Сочетание ветра, влажности и высоты слоя атмосферы для снижения загрязнения при сжигании соломы
В настоящее время крупномасштабное сжигание является важным методом утилизации соломы в большинстве развивающихся стран. Чтобы проводить контролируемое сжигание, снижая при этом загрязнение воздуха, крайне важно изучить максимально возможный диапазон изменений метеоусловий. В данном исследовании была реализована трехлетняя программа мониторинга в Чанчуне — ключевом сельскохозяйственном районе Северо-Восточного Китая, серьезно страдающем от сжигания соломы.
Аннотация
Данные включали наземный мониторинг загрязняющих веществ, наземные наблюдения с помощью поляризационного лидара, а также наземные метеорологические факторы, такие как высота пограничного слоя атмосферы (ВПСА), относительная влажность (ОВ) и скорость ветра (СВ). Используя методологию поверхностей отклика (RSM), в этом исследовании были проанализированы ключевые метеорологические параметры для прогнозирования оптимального диапазона эффектов снижения выбросов. Результаты показали, что PM2.5 был основным загрязнителем в исследуемый период, особенно в нижних слоях атмосферы с марта по апрель, при этом в апреле концентрация PM2.5 резко возрастала из-за экспоненциального увеличения количества очагов горения. Кроме того, в эту фазу увеличивались средние значения СВ и ВПСА, тогда как ОВ снижалась. Однофакторный анализ подтвердил, что эти три фактора значительно влияют на концентрацию PM2.5. Модель прогнозирования взаимосвязей RSM (MET-PM2.5) установила корреляционное уравнение между метеорологическими факторами и уровнями PM2.5 и определила **оптимальное сочетание** метеорологических показателей: СВ (3,00–5,03 м/с), ОВ (30,00–38,30%) и ВПСА (0,90–1,45 км). Примечательно, что ОВ (33,1%) оказалась наиболее значимым влияющим фактором, при этом значение PM2.5 оставалось ниже 75 мкг/м³, когда все погодные показатели варьировались в пределах менее 20%. В заключение, эти результаты могут послужить ценными метеорологическими схемами отбора для улучшения политики в области контролируемого сжигания сельскохозяйственных остатков, направленной на минимизацию загрязнения от подобных видов деятельности.
1. Введение
Открытое сжигание на сельскохозяйственных полях является широко распространенным методом ведения сельского хозяйства во всем мире [1]. Оно служит экономически эффективным способом уменьшения количества растительных остатков, борьбы с грибковыми заболеваниями, насекомыми и сорняками, а также повышения плодородия почвы [2,3]. Однако в процессе сжигания биомассы в атмосферу выбрасываются различные загрязняющие вещества, такие как аэрозольные частицы, оксид углерода (CO), оксиды азота (NOx), аммиак (NH3), диоксид углерода (CO2) и летучие органические соединения (VOCs) [4]. В настоящее время сжигание растительных остатков на открытых полях признано значительным антропогенным источником, который сильно влияет на качество локального воздуха и вносит вклад в региональное смоговое загрязнение [5,6].
Учитывая неизбежную необходимость сжигания растительных остатков на современном этапе [7], исследователи предположили, что следует реализовывать хорошо разработанные планы контролируемого сжигания биомассы [8]. Фундаментально, контролируемое сжигание биомассы можно рассматривать как переход от нерегулируемой и спорадической практики сжигания к хорошо организованному подходу, направленному на максимизацию способности атмосферы Земли к самоочищению. Для достижения этой цели регулируемое сжигание ежегодно проводится по всему миру на протяжении десятилетий [9,10]. Например, в Соединенных Штатах примерно 1 миллион гектаров земли, включая пастбища и сельскохозяйственные угодья, ежегодно подвергаются контролируемому сжиганию в качестве меры по снижению риска пожаров [11]. В Китае сжигание биомассы в основном происходит в сельских районах, где планы сжигания обычно определяют требуемые метеорологические условия на основе региональных пороговых значений [12]. Недавние исследования показали смещение очагов сжигания соломы на открытых полях в Китае из центральных и юго-восточных регионов в северо-восточный регион [13]. Расположенный в центре Северо-Восточного Китая, Чанчунь является мегаполисом с миллионным населением и окружен обширными сельскохозяйственными угодьями. После 2018 года Чанчунь начал внедрять плановое открытое сжигание для смягчения неблагоприятных последствий сжигания соломы для качества воздуха [14]. Однако из-за низких температур и продолжительных холодных сезонов в регионе окно для сжигания соломы осенью является крайне коротким [15]. Следовательно, несмотря на внедрение планового сжигания, значительное количество соломы все еще сжигается фермерами весной перед посевным сезоном, что приводит к серьезному загрязнению [16]. Проводя долгосрочные наблюдательные исследования, становится возможным количественно оценить загрязнение воздуха, связанное с контролируемым сжиганием в регионах [17]. Однако ограничено количество исследований, которые уточняют метеорологические параметры с помощью долгосрочных наблюдательных данных для разработки сложных планов динамического контроля с целью оценки степени дальнейшего улучшения качества воздуха.
Несмотря на существование различных экологически чистых методов обращения с растительными остатками, сохраняющийся спрос на плановое сжигание растительных остатков остается неослабевающим, особенно в развивающихся странах [18]. Были проведены исследования для изучения осуществимости планового сжигания. Исследования были сосредоточены в первую очередь на описании характерных концентраций химических элементов в загрязнителях воздуха, выбрасываемых при сжигании соломы на открытых полях, и рассматривали факторы, связанные со свойствами рассеивания загрязняющих веществ. Молекулярные индикаторы, например, левоглюкозан и галактозан, были использованы для количественной оценки воздействия планового сжигания соломы [19,20]. Кроме того, путем объединения нескольких методов наблюдения, включая спутники, наземный мониторинг и беспилотные летательные аппараты, может быть рассчитано пространственное распространение смога, вызванного открытым сжиганием растительных остатков [21,22]. Воздействия сжигания растительных остатков на региональную атмосферную радиацию, метеорологию и климатические системы также были исследованы [23]. Более того, были использованы статистические методы для учета влияния метеорологических факторов (включая относительную влажность (RH), скорость ветра (WS), осадки и т.д.) на качество воздуха во время сжигания биомассы [24]. Наконец, было оценено, что комплексное использование соломенных остатков вместо их сжигания привело бы к снижению выбросов загрязняющих веществ в воздух [25]. Эти исследования в основном используют численное моделирование и вариации расчетных очагов пожаров для количественной оценки потенциальных изменений качества воздуха [26]. В целом, больше внимания было сосредоточено на влиянии исторических площадей сжигания биомассы и интенсивности сжигания на качество воздуха или на выгодах от правительственных мер по запрещению открытого сжигания соломы [27]. Однако отсутствуют исследования по разработке стратегий снижения загрязнения воздуха без изменения количества сжигаемой биомассы на крупных сельскохозяйственных угодьях. Исследования показали, что метеорологические факторы в атмосфере играют значительную роль в загрязнении атмосферы, особенно во время экстремальных погодных условий, таких как атмосферная стагнация или температурные инверсии. Более того, из-за сосредоточенности на сокращении объемов сжигания ограничены исследования по использованию метеорологических параметров для формулирования метеорологически чувствительных стратегий контроля. Эффективная координация метеорологических факторов с предписанными мерами имеет значительный потенциал для управления качеством воздуха со стороны правительственных органов.
Это исследование было сосредоточено на интенсивном периоде сжигания соломы в Чанчуне, провинция Цзилинь, с 2021 по 2023 год. Исследование углубилось в параметрические характеристики аэрозольных частиц, высоту пограничного слоя и метеорологические факторы в сценарии контролируемого сжигания в регионе. Воздействия открытого сжигания соломы и метеорологических взаимодействий на концентрации мелких твердых частиц были проанализированы с помощью однофакторного анализа. Кроме того, была использована методология поверхностей отклика для определения осуществимого диапазона параметров метеорологических факторов для снижения загрязнения воздуха. Цель этого исследования состоит в том, чтобы определить оптимальное сочетание метеорологических факторов и сформулировать соответствующие политические рекомендации с задачей максимизации эффективности утилизации соломы и минимизации неблагоприятных последствий загрязнения воздуха.
