T2 и T3 увеличили SPAD на стадии HS на 2,91–5,13%, 6,01–6,62% и 8,61–9,04% в оба года соответственно. Кроме того, через 20 дней после HS обработки T1, T2 и T3 увеличили значения SPAD на 14,11–14,64%, 21,52–21,86% и 26,51–32,22% в оба года соответственно по сравнению с CK. Снижение значений SPAD от HS до 20 дней после HS было меньше, чем в CK, в следующем порядке: T1 > T2 > T3. В дополнение, обработка T3 увеличила индекс листовой площади на стадии HS на 23,1–26,8%, и это было значительно выше, чем CK; однако не было значительных различий в индексе листовой площади между обработками T1, T2 и T3.
Рисунок 1. Влияние S-ABA и почвенного кондиционера на SPAD и индекс листовой площади в условиях высокого солевого стресса. Примечание: Значения, отмеченные разными маленькими буквами в одном столбце, значительно различаются между обработками на уровне 0,05. То же самое ниже. T1, T2, T3 и CK представляют S-ABA, почвенный кондиционер, S-ABA + почвенный кондиционер и контроль соответственно. SPAD на стадии выметывания (A); SPAD через 10 дней после стадии выметывания (B); SPAD через 20 дней после стадии выметывания (C); Индекс листовой площади на стадии выметывания (D).
3.4. Активность антиоксидантных ферментов и содержание малонового диальдегида
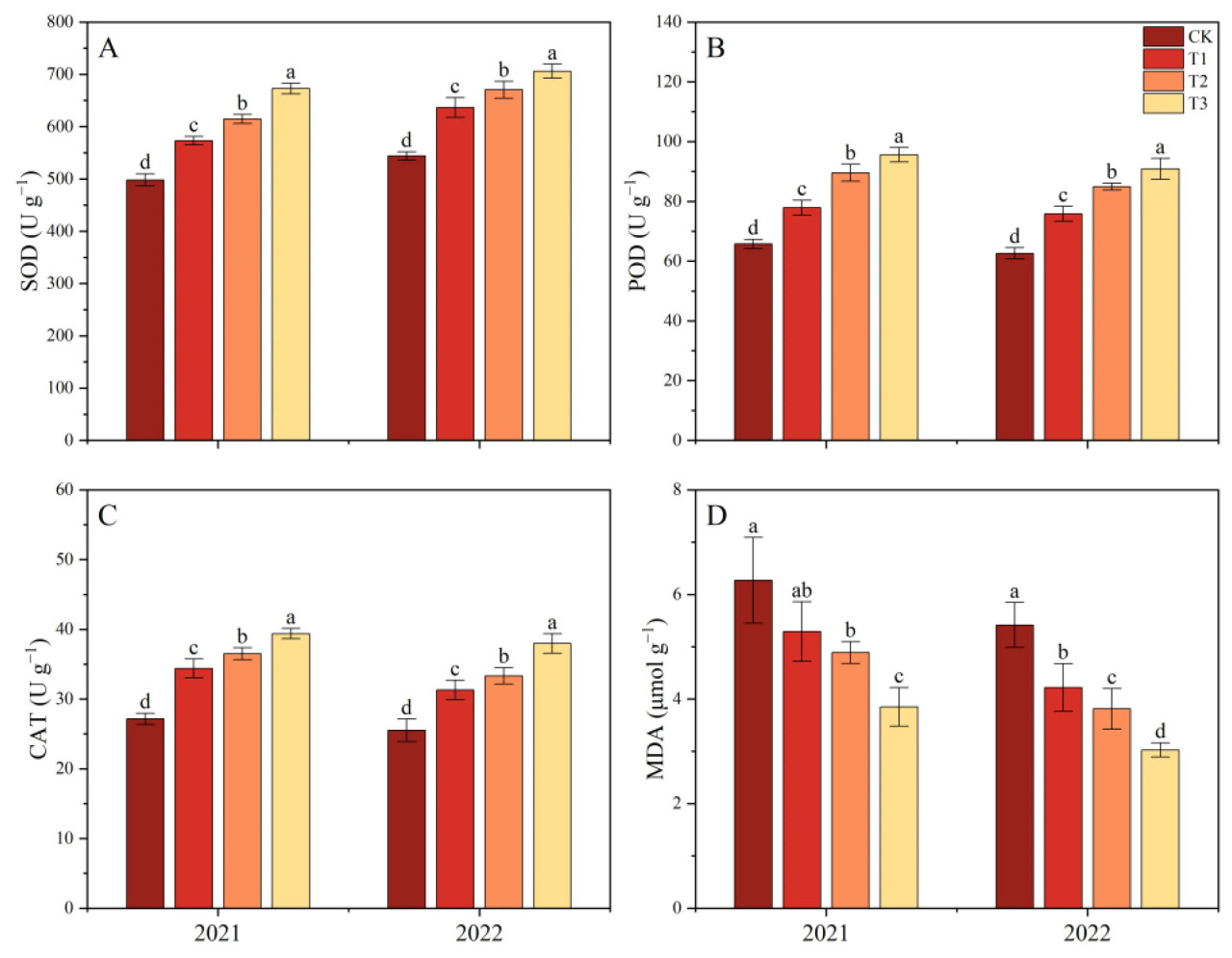
Экзогенные регуляторные обработки значительно повысили активности антиоксидантных ферментов, т.е. супероксиддисмутазы (SOD), пероксидазы (POD) и каталазы (CAT) (Рисунок 2). В частности, активности SOD, POD и CAT были самыми высокими в обработке T3, т.е. на 29,82–35,14%, 45,21–45,34% и 45,01–48,89% выше, чем в CK в оба года соответственно; кроме того, были значительные различия в активностях SOD и POD между обработками в следующем порядке: T3 > T2 > T1 > CK. Однако не было значительных различий в активности CAT между обработками T1 и T2, но обе были значительно выше, чем CK. Кроме того, по сравнению с CK, экзогенные регуляторные обработки T2 и T3 значительно снизили содержание MDA в оба года.