2. Материалы и методы
2.1. Район и период исследования
Город Чанчунь расположен в центральном регионе провинции Цзилинь, Китай, и охватывает ключевую сельскохозяйственную зону, как показано на Рисунке 1. Находясь в умеренном поясе, регион следует сезонному сельскохозяйственному циклу, где сельскохозяйственные культуры обычно собираются один раз в год в октябре, а обработка почвы и посадка культур для следующего сезона начинаются в апреле [28]. Минимальное сжигание соломы происходит во время осеннего урожая из-за неблагоприятных погодных условий, что приводит к концентрации деятельности по сжиганию биомассы, происходящей в основном в марте и апреле, непосредственно перед началом весеннего сева. Несмотря на внедрение Плана запрета открытого сжигания соломы в 2018 году, он запрещает сжигание только в пределах 5–10 км от городских районов и вдоль различных дорог, регулируя сжигание в других районах на основе конкретных временных рамок [29]. Обширное сжигание соломы в сочетании с широко распространенными сельскохозяйственными угодьями значительно влияет на местное качество воздуха в Цзилине. Ежедневное качество воздуха часто превышает китайские стандарты класса II, достигая уровней серьезного загрязнения после сбора урожая и перед периодом весенней вспашки следующего года, как зафиксировано в предыдущих исследованиях [7]. Это исследование фокусируется на периоде сжигания соломы за последние три года (2020–2023), известном как период сжигания биомассы (BBP), который происходит ежегодно с марта по апрель.
Рисунок 1. Расположение (а) Северо-Восточного Китая и (b) города Чанчунь в провинции Цзилинь, Китай. Примечание: область, обведенная красной линией, указывает на город Чанчунь; красные точки представляют станции экологического мониторинга; оранжевые треугольники обозначают метеорологические станции; а черные флаги обозначают наземные поляризационные лидарные системы.
2.2. Источники данных
Распределения активных пожаров и сельскохозяйственных угодий в провинции Цзилинь были объединены для выявления случаев сжигания соломы, где места возгораний в пределах сельскохозяйственных угодий были классифицированы как открытое сжигание соломы. Были использованы спутниковые данные из Информационной системы управления пожарными ресурсами (FIRMS), включая ежедневные продукты MODIS C6 и VIIRS V1 [30], полученные со спутников Terra и Aqua. Данные наземного мониторинга индекса качества воздуха (AQI) и концентраций загрязнителей атмосферы (PM2.5, PM10, SO2, NO2 и CO) для каждого города провинциального уровня были получены из Провинциального центра экологического мониторинга Цзилиня. Кроме того, данные о метеорологических условиях, такие как среднесуточная скорость ветра (м/с), среднесуточная относительная влажность (%) и суточное количество осадков (мм) для каждого города, были предоставлены Провинциальной метеорологической службой Цзилиня. Эти наборы данных были совместно использованы для всесторонней оценки пространственных и временных вариаций качества воздуха.
Наземная поляризационная лидарная система (PL), конкретно HKLIDAR-V, была установлена на кампусе Северо-восточного института географии и агроэкологии Китайской академии наук (44°00′ с.ш., 125°25′ в.д.) в Чанчуне, Китай. Работая с лазерным излучателем с длиной волны 532 нанометра (Jilin Hongke Photonics Corporation, Ляоюань, Китай), система имеет разрешение дальности 15 м и время накопления 20 с, с мертвой зоной от 150 до 200 м. В течение своей операционной фазы система PL испускает поляризованный свет в атмосферу через поляризационный светоделитель [31]. Затем телескоп захватывает обратно рассеянный свет, разделяя его на поперечно-поляризованные и параллельно-поляризованные компоненты. Затем алгоритм Фернальда [32] используется для получения профилей коэффициента аэрозольного ослабления, предполагая, что атмосфера состоит из двух составляющих: аэрозолей и молекул воздуха [33]. Чтобы оценить неопределенность, касающуюся полученных значений коэффициента ослабления, для уравнения извлечения был использован принцип распространения гауссовой ошибки [34]. Оценка неопределенности коэффициента ослабления дыма включает различные элементы, включая неопределенность, связанную с вычислением коэффициента обратного рассеяния дыма (от 15% до 20%), отношение лидарного радиолокационного сигнала (с неопределенностью 15%) и шум сигнала. Эти аспекты в совокупности приводят к общему уровню неопределенности приблизительно 27% для расчетного коэффициента ослабления дыма [35].
Лидарная система принимает мощность обратного рассеянного эха от атмосферы на высоте r (км). Чтобы зафиксировать изменения концентрации аэрозоля на разных высотах, эхо-сигналы P(r)r² калибруются с использованием квадрата расстояния лидара. Этот метод калибровки был задокументирован Хупером и Элорантой [36]. В присутствии инверсионного слоя аэрозольные частицы имеют тенденцию накапливаться в пограничном слое планеты (PBL). В результате плотность аэрозоля меняется между свободной атмосферой и PBL. Эти изменения могут быть отражены в изменении градиента P(r)r², который обозначается как D(r). Наиболее значительное изменение этого градиента соответствует высоте PBL:
2.3. Однофакторный анализ и методология поверхностей отклика
Чтобы исследовать влияния WS, высоты пограничного слоя планеты (PBLH) и RH на концентрацию PM2.5 при различных сценариях сжигания биомассы, был проведен однофакторный анализ путем вычисления средних значений очагов пожаров в пределах исследуемой области. Очаги пожаров, превышающие или падающие ниже этого среднего значения, были соответствующим образом категоризированы в группы с высоким и низким пиковым периодом сжигания. С помощью анализа трех метеорологических переменных были исследованы потенциальные корреляции между ними. Основываясь на результатах однофакторного анализа, эксперименты были разработаны с использованием принципа проектирования Бокса-Бенкена для оценки комбинированных эффектов множества независимых переменных. Методология поверхностей отклика была использована для анализа этих эффектов, поскольку она позволяет понять интерактивные воздействия переменных на общую производительность и обеспечивает систематическую оценку их соответствующих уровней значимости [37]. Этот подход получил широкое признание в различных областях в последние годы. В этом исследовании концентрация PM2.5 была выбрана в качестве основной целевой переменной, учитывая ее значимость для классификации качества воздуха в Цзилине в течение исследуемого периода. Она служит индикатором для понимания комбинированного влияния открытого сжигания соломы и метеорологических факторов на качество воздуха. Целью однофакторного анализа является исследование влияния различных параметров окружающей среды при разном количестве очагов пожаров. Изначально мы сосредоточились на сценариях, где ежедневное количество очагов пожаров было ниже регионального среднего значения. В таких случаях мы сначала выбрали набор данных с RH 45%, PBLH 1.2 км и WS в диапазоне от 0 до 8 м/с (с интервалом 1 м/с) для анализа подгонки. Затем мы изменяли диапазон RH от 25% до 65% (с шагом 5%), поддерживая PBLH на уровне 1.2 км и WS на уровне 4 м/с, повторно выбирая данные и выполняя анализ подгонки. Затем мы зафиксировали RH на уровне 45% и установили диапазон PBLH от 0.8 км до 1.6 км (с шагом 0.1 км), при WS, остающейся на уровне 4 м/с, для выбора данных и анализа подгонки. Наконец, когда ежедневное количество очагов пожаров превышало региональное среднее значение, мы использовали те же настройки параметров и подход к анализу для всестороннего понимания влияния параметров окружающей среды на распределение концентрации PM2.5 при различных сценариях количества очагов пожаров. Анализ завершился разработкой трехмерной методологии поверхностей отклика (RSM) и соответствующих математических моделей. Производительность этих моделей была оценена с помощью таких метрик, как коэффициент детерминации (R²) и среднеквадратичная ошибка (RMSE) [38]. Кроме того, с помощью этих моделей были вычислены оптимальные метеорологические условия. Как однофакторные эксперименты, так и моделирование поверхностей отклика были проведены с использованием программного обеспечения SAS 9.4, что обеспечило строгость и точность результатов.
2.4. Обратная траектория
Оценка обратных траекторий является общеприменяемой методикой для определения региона-источника и отслеживания атмосферного движения загрязнителей [39]. Для этой цели была использована гибридная однозарядная лагранжева интегрированная модель траекторий (HYSPLIT) для вычисления траекторий переноса загрязнителей воздуха во время эпизодов сжигания соломы [40]. Метеорологические данные для модели поступили из Глобальной системы ассимиляции данных (GDAS), предоставленной Национальным управлением океанических и атмосферных исследований (NOAA), с пространственным разрешением 1.0° × 1.0°. В этом исследовании мы вычислили обратные траектории на высоте 500 м над станцией экологического мониторинга Чанчуня и определили основные кластеры обратных траекторий для апреля каждого года с 2021 по 2023 год [41]. Этот подход был направлен на минимизацию влияния поверхностной турбулентности.