Рисунок 2. Влияние S-ABA и почвенного кондиционера на активность антиоксидантных ферментов и MDA на стадии выметывания в условиях высокого солевого стресса. Примечание: Значения, отмеченные разными маленькими буквами в одном столбце, значительно различаются между обработками на уровне вероятности 0,05. T1, T2, T3 и CK представляют S-ABA, почвенный кондиционер, S-ABA + почвенный кондиционер и контроль соответственно. Активность SOD на стадии выметывания (A); Активность POD на стадии выметывания (B); Активность CAT на стадии выметывания (C); Содержание MDA на стадии выметывания (D). SOD, супероксиддисмутаза; POD, пероксидаза; CAT, каталаза; MDA, малоновый диальдегид.
3.5. Анализ главных компонент (PCA)
Графики счетов PCA сгруппировались тесно в пределах одной обработки, и обработки CK, T0, T1 и T2 были заметно разделены. График PCA объяснял 68,0% дисперсии в PCA1 и 19,7% дисперсии в PCA2 (Рисунок 3). В PCA1 HSDMR, MSDMR, SSHS и активность SOD имели более высокие значения нагрузок и могут использоваться в качестве первичных факторов для оценки урожайности риса при орошении соленой водой.
Рисунок 3. Анализ главных компонент урожайности риса и связанных с ней показателей за два года. Примечание: 10d SPAD: SPAD через 10 дней после стадии выметывания; 20d SPAD: SPAD через 20 дней после стадии выметывания; CAT: каталаза; CR: коэффициент конверсии стебля; EPs: продуктивные метелки; GR: выполненность зерен; HS DMR: надземная сухая биомасса на стадии выметывания; HS-MS: транслокация сухого вещества от стадии выметывания к стадии созревания; LAI: индекс листовой площади; MS DMR: надземная сухая биомасса на стадии созревания; MDA: малоновый диальдегид; OR: скорость выхода стеблевых влагалищ; POD: пероксидаза; SC: емкость стока; SS HS: вес стеблевых влагалищ на стадии выметывания; SS MS: вес стеблевых влагалищ на стадии созревания; SOD: супероксиддисмутаза; SPP: количество колосков в метелке; TGW: масса 1000 зерен; TP: общее количество колосков.
3.6. Содержание ионов натрия (Na+) в различных органах
Экзогенные регуляторные обработки снизили содержание Na+ во всех частях на стадиях HS и MS по сравнению с CK (Рисунок 4). Например, обработка T3 имела самое низкое содержание Na+ в листьях и стеблях, которое было на 19,21% и 24,27% ниже, чем в CK соответственно. Не было значительных различий в содержании Na+ в листьях между обработками T1, T2 и CK, но и T1, и T2 снизили содержание Na+ в стеблях. На стадии созревания содержание Na+ в обработках T1, T2 и T3 было значительно ниже, чем в CK. Кроме того, снижение содержания Na+ обработками T1, T2 и T3 по сравнению с CK было в порядке: T3 > T2 > T1.
Рисунок 4. Влияние S-ABA и почвенного кондиционера на содержание ионов натрия (Na+) в условиях высокого солевого стресса. Примечание: Значения, отмеченные разными маленькими буквами в одном столбце, значительно различаются между обработками на уровне вероятности 0,05. T1, T2, T3 и CK представляют S-ABA, почвенный кондиционер, S-ABA + почвенный кондиционер и контроль соответственно. Содержание Na+ в стебле на стадии выметывания и созревания (A); Содержание Na+ в листе на стадии выметывания и созревания (B).
3.7. Технологическое качество риса и пищевая ценность
По сравнению с CK, экзогенные регуляторные обработки значительно повысили выход шлифованного риса и выход целого шлифованного риса (Таблица 5). Кроме того, повышение выхода шлифованного риса и выхода целого шлифованного риса составило от 3,03 до 4,89% и от 11,78 до 15,56% соответственно в экзогенных регуляторных обработках по сравнению с CK в следующем порядке: T3 > T2 > T1. Однако не было значительных различий в выходе нешлифованного риса между обработками.