3. Результаты
3.1. Вариации PM и коэффициентов аэрозольного ослабления
Среднесуточные концентрации PM2.5 и PM10 в районе Чанчуня с 2021 по 2023 год показаны на Рисунке 2. Хотя большинство точек данных попадают в пределы эталонного диапазона китайских стандартов качества воздуха, количественный анализ показывает значительную тенденцию: с февраля по апрель концентрации PM10 и PM2.5 часто превышали пороги 150 мкг/м³ и 75 мкг/м³ соответственно, ухудшая загрязнение твердыми частицами. В частности, март и апрель оказались наиболее сильно загрязненными периодами, причем значительное количество точек с высокими значениями PM10 было сосредоточено в основном в диапазоне концентраций 200–350 мкг/м³. Примечательно, что в апреле точки с высокими значениями PM2.5 были более заметны, а их концентрации приближались к концентрациям PM10, что указывает на то, что мелкие твердые частицы стали основным источником загрязнения твердыми частицами в этот период.
Рисунок 2. Распределение суточных концентраций PM2.5 и PM10 в Чанчуне в (a) феврале, (b) марте и (c) апреле с 2021 по 2023 год (красная область представляет эталонный диапазон китайских стандартов качества воздуха, оранжевый круг изображает основную область высокой концентрации для PM10, тогда как серый круг указывает на основную область высокой концентрации для PM2.5).
На основе непрерывных данных мониторинга с лидара в этом исследовании был проведен детальный анализ коэффициентов аэрозольного ослабления в диапазоне высот 0.2–1 км с февраля по апрель 2023 года (Рисунок 3). Во-первых, в пределах диапазона высот 0.2 км средний коэффициент ослабления оставался стабильным в диапазоне 0.4–0.6 км⁻¹ с февраля по апрель. Это явление может быть тесно связано со специфической структурой атмосферного пограничного слоя. Кроме того, с увеличением высоты коэффициенты ослабления в диапазоне высот 1 км показали значительную тенденцию к снижению, что дополнительно подтверждает важное влияние структуры атмосферного пограничного слоя на распределение аэрозолей. При анализе данных суточных вариаций внимание было уделено изменениям коэффициентов ослабления в нижних слоях атмосферы. Результаты показали, что коэффициенты ослабления в нижних слоях атмосферы оставались на относительно высоких уровнях в течение всего дня, особенно в феврале, где скорость снижения коэффициента аэрозольного ослабления с уменьшением высоты была медленной, возможно, из-за неблагоприятных условий рассеивания в феврале. По сравнению с этим, коэффициенты ослабления в нижних слоях атмосферы в марте и апреле показали определенные различия, причем коэффициент ослабления в марте был немного выше, чем в апреле, и самая низкая точка коэффициента ослабления в марте составляла приблизительно 0.5 км⁻¹. Примечательно, что в течение периода планового сжигания в апреле стандартное отклонение коэффициента ослабления значительно увеличилось, что указывает на резкое увеличение концентрации аэрозоля в краткосрочной перспективе. Такие резкие колебания могут оказывать значительное влияние на качество воздуха. Дополнительно, в данных мониторинга за март была область с высоким значением стандартного отклонения коэффициента ослабления в диапазоне высот 1.6–2 км, что может быть связано с частыми пыльными событиями в этом месяце.
Рисунок 3. Вертикальная структура и суточная вариация оптического коэффициента аэрозольного ослабления в (a,b) феврале, (c,d) марте и (e,f) апреле 2023 года в городе Чанчунь.
3.2. Анализ очагов пожаров и метеорологических условий
В предпосевной период с марта по апрель 2021–2023 годов в провинции Цзилинь произошли крупномасштабные концентрированные случаи сжигания соломы, которые были в основном сосредоточены в конце апреля. Хотя количество очагов пожаров увеличивалось с февраля по март, темп роста был относительно медленным. Примечательно, что были значительные различия в кумулятивном количестве очагов пожаров в разные годы, что в основном проявлялось как резкое увеличение кумулятивного количества очагов пожаров соломы после наступления апреля, причем количество очагов пожаров быстро увеличивалось более чем на 1000 в течение 2–4 дней (Рисунок 4a). Это быстрое увеличение очагов пожаров не только создает огромное давление на управление окружающей средой, но также может привести к серьезному загрязнению воздуха. Несмотря на внедрение политики планового сжигания в провинции Цзилинь, численные изменения очагов пожаров в последние годы не показали линейную тенденцию роста, а скорее экспоненциальную тенденцию роста. По сравнению с этим, эффективность контроля в 2022 и 2023 годах улучшилась по сравнению с 2021 годом, причем последний достиг кумулятивного количества в 3000 очагов пожаров. Более того, согласно спутниковым данным мониторинга, после апреля локальные значения мощности радиационного излучения пожаров (Frp) в северо-западном регионе достигли выше 40 мВт, что указывает на значительное давление загрязнения атмосферы от сжигания соломы в северо-западном регионе Чанчуня, когда ветер дует с северо-запада (Рисунок 4b,c). Кроме того, на основе анализа обратных траекторий, проведенного станцией экологического мониторинга Чанчуня, было определено, что основными источниками траекторий воздушных потоков являются северо-западные и юго-западные районы в течение апреля каждого года. Это открытие дополнительно подтверждает прямое влияние сжигания соломы на концентрации PM2.5 (Рисунок 5).
Рисунок 4. Вариации (a) количества очагов пожаров в Чанчуне с февраля по апрель 2021–2023 годов и пространственные распределения мощности радиационного излучения пожаров (Frp) в (b) марте и (c) апреле.
Рисунок 5. Анализ обратной траектории (6 кластеров), проведенный для станции экологического мониторинга Чанчуня в апреле каждого года в течение 2021 (a), 2022 (b) и 2023 (c). Числа на каждой траектории указывают на частоту возникновения в течение месяца.
При рассмотрении метеорологических условий для сжигания соломы в районе Чанчуня, WS является ключевым фактором (Рисунок 6a). Из-за довольно схожих медианных скоростей ветра в марте и апреле (3.35 м/с и 4 м/с соответственно) и в целом более высоких скоростей ветра, наблюдаемых в эти месяцы, оба подходят для деятельности по плановому сжиганию. Однако относительно более высокая средняя скорость ветра в апреле благоприятствует рассеиванию загрязнителей, делая условия рассеивания более благоприятными по сравнению с мартом (Рисунок 6a). В течение исследуемого периода с февраля по апрель, по мере перехода от зимы к весне, PBLH показывает тенденцию к увеличению. В частности, медианная PBLH в феврале составляла 1.03 км, тогда как в апреле это значение увеличилось до 1.3 км (Рисунок 6b). Примечательно, что RH в апреле относительно низкая, показывая значительное снижение по сравнению с февралем, со среднемесячным значением приблизительно 40% (Рисунок 6c).
Рисунок 6. Месячные вариации (a) скорости ветра (WS), (b) высоты пограничного слоя планеты (PBLH) и (c) относительной влажности (RH) в Чанчуне с февраля по апрель 2021–2023 годов.
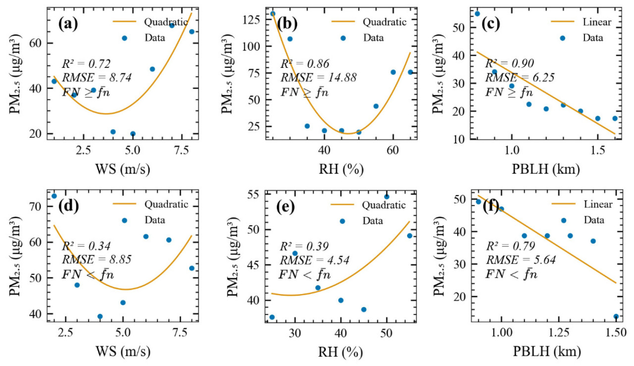
3.3. Взаимодействия между сжиганием биомассы и метеорологическими условиями в отношении PM2.5
Когда количество очагов пожаров падает ниже среднесуточного значения, влияние WS на концентрацию PM2.5 проявляет отличительную картину. Как показано на Рисунке 7a, концентрация PM2.5 уменьшается с увеличением WS, когда скорость ветра ниже 4 м/с. Однако, как только WS превышает 4 м/с, концентрация PM2.5 начинает расти. Поэтому, чтобы смягчить загрязнение воздуха, для дальнейшей оптимизации рекомендуется диапазон WS 3–7 м/с. RH также значительно влияет на концентрацию PM2.5. Как показано на Рисунке 7b, когда количество очагов пожаров ниже среднесуточного значения и RH ниже 50%, концентрация PM2.5 уменьшается с увеличением RH. Однако, как только RH превышает 50%, концентрация PM2.5 начинает расти. На основе этих наблюдений диапазон RH 30–50% выбран в качестве цели оптимизации. Рисунок 7c иллюстрирует взаимосвязь между высотой пограничного слоя и концентрацией PM2.5. Когда количество очагов пожаров ниже среднесуточного значения, концентрация PM2.5 уменьшается с увеличением PBLH. Учитывая среднюю вариацию пограничного слоя в районе Чанчуня, диапазон PBLH 0.9–1.5 км выбран для дальнейшей оптимизации. Рисунок 7d–f показывают влияние очагов пожаров на корреляцию между концентрацией PM2.5 и метеорологическими факторами. Когда количество очагов пожаров превышает среднесуточное значение, включение очагов пожаров приводит к уменьшению значения R². Эти результаты показывают, что человеческие факторы значительно влияют на концентрацию PM2.5 и, следовательно, уменьшают корреляцию между метеорологическими факторами и концентрацией PM2.5. В итоге, с помощью анализа таких факторов, как WS, RH, PBLH и очаги пожаров, их влияние на концентрацию PM2.5 может быть всесторонне понято, что обеспечивает научную основу для последующих усилий по контролю загрязнения воздуха.
Рисунок 7. Корреляции между различными факторами (т.е. скоростью ветра (WS), относительной влажностью (RH) и высотой пограничного слоя планеты (PBLH)) и концентрацией PM2.5 в периоды сжигания соломы, когда очаги пожаров ниже (a–c) и выше (d–f) среднего уровня.
3.4. Варианты метеорологического контроля для смягчения смогового загрязнения от сжигания соломы
На основе вышеупомянутых результатов качественного анализа были выбраны среднесуточные значения доминирующих метеорологических факторов для создания модели прогнозирования взаимосвязей RSM (MET-PM2.5) между метеорологическими факторами и концентрацией PM2.5 в период сжигания соломы в Чанчуне. Экспериментальные результаты модели прогнозирования MET-PM2.5 RSM, созданной с помощью SAS, демонстрируют, что уравнение соответствует требованиям моделирования и имеет значительную линейную взаимосвязь. Существует множество влияющих факторов для концентрации PM2.5, но метеорологические факторы играют относительно ключевую роль. Поэтому мы рассмотрели WS, RH и PBLH, которые сильно влияют на концентрацию PM2.5.
где Z представляет концентрацию PM2.5 (мкг/м³); X1 обозначает WS (м/с); X2 представляет RH (%); и X3 представляет PBLH (км).
Кроме того, чтобы подтвердить надежность и чувствительность модели, была проведена оценка производительности с использованием сводной статистики, включая коэффициент детерминации (R²), прогнозный (Pred) R-квадрат, C.V. % и F-тест, как показано в Таблице 1. Согласно результатам, надежность (R²) модели прогнозирования MET-PM2.5 RSM составляет >0.98, что указывает на то, что 98% изменчивости отклика могут быть объяснены этими моделями. Прогнозный R-квадрат модели больше 80%, что указывает на то, что модель может объяснить более 80% дисперсии целевой переменной. Модель демонстрирует высокую точность с коэффициентом вариации (C.V. %) 2.33%. P-значение модели составляет <0.0001, что указывает на то, что модели соответствуют экспериментальным данным и являются эффективными и значимыми.
Таблица 1. Оценка производительности модели методологии поверхностей отклика (RSM) для уравнения PM2.5 с помощью сводной статистики.
Чтобы проанализировать влияние метеорологических условий в период сжигания соломы на улучшение качества воздуха, одновременно исключая такие факторы, как распространение пыли в регионе, была определена трехлетняя средняя модель RSM на трехмерной диаграмме рассеяния, показывающей взаимосвязи между RH, WS, PBLH и концентрацией PM2.5 (Рисунок 8). Затем эта модель была использована для прогнозирования эффектов изменений различных метеорологических факторов на качество воздуха в период сжигания соломы. Хотя это может привести к неопределенным результатам, выполнение такой работы полезно для планирования деятельности по сжиганию с метеорологической точки зрения. Кроме того, с помощью анализа с использованием программного обеспечения SAS из уравнения модели RSM было установлено, что оптимальные метеорологические условия для достижения наименьшей концентрации PM2.5 следующие: диапазон WS составлял 3.00–5.03 м/с, RH – 30.00–38.30%, а PBLH – 0.90–1.45 км. Применяя вышеуказанные оптимизированные условия для численного отбора, была получена прогнозируемая концентрация PM2.5 ниже 75 мкг/м³.
Рисунок 8. Интерактивные эффекты (a–c) метеорологических условий (т.е. скорости ветра (WS), относительной влажности (RH) и высоты пограничного слоя планеты (PBLH)) на концентрации PM2.5 в методологии поверхностей отклика (RSM) в городе Чанчунь за февраль, март и апрель 2021–2023 годов.
На основе установленного уравнения RSM были тщательно разработаны три набора тестов чувствительности для выявления нюансированных характеристик реакции различных метеорологических факторов на концентрацию PM2.5. В частности, средние значения RH, WS и PBLH в пиковые месяцы сжигания соломы с 2021 по 2023 год, особенно в апреле, были специально выбраны в качестве исследовательского фона для обеспечения надежной научной основы для систем раннего предупреждения о загрязнении PM2.5. Каждый набор тестов тщательно анализировал конкретный фактор, удерживая постоянными среднесуточные значения остальных влияющих факторов, что обеспечивало точность экспериментов. Используя фактические наблюдаемые значения в качестве эталона, был проведен двойной тест для фактора чувствительности с использованием равных приращений и уменьшений. Каждое изменение было точно установлено на уровне ±20%, ±40% и ±60% относительно наблюдаемых значений, формируя всесторонний массив интервалов возмущения для тщательной оценки влияния каждого фактора на концентрацию PM2.5. Рисунок 9a–c четко иллюстрирует тенденции изменения концентрации PM2.5 в тестах чувствительности. Тщательный анализ экспериментальных данных показал, что среднее влияние каждого фактора на концентрацию PM2.5 в пределах 50% диапазона следует определенному порядку: RH (33.1%) является преобладающим влияющим фактором, за ней следует WS (10.8%), тогда как влияние PBLH (6.9%) остается относительно скромным. Примечательно, что во время модуляции RH от −60% и +60% до 0% от наблюдаемого значения наблюдается выраженная нисходящая тенденция общей концентрации PM2.5, даже превышающая двукратное снижение. Напротив, колебания PBLH оказывают сравнительно мягкое воздействие на концентрацию PM2.5. Снижения PBLH относительно апрельского среднего значения вызывают увеличение концентрации PM2.5, однако его эффект бледнеет по сравнению с эффектами RH и WS. Дополнительно, когда скорость изменения каждого метеорологического фактора составляет менее 20%, результирующая вариация концентрации PM2.5 находится в пределах 15% диапазона.
Рисунок 9. (a–c) Тест чувствительности среднесуточных концентраций PM2.5 к изменениям доминирующих метеорологических факторов (т.е. скорости ветра (WS), относительной влажности (RH) и высоты пограничного слоя планеты (PBLH)).