Таблица 5. Влияние S-ABA и почвенного кондиционера на технологическое качество и пищевую ценность риса в условиях высокого солевого стресса.
По сравнению с CK, экзогенные регуляторные обработки повысили общее содержание крахмала в разной степени (Таблица 5). Не было значительных различий в общем содержании крахмала между T1, T2, T3 и CK. Кроме того, по сравнению с CK, почвенный кондиционер значительно снизил содержание белка и жира в зерне, тогда как снижение общего содержания белка составило от 10,96 до 13,07% в следующем порядке: T1 > T2 > T3. Кроме того, снижение содержания жира в обработках T1, T2 и T3 составило от 28,38% до 38,90%.
3.8. Внешний вид и кулинарные качества риса
По сравнению с CK, экзогенные регуляторные обработки значительно снизили долю мучнистых зерен и мучнистость в диапазоне 46,60–53,40% и 62,60–68,69% соответственно (Таблица 6). Однако не было отмечено значительных различий в доле мучнистых зерен и мучнистости между обработками T1, T2 и T3. По сравнению с CK, обработки T1, T2 и T3 значительно увеличили длину, ширину, площадь и окружность зерна риса (Таблица 6). Кроме того, по сравнению с CK, увеличение длины, ширины, площади и окружности тремя экзогенными регуляторными обработками было в порядке: T3 > T2 > T1. Кроме того, по сравнению с CK, экзогенные регуляторные обработки увеличили содержание амилозы в разной степени (Рисунок 5). Например, содержание амилозы увеличилось в диапазоне 8,76–11,90% по сравнению с CK в следующем порядке: T1 > T3 > T2. Кроме того, три экзогенные регуляторные обработки увеличили консистенцию геля в диапазоне от 6,51% до 11,24% по сравнению с CK. Консистенция геля зерен риса в обработках T1, T2 и T3 была значительно выше, чем в CK; однако T1, T2 и T3 оставались статистически одинаковыми в этом отношении.
Рисунок 5. Влияние S-ABA и почвенного кондиционера на содержание амилозного крахмала и консистенцию геля риса в условиях высокого солевого стресса. Значения, отмеченные разными маленькими буквами в одном столбце, значительно различаются между обработками на уровне вероятности 0,05. T1, T2, T3 и CK представляют S-ABA, почвенный кондиционер, S-ABA + почвенный кондиционер и контроль соответственно. Содержание амилозы (A); Консистенция геля (B).
Таблица 6. Влияние S-ABA и почвенного кондиционера на внешний вид целого зерна риса в условиях высокого солевого стресса.
3.9. Термодинамические свойства и свойства вязкости крахмала зерна
По сравнению с CK, обработки T1 привели к значительному увеличению пиковой температуры и температуры завершения (Таблица 7). За исключением обработки T2, которая показала значительное увеличение пиковой температуры и конечной температуры по сравнению с CK, не было значительных различий между другими обработками. По сравнению с CK, три экзогенные регуляторные обработки значительно увеличили энтальпию клейстеризации крахмала в диапазоне от 13,41% до 22,50%; однако не было отмечено значительных различий между тремя обработками.
Таблица 7. Влияние S-ABA и почвенного кондиционера на свойства клейстеризации крахмала в условиях высокого солевого стресса.
Профили RVA крахмала при трех экзогенных регуляторных обработках показали значительные различия по сравнению с CK (Таблица 8). Например, по сравнению с CK, все три экзогенные регуляторные обработки значительно увеличили пиковую вязкость, минимальную вязкость и конечную вязкость в диапазоне 20,47% до 24,14%, 28,09% до 33,57% и 14,64% до 17,74% соответственно. По сравнению с CK, три экзогенные регуляторные обработки увеличили показатель разжижения и уменьшили показатель ретроградации в разной степени, без значительных различий между обработками.
Таблица 8. Влияние S-ABA и почвенного кондиционера на свойства клейстеризации крахмала в условиях высокого солевого стресса.
4. Обсуждение
Чрезмерное накопление соли приводит к уплотнению почвы и снижению плодородия, что ограничивает рост сельскохозяйственных культур и поглощение питательных веществ, что в конечном итоге приводит к снижению урожайности и качества [19,20]. Из-за серьезного воздействия высокого солевого стресса и длительного цикла роста риса следует применять комплексные регуляторные меры для управления солонцеватой почвой. Цель настоящего исследования заключается в изучении комбинированного использования экзогенных регуляторов для повышения солеустойчивости риса, предлагая ценную ссылку для комплексной регуляции и возделывания солеустойчивых сортов риса. Поэтому в этом исследовании изучается влияние совместного применения галоторантного микробного почвенного кондиционера и S-абсцизиновой кислоты (S-ABA) на урожайность и качество зерен риса в условиях солевого стресса.