4. Обсуждение
Несколько исследований показали, что с февраля по апрель, по мере увеличения PBLH, приземный коэффициент ослабления демонстрирует нисходящую тенденцию, что указывает на постепенное уменьшение содержания атмосферного аэрозоля в этот период. Это снижение положительно коррелирует с PBLH [33,42,43]. Однако наше исследование наблюдало противоположную картину в Чанчуне (Рисунок 3), где приземные концентрации твердых частиц возрастали синхронно с PBLH. Эта аномалия объясняется крупномасштабным открытым сжиганием растительных остатков в регионе с марта по апрель. Чтобы эффективно смягчить неблагоприятные последствия сжигания растительных остатков для качества воздуха, в этом исследовании был разработан метод определения оптимального сочетания метеорологических факторов в типичных сельскохозяйственных городах Северо-Восточного Китая. Эта схема отбора была создана с помощью однофакторных экспериментов и трехмерной методологии поверхностей отклика, которая всесторонне анализирует метеорологические условия и предоставляет оценки производительности для гарантии достоверности результатов. Следовательно, метод способен тщательно анализировать влияние как метеорологических условий, так и сжигания соломы на загрязнители воздуха, предоставляя тем самым научное обоснование для формулирования политики контролируемого сжигания соломы в этом районе.
Результаты анализа данных показали, что в периоды сжигания соломы основные метеорологические факторы всесторонне влияют на загрязнение атмосферы. На основе однофакторного анализа это исследование окончательно выявило заметные эффекты WS, RH и PBLH на концентрации PM2.5, особенно когда количество очагов пожаров было ниже среднесуточного значения. Эти результаты согласуются с предыдущими исследованиями, проведенными Cai и Yu [44] и Meng и др. [45]. В частности, при низких уровнях WS (ниже 4 м/с) переменная PM2.5 уменьшалась по мере увеличения WS, что предполагает, что рассеивание твердых частиц затруднялось относительно застойными погодными условиями [46]. И наоборот, в диапазонах высоких WS (выше 4 м/с) наблюдалась противоположная тенденция из-за потенциального регионального переноса загрязнителей [47]. Yin и др. [48] провели исследование в Пекине и обнаружили аналогичную взаимосвязь между параметрами PM2.5 и метеорологией. Более того, мы обнаружили, что когда RH была менее 50%, концентрация PM2.5 уменьшалась по мере увеличения RH. Эта тенденция может быть связана с переносом пыли из засушливых западных регионов. Однако когда RH превышала 50%, наблюдалась противоположная тенденция. Эта последняя тенденция, вероятно, была вызвана эффектом гигроскопического роста аэрозольных частиц [49]. Увеличение PBLH приводило к более низким значениям PM2.5, поскольку более высокие пограничные слои обеспечивали лучшие условия рассеивания [50]. Когда количество очагов пожаров превышало среднесуточное значение, включение этих очагов пожаров ослабляло корреляцию между погодой и PM2.5. Это открытие подчеркивает важность учета воздействия сжигания соломы при выборе метеорологических сценариев. Однако часто именно результат совместного действия множества факторов влияет на метеорологическое воздействие на качество воздуха. Например, He и др. [51] сообщили, что низкие WS и PBLH могут способствовать накоплению приземного PM2.5, тогда как Li и др. [52] сообщили, что более низкая WS, более высокая RH и отсутствие осадков были тесно связаны с большим накоплением PM2.5 осенью и зимой в Цзилине. Поэтому в этом исследовании было введено уравнение MET-PM2.5 для анализа математических взаимосвязей между этими тремя ключевыми метеорологическими факторами и концентрацией PM2.5.
Математические модели могут быть использованы для углубленного изучения корреляций между множеством метеорологических параметров и загрязнителями атмосферы. На основе тестов чувствительности был разработан метод отбора для выявления оптимальных погодных сочетаний. В этом исследовании была сформулирована надежная модель прогнозирования MET-PM2.5 RSM с отличными результатами подгонки. Это подчеркивает пригодность модели поверхности отклика для оптимизации метеорологических сценариев – метода, который уже был применен в различных областях, таких как улучшение процессов и техническая доработка [53,54]. Используя это уравнение, мы получили оптимальные диапазоны для RH (30.00–38.30%), WS (3.00–5.03 м/с) и PBLH (0.90–1.45 км) для поддержания низких уровней PM2.5 в течение сезона сжигания соломы. Аналогично, Zhou и др. [55] использовали различные диапазоны RH и WS для прогнозирования диапазона PM2.5. Кроме того, для выявления факторов, оказывающих наибольшее влияние на загрязнение в этом исследовании, был принят тест чувствительности – метод, подтвержденный в предыдущих исследованиях. Например, Wen и др. [14] провели чувствительные эксперименты для моделирования эффективности различных мер контроля сжигания соломы в улучшении качества воздуха, а Xu и др. [56] использовали этот подход для изучения влияния погодных факторов и человеческой деятельности на загрязнение PM2.5 с 2016 по 2020 год. Результаты показали, что RH (33.1%) оказывала наиболее значительное влияние на концентрацию PM2.5, за ней следовали WS (10.8%) и PBLH (6.9%), что согласуется с предыдущими выводами [57]. Примечательно, что когда RH превышала 60%, наблюдалась тенденция к более чем двукратному увеличению общего значения PM2.5. Это открытие связано с потенциальными источниками воздушных течений весной в Северо-Восточном Китае [12]. В частности, при более низкой RH загрязнители переносятся из засушливых северо-западных регионов [58], тогда как при более высокой RH ситуацию усугубляют увеличение локальных выбросов от неполного сжигания соломы и перенос юго-восточных морских бризов [59]. Следовательно, мы можем определять соответствующие метеорологические сочетания на основе численных диапазонов и значимости различных погодных факторов, что имеет решающее значение для снижения интенсивности загрязнения воздуха в периоды выжигания сельскохозяйственных остатков в Северо-Восточном Китае.
На основе оптимальных метеорологических условий, выявленных с помощью модели MET-PM2.5, крайне важно разработать индивидуальные программы контролируемого сжигания соломы. Различные страны (например, США, Великобритания и Канада) уже внедрили инициативы по плановому сжиганию. Например, США продвигают принятие планов управления дымом (SMPs) штатами и племенами, направленных на минимизацию влияния выбросов загрязнителей воздуха на качество воздуха, признавая при этом открытое сжигание законной практикой ведения сельского хозяйства для поддержания производства и защиты общественного здоровья [16]. Северо-Восточный Китай также стал свидетелем заметных достижений в плановом выжигании растительных остатков [60], о чем свидетельствует продолжающееся применение политики контроля двух регионов, которая включает зоны запрета сжигания и зоны ограниченного спекания [12,61]. Дополнительно, Wen и др. [62] предложили сложные управленческие рекомендации для региона с помощью тщательного многофакторного анализа воздействия. Эти рекомендации включают учет метеорологических условий и транспортных маршрутов разных городов, определение пространственных масштабов контроля на основе различных расстояний транспортировки, а также установление интервалов сжигания и ограничений на площади сжигания. Эти планы всесторонне учитывают текущую практику сжигания соломы, факторы рассеивания загрязнителей и уровни загрязнения воздуха, используя модели для определения наиболее подходящего времени и мест сжигания для достижения целей улучшения качества воздуха [29,63,64]. Поэтому в этом исследовании используется уравнение MET-PM2.5, полученное из модели RSM, для количественной оценки оптимального диапазона метеорологических факторов, благоприятствующих сжиганию, и для изучения регуляторных предложений по сжиганию биомассы в регионе, включая время и партии выжигания.
Хотя разработанная в этом исследовании модель способна определять оптимальное сочетание метеорологических факторов, неопределенности сохраняются. Во-первых, подход наземного мониторинга в основном фиксирует воздействие в пределах городских участков, не учитывая исследование пространственных распределений загрязнителей и регионального переноса. Исследования показали, что межрегиональный перенос может существенно влиять на локальные уровни загрязнителей [39,65]. Во-вторых, вариации скорости ветра на разных высотах также влияют на перенос и осаждение твердых частиц. Yang и др. [66] сообщили, что воздушные течения на различных высотах (500 м, 1500 м и 3000 м) по-разному влияют на смоговую погоду, причем воздушное течение на высоте 500 м вносит наиболее значительный вклад в загрязнение воздуха. Более того, эта модель не учитывает физико-химические реакции загрязнителей атмосферы, которые могут влиять на образование мелких твердых частиц. Эти процессы включают обратную связь аэрозоль-облако-радиация, производство вторичных органических аэрозолей (SOAs), увеличение органических аэрозолей (OAs) из летучих базовых наборов (VBSs) и другие, все из которых влияют на концентрации PM2.5 [67,68]. Поэтому дальнейшие исследования, такие как интеграция численных моделей (например, WRF-Chem и WRF-CMAQ) для прогнозирования и оценки пространственно-временного распределения PM2.5 при различных метеорологических сценариях, являются необходимыми [69,70]. В конечном итоге, методология анализа для оценки влияния погодных условий на значения загрязнителей во время сжигания соломы должна быть усовершенствована, чтобы предоставлять более точную информацию для принятия решений в Северо-Восточном Китае.