4.1. Влияние различных экзогенных регуляторов на рост, развитие и урожайность риса в условиях высокого солевого стресса
Солевой стресс сильно влияет на рис во многих отношениях. Например, исследования показали, что солевой стресс приводит к скручиванию и хлорозу листьев риса, снижению значений SPAD и LAI, снижению скорости фотосинтеза и уменьшению накопления и транслокации сухого вещества [20]. При чрезмерном накоплении Na+ в почве сельскохозяйственные культуры транспортируют Na+ в свои органы через транспортные белки, увеличивая содержание Na+ в надземных частях и нарушая ионный гомеостаз внутри клеток [21]. Кроме того, солевой стресс вызывает большое накопление активных форм кислорода (ROS) внутри растений, приводя к перекисному окислению липидов клеточных мембран [22]. Для удаления ROS и повышения адаптивности сельскохозяйственных культур к неблагоприятным условиям внутри растения возникает ряд стрессовых реакций, таких как повышение активности антиоксидантных ферментов (SOD, POD и CAT) и снижение содержания MDA [21,22]. После серии повреждений, включая осмотический стресс, ионный дисбаланс и разрушение антиоксидантной системы, рост сельскохозяйственных культур сильно ограничивается, что приводит к снижению урожайных свойств, т.е. количества метелок на единицу площади, количества зерен в метелке, доли завязавшихся семян и массы 1000 зерен, что в конечном итоге приводит к снижению урожайности [19].
Наше исследование показывает, что применение S-ABA и почвенных кондиционеров по отдельности увеличило урожайность риса, главным образом за счет улучшения массы 1000 зерен и количества зерен в метелке. Результаты согласуются с результатами Jin и др. [10], которые обнаружили, что применение почвенных кондиционеров в качестве основного удобрения может эффективно повысить урожайность за счет увеличения количества зерен в метелке и доли завязавшихся семян. Однако совместное применение S-ABA и почвенных кондиционеров может дополнительно увеличить количество продуктивных метелок, таким образом достигая большего увеличения урожайности, чем при применении только ABA. Zhu и др. [23] обнаружили, что применение биоудобрений улучшало активность антиоксидантных ферментов, содержание хлорофилла, фотосинтез и рост хлопчатника, одновременно снижая содержание MDA. Кроме того, Jiang и др. [12] обнаружили, что применение S-ABA в условиях солевого стресса улучшало агрономические признаки риса, усиливало фотосинтез, снижало соотношение Na+/K+, улучшало активность антиоксидантных ферментов, снижало ROS и смягчало воздействие солевого стресса на рост риса. Совместное применение S-ABA и почвенных кондиционеров, вероятно, усиливает экспрессию генов, связанных с продукцией антиоксидантных ферментов. Было показано, что S-ABA регулирует экспрессию стресс-чувствительных генов, включая те, которые участвуют в антиоксидантной защите [12]. Почвенные кондиционеры, улучшая здоровье почвы и доступность питательных веществ, предоставляют необходимые ресурсы для более эффективного производства этих ферментов растением [10]. Shan и др. [16] обнаружили, что применение биоудобрений увеличивало разнообразие микроорганизмов в почве, реструктурировало бактериальное сообщество и усиливало метаболизм и ферментативную активность почвенных бактерий в ризосфере, таким образом улучшая общее обеспечение питательными веществами, а также урожайность риса. Jin и др. [10] обнаружили, что применение почвенного кондиционера увеличивало катионообменную способность почвы и повышало содержание органического вещества почвы и доступного калия, что указывает на то, что почвенный кондиционер улучшал питательный статус почвы. Микроорганизмы в почвенных кондиционерах улучшают структуру почвы и способность удерживать питательные вещества за счет усиления активности полезных микроорганизмов в почве, тем самым создавая благоприятную среду для роста сельскохозяйственных культур [16,19]. Взаимодействие между ABA и активными формами кислорода (ROS) является сложным и многогранным. Как обсуждалось в Li и др. [20], ABA может стимулировать продукцию ROS через NADPH-оксидазу замыкающих клеток. Эта продукция ROS является частью сигнального пути трансдукции ABA и необходима для адаптивного ответа растения на стресс. Генерируемые ROS могут действовать как вторичные мессенджеры, запуская ряд нисходящих событий, которые приводят к закрытию устьиц и другим стрессовым реакциям. Кроме того, S-ABA повышает толерантность растения к солевому стрессу, регулируя внутренний гормональный баланс внутри растения [20,21]. Применение S-ABA снижает содержание эндогенной абсцизиновой кислоты (ABA) в условиях солевого стресса, но увеличивает содержание эндогенных гиббереллинов (GA) и индолил-3-уксусной кислоты (IAA), поддерживая гормональный гомеостаз у растений риса [12]. Совместное применение S-ABA и почвенных кондиционеров, вероятно, усиливает способность растения более эффективно удалять активные формы кислорода (ROS). Снижая уровень ROS, обработки предотвращают инициирование перекисного окисления липидов, что приводит к более низкому содержанию MDA.
Кроме того, настоящее исследование показало, что применение S-ABA в условиях солевого стресса увеличивало индекс листовой площади, способствовало биосинтезу хлорофилла, усиливало накопление сухого вещества и снижало содержание Na+. Наши выводы согласуются с Yao и др. [13], которые наблюдали, что применение S-ABA снижало солевой стресс за счет повышения активности антиоксидантных ферментов и снижения содержания MDA. Более того, применение S-ABA повышало урожайность за счет улучшения количества метелок на единицу площади, количества зерен в метелке, доли завязавшихся семян и массы 1000 зерен, тем самым повышая общую солеустойчивость риса [24].
Chen и др. [25] обнаружили, что хотя ABA сам по себе может улучшить устойчивость к стрессу, его применение в комбинации с другими веществами (сахарозой) может быть более эффективным. Например, возможной причиной повышения урожайности при совместном применении ABA и сахарозы является усиленное накопление сухого вещества и неструктурных углеводов в метелках риса. Это улучшение в первую очередь связано со значительным повышением транспорта сахарозы в стеблевом влагалище в результате обработки ABA и сахарозой. Настоящее исследование также подтвердило, что внесение почвенных кондиционеров в качестве основного удобрения и внешнее применение ABA могут потенциально улучшить накопление сухого вещества, LAI, значения SPAD листьев, активность антиоксидантных ферментов, выход вещества в стеблевых влагалищах после HS, а также скорость выхода и коэффициент конверсии, тем самым повышая урожайность риса в условиях солевого стресса. Кроме того, предыдущие исследования показали, что экзогенные гормоны, такие как гиббереллины и цитокинины, способны снижать солевой стресс, тем самым повышая скорость фотосинтеза листьев и способствуя росту растений [26,27]. Следовательно, дальнейшие испытания должны быть проведены для изучения совместного применения других экзогенных гормонов и почвенных мелиорантов с целью оценки их потенциальных синергических эффектов на рост риса в условиях солевого стресса.
4.2. Влияние различных экзогенных регуляторов на качество риса в условиях высокого солевого стресса
В настоящее время наблюдается недостаток исследований о влиянии отдельных регуляторных веществ на качество риса в условиях солевого стресса, особенно совместного применения S-ABA и почвенного кондиционера. Качество риса в основном включает четыре аспекта, т.е. внешний вид, технологические качества, кулинарные и вкусовые качества, а также пищевую ценность. Эти качества в совокупности определяют рыночную цену риса и степень предпочтения потребителей [28]. Предыдущие исследования показали, что высокий солевой стресс ухудшает технологическое качество риса, снижает содержание амилозы, увеличивает общее содержание белка и изменяет физико-химические свойства и тонкую структуру крахмала, что приводит к снижению кулинарных и вкусовых качеств риса [9,20]. Liu и др. [29] обнаружили, что применение экзогенной ABA улучшает технологические и внешние качества риса, снижает распространенность мучнистости зерен, увеличивает вязкость крахмального клейстера и улучшает общие кулинарные качества зерен риса. Sun и др. [30] обнаружили, что повышение содержания ABA полезно для снижения влияния высоких температур на содержание амилозы, температуру клейстеризации и вязкость крахмала, тем самым улучшая вкус риса. Chen и др. [25] обнаружили, что совместное применение экзогенной ABA и сахарозы способствует регулированию взаимоотношений источник-сток и увеличению содержания крахмала в зернах, таким образом улучшая качество риса. Jin и др. [10] обнаружили, что применение почвенного кондиционера не только улучшает шлифовку и внешний вид риса, но и улучшает вкус риса за счет увеличения содержания амилозы и снижения общего содержания белка, что согласуется с текущим исследованием, которое показало, что одновременное применение ABA и почвенного кондиционера улучшило технологические качества риса. Кроме того, было обнаружено, что рис, обработанный почвенным кондиционером, приводит к отличным свойствам клейстеризации, характеризующимся снижением доли коротких цепей амилопектина, а также более низкой температурой клейстеризации и энтальпией клейстеризации, что способствует улучшению вкуса риса [10]. Кроме того, по сравнению с CK, все обработки в разной степени увеличили показатель разжижения и снизили показатель ретроградации, что указывает на то, что как S-ABA, так и почвенные кондиционеры могут увеличивать вязкость крахмала и снижать твердость риса, тем самым улучшая вкусовые качества; тем не менее, совместное применение превосходит их индивидуальное применение.
Методы, использованные в этом исследовании, осуществимы для коммерческих сельскохозяйственных условий. Применение S-ABA и почвенных кондиционеров является практичным и экономически эффективным подходом для улучшения урожайности и качества риса в условиях солевого стресса. Эти обработки могут быть легко интегрированы в существующую сельскохозяйственную практику без необходимости значительных изменений в текущих системах земледелия. Многие сельскохозяйственные культуры демонстрируют сходные физиологические реакции на солевой стресс. Например, такие культуры, как рапс и баклажан, также страдают от снижения роста, усиления окислительного повреждения и нарушения ионного гомеостаза в условиях солевого стресса [31,32,33]. Поэтому правдоподобно, что применение S-ABA и галоторантных микроорганизмов может иметь сходные полезные эффекты на эти культуры.