5. Выводы
На основе всестороннего анализа наземных наблюдений (включая PM2.5, WS, RH и PBLH) и спутниковых данных об очагах пожаров в Чанчуне за период с 2021 по 2023 год в этом исследовании была сформулирована модель MET-PM2.5 для количественной оценки влияния метеорологических факторов на концентрации PM2.5. Используя эту модель, мы определили, что оптимальное сочетание метеорологических условий для минимизации уровня PM2.5 характеризуется RH между 30.00% и 38.30%, WS в диапазоне от 3.00 до 5.03 м/с и PBLH от 0.90 до 1.45 км. Тесты чувствительности дополнительно показали, что для соблюдения стандартов качества воздуха (класс II, PM2.5: 75 мкг/м³) допустимый диапазон вариации для каждого из этих трех метеорологических показателей не должен превышать 20%. В конечном итоге, эта методология определяет идеальную комбинацию погодных параметров, прокладывая путь к улучшенным стратегиям управления, которые имеют решающее значение для смягчения загрязнения воздуха в течение сезонов планового выжигания сельскохозяйственных остатков. Тем не менее, этот подход все еще сталкивается с неопределенностями, особенно касающимися пространственного распределения загрязнителей, регионального переноса и физико-химических реакций загрязнителей атмосферы. Следовательно, потенциальные усовершенствования включают включение численных симуляций для уточнения процесса вычислений и учет физико-химического поведения аэрозолей.
Ссылки
1. Gao, R.; Jiang, W.; Gao, W.; Sun, S. Emission inventory of crop residue open burning and its high-resolution spatial distribution in 2014 for Shandong province, China. Atmos. Pollut. Res. 2017, 8, 545–554. [Google Scholar] [CrossRef]
2. McCarty, J.L. Remote sensing-based estimates of annual and seasonal emissions from crop residue burning in the contiguous United States. J. Air Waste Manag. Assoc. 2011, 61, 22–34. [Google Scholar] [CrossRef]
3. Wang, G.; Luo, Z.; Wang, E.; Zhang, W. Reducing greenhouse gas emissions while maintaining yield in the croplands of Huang-Huai-Hai Plain. Agric. For. Meteorol. 2018, 260–261, 80–94. [Google Scholar] [CrossRef]
4. Wiedinmyer, C.; Quayle, B.; Geron, C.; Belote, A.; McKenzie, D.; Zhang, X.Y.; O’Neill, S.; Wynne, K.K. Estimating emissions from fires in North America for air quality modeling. Atmos. Environ. 2006, 40, 3419–3432. [Google Scholar] [CrossRef]
5. Zhang, G.; Li, J.; Li, X.D.; Xu, Y.; Guo, L.L.; Tang, J.H.; Lee, C.S.L.; Liu, X.; Chen, Y.J. Impact of anthropogenic emissions and open biomass burning on regional carbonaceous aerosols in South China. Environ. Pollut. 2010, 158, 3392–3400. [Google Scholar] [CrossRef]
6. Qin, Y.; Xie, S.D. Historical estimation of carbonaceous aerosol emissions from biomass open burning in China for the period 1990–2005. Environ. Pollut. 2011, 159, 3316–3323. [Google Scholar] [CrossRef]
7. Zhao, H.; Zhang, X.; Zhang, S.; Chen, W.; Tong, D.Q.; Xiu, A. Effects of agricultural biomass burning on regional haze in China: A review. Atmosphere 2017, 8, 88. [Google Scholar] [CrossRef]
8. Giuditta, E.; Coenders-Gerrits, A.M.J.; Bogaard, T.A.; Wenninger, J.; Greco, R.; Rutigliano, F.A. Measuring changes in forest floor evaporation after prescribed burning in Southern Italy pine plantations. Agric. For. Meteorol. 2018, 256–257, 516–525. [Google Scholar] [CrossRef]
9. Clarke, H.; Tran, B.; Boer, M.M.; Price, O.; Kenny, B.; Bradstock, R. Climate change effects on the frequency, seasonality and interannual variability of suitable prescribed burning weather conditions in south-eastern Australia. Agric. For. Meteorol. 2019, 271, 148–157. [Google Scholar] [CrossRef]
10. Zhang, M.; Wang, W.; Tang, L.; Heenan, M.; Wang, D.; Xu, Z. Impacts of prescribed burning on urban forest soil: Minor changes in net greenhouse gas emissions despite evident alterations of microbial community structures. Appl. Soil Ecol. 2021, 158, 103780. [Google Scholar] [CrossRef]
11. Theodoritsi, G.N.; Posner, L.N.; Robinson, A.L.; Yarwood, G.; Koo, B.; Morris, R.; Mavko, M.; Moore, T.; Pandis, S.N. Biomass burning organic aerosol from prescribed burning and other activities in the United States. Atmos. Environ. 2020, 241, 117753. [Google Scholar] [CrossRef]
12. Fu, J.; Song, S.T.; Guo, L.; Chen, W.W.; Wang, P.; Duanmu, L.J.; Shang, Y.J.; Shi, B.W.; He, L.Y. Interprovincial Joint Prevention and Control of Open Straw Burning in Northeast China: Implications for Atmospheric Environment Management. Remote Sens. 2022, 14, 2528. [Google Scholar] [CrossRef]
13. Qin, C.; Bi, Y.Y.; Gao, C.Y.; Wang, Y.J.; Zhou, K.; Wang, Y. Management and effect of straw burning prohibition in China. J. China Agric. Univ. 2019, 24, 181–189. [Google Scholar]
14. Wen, X.; Chen, W.; Chen, B.; Yang, C.; Tu, G.; Cheng, T. Does the prohibition on open burning of straw mitigate air pollution? An empirical study in Jilin Province of China in the post-harvest season. J. Environ. Manag. 2020, 264, 110451. [Google Scholar] [CrossRef]
15. Zhou, Z.; Shi, H.; Fu, Q.; Li, T.; Gan, T.Y.; Liu, S.; Liu, K. Is the cold region in Northeast China still getting warmer under climate change impact? Atmos. Res. 2020, 237, 104864. [Google Scholar] [CrossRef]
16. Li, L.; Wang, K.; Chen, W.; Zhao, Q.; Liu, L.; Liu, W.; Liu, Y.; Jiang, J.; Liu, J.; Zhang, M. Atmospheric pollution of agriculture-oriented cities in Northeast China: A case in Suihua. J. Environ. Sci. 2020, 97, 85–95. [Google Scholar] [CrossRef]
17. Chen, W.W.; Duanmu, L.J.; Qin, Y.; Yang, H.; Fu, J.; Lu, C.; Feng, W.; Guo, L. Lockdown-induced Urban Aerosol Change over Changchun, China During COVID-19 Outbreak with Polarization LiDAR. Chin. Geogr. Sci. 2022, 32, 824–833. [Google Scholar] [CrossRef]
18. He, G.; Liu, T.; Zhou, M. Straw burning, PM2.5, and death: Evidence from China. J. Dev. Econ. 2020, 145, 102468. [Google Scholar] [CrossRef]
19. Chantara, S.; Thepnuan, D.; Wiriya, W.; Prawan, S.; Tsai, Y.I. Emissions of pollutant gases, fine particulate matters and their significant tracers from biomass burning in an open-system combustion chamber. Chemosphere 2019, 224, 407–416. [Google Scholar] [CrossRef]
20. Engling, G.; Carrico, C.M.; Kreldenweis, S.M.; Collett, J.L., Jr.; Day, D.E.; Malm, W.C.; Lincoln, E.; Hao, W.M.; Iinuma, Y.; Herrmann, H. Determination of levoglucosan in biomass combustion aerosol by high-performance anion-exchange chromatography with pulsed amperometric detection. Atmos. Environ. 2006, 40, 299–311. [Google Scholar] [CrossRef]