Использование 0,1% S-ABA и конкретного состава почвенного кондиционера гарантирует, что обработки являются эффективными и экономически жизнеспособными для крупномасштабного применения. Кроме того, оросительная система, использованная в исследовании, которая включает использование 0,6% соленой воды, может быть адаптирована к коммерческим условиям при соответствующих методах управления водными ресурсами [7,10]. В то время как обработки показывают многообещающие результаты в улучшении урожайности и качества риса в условиях солевого стресса, важно учитывать потенциальные компромиссы. Стоимость S-ABA и почвенных кондиционеров является значительным фактором для крупномасштабного применения. Однако экономические выгоды от повышения урожайности и улучшения качества могут компенсировать эти затраты, особенно в регионах, где солевой стресс сильно ограничивает производство риса. Что касается долгосрочного здоровья почвы, органическое вещество и микробные компоненты в почвенном кондиционере могут со временем улучшить структуру и плодородие почвы, потенциально приводя к устойчивой продуктивности. Однако рекомендуется непрерывный мониторинг, чтобы гарантировать отсутствие неблагоприятных воздействий на биоразнообразие почвы или другие экологические параметры. Более того, оросительная система, использованная в исследовании, которая включает использование 0,6% соленой воды, требует тщательного управления водными ресурсами, чтобы гарантировать, что концентрация соленой воды поддерживается на оптимальном уровне для роста риса. Неправильное управление может привести к повышению засоления почвы, усугубляя солевой стресс. Поэтому следует учитывать осуществимость оросительной системы в различных регионах и ее влияние на водные ресурсы.
Это исследование было сосредоточено на одном сорте риса, 'Jingyou 007', что ограничивает обобщаемость результатов на другие сорта. Различные сорта риса могут иметь разные реакции на S-ABA и почвенные кондиционеры из-за генетических различий в их механизмах устойчивости к стрессу. Более того, исследование проводилось в течение двух лет, что не полностью отражает долгосрочные эффекты обработок на здоровье почвы и продуктивность риса. Будущие исследования должны включать более широкий спектр сортов риса и долгосрочные эксперименты для оценки универсальной применимости этих обработок. Это обеспечило бы более полное понимание того, как различные генетические фоны влияют на реакцию на S-ABA и почвенные кондиционеры.
5. Выводы
Применение S-ABA и почвенных кондиционеров (по отдельности или в комбинации) может улучшить агрономические признаки риса и повысить урожайность риса; однако в этом исследовании наиболее значительное увеличение урожайности наблюдалось при совместном применении благодаря улучшенным значениям SPAD листьев, замедленному старению листьев и увеличенной общей надземной биомассе. Кроме того, S-ABA и почвенный кондиционер также улучшили активности антиоксидантных ферментов, снизили содержание MDA и снизили содержание Na+ в стеблях и листьях. Кроме того, применение S-ABA и почвенного кондиционера также улучшило внешний вид и технологическое качество, повысило содержание амилозы, вязкость крахмального клейстера, липкость крахмала и энтальпию клейстеризации, тем самым улучшив вкус риса, возделываемого в засоленных условиях. Это исследование обеспечивает теоретическую основу для возделывания риса с применением регуляторов роста и почвенных кондиционеров в условиях высокого солевого стресса. Будущие исследования и политические инициативы должны проводить долгосрочные полевые испытания для оценки кумулятивных эффектов S-ABA и почвенных кондиционеров на здоровье почвы, микробное разнообразие и продуктивность риса в течение нескольких лет.
Ссылки
1. Li, Z.; Zhou, T.; Zhu, K.; Wang, W.; Zhang, W.; Zhang, H.; Liu, L.; Zhang, Z.; Wang, Z.; Wang, B.; et al. Effects of Salt Stress on Grain Yield and Quality Parameters in Rice Cultivars with Differing Salt Tolerance. Plants 2023, 12, 3243. [Google Scholar] [CrossRef] [PubMed]
2. Yao, D.; Wu, J.; Luo, Q.; Zhang, D.; Zhuang, W.; Xiao, G.; Deng, Q.; Bai, B. Effects of Salinity Stress at Reproductive Growth Stage on Rice (Oryza sativa L.) Composition, Starch Structure, and Physicochemical Properties. Front. Nutr. 2022, 9, 926217. [Google Scholar] [CrossRef]