21. Guo, J.; Zhang, X.; Cao, C.; Che, H.; Liu, H.; Gupta, P.; Zhang, H.; Xu, M.; Li, X. Monitoring haze episodes over the Yellow Sea by combining multisensor measurements. Int. J. Rem. Sens. 2010, 31, 4743–4755. [Google Scholar] [CrossRef]
22. Tao, M.; Chen, L.; Wang, Z.; Tao, J.; Su, L. Satellite observation of abnormal yellow haze clouds over East China during summer agricultural burning season. Atmos. Environ. 2013, 79, 632–640. [Google Scholar] [CrossRef]
23. Adler, G.; Flores, J.M.; Riziq, A.A.; Borrmann, S.; Rudich, Y. Chemical, physical, and optical evolution of biomass burning aerosols: A case study. Atmos. Chem. Phys. 2011, 11, 1491–1503. [Google Scholar] [CrossRef]
24. Wang, Y.; Liang, L.; Xu, W.; Liu, C.; Cheng, H.; Liu, Y.; Zhang, G.; Xu, X.; Yu, D.; Wang, P.; et al. Influence of meteorological factors on open biomass burning at a background site in Northeast China. J. Environ. Sci. 2024, 138, 1–9. [Google Scholar] [CrossRef]
25. Trivedi, A.; Verma, A.R.; Kaur, S.; Jha, B.; Vijay, V.; Chandra, R.; Vijay, V.K.; Subbarao, P.M.V.; Tiwari, R.; Hariprasad, P.; et al. Sustainable bio-energy production models for eradicating open field burning of paddy straw in Punjab, India. Energy 2017, 127, 310–317. [Google Scholar] [CrossRef]
26. Xu, R.; Tie, X.; Li, G.; Zhao, S.; Cao, J.; Feng, T.; Long, X. Effect of biomass burning on black carbon (BC) in South Asia and Tibetan Plateau: The analysis of WRF-Chem modeling. Sci. Total Environ. 2018, 645, 901–912. [Google Scholar] [CrossRef]
27. Holder, A.L.; Gullett, B.K.; Urbanski, S.P.; Elleman, R.; O’Neill, S.; Tabor, D.; Mitchell, W.; Baker, K.R. Emissions from prescribed burning of agricultural fields in the Pacific Northwest. Atmos. Environ. 2017, 166, 22–33. [Google Scholar] [CrossRef]
28. Zhang, Y.; Li, X.; Gregorich, E.G.; McLaughlin, N.B.; Zhang, X.; Guo, Y.; Liang, A.; Fan, R.; Sun, B. No-tillage with continuous maize cropping enhances soil aggregation and organic carbon storage in Northeast China. Geoderma 2018, 330, 204–211. [Google Scholar] [CrossRef]
29. Chen, W.W.; Li, J.; Bao, Q.; Gao, Z.; Cheng, T.; Yu, Y. Evaluation of Straw Open Burning Prohibition Effect on Provincial Air Quality during October and November 2018 in Jilin Province. Atmosphere 2019, 10, 375. [Google Scholar] [CrossRef]
30. Fire Information for Resource Management System (FIRMS). Available online: https://firms.modaps.eosdis.nasa.gov/active_fire/ (accessed on 16 December 2024).
31. Wang, W.; Yi, F.; Liu, F.; Zhang, Y.; Yu, C.; Yin, Z. Characteristics and Seasonal Variations of Cirrus Clouds from Polarization Lidar Observations at a 30°N Plain Site. Remote Sens. 2020, 12, 3998. [Google Scholar] [CrossRef]
32. Fernald, F.G. Analysis of atmospheric lidar observations: Some comments. Appl. Opt. 1984, 23, 652–653. [Google Scholar] [CrossRef] [PubMed]
33. Sun, T.; Che, H.; Qi, B.; Wang, Y.; Dong, Y.; Xia, X.; Wang, H.; Gui, K.; Zheng, Y.; Zhao, H.; et al. Characterization of vertical distribution and radiative forcing of ambient aerosol over the Yangtze River Delta during 2013–2015. Sci. Total Environ. 2019, 650, 1846–1857. [Google Scholar] [CrossRef]
34. Tesche, M.; Ansmann, A.; Mueller, D.; Althausen, D.; Engelmann, R.; Freudenthaler, V.; Gross, S. Vertically resolved separation of dust and smoke over Cape Verde using multiwavelength Raman and polarization lidars during Saharan Mineral Dust Experiment 2008. J. Geophys. Res. Atmos. 2009, 114, D13202. [Google Scholar] [CrossRef]
35. Duanmu, L.J.; Chen, W.W.; Guo, L.; Fu, J.; You, B.; Yang, H.; Zhang, T. Concentrated fireworks display-induced changes in aerosol vertical characteristics and atmospheric pollutant emissions. Atmos. Environ. 2024, 322, 120370. [Google Scholar] [CrossRef]
36. Hooper, W.P.; Eloranta, E.W. Lidar measurements of wind in the planetary bound ary layer: The method, accuracy and results from joint measurements with radio sonde and Kytoon. J. Clim. Appl. Meteorol. 1986, 25, 990–1001. [Google Scholar] [CrossRef]
37. Burkart, K.; Canario, P.; Breitner, S.; Schneider, A.; Scherber, K.; Andrade, H.; Alcoforado, M.J.; Endlicher, W. Interactive short-term effects of equivalent temperature and air pollution on human mortality in Berlin and Lisbon. Environ. Pollut. 2013, 183, 54–63. [Google Scholar] [CrossRef]
38. Desai, K.M.; Survase, S.A.; Saudagar, P.S.; Lele, S.S.; Singhal, R.S. Comparison of artificial neural network (ANN) and response surface methodology (RSM) in fermentation media optimization: Case study of fermentative production of scleroglucan. Biochem. Eng. J. 2008, 41, 266–273. [Google Scholar] [CrossRef]
39. Zhang, Z.Y.; Wong, M.S.; Lee, K.H. Estimation of potential source regions of PM2.5 in Beijing using backward trajectories. Atmos. Pollut. Res. 2015, 6, 173–177. [Google Scholar] [CrossRef]
40. Draxler, R.R.; Hess, G.D. An overview of the HYSPLIT_4 modelling system for trajectories, dispersion and deposition. Aust. Meteorol. Mag. 1998, 47, 295–308. [Google Scholar]
41. Li, X.; Li, B.; Yang, Y.; Hu, L.; Chen, D.; Hu, X.; Feng, R.; Fang, X. Characteristics and source apportionment of some halocarbons in Hangzhou, eastern China during 2021. Sci. Total Environ. 2023, 865, 160894. [Google Scholar] [CrossRef]
42. Li, S.; Wang, T.; Xie, M.; Han, Y.; Zhuang, B. Observed aerosol optical depth and angstrom exponent in urban area of Nanjing, China. Atmos. Environ. 2015, 123, 350–356. [Google Scholar] [CrossRef]
43. Ming, L.; Jin, L.; Li, J.; Fu, P.; Yang, W.; Liu, D.; Zhang, G.; Wang, Z.; Li, X. PM2.5 in the Yangtze River Delta, China: Chemical compositions, seasonal variations, and regional pollution events. Environ. Pollut. 2017, 223, 200–212. [Google Scholar] [CrossRef] [PubMed]
44. Cai, X.; Yu, J.; Qin, Y. Spatial Distribution of Air Pollution and Its Relationship with Meteorological Factors: A Case Study of 31 Provincial Capitals in China. Pol. J. Environ. Stud. 2023, 3, 2513–2521. [Google Scholar] [CrossRef]
45. Meng, C.; Cheng, T.; Bao, F.; Gu, X.; Wang, J.; Zuo, X.; Shi, S. The Impact of Meteorological Factors on Fine Particulate Pollution in Northeast China. Aerosol Air Qual. Res. 2020, 20, 1618–1628. [Google Scholar] [CrossRef]
46. Zhang, Z.; Zhang, X.; Gong, D.; Quan, W.; Zhao, X.; Ma, Z.; Kim, S.J. Evolution of surface O3 and PM2.5 concentrations and their relationships with meteorological conditions over the last decade in Beijing. Atmos. Environ. 2015, 108, 67–75. [Google Scholar] [CrossRef]
47. Yang, Z.; Yang, X.; Xu, C.; Wang, Q. The Effect of Meteorological Features on Pollution Characteristics of PM2.5 in the South Area of Beijing, China. Atmosphere 2023, 14, 1753. [Google Scholar] [CrossRef]