3. Ganapati, R.K.; Naveed, S.A.; Zafar, S.; Wang, W.; Xu, J. Saline-Alkali Tolerance in Rice: Physiological Response, Molecular Mechanism, and QTL Identification and Application to Breeding. Rice Sci. 2022, 29, 412–434. [Google Scholar] [CrossRef]
4. Ding, Y.; Gao, X.; Shu, D.; Siddique, K.H.; Song, X.; Wu, P.; Li, C.; Zhao, X. Enhancing soil health and nutrient cycling through soil amendments: Improving the synergy of bacteria and fungi. Sci. Total. Environ. 2024, 923, 171332. [Google Scholar] [CrossRef]
5. Zhang, X.; Sun, J.; Dong, C.-H. Molecular regulations of ethylene signaling in plant salt stress responses. Plant Stress 2024, 14, 100583. [Google Scholar] [CrossRef]
6. Gu, J.; Chen, Y.; Zhang, H.; Li, Z.; Zhou, Q.; Yu, C.; Kong, X.; Liu, L.; Wang, Z.; Yang, J. Canopy light and nitrogen distributions are related to grain yield and nitrogen use efficiency in rice. Field Crop. Res. 2017, 206, 74–85. [Google Scholar] [CrossRef]
7. Li, L.; Huang, Z.; Zhang, Y.; Mu, Y.; Li, Y.; Nie, L. Regulation of 2-acetyl-1-pyrroline (2-AP) biosynthesis and grain quality in fragrant rice under salt stress. Field Crop. Res. 2025, 322, 109747. [Google Scholar] [CrossRef]
8. Du, J.; Liu, B.; Zhao, T.; Xu, X.; Lin, H.; Ji, Y.; Li, Y.; Li, Z.; Lu, C.; Li, P.; et al. Silica nanoparticles protect rice against biotic and abiotic stresses. J. Nanobiotechnol. 2022, 20, 197. [Google Scholar] [CrossRef] [PubMed]
9. Meng, T.; Zhang, X.; Ge, J.; Chen, X.; Yang, Y.; Zhu, G.; Chen, Y.; Zhou, G.; Wei, H.; Dai, Q. Agronomic and physiological traits facilitating better yield performance of japonica/indica hybrids in saline fields. Field Crop. Res. 2021, 271, 108255. [Google Scholar] [CrossRef]
10. Jin, W.; Li, L.; Ma, G.; Wei, Z. Halotolerant Microorganism-Based Soil Conditioner Application Improved the Soil Properties, Yield, Quality and Starch Characteristics of Hybrid Rice under Higher Saline Conditions. Plants 2024, 13, 2325. [Google Scholar] [CrossRef]
11. Huang, Y.; Zhou, J.; Li, Y.; Quan, R.; Wang, J.; Huang, R.; Qin, H. Salt Stress Promotes Abscisic Acid Accumulation to Affect Cell Proliferation and Expansion of Primary Roots in Rice. Int. J. Mol. Sci. 2021, 22, 10892. [Google Scholar] [CrossRef] [PubMed]
12. Jiang, W.; Wang, X.; Wang, Y.; Du, Y.; Zhang, S.; Zhou, H.; Feng, N.; Zheng, D.; Ma, G.; Zhao, L. S-ABA Enhances Rice Salt Tolerance by Regulating Na+/K+ Balance and Hormone Homeostasis. Metabolites 2024, 14, 181. [Google Scholar] [CrossRef] [PubMed]
13. Yao, C.; Zhang, F.; Sun, X.; Shang, D.; He, F.; Li, X.; Zhang, J.; Jiang, X. Effects of S-Abscisic Acid (S-ABA) on Seed Germination, Seedling Growth, and Asr1 Gene Expression Under Drought Stress in Maize. J. Plant Growth Regul. 2019, 38, 1300–1313. [Google Scholar] [CrossRef]
14. Shrivastava, P.; Kumar, R. Soil salinity: A serious environmental issue and plant growth promoting bacteria as one of the tools for its alleviation. Saudi J. Biol. Sci. 2014, 22, 123–131. [Google Scholar] [CrossRef]
15. Munir, N.; Hasnain, M.; Roessner, U.; Abideen, Z. Strategies in improving plant salinity resistance and use of salinity resistant plants for economic sustainability. Crit. Rev. Environ. Sci. Technol. 2021, 52, 2150–2196. [Google Scholar] [CrossRef]
16. Shan, S.; Wei, Z.; Cheng, W.; Du, D.; Zheng, D.; Ma, G. Biofertilizer based on halotolerant microorganisms promotes the growth of rice plants and alleviates the effects of saline stress. Front. Microbiol. 2023, 14, 1165631. [Google Scholar] [CrossRef]
17. Pan, S.; Liu, H.; Mo, Z.; Patterson, B.; Duan, M.; Tian, H.; Hu, S.; Tang, X. Effects of Nitrogen and Shading on Root Morphologies, Nutrient Accumulation, and Photosynthetic Parameters in Different Rice Genotypes. Sci. Rep. 2016, 6, 32148. [Google Scholar] [CrossRef]
18. Li, R.; Zhang, D.; Pan, Y.; Liu, H.; Tang, C.; Liu, X.; Mo, L.; Du, Y.; Zhou, G.; Hu, Y. Effects of Salt Stress During the Growth Period on the Yield and Grain Quality of Hybrid Rice. Agronomy 2024, 15, 21. [Google Scholar] [CrossRef]