48. Yin, Q.; Wang, J.; Hu, M.; Wong, H. Estimation of daily PM2.5 concentration and its relationship with meteorological conditions in Beijing. J. Environ. Sci. 2016, 48, 161–168. [Google Scholar] [CrossRef] [PubMed]
49. Zhang, X.; Xiao, X.; Wang, F.; Brasseur, G.; Chen, S.; Wang, J.; Gao, M. Observed sensitivities of PM2.5 and O3 extremes to meteorological conditions in China and implications for the future. Environ. Int. 2022, 168, 107428. [Google Scholar] [CrossRef]
50. Zhou, Q.; Cheng, L.; Zhang, Y.; Wang, Z.; Yang, S. Relationships between Springtime PM2.5, PM10, and O3 Pollution and the Boundary Layer Structure in Beijing, China. Sustainability 2022, 14, 9041. [Google Scholar] [CrossRef]
51. He, Y.; Li, L.; Wang, H.; Xu, X.; Li, Y.; Fan, S. A cold front induced co-occurrence of O3 and PM2.5 pollution in a Pearl River Delta city: Temporal variation, vertical structure, and mechanism. Environ. Pollut. 2022, 306, 119464. [Google Scholar] [CrossRef]
52. Li, Y.; Zhao, H.; Wu, Y. Characteristics of Particulate Matter during Haze and Fog (Pollution) Episodes over Northeast China, Autumn 2013. Aerosol Air Qual. Res. 2015, 15, 853–864. [Google Scholar] [CrossRef]
53. Nodehi, R.N.; Sheikhi, S. Nanomaterial-based AOPs for the removal of organic pollutants in aqueous matrices: A systematic review of response surface methodology (RSM) models. Environ. Technol. Innov. 2024, 35, 103718. [Google Scholar] [CrossRef]
54. Pereira, L.M.S.; Milan, T.M.; Tapia-Blácido, D.R. Using Response Surface Methodology (RSM) to optimize 2G bioethanol production: A review. Biomass Bioenergy 2021, 151, 106166. [Google Scholar] [CrossRef]
55. Zhou, G.; Yang, F.; Geng, F.; Xu, J.; Yang, X.; Tie, X. Measuring and Modeling Aerosol: Relationship with Haze Events in Shanghai, China. Aerosol Air. Qual. Res. 2014, 14, 783–792. [Google Scholar] [CrossRef]
56. Xu, Z.; Peng, Z.; Zhang, N.; Liu, H.; Lei, L.; Kou, X. Impact of meteorological conditions and reductions in anthropogenic emissions on PM2.5 concentrations in China from 2016 to 2020. Atmos. Environ. 2024, 318, 120265. [Google Scholar] [CrossRef]
57. Tao, Y.; Liu, G.; Sun, B.; Dong, Y.; Cao, L.; Zhao, B.; Li, M.; Fan, Z.; Zhou, Y.; Wang, Q. Varying Drivers of 2013–2017 Trends in PM2.5 Pollution over Different Regions in China. Atmosphere 2024, 15, 789. [Google Scholar] [CrossRef]
58. Chen, W.W.; Zhang, S.C.; Tong, Q.S.; Zhang, X.L.; Zhao, H.M.; Ma, S.Q.; Xiu, A.J.; He, Y.X. Regional Characteristics and Causes of Haze Events in Northeast China. Chin. Geogr. Sci. 2018, 28, 836–850. [Google Scholar] [CrossRef]
59. Kang, B.; Liu, C.; Miao, C.; Zhang, T.; Li, Z.; Hou, C.; Li, H.; Li, C.; Zheng, Y.; Che, H. A Comprehensive Study of a Winter Haze Episode over the Area around Bohai Bay in Northeast China: Insights from Meteorological Elements Observations of Boundary Layer. Sustainability 2022, 14, 5424. [Google Scholar] [CrossRef]
60. JPG Jilin Province Government. Work Program for Straw Open Burning Prohibition in Autumn and Winter of 2018. 2018. Available online: http://xxgk.jl.gov.cn/szf/gkml/201812/t20181205_5350313.html (accessed on 16 December 2024).
61. Yang, G.; Zhao, H.; Tong, D.Q.; Xiu, A.; Zhang, X.; Gao, C. Impacts of post-harvest open biomass burning and burning ban policy on severe haze in the Northeastern China. Sci. Total Environ. 2020, 716, 136517. [Google Scholar] [CrossRef]
62. Wen, X.; Chen, W.; Zhang, P.; Chen, J.; Song, G. An Integrated Quantitative Method Based on ArcGIS Evaluating the Contribution of Rural Straw Open Burning to Urban Fine Particulate Pollution. Remote Sens. 2022, 14, 4671. [Google Scholar] [CrossRef]
63. He, L.; Duanmu, L.; Chen, X.; You, B.; Liu, G.; Wen, X.; Guo, L.; Bao, Q.; Fu, J.; Chen, W. Regulation of open straw burning and residential coal burning around urbanized areas could achieve urban air quality standards in the cold region of northeastern China. Sustain. Horiz. 2024, 9, 100077. [Google Scholar] [CrossRef]
64. Lu, C.W.; Fu, J.; Liu, X.F.; Cui, Z.H.; Chen, W.W.; Guo, L.; Li, X.L.; Ren, Y.; Shao, F.; Chen, L.N.; et al. Impacts of air pollution and meteorological conditions on dry eye disease among residents in a northeastern Chinese metropolis: A six-year crossover study in a cold region. Light Sci. Appl. 2023, 12, 186. [Google Scholar] [CrossRef]
65. Fang, C.; Wang, L.; Li, Z.; Wang, J. Spatial Characteristics and Regional Transmission Analysis of PM2.5 Pollution in Northeast China, 2016–2020. Int. J. Environ. Res. Public Health 2021, 18, 12483. [Google Scholar] [CrossRef]
66. Yang, W.; Wang, G.; Bi, C. Analysis of Long-Range Transport Effects on PM2.5 during a Short Severe Haze in Beijing, China. Aerosol Air. Qual. Res. 2017, 17, 1610–1622. [Google Scholar] [CrossRef]
67. Ukhov, A.; Mostamandi, S.; da Silva, A.; Flemming, J.; Alshehri, Y.; Shevchenko, I.; Stenchikov, G. Assessment of natural and anthropogenic aerosol air pollution in the Middle East using MERRA-2, CAMS data assimilation products, and high-resolution WRF-Chem model simulations. Atmos. Chem. Phys. 2020, 20, 9281–9310. [Google Scholar] [CrossRef]
68. Yahya, K.B. Regional Air Quality and Climate Modeling Using WRF/Chem with Improved Model Representations of Organic Aerosol Formation and Aerosol Activation. Ph.D. Thesis, North Carolina State University, Raleigh, NC, USA,, 2016; p. 10970040. [Google Scholar]
69. Du, Q.; Zhao, C.; Zhang, M.; Dong, X.; Chen, Y.; Liu, Z.; Hu, Z.; Zhang, Q.; Li, Y.; Yuan, R.; et al. Modeling diurnal variation of surface PM2.5 concentrations over East China with WRF-Chem: Impacts from boundary-layer mixing and anthropogenic emission. Atmos. Chem. Phys. 2020, 20, 2839–2863. [Google Scholar] [CrossRef]
70. Hong, J.; Mao, F.; Min, Q.; Pan, Z.; Wang, W.; Zhang, T.; Gong, W. Improved PM2.5 predictions of WRF-Chem via the integration of Himawari-8 satellite data and ground observations. Environ. Pollut. 2020, 263, 114451. [Google Scholar] [CrossRef]
He L, Duanmu L, Guo L, Qin Y, Shi B, Liang L, Chen W. Determining an Optimal Combination of Meteorological Factors to Reduce the Intensity of Atmospheric Pollution During Prescribed Straw Burning. Agriculture. 2025; 15(3):279. https://doi.org/10.3390/agriculture15030279
Перевод статьи «Determining an Optimal Combination of Meteorological Factors to Reduce the Intensity of Atmospheric Pollution During Prescribed Straw Burning» авторов He L, Duanmu L, Guo L, Qin Y, Shi B, Liang L, Chen W., оригинал доступен по ссылке. Лицензия: CC BY. Изменения: переведено на русский язык
Фото: freepik














Комментарии (0)