19. Wang, R.; Liu, T.; Lu, C.; Zhang, Z.; Guo, P.; Jia, B.; Hao, B.; Wang, Y.; Guo, W. Bioorganic fertilizers improve the adaptability and remediation efficiency of Puccinellia distans in multiple heavy metals-contaminated saline soil by regulating the soil microbial community. J. Hazard. Mater. 2023, 448, 130982. [Google Scholar] [CrossRef]
20. Li, S.; Liu, S.; Zhang, Q.; Cui, M.; Zhao, M.; Li, N.; Wang, S.; Wu, R.; Zhang, L.; Cao, Y.; et al. The interaction of ABA and ROS in plant growth and stress resistances. Front. Plant Sci. 2022, 13, 1050132. [Google Scholar] [CrossRef]
21. Hussain, S.; Nanda, S.; Ashraf, M.; Siddiqui, A.R.; Masood, S.; Khaskheli, M.A.; Suleman, M.; Zhu, L.; Zhu, C.; Cao, X.; et al. Interplay Impact of Exogenous Application of Abscisic Acid (ABA) and Brassinosteroids (BRs) in Rice Growth, Physiology, and Resistance under Sodium Chloride Stress. Life 2023, 13, 498. [Google Scholar] [CrossRef]
22. Liu, C.; Mao, B.; Yuan, D.; Chu, C.; Duan, M. Salt tolerance in rice: Physiological responses and molecular mechanisms. Crop. J. 2022, 10, 13–25. [Google Scholar] [CrossRef]
23. Zhu, Y.; Wang, H.; Lv, X.; Zhang, Y.; Wang, W. Effects of biochar and biofertilizer on cadmium-contaminated cotton growth and the antioxidative defense system. Sci. Rep. 2020, 10, 20112. [Google Scholar] [CrossRef] [PubMed]
24. Jiang, W.X.; Ma, G.H.; Zhao, L.M.; Huang, A.Q.; Feng, N.J.; Zheng, D.F.; Zhou, W.L. Effects of S-ABA on Physiological Characteristics and Yield of Rice Under Different Salt Stresses. J. Nucl. Agric. Sci. 2023, 37, 2485–2495. [Google Scholar]
25. Chen, T.; Li, G.; Islam, M.R.; Fu, W.; Feng, B.; Tao, L.; Fu, G. Abscisic acid synergizes with sucrose to enhance grain yield and quality of rice by improving the source-sink relationship. BMC Plant Biol. 2019, 19, 525. [Google Scholar] [CrossRef] [PubMed]
26. Saeed, S. The combined effects of salinity and foliar spray of different hormones on some biological aspects, dry matter accumulation and yield in two varieties of indica rice differing in their level of salt tolerance. Proc. Natl. Acad. Sci. India Sect. B Biol. Sci. 2014, 84, 721–733. [Google Scholar]
27. Liu, X.X.; Wang, X.Y.; Yin, L.N.; Deng, X.P.; Wang, S.W. Exogenous application of gibberellic acid participates in up-regulation of lipid biosynthesis under salt stress in rice. Theor. Exp. Plant Physiol. 2018, 30, 335–345. [Google Scholar] [CrossRef]
28. Zhou, H.; Xia, D.; He, Y. Rice grain quality—Traditional traits for high quality rice and health-plus substances. Mol. Breed. 2019, 40, 1. [Google Scholar] [CrossRef]
29. Liu, X.; Zhong, X.; Liao, J.; Ji, P.; Yang, J.; Cao, Z.; Duan, X.; Xiong, J.; Wang, Y.; Xu, C.; et al. Exogenous abscisic acid improves grain filling capacity under heat stress by enhancing antioxidative defense capability in rice. BMC Plant Biol. 2023, 23, 619. [Google Scholar] [CrossRef] [PubMed]
30. Sun, X.; Bian, X.; Wang, J.; Chen, S.; Yang, R.; Li, R.; Xia, L.; Chen, D.; Fan, X. Loss of RSR1 function increases the abscisic acid content and improves rice quality performance at high temperature. Int. J. Biol. Macromol. 2023, 256, 128426. [Google Scholar] [CrossRef]
31. Lin, G.B.; Li, J.; Qian, C. Research progress on mitigative effect of exogenous substances on salt stress in rapeseed. Jiangsu Agric. Sci. 2024, 52, 1–10. [Google Scholar]
32. Hao, G.G.; Sun, Z.F.; Zhang, L.Q. A Research Overview of the Plant Resistance to Adverse Environment by Using Abscisic Acid. Chin. Agric. Sci. Bull. 2009, 25, 212–215. [Google Scholar]
33. Wang, X.; Ding, J.; Wang, J.; Han, L.; Tan, J.; Ge, X. Ameliorating saline-sodic soils: A global meta-analysis of field studies on the influence of exogenous amendments on crop yield. Land Degrad. Dev. 2024, 35, 3330–3343. [Google Scholar] [CrossRef]
Jin W, Ma G, Li L, Wei Z. Regulatory Effects of S-Abscisic Acid and Soil Conditioner on the Yield and Quality of Hybrid Rice Under Salt Stress. Agriculture. 2025; 15(3):277. https://doi.org/10.3390/agriculture15030277
Перевод статьи «Regulatory Effects of S-Abscisic Acid and Soil Conditioner on the Yield and Quality of Hybrid Rice Under Salt Stress» авторов Jin W, Ma G, Li L, Wei Z., оригинал доступен по ссылке. Лицензия: CC BY. Изменения: переведено на русский язык
Фото: freepik














Комментарии (0)